Теория измерений
Введение
В результате научно-практической деятельности ученые для констатации и
проверки некоторых законов, гипотез, закономерностей часто прибегают к
многократным измерениям тех или иных величин. Достаточно важным в ходе
проведения эксперимента, чтобы все сторонние влияния на систему оценивания
результата были сведены к нулю, в противном случае вместо подтверждения
очевидных фактов мы получим их опровержение. Как избежать ложных заключений?
Как исключить недостоверную информацию при снятии показаний с приборов учета?
На эти и многие другие вопросы ответит данная курсовая работа, которая состоит
из трех частей и направлена на обобщение и систематизацию знаний по проведению
измерений и их оценке. В первой части достаточно подробно освещена проблема
снятия показаний и устранения систематических ошибок, а так же во второй части
подробно дан план обработки измерений для наиболее точного отображения ситуации
в ходе проведения эксперимента. В третьей части практически осуществлен анализ
и обработка приведенных экспериментальных данных с выводом.
В ходе работы активно использовалась научная литература, учебные пособия,
электронные ресурсы.
1.Измерения и их классификация
Измерительной информацией является информация о значениях величины.
Результатом измерения является количественная характеристика в виде именного
числа. Основной характеристикой процесса измерения является точность, которая
характеризуется погрешностью измерения и вероятностью.
Для более четкого представления особенностей процесса измерения рассмотрим
основные особенности близких к нему информационных процессов - контроля и
счета.
Контролем называется процесс установления соответствия между состояниями,
свойствами объекта контроля и заранее заданной нормой путем восприятия
контролируемых величин, сопоставления их с уставками и формирования суждения,
вывода. Контролю подвергается физическая величина или состояние объекта.
Результатом контроля является качественная характеристика - суждение, вывод о
нахождении объекта контроля в норме или вне нормы. Основной характеристикой
процесса контроля является достоверность контроля, которая численно выражается
вероятностью правильного суждения, вывода.
Счетом называется процесс определения числового значения дискретной
величины или количества предметов в данной совокупности. Результатом счета
является неименованное число, число предметов в данной совокупности, не имеющих
строго одинаковых параметров.
Сходства и различия контроля и измерения.
Возникает вопрос, какой из процессов - измерение или контроль- являются более
общими или более сложными, контроль включает измерение или измерение включает
контроль? Процессы измерения и контроля близки по своей информационной
сущности, содержат ряд общих операций, например, сравнение, могут иметь
одинаковые объекты, тесно связаны между собой, дополняют друг друга. Контролю
иногда предшествует измерение, и такой процесс называют цифровым контролем.
Измерению часто предшествует контроль, например определение полярности и выбор
предела измерения являются собственно контрольными операциями и в
автоматических и цифровых приборах они предшествуют измерению. Однако контроль
и измерение во многом существенно различны - результатом измерения является
количественная характеристика, а результатом контроля - качественная, измерение
осуществляется в широком диапазоне значений измеряемой величины, а контроль - в
пределах небольшого числа возможных состояний.
По способу получения значения измеряемой величины.
По способу получения числового значения искомой величины измерения можно
подразделить на два вида: прямые и косвенные.
При прямых измерениях результат получается непосредственно из опытных
данных в тех же единицах, что и измеряемая величина. Примером прямого измерения
можно считать измерение длины проградуированной линейкой. Инструментальные
ошибки при наблюдениях и измерениях обусловлены отличиями реального инструмента
от "идеального", представляемого схемой, а также неточностью
установки инструмента в рабочем положении. Учет инструментальных ошибок
необходим при точных, например, астрономических измерениях.
К косвенным относятся измерения, результат которых получается на
основании прямых измерений нескольких других величин, связанных с искомой
величиной определенной зависимостью. Или - косвенные измерения основаны на
известной зависимости между искомой величиной и непосредственно измеряемыми
величинами. Примером косвенных измерений служит определение расхода жидкости и
газа по перепаду давления в сужающем устройстве.
По методу измерения.
Существуют следующие методы измерений:
)метод непосредственной оценки, в котором значение измеряемой величины
определяют непосредственно по отчетному устройству измерительного прибора
прямого действия;
)метод сравнения с мерой, или компенсационный, в котором измеряемую
величину сравнивают с величиной воспроизводимой меры;
)нулевой метод, в котором эффект действия измеряемой величины полностью
уравновешивается эффектом известной величины так, что в результате х
взаимодействие сводится к нулю.
Измерения проводятся с помощью технических средств измерений.
Основные виды средств измерений следующие:
мера - средство измерений, предназначенное для воспроизведения физической
величины заданного размера, например, мера массы - гиря;
измерительный прибор -это средство измерений, предназначенное для
выработки сигнала измерительной информации в форме, доступной для
непосредственного восприятия оператором. Показания измерительного прибора могут
быть представлены в аналоговой или цифровой форме. В показывающих приборах
производится только отсчитывание показаний, в регистрирующих приборах
осуществляется запись показаний в форме диаграммы и печатание в цифровой форме.
В интегрирующих измерительных приборах измеряемая величина подвергается
интегрированию по времени или по другой независимой переменной.
