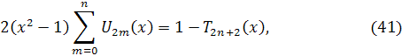
Ортогональные многочлены. Многочлены Чебышева
ВВЕДЕНИЕ
Моя работа носит название «Ортогональные
многочлены. Многочлены Чебышева». Соответственно, она состоит из 2-х частей.
Первая - ортогональные многочлены - обширнее другой. В ней дано определение
системам ортогональных функций (многочленов), рассказано про ортонормированную
систему, также изложены общие свойства ортогональных многочленов, экстремальные
их свойства, дана для них Рекуррентная формула, формула Кристоффеля - Дарбу,
говорю об элементарных свойствах нулей, их плотности, расстоянии между последовательными
нулями, изменении их в зависимости от параметра.
Вторая часть - многочлены Чебышева содержит их
определение первого и второго рода, рассказывает о нулях и об уклонении от нуля
многочленов Чебышева первого рода.
Целью работы является изучение данной темы,
изложенной в курсовой работе.
многочлен
чебышев ортогональная функция
ЧАСТЬ 1.ОРТОГОНАЛЬНЫЕ МНОГОЧЛЕНЫ
1. Системы ортогональных функций
Пусть задан отрезок 
и на нем неотрицательная весовая
функция 
. Мы можем сопоставить тогда им
скалярное произведение

(1)
которое определено для функций 
таких, что 
имеет интегрируемый квадрат на
. Более общее скалярное произведение
можно определить с помощью интеграла Стилтьеса

(2)
где 
- неубывающая функция. Если функция

абсолютно непрерывна, то (2)
сводится к (1), где
. С другой стороны, если 
. является функцией скачков, то есть
если она кусочно постоянна и имеет скачки величины 
в точках
, то интеграл (2) сводится к сумме

(3)
которая задает скалярное
произведение функций дискретного переменного.
Приведенное выше определение
относится к вещественным функциям вещественного переменного, и на протяжении
этой работы ограничимся лишь этим случаем. Если рассматриваемые функции
принимают комплексные значения либо если область интегрирования является дугой
в комплексной плоскости, отличной от отрезка вещественной оси, то функцию 
во всех указанных определениях и
надо заменить комплексно сопряженным выражением.
Мы ограничимся определением (1) и
будем предполагать, кроме того, что функция
почти всюду положительна и
интегрируема. Следует, однако, отметить, что многие из результатов вводных
пунктов сохраняют силу и при определении (2), а следовательно и (3) для
скалярного произведения.
Две функции называются ортогональными,
если их скалярное произведение равно нулю.
Семейство функций называют ортогональной
системой на отрезке 
относительно веса 
(или распределения 
), если для любых двух различных
элементов этого семейства имеем
. Так как пространство функций с
интегрируемым квадратом сепарабельно, то ортогональная система может содержать
либо конечное число функций, либо счетное множество элементов. Таким образом,
любая ортогональная система может быть записана в виде (конечной или
бесконечной) последовательности 
либо, более краткo 
, а свойство ортогональности может
быть выражено следующим образом:
Мы будем предполагать, что система 
, не содержит функций, почти всюду
равных нулю, то есть что при всех 
скалярное произведение
положительно. Легко видеть, что
функции, принадлежащие любому конечному подмножеству ортогональной системы,
линейно независимы, то есть что соотношение вида

(5)
может выполняться почти всюду на
отрезке 
лишь в случае, когда 
. (Достаточно скалярно умножить обе
части равенствa
на
при 
.)
Функции 
образуют ортонормированную систему,
если

(6)
Каждую ортогональную систему можно
нормировать, заменив 
на
Конечную или бесконечную
последовательность 
линейно независимых функций можно ортогонализовать
относительно скалярного произведения (2), заменяя каждую из функций
соответствующей линейной комбинацией. Например, мы можем положить рекуррентно
……………………………
Если положить
то функции 
образуют ортогональную
последовательность.
Эту задачу можно решить иначе
положив

(9)
и определив коэффициенты 
так, чтобы 
образовали ортогональную систему.
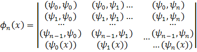
Одно из таких определений приводит к

