Ряд Фурье
Введение
В последнее десятилетие в европейском высшем образовании
остро стоит вопрос о подготовке специалистов, обладающих высокой
профессиональной компетентностью и способных конкурировать на мировом рынке
труда. Решению этой задачи, очевидно, может содействовать усиление вектора
профессиональной направленности образования. Для реализации подобных целей
должно применяться повышение мотивации к изучению математики в части ее
физических приложений. Одним из примеров таких приложений являются некоторые
разделы математического анализа, имеющие важное практическое значение.
Профессиональная направленность обучения математике
определяется целями и задачами, определяемыми при подготовке специалистов. В
последние время четко просматривается проблема отсутствия практико-ориентированного
подхода при обучении математике.
Поэтому для повышения эффективности обучения при изучении
понятия ряда Фурье необходимо отталкиваться не от готовых определений, а от
физического контекста, рассмотрев физические задачи, приводящие к данному.
Ряд Фурье позволяет изучать периодические (непериодические)
функции, разлагая их на компоненты. Переменные токи и напряжения, смещения,
скорость и ускорение кривошипно-шатунных механизмов и акустические волны - это
типичные практические примеры применения периодических функций в инженерных
расчетах. Разложение в ряд Фурье основывается на предположении, что все имеющие
практическое значение функции в интервале -π ≤x≤ π можно выразить в виде сходящихся тригонометрических рядов.
Целью данной курсовой работы является введения понятия ряда
Фурье и изучение его общих свойств. Для ее достижения необходимо выполнить
следующие задачи:
) Ввести понятия ряда Фурье с опорой на физический
контекст лекций;
) Рассмотреть физические задачи, приводящие к понятию
ряда Фурье;
) Изучить свойства ряд Фурье в комплексной области;
) Дать характеристику приложению рядов Фурье.
1.
Введение понятия ряда Фурье
В последние годы в образовании делается акцент на развитие
компетентностного подхода. Особый вес приобретают не столько академические
знания, умения и навыки выпускника вуза, сколько его способности
квалифицированно осуществлять профессиональную деятельность, что и определяет
качество подготовки. Актуальной становится проблема профессионально
ориентированного обучения математике студентов физических и
инженерно-технических специальностей вузов, поскольку математика выполняет в
естествознании методологическую функцию и считается языком физики. Средством
решения этой проблемы может быть интеграция содержания математики и физики
(технических дисциплин) в рамках предметной области «математика». К этому
выводу приходит все большее число исследователей [1] - [4].
Вопросами установления интеграционных (межпредметных) связей
математических и физических дисциплин в обучении математике студентов
физических и инженерно-технических специальностей вузов также занимались М.С.
Аммосова, Н.А. Байгазова, В.Р. Беломестнова, Е.А. Василевская, Л.В. Васяк, М.Л.
Груздева, В.А. Далингер, Т.В. Игнатьева, Е.И. Исмагилова, О.Е. Кириченко, И.Г. Михайлова,
С.Х. Мухаметдинова, С.В. Плотникова, С.А. Розанова, Т.И. Федотова и др. Изданы
интеграционные учебные пособия: сборники прикладных и физических задач по
математике для студентов технических вузов [5], [6].
Анализ научно-методических публикаций, учебников и задачников
по высшей математике показывает, что средствами осуществления интеграции
математических и специальных дисциплин могут выступать: а) математические
задачи прикладного характера, б) метод математического моделирования физических
и физико-технических задач (интеграция на уровне практики математики). Однако в
решении задач используются готовые результаты математической теории, которая
при этом остается за рамками интеграции. А ведь именно теория как сложный
«чужеродный» объект вызывает наибольшее неприятие, «отторжение», «сопротивление
организма» при изучении математики будущими инженерами и физиками. Именно
«чистая» теория математики обычно ведет к снижению их интереса к предмету и
мотивации к учебе, ухудшению успеваемости, порождает серьезные психологические
проблемы (например, затрудняет адаптацию первокурсников), формализм в знаниях и
тем самым ограничивает развитие теоретического мышления. Последствия этого
нельзя недооценить.
