Измерения. Запись и обработка результатов. Оценка погрешностей
Министерство
образовании и науки Российской Федерации
Федеральное
государственное бюджетное образовательное учреждение высшего профессионального
образования
«Уфимский
государственный авиационный технический университет»
Кафедра
«ПГМ»
ПОЯСНИТЕЛЬНАЯ
ЗАПИСКА
к
отчету лабораторной работы №1
по
дисциплине «Основы инженерного и научного эксперимента»
Уфа-2014 г.
ИЗМЕРЕНИЯ. ЗАПИСЬ И ОБРАБОТКА
РЕЗУЛЬТАТОВ. ОЦЕНКА ПОГРЕШНОСТЕЙ
Цель работы:
Ознакомиться с основным принципами обработки
результатов, оценки погрешностей;
Научиться оценивать погрешность измерений,
правильно записывать результат измерения и построить график.
1. ИЗМЕРЕНИЯ
И ИХ ПОГРЕШНОСТИ
В основе точных естественных наук лежат
измерения. При измерениях значения физических величин выражаются в виде чисел,
которые указывают, во сколько раз измеренная величина больше или меньше другой
величины, значение которой принято за единицу.
Получение надежных числовых значений физических
величин отнюдь не является простой задачей из-за многочисленных погрешностей,
неизбежно возникающих при измерениях. Ниже мы рассмотрим эти погрешности, а
также методы, применяемые при обработке результатов, полученных при измерениях.
Владение этими методами нужно для того, чтобы научиться получать из совокупности
измерений наиболее близкие к истине результаты, вовремя заметить несоответствия
и ошибки, разумно организовать сами измерения и правильно оценить точность
полученных значений.
Измерения делятся на прямые и косвенные. Прямые
измерения производятся с помощью приборов, которые измеряют исследуемую
величину. Так, массу тел можно найти с помощью весов, длину измерить линейкой,
а время - секундомером. Те же величины в других случаях могут быть найдены
только с помощью косвенных измерений - путем пересчета других величин. Так
находится масса Земли, расстояние от Земли, до Солнца, измерения плотности
жидкости по ее массе и объему, расхода жидкости - по величине и времени его
заполнения, также принадлежат к косвенным измерениям.
Качество измерений определяется их точностью.
При прямых измерениях точность опытов устанавливается из анализа точности
метода и приборов, а также из повторяемости результатов измерения. Точность
косвенных измерений зависит как от надежности используемых для расчета данных,
так и от структуры формул, связывающих эти данные с искомой величиной.
Точность измерений характеризуется их
погрешностью. Погрешностью измерений называют разность между найденным на опыте
и истинным значениями физической величины. Обозначая погрешность измерения
величины х символом D х, найдем
измерение погрешность значение
разность
Dх = хизм-хист, (1.1)
Кроме абсолютной погрешности Dх
часто бывает важно знать относительную погрешность dх,
которая равна отношению абсолютной погрешности к значению измеряемой величины:
. (1.2)
Качество измерений обычно
определяется именно относительной, а не абсолютной погрешностью. Одна и та же
погрешность в 11 мм при измерении длины комнаты не играет роли, при измерении
длины стола может уже быть существенна, а при определении диаметра болта
совершенно недопустима. Это происходит потому, что относительная погрешность
измерений в первом случае составляет 2×10-4, во втором - 10-3, в третьем может
составлять десятки процентов и более. Чтобы говорить об абсолютной и
относительной погрешности измерений, часто говорят об их абсолютной и
относительной ошибке. Между терминами "погрешность" и
"ошибка" нет никакого различия и мы будем пользоваться ими обоими.
Как следует из (1.1) и (1.2), чтобы
найти абсолютную и относительную погрешность измерений, нужно знать не только
измеренное, но и истинное значение интересующей нас величины. Но если истинное
значение известно, то незачем производить измерения. Цель измерений состоит в
том, чтобы узнать неизвестное заранее значение физической величины и найти если
не ее истинное значение, то хотя бы значение, достаточно мало отличающееся от
него. Поэтому формулы (1.1) и (1.2), определяющие величину погрешностей, для
практики непригодны. При практических измерениях погрешности не вычисляются, а
оцениваются. При оценках (которые редко удается провести с точностью лучше 2%-
30 %) учитываются условия проведения эксперимента, точность методики, качество
приборов и ряд других факторов.