(10)
Очевидно, что функции 
образуют ортогональную систему,
поскольку функция (10) ортогональна функциям 
а следовательно, функциям 
при всех 
. Кроме того, любая ортогональная
система вида (9) отличается от 
лишь постоянными множителями. Для
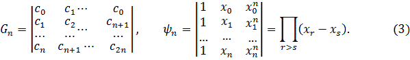
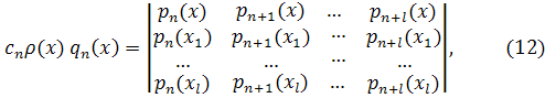
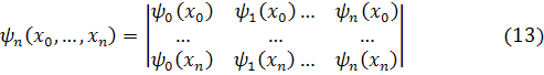
того чтобы нормировать систему (9), введем определитель Грама 
, который является алгебраическим
дополнением функции 
в выражении (10) для 
. Определитель 
является в то же время
дискриминантом положительно определенной квадратичной формы
относительно 
и, следовательно, положителен. Мы
положим также 
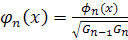
Оргонормированная система вида (9),
для которой
, однозначно определяется формулой

(11)
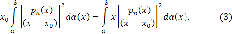
Далее можно установить следующее интегральное
представление:

(12)
где интеграл является n-кратным
интегралом по параллелепипеду
В этой главе мы будем рассматривать
системы функций, получаемые ортогонализацией но формулам (9) функций 
.
Таким образом, мы получим
последовательность ортогональных многочленов 
, где 
является многочленом от x, степень
которого в точности равна k, и 
Задание отрезка и весовой функции
(или распределения) определяет систему ортогональных многочленов с точностью до
произвольного постоянного множителя для каждого 
Путем выбора этого множителя можно
привести систему к одной из стандартных форм. Чаще всего встречаются следующие
три дополнительных ограничения:
. Функции 
образуют ортонормнрованную систему,
причем коэффициент при 
в
положителен.
. Коэффициент при 
в
принимает предписанное значение,
обычно равное единице.
. Для заданного значения 
(например, 
) 
имеет заданное значение.
2. Общие свойства ортогональных
многочленов.
Весовая функция 
на отрезке 
однозначно определяет систему
ортогональных многочленов
с точностью до постоянного
множителя для каждого многочлена. Числа
являются моментами весовой
функции, и при 
имеем

(2)
В обозначениях п.1 имеем.
Если обозначить (неопределенный) коэффициент
при 
в 
через 
, то
Так как функции
ортогональны
, то
Для нормированных многочленов
коэффициент 
имеет вид

*,
Любой многочлен степени 
является линейной комбинацией
многочленов 
и, следовательно, ортогонален к 
.
· Это приводит к простому доказательству следующей
теоремы о нулях ортогональных многочленов: все нули 
являются простыми и расположены
внутри отрезка 
.
В самом деле, если 
меняет знак на отрезке 
лишь в
точках, то мы можем построить
многочлен 
такой, что 
на отрезке 
. Но это противоречит тому, что
.
· Можно показать также, что между двумя
последовательными нулями функции
расположен в точности один нуль
функции 
и по крайней мере один нуль 
, для которого 
.
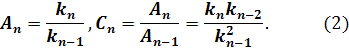
· Любые три последовательных
многочлена связаны линейным соотношением. Мы будем использовать
следующие обозначения 
- коэффициент при
, а
- коэффициент при 
в 

.
· Мы докажем, что имеет место рекуррентная
формула

(7)
где
Для того чтобы доказать формулу (7),
заметим, что при значении (8) для 
выражение 
является многочленом, степень
которого равна или меньше чем 
и, следовательно, этот многочлен
имеет вид
Из ортогональности семейства
получаем, что
, и потому
Но
является многочленом, степень
которого не превосходит 
, и, следовательно,
или 
Наконец, сравнивая коэффициенты при

в обеих частях равенства (7), получаем
значения для 
. Рекуррентная формула (7) остается
справедливой для 
, если положить