Таким образом, интеграцией охвачен лишь «внешний фасад» математики,
что нельзя признать удовлетворяющим требованиям времени. Усилить
междисциплинарные связи математики и физики (технических дисциплин), на наш
взгляд, можно, если при введении математических понятий на лекциях опираться на
моделирование физических (физико-технических) объектов и структур. В работе [7]
предлагается перечень физических явлений для использования их моделей при
введении соответствующих понятий математического анализа.
Проблему эффективности обучения высшей математике можно
решить, если при введении важных математических понятий: 1) опираться на
содержательное обобщение; 2) обобщение проводить на физическом
(физико-техническом) материале. Таким образом, в обучении математике будущих
инженеров и физиков должны фигурировать не готовые определения понятий и их,
пусть даже и прикладные, иллюстрации, и не выделение понятий из математической
же основы (в частности, из геометрической), а выявление всеобщих абстрактных
форм среди многообразия физических явлений.
Алгоритм введения математических понятий при обучении
студентов состоит из четырех основных стадий:
) Описание физического явления (структуры) на языке физики и
постановка физической задачи, решение которой требует нового математического понятия (при этом,
вообще, должно использоваться несколько физических задач);
) Выполнение такого преобразования содержания, которое позволяет перейти к
отношению, играющему роль всеобщей
основы для решения любой задачи данного вида;
) Фиксация этого отношения в знаковой модели, позволяющей рассматривать его особенности
в «чистом виде»;
) Установление таких свойств данного отношения, которые дают возможность
выявить условия и способ решения исходной задачи.
Таким образом, нами рассмотрен алгоритм введения понятия ряда
Фурье, опирающийся на моделирование физических задач в теоретическом курсе
высшей математики для студентов физико-математических и инженерно-технических
специальностей вузов. С помощью алгоритма выполняется содержательное обобщение,
основанное на выяснении условий происхождения математических понятий из
физической действительности.
Этот способ создает условия для усиления мотивации к изучению
математики, для профессиональной направленности обучения и преодоления
формализма в знаниях студентов, для приобретения ими навыков математического
моделирования физических явлений.
2.
Физические задачи, приводящие к понятию ряда Фурье
Понятие ряда Фурье можно ввести, исходя из задачи
раскладывания периодических прямоугольных и пилообразных импульсов напряжения,
подаваемых на осциллограф. Следует сообщить студентам, что такие периодические
сигналы могут, например, играть роль тестовых при исследовании конструкции
различных частотных фильтров, «обрезающих» определенные частоты, а само
разложение ряда Фурье, широко используется в радиотехнике и теории связи.
1. Раскладывание пилообразных импульсов
напряжения.
Разложить функцию
в промежутке (0, 2π).
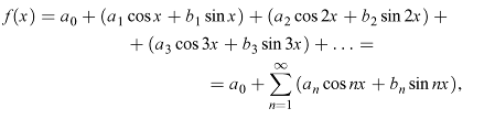
Используем тригонометрический ряд:
Определим коэфиценты этого ряда. Будем предполагать функцию
f(x) интегрируемой в
промежутке [-π, π] в собственном или в
несобственном смысле; в последнем случае мы дополнительно будем предполагать,
что функция абсолютно интегрируема. Допустим, что разложение имеет место, и
проинтегрируем его почленно от -π до π; мы получим
Причем,
Поэтому все члены под знаком суммы будут нулями, и
окончательно найдем
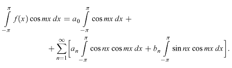
Для того чтобы установить величину коэффициента ат,
умножим обе части тригонометрического ряда, которое мы все время предполагаем
выполненным, на cos(тх) и снова проинтегрируем почленно в том же промежутке:
Первый член справа исчезает (см. выше). Далее имеем
Таким образом, обращаются в нуль все интегралы под знаком
суммы, кроме интеграла, при котором множителем стоит именно коэффициент ат.
Отсюда этот коэффициент и определяется:
Аналогично, умножая предварительно разложение (5) на sin тх и затем интегрируя
почленно, определим коэффициент при синусе:
При этом мы опираемся еще на легко проверяемые соотношения:
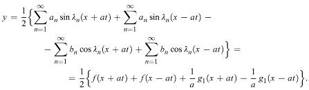
Таким образом, мы приходим к разложению, содержащему одни
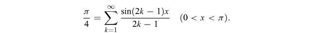
лишь синусы:
При x=0 (или 2π) сумма ряда равна нулю, и
равенство нарушается. Не будет равенства и вне указанного промежутка. График
суммы ряда S(x) состоит из бесчисленного множества параллельных отрезков и ряда
отдельных точек на оси х.


