Характеристика денежных потоков предприятия

  • Вид работы:
    Дипломная (ВКР)
  • Предмет:
    Финансы, деньги, кредит
  • Язык:
    Русский
    ,
    Формат файла:
    MS Word
    270,14 Кб
  • Опубликовано:
    2015-02-09
Вы можете узнать стоимость помощи в написании студенческой работы.
Помощь в написании работы, которую точно примут!

Характеристика денежных потоков предприятия

Содержание

Введение

. Теоретические основы анализа денежных потоков на предприятии

.1 Состав и характеристика денежных потоков предприятия

.2 Методика анализа денежных потоков на предприятии

. Анализ хозяйственной деятельности ЗАО «Элис-к»

.1 Общая и организационная характеристика предприятия

.2 Анализ основных экономических и финансовых показателей предприятия

. Пути совершенствования управления денежными потоками на предприятии ЗАО «Элис-к»

.1 Анализ структуры и динамики денежных потоков на предприятии

.2 Оценка эффективности управления денежными потоками на предприятии

.3 Основные направления совершенствования управления денежными потоками на предприятии

Заключение

Список литературы

Введение

Актуальность темы исследования. Среди главных проблем российской экономики многие экономисты выделяют дефицит денежных средств на предприятиях для осуществления ими своей текущей и инвестиционной деятельности. Однако при ближайшем рассмотрении данной проблемы выясняется, что одной из причин этого дефицита является, как правило, низкая эффективность привлечения и использования денежных ресурсов, ограниченность применяемых при этом финансовых инструментов, технологий и механизмов. Поскольку финансовые инструменты и технологии всегда опираются на разработки финансовой науки и практики, то их применение особенно актуально при недостатке финансовых ресурсов.

С другой стороны, управление денежными потоками входит в состав финансового менеджмента и осуществляется в рамках финансовой политики предприятия, понимаемой как общая финансовая идеология, которой придерживается предприятие для достижения общеэкономической цели его деятельности. Задачей финансовой политики является построение эффективной системы управления финансами, обеспечивающей достижение стратегических и тактических целей деятельности предприятия. Таким образом, управление денежными потоками можно отнести к тактическому направлению финансовой политики предприятия.

Движение денежных средств фирмы представляет собой непрерывный процесс. Для каждого направления использования денежных фондов должен быть соответствующий источник. В широком смысле активы фирмы представляют собой чистое использование денежных средств, а пассивы и собственный капитал - чистые источники. Для действующего предприятия реально не существует начальной и конечной точки. Конечный продукт - это совокупность затрат сырья, основных средств и труда, в конечном счете оплачиваемых денежными средствами. Продукция затем продается либо за наличные, либо в кредит. Продажа в кредит влечет за собой дебиторскую задолженность, которая, в конечном счете, инкассируется, превращается в наличность. Если продажная цена продукции превышает все расходы (включая износ активов) за некоторый период, то за этот период будет получена прибыль; селя нет - убыток. Объем денежных средств колеблется во времени в зависимости от производственного графика, объема продаж, инкассации дебиторской задолженности, капитальных расходов и финансирования. С другой стороны, запасы сырья, незавершенное производство, запаси; готовой продукции, дебиторская задолженность и подлежащий оплате коммерческий кредит колеблются в зависимости от реализации, производственного графика и политики в отношении основных дебиторов, запасов и задолженности по коммерческому кредиту.

Отчет о наличии и использовании денежных средств - это метод, при помощи которого изучается чистое изменение объема средств между двумя моментами. Эти моменты соответствуют начальной и конечной датам финансового отчета, к какому бы периоду ни относилось исследование - кварталу, году или пятилетию. Отчет об источниках и использовании денежных средств описывает скорее чистые, чем общие изменения в финансовом положении на разные даты. Общие изменения - это все изменения, которые происходят между двумя отчетными датами, а чистые изменения определяются как результат общих изменений.

Вместе с тем, следует отметить, что эффективно организованные денежные потоки предприятия являются важнейшим показателем финансового состояния, предпосылкой обеспечения устойчивого роста и достижения высоких результатов его хозяйственной деятельности в целом. Поэтому знание и практическое использование современных принципов, механизмов и методов управления денежными потоками позволяет обеспечить переход организации к новому качеству экономического развития в рыночных условиях.

Целью данной работы является разработка предложений по повышению эффективности управления денежными потоками на примере предприятия ЗАО «Элис-К».

Для достижения поставленной цели были выделены следующие задачи:

.        Привести теоретические основы стратегического анализа управления денежными потоками;

.        Провести анализ хозяйственной деятельности на примере предприятия ЗАО «Элис-К»;

.        Провести анализ структуры и динамики управления денежными потоками на примере предприятия ЗАО «Элис-К»;

.        Выявить основные направления совершенствования процесса управления денежными потоками на примере предприятия ЗАО «Элис-К».

Предметом исследования является денежные потоки предприятия.

Объектом исследования данной работы является предприятие ЗАО «Элис-К».

При написании работы использованы методы обзора литературных источников, системного и финансового анализа, сравнения, индукции, дедукции.

В данной работе присутствует, как теоретическая значимость, так и практическая.

Теоретическая значимость данной дипломной работе заключается в обработке и анализе различных источников и точек зрения в области управления денежными потоками предприятия.

В качестве практической значимости данной работы можно выделить наличие полноценного анализа, как общей деятельности всего предприятия, так и непосредственно в области управления денежными потоками. По итогам анализа предложены мероприятия по повышению эффективности управления денежными потоками ЗАО «Эллис-К», которые могут быть использованы в практической деятельности предприятий, в частности, ЗАО «Эллис-К».

При написании данной работы использовалась как вторичная, так и первичная информация. Были использованы учебные пособия, журналы, Интернет, ежегодные отчеты фирм, внутренняя отчетность предприятия и другая вторичная информация.

Структура работы. Данное исследование включает в себя введение, основная часть, состоящая из трех глав, заключение, список использованной литературы.

Во введение приводится актуальность выбранной темы исследования, ставятся цель и задачи, а также определяется объект и предмет исследования.

Первая глава посвящена теоретическому анализу источников в области управления денежными потоками предприятия.

Вторая часть данной работы содержит информацию о деятельности объекта исследования, а также о его текущем финансовом состоянии.

В третьей главе данной дипломной работы приводится информация относительно управления денежными потоками предприятия ЗАО «Элис-К», приводится анализ и оценка денежных потоков, а так же присутствует разработка соответствующих мероприятий для повышения эффективности управления денежными средствами анализируемого предприятия.

В заключении подводятся итоги проведенного исследования.

Список литературы включает источники, которые были использованы при написании работы.

1. Теоретические основы анализа денежных потоков на предприятии


.1 Состав и характеристика денежных потоков предприятия

Движение денежных средств, получаемых и расходуемых предприятием в наличной и безналичной форме, называют в финансовом менеджменте денежными потоками.

Анализ существующих концепций, определяющих сущность денежных потоков, показал, что в учебно-практической и научной литературе отсутствуют не только единые понятия, относящиеся к денежным потокам, но и их общепризнанное определение.

Наиболее четко при определении денежных потоков выделяются два направления. Одни авторы денежные потоки определяют как разницу между полученными и выплаченными организацией денежными средствами за определенный период времени, другие как движение денежных средств за определенный период времени.

Можно выделить несколько значений понятия денежный поток (cash flow). На статическом уровне это количественное выражение денег, имеющихся в распоряжении субъекта (предприятия или лица) в данный конкретный момент времени - «свободный резерв». Для инвестора cash flow - ожидаемый в будущем доход от инвестиций (с учетом дисконта). С точки зрения руководства предприятия, на динамическом уровне, cash flow представляет собой план будущего движения денежных фондов предприятия во времени либо сводку данных об их движении в предшествующих периодах. В каждом случае cash flow означает фактическое движение финансовых средств [46].

Наиболее полно, раскрывает экономическую сущность данного понятия в современных рыночных условиях следующие определение: «денежный поток - это совокупность распределенных во времени поступлений и выплат денежных средств, генерируемых хозяйственной деятельностью организации».

Цель анализа денежных потоков - это, прежде всего, анализ финансовой устойчивости и доходности предприятия. Его исходным моментом является расчет денежных потоков, прежде всего, от операционной (текущей) деятельности.

Эти потоки бывают двух видов: положительные и отрицательные. Положительные потоки (притоки) отражают поступление денег на предприятие, отрицательные (оттоки) - выбытие или расходование денег предприятием.

Перевод денег из кассы на расчетный счет и подобные ему внутренние перемещения денег не рассматриваются в качестве денежных потоков. Важнейшим условием возникновения денежного потока является пересечение им условной “границы” предприятия.

Разница между валовыми притоками и оттоками денежных средств за определенный период времени называется чистым денежным потоком. Он также может быть положительным или отрицательным (притоком или оттоком). [4, с.170]

Денежные потоки организации подразделяются на многочисленные виды. Для обеспечения эффективного целенаправленного управления ими необходимо их классифицировать.

. По отношению к группе консолидированных предприятий:

.1. Общие денежные потоки предприятия - члена группы.

.2. Денежные потоки организации по операциям с другими организациями - членами группы.

.3. Денежные потоки организации по операциям с внешними по отношению к группе контрагентами.

.4. Совокупные денежные потоки холдинга.

. По связи с хозяйственной деятельностью организации

.1. Денежные потоки, генерируемые хозяйственными процессами.

.2. Денежные потоки, связанные с выделением внешнего для организации внутрихолдингового финансирования.

. По масштабам обслуживания хозяйственных процессов предприятия

.1. По предприятию в целом (агрегированный).

.2. По отдельным видам деятельности предприятия.

.3. По структурным подразделениям и службам предприятия (центрам ответственности).

.4. По отдельным хозяйственным операциям.

. По видам деятельности

.1. По текущей (операционной) деятельности.