измерительный преобразователь -это средство измерений, предназначенное
для выработки сигнала измерительной информации в форме, удобной для передачи,
дальнейшего преобразования, обработки и хранения, но не подающейся
непосредственному восприятию оператором. Измерительные преобразователи в
зависимости от их назначения подразделяются на первичные, промежуточные,
передающие, масштабные и другие.
первичный измерительный преобразователь - это преобразователь, к которому
подведена измеряемая величина. Передающий измерительный преобразователь
предназначен для дистанционной передачи сигнала измерительной информации,
масштабный измерительный преобразователь - для изменения измеряемой величины в
заданное число раз.
измерительное устройство - это средство измерений, состоящее из
измерительных приборов и измерительных преобразователей. В зависимости от
назначения измерительные устройства подразделяются на первичные и вторичные.
Под первичным измерительным устройством понимают средство измерений, к которому
подведена измеряемая величина. Вторичными измерительными устройствами
(вторичными приборами) называют средства измерений, которое предназначены для
работы в комплекте с первичными измерительными устройствами.
Первичные измерительные устройства часто называют датчиками. Датчик
прибора для измерений той или иной величины - это конструктивная совокупность
ряда измерительных преобразователей, размещенных непосредственно у объекта
измерения.
измерительные информационные системы - это измерительное устройство,
которое осуществляет многоканальное измерение и обработку информации по
некоторому заданному алгоритму.
В зависимости от назначения средства измерений подразделяются на три
категории:
)рабочие меры, измерительные приборы и преобразователи;
)образцовые меры, измерительные приборы и преобразователи;
)эталоны.
Рабочие средства измерений применяют для измерений в производственных и
лабораторных условиях. Образцовые средства измерений предназначены для проверки
рабочих средств измерений. Эталоны предназначены для хранения единиц измерений
и проверки мер, приборов и преобразователей высшего разряда точности.
2.Погрешность и способы ее устранения при анализе данных
.1Погрешность измерения и способы ее устранения
При измерении любой величины, как бы тщательно мы ни производили
измерения, не представляется возможным получить свободный от искажения
результат. Причины эти искажений могут быть различны. Поэтому качество передачи
информации и качество результатов измерений принято характеризовать размером
допущенных погрешностей.
Погрешностями измерений называют отклонения результатов измерений от
истинных значений измеряемой величины.
Погрешности классифицируются по целому ряду признаков:
1) Инструментальные и методические
погрешности.
2) Основная и дополнительная
погрешность.
3) Систематические, прогрессирующие и
случайные погрешности.
4) Абсолютная, относительная и
приведенная погрешности.
5) Аддитивные и мультипликативные
погрешности.
Инструментальная погрешность зависит от качества изготовления элементов
прибора. Чем выше качество изготовления элементов, тем меньше погрешность.
Причиной возникновения методической погрешности является то, что мы
сознательно измеряем на выходе прибора не ту величину, которая нам нужна, а
другую, которая отражает нужную лишь приблизительно, но гораздо проще
технически реализуется. Такой путь широко используется в приборостроении и
позволяет создать наиболее простые, надежные и дешевые приборы.
Любой
измерительный преобразователь или измерительный прибор работает в сложных, во
времени изменяющихся условиях. Поэтому наряду с чувствительностью к измеряемой
величине он не минуемо имеет некоторую чувствительность к не измеряемым, но
влияющим на нее величинам, т.е. помехам (температура окружающей среды,
давление, вибрация, перепад напряжения источника питания и т.п.). При
градуировке прибора, все величины влияющие на измеряемую величину
поддерживаются в узких пределах их изменения (температура - в пределах 2050С,
атмосферное давление и напряжение питания - в пределах
3 % от номинального, частота - в пределах
2 % и т.д.). Оговоренные в технической документации
условия эксплуатации называются нормальными, а суммарную результирующую
погрешность, возникающую в этих условия, называют основной.
В
эксплуатационных условиях прибору или преобразователю приходится работать при
изменении температур от -50 до + 500С, давлении от 0,01 до 10 атм.,
напряжения питания
20 % и частоты до
10 %,
что вызывает погрешности, значительно выше основной. Изменения показаний
прибора при отклонении условий эксплуатации от нормальных называются
дополнительными погрешностями. В тяжелых рабочих условиях дополнительные
погрешности могут быть больше основной.
Систематическими
называются погрешности, которые остаются постоянными при повторных измерениях
одной и той же величины. Они слагаются из основной и дополнительной
погрешностей. Эти погрешности благодаря постоянству во времени функции влияния
могут быть скорректированы введением дополнительных корректирующих
преобразователей, воспринимающих влияющую величину и вводящих соответствующую
поправку в результат преобразования.
Прогрессирующими
называются погрешности, медленно изменяющиеся с течением времени. Эти
погрешности, как правило, вызываются процессами старения деталей прибора. Они
могут быть скорректированы введением поправки лишь на данный момент времени, а
далее вновь постепенно нарастают. Поэтому прогрессирующие погрешности требуют
непрерывного повторения коррекции.
Случайными
называются неопределенные по своей величине или недостаточно изученные
погрешности. В появлении различных значений этих погрешностей не удается
установить какой-либо закономерности. Они определяются сложной совокупностью
причин, трудно подающихся анализу. Их частные значения не могут быть
предсказаны, а для всей их совокупности может быть установлена закономерность
лишь для частот появления их различных значений. В подавляющем большинстве
случаев процесс появления случайных погрешностей есть случайный стационарный
процесс, поэтому разнообразие величин случайных погрешностей характеризуют
указанием закона распределения их вероятностей или указанием параметров этого
закона, разработанных в теории вероятности и теории информации.
