Расчет частичных сумм и спектральных характеристик ряда Фурье для явной функции
Курсовая
работа по математическому анализу
Тема:
Подсчет частичных сумм и спектральных характеристик ряда Фурье для явной
функции
сигнал
спектр фурье функция
Оглавление
1.Модель
физического процесса
.Решение
задачи с теоретическими выкладками
.Пример
решения задачи
.Пример
решения задачи в среде Matlab R2009a
Список
литературы
1.Модель физического процесса
Математической моделью радиотехнического
сигнала может служить некоторая функция времени f(t). Эта функция
может быть вещественной или комплексной, одномерной или многомерной,
детерминированной или случайной (сигналы с помехами). В радиотехнике одна и та
же математическая модель с равным успехом описывает ток, напряжение,
напряженность электрического поля и т.п.
Рассмотрим вещественные одномерные детерминированные сигналы
Множества функций (сигналов) принято рассматривать как
линейные функциональные нормированные пространства, в которых введены следующие
понятия и аксиомы:
) выполнены все аксиомы линейного пространства;
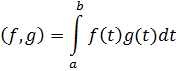
) скалярное произведение двух действительных сигналов
определяется следующим образом:
) два сигнала называются ортогональными, если их
скалярное произведение равно нулю;
) система ортогональных сигналов образует
бесконечномерный координатный базис, по которому можно разложить любой
периодический сигнал, принадлежащий линейному пространству;
Среди разнообразных систем ортогональных функций, по которым
можно разложить сигнал, наиболее распространенной является система
гармонических (синусоидальных и косинусоидальных) функций:
Представление некоторого периодического сигнала в виде суммы
гармонических колебаний с различными частотами называется спектральным
представлением сигнала. Отдельные гармонические компоненты сигнала образуют его
спектр. С математической точки зрения спектральное представление эквивалентно
разложению периодической функции (сигнала) в ряд Фурье.
Значение спектрального разложения функций в радиотехнике
обусловлено рядом причин:
) простота изучения свойств сигнала, т.к.
гармонические функции хорошо изучены;
) возможность генерирования произвольного сигнала,
т.к. техника генерирования гармонических сигналов достаточно проста;
) простота передачи и приема сигнала по радиоканалу,
т.к. гармоническое колебание является единственной функцией времени,
сохраняющей свою форму при прохождении через любую линейную цепь. Сигнал на
выходе цепи остается гармоническим с той же частотой, изменяется лишь амплитуда
и начальная фаза колебания;
) разложение сигнала по синусам и косинусам позволяет
использовать символический метод, разработанный для анализа передачи
гармонических колебаний через линейные цепи.
В качестве модели физического процесса рассмотрим
электрокардиограмму работы сердца.
Рис
2.Решение задачи с теоретическими выкладками
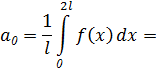
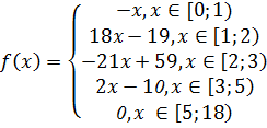
Задача 1:
Опишем с помощью рядов Фурье, периодически повторяющийся
импульс на участке электрокардиограммы, так называемый комплекс QRS.
Рис
Комплекс QRS можно задать следующей кусочно-линейной функцией
Где
Данную функцию можно продолжить периодически с периодом T=2l.
Ряд Фурье функции:
Где
Определение 1:Функция называется кусочно-непрерывной
на отрезке [а,b],
если она непрерывна во всех точках этого отрезка, кроме конечного числа точек,
в которых существуют ее конечные односторонние пределы.
Определение 2: Функция называется кусочно-гладкой
на некотором отрезке, если она сама и ее производная кусочно-непрерывны.
Теорема 1 (Признак Дирихле): Ряд Фурье
кусочно-гладкой на отрезке
функции f(x) сходится в каждой точке
непрерывности к значению функции в данной точке
и к значению
в каждой точке разрыва.
Наша функция удовлетворяет условиям теоремы.