. Расладываание прямоугольных импульсов напряжения
Для этого испоьзуем последнее разложение из задачи 1)
Заменяя в нем x на 2x и деля обе части равенства на
2, найдем:
Вычитая одно и тоже разложение из другого, получим:
Обозначим сумму последнего ряда через S(x):
Полученный график функции S(x), характеризует
постепенное приближение к этой разрывной функции частичных сумм ряда.





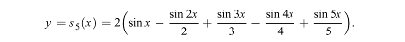
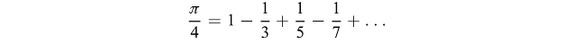
Если положить в рассматриваемом разложении x=π/2,
то получим известный нам ряд
Лейбница
При x=π/6 и x=π/3 получаются ряды:
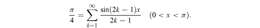
3. Представление треугольных импульсов
Сочетая полученное здесь разложение с разложением задачи 2), легко
прийти к ряду для функции F(x)=x:
Непосредственно мы получаем его лишь для 0<x<π, но равенство явно имеет место для x=0 и,
кроме того, обе его части, очевидно, представляют нечетные функции, так что
окончательно разложение оказывается верным для всего промежутка.
Графики 129-131 характеризуют постепенное приближение к этой
разрывной функции частичных сумм ряда.
На основании рассмотренных выше примером можно сделать
вывод о том, что, на самом деле, представлячет из себя определение понятия ряда
Фурье.
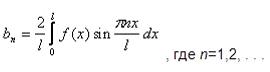
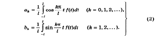
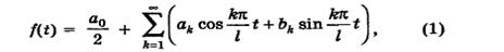
Пусть задана функция f(x) периода 2l и известно,
что ее можно разложить в тригонометрический ряд:
т. e. она уже есть сумма некоторого
тригонометрического ряда вида (1) для всех t (или, быть может, для всех t, за
исключением отдельных значений t). Спрашивается,
как определить по функции f(t) коэффициенты ak,
bk Этот вопрос принципиально был решен
математиками и физиками в начале прошлого столетия. Существенный вклад в его
решение внес Ж. Фурье. Он показал, что коэффициенты ak, bk тригонометрического ряда, представляющего
периодическую периода 2l функцию f(t),
вычисляются по формулам
Числа ak и bk вычисляемые по этим
формулам, называют коэффициентами Фурье функции f(t), а тригонометрический ряд
(1), в который вместо ak и bk подставлены
соответствующие коэффициенты Фурье, называют рядом Фурье функции f(t).
3.
Свойства рядов Фурье
фурье математический ряд алгоритм
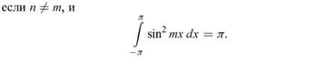
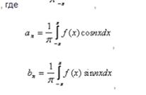
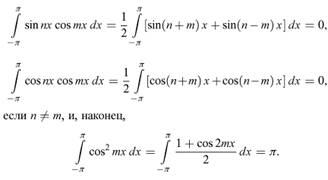
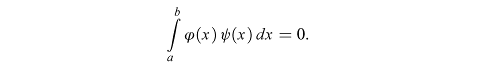
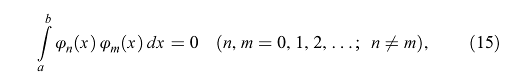
Ортогональные системы функций. Назовем две функции φ(х) и ψ(х), определенные в
промежутке [a, b] ортогональными в этом промежутке, если
их произведение имеет интеграл, равный нулю:
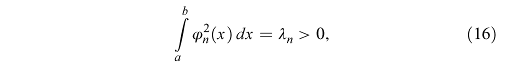
Рассмотрим систему функций {φn(x)} определенных в
промежутке [a, b] и интегрируемых в нем вместе с их квадратами;
тогда, как мы знаем (483, 6)], и произведения этих функций, взятых
попарно, также интегрируемы. Если функции данной системы попарно ортогональны:
то ее называют ортогональной системой функций. При
этом мы всегда будем предполагать, что
так что в составе нашей системы нет ни функции, тождественно
равной нулю, ни какой-либо другой ей уподобляющейся в некотором смысле функции,
интеграл от квадрата которой оказывается нулем.
