Интегрирующий множитель
МИНИСТЕРСТВО ОБРАЗОВАНИЯ РЕСПУБЛИКИ
БЕЛАРУСЬ
Учреждение образования «Мозырский
государственный педагогический университет имени И.П. Шамякина»
Кафедра теоретической физики и
прикладной математики
Курсовая работа
Интегрирующий множитель
Выполнила:
студентка 4 курса 2 группы
физико-математического факультета
дневной формы обучения
Астрейко Натальи Сергеевны
Научный руководитель:
ст. преподаватель, Игнатович С.В.
Мозырь 2014
Содержание:
Введение
Основная часть
Глава 1. Основные
дифференциальные уравнения. Уравнения
в
полных дифференциалах
1.1 Основные понятия теории
обыкновенных дифференциальных уравнений
1.2 Понятие об уравнении в полных дифференциалах
.3 Признак уравнения в полных дифференциалах. Построение
общего интеграла
Глава 2. Интегрирующий множитель. Простейшие случаи
нахождения интегрирующего множителя
.1 Общая теория
.2 Один общий способ нахождения интегрирующего множителя
2.3 Случай интегрирующего
множителя, зависящего только от 
и только
от 
.4 Случай интегрирующего
множителя вида 
.5 Интегрирующий множитель и
особые решения
.6 Интегрирующий множитель
уравнения с разделяющимися переменными
Заключение
Список использованной
литературы
Введение
Обыкновенные дифференциальные уравнения имеют большой теоретический и
практический интерес, являются фундаментом для многих других разделов высшей
математики, например, для уравнений с частными производными, уравнений
математической физики, вариационного исчисления, а также - базой для глубокого
изучения механики, физики и других естественных наук.
Перечислим основные типы обыкновенных дифференциальных уравнений первого
порядка: уравнения с разделяющимися переменными; однородные уравнения; обобщенные
однородные уравнения; линейные дифференциальные уравнения; уравнения Бернулли;
уравнения Риккати; уравнения Якоби; уравнения в полных дифференциалах.
Если дифференциальное уравнение первого порядка не приводится ни к одному
из перечисленных типов, то следует попытаться найти интегрирующий множитель,
чтобы свести его к уравнению в полных дифференциалах.
Интегрирующий
множитель 
- это
такая функция от переменных 
и 
, умножив
на которую, дифференциальное уравнение первого порядка
становится
уравнением в полных дифференциалах:

.
Цель
данной курсовой работы заключается в исследовании интегрирующего множителя и
его свойств.
Для
достижения поставленной цели были определены следующие задачи:
1. изучить основные понятия теории обыкновенные дифференциальные
уравнения;
. рассмотреть уравнения в полных дифференциалах;
. изучить понятие интегрирующего множителя и исследовать общие
сведения о нем;
. рассмотреть простейшие случаи нахождения интегрирующего
множителя.
Объектом курсовой работы являются дифференциальные уравнения первого
порядка в полных дифференциалах.
Предметом исследования является понятие интегрирующего множителя и
простейшие случаи его нахождения.
Данная курсовая работа состоит из введения, двух глав и заключения.
Первая глава содержит сведения о теории обыкновенных дифференциальных
уравнений (рассмотрено ОДУ, даны определения порядку и решению ОДУ), а так же
изучены теоретические сведения об уравнениях в полных дифференциалах (вид
уравнения в полных дифференциалах, его признак и построение общего интеграла).
Роль инетегрирующего множителя для нахождения общего интеграла и его
общие свойства исселедуются во второй главе (теоремы о существовании, о
неединственности и об общем виде интегрирующего множителя). Данная глава так же
содержит один общий способ нахождения интегрирующего множителя, основанный на
использовании его свойств изложенных выше, и простейшие случаи нахождения
интегрирующего множителя (интегрирующий
множитель зависящий только от 
или 
, либо
вида 
и др.).
Глава
1. Основные дифференциальные уравнения. Уравнения в полных дифференциалах
.1 Основные понятия теории
обыкновенных дифференциальных уравнений
Дифференциальным уравнением называется уравнение, содержащее
производные неизвестной функции.
Если в дифференциальном уравнении неизвестная функция
является функцией одной независимой переменной, то оно называется обыкновенным дифференциальным
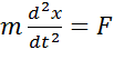
уравнением. Дифференциальное уравнение вида (1.1) представляет пример выше описанного уравнения:

. (1.1)
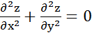
Если же входящая в дифференциальное уравнение неизвестная функция
зависит от нескольких независимых аргументов, то оно называется уравнением
в частных производных. Примером служит уравнение

,
(1.2)
которое содержит неизвестную функцию 
.
Порядком дифференциального уравнения называется наибольший
порядок входящей в уравнение производной. Так дифференциальные уравнения (1.1)
и (1.2) - это уравнения второго порядка.
Решением дифференциального уравнения называется функция, которая
при подстановке в дифференциальное уравнение обращает его в тождество.
Например,
легко проверить, что функция 
является
решение дифференциального уравнения 
. Процесс
решения дифференциального уравнения называется интегрированием уравнения.
Обыкновенное дифференциальное уравнение n-го порядка
можно представить в виде:

(1.3)
Содержит неизвестную переменную 
,
неизвестную функцию 
и её
производные 
, 
, …, 
.
График
решения дифференциального уравнения называется интегральной кривой.
Уравнение
считается проинтегрированным, если его решение найдено в явном виде 
или
определяется неявно уравнением вида 
независимо
от того, удается ли разрешить это уравнение относительно неизвестной функции
или нет. Уравнение 
, которое
определяет решение 
дифференциального
уравнения, называется интегралом этого дифференциального уравнения.
.2 Понятие об уравнении в полных дифференциалах
Рассмотрим такой тип уравнений, которые не всегда допускают
интегрирование в квадратурах. Этот тип, вследствие того, что к нему сводятся
многие другие уравнения, имеет важное значение в теории дифференциальных
уравнений. Речь идет об уравнении в полных дифференциалах. Так называется
уравнение

, (1.4)
левая
часть которого представляет собой полный дифференциал некоторой функции 
от 
и 
, т.е.

. (1.5)
Относительно
функций 
и 
мы будем
предполагать, что они непрерывны по обеим переменным в некоторой области.
Уравнение
в полных дифференциалах можно записать так:

. (1.6)
Поэтому
общий интеграл его имеет вид
При
этом функция 
является
интегралом уравнения (1.4).
Особых
решений уравнение в полных дифференциалах, очевидно, не имеет. Пример 1.
Рассмотрим уравнение

. (1.8)
Левая
часть этого уравнения представляет собой полный дифференциал функции

. (1.9)
Поэтому
общий интеграл рассматриваемого уравнения имеет вид

, или 
. (1.10)
Пример
2. Возьмем уравнение

. (1.11)
Раскроем
скобки и сгруппируем член так, чтобы каждая группа представляла собой полный
дифференциал:

. (1.12)

. (1.13)
Заменяя
сумму дифференциалов на дифференциал суммы, получаем:

, 
. (1.14)
Следовательно,
уравнение (1.11) является уравнением в полных дифференциалах, а равенство

(1.15)
есть
его общий интеграл.
Ясно,
что построение функции 
подобной
группировкой слагаемых возможно лишь в том случае, если заранее известно, что
левая часть уравнения представляет собою полный дифференциал. Но даже тогда
когда это и известно, нам не всегда удается легко поободрать соответствующую
группировку слагаемых.
Поэтому
возникают два вопроса:
)
Как узнать по виду уравнения (1.4), является ли оно уравнение в полных
дифференциалах?
)
В случае положительного ответа на первый вопрос, как построить функцию 
и,
следовательно, общий интеграл уравнения (1.4)?
.3
Признак уравнения в полных дифференциалах. Построение общего интеграла
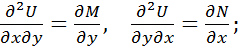
Предположим,
что функции 
и 
имеют
непрерывные частные производные соответственно по 
и по 
. Пусть
левая часть уравнения (1.4) представляет собою полный дифференциал, т.е.

.
Это
равносильно тому, что имеют место тождества

. (1.16)
Дифференцируя
первое из этих тождеств по 
, а
второе по 
,
получаем тождества

(1.17)
левые
части полученных тождеств равны между собой, а тогда равны и правые, т.е.