Разделение
погрешностей на систематические, прогрессирующие и случайные является лишь
приемом их анализа. В реальной же действительности все три составляющие
проявляются совместно.
Абсолютная
погрешность представляет собой разность между измеренным значением (показанием
прибора) и действительным или истинным значением, найденным, например, при
помощи образцового прибора.
= х - хд
Относительная
погрешность, указываемая в процентах, есть отношение абсолютной погрешности к
действительному значению, т.е.:
г
= 
· 100
Приведенная погрешность, указываемая в процентах, есть отношение
абсолютной погрешности к постоянной величине, которая представляет собой
конечное значение предела измерения, т.е.:
д
=
· 100
Погрешность,
не зависящая от значения преобразуемой величины, называется аддитивной, или
погрешностью нуля. Если она является систематической, то она может быть
скорректирована путем смещения шкалы или нулевого положения указателя. Если же
аддитивная погрешность является случайной, то она не может быть
скорректирована, и реальная характеристика, смещаясь произвольным образом, но
оставаясь параллельной самой себе, образует полосу погрешностей, ширина которой
остается постоянной для любых значений измеряемой величины.
Абсолютная
погрешность, пропорциональная текущему значению преобразуемой величины,
называется мультипликативной, или погрешностью чувствительности.
.2 Обработка и оценка результатов измерений
Для уменьшения случайной составляющей погрешности, повышения точности
измерений, исключения ошибок и известных систематических погрешностей
рекомендуется проводить измерения многократными наблюдениями, число которых
должно быть не менее четырех. Порядок обработки результатов прямых многократных
измерений и оценки их погрешностей регламентирует ГОСТ. При статистической
обработке результатов наблюдений должны быть выполнены следующие операции:
· исключены известные систематические погрешности из
результатов наблюдений;
· исключены из ряда наблюдений грубые погрешности;
· вычислено среднее арифметическое исправленных результатов
наблюдений, принимаемое за результат измерения;
· найдено оценка среднего квадратического отклонения результата
наблюдения и измерения;
· проверена гипотеза о том, что результаты наблюдений
принадлежат нормальному распределению;
· установлены доверительные границы случайной погрешности
результата измерения);
· установлены границы не исключенных систематических
погрешностей (НСП);
· установлено, какие погрешности (случайные, НСП) необходимо
учитывать в расчете границ доверительного интервала;
· рассчитан доверительный интервал измеряемой величины.
Вследствие
влияния случайных погрешностей результаты повторных измерений незначительно
расходятся между собой. Максимально приближенным к истинному значению будет
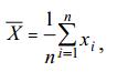
среднее арифметическое
значение результатов измерений:
,
где
- результат наблюдения; п - число единичных
наблюдений.
Случайные
погрешности вызывают разброс результатов отдельных измерений и оцениваются
характеристиками такого разброса (рассеивания) экспериментальных данных. Это
рассеивание характеризуется параметрами:
-
Размах результатов измерений (R): оценка
рассеяния результатов единичных измерений физической величины, образующих ряд
(или выборку из n измерений), вычисляемая по формуле: Rn = хmax - хmin, где хmax, хmin -
наибольшее и наименьшее значения физической величины в данном ряду измерений;
-
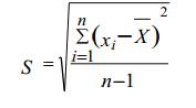
Средняя квадратическая погрешность
результатов единичных измерений в ряду измерений (S): оценка
рассеяния единичных результатов измерений в ряду равноточных измерений одной и
той же физической величины около среднего их значения. Среднее
квадратическое отклонение S результата единичного наблюдения, взятого из
совокупности таких измерений, вычисляют по формуле:
-
Средняя квадратическая погрешность
результата измерений (среднего арифметического) (Sx): оценка случайной погрешности среднего арифметического
значения результата измерений одной и той же величины в данном ряду измерений. Среднее
квадратическое отклонение S{x)
результата измерения является
параметром функции распределения и подсчитывается по формуле:
,
где
- i-й результат наблюдения;
- среднее арифметическое исправленных результатов
наблюдений (результат измерения); п - число наблюдений.
точность
среднего арифметического значения измеряемой величины в
раз выше точности единичного наблюдения.
-
Средняя арифметическая погрешность
Грубая погрешность измерения - это погрешность измерения,
существенно превышающая ожидаемую погрешность при данных условиях. Результаты
измерений, содержащие грубые погрешности, в расчет не берутся. Основными
причинами этих погрешностей являются ошибки экспериментатора, резкое и
неожиданное изменение условий измерения, неисправность прибора и др. Грубые
погрешности не всегда легко обнаружить, для выявления грубых ошибок используют
статистические методы.
Для
сопоставления и совместного использования результатов измерений применяют
единообразные показатели точности измерений и единые унифицированные формы
представления результатов измерений.
При
симметричной доверительной погрешности результаты измерений представляют в
форме доверительного интервала:
где
- результат измерения в единицах измеряемой величины;
и Р - погрешность измерения и установленная
вероятность, с которой погрешность измерения находится в этих границах.