.2. По инвестиционной деятельности.

.3. По финансовой деятельности.

.4. Совокупный денежный поток.

. По направленности движения потока

.1. Входящий (приток денежных средств).

.2. Исходящий (отток денежных средств).

. По методу исчисления объема

.1. Валовый денежный поток.

.2. Чистый денежный поток.

. По форме осуществления расчетов

.1. Наличный денежный поток.

.2. Безналичный денежный поток.

.3. Товарообменные операции и взаимозачеты.

. По уровню достаточности объема

.1. Избыточный денежный поток.

.2. Дефицитный денежный поток.

.3 Оптимальный денежный поток.

. По отношению к отчетному периоду

.1. Денежный поток прошлых периодов.

.2. Денежный поток отчетного периода.

.3. Планируемый денежный поток планового периода.

.4. Прогнозируемый денежный поток прогнозируемого периода.

. По непрерывности формирования за период

.1. Регулярный денежный поток.

.2. Нерегулярный (дискретный, разовый) денежный поток.

. По стабильности временных интервалов формирования

.1. Регулярный поток с равномерными временными интервалами.

.2. Регулярный поток с неравномерными временными интервалами.

. По направленности изменений в динамике

.1. Нарастающий денежный поток.

.2. Уменьшающийся денежный поток.

.3. Стабильный денежный поток.

.4. Стохастический денежный поток.

. По отношению к сегментам деятельности холдинга

.1. Денежные потоки по конкретным операционным сегментам.

.2. Денежные потоки по конкретным географическим сегментам.

При этом, рассматривая классификацию денежных потоков по форме их осуществления на современном этапе развития экономики страны, необходимо дополнить ее, выделив внутри безналичного потока в отдельную группу относительно новое для российской экономики понятие - электронный денежный поток (рис. 1.) [5, с.105]:

В отличие от прибыли и издержек денежные потоки имеют конкретный характер. Если показатель бухгалтерской прибыли базируется на многочисленных, часто очень условных расчетах, денежный поток всегда очевиден - достаточно сальдировать притоки и оттоки (каждый элемент которых подтверждается банковской выпиской или кассовым документом), чтобы получить итоговую величину чистого денежного потока.

Поэтому в финансах любой актив или хозяйственная операция оцениваются прежде всего с точки зрения величины и направленности денежных потоков, порождаемых активом или операцией. Транзакция, не оказывающая влияния на денежные потоки предприятия, не представляет интереса для финансов. Однако очень трудно привести пример операций, не влекущих за собой изменений в денежных потоках.

Рис. 1. Классификации денежных потоков по форме осуществления

Все денежные потоки предприятия объединяются в три основные группы: потоки от операционной, инвестиционной и финансовой деятельности. Главным источником денежных поступлений предприятия является его основная деятельность - производство и реализация продукции для завода, розничная торговля для магазина и т.п. Многие предприятия одновременно осуществляют несколько видов деятельности, совмещая производство с посредническими операциями или оказанием других услуг. Тем не менее, деятельность такого рода часто обозначается единым термином - производственная или операционная. Денежные потоки от этой деятельности (выручка от реализации, оплата счетов поставщиков, выплата заработной платы) являются наиболее регулярными, так как они обслуживают текущие операции, повторяющиеся из месяца в месяц.

Наряду с осуществлением рутинных хозяйственных операций предприятие периодически сталкивается с необходимостью приобретения нового или реализации устаревшего оборудования, осуществления долгосрочных инвестиций иного характера. Кроме этого, важное значение имеет деятельность, связанная с привлечением дополнительного собственного или заемного капитала. Каждая из этих операций порождает соответствующие денежные потоки, которые, несмотря на свой менее регулярный характер, могут оказывать значительное влияние на величину совокупного денежного потока предприятия. [6, с.210]

Притоки от операционной деятельности формируются за счет выручки от реализации продукции (работ, услуг), погашения дебиторской задолженности, получаемых от покупателей авансов. Операционные оттоки - это оплата счетов поставщиков и подрядчиков, выплата заработной платы, платежи в бюджет и внебюджетные фонды, уплата процентов за кредит. Этот перечень включает в себя практически все текущие операции предприятия, связанные с использованием оборотных средств.

Под инвестиционной деятельностью в мировой практике понимается деятельность предприятия по осуществлению долгосрочных вложений, причем учитываются не только реальные. но и долгосрочные финансовые инвестиции. Денежные оттоки от инвестиционной деятельности включают в себя оплату приобретаемых основных фондов, капитальные вложения в строительство новых объектов, приобретение предприятий или пакетов их акций (долей в капитале) с целью получения дохода либо для осуществления контроля за их деятельностью, предоставление долгосрочных займов другим предприятиям. Соответственно, инвестиционные притоки формируются за счет выручки от реализации основных фондов или незавершенного строительства, стоимости проданных пакетов акций других предприятий, сумм возврата долгосрочных займов, сумм дивидендов, полученных предприятием за время владения им пакетами акций или процентов уплаченных должниками за время пользования долгосрочными займами. [7, с.76]

К финансовой деятельности относятся операции по формированию капитала предприятия. Финансовые притоки это суммы, вырученные от размещения новых акций или облигаций, краткосрочные и долгосрочные займы, полученные в банках или у других предприятий, целевое финансирование из различных источников. Оттоки включают в себя возврат займов и кредитов, погашение облигаций, выкуп собственных акций, выплату дивидендов. Данный раздел концентрируется на внешних источниках финансирования, относительно независимых от основной деятельности предприятия. Следует обратить внимание на то, что к финансовым операциям относятся как долгосрочные так и краткосрочные займы и банковские кредиты, полученные предприятием (в том числе и задолженность по векселям). Однако все расходы по выплате процентов за кредит (независимо от его срока) относятся к операционной деятельности предприятия. [8, с. 217]

Группировка денежных потоков предприятия по видам деятельности значительно повышает аналитичность отчетной информации. Финансовый менеджер (или кредитор) может видеть, какие именно источники приносят предприятию наибольшие денежные поступления и какие - потребляют их в большем объеме. У нормально функционирующего предприятия совокупный чистый денежный поток должен стремиться к нулю, то есть все заработанные в отчетном периоде денежные средства должны быть эффективно инвестированы. Однако к достижению такого результата ведут различные пути: операционная деятельность может принести значительный чистый приток наличности, который предприятие использует для расширения основных фондов. Но возможна и противоположная ситуация - реализуя часть своего основного капитала, предприятие тем самым перекрывает чистый денежный отток от операционной деятельности. Последний вариант крайне нежелателен для предприятия, так как основным источником денежных средств должна служить его основная, операционная деятельность, а не распродажа имущества.

Деление денежных потоков на операционную, инвестиционную и финансовую составляющие обусловлено исключительно потребностями финансового менеджмента. Данный подход не предусматривает выделения “производительных” и “непроизводительных” расходов. Если крупное промышленное предприятие имеет на своем балансе розничный магазин, то сумма выручки от реализации в нем товаров будет включена в состав общего операционного потока всего предприятия. Широко распространенное в статистической отчетности выделение “основной” и “не основной” деятельности при расчете денежных потоков не учитывается. Также не предусматривается отражение “социальной” деятельности предприятия. Любое приобретение основных фондов будет показано как инвестиционная деятельность, любые денежные траты будут отнесены к производственным или финансовым оттокам. Единственной формой “непроизводительного” расходования средств является выплата дивидендов из чистой прибыли предприятия. В данном случае отражается факт получения собственниками предприятия причитающейся им части результатов его деятельности - чистой прибыли. [9, с.354]

Эти принципы не совсем согласуются с российской практикой, когда государство предписывает предприятиям из каких конкретно источников - себестоимости продукции или чистой прибыли - предприятие должно финансировать те или иные расходы. Иными словами, государство кроме своей законной доли в конечном продукте (налог на прибыль) урывает в процессе дележа изрядный кусок того, что должно принадлежать только собственникам - чистой прибыли. Данный подход настолько глубоко укоренился в общественном сознании, что вопрос о его правомерности возникает очень редко. Например, считается совершенно естественным, что расходы предприятия на рекламу в пределах официальной нормы являются производительными расходами и могут быть исключены из налогооблагаемой базы, а все что потрачено на рекламу сверх этой нормы сумму налога на прибыль снизить уже не может, то есть должно оплачиваться из чистой прибыли. Аналогичный подход сложился к так называемым “социальным” расходам предприятия. Следовательно, вкладывая свои деньги в собственный капитал предприятия, инвестор должен помнить, что официально установленная ставка налога на прибыль не отражает всех реальных расходов, которые должно будет понести предприятие, прежде чем сможет рассчитаться с ним по дивидендам. Неудивительно отсутствие энтузиазма у потенциальных инвесторов относительно вложения денег в российские предприятия.

Одной из разновидностей денежных потоков является ликвидный денежный поток, представляющий собой изменение чистой кредитной позиции предприятия за год. Чистая кредитная позиция - это разница между суммой краткосрочных и долгосрочных кредитов банка и наличием у предприятия денежных средств. Она показывает, располагает ли предприятие избыточными денежными средствами для покрытия обязательств, остающихся после погашения банковских ссуд. Если обозначить долгосрочные банковские кредиты Дк, краткосрочные - Кк, а остаток денежных средств - Дс, то чистая кредитная позиция (Чкп) может быть определена по формуле [10, с.78]:

Чкп = (Дк + Кк) - Дс (1)

Обозначив остатки на начало года нижним индексом 0, а остатки на конец года - нижним индексом 1, получим формулу для определения ликвидного денежного потока (Лдп) [12, с.54]:

Лдп = - (Чкп1 - Чкп0) (2)

Данный показатель увязывает движение денежных средств с эффективностью использования банковских займов. В определенной степени он характеризует ликвидность предприятия. Его значение будет приблизительно равно совокупному денежному потоку от операционной и инвестиционной деятельности (т.к. исключается влияние основных финансовых факторов).

