Алгоритм решения уравнения в полных дифференциалах
Введение
Многие физические законы, которым подчиняются те или иные явления,
записываются в виде математического уравнения, выражающего определенную
зависимость между какими-то величинами. Часто речь идет о соотношении между
величинами, изменяющимися с течением времени, например экономичность двигателя,
измеряемая расстоянием, которое автомашина может проехать на одном литре
горючего, зависит от скорости движения автомашины.
Дифференциальным уравнением называется соотношение между функциями и их
производными. В данной работе рассмотрены уравнения в полных дифференциалах.
Физический смысл этих уравнений в том, что они показывают элементарную работу в
потенциальном силовом поле.
Данная работа несет реферативный характер.
Курсовая работа содержит 4 главы.
В первой описываются основные определения и утверждения, необходимые для
изучения данного вопроса. Во второй главе рассмотрена и доказана теорема
существования и единственности решения.
В третьей главе рассматривается алгоритм решения уравнений в полных дифференциалах
и примеры. В четвертой главе рассматривается интегрирующий множитель и примеры.
1. Основные понятия и определения
дифференциальный уравнение теорема
Определение 1.1
Пусть функция y = f(x) определена в некоторой окрестности точки x0,
(включая саму эту точку). Если существует предел отношения приращения функции
Дy = f(x0 + Дx) − f(x0) к вызвавшему его приращению аргумента Дx, когда
Дx → 0, то этот предел называется производной функции y = f(x) в точке x0
и обозначается символом f '(x0), т.е.

Определение 1.2
Рассмотрим функцию двух переменных n=2; z=f(x,y).
Частной
производной функции z=f(x,y) в точке (x0, y0)
D(у) по соответствующей переменной называется предел
отношения частного приращения функции по этой переменной к приращению этой
переменной, когда приращение переменной стремится к нулю (если этот предел
существует и конечен).
,
.
Определение 1.3
Пусть функция y = f(x) определена в некоторой окрестности точки x0.
Функция f(x) называется дифференцируемой в точке х0, если ее приращение
представимо в виде

x0+
) - f(x0)=A
+o(
,
где
A - число, не зависящее от Дх, а o(Дx) - функция более высокого порядка малости
чем Дx при Дх → 0 .
Определение
1.4
Линейная
часть приращения дифференцируемой функции называется дифференциалом в точке х0
и обозначается символом df(x0), т.е. df(x0)=A
Определение
1.5 Если функция z=f(x;y) дифференцируема в точке P0(x0;y0),
то главная, линейная относительно приращения аргументов, часть ее полного
приращения называется полным дифференциалом функции и обозначается

=df(x0;y0)=
(x0;y0) ∆x+
(x0;y0) ∆y.
Определение 1.6 Общее решение дифференциального уравнения - это
соотношение вида y = y(x,C1,C2,C3,...Cn), зависящее от n произвольных
постоянных.
Определение 1.7 Общий интеграл дифференциального уравнения - это общее
решение, которое имеет неявный вид Ф(x,y,C1,C2,C3,...Cn) = 0.
Определение 1.8 Частный интеграл дифференциального уравнения - это общий
интеграл при заданных значениях постоянных C1,C2,C3,...Cn.
Определение 1.9 Интегральной кривой называется график решения
геометрически неопределенного интеграла (первообразной), представляющего собой
семейство «параллельных» кривых y=F(x)+C, где каждому C соответствует определенная кривая
семейства.
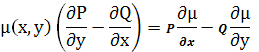
Определение 1.10 Функция µ=µ(x,y)≠0
называется интегрирующим множителем для уравнения P(x,y)dx+Q(x,y)dy=0,
если уравнение
µ(x,y)P(x,y)dx+µ(x,y)Q(x,y)dy=0
является дифференциальным уравнением в полных дифференциалах.
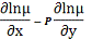
Интегрирующий множитель
удовлетворяет уравнению
Q
=
. Если 
(не
зависит от y), то 
.
Аналогично, если 
(не
зависит от x), то 
Теорема 1.1 Пусть функция F(u, х,
у) дифференцируема в некоторой, окрестности точки M0(u0,
х0, у0) пространства R, причем частная производная
непрерывна в точке M0. Тогда, если
в точке M0 функция F обращается в нуль, а частная производная
не обращается в нуль, то для любого достаточно малого
положительного числа е, найдется такая окрестность точки M0’(х0,
у0) пространства R', что в пределах этой окрестности существует единственная
функция u = ц(х, у), которая удовлетворяет условию | u - u0 |
< е и является решением уравнения F( х, у,u) = 0, причем
эта функция u = ц(х, у) непрерывна и дифференцируема в указанной
окрестности точки M0’.
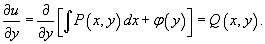
2. Уравнения в полных дифференциалах
Определение 2.1 Дифференциальное уравнение вида
P(x,y)dx+Q(x,y)dy=0
называется уравнением в полных дифференциалах, если существует такая
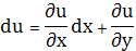
функция двух переменных u(x,y) с непрерывными частными производными, что
справедливо выражение
du(x,y)=P(x,y)dx+Q(x,y)dy.
Общее решение уравнения в полных дифференциалах определяется формулой
u(x, y)=C,
где C − произвольная постоянная.
Теорема
2.1 Чтобы дифференциальное выражение 
, где
функции P и Q определены и непрерывны в области D плоскости XOY и
имеют в ней непрерывные частные производные, представляло полный дифференциал
некоторой функции u (х, у), необходимо и достаточно, чтобы во всех точках
области D было выполнено условие