Числовое
значение результата измерения должно оканчиваться цифрой того же разряда, что и
значение погрешности
.
Если
отсутствуют данные о виде функций распределений составляющих погрешности
результата и нет необходимости дальнейшей обработки результатов или анализа
погрешностей, то результаты представляют в форме:
где
- оценка среднего квадратического отклонения
результата измерения; п - число результатов наблюдений;
- границы не исключенной систематической погрешности
результата измерений.
При
прямых однократных измерениях исправными средствами точность оценивают
пределами допускаемой основной и дополнительной погрешностей, и результат
представляют в форме интервальной оценки:
где
- показание прибора;
и Р - пределы
допускаемой основной и дополнительной абсолютных погрешностей измерения и
вероятность ее оценки.
Пределы
допускаемых погрешностей показаний при измерении нелинейных величин (давления,
разрежения, температуры, расхода и т. п.) устанавливают по классам точности
средств измерений в соответствии с ГОСТ. Пределы допускаемой погрешности
измерения линейных размеров устанавливают для конкретных средств измерений с
учетом условий их применения. Доверительная вероятность оценки погрешностей в
указанных границах составляет при этом Р = 0,95.
Для
большей объективности результата строится гистограмма
Гистограмма
является графическим изображением распределения вероятности экспериментальных
данных. Построение гистограммы необходимо для наглядного представления
распределения эмпирической вероятности с целью определения соответствующего
теоретического закона распределения вероятности. Гистограмма представляет собой
ступенчатую фигуру, состоящую из прямоугольников, основанием которых является
ширина интервала h, а высотой - относительная частота mi/n
или величина mi/(n· h).
Гистограмма
строится в следующем порядке:
- все экспериментальные данные упорядочиваются в вариационный ряд по
мере увеличения их значений;
- вариационный ряд результатов измерений разбивают на r
интервалов: при n=50…100, r=7…9; при n=100…500, r=8…12;
рассчитывают ширину интервала h=( xmax- xmin)/r;
устанавливают границы интервалов: [xmin; xmin+h],
[xmin+h; xmin+2h], [xmin+2h; xmin+3h],…,
[xmin+(r-1)h; xmax];
- подсчитывают абсолютную частоту mi - число
экспериментальных данных, попавших в каждый i-й интервал;
рассчитывают относительные частоты:
;
- рассчитывают величину mi/(n· h);
- строят гистограмму, отложив по оси абсцисс ширину интервалов h, по оси ординат - величину pэi или mi/(n· h) для каждого i-го интервала.
Для чего необходимо определять соответствие эмпирического распределения
нормальному теоретическому закону?
Проверка соответствия эмпирического распределения нормальному
теоретическому выполняется для повышения достоверности определения
доверительного интервала.
Доверительные границы рассчитываются с помощью коэффициента Стьюдента tP, значения которого установлены,
исходя из нормального распределения экспериментальных данных. Если же таким
образом рассчитать доверительный интервал для распределений данных, существенно
отличающихся от нормального, то вероятность попадания результатов измерений в
границы доверительного интервала будет отличаться от принятой доверительной
вероятности. Как показано на рисунке 14, она может быть меньше заданной (кривая
3), а может быть больше (кривая 2). Это будет влиять на оценку измеренной
величины.
Рисунок 14 - График плотности распределения вероятности нормального (1) и
распределений, отличных от нормального (2,3)
3.Анализ практических результатов измерения
. Выявим переменную систематическую погрешность графическим методом,
построив зависимость изменения результатов отдельных измерений во времени. Для
этого:
на график наносятся точки с координатами: по оси ординат - значение
результата измерения, по оси абсцисс момент времени его получения или
порядковый номер;
соединим точки прямыми линиями и определим тенденцию изменения
результатов измерений. Если тенденция не наблюдается, то считают, что
переменная систематическая погрешность несущественна;
при наличии тенденции (в большинстве случаев линейной)
рассчитывают тангенс угла наклона прямой к оси абсцисс tg
исключают эту погрешность из результатов измерений.
Нам предложены экспериментальные данные по расходу газа в м3/час Согласно
базовых данных предел допустимых отклонений не должен превышать+0,4 по верхней
границе. Доверительная вероятность 0,9.
|
№ измерения
|
|
|
5
|
|
1 2 3 4 5 6 7 8 9 10 11 12 13 14 15 16 17 18 19 20 21 22 23
24 25 26 27 28 29 30 31 32 33 34 35 36 37 38 39 40 41 42 43 44 45 46 47 48 49
50 51 52 53 54 55
|
50,10 50,08 50,21 50,35 50,4 50,36 50,3 50,12 51,2 50,6
50,2 49,8 49,82 50,18 50,52 51,10 50,28 50,36 50,42 50,15 49,00 48,72 48,58
49,95 50,40 50,38 49,50 49,99 50,54 50,25 52,20 50,05 48,96 49,62 47,80 50,16
50,36 51,08 50,04 47,92 46,98 50,32 50,48 49,25 49,40 50,02 52,06 49,96 50,50
48,88 48,54 50,75 50,01 47,49 51,01
|
Экспериментальные данные по результатам многократных наблюдений
Выявим переменную систематическую погрешность:
Построим зависимость изменения результатов отдельных измерений во времени
Визуально видно, что тенденция изменения результатов не наблюдается можно
сделать вывод о несущественности переменной систематической погрешности.