. (1.18)
Условие
(1.18) является необходимым для того, чтобы левая часть уравнения (1.4) была
полным дифференциалом. Покажем, что это условие является и достаточным.
Действительно,
пусть условие (1.18) выполнено. Покажем, что тогда существует функция 
,
удовлетворяющая соотношению (1.5) или, что то же, обоим равенствам (1.16).
Будем
исходить из первого из равенств (1.16):

. (1.19)
Нетрудно
убедиться, что ему удовлетворяет функция

, (1.20)
где

-
произвольная функция от 
, которую
мы будем считать дифференцируемой и выберем её так, чтобы функция (1.20)
удовлетворяла и второму равенству (1.16), т.е. чтобы

, (1.21)

. (1.22)
Используя
условие (1.18), перепишем это равенство так:

. (1.23)
Выполняя
интегрирование, получаем:


,
откуда

,
следовательно,

, (1.24)
где

- уже произвольная
постоянная. Подставляя найденное выражение функции 
в
формулу (1.20), получаем искомую функцию 
:

, (1.25)
что
и доказывает достаточность условия (1.18). Итак, тождественное выполнение
равенства (1.18) является необходимым и достаточным признаком уравнения в
полных дифференциалах.
Взяв
одну из функций (1.25), например, ту, у которой 
, и
приравняв её произвольной постоянной 
, получим
общий интеграл уравнения (1.4) в следующем виде:

. (1.26)
Если
при построении функции 
брать за
исходное второе из равенств (1.16), то мы получим для общего интеграла
симметричное выражение

. (1.27)
В
формулах (1.26) и (1.27) нижние пределы интегрирования 
и 
можно
выбирать произвольно, но так, чтобы получающиеся интегралы имели смысл. Удачный
выбор 
и 
во
многих случаях облегчает задачу интегрирования уравнения.
Пример
1. Рассмотрим снова уравнение (1.11):

.

, 
, 
, 
, (1.28)
так
что условие (1.18) выполнено. Для получения общего интеграла воспользуемся
формулой (1.26), где положим 
, тогда
получим

. (1.29)
Выполняя
интегрирование, получим общий интеграл опять в виде (12).
Пример
2. Дано уравнение

. (1.30)
Условие
(1.18) выполнено. Применим формулу (1.26), положив 
, 
,
получим:

, 
. (1.31)
(Мы
не можем полагать 
, так как
второй из интегралов оказался бы расходящимся).
Глава
2. Интегрирующий множитель. Простейшие случаи нахождения интегрирующего
множителя
.1 Общая теория
Уравнение
в полных дифференциалах всегда интегрируется в квадратурах. Поэтому естественно
возникает вопрос: нельзя ли уравнение не в полных дифференциалах привести к
виду уравнения в полных дифференциалах? Оказывается, что во многих случаях это
можно сделать. А именно, удается найти функцию 
, после
умножения на которую уравнение
преобразуется
в уравнение

(2.2)
в
полных дифференциалах, т.е.

. (2.3)
Такая
функция 
называется
интегрирующим множителем, а функция 
-
соответствующим ему интегралом уравнения (2.1). Общий интеграл уравнения (2.1)
дается равенством

. (2.4)
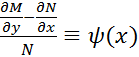
Применяя
признак полного дифференциала к уравнению (2.2), находим, что интегрирующий
множитель 
должен
удовлетворять уравнению

. (2.5)
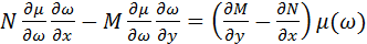
Запишем
это уравнение в развернутом виде:

,

. (2.6)
Это
- уравнение с частными производными с известной функцией 
.
Тем
самым мы выясняли роль интегрирующего множителя для получения уравнения в
полных дифференциалах. Докажем, что при некоторых условиях, гарантирующих
существование общего интеграла существует и интегрирующий множитель.
Теорема
(о существовании интегрирующего множителя). Если уравнение

(2.7)

