Задача о траекториях
Учреждение
образования
"Белорусский
государственный педагогический университет имени Максима Танка"
Математический
факультет
Кафедра
математического анализа
Курсовая
работа
Задача
о траекториях
Минск,
2014
Оглавление
Глава 1. Постановка задачи
Глава 2. Необходимые теоретические
сведения
.1 Задача о траекториях на плоскости
в случае декартовых координат
.2 Изогональные траектории семейства
.3 Ортогональные траектории
семейства
Глава 3. Примеры решения задач
Заключение
Список используемой литературы
Глава 1. Постановка задачи
Многие вопросы физики, химии, экономики,
техники, математики и других областей знания сводятся к следующей задаче: найти
функцию f, имея некоторое
уравнение, в которое кроме этой функции и аргументов, от которых она зависит,
входят также ее производные до некоторого порядка включительно. Такие уравнения
называют дифференциальными уравнениями. Если искомая функция зависит лишь от
одного аргумента, уравнение называют обыкновенным дифференциальным уравнением.
В противном случае его называют дифференциальным уравнением в частных
производных.
Если обозначить независимое переменное,
производная по которому от искомой функции входит в состав обыкновенного
дифференциального уравнения, через t,
а эту искомую скалярную функцию через x(t),
то можно записать обыкновенное дифференциальное уравнение в виде
F(t, x,
, …, 
) = 0 (1)
Порядок nЄN старшей
производной в (1) называют порядком дифференциального уравнения.
Решением обыкновенного
дифференциального уравнения (1) в некотором промежутке TЄR называют n раз
непрерывно дифференцируемую в этом промежутке функцию x(t),
удовлетворяющую при любом tЄT этому
уравнению.
Дифференциальные уравнения являются
одним из основных средств для математического решения практических задач.
Актуальность данной темы состоит в
том, что отыскание ортогональных траекторий бывает нужно в задачах картографии,
навигации и т. д. Изогональные траектории меридианов на сфере называют
локсодромиями. Если передвигаться с фиксированным путевым углом по Земле,
которую условно принять за сферу или эллипсоид, то траектория движения объекта
и будет локсодромией. Локсодрома не является кратчайшим путём между двумя
пунктами (исключение - меридианы и экватор). Тем не менее, в старину суда и
путешественники нередко двигались по локсодромам, так как идти под постоянным
углом к Полярной звезде проще и удобнее. С изобретением компаса мореплаватели
перешли на движение по "магнитным локсодромам", то есть по линиям с
постоянным углом к магнитному северу, что дало возможность продолжать движение
и в облачную погоду. Но как только были выяснены магнитные склонения во всех
местах Земли, люди вновь перешли на обычные локсодромы. Даже в XX веке
локсодромия использовалась при расчёте требуемого курса при прокладке маршрута
самолётов и морских судов. Со временем, когда появились приборы с достаточной
вычислительной мощностью для вычисления текущего требуемого путевого угла,
начали активно применять ортодромию (кратчайший путь), особенно для дальних
маршрутов самолётов.
С задачей на отыскание ортогональных
траекторий мы встречаемся в механике, когда требуется найти силовые линии поля.
Таким образом, во многих задачах
теоретической механики, геометрической оптики, картографии и других областей
науки возникает необходимость в нахождении кривых по тем или иным свойствам
проведенных к ним касательных. Поскольку угловой коэффициент касательной к
графику функции равен производной этой функции в точке касания, такие задачи
решаются обычно с помощью дифференциальных уравнений.
При решении геометрических задач с
помощью дифференциальных уравнений рекомендуется следующая последовательность
действий:
1) Сделать чертеж и ввести обозначения.
2) Отделить условия, имеющие место в
произвольной точке искомой линии, от условий, выполняющихся лишь в отдельных
точках, т.е. начальных условий.
) Выразить все упомянутые в задаче
величины через координаты произвольной точки и через значение производной в
этой точке, учитывая геометрический смысл производной.
) По условию задачи составить
дифференциальное уравнение, которому удовлетворяет искомая кривая.
) Найти общее решение этого уравнения и
получить из него с помощью начальных условий уравнение искомой линии.
Общее решение дифференциального уравнения
первого порядка графически изображается семейством интегральных кривых,
зависящих от одного параметра С, - каждому значению этого параметра
соответствует определенное частное решение, т.е. определенная интегральная
кривая.
Целью данной курсовой работы является изучение
важного геометрического приложения дифференциальных уравнений первого порядка -
задачи о траекториях в случае декартовых координат.
Содержание курсовой работы состоит из введения и
двух параграфов. В первом параграфе дается общее понятие о траекториях,
рассматриваются задачи о траекториях на плоскости в случае декартовых координат
при изогональных и ортогональных траекториях. Во втором параграфе показаны
некоторые примеры решения задач о траекториях.
Глава 2. Необходимые теоретические
сведения
.1 Задача о траекториях на плоскости
в случае декартовых координат
В качестве примера одного из многочисленных
геометрических приложений дифференциальных уравнений первого порядка рассмотрим
задачу о траекториях на плоскости в случае декартовых координат. Пусть на
плоскости xOy дано
параметрическое семейство кривых линий, заданное уравнением вида
Ф(x,
y, α)
= 0. (1)
Требуется найти дифференциальное уравнение
первого порядка, для которого данное семейство было бы общим решением.
Рис.1
Кривая 
(рис.1), пересекающая все кривые L семейства
(1) под одним и тем же постоянным углом α, называется изогональной
траекторией этого семейства. Углом α между кривыми 
и L в точке их
пересечения называется угол между касательными к ним в этой точке. Если, в
частности,
α=
,
то изогональная траектория
называется ортогональной.
2.2 Изогональные траектории
семейства
траектория плоскость ортогональный
изогональный
Найдем изогональные (ортогональные) траектории
семейства (1).
С этой целью установим с начала
соотношение между угловыми коэффициентами касательной к кривой семейства (1) и
к изогональной траектории в точке их пересечения. Пусть М(
, 
) - любая точка на изогональной
траектории 
. Обозначим углы, образованные осью Ox с
касательной MT к кривой L семейства
(1), походящей через точку M, и с касательной M
к траектории 
точке M,
соответственно через φ
и