Требования по методичке:
. Проверим наличие грубых ошибок и промахов:
полученные результаты расположим в вариационный ряд, проверим крайние
значения;
рассчитаем среднее арифметическое значение:
где xi - значение i-го результата измерений; n - число измерений;
-
рассчитаем среднее квадратическое отклонение (СКО):

определим
отношение:
=52,2
Xmin=46,98
проверим
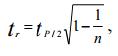
выполнение неравенства tгi <tr, где tr
определяется
по приложению 1 для заданного уровня значимости
=1-P, P -
доверительная вероятность. Если число результатов измерений превышает 30, то
для определения tr можно воспользоваться формулой:
где
tP/2 - квантиль функции Лапласа для значения функции, равном P/2.-Если
неравенство не выполняется, данный результат измерения отбрасывается, как
содержащий грубые погрешности;
Определим
по таблице при уровне доверительной вероятности 0,9 значение функции Лапласа
для количества измерений более 30
Где
tp/2- квантиль функции Лапласа
Отбросим
все табличные значения, которые при расчете дают результат превышающий
Получим
новый ряд ,состоящий из 49 результатов измерений.
Пересчитаем
среднее значение результата и СКО
рассчитывают
среднее арифметическое значение:
где
xi - значение i-го результата измерений; n - число измерений;
рассчитывают
среднее квадратическое отклонение (СКО):
.
Проверим соответствие эмпирического распределения
нормальному
теоретическому закону, используя критерии согласия.
В
нашем случае новый ряд содержит 49 измерений
При
n<50 используем составной критерий.
Критерий
1: - вычисляют параметр
-
проверяют
выполнение неравенства:
Где
q-выбранный уровень значимости
определяемые
по приложению 4.
d=22,3/(49*0,62)=0,73
,75≤0,73<0,85
Неравенство
не выполняется
Критерий
2:
задаются
уровнем значимости q2, так что
определяют
доверительную вероятность P по приложению 5, исходя из n и q2;
определяют
значение квантили tP/2 функции Лапласа Ф(t) по
приложению
2;
В
целом гипотеза о нормальности эмпирического распределения принимается, когда
выполняются 1-й и 2-й критерии.А он не выполняется в 1 критерии, а значит 2
критерий можно отбросить. Если гипотеза о соответствии нормальному
распределению отклонена, то переходят к проверке по критерию
Колмогорова-Смирнова.
.
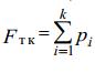
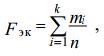
В случае, когда вышеназванные критерии не дали однозначного вывода, применяют
критерий Колмогорова-Смирнова: - рассчитывают накопленные частоты для каждого
из интервалов эмпирического распределения:
где
mi- абсолютные частоты в интервалах с 1-го по k-й ;
определяют
теоретическую вероятность pi попадания результата измерений в каждый из
интервалов при нормальном распределении, используя функцию Лапласа (приложение
2) и рассчитывают накопленную частоту теоретического распределения:
определяют
наибольшую из разностей теоретической и эмпирической накопленных частот по
интервалам:
рассчитывают
определяют
вероятность P(
) по приложению 6. Если эта вероятность мала, то
гипотезу отбрасывают.
Составим
таблицу для нахождения P(
)
Таблица
|
интервал
|
Кол-во измерений
|
Fэк
|
лаплас
|
Fтк
|
Fэк-Fтк
|
|
48,54-49,43
|
8
|
0,163
|
0,12712
|
0,127
|
0,036
|
|
49,43-50,31
|
22
|
0,612
|
0,45814
|
0,027
|
|
50,31-51,2
|
19
|
1
|
0,68269
|
1,268
|
-0,268
|
Вывод:
Принимаем гипотезу о нормальном виде распределения
.
При прямых многократных измерениях с равноточными значениями отсчета порядок
обработки установлен ГОСТ 8.207-76. Окончательный результат измерений должен
быть представлен в форме доверительного интервала:
где
tP - коэффициент Стьюдента при заданной доверительной
вероятности P (приложение 9).
Доверительный
интервал
Определяем
значение tkp
По
таблице Стьюдента находим:
tp =
1.676
(50.07
- 0.15;50.07 + 0.15) = (49.92;50.22)
Или
49,92<x<50,22
Или
50,07-0,15<x<50,07+0,15
С
вероятностью 0.9 можно утверждать, что среднее значение при выборке большего
объема не выйдет за пределы найденного интервала.
Заключение
В
результате проведенной теоретической и практической работы мы показали, что не
любую совокупность данных, принятую за результаты измерений можно применять в
качестве реальной модели описания процесса. Входе проведения измерений, в любой
работе возникают как систематические так и грубые погрешности, которые искажают
результат и помогают получить неверные выводы.
Проведенный
анализ данных по расходу газа показал, что данный временной ряд можно
использовать для реального описания процесса, только после исключения грубых и
систематических погрешностей, так как только после исключения грубых
погрешностей он соответствует нормальному распределению. Результаты измерения
газа находятся в интервале (49.92;50.22)м3. С вероятностью 0.9 можно
утверждать, что среднее значение при выборке большего объема не выйдет за пределы
найденного интервала, погрешность не превышает изначально заданную по условиям
работы +0,4 по верхнему пределу.