(9)
· Отметим, что, и обратно, система многочленов,
удовлетворяющая рекуррентному соотношению (7) с положительными 
и 
, образует ортогональную систему.
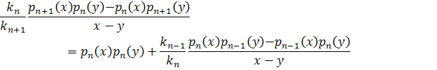
· Из (7) легко получить формулу Кристоффеля - Дapбy
и, переходя к пределу, когда 
, получим
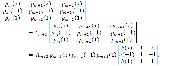
· Пусть
- система ортогональных многочленов
с весовой функцией 
, и пусть
- многочлен степени 
, неотрицательный на отрезке 
и имеющий простые нули в точках
. Ортогональные многочлены 
, соответствующие весовой функции 
, задаются формулой Кристоффеля
а которой 
являются произвольными постоянными
множителями. Если некоторые из нулей функции
являются кратными, то формулу (12)
надо заменить вырожденной.
Ортогональные многочлены обладают
некоторыми важными экстремальными свойствами.
ü Первое из них:
интеграл
в котором через 
обозначен любой многочлен степени 
со старшим членом 
, принимает минимальное значение
тогда и только тогда, когда 
, где 
- постоянная величина, такaя, что
ü Второе свойство связано с
многочленами
которые определены для комплексных 
- комплексно сопряженное 
). Отметим, что для конечных
значений
, таких, что 
многочлены 
ортогональны относительно веса
(см. (10) и (11)). Упомянутое
экстремальное свойство может быть сформулировано следующим образом.
Пусть 
является любым многочленом степени 
с комплексными коэффициентами,
таким, что интеграл (13) равен единице. Для любого фиксированного (возможно,
комплексного) значения 
максимум 
достигается тогда и только тогда,
когда
Этот максимум равен 
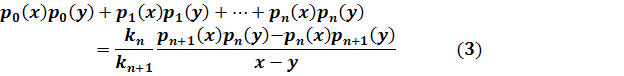
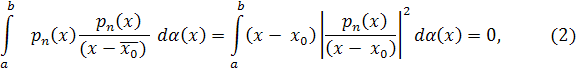
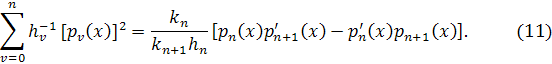
3. Рекуррентная формула; формуа
Кристоффеля - Дарбу.
Т е о р е м а.1. Справедливо
следующее соотношение между любыми тремя последовательными ортогональными
многочленами:

(1)
Здесь 

- постоянные, причем 
> 0 и 
> 0. Если старший коэффициент
многочлена
обозначим через
,то будем иметь
Для доказательства определим прежде
всего число 
по условию, чтобы многочлен
был 
. Этот многочлен может быть записан
в виде линейной комбинации
. В силу ортогональности ясно, что 
при 
, откуда вытекает (1). Первое из
равенств (2) является следствием (1), второе вытекает из равенства:
Так как интеграл правой части равен
Формула (1) будет справедлива и при
, если мы положим 
, причем
, очевидно, может быть любым. Тогда
будет верна и первая из формул (2) при
oтносительно теоремы, обратной к
теореме 1.
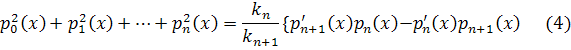
Т е о р е м а 2. Имеет
место соотношение
В частном случае 
. Это важное тождество легко может
быть выведено из рекуррентной формулы. Действительно,
Учитывая (2), отсюда получаем
тождество
которое справедливо и для 
, причем ясно, что 
может быть взято
произвольным. Заменяя n через
0,1,2,…,n и
складывая, получаем (3).
Отметим частный случай, когда
:
4.Элементарные свойства нулей
ü Т е о р е м а .1. Нули ортогональных
многочленов
, соответствующих распределению 
на отрезке
, являются вещественными и простыми
и расположены внутри промежутка
.
В специальных случаях, в частности в
классических случаях, мы получим в дальнейшем более точные сведения
относительно распределения нулей. В качестве следствия из теоремы 1 имеем
, где 
и 
- соответственно наименьший и
наибольший нули многочлена
.
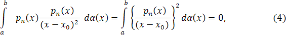
Обычное доказательство предыдущей
теоремы основано на свойстве ортогональности. Из равенства
вытекает, что внутри промежутка
лежит по крайней мере один нуль
, в котором
меняет знак. (Функция 
имеет бесконечное число точек
роста). Если
-абсциссы всех таких нулей, то
произведение
имеет постоянный знак (т. е.
неотрицательно или неположительно на всем отрезке
). С другой стороны, если 
, то
Так как подынтегральное выражение не
является нулевой функцией, то
; следовательно,
Предыдущее рассуждение может быть
несколько видоизменено следующим образом. Пусть -
произвольный нуль многочлена
Поскольку коэффициенты
вещественны, то 
есть 
C другой
стороны, имеем
Следовательно,