. Тогда при перемещении точки M по
траектории выполняется соотношение

= φ + α,
Причем
tg
= 
, tgφ =
. (2)
Обозначим tg α через k, т.к. φ = 
- α, получим
tg φ = 
(3)
или

= 
(4)
Это равенство и устанавливает
искомую связь между направлением касательной в любой точке M траектории 
и направлением касательной к кривой
L семейства
(1), проходящей через эту точку.
Составим теперь
дифференциальное уравнение семейства (1). Для этого исключим параметр α из уравнений
Ф(x, y, α) = 0, 
+

= 0 (5)
Получим
F (x, y, 
) = 0 (6)
Это равенство выполняется для всех
точек области, заполненной кривыми семейства (1). Оно выполняется и
рассматриваемой нами точке M. Но в этой точке мы можем заменить x и y на 
и 
, а 
на ее значение из (4), так что получим
соотношение
F(
, 
, 
) = 0, (7)
связывающее координаты любой точки M траектории 
с направлением касательной к ней в
этой точке. Следовательно, равенство (7) есть дифференциальное уравнение
семейства изогональных траекторий.
Получив дифференциальное уравнение
семейства изогональных траекторий, мы можем переписать его, опуская индексы. В
итоге мы можем составить следующее правило построения изогональных траекторий:
1) Составить дифференциальное уравнение данного
семейства кривых.
2) Заменить в полученном уравнении 
на 
(k = tg α) и получить
дифференциальное уравнение изогональных траекторий.
3) Решить новое дифференциальное уравнение и
найти алгебраическое уравнение семейства изогональных траекторий.
.3 Ортогональные траектории
семейства
α =
,
тогда
tg φ
= tg (
- 
) = - tg (
- - 
)= - ctg
= - 
.
Следовательно вместо соотношения (4)
будем иметь

= - 
(8)
Заменяя теперь в (6) x, y, 
соответственно на 
, 
и - 
получим дифференциальное уравнение
семейства ортогональных траекторий:
F (
, 
, - 
) = 0 (9)
Получив дифференциальное уравнение
семейства ортогональных траекторий, мы можем переписать его, опуская индексы. В
итоге мы можем составить следующее правило построения ортогональных траекторий:
1) Составить дифференциальное уравнение
данного семейства кривых.
2) Заменить в полученном
уравнении 
на - 
и получить дифференциальное
уравнение ортогональных траекторий.
) Решить новое дифференциальное
уравнение и найти алгебраическое уравнение семейства ортогональных траекторий.
Глава 3. Примеры решения задач
Пример 1. Найти
изогональные траектории пучка прямых с центром в начале координат: y=ax. Пусть угол
пересечения α
, tgα=k.
Обозначим текущие координаты точки
траектории через (x,y); угловой
коэффициент касательной к траектории в этой точке будет 
.
Имеем:

=a, 
;
заменяя 
его значением a,которое, в
силу уравнения семейства, равно 
, получаем (опуская индексы):