Доказательство.
Необходимость.
Пусть существует функция u (х, у) такая, что выполняется равенство P(x,y)dx+Q(x,y)dy=0
Докажем,
что тогда выполняется и равенство

.
По
определению полного дифференциала

dy,
но
тогда из P(x,y)dx+Q(x,y)dy=0 следует, что

, 
Q(x,y)
Дифференцируем
обе части этих равенств:

, 
,
следовательно

Поскольку
смешанные производные равны, необходимость доказана.
Достаточность.
Пусть равенство 
выполняется.
Надо доказать, что и P(x,y)dx+Q(x,y)dy=0 в этом случае справедливо, то есть выполняется
соотношение

dx + 
.
Таким
образом, задача сводится к отысканию функции u (х, у), частные производные
которой подчинялись бы равенствам

и 
Q(x,y).
Найдём
эту функцию. Проинтегрируем уравнение 
, записав
решение в виде:
U(x, y) =
где
(x0, y0) принадлежит D,
ц(y) -
произвольная функция аргумента у, заменяющая произвольную постоянную, поскольку
интегрирование произведено по х, в предположении, что у = c o n s t (то есть у
сохраняет неизменное значение).
Определим
функцию ц(y) так, чтобы удовлетворялось и равенство

Q(x,y).
Продифференцируем
функцию
U(x, y) =
по
у:

=
Используя
теорему о дифференцировании интеграла с переменным верхним пределом и равенство
запишем:
Q(x,y)=
.
Применяя
соотношение

,
получаем:

.
Вычислим
последний интеграл:

-Q(x0, y),
а,
значит,

следовательно

Подставляя
ц(y) в U(x, y) =
,
получаем окончательно:
U(x,y)=
,
c=const.
Теорема
2.3 Пусть в прямоугольнике M: a<x<b, c<y<d
Функции
P(x,y) и Q(x,y) непрерывны вместе с их частными производными

и 
,
причем
всюду в M выполняется условие 
и Q(x,y) не
обращается в нуль. Тогда через каждую точку (x0,y0)
прямоугольника M проходит одна и только одна интегральная линия
уравнения
P(x,y)dx+Q(x,y)dy=0.
Доказательство.
Как
было только что указано, в прямоугольнике M существует
функция z(x,y), полный дифференциал которой равен левой части
P(x,y)dx+Q(x,y)dy=0.
Но
так как Q
0, то
уравнение
P(x,y)dx+Q(x,y)dy=0
можно
переписать в эквивалентом виде:
P(x,y)+Q(x,y)y’=0
или
с учетом равенств