При соблюдении условий λп = 1 (п = 0, 1, 2,…) система называется нормальной.
Если же эти условия не выполнены, то при желании можно перейти к системе
которая уже заведомо будет нормальной.
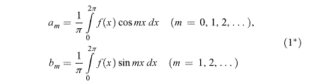
Интеграл Дирихле. Пусть f(x) будет функция с периодом
2π абсолютно интегрируемая, хотя бы и в
несобственном смысле, в промежутке [-π, π], а следовательно, и в любом конечном промежутке. Вычислим
постоянные (ее коэффициенты Фурье):
и по ним составим ряд Фурье нашей функции:
n° - это коэффициент а0 мы определяем
теперь по общей формуле для ат при т = 0, вразрез с
формулой (7) упомянутого n°, но зато свободный член ряда пишем в виде a0/2.
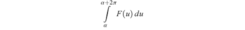
Для функции F(u), имеющей период 2π, величина интеграла
по промежутку длины 2π не зависит от а.
Поэтому и в формулах (1), определяющих коэффициенты Фурье, интегралы могут
быть взяты по любому промежутку длины 2я; например, можно было бы
написать
и т.п.
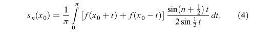
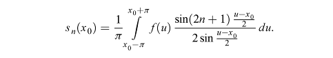
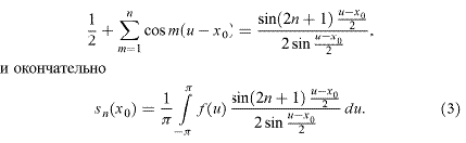
Для того чтобы исследовать поведение ряда (2) в какой-нибудь
определенной точке х = х0, составим удобное выражение для его
частичной суммы
Подставим вместо ат и bт их интегральные
выражения (1) и подведем постоянные числа cos тх0, sin тх0 под знак интеграла:
Воспользовавшись для преобразования выражения в фигурных
скобках формулой (26) будем иметь:
Этот интеграл носит имя Дирихле (G. Lejeune-Dirichlet).
Так как мы имеем здесь дело с функциями от и периода 2π, то промежуток интегрирования [-π, π] по сделанному выше
замечанию можно заменить, например, промежутком [x0-π, x0+π]
Подстановкой t = и - х0 преобразуем этот
интеграл к виду:
Затем, разбивая интеграл на два: и приводя второй интеграл
путем изменения знака переменной тоже к промежутку [0, π], придем к такому окончательному выражению для п-й
частичной суммы ряда Фурье:
Теорема Римана. Поведение ряда Фурье
функции f(x) в некоторой точке х0
зависит исключительно от значений, принимаемых функцией в непосредственной
близости от рассматриваемой точки, т.е. в сколь угодно малой ее окрестности.
Таким образом, если, например, взять две функции, значения
которых в произвольно малой окрестности точки х0, совпадают, то, как
бы они ни разнились вне этой окрестности, соответствующие этим функциям ряды
Фурье ведут себя в точке х0 одинаково: либо оба сходятся, и притом к
одной и той же сумме, либо оба расходятся. Этот результат покажется еще более
разительным, если подчеркнуть, что самые коэффициенты Фурье рассматриваемых
функций, зависящие от всех их значений, могут оказаться совершенно различными!
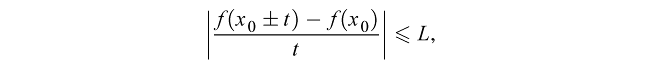
Признак Липшица (K.U. Lipscmtz). Ряд Фурье функции f(x) сходится в точке х0,
где она непрерывна, к сумме f(x0), если для достаточно
малых t выполняется неравенство
где L и а - положительные
постоянные (а ≤ 1).
В случае а = 1 имеем
так что интегралы (11) существуют как собственные.
и так как справа стоит интегрируемая функция, то интегралы
(11) все же существуют, хотя бы как несобственные.
хотя бы и различные между собой [«угловая точка»]. Таким
образом, в точке х0, где функция f(x) дифференцируема или, по
крайней мере, имеет обе конечные односторонние производные, ряд Фурье сходится,
причем сумма его равна f(х0).