(2.8)
в
некоторой области 
, не
содержащей внутри себя точек, где 
и 
обращаются
одновременно в нуль, причем функция 
имеет и
интегрирующий множитель.
Действительно,
так как 
есть
общий интеграл уравнения (2.7), то 
в силу
этого уравнения, т.е. мы имеем:

, (2.9)
где

определяется
уравнением (2.7), так что 
и 
удовлетворяют
системе уравнений:

(2.10)
Эта
однородная система имеет ненулевое решение (ибо 
, как
дифференциал независимой переменной произволен). Поэтому

(2.11)

. (2.12)

, 
. (2.13)

, (2.14)
т.е.
левая часть уравнения (2.7) становиться полным дифференциалом после умножения
на функцию 
,
определяемую равенством (2.12). Следовательно, 
есть
интегрирующий множитель уравнения (2.7).
Пример
1. Дано уравнение

. (2.15)
Интегрируя
это линейное уравнение, получаем общий интеграл в виде

. (2.16)
Отсюда,
согласно (2.12):

. (2.17)
С
другой стороны, наше уравнение есть однородное. Поэтому оно имеет интегрирующий
множитель

, (2.18)
а
соответствующим ему общим интегралом будет

. (2.19)
В
рассмотренном примере мы нашли два интегрирующих множителя для одного и того же
уравнения. Кроме того, бросается в глаза связь между найденными интегралами: 
. Эти
свойства «неединственности» интегрирующего множителя и наличия зависимости
между интегралами одного и того же уравнения имеют место и для всякого
уравнения, у которого обеспечено существование общего интеграла.
Теорема
(о неединственности интегрирующего множителя). Если 
есть
интегрирующий множитель уравнения (2.1), а 
соответствующий
ему интеграл, то

, (2.20)
где

- любая
непрерывная функция тоже является интегрирующим множителем уравнения (2.1).
Действительно, умножая левую часть уравнения (2.1) на функцию
(2.20) получаем:

. (2.21)
Левая
часть уравнения стала полным дифференциалом функции 
,
следовательно, функция 
,
определяемая формулой (2.20), есть интегрирующий множитель уравнения (2.1). Так
как функция 
произвольная,
то мы имеем бесчисленное множество интегрирующих множителей.
Возникает
вопрос: содержатся ли все интегрирующие множители в формуле (2.20)?
Заметим,
что так как каждому интегралу уравнения (2.1) соответствует некоторый
интегрирующий множитель и обратно - каждому интегрирующему множителю, по самому
определению, соответствует некоторый интеграл уравнения (2.1), то естественно
ожидать, что зависимость между интегрирующими множителями есть следствие
зависимости между интегралами уравнения (2.1).
Теорема
(об общем виде интегрирующего множителя и её следствие). Два любых
интегрирующих множителя 
и 
уравнения
(2.1): 
, связаны
соотношением (2.20):

.
Пусть

и 
-
интегралы, соответствующие интегрирующим множителям 
и 
, т.е.
имеем равенства:

(2.22)
Деля
второе из этих равенств на первое, получаем:

. (2.23)
Так
как, 
, причем
Ф - непрерывно дифференцируемая функция, то

,
откуда
ясно, что 
и 
связанны
соотношением (2.20). Теперь мы можем утверждать, что все интегрирующие
множители уравнения (2.1) содержатся в формуле (2.20).
Заметим,
что в этой формуле мы можем заменить интеграл 
любым
интегралом 
, ибо
любой интеграл уравнения является функцией от 
, а
функцию 
всё
равно произвольна, так что 
будет
произвольной функцией от 
.
Следствие.
Если 
и 
- два
существенно различных интегрирующих множителя уравнения (2.1), то равенство

(2.24)
является
общим интегралом уравнения (2.1).
В
самом деле, согласно формуле (2.20), мы имеем:

. (2.25)
Равенство

есть общий
интеграл уравнения (2.1), следовательно, и (2.24) есть общий интеграл этого
уравнения.
В
частности, если уравнение (2.1) есть уравнение в полных дифференциалах и
известен интегрирующий множитель 
,
отличный от постоянной, то 
есть
общий интеграл этого уравнения, так как за 
можно
взять 1. Например, если уравнение (2.1):
однородное
и в полных дифференциалах, то его общий интеграл дается равенством

, (2.26)
если
только левая часть этого равенства не обращается тождественно в постоянную
величину.
Пример
2. Дано уравнение

. (2.27)

, 
, поэтому

- общий
интеграл.