Если бы точка 
была кратным нулем, то мы имели бы
что приводит к противоречию.
Вещественность и простота нулей (без
более подробного утверждения об их расположении на отрезке
могут быть установлены из
рекуррентной формулы с помощью теоремы Штурма. В самом деле,многочлены
образуют последовательность Штурма
на отрезке 
, так как:
а) если
того, что 
;
б)
- постоянная 
, 
- многочлен точной степени 
;
в) в точке
, в которой
, мы имеем
. Последний факт следует из (3.2.4),
если заменить 
через 
, а 
через 
, (см. ниже). Далее, число изменений
знака и (5) равно 
, если 
, и 
достаточно велик; оно равно нулю,
если 
, и достаточно велико.
Из (3.2.4) мы получаем при
вещественных 
важное неравенство:
В качестве первого следствия из него
отметим, что многочлены 
не могут иметь общих нулей. Более
того, мы получаем следующую теорему о взаимном разделении нулей:
ü Т е о р е м а 2. Пусть 
нули многочлена
. Тогда каждый промежуток
содержит один и только один нуль
многочлена
.
Действительно, если 
, - два последовательных нуля
многочлена
, то
. С другой стороны, (6) дает 

, следовательно
. Это означает, что в промежутке 
, лежит нечетное число нулей
многочлена 
значит, по крайней мере один. Пусть

- наибольший из нулей 
тогда 
и (6) дает 
. Так как 
>0 имеет по крайней мере один
пуль справа от точки
, и аналогично хотя бы один нуль
слева от наименьшего нуля
многочлена
.Следовательно, мы можем иметь лишь
по одному нулю в промежутках между 
. Меняя ролями 
можем показать, что между двумя
последовательными нулями многочлена 
лежит по крайней мере один нуль
. Это показывает снова, что между
двумя нулями многочлена
нe может
лежать более одного нуля многочлена 
.
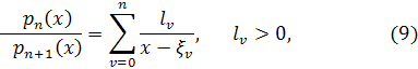
ü Теорема 3. Между двумя нулями
многочлена 
лежит по крайней мере один нуль
многочлена 
.
Пусть 
- нули многочлена 
, записанные в возрастающем порядке.
Мы имеем
где 
- числа Кристоффеля, соответствующие
последовательности , a 
a 
- произвольный 
. Далее, рассуждение, подобное
приведенному выше, показывает, что последовательность
имеет не менее чем 
перемен знака, следовательно, в
точности 
. При этом
. Стало быть, имеется 
различных интервалов
содержащих точно по одному нулю
многочлена 
.
Другими следствиями неравенства (6)
являются два следующих предложения:
ü Теорема 4. Пусть с - произвольная
вещественная постоянная. Тогда многочлен
Имеет 
различных нулей. Если с>0
(с<0),то эти нули лежат внутри промежутка
, за исключением большего
(соответственно меньшего), который лежит на отрезке 
только при условии
(соответственно 
).
Действительно, функция
возрастает от 
до
в промежутке 
где
.
ü Теорема 5.
Справедливо следующее разложение на элементарные дроби:
где 
- нули многочлена. В самом деле, мы
имеем
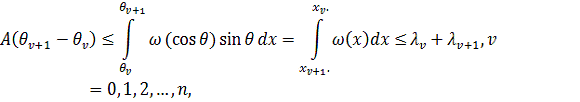
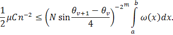
5.Плотность нулей
ü Т е о р е м а 1. Пусть 
распределение, заданное на конечном
отрезке 
, и пусть 
- соответствующая ортонормальная
последовательность многочленов.
Пусть 
- такая часть отрезка 
, что
Тогда, если 
достаточно велико, то всякий
многочлен имеет на отрезке 
хоть один нуль.
Для доказательства мы применим
формулу механической квадратуры Гаусса- Якоби. Пусть 
- произвольный 
, который не превосходит нуля на
отрезке 
, за возможным исключением отрезка
. Допуская, что многочлен 
не имеет нулей 
, и полагая
, получим
Отсюда на основании теоремы
Вейерштрасса следует, что
для всякой непрерывной на отрезке 
функции, которая на всем отрезке, за
возможным исключением отрезка
, не превосходит нуля. Если мы
определим функцию 
следующим образом:
то придем к противоречию.
ü Т е о р е м а 2. Теорема 1
этого пункта работы остается справедливой и для бесконечного интервала 
, если только больший по модулю нуль
многочлена 
есть величина 
.
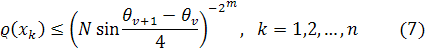
Это замечание принадлежит Хану(он
утверждает, не дав удовлетворительного доказательства, что если 
или 
конечно, то нижеследующее
доказательтво проходит при 
). Если мы положим
то из нашего предположения вытекает,
что
. Выберем теперь многочлен
где 
многочлен Чебышева. Если мы затем
предположим, что отрезок 
не содержит нулей, то будем иметь
следовательно,
. Из зтого вытекает, что
Но многочлен 
монотонно возрастает при
, так что
при
; поэтому на отрезке 
мы имеем
где 
- положительная постоянная, не
зависящая от 
. Отсюда следует, что
, что противоречит допущению
теоремы.
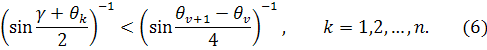
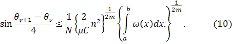
6. Расстояние между
последовательными нулями
Здесь и в дальнейших пунктах
рассматриваются распределения вида 
Т е о р е м а 1. Пусть 
- весовая функция на конечном отрезке