Наша цель заключается в том, чтобы
научиться разумно строить методику эксперимента, правильно использовать
полученные на опыте данные для того, чтобы находить достаточно близкие к
истинным значениям физических величин и разумно оценивать погрешность
измерения.
2. СЛУЧАЙНЫЕ И СИСТЕМАТИЧЕСКИЕ
ПОГРЕШНОСТИ
Говоря о погрешностях измерений,
следует, прежде всего, упомянуть о грубых погрешностях (промахах), возникающих
вследствие недосмотра экспериментатора или неисправности аппаратуры. Такие
ошибки происходят, если, например экспериментатор неправильно прочтет номер
деления на шкале, если в электрической цепи произойдет замыкание и вследствие
других подобных причин. Грубых ошибок следует избегать. Если установлено, что
они произошли, соответствующие измерения нужно отбрасывать.
Не связанные с грубыми ошибками погрешности
опыта делятся на случайные и систематические. Многократно повторяя одни и те же
измерения, можно заметить, что довольно часто их результаты не в точности равны
друг другу, а "пляшут" вокруг некоторого среднего. Погрешности,
меняющие величину и знак от опыта к опыту, называют случайными. Случайные
погрешности исследуются путем сравнения результатов, полученных при нескольких
опытах, поставленных в одинаковых условиях. Два - три измерения следует
производить всегда. Если они совпали, то на этом следует остановиться. Если же
они расходятся, нужно попытаться понять причину расхождения. Часто она связана
с неисправностью приборов, ненадежностью контактов, отсутствием смазки,
ненадежным закреплением и т.д. Поэтому, прежде всего, нужно попытаться исправить
аппаратуру. Если устранить причину не удается, нужно произвести несколько
измерений и записать полученные результаты. Как следует поступать дальше, будет
рассмотрено ниже.
Систематические погрешности
сохраняют свою величину и знак во время эксперимента. Они могут быть связаны с
ошибками приборов и с самой постановкой опыта.
В результате систематических
погрешностей, разбросанных из-за случайных ошибок, результаты опыта колеблются
не вокруг истинного, а вокруг некоторого смещенного значения.
Рис. 1 поясняет различие между
случайными и систематическими погрешностями. В ситуации, изображенной на рис.
1, а систематическая погрешность пренебрежимо мала. Измеренные значения
отличаются от истинного вследствие случайных ошибок опыта. На рис. 1,б
изображены результаты опыта при наличии как случайных, так и систематических
погрешностей.
Рис. 1 - Разброс результатов вокруг
истинного значения при отсутствии (а) и при наличии (б) систематической
погрешности
При желании систематические
погрешности опыта могут быть изучены и скомпенсированы путем внесения поправок
в результаты измерений. Но, как правило, этого не делают. Если систематическая
погрешность опыта слишком велика, то проще поставить новые, более точные
приборы.
Следует всегда помнить - различие
между систематической и случайной погрешностями всегда можно и нужно
устанавливать с полной определенностью.
Случайные погрешности
Случайные величины, к которым
относятся случайные погрешности, изучаются в теории вероятностей и в математической
статистике. Мы здесь опишем - с пояснениями, но без доказательств - основные
свойства и основные правила обращения с такими величинами в том объеме, который
необходим для обработки результатов измерений, полученных в лаборатории. В этом
параграфе мы будем предполагать, что систематические погрешности пренебрежимо
малы а все ошибки сводятся к случайным. Позднее, в п.1.5, мы обсудим, как
следует поступать в тех случаях, когда нужно принимать во внимание как
случайные, так и систематические погрешности опыта.