, Q
так: 
Поэтому
функция y(x) является решением уравнения
P(x,y)dx+Q(x,y)dy=0
тогда
и только тогда, когда z(x,y(x))≡C
Этому
уравнению, если C≠z(x0,y0), не может удовлетворять линия, проходящая через
точку (x0,y0). Если же C=z(x0,y0),
то из теоремы о неявной функции следует, что уравнение z(x,y(x))≡C
определяет линию, проходящую через точку (x0,y0),
и притом только одну. Теорема доказана.
Лемма
2.1 Всякая непрерывная на множестве

функция
f(x,y) равномерно непрерывна по x на [x0-
, x0 +
и по y на
[y0-
, y0 +
.
Лемма
2.2 Если последовательность непрерывных на [
функций yn(x)
равномерно на [
сходится
к функции y(x), то функция y(x) также непрерывна на [
.
Лемма
2.3 Если функция f(x,y) равномерно непрерывна в G и последовательность {yn(x)}
равномерно сходится к y(x) на , то последовательность f[x,yn(x)] равномерно
сходится к f[x,y(x)] на [x0-
, x0 +
.
Лемма
2.4 Если функция f(x,y) равномерно непрерывна в G и

(x)=y(x)
равномерно на [x0-
, x0 +
, то

для 
x0, x
[x0-
, x0 +
.
Теорема
2.4 Пусть функция f(x,y) непрерывна на множестве
и
удовлетворяет условию Липшица по y. Пусть М является верхней границей для 
на G, а 
. Тогда
задача Коши y’=f(x, y), y(x0)=y0 имеет на отрезке [x0 -
, x0 +
]
единственное решение.
Доказательство.
Прежде
всего покажем, что задача Коши эквивалентна интегральному уравнению
y(x)=y0+ 
В
самом деле, пусть дифференцируемая функция y(x) является решением интегрального
уравнения
y(x)=y0+ 
.
Тогда,
очевидно, y(x0)=y0. Дифференцируя
y(x)=y0+ 
, получим

.
Обратно,
пусть y(x) является решением задачи Коши
y’=f(x, y), y(x0)=y0 на
[x0,x].
Интегрируя
это тождество, получим

,
следовательно
y(x)=y0+
и
y(x) является решением уравнения
y(x)=y0+ 
.
Поставим
своей целью определение интегральной кривой, выходящей из точки (x0, y0) и
идущей в сторону возрастания x>x0. Для x<x0
рассуждения могут быть проведены аналогично.
Выбор

естественен.
Действительно, с одной стороны является необходимым требование 
. С
другой стороны, требование 
обусловлено
тем, что если y=y(x) есть решение задачи Коши на [x0,x0+
, то из
условия 
следует,
что |y(x)-y0 |
(x-x0),
а эта граница не превосходит b только при . x- x0
Применим
метод последовательных приближений. В качестве нулевого приближения решения на [x0,
x0+
] возьмем
y(x)
y0. y1(x)=y0+
Предположим,
что yk(x) определено на [x0, x0 +
,
непрерывно и удовлетворяет неравенству
|yk(x)-y0 |
, k=0,1,..,n.
Положим
yn+1(x)=y0+
.
Так
как функция f[x, yn(x)]определена и непрерывна на [x0, x0+
], то же
самое верно и для yn+1(x).
Ясно
также, что

.
Следовательно,
все функции y1(x), y2(x),… определены и непрерывны на [x0,
Докажем
по индукции, что
(2.1n)
=0,1,…,
где L - постоянная Липшица для
. Ясно,
что (2.10) верно. Предположим, что верны соотношения (2.11), (2.12) ,…,
(2.1n-1).
Из
yn+1(x)=y0+
при
n
получим
Рассмотрим ряды
Второй из этих рядов, как известно, сходится и в силу (2.1n)
является мажорирующим для первого. В свою очередь третий ряд мажорирует второй.
Поэтому первый ряд сходится равномерно. Но его частичные суммы:
Sn+1(x)=y0+y1-y0+…+yn-yn-1=yn(x).
Значит
последовательность Sn+1(x)=yn(x) сходится равномерно при
к некоторой функции y(x). Функция y(x) по лемме (2.2)
непрерывна на [x0, x0+
]. По
леммам (2.1) и (2.3) функции f[x, yn(x)] равномерно стремятся к f[x, y(x)].
По лемме (2.4) в равенстве
yn+1(x)=y0+
можно
перейти к пределу под знаком интеграла, и мы получим
y(x)=y0+
.
Итак,
y(x) - решение задачи Коши на [x0, x0+
].
Докажем
его единственность. Пусть y=z(x) - какое-либо решение задачи Коши на
[x0, x0+
]. z(x)=y0+
Используя
индукцию, докажем оценку