ограниченная снизу положительным
числом: 
Пусть 
- записанные в убывающем порядке
нули (разумеется, каждое 
зависит от 
и 
) соответствующего ортонормального
многочлена 
. Записывая и виде
будем иметь
Здесь константа 
зависит только от
. Эрдёш и Туран (письменное
сообщение) предполагают существование интеграла
вместо условия 
. Их доказательство основано на
изучении распределения узлов интерполирования, для которых
соответствующие фундаментальные многочлены удовлетворяют некоторым условиям.
Следующее доказательство для
частного случая 
проведено Ленжиелем, который
исключил из доказательства Эрдёша и Турана ссылки на теорию интерполирования.
Пусть 
целое число,
а
. Определим многочлен
равенством
где 
- некоторые целые положительные
числа.
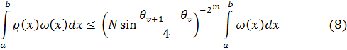
откуда при всех значениях 
вытекают неравенства
следовательно,
То же самое неравенство, но со
знаком 
вместо знака <, справедливо для 
, так как 
. Таким образом,
получаем
С другой стороны, значение 
при 
не меньше, чем 
, следовательно, если мы положим
, то получим
где 
- положительная постоянная,
зависящая только от 
и 
. Сравнивая (8) и (9):
Или
Подставляя
, мы видим,что условие 
удовлетворено для больших значений
(2) немедленно вытекает.
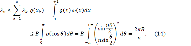
Отметим следующий простой результат:
ü Т е о р е м а 2. Пусть 
весовая функция на отрезке 
. такая, что
где А и B -
положительные постоянные. Если 
-записанные а убывающем порядке нули
ортонормаль-
ного многочлена
, соответствующего весовой функции 
, то
Это замечание такжe принадлежит
Эрдёшу и Турану (письменное сообщение). Обозначим через 
коэффициент Кристоффеля,
соответствующий точке 
.Тогда
С другой стороны, выражение
есть 
, относительно 
. Кроме того,
, следовательно, выполняются
неравенства
Справедливость требуемого
неравенства вытекает из сопоставления (13) и (14).
Эрдёш и Турай доказали также, что
при условиях
(в обозначениях теоремы 2) имеют
место неравенства
если только 
. Здесь
зависят от 
.
7.Изменение нулей в зависимости от
параметра
А. А. Марков доказал важное
предложение относительно зависимости нулей многочлена 
от параметра 
, который входит в весовую функцию
.
ü Теорема 1. Пусть 
- такая весовая функция на отрезке 
зависящая от параметра
, что 
положительна и непрерывна при 
. Допустим, кроме того,
существование и непрерывность частной производной 
при
, а также сходимость интегралов
и при том равномерную на каждом
замкнутом отрезке 
лежащем внутри открытого промежутка 
. Обозначим нули многочлена 
через 
, тогда 
-й нуль 
(при фиксированном значении 
) является возрастающей функцией от 
, если только отношение
является возрастающей функцией от 
Интегралы , определяющие моменты
, сходятся равномернo при
и могут быть продифференцированы по
. Пусть 
. При 
функция 
имеет положительный минимум, стало
быть, определители 
, при
равномерно ограничены снизу
положительным числом.В соответствии с коэффициенты многочлена
, а следовательно, и нули 
(которые все различны), имеют
непрерывную производную в промежутке 
.
Пусть 
будет фиксированным 
, положив
Коэффициенты Кристоффеля 
, очевидно, являются непрерывно
дифференцируемыми функциями от
. Дифференцируя по 
равенство получаем
Подставляя сюда
Имеем
поскольку 
при 
. Левая часть равенства может быть
записана в виде
так как второе слагаемое в силу
ортогональности равно нулю. В соответствии с допущением теоремы разность
имеет тот же знак, что 
.
Таким образом, утверждение теоремы
доказано.
Отметим такое следствие:
ü Т е о р е м а .2. Пусть
и 
- две весовые функции на 
, положительные и непрерывные в
промежутке 
. Пусть 
- возрастающая функция. Если 
и 
означают записанные в убывающем
порядке нули соответствующих ортогональных многочленов степени 
, то справедливы неравенства
Полагая
, мы видим, что выражение
представляет coбой
возрастающую функцию относительно 
при
, имеем также 
,
,
ЧАСТЬ 2. Многочлены Чебышева
. Многочлены Чебышева первого рода
Прежде всего напомним, что
есть функция с областью определения
[- 1, +1], график которой представлен на рис. 1, а. Его мы получим, построив
график функций
(рис. 1, б) и вырезав из него
сегмент от
до
Функция 
обратна функции 
. Итак, по определению
- это дуга, заключенная в интервале
от 0 до π,
косинус
которой равен х.
Пусть теперь 
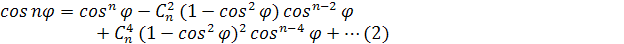
. Из формул
и