. (2.28)
Это
уравнение однородное и в полных дифференциалах. Поэтому 
есть
общий интеграл.
.2
Один общий способ нахождения интегрирующего множителя
Предположим,
что левую часть уравнения

(2.29)
можно
разбить на две группы:

, (2.30)
причем
так, чтобы для каждой группы можно было легко найти интегрирующий множитель.
Пусть 
и 
- эти
множители, а 
и 
-
соответствующие им интегралы. Тогда, согласно (2.20) из п.2.1, все
интегрирующие множители первой группы содержаться в формуле

, (2.31)
а
все интегрирующие множители второй группы - в формуле

. (2.32)
Если
удастся выбрать произвольные функции 
и 
так,
чтобы

(2.33)
(причем
одну из функций 
и 
можно полагать
равной единице), тогда 
будет
интегрирующим множителем всего уравнения (2.29). Заметим, что группы, на
которые мы разбиваем левую часть уравнения (2.29), не обязательно должны быть
полными, т.е. содержать и 
, и 
.
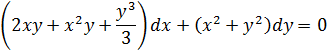
Пример
1. Рассмотрим уравнение

. (2.34)
Разобьем
левую часть на две группы:

. (2.35)
Находим
для каждой группы интегрирующие множители и соответствующие им интегралы:

, 
; 
, 
. (2.36)
Условие
(2.33) принимает вид

. (2.37)
Возьмем

, 
, тогда 
.
Следовательно, 
. Умножая
данное уравнение на найденный интегрирующий множитель и используя формулу
(1.26) из п.1.3, полагая в ней 
, найдем
общий интеграл:

, 
. (2.38)
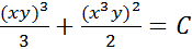
Пример
2. Дано уравнение

. (2.39)
Разобьем
левую часть на две группы:

. (2.40)
Для
первой группы, состоящей из одного слагаемого, очевидно, интегрирующий
множитель равен 1, ибо 
есть
полный дифференциал от 
, общим
решением уравнения 
является

или 
, так что
мы имеем 
, 
. Для
второй группы легко найти интегрирующий множитель, так как соответствующее её
уравнение 
есть
уравнение с разделяющими переменными. Мы имеем здесь 
, 
.
Составим соотношение (2.33). Имеем:

. (2.41)
Чтобы
правая часть была функцией только одного 
, возьмем

. Тогда 
. Умножая
уравнение (2.39) на 
и
используя формулу (1.27) из п.1.3, полагая в ней 
, 
, найдем
общий интеграл:

. (2.42)
.3
Случай интегрирующего множителя, зависящего только от 
и только
от 
Предположим,
что уравнение (2.29) имеет интегрирующий множитель, зависящий только от 
, 
. В этом
случае 
, так что
уравнение

(2.43)
принимает
вид

, (2.44)

. (2.45)
Отсюда
следует, что для существования интегрирующего множителя вида 
необходимо
и достаточно, чтобы коэффициент при 
представлял
собою функцию только от 
, т.е.

. (2.46)
Если
это условие выполняется, то мы имеем:

, (2.47)
следовательно,
функция

(2.48)
является
интегрирующим множителем уравнения (2.29).
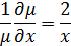
Пример
1. Найдем интегрирующий множитель линейного уравнения

. (2.49)
Перепишем
это уравнение в дифференциальной форме:

.
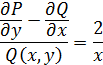
Проверяя
выполнение условия (2.46), имеем:

.
Следовательно,
функция

(2.50)
есть
интегрирующий множитель линейного уравнения.
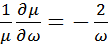
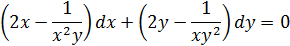
Пример
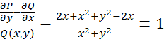
2. Решить уравнение

.
Очевидно,
что данное уравнение не является уравнением в полных дифференциалах. Попытаемся
найти интегрирующий множитель 
.
Поскольку выражение
не
зависит от 
, то
уравнение для определения 
примет
вид
Данное
уравнение является уравнением с разделяющимися переменными одним из решением
которого, является функция 
. Умножая
обе части исходного уравнения на интегрирующий множитель 
,
получаем уравнение в полных дифференциалах:
Интегрируя
его, находим общее решение:
Найдем
условие, при котором интегрирующий множитель зависит только от 
: 
. в этом
случае уравнение (2.43) принимает вид

, (2.51)

. (2.52)
Если
коэффициент при 
является
функцией только от 
, т.е.