В соответствии с международными учетными стандартами отчет о денежных потоках входит в состав финансовой отчетности предприятия на правах основного документа наряду с бухгалтерским балансом и отчетом о прибылях и убытках.

Схема взаимосвязей между этими тремя отчетами представлена на рисунке 2. Российские предприятия составляют Отчет о движении денежных средств (ф. № 4). Этот документ пока не имеет статуса основного отчета, методика его составления недостаточно конкретизирована. Поэтому он еще не стал таким же ценным источником информации, как его зарубежный аналог, отчет о денежных потоках. Не вызывает сомнения, что для российских потребителей отчетной информации достоверная и детализированная информация о движении денежных средств имеет ничуть не меньшую ценность, чем для пользователей отчетности в других странах.

Рис. 2. Взаимосвязь основных финансовых отчетов [22, c. 158]

Очень важно понять, что денежные потоки ни в коем случае не должны противопоставляться таким экономическим категориям как прибыль или себестоимость. Прибыльное предприятие (если эта прибыль является реальным результатом его деятельности, а не плодом манипуляций с отчетностью) в состоянии генерировать достаточные денежные потоки для погашения обязательств и новых инвестиций. Убыточный бизнес может какое-то время удовлетворять все свои потребности в наличности (за счет распродажи запасов и оборудования, бездумных заимствований или несвоевременного погашения кредиторской задолженности), однако, в конце концов, он неизбежно столкнется с дефицитом денежных средств. Концентрируя основное внимание на денежных потоках предприятия, финансовый менеджмент не абстрагируется от других экономических показателей его деятельности. Задача финансового менеджмента состоит в выявлении причин расхождений между движением стоимости и движением денег, оценке вскрытых фактов и выработке мероприятий по устранению имеющихся недостатков [17, с.315].

.2 Методика анализа денежных потоков на предприятии

Денежный поток характеризует степень самофинансирования предприятия, его финансовую силу, финансовый потенциал, доходность.

Финансовое благополучие предприятия во многом зависит от притока денежных средств, обеспечивающих покрытие его обязательств. Отсутствие минимально-необходимого запаса денежных средств может указывать на финансовые затруднения. Избыток денежных средств может быть знаком того, что предприятие терпит убытки. [18, с.256]

Причем причина этих убытков может быть связана как с инфляцией и обесценением денег, так и с упущенной возможностью их выгодного размещения и получения дополнительного дохода. В любом случае именно анализ денежных потоков позволит установить реальное финансовое состояние на предприятии.

Основная задача анализа денежных потоков заключается в выявлении причин недостатка (избытка) денежных средств, определении источников их поступлений и направлений использования

Анализ денежных потоков является одним из ключевых моментов в анализе финансового состояния предприятия, поскольку при этом удается выяснить, смогло ли предприятие организовать управление денежными потоками так, чтобы в любой момент в распоряжении фирмы было достаточное количество наличных денежных средств. [19, с.491]

Анализ денежных средств и управление денежными потоками является одним из важнейших направлений деятельности финансового менеджера. Оно включает в себя расчет времени обращения денежных средств (финансовый цикл), анализ денежного потока, его прогнозирование.

Анализ денежных потоков в системе финансового менеджмента должен учитывать влияние внешних и внутренних факторов на все показатели денежных потоков по видам деятельности (рис. 3).

Анализ денежных потоков удобно проводить при помощи отчета о движении денежных средств. Согласно международному стандарту IAS7 этот отчет формируется не по источникам и направлениям использования средств, а по сферам деятельности предприятия - операционной (текущей), инвестиционной и финансовой. Он является основным источником информации для анализа денежных потоков. [20, с.48]

Отчет о движении денежных средств составляется для того, чтобы наглядно увидеть воздействие текущей, инвестиционной и финансовой деятельности организации на состояние ее денежных средств за определенный период и позволяет объяснить изменения денежных средств за этот период.

Рис. 3. Основные факторы, влияющих на формирование денежных потоков [26, c.215]

Отчет о движении денежных средств является очень важной информацией как для руководства организации, так и для ее инвесторов и кредиторов.

Руководство организации может использовать сведения отчета при расчете ликвидности организации, при определении дивидендов, для оценки воздействий на общее состояние организации решений о финансировании каких-либо программ. Другими словами, руководству организации отчет о движении денежных средств необходим для того, чтобы определить будет ли у нее достаточно денежных средств для погашения краткосрочной кредиторской задолженности, для решения вопроса об увеличении поощрений работникам. Кроме того, отчет поможет руководству планировать инвестиционную и финансовую политику организации. [21, с.187]

Инвесторы и кредиторы используют данные отчета о движении денежных средств для исследования вопроса способно ли руководство организации управлять ею так, чтобы генерировать на счетах достаточное количество денежных средств для погашения долга, для выплаты дивидендов.

Составными частями отчета о движении денежных средств является поступление и выбытие денежных средств в разрезе текущей, инвестиционной и финансовой деятельности организации.

Существует два основных подхода к построению отчета о денежных потоках - использование прямого и косвенного методов. В первом случае анализируются валовые денежные потоки по их основным видам: выручка от реализации, оплата счетов поставщиков, выплата заработной платы, закупка оборудования, привлечение и возврат кредитов, выплата процентов по ним и т.п. Источником информации для составления такого отчета служат данные бухгалтерского учета. Обороты по соответствующим счетам (реализация, расчеты с поставщиками, краткосрочные кредиты и т.д.) корректируются на изменение остатков запасов, дебиторской и кредиторской задолженности и таким образом доводятся до сумм, отражающих только те операции, которые оплачены “живыми деньгами”. Данный метод считается наиболее точным, но и наиболее трудоемким. В его использовании заинтересованы, прежде всего, кредитные организации, которых больше всего беспокоит способность предприятия генерировать денежные потоки, достаточные для погашения займов. Однако с позиций аналитика такой подход недостаточно информативен, потому что он не позволяет проследить трансформацию чистой прибыли в чистый денежный поток. Иными словами, он не проясняет взаимосвязи между денежными потоками и финансовыми ресурсами. [27, с.317]

В этом смысле более предпочтительным представляется косвенный метод представления информации о денежных потоках. Данный метод базируется на рассмотренных выше принципах анализа финансовых ресурсов. Не обеспечивая той же степени точности и детализации, что и прямой метод, он дает много полезной информации для анализа. В нем не находят отражения валовые денежные потоки, потому что он использует только очищенные нетто-значения: исходной базой расчета выступает чистая прибыль, которая путем последовательных корректировок доводится до величины чистого денежного потока. Пользователь такого отчета может проследить весь путь, который проходят финансовые ресурсы для того, чтобы превратиться в денежную форму. Это позволяет ему обнаружить любые препятствия и “закупорки” на этом пути, мешающие предприятию увеличить свою способность генерировать денежные потоки. Иногда прямой и косвенный методы расчета денежного потока противопоставляют друг другу следующим образом: прямой метод исходит из принципа “сверху-вниз” - от выручки к денежному потоку; косвенный же метод базируется на принципе “снизу-вверх” - от чистой прибыли к денежному потоку. При этом имеется в виду расположение показателей выручки и чистой прибыли в отчете о прибылях и убытках. Выручка показывается в самом верху этого отчета, а чистая прибыль - это один из самых последних его показателей, отражаемый в самой нижней части отчета.

Несмотря на различия в технике составления, отчет о денежных потоках, независимо от применяемого метода, должен отражать поступление и выбытие денег в разрезе основных видов деятельности - операционной, инвестиционной и финансовой. Принципы отнесения отдельных денежных потоков к конкретным видам деятельности изложены в 1.1. Схематично состав и структура денежных потоков представлена на рис. 4.

Следует помнить, что максимизация чистого денежного притока не может рассматриваться в качестве основной финансовой цели предприятия. В идеале его величина должна стремиться к нулю, так как высвобожденные денежные средства, обладая 100%-й ликвидностью, имеют нулевую (и даже отрицательную) доходность. Поэтому длительное размещение финансовых ресурсов в налично-денежной форме означает для предприятия значительные потери потенциального дохода. Положительным моментом является наличие значительного притока денег от операционной деятельности, что свидетельствует о разумном использовании потенциала предприятия. Однако крайне осторожная финансовая стратегия, проявившаяся в сокращении заемных ресурсов при заметном росте дебиторской задолженности, привела к тому, что в начале следующего хозяйственного цикла предприятие будет располагать меньшим объемом финансовых ресурсов.

Рис. 4. Состав денежных потоков по отдельным видам деятельности [25, c.35]

Особую актуальность в последнее время приобретает проблема выбора оптимальной стратегии ведения учета и составления отчетности между МСФО и национальными стандартами.

Можно сделать вывод о том, что, несмотря на значительное сближение за последние годы российской и международной системы составления отчетности о движении денежных средств, существует еще ряд принципиальных отличий [24, c.15].

Во-первых, существующие значительные расхождения в методах подготовки информации - российские правила предусматривают только прямой метод, а МСФО прямой и косвенный. Причем в российской практике используется первичный прямой метод, а в зарубежной - производный прямой.

Во-вторых, согласно МСФО при отражении денежных потоков в иностранной валюте их величина пересчитывается в валюту отчетности по курсу, принятому на дату движения денежных средств. По российским стандартам в случае наличия или движения денежных средств в иностранной валюте сначала составляется расчет в иностранной валюте по каждому ее виду, а затем данные каждого расчета, пересчитываются по курсу ЦБ РФ на дату составления бухгалтерской отчетности.

В-третьих, существуют различия в группировке потоков денежных средств по видам деятельности. Так, например, выплата дивидендов собственникам, процентов по кредитам и займам в российском учете относится к текущей деятельности, а согласно МСФО их следует отнести к финансовой.

Изучение научной и учебной экономической литературы показало, что представленные различными авторами методики анализа денежных потоков предполагают рассмотрение отдельных сторон этой экономической категории без комплексной увязки показателей.