Легко перефразировать признак Липшица и для случая (б). Как
частное следствие отсюда, укажем и здесь, что в точке х0 разрыва
первого рода для сходимости ряда Фурье достаточно предположить существование
конечных пределов:
Упомянутые пределы в некотором смысле уподобляются
односторонним производным, лишь значение f(х0) функции в точке х0
заменяется, соответственно, ее предельными значениями справа или слева от этой
точки.
Наиболее часто на практике приходится иметь дело с функциями f(х), имеющими период 2π и дифференцируемыми или же кусочно-дифференцируемыми. Как видим,
для таких функций ряд Фурье всегда сходится к самой функции f(х), за исключением
«точек стыка» различных функций, где суммой ряда будет:
Признак Дирихле. Если функция f(x) периода 2π кусочно-монотонна в промежутке [-π, π] и имеет в нем не
более чем конечное число точек разрыва, то ее ряд Фурье сходится к сумме f(x0) в каждой
точке непрерывности и к сумме
в каждой точке разрыва.
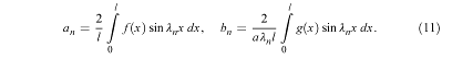
Четная функция. Пусть f(x) - четная функция с
периодом 2L, удовлетворяющая условию f(-x) = f(x). Тогда для коэффициентов ее
ряда Фурье находим формулы:
Таким образом, в ряде Фурье для четной функции отсутствуют
члены с синусами, и ряд Фурье для четной функции с периодом 2L выглядит так:
Нечетная функция. Пусть теперь f(x) - нечетная функция с
периодом 2L. удовлетворяющая условию
f(-x) = f(x).
Тогда для коэффициентов ее ряда Фурье находим формулы:
Таким образом, в ряде Фурье для нечетной функции отсутствует
свободный член и члены с косинусами, и ряд Фурье для нечетной функции с периодом
2L выглядит так:
Если функция f(x) разлагается в тригонометрический ряд Фурье на
промежутке [-π, π] то
Если f(x) разлагается в тригонометрический ряд Фурье на [01],
то доопределив заданную функцию f(x) соответствующим образом
на [-L, 0]; далее периодически продолжив на (T=2L), получим новую функцию,
которую разлагаем в тригонометрический ряд Фурье.
Для разложения в ряд Фурье непериодической функции, заданной
на конечном произвольном промежутке [а.b], надо: доопределить на [b.a+2L] и периодически
продолжить, либо доопределить на [b-2L, a] и периодически
продолжить.
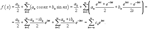
Пусть функция f (x) определена в интервале [−π, π]. Применяя формулы Эйлера
можно записать ряд Фурье данной функции в комплексной
форме:
Мы использовали здесь следующие обозначения:
Коэффициенты cn называются комплексными
коэффициентами Фурье. Они определяются формулами
Если нужно построить продолжение функции f
(x), имеющей произвольный период 2L, то соответствующее
выражение в комплексной форме имеет вид:
где
Комплексная форма ряда Фурье алгебраически проще и более
симметрична. Поэтому, она часто используется в физико-математических и
прикладных расчетах.
4.
Приложение рядов Фурье
Задача о колебании струны. Наиболее важные
приложения ряды
Фурье имеют в области математической физики при решении
дифференциальных уравнений. Желая осветить эти приложения примерами, мы начнем
с классической задачи о колебании струны, которая сыграла важную роль в
самой постановке вопроса о возможности тригонометрического разложения функции.
Под струной мы понимаем свободно изгибающуюся и невесомую
нить. Пусть такая струна, длины l, закреплена концами в точках х = 0 и х = l оси х и под
действием натяжения Н располагается в равновесии вдоль этой оси.
Представим себе, что в момент t = 0 струна выводится из
положения равновесия и вдобавок точки ее снабжаются некоторыми скоростями в
вертикальном направлении. Тогда точки струны начнут колебаться в вертикальной
же плоскости. Если допустить, что каждая точка М струны с абсциссой х
колеблется строго вертикально, то ее отклонение у в момент времени t ≥ 0 от положения
равновесия будет функцией от обеих переменных х и t:
у =y (х, t)
Задача и состоит в определении этой функции.