, (2.53)
то
интегрирующий множитель дается формулой
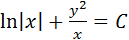
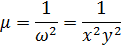
Пример
3. Решить
дифференциальное уравнение

.
А
значит, интегрирующий множитель существует и равен

.
Умножим
исходное уравнение на 
, получим

.
Это
уравнение в полных дифференциалах и оно интегрируется обычным образом.
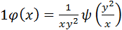
2.4
Случай интегрирующего множителя вида 
Рассмотрим
более общий случай, когда интегрирующий множитель представляет собой функцию от
заданной функции 
переменных

и 
: 
.
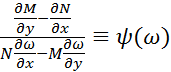
В
этом случае уравнение (2.43) для интегрирующего множителя можно переписать так:

(2.55)

. (2.56)
Если
коэффициент при 
представляет
собою функцию только от 
:

, (2.57)

. (2.58)
Случаи
интегрирующего множителя, зависящего только от 
или
только от 
,
содержаться в рассматриваемом случае при 
, 
.
Пользуясь
условием (2.57), мы можем найти условие существования интегрирующего множителя
наперед заданного вида.
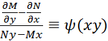
Например,
интегрирующий множитель, зависящий только от произведения 
существует,
если

(здесь 
). (2.59)
Условие
существования интегрирующего множителя, имеющего вид 
,
запишется так:

(
). (2.60)
Пример
1. Решить уравнение 
Очевидно,
найти интегрирующий множитель, зависящий только от одной переменной нельзя.
Будем искать интегрирующий множитель в виде 
.
Пусть
, тогда
уравнение для нахождения 
примет
вид

,
Умножая
обе части исходного уравнения на данный интегрирующий множитель, получаем
уравнение в полных дифференциалах:
Интегрируя
полученное уравнение, находим общее решение:
.5
Интегрирующий множитель и особые решения
Зная
интегрирующий множитель, мы можем найти не только общий интеграл уравнения, но
также и все особые решения. Действительно, пусть дано уравнение (2.29):
и
известно, что 
есть его
интегрирующий множитель, так что

.
Тогда
мы имеем:

. (2.61)
Поэтому
данное уравнение можно переписать так:

. (2.62)
Это
уравнение распадается на два:

. (2.63)
Первое
из них приводит к общему интегралу 
, а
второе может привести к особому решению. Итак, особым решением уравнения может
быть только такое решение, вдоль которого интегрирующий множитель обращается в
бесконечность.
Отсюда
получаем простое правило нахождения особых решений:
)
найти линии, вдоль которых 
обращается
в 
;
)
проверить, являются ли найденные линии интегральными кривыми, т.е. представляют
ли они рения уравнений;
)
проверить, содержится ли найденные решения в общем решении или нет.
Т.е.
из найденных решений, которые не содержаться в общем решении, и будут особыми
решениями. Если окажется, что 
не
обращается в бесконечность (или обращается в бесконечность лишь в отдельных
точках), то уравнение не имеет особых решений. Отсюда, в частности, опять
получаем, что линейное уравнение 
, где 
-
непрерывная функция, не имеет особых решений, так как его интегрирующий
множитель (2.54) не обращается в бесконечность в промежутке непрерывности 
.
Исследуем
при помощи интегрирующего множителя вопрос об особых решениях уравнения с
разделяющими переменными и однородного уравнения.
2.6
Интегрирующий множитель уравнения с разделяющимися переменными
Уравнение
(2.29) называется уравнением с разделяющимися переменными, если функции 
и 
разлагаются
на множители, зависящий каждый только от одной переменной:

. (2.64)
Для
решения данного уравнения необходимо умножить это уравнение на множитель