следует

Заметим, что это многочлен от 
. Но 
, поэтому (18) - многочлен от 
степени 
, заданный на отрезке 
Он имеет специальное обозначение
(Т - первая буква французского
написания фамилии Чебышев - Tschebycheff) и называется многочленом Чебышева
первого рода. Все свойства многочлена 
следуют из его определения:
Таким образом, многочлены Чебышева
первого рода - это по существу 
но относительно 
это самые «настоящие» многочлены:
Приведем несколько первых
многочленов Чебышева:
Графики многочленов 
приведены на рис. 25.
Представим себе прозрачный
прямоугольник высотой 
и шириной 
, на котором начерчен график функции
. Согнув его в цилиндр (прозрачный
абажур), мы увидим график многочлена 
, если будем смотреть сбоку с такой
точки, в которой косинусоида на передней половине боковой поверхности цилиндра,
обращенной к нам, совместится с косинусоидой на задней половине боковой поверхности
цилиндра, скрытой от нас (рис. 26).
Многочлены 
называются многочленами Чебышева
второго рода. Их графики с точностью до множителя
n=1,2,3 приведены на рис. 33 (внизу).
Выпишем в явном виде первые пять
многочленов
Чебышева второго рода:
Многочлены Чебышева второго рода,
как и многочлены Чебышева первого рода, тесно связаны с тригонометрическими
функциями (например, при 
Многочлены Чебышева второго рода
известны не только как производные
от многочленов Чебышева первого рода 
. Они важны и сами по себе: с
точностью до некоторого множителя многочлены 
совпадают с многочленами, наименее
уклоняющимися от нуля на отрезке
[-1, + 1] среди всех многочленов с
коэффициентом при старшем члене, равном единице, если уклонение измерять как
площадь под графиком модуля функции на отрезке [- 1, + 1], т. е. как
Многочлены, наименее уклоняющиеся от
нуля, имеют вид

наименьшее уклонение для
равно 
Взглянув на рис. 33, можно заметить,
что многочлены Чебышева второго рода не обладают свойством равноколеблемости.
Его аналогом служит следующее свойство: площади всех n + 1 частей
плоскости, ограниченных осью х, прямыми х = ± 1 и графиком многочлена 
,равны.
2.Нули многочленов Чебышева первого
рода
Все свойства многочленов 
по существу следуют из определения 
. Докажем, что внутри отрезка
[-1;1]многочлен 
имеет 
различных вещественных корней.
Из определения 
заключаем, что 
, если
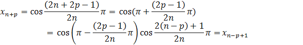
откуда
Придавая 
значения 1, 2, ...,
, получаем 
различных значений корней
многочлена
:
Действительно, если 
есть два числа из 1, 2, ...,
, значений, то
а так как на интервале [-π, +π]
косинус
монотонно убывает от + 1 до - 1 (см. рис. 28), то 
, а поскольку 
-многочлен степени 
, то других корней, кроме (4), у
него быть не может .
То, что многочлен 
не имеет других корней, кроме (4),
можно вывести и из общей формулы корней (3). Действительно,
Для построения корней многочлена
можно поступить следующим образом.
Разделим полуокружность единичного радиуса с центром в начале координат на 2π равных
частей, начиная от правого конца диаметра против часовой стрелки (рис. 29), и
опустим из точек деления через одну перпендикуляры на ось абсцисс. Основания
перпендикуляров совпадают с корнями (4) многочлена 
. Видно, что распределение корней
неравномерно: у концов отрезка [- 1, + 1] они скапливаются, а в середине
встречаются реже.
Докажем теперь, что на отрезке [-1,
+1] корни многочлена 
расположены симметрично
относительно середины, т. е. что при четном n все корни
многочлена 
подразделяются на пары,
равноотстоящие от концов отрезка [- 1, + 1], а при нечетном n без пары
остается только нулевой корень, совпадающий с серединой отрезка [- 1, + 1].
Это свойство следует из графического
построения корней многочлена 
(см. рис. 25), но легко
доказывается и аналитически. Действительно, пусть 
- некоторое число из набора 1, 2,
..., 
. Если считать от конца набора к
началу, то на 
месте стоит число 
т. е. 
, что и требовалось доказать.
Нетрудно видеть, что корни многочленов