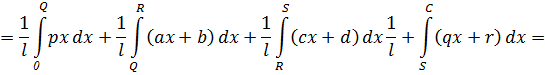
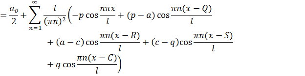
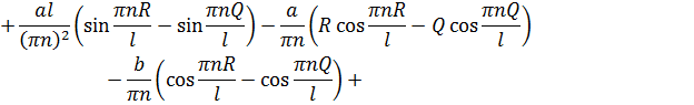
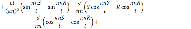
Для заданной функции получаем следующие коэффициенты ряда
Фурье:

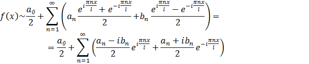
Комплексная форма ряда Фурье
Для представления ряда в комплексной форме воспользуемся
формулами Эйлера:
Введем обозначения:
Тогда ряд можно переписать в виде
Кроме того коэффициенты комплексного ряда Фурье можно
получить и непосредственно, вычисляя их по формуле
Запишем в комплексной форме ряд Фурье заданной функции
+
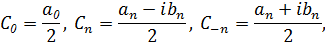
Спектральные характеристики ряда
Выражение
в ряде Фурье называется n-й гармоникой. Известно, что
где
или
,
Совокупности
, называется соответственно амплитудным и
фазовым спектром периодической функции.
Графически спектры изображаются в виде отрезков длины
, проведенных
перпендикулярно оси, на которую наносится значение n=1,2 … или
.
Графическое изображение соответствующего спектра называется
амплитудной или фазовой диаграммой. На практике чаще всего применяют
амплитудный спектр.
.Пример решения задачи
Задача 2: Рассмотрим конкретный пример задачи для
выбранной модели физического процесса.
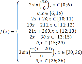
Продолжим эту функцию на всю числовую ось, получим периодическую
функцию f(x) c периодом T=2l=18 (Рис. 1.).
Рис. 1. График периодически продолженной функции
Вычислим коэффициенты Фурье заданной функции.
Запишем частичные суммы ряда:
;
Рис. 2. Графики частичных сумм ряда Фурье
С ростом n графики частичных сумм
в точках непрерывности
приближаются к графику функции f(x). В точках разрыва
значения частичных сумм приближаются к
.
Построим амплитудную и фазовую диаграммы.
с учетом четверти.
Таблица
|
n
|
|
|
|
|
|
1
|
-0,32629
|
3,71587
|
1,658718
|
|
2
|
0,56782
|
-1,88486
|
1,96853
|
-1,27819
|
|
3
|
-0,30396
|
4,00210
|
4,01363
|
1,646602
|
|
4
|
-1,36988
|
-0,03255
|
1,37027
|
3,117838
|
|
5
|
-1,58674
|
-0,33763
|
1,62226
|
2,931938
|
|
6
|
-0,81057
|
1,04424
|
1,32192
|
2,230873
|
|
7
|
0,23001
|
-5,39508
|
5,39998
|
-1,52819
|
|
8
|
0,84129
|
-0,96455
|
1,27989
|
-0,85355
|
Рис
4.Пример решения задачи в среде Matlab R2009a
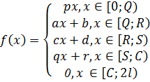
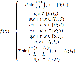
Задача 3: В качестве примера рассмотрим полностью
интервалы PR и QT.
Рис
Для данной функции построить графики частичных сумм, а так же
амплитудную и фазовую диаграммы.
Возьмем конкретные значения параметров для нашей задачи:
Скрипт для построения требуемых графиков и диаграмм.
Скрипт позволяет решать ряд подобных задач путем выбора
параметров и координат точек Q, R, S.