Рассмотрим для примера данные,
полученные при измерении массы тела на весах, у которых имеется область застоя
из-за трения призмы на подушке (разброс результатов для наглядности
преувеличен). Пусть масса тела близка к 48 мг, результат измерений удается,
отсчитать по шкале с точностью до 0,1 мг. Имеем:
|
№
опыта
|
1
|
2
|
3
|
4
|
5
|
6
|
7
|
8
|
9
|
10
|
11
|
|
Масса,
мг
|
48,0
|
47,9
|
47,5
|
48,2
|
48,4
|
47,8
|
48,6
|
48,3
|
47,8
|
48,1
|
48,2
|
Вместо одного нужного нам результата мы получили
одиннадцать. Что делать с полученными цифрами? Как найти из них достаточно
близкое к истинному значению массы тела и как оценить погрешность полученного
результата? Этот вопрос подробно изучается в математической статистике. Мы
здесь изложим соответствующие правила без вывода.
В качестве наилучшего значения для измеренной
величины обычно принимают среднее арифметическое из всех полученных
результатов.
.(1.3)
В нашем случае получим
Этому результату следует приписать
погрешность, определяемую формулой
. (1.4)
В нашем случае
Результат опыта записывается в виде
. (1.5)
В нашем случае
.
Прежде всего, попытаемся понять, как
результат расчета зависит от числа измерений. Формула показывает, что Xcpoт
числа измерений зависит слабо. Все слагаемые, входящие в числитель,
приблизительно равны друг другу. Их сумма пропорциональна числу слагаемых.
После деления на знаменатель получается величина, мало зависящая от числа
измерений. Так, конечно, и должно быть. Среднее измеренное значение - при
правильной методике опыта - всегда лежат вблизи истинного значения и в разных
независимых сериях измерений испытывает вокруг него небольшие случайные
колебания.
Погрешность опыта, определяемая
формулой, с увеличением числа измерений, уменьшается как
.
Число членов суммы в (1/4) растет
как п, числитель поэтому увеличивается как
, а все выражение уменьшается как
. Этот
результат является очень важным. По мере увеличения числа опытов ошибки в
сторону преувеличения и преуменьшения результата все лучше компенсируют друг
друга, а среднее значение приближается к истинному, В нашем примере одиночные
отсчеты отличаются от среднего на несколько десятых, а погрешность результата,
полученного при усреднении всех измерений, составляет всего одну десятую.
Формула может быть записана в несколько ином виде:
При такой записи множитель
,
определяющий улучшение результата с увеличением числа измерений, вынесен из под
общего корня, а под корнем осталось среднее значение квадрата отклонений,
вычисленное по всем произведенным измерениям. Этот корень определяет s(1) - среднюю погрешность
одиночного измерения.
При обсуждении смысла величины sследует помнить, что истинную
величину погрешности невозможно узнать до тех пор, пока из каких-либо других
опытов (или соображений) не удается определить искомую величину с существенно
лучшей точностью. Но тогда рассматриваемые опыты потеряют значение и их
погрешность никого не будет интересовать. Как уже отмечалось, погрешность
результата не столько определяют, сколько оценивают. Оценка (1.4) подобрана
так, что при проведении многочисленных серий измерений погрешность в 2/3
случаев оказывается меньше sх,
а в 1/3 случаев больше, чем sх.
Иначе говоря, если бы мы - в нашем
случае - провели не одну серию из 11 взвешиваний, а десять таких серий, то мы
могли бы ожидать, что в шести или семи из них усредненный результат будет
отличаться от истинной массы тела меньше, чем на 0,1 мг, а в остальных случаях
больше, чем на 0,1 мг.
Погрешность, определенную с
достоверностью 2/3, обычно называют стандартной (или среднеквадратичной) погрешностью
опытов, а ее квадрат - дисперсией. Можно показать, что, как правило,
погрешность опыта только в 5 % случаев превосходит ± 2sи почти всегда оказывается
меньше ± 3s.
На первый взгляд из сказанного можно
сделать вывод, что, беспредельно увеличивая, число измерений, можно даже с
самой примитивной аппаратурой получить очень хорошие результаты. Это, конечно,
не так. С увеличением числа измерений уменьшается только случайная погрешность
опытов. Методические погрешности и погрешности, связанные с несовершенством
приборов (например, с неправильностью их шкалы), при увеличении числа опытов не
меняются. В приведенном выше примере результат взвешивания округлялся до
десятых долей миллиграмма. Это делается потому, что сотых долей отсчитать было
нельзя. Одна только ошибка отсчета составляет при этом около 0,1 мг. Поэтому
погрешность результата ни при каком числе опытов не может быть сделана меньше.