и 
перемежаются.
Действительно, корни многочлена 
можно рассматривать как проекции на
ось х точек деления верхней полуокружности на n равных
частей (см. рис. 29).
Для любых трех углов
, связанных неравенством 
справедливо неравенство 
, так как на интервале [0, π] косинус
монотонно убывает (см. рис. 30). Угол, соответствующий -му корню многочлена 
(k = 1, 2, ..., n), больше
угла, соответствующего 
- му корню многочлена 
, так как 
, но не больше угла,
соответствующего (k+1)-му корню многочлена 
. Следовательно, k-й корень 
многочлена 
заключен между k-м и (k+1)-м
корнями 
многочлена 
, поэтому корни связаны неравенством
Нетрудно видеть, что в интервале 
нет других корней многочлена 
, кроме 
Следовательно в каждом таком
интервале заключен один и только один корень 
, т. е. нули многочлена 
и
действительно перемежаются.
3. Уклонение от нуля
Многочлены Чебышева первого рода «наследуют» от
косинуса и такое важное свойство, как равноколеблемость: как известно,
наибольшее и наименьшее значения косинуса равны по абсолютной величине, т. е.
косинус отклоняется от нуля одинаково как в положительную, так и в
отрицательную сторону (рис 30).
Справедливы утверждения:
1.Уклонение многочлена Чебышева
первого рода степени 
на отрезке [- 1, + 1] при любом 
равно 1.
.Многочлен 
при любом 
наименее уклоняется от нуля на
отрезке [- 1, + 1].
При любом
существует единственный многочлен
степени n, наименее
уклоняющийся от нуля на отрезке [- 1, + 1]. Следовательно,
Итак, при любом 
многочлен
степени 
наименее уклоняющийся от нуля на
отрезке [- 1, + 1], отличается от многочлена Чебышева первого рода
только множителем 1/
.
Итак, наше знакомство с многочленами
Чебышева первого рода привело к важному открытию (сделанному задолго до нас П.
Л. Чебышевым): при любом
из всех многочленов степени 
с коэффициентом 1 при старшем члене
наименее уклоняется от нуля многочлен
(где
-многочлен Чебышева первого рода
степени n) и только
многочлен 
. Этим свойством многочлены Чебышева
выделяются среди всех многочленов. Учитывая уникальное их свойство, продолжим
изучение многочленов
.
.Часто (особенно в русской и
французской литературе) ортогональные многочлены вообще называют многочленами
Чебышева. Имеется также много частных систем ортогональных многочленов,
называемых многочленами Чебышева. В этой главе мы сохраним названия многочленов
Чебышева первого и второго рода для соответственно стандартизированных
ортогональных многочленов, связанных с

(1)
Очевидно, что многочлены Чебышева
первого рода 
отличаются лишь постоянным
множителем от многочленов Якоби таких, что