, x0
(2.2)
Из
yn+1(x)=y0+
и z(x)=y0+
следует
Переходя
в (2.2) к пределу при n
,
получаем
|y(x) - z(x)

Теорема
доказана.
3. Алгоритм решения уравнения в полных дифференциалах
1. Сначала убедимся, что дифференциальное уравнение является
уравнением в полных дифференциалах, используя необходимое и достаточное
условие:
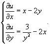
2. Затем запишем систему двух дифференциальных уравнений, которые
определяют функцию u(x,y):
3. Интегрируем первое уравнение по переменной x. Вместо постоянной
C запишем неизвестную функцию, зависящую от y:
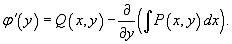
4. Дифференцируя по переменной y, подставим функцию u(x,y) во
второе уравнение:
Отсюда получаем выражение для производной неизвестной функции ц(y):
5. Интегрируя последнее выражение, находим функцию ц(y) и,
следовательно, функцию u(x,y):
6. Общее решение уравнения в полных дифференциалах записывается в
виде:
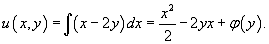
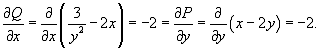
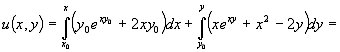
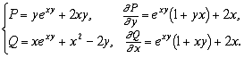
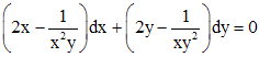
Пример 3.7 Найти общий интеграл уравнения
(yexy+2xy)dx+(xexy+x2-2y)dy=0.
Решение
Проверим равенство частных производных, предположив
, где
,
;
Имеем уравнение в полных дифференциалах.
Ищем функцию
u
(х, у)=
(при
интегрировании второго слагаемого предполагаем х = const ):
+
,
, где
.
Нашли
общий интеграл дифференциального уравнения

.
4. Интегрирующий множитель
Конечно, не всякое дифференциальное уравнение вида
P(x,y)dx+Q(x,y)dy=0
является уравнением в полных дифференциалах. Теоретически всегда можно
привести его к уравнению такого типа умножением на некоторую не равную нулю
функцию
, называемую интегрирующим
множителем. Но не всегда легко найти такую функцию.
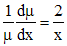
Если
интегрирующий множитель уравнения
P(x,y)dx+Q(x,y)dy=0,
уравнение

является
уравнением в полных дифференциалах, т.е. интегрирующий множитель есть решение
уравнения

.
Найти
функцию
из уравнения

в
общем случае довольно сложно. В частных случаях соотношение

значительно
упрощается.
Теорема
4.1 Если уравнение
имеет
общий интеграл
U(x, y)=C,
где U есть интеграл уравнения
P(x,y)dx+Q(x,y)dy=0
в
рассматриваемой области, имеющий непрерывные частные производные второго
порядка, то это уравнение имеет интегрирующий множитель.
Доказательство.
Действительно,
так как U(x,y) есть интеграл уравнения P(x,y)dx+Q(x,y)dy=0,
то dU=0 в силу этого уравнения, т.е.