Число опытов в нашем случае было выбрано разумно. Из приведенных в таблице цифр
ясно, что при однократном измерении, мы могли ошибиться на несколько десятых.
Среди цифр встречаются результаты, отличающиеся на 0,3 и даже на 0,5 от
среднего. После усреднения по 11 измерениям погрешность существенно
уменьшилась. Но если окажется нужным, то недостаточно просто увеличить число измерений.
Придется взять более точные весы, позволяющие производить измерения не до
десятых, а, скажем, до сотых долей миллиграмма.
Скажем несколько слов о формуле
(1.4). Эта формула позволяет хорошо оценивать величину стандартной погрешности
в тех случаях, когда число опытов оказывается не меньше 4-5. При меньшем числе
опытов лучше применять другие, более сложные оценки. Их мы рассматривать не
будем.
Систематические погрешности
Оценку систематических погрешностей
экспериментатор производит, анализируя особенности методики, паспортную
точность приборов и производя контрольные опыты.
Систематические погрешности
измерительных приборов, выпускаемых промышленностью, определяются их классом
точности, который обычно выражают в процентах. Манометр класса 0,2 (если он,
конечно, исправен и проходит систематическую проверку) позволяет производить
измерения с абсолютной погрешностью, не превосходящей 0,2 % от давления,
соответствующего полной шкале прибора. На всех участках шкалы - в ее начале,
середине и конце - эта погрешность одна и та же.
Отметим различие в правилах,
определения погрешностей и в определении класса точности. Погрешности принято
характеризовать среднеквадратичными ошибками. При многочисленных измерениях
реальная ошибка опытов в 2/3 случаев меньше среднеквадратичной, а в 1/3 случаев
превосходит ее. Класс точности определяет максимально возможное значение
погрешности. Приборы, которые могут давать, хотя бы иногда, большие
погрешности, должны быть отнесены к другому классу. Такое различие в
определениях очень неудобно. В научных публикациях принято приводить именно
среднеквадратичную ошибку, а вовсе не максимальную. Строгих формул для перевода
одних погрешностей в другие не существует. Мoжнo пользоваться простым правилом:
чтобы оценить среднеквадратичную погрешность, измерений электроизмерительными
приборами, следует погрешность, определяемую классом точности прибора,
разделить на два.
Как уже отмечалось, класс
измерительных приборов определяет максимальную погрешность, величина которой не
меняется при переходе от начала к концу шкалы. Относительная ошибка при этом
резко меняется, поэтому приборы обеспечивают хорошую точность при отклонении
стрелки на всю шкалу и не дают ее при измерениях в начале шкалы. Отсюда следует
рекомендация: выбирать прибор (или шкалу многошкального прибора) так, чтобы
стрелка прибора при измерениях заходила за середину шкалы.
Говоря о систематических
погрешностях опыта, следует сказать несколько слов об ошибке отсчета «на глаз».
Большинство приборов не имеет нониусных шкал. При этом доли давления
отсчитываются на глаз. Эта ошибка составляет 1-2 десятых доли деления.
При отсчетах следует следить за тем,
чтобы луч зрения был перпендикулярен шкале. Для облегчения установки глаза на
многих приборах устанавливается зеркало ("зеркальные приборы"). Глаз
экспериментатора установлен правильно, если стрелка прибора закрывает свое
изображение в зеркале. При работе с измерительными приборами отсчет должен
включать число целых делений и число десятых долей деления, если отсчет может
быть произведен с этой точностью (если стрелка или зайчик не ходят и не дрожат,
это может сделать отсчет невозможным),
Поясним указанное правило. Шкалы
измерительных приборов обычно изготовляют так, что одно деление шкалы
приблизительно равно максимальной погрешности прибора. Зачем же в этом случае
отсчитывать десятые доли деления? Ответ на этот вопрос читатель найдет в п.1.7.
Забегая вперед, отметим, что при измерениях, при расчетах и при записи
результатов, кроме надежно известных значащих цифр всегда оказывается одна лишняя.