Ограничимся рассмотрением лишь малых колебаний струны, при
которых величины у и dy/dx малы (так что струна незначительно отдаляется от
положения равновесия и остается пологой); это дает нам право пренебрегать
квадратами этих малых величин.
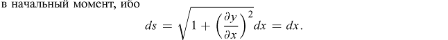
Возьмем элемент ds= M'N' струны в момент времени t (рис. 138); его длину в
силу сказанного можно считать равной его первоначальной длине
dx = MN в начальный момент, ибо
Раз мы пренебрегаем изменениями длины, то и натяжение струны
мы можем считать неизменным.
На выделенный элемент струны действует в точке М'
натяжение Я, направленное влево по касательной в этой точке, а в точке N' - такое же натяжение, но
направленное вправо по касательной. Если через а и а’ обозначить
соответствующие углы наклона касательной, то сумма вертикальных составляющих
этих сил (а только их нам и нужно учитывать) будет
Здесь мы снова воспользовались правом отбрасывать квадраты
малых величин: например, положили
а затем приращение функции dy/dx заменили ее
дифференциалом.
Если обозначить через р «линейную» плотность струны,
то масса элемента будет
Тогда по закону движения Ньютона произведение массы элемента р
на dx ускорение
д2у
dt2
должно равняться найденной выше силе, действующей на этот
элемент:
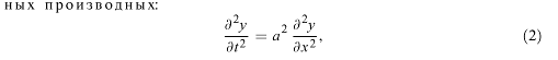
окончательно получим такое дифференциальное уравнение в
частных производных:
которое и описывает изучаемое явление.
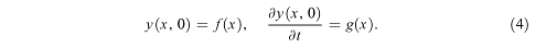
Кроме этого уравнения искомая функция y = у (х, t) должна удовлетворять еще
ряду требований, прежде всего - так называемым предельным или граничным
условиям:
выражающим факт закрепления концов струны. Затем, если
функции f(x) и g(x) (0≤x≤ l) характеризуют
отклонения и скорости точек струны в момент t = 0, то должны
выполняться и начальные условия:
Таким образом, задача сводится к разысканию такой функции у
(х, t), которая удовлетворяла бы уравнению (2) и условиям (3) и (4).
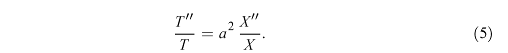
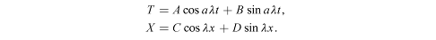
Начнем, следуя по пути, указанному Фурье, с разыскания
частных решений уравнения (2), удовлетворяющих сверх того предельным условиям
(3), но отличным от нулевого решения (начальные условия мы пока оставляем в
стороне). Упомянутые частные решения мы станем искать в виде произведения двух
функций, из которых одна зависит только от х, а другая - только от t:
Уравнение (2) в этом случае принимает вид
где штрихи означают производные по той переменной, от которой
функция зависит, или
Так как левая часть этого равенства не зависит от х, а
вторая - от t, то общее значение их по необходимости не зависит ни от х,
ни от t и сводится к постоянной, которую мы возьмем в виде - а2λ2 (при λ > 0). Тогда уравнение (5)
распадается на два:
их решения («общие интегралы») имеют вид:
Для того чтобы функция у = XT удовлетворяла предельным
условиям (3), им должна удовлетворять функция X. Полагая х = 0,
сразу видим, что
С = 0; полагая же х = l и учитывая, что D уже не может быть нулем,
придем к условию
откуда λl=nπ при натуральном п. Таким образом, λ может иметь одно из следующих значений:
придем к такой последовательности частных решений:
Нетрудно видеть, что поставленным требованиям будет
удовлетворять и сумма этих решений, взятых в любом числе. Это наталкивает на
мысль рассмотреть бесконечный ряд, составленный из всех таких решений, и
положить
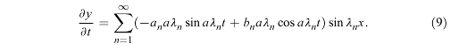
Мы примем пока, что этот ряд сходится и что сумма его
удовлетворяет уравнению (2); выполнение условий (3) очевидно. Теперь лишь
обращаемся мы к начальным условиям (4) и постараемся распорядиться постоянными ап,
bп так, чтобы удовлетворить и им. Допустим, что для ряда (8)
законно почленное дифференцирование по t, так что
Полагая в (8) и (9) t = 0, приходим к условиям
Отсюда, если только функции l и g удовлетворяют условиям
разложимости в ряд Фурье, по формулам, определяются, наконец, искомые
коэффициенты:
Мы получили, таким образом, по крайней мере формально, полное
решение поставленной задачи в виде ряда (8) с коэффициентами, вычисленными по
формулам (11)
Правда, вопрос о том, будет ли оно действительно решением,
пока остается открытым. Для того чтобы ответить на него, наложим теперь
требования на функции l и g; именно, пусть функция g будет дифференцируема, а
функция l - дважды дифференцируема, причем производные f» и g' предположим
имеющими ограниченное изменение в промежутке [0, l]. Тогда имеют место
такие оценки:
Оба разложения (10) в действительности имеют место во всем промежутке
[0, l]; сходится и разложение (8), причем определяемая им функция
удовлетворяет как предельным, так и начальным условиям [почленное
дифференцированное по t теперь оправдывается равномерной сходимостью
ряда (9)]. Несколько сложнее удостовериться в том, что эта функция
удовлетворяет самому дифференциальному уравнению.