%ПОДСЧЕТ ЧАСТИЧНЫХ СУММ И СПЕКТРАЛЬНЫХ ХАРАКТЕРИСТИК РЯДА
ФУРЬЕ ДЛЯ ЯВНОЙ
%ФУНКЦИИ
%Задача 3
%Спектральный анализ.L I1 I2 Q R S I3 I4 I5 P T w v a b c d q r Qy Ry Sy
nCase=18;=6; I2=10; Q=11; Qy= -2; R=12; Ry=17; S=13; Sy=-4; I3=15; I4=20;
I5=26;=2; T=3; ExprNum=9;=250;=30;=0;flag == 0=1;(k<15)
k = menu( 'Перемена параметров ', ...
sprintf (' Параметр1 P = %g', P),...(' Параметр2 I1 = %g',
I1),...(' Параметр3 I2 = %g',
I2),...(' Параметр4 Qx = %g', Q),...('
Параметр5 Qy = %g',
Qy),...(' Параметр6 Rx = %g',
R),...(' Параметр7 Ry = %g',
Ry),...(' Параметр8 Sx = %g',
S),...(' Параметр9 Sy = %g',
Sy),...(' Параметр10 I3 = %g',
I3),...(' Параметр11 I4= %g',
I4),...(' Параметр12 T = %g',
T),...(' Параметр13 I5 = %g',
I5),...(' Параметр13 Ns = %g',
Ns),...
' Продолжить ');k==1,= input( [sprintf('Текущее значение P =
%g', P) ...
' Новое значение P= ']);
endk==2,= input( [sprintf('Текущее значение I1 = %g', I1)
...
' Новое значение I1= ']);
endk==3,= input( [sprintf('Текущее значение I2 = %g', I2)
...
' Новое значение I2= ']);
endk==4,= input( [sprintf('Текущее значение Qx = %g', Q)
...
' Новое значение Qx= ']);
endk==5,= input( [sprintf('Текущее значение Q = %g', Qy)
...
' Новое значение Qy= ']);
endk==6,= input( [sprintf('Текущее значение Rx = %g', R)
...
' Новое значение Rx= ']);
endk==7,= input( [sprintf('Текущее значение Ry = %g', Ry)
...
' Новое значение Ry= ']);
' Новое значение Sx= ']);
endk==9,= input( [sprintf('Текущее значение Sy = %g', S)
...
' Новое значение Sx= ']);
endk==10,= input( [sprintf('Текущее значение I3 = %g', I3)
...
' Новое значение I3= ']);
endk==11,= input( [sprintf('Текущее значение I4 = %g', I4)
...
' Новое значение I4= ']);
endk==12,= input( [sprintf('Текущее значение T = %g', T)
...
' Новое значение T= ']);
endk==13,= input( [sprintf('Текущее значение I5 = %g', I5)
...
' Новое значение I5= '])
endk==14,= input( [sprintf('Текущее значение SumN = %g',
Ns) ...
' Новое значение SumN= '])
%Применение параметров=Qy/(Q-I2);
v=Qy*I2/(I2-Q);=(Ry-Qy)/(R-Q);=(Qy*R-Q*Ry)/(R-Q);=(Sy-Ry)/(S-R);=(Ry*S-R*Sy)/(S-R);=Sy/(S-I3);=I3*Sy/(I3-S);=2*L/N;=0:Ts:2*L;=length(t);=zeros(1,Dim);=floor(I1*N/2/L)+1;=floor((I2-I1)*N/2/L)+1;=floor((Q-I2)*N/2/L)+1;=floor((R-Q)*N/2/L)+1;=
floor((S-R)*N/2/L)+1;= floor((I3-S)*N/2/L)+1;= floor((I4-I3)*N/2/L)+1;=
floor((I5-I4)*N/2/L)+1;=
floor((2*L-I4)*N/2/L)+1;i=1:u1(i)=P*sin(pi*t(i)/I1);i=u1:u2(i)=0;i=(u2+u1):(u3+u2+u1)(i)=w*t(i)+v;i=
(u3+u2+u1): (u4+u3+u2+u1)(i)=a*t(i)+b;i=(u4+u3+u2+u1):
(u5+u4+u3+u2+u1)(i)=c*t(i)+d;i=(u5+u4+u3+u2+u1):