Такая процедура среди прочих имеет и то преимущество, которое позволяет вовремя
замечать мелкие нерегулярности исследуемых зависимостей. Если, например,
стрелка манометра при измерениях отклонилась на полделения назад, этот
результат является надежным и в том случае, когда погрешность манометра равна
целому делению.
Несколько слов о точности линеек.
Металлические линейки очень точны: миллиметровые деления наносятся с
погрешностью не более ±0,005 мм, а
сантиметровые - не хуже, чем с точностью 0,1 мм. Погрешность измерений,
производимых с помощью таких линеек, практически равна погрешности отсчета на
глаз. Деревянными или пластиковыми линейками лучше не пользоваться: их
погрешности неизвестны и могут оказаться неожиданно большими. Исправный
микрометр обеспечивает точность 0,01 мм, а погрешность измерений
штангенциркулем определяется с точностью, с которой может быть сделан отсчет,
т.е. точностью нониуса (у штангенциркулей цена делений нониуса составляет
обычно 0,1 или 0,05 мм).
Сложение случайных и систематических
погрешностей
В реальных опытах присутствуют как
систематические, так и случайные ошибки. Пусть они характеризуются стандартными
погрешностями sсист. и sслуч. Суммарная погрешность
находится по формуле
Поясним эту формулу. Систематическая
и случайная ошибки могут, в зависимости от случая, складываться или вычитаться
друг из друга. Как уже говорилось, точность опытов принято характеризовать не
максимальной (и не минимальной), а среднеквадратичной погрешностью. Поэтому
правильно рассчитанная погрешность должна быть меньше суммы
и больше
разности
. Легко
видетъ, что
,
определенная формулой, удовлетворяет этому условию. В самом деле,
и
- величины
положительные, поэтому
Знак равенства возникает только в
том случае, когда одна из погрешностей равна нулю. Аналогично имеем
.
Формула показывает, что при наличии
как случайной, так и систематической погрешности, полная ошибка опыта больше,
чем каждая из них в отдельности, что также является вполне естественным.
Обратим внимание на важную особенность формулы. Пусть одна из ошибок, например
в 2 раза
меньше другой - в нашем случае
. Тогда
Как мы уже говорили, погрешности
редко удается оценить с точностью лучше 20 %. Но в нашем примере с точностью 20
%
.
Таким образом, меньшая погрешность
ничего не добавляет к большей, даже если оно составляет половину от нее. Этот
вывод очень важен. В том случае, если случайная ошибка опытов хотя бы вдвое
меньше систематической, нет смысла производить многократные измерения, так как
полная погрешность опыта при этом практически не уменьшается. Измерения
достаточно произвести 2-3 раза, чтобы убедиться, что случайная ошибка
действительно мала. Схему сложения погрешностей поясняет рис. 2. Полная
погрешность равна гипотенузе треугольника, катеты которого равны
и
.
Рис.
2 - Сложение погрешностей
Обработка результатов при косвенных измерениях
Если исследуемая величина равна сумме разности
двух измеренных величин.
=В±С,
то наилучшее значение величины А равно сумме
(или разности) наилучших значений слагаемых: Анаил.=Внаил±Снаил,
или как рекомендовано выше
Анаил=(В)±(С)
Здесь и в дальнейшем угловые скобки (или черта
сверху) означают усреднение: вместо того, чтобы писать Аср, будем пользоваться
обозначением<А>(или `А) и т.д.
Среднеквадратичная погрешность
, если
величины В и С независимы, находятся по формуле
т.е. погрешности, как всегда
складываются квадратично (иначе говоря, складываются не погрешности, а
дисперсии результатов измерений). При обсуждения следует использовать те же
аргументы, которые были приведены в связи с формулой.
В том случае, если искомая величина
равна произведению или частному двух других.
или
.
Относительная среднеквадратичная
погрешность произведения и частного независимых величин находятся по формуле
Приведем расчетные формулы для
случая, когда
Наилучшее значения А связано с наилучшими
значениями В, С, Е и т.д. той формулой, что и каждое конкретное значение.