Список
литературы
. Артемьев Б.Г., Голубев С.М. Справочное пособие для
работников метрологических служб. Кн. 1 и 2.-М.:Изд-во стандартов, 2004.
. Кошлякова И.Г., Хлебунов А.Ф. Практикум по метрологии.
Пособие к решению задач.- Ростов н/Д, Изд. центр ДГТУ, 2004.
. Кошлякова И.Г., Ваганов В.А., Хлебунов А.Ф. Практикум по
метрологии и стандартизации: Пособие к решению задач.- Ростов н/Д, Изд. центр
ДГТУ, 2009.
4.Сергеев А.Г., Крохин В.В.Метрология.- М.: Логос,2009.
.Рудзит Т.Я., Плуталов В.Н. Основы метрологии, точность и
надёжность в приборостроении.- М.: Машиностроение,2008.
.Г.П.Мясоедов, А.В.Афанасьев. Метрология ионизирующих
излучений. Методические указания для студентов-заочников.СНИЯЭиП. Севастополь:
4.2003.
.Фарзане Н.Г., Илясов П.В., Азим-заде А.Ю. Технологические
измерения и приборы. Учебник. Москва. Высшая школа.1989.
8. 3 УММ лекционного курса по метрологии.-М.;Феникс,2011.
Приложение
|
Таблица значений функции =
|
|
1,00000 0,30 0,99999 0,31
0,99998 0,32 0,99995 0,33 0,99991 0,34 0,99993 0,35 0,9997 0,36 0,9995
0,37 0,9992 0,38 0,9987 0,39 0,9981 0,40 0,9972 0,41 0,9960 0,42 0,9945
0,43 0,9926 0,44 0,9903 0,45 0,9874 0,46 0,9840 0,47 0,9800 0,48 0,9753
0,49 0,9700 0,50 0,9639 0,51 0,9572 0,52 0,9497 0,53 0,9415 0,54 0,9325
0,55 0,9228 0,56 0,9124 0,57 0,9013 0,58 0,8896 0,59 0,8772 0,60 0,8643
0,61 0,8508 0,62 0,8368 0,63 0,8222 0,64 0,8073 0,65 0,7920 0,66 0,7764
0,67 0,7604 0,68 0,7442 0,69 0,7278 0,70 0,7112 0,71 0,6945 0,72 0,6777
0,73 0,6609 0,74 0,6440 0,75 0,6272
|
|
0,76 0,6104 0,77 0,5936 0,78 0,5770
0,79 0,5605 0,80 0,5441 0,81 0,5280 0,82 0,5120 0,83 0,4962 0,84 0,4806
0,85 0,4653 0,86 0,4503 0,87 0,4355 0,88 0,4209 0,89 0,4067 0,90 0,3927
0,91 0,3791 0,92 0,3657 0,93 0,3527 0,94 0,3399 0,95 0,3275 0,96 0,3154
0,97 0,3036 0,98 0,2921 0,99 0,2809 1,00 0,2700 1,01 0,2594 1,02 0,2492
1,03 0,2392 1,04 0,2296 1,05 0,2202 1,06 0,2111 1,07 0,2024 1,08 0,1939
1,09 0,1857 1,10 0,1777 1,11 0,1700 1,12 0,1626 1,13 0,1555 1,14 0,1486
1,15 0,1420 1,16 0,1356 1,17 0,1294 1,18 0,1235 1,19 0,1177 1,20 0,1122
1,21 0,1070 1,22 0,1019
|
|
1,23 0,0970 1,24 0,0924 1,25 0,0879
1,26 0,0836 1,27 0,0794 1,28 0,0755 1,29 0,0717 1,30 0,0681 1,31 0,0646
1,32 0,0613 1,33 0,0582 1,34 0,0551 1,35 0,0522 1,36 0,0495 1,37 0,0469
1,38 0,0444 1,39 0,0420 1,40 0,0397 1,41 0,0375 1,42 0,0354 1,43 0,0335
1,44 0,0316 1,45 0,0298 1,46 0,0282 1,47 0,0266 1,48 0,0250 1,49 0,0236
1,50 0,0222 1,51 0,0209 1,52 0,0197 1,53 0,0185 1,54 0,0174 1,55 0,0164
1,56 0,0154 1,57 0,0145 1,58 0,0136 1,59 0,0127 1,60 0,0120 1,61 0,0112
1,62 0,0105 1,63 0,0098 1,64 0,0092 1,65 0,0086 1,66 0,0081 1,67 0,0076
1,68 0,0071 1,69 0,0066
|
|
1,70 0,0062 1,71 0,0058 1,72 0,0054
1,73 0,0050 1,74 0,0047 1,75 0,0044 1,76 0,0041 1,77 0,0038 1,78 0,0035
1,79 0,0033 1,80 0,0031 1,81 0,0029 1,82 0,0027 1,83 0,0025 1,84 0,0023
1,85 0,0021 1,86 0,0020 1,87 0,0019 1,88 0,0017 1,89 0,0016 1,90 0,0015
1,91 0,0014 1,92 0,0013 1,93 0,0012 1,94 0,0011 1,95 0,0010 1,96 0,0009
1,97 0,0009 1,98 0,0008 1,99 0,0007 2,00 0,0007 2,01 0,0006 2,02 0,0006