(u6+u5+u4+u3+u2+u1)(i)=q*t(i)+r;i=(u6+u5+u4+u3+u2+u1):
(u7+u6+u5+u4+u3+u2+u1)(i)=0;i=(u7+u6+u5+u4+u3+u2+u1):
(u8+u7+u6+u5+u4+u3+u2+u1)(i)=T*sin(pi*(t(i)-I4)/(I5-I4));(t,y,'LineWidth',2),
grid, set(gca,'FontName','Arial Cyr','FontSize',16);
title('График
процесса'); xlabel('Время (с)'); ylabel('Y(t)');
%График частичной
суммыn
n=0;j=1:ExprNum=j;j1=quad(@f,
0, I1);2=a0+quad(@f, I1, I2);3=a0+quad(@f, I2, Q);4=a0+quad(@f, Q, R);5=a0+quad(@f,
R, S);6=a0+quad(@f, S, I3);7=a0+quad(@f, I3, I4);8=a0+quad(@f, I4,
I5);9=a0+quad(@f, I5,
2*L);=a0/L;=zeros(1,Ns);=zeros(1,Ns);i=1:Ns=i;j=1:ExprNum=j;j1(i)=quad(@f, 0,
I1);(i)=quad(@g, 0, I1);2(i)=an(i)+quad(@f, I1, I2);(i)=bn(i)+quad(@g, I1, I2);3(i)=an(i)+quad(@f,
I2, Q);(i)=bn(i)+quad(@g, I2, Q);4(i)=an(i)+quad(@f, Q, R);(i)=bn(i)+quad(@g,
Q, R);5(i)=an(i)+quad(@f, R, S);(i)=bn(i)+quad(@g, R, S);6(i)=an(i)+quad(@f, S,
I3);(i)=bn(i)+quad(@g, S, I3);7(i)=an(i)+quad(@f, I3, I4);(i)=bn(i)+quad(@g, I3,
I4);8(i)=an(i)+quad(@f, I4, I5);(i)=bn(i)+quad(@g, I4, I5);9(i)=an(i)+quad(@f,
I5, 2*L);(i)=bn(i)+quad(@g, I5, 2*L);(i)= an(i)/L;(i)= bn(i)/L;=t;=zeros(1,
length(x));=fn+a0/2;i=1:Ns=i;=fn+an(i)*cos(n*pi*x/L)+bn(i)*sin(n*pi*x/L);(t,y,x,fn,'LineWidth',2),
grid, set(gca,'FontName','Arial Cyr','FontSize',16);
title('График
сигнала и частичной суммы'); xlabel('Время (с)'); ylabel(sprintf('Sn(t)'));
%Построение
амплитудной диаграммы=zeros(1, Ns);
wn=pi/L;=wn:wn:wn*Ns;i=1:Ns(i)=sqrt(an(i).^2+bn(i).^2);(Gn,A,'.'),
grid, set(gca,'FontName','Arial Cyr','FontSize',16);('Амплитудная диаграмма сигнала');
xlabel('n'); ylabel('An');
pause
%Построение
фазовой диаграммы сигнала=zeros(1, Ns);
for
i=1:Ns(an(i)>0)(i)=atan(bn(i)/an(i));((an(i)<0)&&(bn(i))>0)(i)=atan(bn(i)/an(i))+pi;((an(i)<0)&&(bn(i))<0)(i)=pi-atan(bn(i)/an(i));((an(i)==0)&&(bn(i))>0)(i)=pi/2;((an(i)==0)&&(bn(i))<0)(i)=-pi/2;(Gn,Fi,'.'),
grid, set(gca,'FontName','Arial Cyr','FontSize',16);('Фазовая диаграмма сигнала');
xlabel('n'); ylabel('Fi');Figure 1;Figure 2;Figure 3;Figure 4;=0;=input('Закончить
работу-<3>, продолжить - <Enter>');
if
kon==3,=3;
Список литературы
1. Фихтенгольц,
Г.М. Курс дифференциального и интегрального исчисления: в 3 т., М., 1997. 3 т.
. Воднев,
В. Т., Наумович, А. Ф., Наумович, Н. Ф., Основные математические формулы.
Минск, 1998
. Харкевич,
А.А, Спектры и анализ. Москва, 1958
. Лазарев,
Ю. Ф., Начала программирования в среде MatLAB. Киев 2003.
. Демидович,
Б.П. Сборник задач и упражнений по математическому анализу , М., 1988.