Общий алгоритм проведения комплексного анализа денежных потоков представлен на рисунке 5.

Исследование литературы по проблематике работы позволяет сделать вывод о необходимости анализа денежных потоков по следующим этапам.

. Предварительный анализ структуры и динамики ликвидных активов и обязательств каждого из предприятий - членов группы

. Определение уровня ликвидности оборотных активов и анализ ее динамики по предприятиям группы

Рис. 5. Алгоритм проведения комплексного анализа денежных потоков [25, c. 217]

(3),

КЛ - коэффициент ликвидности оборотных активов;

ДС - средний остаток совокупных денежных активов предприятия в рассматриваемом периоде;

ОА - средняя сумма оборотных активов предприятия в рассматриваемом периоде.

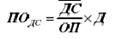
. Определение показателей оборачиваемости денежных средств

А) Средний период оборота:

или  (4)

Б) Количество оборотов:

 или  (5)

ПО - средний период оборота денежных активов, в днях;

ДС - средний остаток совокупных денежных активов предприятия в рассматриваемом периоде;

ОП - объем продаж за период;

ОДС - общий отток (объем расходования) денежных средств в периоде;

КО - количество оборотов среднего остатка денежных активов в периоде;

Д - количество дней в периоде.

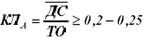
. Анализ абсолютной достаточности денежных остатков предприятия

 (5)

Где КЛ - коэффициент абсолютной ликвидности;

ТО - текущие обязательства.

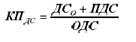
. Определение степени платежеспособности на базе показателей движения денежных средств за период по формуле

 (6)

Где КП - коэффициент платежеспособности за период;

ОДС - сумма остатка денежных средств на начало периода;

ОДС - общий приток денежных средств за период.

. Определение цены поддержания необходимого уровня абсолютной достаточности денежных остатков по предприятиям группы.

А) Уровень отвлечения свободного остатка денежных активов в краткосрочные финансовые вложения

(7),

Б) Коэффициент рентабельности краткосрочных финансовых вложений

 (8)

Где УО - уровень отвлечения свободного остатка денежных средств в краткосрочные финансовые вложения, в %;

КФВ - средний остаток денежных активов в форме краткосрочных финансовых вложений в рассматриваемом периоде;

ДС - средний остаток совокупных денежных активов предприятия в рассматриваемом периоде;

КРКФВ - коэффициент рентабельности краткосрочных финансовых вложений;

П - сумма прибыли, полученная предприятием от краткосрочного инвестирования свободных денежных активов за период.

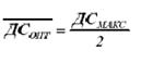
. Определение оптимального уровня остатка денежных средств

, (9)

, (10)

Где ДСМАКС - оптимальный размер максимального остатка денежных активов предприятия;

ДСОПТ - оптимальный размер среднего остатка денежных активов предприятия;

РО - расходы по обслуживанию одной операции пополнения денежных средств;

ПД - уровень потерь альтернативных доходов при хранении денежных средств (средняя ставка процента по краткосрочным вложениям);

ПОДО - планируемый объем денежного оборота (суммы расходования средств).

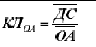
. Оценка обеспеченности остатками денежных средств и необходимости выделения предприятию дополнительного финансирования или получения кредита по формуле

 (11)

Где ДСОПТ - оптимальный остаток денежных средств;

ДСФАКТ - фактический средний остаток денежных средств

Кроме того, одним из основных элементов финансового анализа является оценка денежного потока, генерируемого в течение ряда временных периодов в результате реализации какого-либо проекта или функционирования того или иного вида активов. Элементы потока могут быть либо независимыми, либо связанными между собой определенным алгоритмом. Временные периоды чаще всего предполагаются равными. Хотя данное условие в принципе не является обязательным, в дальнейшем мы будем придерживаться его. Кроме того, для простоты изложения материала предполагается, что элементы денежного потока являются однонаправленными, Т.е. нет чередования оттоков и притоков денежных средств. Также считается, что генерируемые в рамках одного временного периода поступления имеют место либо в его начале, либо в его конце, Т.е. они не распределены внутри периода, а сконцентрированы на одной из его границ. В пером случае поток называется потоком пренумерандо, или авансовым, во втором - потоком постнумерандо.

На практике большее распространение получил поток постнумерандо, в частности, именно этот поток лежит в основе методик анализа инвестиционных проектов. Некоторые объяснения этому можно дать исходя из общих принципов учета, согласно которым принято подводить итоги и оценивать финансовый результат того или иного действия по окончании очередного отчетного периода. Что касается поступления денежных средств в счет оплаты, то на практике оно чаще всего распределено во времени неравномерно и поэтому удобнее условно отнести все поступления к концу периода.

Благодаря этому соглашению формируются равные временные периоды, что позволяет разработать удобные формализованные алгоритмы оценки. Поток пренумерандо имеет значение при анализе различных схем накопления денежных средств для последующего их инвестирования. [29, с.592]

Оценка денежного потока может выполняться в рамках решения двух задач: а) прямой, т.е. проводится оценка с позиции будущего (реализуется схема наращения); б) обратной, т.е. проводится оценка с позиции настоящего (реализуется схема дисконтирования). [28, с.898]

Прямая задача предполагает суммарную оценку наращенного денежного потока, т.е. в ее основе лежит будущая стоимость. В частности, если денежный поток представляет собой регулярные начисления процентов на вложенный капитал (Р) по схеме сложных процентов, то в основе суммарной оценки наращенного денежного потока лежит формула

 (12)

(1 + i)т- множитель наращения сложных процентов.

Обратная задача предполагает суммарную оценку дисконтированного (приведенного) денежного потока. Поскольку отдельные элементы денежного потока генерируются в различные временные интервалы, а деньги имеют временную цени ость, непосредственное их суммирование невозможно. Приведение денежного потока к одному моменту времени осуществляется с помощью формулы

 (13)

Основным результатом расчета является определение общей величины приведенного денежного потока. Используемые при этом расчетные формулы различны в зависимости от вида потока постнумерандо или пренумерандо.

Необходимо отметить, что ключевым моментом в рассмотренных схемах является молчаливая предпосылка, что анализ ведется с позиции «разумного инвестора, т.е. инвестора, не накапливающего полученные денежные средства, а немедленно инвестирующего их с целью получения дополнительного дохода. Именно этим о6ъяснкется тот факт, что при опенке потоков в обоих случаях, т.е. и при наращении; и при дисконтировании, предполагается капитализация по схеме сложных процентов [23, c. 141].

По результатам анализа денежных потоков можно сделать заключения по следующим вопросам:

1.       В каком объеме и из каких источников получены денежные средства и каковы основные направления их расходования.

2.      Способно ли предприятие в результате своей текущей деятельности обеспечить превышение поступлений денежных средств над платежами и насколько стабильно такое превышение.

.        В состоянии ли предприятие расплатиться по своим текущим обязательствам.

.        Достаточно ли полученной предприятием прибыли для удовлетворения его текущей потребности в деньгах.

.        Достаточно ли собственных средств предприятия для инвестиционной деятельности.

.        Чем объясняется разница между величиной полученной прибыли и объемом денежных средств.

 

2. Анализ хозяйственной деятельности ЗАО «ЭЛИС-К»


.1 Общая и организационная характеристика предприятия

В 1993 году на базе торговой компании по оптовым продажам товаров хозяйственного назначения для дома и быта, кухонных принадлежностей образовывается компания ЗАО «Элис-К». В связи с быстрым развитием фирмы и охватом широкого уровня потребителей, в 1998 году открывается представительство в г. Москве, а через год (1999г.) в г. Сочи. Основной ассортимент на данном этапе развития фирмы был представлен такими торговыми марками, как: ARC International, GURAL, PINTINOX.

Увеличение рынка сбыта, привлечение новых потребителей способствовало расширению имеющегося товарного ассортимента, а наличие неликвидных остатков (небольшое количество одной позиции, отсутствие полной «линейки» одной серии и т.п.) привели в 2007 году к открытию розничного торгового предприятия ООО «Дом Посуды «АркТен», которое является структурным подразделением фирмы ЗАО «Элис-К».

В связи с неудобным месторасположением розничного структурного подразделения, а так же значительным количеством потребителей, в мае 2010 года была принята неудачная попытка открытия второго розничного структурного подразделения, по адресу 8 Марта 164д, которое просуществовало в течение трех месяцев, после чего было ликвидировано, вследствие больших финансовых потерь и отсутствия прибыли.

Однако в четвертом квартале 2013 года планируется открытие нового бутика, в котором будет представлена элитная посуда высокого качества, ориентированная на потребителей с высоким уровнем дохода.

Наименование организации: ЗАО «Элис-К»

Организационно-правовая форма: Закрытое акционерное общество

Основной вид деятельности: Оптовая торговля (посуда и посудо-хозяйственный инвентарь)

На рассматриваемом предприятии присутствует линейная структура управления, что наглядно приведено на рисунке 6.

Рис. 6. Организационная структура управления на предприятии ЗАО «Элис-К»

В фирме ЗАО «Элис-К» присутствует два направления деятельности: оптовые продажи, которые представлены начальником оптового отдела и розничные продажи, которые представлены начальником ресторанного отдела.

В подчинение у каждого начальника отдела находятся менеджеры, по четыре человека. Они выполняют следующие функции:

поиск новых клиентов;

заключение договоров;

контроль над выполнением договорных обязательств обеих сторон;

прием и обработка заказов;

отгрузка товаров;

согласование действий в случае недостачи и при наличие брака.

контроль над своевременной оплатой (в случае, если по договору присутствует отсрочка платежа, или оплата производиться по факту реализации товара).

Отдел закупок представлен начальником отдела закупа и анализа, в подчинении которого находятся два ассистента менеджера, один из которых выполняет функции секретаря, второй является непосредственным заместителем начальника отдела закупа и анализа.