2,03 0,0005 2,04 0,0005 2,05 0,0004 2,06 0,0004 2,07 0,0004 2,08 0,0004
2,09 0,0003 2,10 0,0003 2,11 0,0003 2,12 0,0002 2,13 0,0002 2,14 0,0002
2,15 0,0002 2,16 0,0002
|
|
2,17 0,0002 2,18 0,0001 2,19 0,0001
2,20 0,0001 2,21 0,0001 2,22 0,0001 2,23 0,0001 2,24 0,0001 2,25 0,0001
2,26 0,0001 2,27 0,0001 2,28 0,0001 2,29 0,0001 2,30 0,0001 2,31
0,000046 2,32 0,000042 2,33 0,000038 2,34 0,000035 2,35 0,000032 2,36
0,000030 2,37 0,000027 2,38 0,000024 2,39 0,000022 2,40 0,000020 2,41
0,000018 2,42 0,000016 2,43 0,000014 2,44 0,000013 2,45 0,000012 2,46
0,000011 2,47 0,000010 2,48 0,000009 2,49 0,000008 2,50 0,0000075 2,55
0,0000044 2,60 0,0000026 2,65 0,0000016 2,70 0,0000010 2,75 0,0000006
2,80 0,0000003 2,85 0,00000018 2,90 0,00000010 2,95 0,00000006 3,00
0,00000003
|
Таблица
значений функции Лапласа
|
t F(t) 0.00 0.00000 0.01 0.00798 0.02 0.01596 0.03
0.02393 0.04 0.03191 0.05 0.03988 0.06 0.04784 0.07 0.05581 0.08
0.06376 0.09 0.07171 0.10 0.07966 0.11 0.08759 0.12 0.09552 0.13
0.10348 0.14 0.11134 0.15 0.11924 0.16 0.12712 0.17 0.13499 0.18
0.14285 0.19 0.15069 0.20 0.15852 0.21 0.16633 0.22 0.17413 0.23 0.18191
0.24 0.18967 0.25 0.19741 0.26 0.20514 0.27 0.21284 0.28 0.22052 0.29
0.22818 0.30 0.23582 0.31 0.24344 0.32 0.25103 0.33 0.25860 0.34
0.26614 0.35 0.27366 0.36 0.28115 0.37 0.28862 0.38 0.29605 0.39
0.30346 0.40 0.31084 0.41 0.31819 0.42 0.32552 0.43 0.33280 0.44
0.34006 0.45 0.34729 0.46 0.35448 0.47 0.36164 0.48 0.36877 0.49
0.37587 0.50 0.38292 0.51 0.38995 0.52 0.39694 0.53 0.40389 0.54
0.41080 0.55 0.41768 0.56 0.42452 0.57 0.43132 0.58 0.43809 0.59
0.44481 0.60 0.45149 0.61 0.45814 0.62 0.46474 0.63 0.47131 0.64
0.47783 0.65 0.48431 0.66 0.49075 0.67 0.49714 0.68 0.50350 0.69
0.50981 0.70 0.51607 0.71 0.52230 0.72 0.52848 0.73 0.53461 0.74
0.54070 0.75 0.54675 0.76 0.55275 0.77 0.55870 0.78 0.56461 0.79
0.57047 0.80 0.57629 0.81 0.58206 0.82 0.58778 0.83 0.59346 0.84
0.59909 0.85 0.60468 0.86 0.61021 0.87 0.61570 0.88 0.62114 0.89
0.62653 0.90 0.63188 0.91 0.63718 0.92 0.64243 0.93 0.64763 0.94
0.65278 0.95 0.65789 0.96 0.66294 0.97 0.66795 0.98 0.67291 0.99
0.67783
|
t F(t) 1.00 0.68269 1.01 0.68750 1.02 0.69227 1.03
0.69699 1.04 0.70166 1.05 0.70628 1.06 0.71086 1.07 0.71538 1.08
0.71986 1.09 0.72429 1.10 0.72867 1.11 0.73300 1.12 0.73729 1.13
0.74152 1.14 0.74571 1.15 0.74986 1.16 0.75395 1.17 0.75800 1.18
0.76200 1.19 0.76595 1.20 0.76986 1.21 0.77372 1.22 0.77754 1.23
0.78130 1.24 0.78502 1.25 0.78870 1.26 0.79233 1.27 0.79592 1.28
0.79945 1.29 0.80295 1.30 0.80640 1.31 0.80980 1.32 0.81316 1.33
0.81648 1.34 0.81975 1.35 0.82298 1.36 0.82617 1.37 0.82931 1.38
0.83241 1.39 0.83547 1.40 0.83849 1.41 0.84146 1.42 0.84439 1.43
0.84728 1.44 0.85013 1.45 0.85294 1.46 0.85571 1.47 0.85844 1.48
0.86113 1.49 0.86378 1.50 0.86639 1.51 0.86696 1.52 0.87149 1.53
0.87398 1.54 0.87644 1.55 0.87886 1.56 0.88124 1.57 0.88358 1.58
0.88589 1.59 0.88817 1.60 0.89040 1.61 0.89260 1.62 0.89477 1.63
0.89690 1.64 0.89899 1.65 0.90106 1.66 0.90309 1.67 0.90508 1.68