, или 
Это уравнение является однородным
уравнением, и для его решения применим подстановку
y=ux,
dy=udx+xdu.
(2)
Подставляя выражение (2) в уравнение
(1), получаем
xdu-ku2dx-kxudu-kdx=0
или после группировки членов
x(1-ku)du-k(1+u2)dx=0. (3)
В уравнение (3) разделяем переменные
Интегрируем:
или
Учитывая, что 
и 
, придаем уравнению (4) вид
или
Переходя к полярным координатам, т.
е. полагая x=r cosφ, y=r sinφ, находим,
что изогональными траекториями являются логарифмические спирали
Если

,
то имеем:

,
или

откуда

,
т. е. мы получили семейство
окружностей.
Рис. 1
Пример 2. Найти
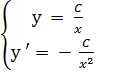
ортогональные траектории семейства прямых линий y=Cx, где С -
параметр.
Решение. Запишем
дифференциальное уравнение для заданного семейства прямых y = Cx.
Дифференцируя последнее уравнение по переменной x, получаем 
C.
Исключим параметр С из системы уравнений:

⇨ 
=
Получили дифференциальное уравнение
для исходного пучка прямых линий. Заменяя в нем 
на - 
, получим дифференциальное уравнение
ортогональных траекторий:

= 
или 
= - 
Решим полученное дифференциальное
уравнение и определим алгебраическое уравнение семейства ортогональных
траекторий:

= - 
?

- 

ydy = - xdx ⇨ 
= -
⇨

+ C ⇨ 
+ 
= C ⇨

+ 
= 2C
Заменяя 2С на 
мы видим, что ортогональные
траектории для данного семейства прямых представляют собой концентрические
(имеющие общий центр) окружности (рис.2)
Рис.2
Пример 3. Найти
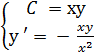
уравнение ортогональных траекторий семейства гипербол xy
= C.
Решение.
Запишем
дифференциальное уравнение для заданного семейства гипербол
y = 
.
Дифференцируя последнее уравнение по
переменной x, получаем
y ꞌ = -

.

⇨ 
⇨
=
Получили дифференциальное уравнение
для исходного семейства гипербол. Заменяя в нем 
на - 
, получим дифференциальное уравнение
ортогональных траекторий:


= 
или 
= 
Решим полученное дифференциальное
уравнение и определим алгебраическое уравнение семейства ортогональных
траекторий:

= 
⇨ 

⇨ ydy = xdx ⇨ 
= 
⇨ 
+ C
и поэтому


= C .
В последнем уравнении заменили 2С
просто на С.
Значит, семейством ортогональных
траекторий для семейства гипербол
xy = C
является семейство гипербол


= C,
получаемое из данного поворотом на 
вокруг начала координат (рис.3).
Рис. 3
Пример 4.
Найти
изогональные траектории семейства прямых линий y
= Cx, где С - параметр.
Решение.
Дифференциальное
уравнение семейства прямых линий
имеет вид

=
.
Заменим в нем 
на 
, получим

= 
⇨
xyꞌ - kx = y + kyy ⇨
yꞌ(x - ky) = y + kx ⇨
yꞌ = 
⇨

Получили однородное уравнение и для
его решения применим подстановку
y =
ux, dy = udx + xdu.
Получаем
xdu - k
dx - kxudu- xdx = 0.
Группируем члены, имеем
x(1 - ku)du - k(1 + 
)dx = 0.
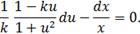
Разделяем переменные, имеем


du - 
= 0 .
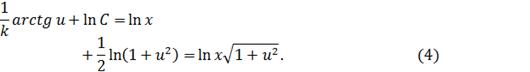
Интегрируем:

- 
Получаем:

arctgu+lnC - 
ln(
) - lnx = 0 ⇨ 
arctgu + lnC - 
ln
=0
Учитывая, что
u = 
,
получаем

arctg 
+ ln C - 
ln
= 0 ⇨

arctg 
+ ln C - 
ln(
) = 0 ⇨(

) = 
arctg 
⇨

= C
.
Искомыми изогональными траекториями
является семейство логарифмических спиралей (рис.4).
Рис.4
Заключение
Цель данной работы достигнута.
В ходе курсовой работы была рассмотрена задача о траекториях на плоскости в
случае декартовых координат, ортогональные и изогональные траектории семейства,
заданные дифференциальными уравнениями, а также примеры решения задач.
Список используемой литературы
1. Матвеев Н.М. Методы
интегрирования обыкновенных дифференциальных уравнений. М., "Высшая
школа" 1967.
2. Агафонов С.А., Герман
А.Д., Муратова Т.В. Дифференциальные уравнения., 1985.
3. Виленкин Н.Я., Сафонов
М.А. Дифференциальные уравнения: учеб. пособие для студентов-заочников IV
курса физ.-мат. фак. М.: Просвещение, 1984.