Заметим, что ряды (10) сходятся и за пределами промежутка [0,
l]; обозначая их суммы
по-прежнему через f(x) и g(x), мы получаем, таким
образом, распространение этих функций на весь бесконечный промежуток
(- ∞, +∞) с сохранением их дифференциальных
свойств, за исключением разве лишь точек вида kl при целом к. Ряд
для g(x), равномерно сходящийся в любом конечном
промежутке, можно почленно проинтегрировать, так что
где g1(x) есть одна из первообразных для функции g(x). Раскрывая скобки в (8),
можно переписать это выражение в виде
Дважды дифференцируя по t и по х, теперь
уже легко убедиться в выполнении уравнения (2)
Решение рассмотренной здесь задачи можно было бы получить и
непосредственно в последней форме, но решение в форме тригонометрического ряда
(8) имеет преимущество, ибо позволяет вскрыть важные физические особенности
изучаемого явления. Объединяя в (8) оба члена в скобках, перепишем разложение
так:
Мы видим, что полное колебание струны слагается из ряда
отдельных колебаний
Участвующие в таком элементарном колебании точки струны все
колеблются с одной и той же частотой или, если угодно, с одним и тем же
периодом, которому отвечает тон определенной высоты. Амплитуда колебания каждой
точки зависит от ее положения; она равна
Вся струна разбивается на п равных участков, причем
точки одного и того же участка находятся всегда в одной и той же фазе, а точки
соседних участков - в прямо противоположных фазах.
На рисунке изображены последовательные положения струны для
случаев п = 1, 2, 3, 4.
Точки, отделяющие один участок от другого, находятся в покое;
это - так называемые «узлы». Середины участков («пучности») колеблются с
наибольшей амплитудой. Описанное явление носит название стоячей волны;
отсюда и сам метод Фурье обычно называют методом стоячих волн.
Основной тон определяется первой составляющей у1;
ей отвечает частота
Остальные тона, одновременно с основным издаваемые струной,
или обертоны, характеризуют определенную «окраску» звука, или его тембр. Если
нажать пальцем в середине струны, то сразу заглохнут как основной тон, так и
нечетные обертоны, для которых там была пучность. Четные обертоны, для которых
на середину струны приходится узел, все сохранятся; среди них роль основного
будет играть второй обертон, с периодом Т2 = \ Г1?
и струна станет издавать октаву первоначального тона. Все это можно прочитать
по полученному решению нашей задачи.
Заключение
Понятия ряда Фурье нами вводилось, опираясь на моделирование
физико-технических задач в теоретическом курсе высшей математики для студентов
физическо-математических специальностей вузов. С помощью алгоритма выполняется
содержательное обобщение, основанное на выяснении условий происхождения
математических понятий из физической действительности, названное нами
«конвергентным синтезом». Рассматривается введение понятия ряда Фурье. Подход
обеспечивает интеграцию содержания математики и физики в теории обучения,
создает условия для усиления мотивации к учебе и приобретения навыков
математического моделирования.