К функциям начальника отдела закупа относятся: координирование всей работы предприятия, так как от работы данного отдела зависит вся дальнейшая деятельность компании; закуп необходимого товара, в необходимом количестве; учет свободных и занятых складских площадей; систематическое пополнение основного ассортимента, а так же расширение ассортимента, предоставление новинок.

Начальник склада несет ответственность за товарно-материальные ценности, находящиеся на складах; осуществляет приемку товара; координирует работу подчиненных, следит за выполнением порученной им работы (сбор заявок, погрузо-разгрузочные работы, отпуск товара со складов, сверка фактических остатков).

Таким образом, основные функции верхнего уровня организационной структуры распределены достаточно четко, каждый сотрудник знает и понимает свою работу, имеет четкое представление, чего от него ждет руководство.

Однако на предприятии отсутствуют должностные инструкции, в которых должны быть четко прописаны основные и дополнительные функции каждой должности. Вследствие отсутствия должностных инструкций на нижнем уровне организационной структуры данного предприятия присутствует самопроизвольное разделение функций, что может не благоприятно сказаться на деятельности фирмы. В случае каких-либо форс-мажорных ситуаций, ответственных за сложившееся положение может быть несколько, а может не оказаться, ни одного. Во избежание данных ситуаций, необходимым является наличие четко сформулированных и хорошо проработанных должностных инструкций для каждой должности.

Компания «Элис-К» на рынке посуды города Екатеринбурга уже более 15 лет. За это время она успешно развилась и претендует теперь на значительную долю рынка города. Компания работает с несколькими брэндами, а именно:

ARC International - французское стекло для дома;

KONIG - домашняя утварь из нержавеющей стали 18/10 производства Германии;

PASABAHCE - стекло, производства Турции;

GURAL - фарфор для ресторанов, производства Турции;

TALLER - посуда с антипригарным покрытием (сковороды, сотейники, ковши и пр.) производство Англия;

PINTINOX - столовые приборы, кухонная утварь, профессиональная наплитная посуда из нержавеющей стали 18/10, производства Италии.

Многие брэнды представлены компанией на рынке Екатеринбурга эксклюзивно, а именно: KONIG, GURAL.

Компания успешно занимается импортом продукции из Италии, Германии, Франции, Турции, а также тесно взаимодействует с московскими поставщиками.

Партнёры компании - крупные производители, поэтому компания позиционирует себя на рынке, как оптовый поставщик посуды в большие магазины, супермаркеты. Около 40% поставок приходится на бары, кафе, рестораны, гостиницы.

Среди покупателей можно выделить следующие компании:

·        Юниленд (Сеть торговых центров «Мегамарт»);

·        Сеть «Кировский»;

·        Московская сеть розничных магазинов «Квартал»;

·        Торговые центры Челябинска, Тюмени, Нижнего Тагила и других областных городов;

·        Крупные рестораны города, столовые, государственные, муниципальные учреждения.

Компания имеет большой опыт оптовой продажи посуды высокого качества, что позволяет планировать расширение и открытие собственных торговых точек.

Описание реализуемой продукции.

ARC international. Компания была образована в 1815 году и является лидером по производству посуды во Франции. Компания представляет собой сеть крупных предприятий, выпускающих около 5 миллионов наименований изделий, которые экспортируются более чем в 160 стран мира.

Ресторанная посуда изготавливается из закаленного стекла и отличается высоким качеством, поэтому к резкому изменению температуры и к механическим воздействиям эти изделия устойчивее, чем обычные стеклянные или фарфоровые.

Продукция этой компании производится из прозрачного или цветного стекла, однотонного или с рисунком; с гладкой, рифленой или комбинированной поверхностью. Фирма постоянно предлагает любителям красивой посуды новые, интересные коллекции.

На отечественном рынке продукция компании заняла лидирующее место по объемам продаж и способности удовлетворить запросы потребителей. В объемах реализуемой продукции в компании Элис-К продукция ARC (Luminarc) составляет около 60%.

Pintinox. Фабрика PINTINOX была создана в 1929 году на севере Италии и на сегодняшний день достигла ведущих позиций в производстве профессиональной посуды и является одним из основных поставщиков на российском рынке столовых приборов и профессиональной кухонной посуды. Создание изящных, функциональных и удобных изделий, 100%-ный контроль качества своей продукции, использование высококачественной нержавеющей хромоникелевой стали 18/10 и новейших технологий - все это рекомендует компанию PINTINOX как производителя качественной посуды, отвечающей всем современным требованиям ресторанного сектора.

KONIG. Посуда фирмы «Konig» производится из нержавеющей стали 18/10. Материал по своим характеристикам соответствует всем гигиеническим требованиям: долговечен, жаропрочен, не изменяет, вкусовые качества и запах продукции, не образует соединений с компонентами пищи, позволяет сохранить до 80% полезных веществ продукта.

Благодаря высококачественной шлифовке и полировке, которые имеют место как внутри, так и снаружи, посуда имеет исключительный внешний вид, а также обладает антикоррозийными свойствами.

Компания «Konig» занимается не только изготовлением посуды, но также и многими кухонными принадлежностями, к которым относятся термосы, кружки, ножи и многое другое, и кроме этого они успешно производят наборы для шашлыка, качество которых так же стоит на первом месте.

Gural. Фабрика по производству фарфора, принадлежащая компании Gural была открыта в 1989 году и на данный момент является одной из самых крупных фабрик в мире. Благодаря применению передовых технологий и высокому качеству продукции компания получила сертификат ISO 9001 гарантии качества и продолжает совершенствовать качество продукции, перенимая мировой опыт обжига. Компания производит специализированную посуду для отелей и ресторанов, обеденные сервизы, керамическую посуду, а также посуду раскрашенную вручную. Посуда относится к высокому классу качества при достаточно низкой цене, которая также дополняется долговечностью посуды и ее стойкостью к механическим, химическим и прочим воздействиям. - это посуда, обладающая изысканным английским стилем. Она обладает уникальными свойствами и характеризуется удивительным дизайном. В посуде данного бренда присутствует и лаконичность форм, и продуманность деталей, и чувство меры.

Имея богатый опыт производства с использованием передовых технологий, компания TalleR LTD придает особое значение качеству своей продукции, поэтому тщательно контролирует используемые материалы и весь технологический процесс при изготовлении каждой партии.

Таким образом, ассортиментный перечень, представленный компанией ЗАО «Элис-К» является достаточно широким и разнообразным, а предлагаемая продукция отличается высоким качеством.

На сегодняшний день некоторые крупные компании посудного рынка, которые, так или иначе, начинали свою профессиональную деятельность с оптовых продаж, обзавелись собственной розницей.

Самая большая посудно-подарочная сеть из 45 магазинов, включая франчайзинговые, принадлежит «Красному Кубу». Концерн «РАМО» в настоящее время владеет сетью магазинов под маркой «Ножи Золинген» и «Японский фарфор»: 12 - в Москве, 15 - в регионах. Что касается «ДП Трейд», то компания открыла под вывеской «Посудная лавка» 3 магазина в Москве и 2 в Санкт-Петербурге. Однако, если магазины «Красного Куба» и «ДП Трейд» ориентированы на продажу товаров средней ценовой категории, то «РАМО» изначально позиционировал свои, как дорогие металло-фарфоровые бутики.

В последнее время наметилась тенденция, когда крупные оптовики открывают собственные магазины «cash&carry». Среди них компании «Безант», «ОптТоргСоюз», «Классик Центр».

По разным оценкам, емкость Российского рынка посуды в целом в следующем году увеличится на 20-40 % и приблизится в денежном выражении к $1 млрд, из этой суммы около половины придется на столовую посуду.

Появление новых крупных посудных компаний, которые смогут оказывать реальное влияние на рынок, вряд ли возможно. Те же компании, которые уже прочно заняли свою нишу, продолжат наращивать обороты, акцентируя внимание на широте и разнообразии ассортимента.

На данный момент в городе Екатеринбурге существует три центра типа «cash&carry», это «МЕГАМАРТ», «Кировский» и «МЕТРО». Основным поставщиком посуды в «МЕГАМАРТ» и «Кировский» является компания «Элис-К», поэтому нет необходимости рассматривать этот «cash&carry» как потенциального конкурента. В то же время «МЕТРО» работает с московскими поставщиками и по эксклюзивным ценам, но при этом потребители имеют ограниченный доступ в магазин - здесь необходимо оформлять членские карточки.

Таким образом, несмотря на большое количество различных предложений по посуде, положение компании ЗАО «Элис-К» на посудном рынке является достаточно стабильным и устойчивым.

Основным поставщиком данного предприятия является московская торговая компания «Безант-1» (ARC international).

Данный поставщик был выбран на основе комплексного анализа поставщиков. При этом наиболее значимыми критериями были выделены:

Платежеспособность поставщика;

Степень надежности поставщика;

Территориальная удаленность;

Предлагаемый ассортимент товара;

Ценовая категория;

Возможность заказа не большого количества одной позиции, при широком ассортиментном перечне;

Предоставление отсрочки платежа.

Торговая компания «Безант-1» отвечает всем предъявленным требованиям, в связи с этим, она была выбрана в качестве поставщика товарной группы ARC Internacional.

Данный поставщик предоставляет широкий ассортиментный перечень - порядка пяти тысяч номенклатурных позиций. В связи с этим, по анализу продаж при формировании складских запасов, весь ассортимент данного поставщика был разделен на три группы - АВС. Где А составляет 75% оборота, В - 15%, С-10%. Соответственно, запасов на складе по группе А должно хватать на месяц (0,5), по группе В на неделю (0,25), по группе С на несколько дней (0,125).

Продукция торговой марки «Konig» поставляется московской компанией ООО «Стайлметал».