Относительная среднеквадратичная погрешность величины Апри независимых В, С, Е
и т.д., находится по формуле
Наконец, приведем для справок общую
расчетную формулу. Пусть
где f - произвольная функция величин
В, С, Е и т.д. Тогда
Формула (1.17) справедлива как в том
случае, когда Внаил, Снаил и т.д. непосредственно измерены, так и в том случае,
если они сами найдены по измеренным значениям других величин. В первом случае
Внаил, Снаил и т.д., как уже указывалось, равны<В>, < С> и т.д.
Погрешность А находится по формуле
Обозначение
имеет
обычный смысл частной производной функции fпо В, т.е. производной, при
вычислении которой все остальные аргументы, кроме В (в нашем случае аргументы
С, Е и т.д.) считаются постоянными. Аналогичный смысл имеют частные производные
по C, Е и т.д. Частные производные следует вычислять при наилучших значениях
аргументов Внаил, Снаил, Енаили т.д. Все приведенные в этом параграфе формулы
являются частными случаями.
Рассмотрим некоторые следствия,
которые могут быть получены из анализа формул, приведенных в этом разделе.
Прежде всего, заметим, что следует избегать измерений, при которых искомая
величина находится как разность двух больших чисел. Так, толщину стенки трубы
плохо определять, вычитая ее внутренний диаметр из внешнего (и, конечно, деля
результат пополам). Относительная погрешность измерения, которая обычно
представляет главный интерес, при этом сильно увеличивается, так как измеряемая
величина - в нашем случае толщина стенки - мала, а ошибка в ее определении
находится путем сложения погрешностей измерения обоих диаметров и поэтому
возрастает. Следует также помнить, что погрешность измерения, которая
составляет, например, 0,5 % от величины внешнего диаметра, может составить 5 и
более процентов от толщины стенки.
При измерениях, которые затем
обрабатываются по формуле (например, при определении плотности по массе и
объему), следует определять все измеряемые величины с приблизительно одинаковой
точностью. Так, если объем тела измерен с погрешностью 1 %, то при взвешивании
с погрешностью 0,5 % его плотность определяется с точностью 1,1 %, при
взвешивании с погрешностью 0,01 % - с точностью 1 %, т.е. с той же,
практически, точностью. Тратить силы и время на измерение массы тела с
точностью 0,01 % в этом случае, очевидно, не имеет смысла.
При измерениях, которые
обрабатываются по формуле, следует обращать внимание на точность измерения
величины, входящей в расчетную формулу с наибольшим показателем степени.
Прежде чем приступить к измерениям,
всегда нужно подумать о последующих расчетах и выписать формулы, по которым
будут рассчитываться погрешности. Эти формулы позволят понять, какие измерения
следует производить особенно тщательно, а на какие не нужно тратить больших
усилий.
Запись результатов. Точность
расчетов
Результат измерения записывается в
виде, определяемом формулой. Запись m=0,876¸0,008 означает, что в результате измерений для
массы тела найдено значение 0,876 г со стандартной погрешностью 0,008 г.
Подразумевается, что при вычислении стандартной погрешности учтены как
случайные, так и систематические ошибки.
При записи погрешности следует
округлять ее величину до двух значащих цифр, если первая из них является
единицей, и до одной значащей цифры во всех остальных случаях. Так, правильно
писать ±3; ±0,2; ±0,08; ±0,14 и не следует
писать ±3,2; ± 0,23:
±0,084. Не
следует также округлять ±0,14 до ±0,1, Поясним это правило. Как
мы уже говорили, погрешность эксперимента редко удается определить с точностью
лучше 20 %. Если вычисление стандартной ошибки приводит к 0,14, то округление
0,14 до 0,1 изменяет величину погрешности на целых 40 % в то время как
округление до 0,3 числа 0,26 или 0,34 изменяет погрешность менее чем на 15 %,
т.е. несущественно.
При записи измеренного значения
последней должна указываться цифра того десятичного разряда, который использован
при указании погрешности. Так, один и тот же результат, в зависимости от
погрешности, запишется в виде: 1,2 ± 0,2.; 1,24 ± 0,03; 1,243 ± 0,012 и т.д.