Целью курсовой работы являлось:
Были решены поставленные задачи:
Во введении была сформулирована цель работы и показана её
актцуальность
В первой главе обсуждался способ введения понятия
ряда Фурье которое производилось по следующему алгоритму:
) описание физического явления (структуры) на языке физики и
постановка физической задачи, решение которой требует нового математического понятия (при этом,
вообще, должно использоваться несколько физических задач);
) выполнение такого преобразования содержания, которое позволяет перейти к
отношению, играющему роль всеобщей
основы для решения любой задачи данного вида;
) фиксация этого отношения в знаковой модели, позволяющей рассматривать его
особенности в «чистом виде»;
) установление таких свойств данного отношения, которые дают возможность
выявить условия и способ решения исходной задачи.
Во второй главе были рассмотрены физические задачи,
отталкиваясь от которых было сформулировано понятие ряда Фурье.
Для введения понятие ряда Фурье с опорой на физические задачи
были использованы такие задачи, как раскладываний периодических прямоугольных и
пилообразных импульсов напряжения.
В третьей главе обсуждались свойства ряда Фурье. В частности,
ортогональные системы функций, интеграл Дирихле. Были сформулированы: теорема
Римана, признак Липшица и признак Дирихле, а также нами были рассмотрены
свойства четной и нечетной периодической функции и ряд Фурье в комплексной
области.
В четвертой главе были рассмотрены приложения рядов Фурье,
для решения дифференциальных уравнений математической физики.
Рассмотренный метод введения понятия ряда Фурье с опорой на
физический контекст лекций по общей математики может усилить мотивацию к
изучению математики, облегчить восприятие нового материала, сформировать навыки
математического моделирования и научного творчества.
Литература
1. Зайниев, Р.М. Профессиональная направленность
математической подготовки инженерных кадров / Р.М. Зайниев // Высшее
образование сегодня. - 2008. - №5. - С. 88-90.
. Князева, О.Г. Проблема профессиональной
направленности обучения математике в технических вузах / О.Г. Князева //
Вестник Томского гос. пед. ун-та. - 2009. - Вып. 9. - С. 14-18.
. Носков, М.В. Какой математике учить
будущих бакалавров? / М.В. Носков, В.А. Шершнева // Высшее образование в
России. - 2010. - №3. - С. 44-48.
. Фихтенгольц, Г.М. Основы математического
анализа. Т. II. M.:Физматлит, 2002.
. Бохан К.А., Егорова И.А., Лащенов К.В.
Курс математического анализа. Т. II. M.:Просвещение, 1972.
. Ветрова, В.Т. Сборник физических задач
по общему курсу высшей математики: учеб. Пособие для вузов / В.Т. Ветрова. -
Минск: Выш. шк., 1997. - 202 с.
. Шершнева, В.А. Сборник прикладных задач по
математике для студентов инженерных вузов/ В.А. Шершнева, О.А. Карнаухова. -
Красноярск: Сиб. федер. ун-т, 2008. - 204 с.
. Кирюшин, И.В. Теоретическая интеграция
математики и физики в курсе математического анализа / И.В. Кирюшин // Весцi
БДПУ. Серыя 3. - 2010. - №2. - С. 34-39.
. Давыдов, В.В. Виды обобщения в обучении:
Логико-психологические проблемы построения учебных предметов / В.В. Давыдов. -
М.: Педагогическое общество России, 2000. - 480 с.
. Усова А.В. Формирование у школьников
научных понятий в процессе обучения / А.В. Усова. - М.: Педагогика, 1986. - 176
с.
. Демидович, Б.П. Сборник задач и
упражнений по математическому анализу: учеб. пособие для вузов / Б.П.
Демидович. - М.: АСТ, 2008. - 558 с.
. Беломестнова, В.Р. Математическое
моделирование как средство интеграции курса математики с физическими
дисциплинами при обучении студентов физических специальностей / В.Р.
Беломестнова // Омский научный вестник. - 2006. - №7 (43). - С. 192-201.
. Кирюшин, И.В. Построение межпредметных
связей математики и физики в курсе математического анализа с использованием
компьютерного моделирования физических процессов / И.В. Кирюшин // Весцi БДПУ.
Сер. 3. - 2009. - №4. - С. 16-21.
. Воробьев, Е.М. Компьютерный практикум по
математике. Математический анализ. Линейная алгебра: учеб. пособие / Е.М.
Воробьев. - М.: КДУ, 2009. - 604 с.