При выборе поставщика данной торговой марки наиболее важными критериями были выбраны:

Ценовой сегмент;

Территориальное месторасположение;

Предлагаемый ассортиментный перечень;

Возможность заказа не большими партиями.

ООО «Стайлметал» предлагает необходимый товар по приемлемой цене, с ассортиментом и наличием товара перебоев нет. Так же данная компания предоставляет отсрочку в тридцать календарных дней. Однако, заказ товара возможен только крупными партиями.

Таким образом, заказ осуществляется раз в месяц, учитывая месячную потребность в данном товаре.

Заказ формируется на основе спроса, сезонности и остатка товара на складе, так же учитывается спецификация товара, сетей розничных магазинов.

Не маловажное значение играют такие поставщики как заводы Pintinox и Gural. Объем продаж по товарам данных поставщиков ниже, чем по ARC international, но также составляет значительную часть торгового ассортимента и долю в общем объеме выручки.

Заказы по ассортименту заводов Pintinox и Gural осуществляются так же, как и в предыдущем случае, на основе спроса, сезонности, остатка товара на складе, но по данному ассортименту большое значение имеют заказы под конкретных клиентов.

Заказ на заводы Pintinox и Gural осуществляются раз в квартал, и время нахождения товара в пути будет значительно больше - около месяца (включая время на прохождение таможенного контроля), что тоже учитывается при формировании заказа.

Работа с поставщиками осуществляется на основе договора поставки товара (Приложение Б). В договоре прописаны сроки поставки товара, сроки оплаты, условия отсрочки платежа, минимальный размер заказа, права и обязанности поставщика и покупателя, данные фирм и прочие необходимые условия поставки. Обязательным в договоре является так же указание документа на основании которого действует данное юридическое или физическое лицо.

В таблице 1 приведены данные о работе поставщиков, в динамике за три года.

Таблица 1 - Анализ поставщиков

Наименование поставщика

Группа товара

Объем поставок, тыс. руб.



2011 год

2012 год

2013 год

1. ООО «Безант-1»

ARC Internacional

23515,5

29981,12

23 829

2. ООО «Стайлметал»

Konig

9 406,2

11992,45

11685,6

3. Завод Gural

Gural

7 054,65

8994,34

8681,7

4. Завод Pintinox

Pintinox

5173,41

6595,85

6366,58

5. Прочие поставщики

Attribute

1 881,24

2398,49

2315,12

Итого:


47 031

59962,24

57 878


Как уже отмечалось выше, ООО «Безант-1» является основным поставщиком, что подтверждается данными таблицы 1. Его объем поставок в несколько раз превышает поставляемые объемы остальных поставщиков. Однако, их поставки так же не маловажны. На долю компании ООО «Стайлметал» и заводов Gural, Pintinox приходиться порядка 50% от общего объема поставок товара.

В 2013 году объемы поставок по всем группам товара сокращаются. Данный факт объясняется в первую очередь резким повышением цен на продукцию, а так же увеличением таможенных пошлин и транспортных тарифов в конце 2012 года. В связи с этим, продажи товара сократились, имеющиеся остатки товара были реализованы за больший период времени, что соответствующим образом отразилось на объемах поставок в 2013 году.

Необходимо так же отметить, что в 2013 году большая часть менеджеров по продажам сменилась. Приход новых людей снизил активность менеджеров, так как отсутствуют знания ассортимента и специфики самой работы. В данном случае нет прямой зависимости заработной платы менеджера по продажам с непосредственным выполнением или перевыполнением плана.

Целевой рынок сбыта для компании «Элис-К» определяется по виду. Это специализированные магазины посуды или магазины, имеющие отдел хозяйственных товаров, а также рестораны, кафе, бары, столовые. Товар предоставляется и оптовым покупателям для дальнейшей перепродажи. Так же имеются индивидуальные предприниматели, которые приобретают товар для использования его в дальнейшем производстве. Например, кружки, фужеры для нанесения логотипа. Школы, детские сады, перед началом учебного сезона приобретают недостающее количество посуды, списанное во время учебного года. Так же клиентами выступают различные государственные учреждения, религиозные и прочие.

Данное предприятие успешно сотрудничает со многими торговыми сетями, предоставляя необходимый ассортимент в нужном количестве.

Со всеми покупателями торговля ведется на основании договоров купли-продажи и договора поставки. Для розничных торговых сетей к договору формируется соответствующая спецификация товара, в которой прописывается наименование и цена товара, и будет поставлять в течение года (или другого прописанного в договоре срока).

Как правило, при работе с оптовыми организациями первая поставка товара осуществляется на основе предоплаты, в некоторых случаях, она составляет 100%. Далее, товар может поставляться без предварительной оплаты, но по факту поставки. Для постоянных клиентов имеется гибкая система скидок, скидки так же предоставляются при большом объеме заказа, в зависимости от товарной группы они могут составлять от 5 до 35%.

При работе с розничными торговыми сетями и магазинами используется договор поставки, по которому, им предоставляется отсрочка платежа, от двадцати до сорока пяти календарных или банковских дней. Так же может быть предложена форма оплаты товара по факту реализации.

Розничные магазины и торговые сети имеют право вернуть товар поставщику, в случае, если в течение трех месяцев он не был реализован. Бой при поставке товара и брак, подлежат замене или изменению сопроводительных документов.

Товар, поставляемый на акции в торговые сети (Мегамарт, Кировские) обязательно должен быть включен в листовку, распространяемую торговой сетью, а так же поставлен во все магазины розничной торговой сети, за три дня до начала акции. По окончанию акции, товар, который не был продан, так же подлежит возврату поставщику.

Все транспортные расходы по доставки товара, при поставке или возврате осуществляются за счет поставщика.

Заявка формируется торговыми сетями, магазинами, оптовыми фирмами на основе их текущей потребности самостоятельно. Данная потребность обрабатывается, исходя из фактических остатков на складах и товара находящегося в пути. После чего выставляется потребителю в виде счета, где указывается наименование, артикул, цена, скидка и фактическое количество товара.

Товар отгружается с оптового склада на основании заявки, и в соответствии с ней. Допускается замена товара на аналогичный товар (в случае отсутствия необходимой позиции или нужного количества), но только по предварительному согласованию с покупателем.

Товар при отгрузке в розничные торговые сети и магазины маркируется, в остальных случаях товар не подлежит штучной маркировке, но на коробки клеятся ярлыки общего вида с наименованием поставщика, покупателя и его координатами.

Отпуск товара сопровождается соответствующей документацией: товарная накладная, транспортная накладная, счет-фактура и сертификаты качества.

В таблице 2 приведены данные продаж по оптовым покупателям: с целью дальнейшей перепродажи и для производственных нужд.

Таблица 2 - Анализ покупателей

Наименование потребителя

Группа товара

Объем продаж, тыс. руб.



2011 год

2012 год

2013 год

1. Оптовые покупатели, приобретающие товара для дальнейшей перепродажи в т.ч.: - Сеть «Кировский»  - Сеть «Мегамарт»   - Сеть «Квартал»   - Мелкооптовые магазины и фирмы

    ARC Internacional, Attribute, Konig ARC Internacional, Attribute, Konig, Pintinox ARC Internacional, Attribute, Konig, Pintinox ARC Internacional, Attribute, Konig, Pintinox, Gural

39957,2    6792,7  5993,6   5194,4   21976,5

41118,8    6990,2  6167,8   5674,4   19325,84

40645,8    6653,5  7504,8   3531,6   22955,9

2.Оптовые покупатели, приобретающие товар для нужд производства в т.ч.: - рестораны;  - столовые;  - государственные учреждении; - частные покупатели;

   ARC Internacional, Pintinox, Gural ARC Internacional, Pintinox, ARC Internacional, Pintinox, Gural ARC Internacional,  Pintinox, Gural

15538,92   12120,3  1864,7   1087,7 466,22

15990,724   12472,7  1918,9   1119,4 479,724

20 685,867   13351,1  3354,1   2398,2 1 582,467

Итого:


55496,116

57109,524

61331,667


Из приведенных данных видно, что основную часть в общем объеме продаж составляют оптовые покупатели, приобретающие товар для дальнейшей перепродажи, к ним относятся: мелкооптовые магазины и фирмы.

Объемы продаж увеличиваются за счет повышения цен на продукцию. Наиболее сильно данный факт отражается на ассортименте ресторанного направления, что повлекло снижение спроса на данный ассортимент.

.2 Анализ основных экономических и финансовых показателей предприятия

Анализ основных экономических показателей компании ЗАО «Элис-К» представлен в качестве сводной таблице 3.

Данные для расчета экономических показателей взяты из бухгалтерской отчетности предприятия, за соответствующие временные промежутки - 2011, 2012, 2013 гг.

Данный анализ направлен на:

выявление имеющихся недостатков в деятельности фирмы, как в целом по предприятия, так и по каждому его подразделению в отдельности.

выявление скрытых проблем в деятельности фирмы;

определение на основании полученных данных, этапа жизненного цикла организации на текущий момент времени;

наиболее эффективных путей решения имеющихся.

В таблице 3 приведен анализ основных показателей хозяйственной деятельности ЗАО «Элис-К». Из приведенных данных видно, что предприятия работает эффективно. Товарооборот увеличивается и в действующих, и в сопоставимых ценах, тем самым повышая прибыль, полученную от продаж.

Однако, несмотря на увеличение товарооборота, сравнивая показатели 2012 и 2013 гг., снижается торговая наценка, в связи с резким повышением цен, так же сокращается чистая прибыль. Возрастают издержки обращения.

В 2013 году наблюдается сокращение численность персонала, в течение года были уволены пять человек, за счет этого сокращается фонд заработной платы. В 2013 году для компании эти показатели не являются критичными, однако, тенденция намечена к снижению доходности предприятия и увеличению его издержек обращения. Во избежание больших потерь в дальнейшем, необходимо предпринимать меры по увеличению прибыльности и повышению эффективности работы компании в настоящее время.