, (2.65)
после
чего получали уравнение

, (2.66)
каждый
член которого будет зависеть только от одной переменной, очевидно, получено
уравнение в полных дифференциалах.
Следовательно,
множитель (2.65) есть интегрирующий множитель уравнения (2.64).
Из
формулы (2.65) мы видим, что интегрирующий множитель 
обращается
в бесконечность лишь вдоль прямых, параллельных осям координат, определяемых уравнениями

, 
, и,
следовательно, только эти прямые и могут быть особыми решениями.
Заключение
Дифференциальные
уравнения выступают математическими моделями различных явлений механики
сплошной среды, химических реакций, электрических и магнитных явлений и др. Они
представляет собой исключительно богатый содержанием, быстро развивающийся
раздел математики, тесно связанный с другими областями математики и с ее
приложениями.
Дифференциальным уравнением называется уравнение, содержащее
производные неизвестной функции.
Если в дифференциальном уравнении неизвестная функция
является функцией одной независимой переменной, то оно называется обыкновенным дифференциальным
уравнением.
Решением дифференциального
уравнения называется функция, которая при подстановке в дифференциальное
уравнение обращает его в тождество.
Уравнение
в полных дифференциалах является одним из часто встречающихся дифференциальных
уравнений. Данные уравнения всегда интегрируется в квадратурах. Но если
уравнение не в полных дифференциалах, то его можно привести к виду уравнения в
полных дифференциалах. Для это необходимо найти функцию 
, после
умножения на которую исходное уравнение преобразуется в уравнение в полных
дифференциалах. Такая функция 
называется
интегрирующим множителем.
При
соблюдении необходимых условий, гарантирующих существование общего интеграла
существует и интегрирующий множитель (теорема о существовании интегрирующего
множителя).
Общий
интеграл имеет бесчисленное множество интегрирующих множителей. Это свойство
«неединственности» интегрирующего множителя и наличия зависимости между
интегралами одного и того же уравнения имеют место и для всякого уравнения, у
которого обеспечено существование общего интеграла (теорема о неединственности
интегрирующего множителя).
Опираясь
на поставленные задачи, в данной курсовой работе так же были рассмотрены
простейшие случаи нахождения интегрирующего множителя:
. случай
интегрирующего множителя, зависящего только от 
;
. случай
интегрирующего множителя, зависящего только от 
;
. интегрирующий
множитель уравнения с разделяющимися переменными;
. интегрирующий
множитель и особые решения.
Последний исследуемый случай говорит о том, что зная интегрирующий
множитель, можем найти не только общий интеграл уравнения, но также и все
особые решения. Особым решением уравнения может быть только такое решение, вдоль
которого интегрирующий множитель обращается в бесконечность.
интегрирующий множитель
дифференциал
Список использованной литературы
1. Арнольд,
В.И. Обыкновенные дифференциальные уравнения / В.И. Арнольд. - М. : Наука,
1971. - 240 с.
2. Кудрявцев,
Л.Д. Курс математического анализа / Л.Д. Кудрявцев. - М.: Высшая школа, 1981,
т. 1. - 687 с..
. Матвеев,
Н.М. Методы интегрирования обыкновенных дифференциальных уравнений / Н.М.
Матвеев. - СПб : Издательство Ленинградского Университета, 1955. - 650 с.
. Фихтенгольц,
Г.М. Основы математического анализа / Г.М. Фихтенгольц. - Часть 1. 6-е изд.,
стер. - СПб: Издательство «Лань», 2005. - 448с.
. Ильин,
В.А. Высшая математика: учебник для вузов / В.А. Ильин, А.В. Куркина. - М.:
Проспект, 2002. - 592 с.
. Бугров
Я.С. Высшая математика: учебник для вузов: в 3 т. / Я.С. Бугров, С.М.
Никольский; под ред. В.А. Садовничего. - 6-е изд., стереотип. - М.: Дрофа,
2004.
7. Дифференциальные
уравнения первого порядка [Электронный ресурс] / Высшая математика, Александр
Емелин. - М.: 2010-2014. - Рыжим доступа:
<http://mathprofi.ru/differencialnye_uravnenija_primery_reshenii.html>. -
Дата доступа: 02.05.2014.