Таким образом, последняя из указанных цифр (или даже две из них, как в
последнем примере) оказывается сомнительной, а остальные - достоверными.
Сформулированное правило следует
применять и в тех случаях, когда некоторые из цифр являются нулями. Если при
измерении получен результат m = 0,900±0,004
г, тo писать нули в конце числа 0,900 необходимо. Запись m = 0,9 обозначала бы,
что о следующих значащих цифрах ничего не известно, в то время как измерения
показали, что они равны нулю. Аналогичным образом, если масса тела равна 58,3
кг (с погрешностью в десятых долях килограмма), то не следует писать, что она
равна 58300 г, так как эта запись означала бы, что тело взвешено с точностью в
несколько граммов. Если результат взвешивания должен быть выражен в граммах, то
в нашем случае нужно писать 5,83.104 г.
Необходимая точность расчетов
определяется тем, что расчет не должен вносить в измерения дополнительной
погрешности. Обычно в промежуточных расчетах сохраняется один лишний знак,
который в дальнейшем - при записи окончательного результата - будет отброшен.
Результаты экспериментов обычно
представляют не только в виде таблиц, но и в графической форме. Для графиков
при ручной обработке результатов следует использовать специальную бумагу
(миллиметровую, логарифмическую или полулогарифмическую).
При построении графиков следует
разумно выбирать масштабы, чтобы измеренные точки располагались на всей площади
листа. На рис. 3 изображены примеры правильного и неправильного построения
графика. На левом (неправильно построенном) графике экспериментальные точки
занимают нижнюю правую часть рисунка. Чтобы этого избежать, следует выбирать
более крупный масштаб по оси и сместить нуль на оси абсцисс, как это сделано на
правом графике.
неверно
верно
Рис. 3 - Выбор масштаба и начала отсчета при
построении графиков
Масштаб должен быть удобным. Клеточки графика
(или миллиметр миллиметровой бумаги) может соответствовать 0,1; 0,2; 0,5; 1; 2;
5; 10 единицам измеряемой величины, но не 2,5; 3; 4; 7; и т.д. При неудобном
масштабе нанесение экспериментальных точек на график и использование графика
требуют неоправданно большого времени и нередко сопровождаются досадными
ошибками.
Графическое представление результатов позволяет
быстро понять основные характерные черты наблюдаемой зависимости и обнаружить ошибочные
результаты. Так, при рассмотрении графика рис. 3 видно, что кривая В=В (Н) при
увеличении Н становится более пологой. Третья слева точка выпала. По-видимому,
при ее измерении была допущена ошибка. Если это не так, то в районе, этой точки
искомая зависимость имеет резко выраженную особенность. Такие особенности
представляют большой интерес. Поэтому нужно внимательно промерить область,
расположенную вблизи выпавшей точки, и постараться детально изучить форму
кривой в районе найденной особенности.
Точки, наносимые на графики, должны изображаться
четко и ясно. Их следует отмечать карандашом, иначе ошибочно нанесенную точку
нельзя удалить с графика, не испортив его. Никаких линий и отметок, поясняющих
построение точек, на график наносить нельзя, так как они загромождают рисунок и
мешают анализировать результаты.
Точки, полученные в разных условиям (при
нагревании и при охлаждения, при увеличения и при уменьшении нагрузки, в разные
дни и т.п..), полезно наносить разными цветами или разными значками. Это помогает
увидеть новые явления.
Получение функции на основании экспериментальных
данных по методу наименьших квадратов.
Пусть на основании эксперимента требуется
установить функциональную зависимость величины у от величины х:
у=j(х)
Пусть в результате эксперимента получено n
значений упри соответствующих значениях аргумента. Результаты записаны в
таблицу:
|
х
|
х1
|
х2
|
…
|
хn
|
|
у
|
у1
|
у2
|
…
|
уn
|
Вид функции у=j(х)
устанавливается или из теоретических соображений, или на основании характера
расположения на координатной плоскости точек, соответствующих экспериментальным
значениям. (Эти точки будем называть «экспериментальными точками».) Пусть,
например, экспериментальные точки расположены на координатной плоскости так,
как изображено на рис. 4.
Рис. 4 Рис.