На основании данных приведенных в таблице 3 составлен график наиболее значимых экономических показателей деятельности предприятия, который представлен на рисунке 7.

Рис. 7. Динамика изменения основных экономических показателей, тыс. руб.

Таким образом, данные проиллюстрированные на рисунке 4 лишь наглядно подтверждают приведенные выводы по таблице 4. Несмотря на рост товарооборота, прибыль сокращается, за счет увеличения издержек обращения.

Таблица 3 - Основные экономические показатели

Показатели

2011 год

2012 год

2013 год

Отклонение

Темп роста, %





2011-2012 гг.

2012-2013гг.

2011-2012 гг.

2012-2013 гг.

1.Товарооборот: - в действующих ценах, тыс.руб. - в сопоставимых ценах, тыс. руб.

 55496,116 55496,116

 57109,524 50539,402

 61331,667 53799,708

 +1613,408 -4956,741

 +4222,143 +3260,306

 102,9 91,1

 107,4 106,4

2.Валовой доход, тыс. руб.

13624,64

16292,904

17375,63

+2668,264

+1082,726

119,6

106,6

3.Уровень валового дохода, тыс. руб.

24,5

28,5

28,3

+4

-0,2

1,2

0,99

4.Издержки обращения, тыс. руб.

10720,64

12588,904

13290,63

+1868,264

701,726

117,4

105,6

5.Уровень издержек обращения, %

19,32

22,04

21,67

+2,72

-0,37

1,14

0,98

6.Прибыль от продаж, тыс. руб.

2 904

3 704

4 085

+800

+381

127,5

110,3

7.Внереализационные расходы, тыс. руб.

1 167

1 210

1 434

+43

+224

103,7

118,5

8.Внереализационные доходы, тыс. руб.

454

315

240

-139

-75

69,4

76,2

9.Прибыль балансовая, тыс. руб.

2 191

2 809

2 891

+618

+82

128,2

102,9

10. Налог на прибыль, тыс. руб.

525

562

558

-

-

-

-

11. Прибыль чистая, тыс. руб.

1 666

2 247

2 202

+581

-45

134,9

98,1

12. Рентабельность, %

18,2

21,6

23,6

+3,4

+2

1,2

1,1

13. Численность персонала, чел.

28

30

25

-

-

107

83

14. Фонд заработной платы, тыс. руб.

2340,1

2580,5

2510,2

+240,4

-70,3

110,3

97,3

15.Средняя заработная плата, тыс. руб.

7,0

7,2

8,4

-0,2

+1,2

102,8

116,7

16.Основные средства, тыс. руб.

126

475

398

+349

-77

377

84

17. Оборотные средства, тыс. руб.

16 447

25 143

41 784

+8 696

+16 641

152,9

166,2


В таблице 4 приведены показатели издержек обращения, в динамике за три года.

Таблица 4 - Показатели издержек обращения

Показатели

Значение


2011 год

2012 год

2013 год

1. Абсолютная величина издержек

10720 640

12588 904

13290 630

2. Структура издержек обращения, в т.ч.:




- транспортные расходы, тыс. руб.

1 202

1380,3

1340,2

- расходы на оплату труда, тыс. руб.

2340,1

2580,5

2510,2

- отчисления на социальные нужды, тыс. руб.

773,4

784,2

760,1

- расходы на аренду и содержание зданий, сооружений, помещений, оборудования и инвентаря, тыс. руб.

600

820

530

- амортизация основных средств, тыс. руб.

195,7

174,5

291,4

- расходы на ремонт основных средств, тыс. руб.

3,2

2,5

11,1

- расходы на топливо, газ и электроэнергию для производственных нужд, тыс. руб.

2894,12

3423,45

3923,802

- расходы на хранение, подработку, подсортировку, упаковку, тыс. руб.

1157,15

1369,381

1569,526

- расходы на рекламы, тыс. руб.

753

908,091

1020,19

- потери товаров и технологические отходы, тыс. руб.

578,8

684,69

784,782

- расходы на тару, тыс. руб.

405,17

461,292

549,33

3. Относительный уровень издержек обращения, %

18,76

21

18,12

4. Относительная экономия или перерасход издержек обращения, руб.

-

+ 868,264

+ 701,726


Анализируя данные, приведенные в таблице 4, можно наблюдается ежегодное повышение величины издержек обращения.

В 2011 году увеличение этого показателя характеризуется повышением величины всех структурных элементов входящих в состав издержек обращения.

В-первую очередь это объясняется повышением арендной платы, что характеризуется появлением дополнительных складских площадей, а так же увеличением арендной платы на площадь, занятой офисом и выставочным залом.

В 2013 году, даже не смотря на значительное снижение арендной платы, снижение транспортных расходов и расходов на оплату труда, величина издержек обращения увеличивается. Данный факт объясняется повышением цен на продукцию завода Pintinox - 18% и на продукцию торговой марки «Konig» - 21%. Так же увеличиваются такие показатели как, амортизация основных средств, за счет приобретения нового оборудования (компьютерная техника), расходы на топливо и электроэнергию для производственных нужд, расходы на хранение, на рекламу (создание нового сайта, по типу интернет - магазина) и т.д. Увеличивается количество потерь товаров и технологических расходов, в основном за счет заводских недовложений в упаковке.

Таким образом, наблюдается увеличение общей суммы издержек обращения, что является отрицательным показателем в деятельности предприятия. В 2013 годы транспортные расходы сокращаются в связи со снижением количества развозов, и как следствие, количеством заказов. Расходы на оплату труда и отчисления на социальные нужду имеют меньшую величину, за счет сокращения численности персонала, что так же является не благоприятной тенденцией.

Сокращение численности персонала, так же будет отрицательно сказываться на деятельности предприятия, в связи с увеличением нагрузки на имеющийся персонал. В случае увеличения имеющегося объема работы, без увеличения количества сотрудников, приведет к невозможности выполнения части работы, в связи с отсутствием необходимого количества работников, что повлечет за собой, в конечном итоге, снижение прибыли предприятия.

В таблице 5 приведены показатели работы склада в динамике за три года.

Таблица 5 - Показатели эффективности работы склада

Показатель

Значение


2011 год

2012 год

2013 год

1. Складской товарооборот, тыс. руб.

55496,116

57109,524

61331,667

2. Складской грузооборот, шт.

215 100

239 860

209 560

3. Однодневный товарооборот, шт.

864

960

842

4. Число рабочих на складе

3

4

5

5. Производительность труда работников склада, шт./день

288

240

211

6. Себестоимость складской переработки одной тонны груза, руб./тонн

2,93

3,64

2,78

7. Общая площадь склада, кв.м.

500

950

950

8.Полезная площадь склада, кв. м.

400

900

750

5. Коэффициент полезной площади склада

0,8

0,95

0,79

6. Товарооборот в днях товарооборота, дни

192

219

203

7. Скорость товарного обращения

1,3

1,14

1,2


По данным видно, в связи со снижением грузооборота, уменьшается и производительность труда складских работников.

Однако в 2013 году численность складского персонала увеличивается, поэтому себестоимость складской переработки груза не возрастает, а наоборот снижается.

В 2013 году увеличивается скорость товарного обращения за счет снижения грузооборота. Таким образом, увеличение цен на продукцию повлекло снижение многих значимых показателей, что является не благоприятным фактом для компании.

Таким образом, очевидно, что, не смотря на ежегодное увеличение прибыли, на предприятии присутствует и ряд определенных проблем, для решения которых необходимо принимать активные действия в настоящее время. Игнорируя их, либо же откладывая принятия каких-либо решения, может привести к негативным последствиям, среди которых можно выделить:

·        Потеря доли рынка активных клиентов;

·        Потеря части прибыли предприятия, в связи с сокращением количества заказов, равно как и средней суммы заказа;

·        Снижение ликвидность и рентабельности работы, как каждого подразделения в отдельности, так и всего предприятия в целом.

На основании выше изложенного очевидно, что проведение систематического анализа деятельности данного предприятия является необходимым мероприятием.

3. Пути совершенствования управления денежными потоками на предприятии ЗАО «ЭЛИС-К»


.1 Анализ структуры и динамики денежных потоков на предприятии

Актуальной проблемой для российских компаний, осуществляющих финансово-хозяйственную деятельность, становится деятельность по оптимизации управления денежными потоками. Основными задачами компании становятся выявление причин, которые вызвали недопоступление денежных средств, и оперативное принятие мер по их устранению. Также важнейшей задачей становится более эффективное расходование денежных средств, использовании по максимуму договорной работы, уменьшение авансирования и увеличение длительности и размеров коммерческого кредита (кредиторской задолженности). Данные меры позволяют оптимизировать денежные потоки предприятия, помогают снизить заемную нагрузку на организацию и избежать кассовых разрывов.

Для оценки результативности деятельности по оптимизации управления денежными потоками лучше всего подойдет отчет о движении денежных средств, составленный косвенным методом, он покажет взаимосвязь между разными видами деятельности компании. Отчет о движении денежных средств, составленный косвенным методом по истечении отчетного периода, и отчет, составленный прямым методом, которые вместе, комплексно, представляют собой результат политики управления денежными средствами компании за отчетный период, и являются для финансиста базой для принятия стратегических решений на будущий период.

Движение денежных потоков в значительной степени зависит от структуры оборотных средств. На основании данной информации, в таблице 6 приводится полный анализ состава и структуры оборотных средств.

Таблица 6 - Состав и структура оборотных средств ЗАО «Элис-К»

Показатели

Год


2011

2012

2013


тыс. руб.

%

тыс. руб.

%

тыс. руб.

%

Запасы

42 314

9,35

48 720

10,7

59 314

14,1

Дебиторская задолженность

312 140

290 080

63,8

150 140

35,7

Денежные средства

98320

21,8

115700

25,5

210700

50,2

Итого

452 774

100

454 500

100

420 154

100


На основании данных, представленных в таблице 6, на рисунках 8, 9, 10 приводятся наглядное изменение структуры оборотных средств.