0.90704 1.69 0.90897 1.70 0.91087 1.71 0.91273 1.72 0.91457 1.73
0.91637 1.74 0.91814 1.75 0.91988 1.76 0.92159 1.77 0.92327 1.78
0.92492 1.79 0.92655 1.80 0.92814 1.81 0.92970 1.82 0.93124 1.83
0.93275 1.84 0.93423 1.85 0.93569 1.86 0.93711 1.87 0.93852 1.88
0.93989 1.89 0.94124 1.90 0.94257 1.91 0.94387 1.92 0.94514 1.93
0.94639 1.94 0.94762 1.95 0.94882 1.96 0.95000 1.97 0.95116 1.98
0.95230 1.99 0.95341
|
t F(t) 2.00 0.95450 2.01 0.95557 2.02 0.95662 2.03
0.95764 2.04 0.95865 2.05 0.95964 2.06 0.96060 2.07 0.96155 2.08
0.96247 2.09 0.96338 2.10 0.96427 2.11 0.96514 2.12 0.96599 2.13
0.96683 2.14 0.96765 2.15 0.96844 2.16 0.96923 2.17 0.96999 2.18
0.97074 2.19 0.97148 2.20 0.97219 2.21 0.97289 2.22 0.97358 2.23 0.97425
2.24 0.97491 2.25 0.97555 2.26 0.97618 2.27 0.97679 2.28 0.97739 2.29
0.97798 2.30 0.97855 2.31 0.97911 2.32 0.97966 2.33 0.98019 2.34
0.98072 2.35 0.98123 2.36 0.98172 2.37 0.98221 2.38 0.98269 2.39
0.98315 2.40 0.98360 2.41 0.98405 2.42 0.98448 2.43 0.98490 2.44
0.98531 2.45 0.98571 2.46 0.98611 2.47 0.98649 2.48 0.98686 2.49
0.98723 2.50 0.98758 2.51 0.98793 2.52 0.98826 2.53 0.98859 2.54
0.98891 2.55 0.98923 2.56 0.98953 2.57 0.98983 2.58 0.99012 2.59
0.99040 2.60 0.99068 2.61 0.99095 2.62 0.99121 2.63 0.99146 2.64
0.99171 2.65 0.99195 2.66 0.99219 2.67 0.99241 2.68 0.99263 2.69
0.99285 2.70 0.99307 2.71 0.99327 2.72 0.99347 2.73 0.99367 2.74
0.99386 2.75 0.99404 2.76 0.99422 2.77 0.99439 2.78 0.99456 2.79
0.99473 2.80 0.99489 2.81 0.99505 2.82 0.99520 2.83 0.99535 2.84
0.99549 2.85 0.99563 2.86 0.99576 2.87 0.99590 2.88 0.99602 2.89
0.99615 2.90 0.99627 2.91 0.99639 2.92 0.99650 2.93 0.99661 2.94
0.99672 2.95 0.99682 2.96 0.99692 2.97 0.99702 2.98 0.99712 2.99
0.99721
|
t F(t) 3.00 0.99730 3.01 0.99739 3.02 0.99747 3.03
0.99755 3.04 0.99763 3.05 0.99771 3.06 0.99779 3.07 0.99786 3.08
0.99793 3.09 0.99800 3.10 0.99806 3.11 0.99813 3.12 0.99819 3.13
0.99825 3.14 0.99831 3.15 0.99837 3.16 0.99842 3.17 0.99848 3.18
0.99853 3.19 0.99858 3.20 0.99863 3.21 0.99867 3.22 0.99872 3.23
0.99876 3.24 0.99880 3.25 0.99855 3.26 0.99889 3.27 0.99892 3.28
0.99896 3.29 0.99900 3.30 0.99903 3.31 0.99907 3.32 0.99910 3.33
0.99913 3.34 0.99916 3.35 0.99919 3.36 0.99922 3.37 0.99925 3.38
0.99928 3.39 0.99930 3.40 0.99933 3.41 0.99935 3.42 0.99937 3.43
0.99940 3.44 0.99942 3.45 0.99944 3.46 0.99946 3.47 0.99948 3.48
0.99950 3.49 0.99952 3.50 0.99953 3.51 0.99955 3.52 0.99957 3.53
0.99958 3.54 0.99960 3.55 0.99961 3.56 0.99963 3.57 0.99964 3.58
0.99966 3.59 0.99967 3.60 0.99968 3.61 0.99969 3.62 0.99971 3.63
0.99972 3.64 0.99973 3.65 0.99974 3.66 0.99975 3.67 0.99976 3.68
0.99977 3.69 0.99978 3.70 0.99978 3.71 0.99979 3.72 0.99980 3.73
0.99981 3.74 0.99982 3.75 0.99982 3.76 0.99983 3.77 0.99984 3.78
0.99984 3.79 0.99985 3.80 0.99986 3.81 0.99986 3.82 0.99987 3.83
0.99987 3.84 0.99988 3.85 0.99988 3.86 0.99989 3.87 0.99989 3.88
0.99990 3.89 0.99990 3.90 0.99990 3.91 0.99991 3.92 0.99991 3.93
0.99992 3.94 0.99992 3.95 0.99992 3.96 0.99992 3.97 0.99993 3.98
0.99993 3.99
|