5
Учитывая, что при проведении эксперимента имеют
место погрешности, естественно предположить, что искомую функцию y = j(x)можно
искать в виде линейной функции у= ах+b.
Если экспериментальные точки расположены так,
как указано на рис. 5, то естественно искать функцию у = j(х)в
виде у = ахь и т. д.
При выбранном виде функции у = j(х,
а, b, с,...) остается подобрать входящие в нее параметры а, b, с,... так, чтобы
в каком-то смысле она наилучшим образом описывала рассматриваемый процесс.
Широко распространенным методом решения данной задачи является метод наименьших
квадратов. Этот метод заключается в следующем. Рассмотрим сумму квадратов
разностей значений уi, даваемых экспериментом, и функции j(x,
а, b, с,...) в соответствующих точках:
Подбираем параметры а, b, с,... так,
чтобы эта сумма имела наименьшее значение:
Итак, задача свелась к нахождению
значений параметров а, b, с,..., при которых функция S(а, b, с,...) имеет
минимум.
Эти значения а, b, с,..,
удовлетворяют системе уравнений
или в развернутом виде:
Здесь имеется столько уравнений,
сколько и неизвестных. В каждом конкретном случае исследуется вопрос о
существовании решения системы уравнений и о существовании минимума функции S(a,
b, с,...).
Рассмотрим несколько случаев
определения функции у = j(x, а, b,
с,...).. Пусть у = ах+b. Функция S (а, b) в этом случае имеет вид (см.
выражение (1.20)):
.
Это функция с двумя переменными а и
b(xiи yi- заданные числа). Следовательно,
т. е. система уравнений в этом
случае принимает вид:
Получили систему двух линейных
уравнений с двумя неизвестными, а и b. Очевидно, что система имеет определенное
решение и что при найденных значениях а и b функция S(а,b)имеет минимум.
II. Пусть за аппроксимирующую функцию взят
трехчлен второй степени
В этом случае выражение имеет вид:
.
Это функция трех переменных а, b, с.
Система уравнений (1.23) принимает вид:
или в развернутом виде:
Получаем систему линейных уравнений
для определения неизвестных a, b, c. Из характера задачи следует, что система
имеет определенное решение и что при полученных значениях а, b, с функция S(а,
b, с) имеет минимум.
Пусть на основании эксперимента получены четыре
значения искомой функции у=j(х) при четырех значениях
аргумента (n = 4), которые записаны в таблице:
Будем искать функцию jв
виде линейной функции у = ах+b. Составляем выражение S(а,b):
Продифференцируем
у-ие (1.24):
Это функция с двумя переменными а и
b(xiи yi- заданные числа). Следовательно,

Получили систему двух линейных
уравнений с двумя неизвестными, а и b. Очевидно, что система имеет определенное
решение и что при найденных значениях а и b функция S(а,b)имеет минимум.
Для составления системы для
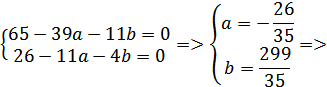
определения коэффициентов а и b предварительно вычисляем:
Рис. 5
ЗАКЛЮЧЕНИЕ
В заключении еще раз отметим, что наши изложения
не претендуют ни на полноту, ни на строгость. Они содержат обзор правил и
формул, которые нужно применять, чтобы грамотно обрабатывать полученные
экспериментальные данные и приводить их к общепринятому, всем понятному виду.
Более глубокое изложение потребуется и станет возможным, - лишь, когда будет
накоплен достаточный опыт экспериментальной работы и окажется, развит
необходимый для такого изложения математический аппарат.
СПИСОК ЛИТЕРАТУРЫ
2. Иноземцев
А. А. Основы конструирования АДиЭУ / А.А. Иноземцев, М. А. Нихамкин, В. Л.
Сандрацкий; том 2. М.: Машиностроение, 2008. -365 с.
. Шкляр
М.Ф. Основы научных исследований: Учебное пособие. - М.: "Издательский дом
Дашков и К", 2008. -243 с.
. Рожнов
В.Ф. Основы теории инженерного эксперимента: Учебное пособие/ Рожнов В.Ф. - М.:
МАИ, 2007. -356 с.