Соотношение ортогональности для
многочленов Чебышева первого рода имеет вид
Подставим 
и заметим, что 
является многочленом степени 
от 
Мы видим, что 
отличается лишь постоянным
множителем от 
. Таким же образом можно показать,
что 
отличается лишь
постоянным множителем от 
Мы стандартизируем наши многочлены,
положив
Многие соотношения, содержащие
многочлены Чебышева, являются парафразами хорошо известных тригонометрических
тождеств. Например, мы имеем соотношение между двумя видами многочленов
Чебышева
Многочлены Чебышева являются ультрасферическими
многочленами, для которых 
при натуральном 
можно выразить как производную
соответствующего порядка от многочленов Чебышева.
.Стандартизация.
Она даeтся формулой
(2). Из нее следует, что
где 
определено формулой 10.9 (6) и 
- (формулой 10.10(21).
2.Постоянные. Для 
Для 
.Формулы
Родрига.
Рекуррентная формула 
является либо
, либо 
):
Формула Кристоффеля - Дарбу:
где 
является либо 
, либо 
. В случае 
первый член 
нашей суммы надо разделить пополам.
Дифференциальные уравнения
Формулы дифференцирования (штрих
означает дифференцирование по х):
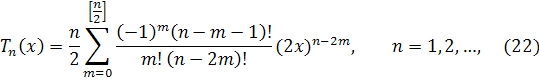
Явные выражения:
4.Гипергеометрические функции.
Из этих соотношений следует
5. Производящие функции.
Во всех этих пяти формулаx
В последних двух формулах
6. Интегральные представления.
Контурные интегралы, выражающие
многочлены Чебышева, могут быть получены с помощью любой из производящих
функций
. Различные результаты
Все эти формулы являются парафразами
тригонометрических тождеств.
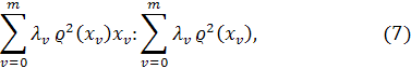
Задача Чебышева
Пусть 
- произвольный, не равный нулю
тождественно многочлен фиксированной степени 
, неотрицательный на отрезке
. Определить максимум и минимум
отношения
Решение. Пусть 
и 
конечны. Применяя опять
представление , мы легко находим, что искомые величины суть максимум и минимум
следующих квадратичных форм относительно 
(3)
при условии, что
В первом случае 
). Здесь 
имеют тот же смысл, что в .
Пусть теперь 
конечно,
. Тогда нам нужно рассмотреть
максимум и минимум формы
при условии
Здесь 
- ортонормальные последовательности,
соответствующие весовым функциям
.
В случае 
мы должны рассмотреть форму
где 
- ортонормальная последовательность,
соответствующая 
и (-
).
Таким образом, но всех этих случаях
рассматриваемая задача сводится к определению наибольшего и наименьшего
характеристического значения некоторой квадратичной формы. Изучая сумму двух
квадратичных форм соответственно относительно 
и 
, мы находим наибольшее
характеристическое значение каждой из форм в отдельности, и большее из этих
значений будет искомым максимумом. Аналогичное замечание справедливо и для
минимума. Однако, фактическое применение этого метода трудно, - часто бывает
предпочтительнее использовать некоторые формулы механических квадратур (см.
ниже).
Аналогичные рассуждения применимы и
случае, когда интегралы (2) заменяются интегралами Стилтьеса.
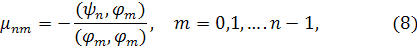
Пусть 
. Достаточно определить максимум и
минимум отношения
где 
есть произвольный 
с вещественными коэффициентами, не
равный нулю тождественно. Затем мы должны заменить
соответственно через 
.см.ниже. Пусть
- нули многочлена 
, соответствующего весовой функции 
находим для отношения (6)
представление
где 
- числа Кристоффеля. Следовательно,
искомые максимум и минимум совпадают соответственно с наибольшим и наименьшим
нулем многочлена 
. Если 
означает наибольший из нулей
многочлена 
, то из (3) видно, что максимум
отношении (2) в этом случае будет равен:
Аналогичный результат имеем для
минимума.
На этом общие рассуждения П. Л.
Чебышева заканчиваются. Однако, можно доказать, что выражения (8)
соответственно равны
и 
, следовательно, справедлива такая
теорема:
Теорема.1. Пусть 
будет весовой функцией на отрезке 
. Пусть 
- произвольный 
, неотрицательный на 
и не равный нулю тождественно.
Тогда максимум отношения
равен большему из нулей многочлена
, если 
, и большему из нулей многочлена 
, если
.
Здесь 
является последовательностью
ортонормальных многочленов, соответствующих весовой функции
на отрезке
.
Мы имеем
Пусть 
- нули многочлена 
, записанные в убывающем порядке. Мы
покажем, что первый определитель в правой части (10) не равен нулю, если
. В самом деле, справедливо
равенство
где
. Далее мы видим, что последний
определитель положителен при
, так как
С другой стороны,
убывает от
до
между
и 
и от
до 
между
и 1. Кроме того,
Стало быть, наибольший из нулей
или 
более, чем наибольший из нулей
, или
П.Л. Чебышев подробно исследовал
случай
С точностью до постоянных множителей
мы имеем
Это дает следующую теорему:
Теорема 2. Пусть 
- неравный нулю тождественно
произвольный 
, неотрицательный на отрезке
. Тогда максимум отношения
равен большему из нулей многочлена 
, если
; если же
, то максимум равен большему из
нулей многочлена
Расстояние от максимального значения
до единицы есть величина порядка 
при 
. Минимум, очевидно, ранен
соответствующему отрицательному значению.