где
dy определяется уравнением P(x,y)dx+Q(x,y)dy=0,
так как dx и dy удовлетворяют системе уравнений:

(4.1)
Это
однородная линейная система имеет ненулевое решение ( ибо dx,
как дифференциал независимой переменной, произволен). Поэтому справедливо
тождество

(4.2)
или

(4.3)
Поэтому

т.
е. левая часть уравнения
P(x,y)dx+Q(x,y)dy=0
становится
полным дифференциалом после умножения на функцию 
,
определяемую равенством (4.3). Следовательно, 
есть
интегрирующий множитель уравнения
P(x,y)dx+Q(x,y)dy=0.
Случай
1. Если уравнение
P(x,y)dx+Q(x,y)dy=0
имеет
интегрирующий множитель, зависящий только от x, т.е.
, то имеем
.
Случай
2. Если уравнение
P(x,y)dx+Q(x,y)dy=0
допускает
интегрирующий множитель как функцию одной переменной y, т.е.
, то
.
Случай
3. Если уравнение
P(x,y)dx+Q(x,y)dy=0
имеет
интегрирующий множитель вида
, где
- известная функция, то
.
Пример
4.1. Решить уравнение
.
Решение
Очевидно,
что данное уравнение не является уравнением в полных дифференциалах. Попытаемся
найти интегрирующий множитель
.
Поскольку выражение
не
зависит от y, то уравнение для определения
примет вид
.
Данное
уравнение является уравнением с разделяющимися переменными одним из решением
которого, является функция
. Умножая
обе части исходного уравнения на интегрирующий множитель
, получаем уравнение в полных дифференциалах:
.
Интегрируя
его, находим общее решение:
.
Пример
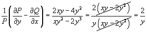
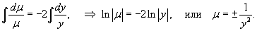
4.2 Решить уравнение (xy2 − 2y3)dx + (3 − 2xy2)dy = 0.
Решение
Данное
уравнение не является уравнением в полных дифференциалах, поскольку
Попробуем
определить его общее решение, используя интегрирующий множитель. Вычислим
разность
Заметим,
что выражение
зависит
только от y. Поэтому, интегрирующий множитель µ также будет функцией одной
переменной y. Мы можем найти его из уравнения
Интегрируя,
находим:
Выбирая
в качестве интегрирующего множителя и затем умножая на
него исходное дифференциальное уравнение, получаем уравнение в полных
дифференциалах:
В
самом деле, теперь видно, что
Отметим,
что при умножении на интегрирующий множитель мы потеряли решение y = 0. Это
можно доказать прямой подстановкой решения y = 0 в исходное дифференциальное
уравнение.
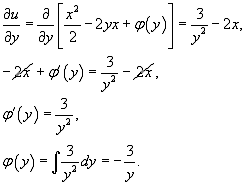
Теперь
найдем функцию u из системы уравнений:
Из
первого уравнения следует, что
Из
второго уравнения находим:
Таким
образом, заданное дифференциальное уравнение имеет следующие решения:
где
C − произвольная постоянная.
Пример
4.3 Решить уравнение
.
Решение
,
интегрируя,
которое находим
.
Умножая
обе части исходного уравнения на данный интегрирующий множитель, получаем
уравнение в полных дифференциалах:
.
Интегрируя
полученное уравнение, находим общее решение:
.
Теорема
4.2 Если
- интегрирующий множитель уравнения вида (1), а
функция
такая, что 
.
Тогда
, где
-
произвольная дифференцируемая функция, также будет интегрирующим множителем
того же уравнения.
Это
свойство интегрирующего множителя позволяет во многих случаях находить его
методом разбиения данного уравнения на две части.
Доказательство.
Пусть
- общие интегралы и интегрирующие множители
соответственно для уравнений
.
Тогда,
в силу приведенной выше теоремы, функции
являются
интегрирующими множителями для первого и второго уравнения соответственно. Если
удастся подобрать функции ц1 и ц2 так, чтобы выполнялось равенство
,
то
интегрирующим множителем для уравнения
,
очевидно,
является функция
.
Список использованных источников
1. Фихтенгольц Г.М. Курс дифференциального и интегрального
исчисления. М.: Физматлит, 1962.
2. Кудрявцев Л.Д. Курс математического анализа. М.:
Дрофа, 2003.
. Понтрягин Л.С. Обыкновенные дифференциальные
уравнения. М.: Наука, 1974.
. Петровский И.Г. Лекции по теории обыкновенных
дифференциальных уравнений. М.: Издательство Московского Университета, 1984.