Таким образом, на основании представленной информации, очевидно, что существенное изменение структуры оборотных средств наблюдается к 2013 году, которое происходит посредствам существенного снижения дебиторской задолженности, равно как и увеличения свободных денежных средств.

Рис. 8. Структура оборотных средств ЗАО «Элис-К» за 2011 год

Рис. 9. Структура оборотных средств ЗАО «Элис-К» за 2012 год

Рис. 10. Структура оборотных средств ЗАО «Элис-К» за 2013 год

Так, стоит отметить, что в 2011 году, наибольший процент удельного веса в структуре оборотных средств приходится на дебиторскую задолженность, в то время как к 2013 году, данный показатель снижается, уступая свое первенство иной составляющей оборотных средств - денежным средствам.

Так же на основании данных, представленных в таблице 6, в таблице 7 представлена динамика изменения, посредствам абсолютного и относительного отклонения оборотных средств.

Таблица 7 - Динамика оборотных средств ЗАО «Элис-К»

Показатели

Абсолютное изменение

Относительное изменение


2011-2012 гг.

2012-2013 гг.

2011-2012 гг.

2012-2013 гг.


тыс. руб.

тыс. руб.

%

%

Запасы

6 406

10594

115,1

121,74

Дебиторская задолженность

-22 060

-139940

92,9

51,76

Денежные средства

17380

95000

117,68

182,11

Итого

1 726

-34 346

326

356


Таким образом, очевидно, что сумма запасов ежегодно увеличивается, что характеризуется увеличение складского грузооборота. Так же следует отметить и повышение денежных средств, сумма которых к 2013 году повышается почти в два раза. Наличие таких результатов является положительным результатом деятельности всех подразделений предприятия. Единственным показателем, значение по которому снижается, является дебиторская задолженность, однако, такое снижение характеризует сокращение задолженности клиентов перед данным предприятием, то есть часть клиентов в полной мере осуществила расчет за товар, что так же является положительным моментов в деятельности фирмы.

Повышение объема запасов не означает сто процентное повышение прибыли, для этого необходимо осуществить его полную реализацию. Изменение прибыли напрямую зависит от динамики изменения продаж, которое представлено в таблице 8.

Таблица 8 - Динамика продаж ЗАО «Элис-К»

Период

Годы


2011

2012

2013


тыс. руб.

уд. вес, %

тыс. руб.

уд. вес, %

тыс. руб.

уд. вес, %

I квартал

12 340,001

22,236

12 640,230

22,133

13 244,000

21,594

II квартал

10 092,000

18,185

11 987,003

20,989

12 010,096

19,582

III квартал

15 970,133

28,777

14 540,900

25,461

16 790,130

27,376

IV квартал

17 093,982

30,802

17 941,392

31,416

19 287,440

31,448

ИТОГО

55 496,116

100,000

 57 109,53

 100,00

 61 331,67

 100,00


На основании данных представленных в таблице 8, на рисунке 11, наглядно представлена динамика изменения продаж за три года, в процентном соотношении.

Таким образом, наглядно видно, что пик продаж в рассматриваемом периоде приходится на четвертый квартал, в то время как самый не доходным периодом, является второй квартал каждого года. Однако, во втором квартале 2012 года показатели продаж выше, чем в остальные года, что характеризуется проведением различных торговых акций, с целью повышения продаж.

Рис. 11. Динамика изменения объема услуг ЗАО «Элис-К»

Как отмечалось выше, на данном предприятии весь товар разделен на группы, количество запасов которых, зависит от динамики продаж, то есть в группе А будет присутствовать товары, продажи по которым являются максимальными. С целью получения наиболее общей картины, достаточно часто используют именно среднюю стоимость запасов, посредствам которой данные по каждой группе приобретают усреднённое значение.

В таблице 9 приводятся данные относительно структуры средней стоимости запасов.

Таблица 9 - Динамика изменения структуры средней стоимости запасов ЗАО «Элис-К»

Запасы

2011

Удельный вес, %

2012

Удельный вес, %

2013

Удельный вес, %

А

2030,4

43,90

2039,01

42,84

2501,10

48,935916

В

1979,21

42,80

1714,4

36,02

1940,06

37,958744

С

615,07

13,30

1005,7

21,13

669,81

13,10534

Итого

4624,68

100

4759,1

100

5110,97

100


Таким образом, на основании приведенной выше информации очевидно, что большая часть запасов приходится на товар, относящийся к группе А, то есть к наиболее продаваемым товарам. Характеризуется наличие таких показателей тем фактом, что товарный запас данной категории, в обязательном порядке должен перекрывать все возможные перебои в производстве и поставке данного товара, для минимизации рисков снижения прибыли предприятия.

Так, для большей наглядности, на рисунке 12 данные таблицы 9 представлены схематически.

Рис. 12. Динамика изменения структуры средней стоимости запасов ЗАО «Элис-К», в процентах

На основании представленных выше данных, можно сделать следующие выводы:

·        Основная доля запасов приходится на группу А;

·        Наименьшая сумма затрат относится на товары находящиеся в группе С, что характеризуется следующим фактом, наличие товаров данной группы не является обязательным и необходимым, более того, они являются, как правило, товарами заменителями, с наименьшей стоимость и качеством;

·        Группа В является промежуточной, количество запасов в данной группе напрямую зависит от изменения продаж.

Изменение структуры средней стоимости запасов в большинстве своем зависит именно от динамики продаж, поскольку именно на основании текущего уровня ликвидного остатка осуществляется непосредственное формирование необходимого количества запасов. Сокращение продаж, влечет за собой отток денежных средств из оборота и их оседание на счетах предприятия. В то же время, сокращение продаж предприятия, напрямую влияет на текущий уровень прибыли предприятия, соответственно сократиться и чистая прибыль.

Соответственно, для выявления динамики изменения денежных средств направленных на оснащение предприятия товарными запасами, в таблице 10 приводятся данные относительно темпов прироста средних товарных запасов.

Таблица 10 - Темпы прироста средних товарных запасов ЗАО «Элис-К»

Запасы

Абсолютное изменение, тыс. руб.

Относительное изменение, %


2012 - 2011 года

2012 - 2013 года

2012 - 2011 года

2012 - 2013 года

А

8,61

462,09

100,42

122,66

В

-264,79

225,64

86,62

113,16

С

390,63

-335,89

163,51

66,60

Итого

134,45

351,84

102,91

107,39


Так, на основании данных, представленных в таблице 10, можно сделать следующие выводы:

·        В 2012 и в 2013 годах присутствует сокращение сумм денежных средств, направленных на оснащение предприятия товарным запасом;

·        Наиболее существенное увеличение товарных запасов наблюдается в 2013 году, по товарам группы А. Данное увеличение достигает 22%, что является достаточно положительным показателем, поскольку, подтверждает наличие спроса на продукцию данного предприятия.

·        Положительным показателем является и сокращение расходов, направленных на подержание товарного запаса группы С, поскольку данная группа, является наименее доходной и наиболее широкой по ассортименту. Как правило, ее сокращение приносит положительные результаты, позволяя высвобождать денежные средства на товарный запас группы А.

.2 Оценка эффективности управления денежными потоками на предприятии

Управление денежными средствами предприятия во многом определяется показателями их оборачиваемости. Именно посредством данных показателей можно с наибольшей точностью определить качество и эффективность использования денежных средств на данном предприятии.

К показателям оборачиваемости денежных средств, можно отнести следующие:

. Длительность одного оборота (До) определяется по формуле:

 

(12)

где Со - остатки оборотных средств за период;

Тпер - число дней в периоде; Vреал - выручка от реализации.

. Коэффициент оборачиваемости показывает количество оборотов, совершаемых за определенный период. Он определяется по формуле:

 

(13)

Для более детального и полноценного анализа денежных потоков, в таблицах 11,12,13 приводятся данные относительно оборачиваемости товарных запасов за три года.

Таблица 11 - Оборачиваемость товарных запасов ЗАО «Элис-К» за 2011 год

Показатель

Товарная группа

Итого


А

В

С


1. Выручка от реализации, тыс. руб.

40 973,08

10 982,03

3 541,01

55 496,12

2. Средние товарные запасы, тыс. руб.

2 030,40

1 979,21

615,07

4 624,68

3. Коэффициент оборачиваемости, об. (1/2)

20,18

5,55

5,76

12,00

4. Длительность периода, дни.

360,00

5. Длительность одного оборота, дни (4/3)

17,84

64,88

62,53

30,00

6. Среднедневной оборот, тыс. руб. (2/5)

113,81

30,51

9,84

154,16


На основании данных представленных в таблице 11, можно сделать следующие выводы:

·        В 2011 году, основная доля прибыли приходится на товары группы А, не смотря на то, что именно на данную группу товаров приходится наименьшее количество совершенных оборотов за анализируемый период;

·        Так же следует отметить, что длительность одного оборота, в общем, по предприятию, составляет тридцать дней, что является положительным моментом, поскольку, чем быстрее оборачиваются товарные запасы, тем скорее предприятие возвращает свои, вложенные денежные средства, равно как и прибыль от совершенного оборота.

Таблица 12 - Оборачиваемость товарных запасов ЗАО «Элис-К» за 2012 год

Показатель

Товарная группа

Итого


А

В

С


1. Выручка от реализации, тыс. руб.

42 190,03

11 573,96

3 345,54

57 109,53

2. Средние товарные запасы, тыс. руб.

2 039,01

1 714,42

1 002,70

4 759,13

3. Коэффициент оборачиваемости, об. (1/2)

20,69

6,75

3,34

12,00

4. Длительность периода, дни.

360,00

5. Длительность одного оборота, дни (4/3)

17,40

53,33

107,90

30,00

6. Среднедневной оборот, тыс. руб. (2/5)

117,19

32,15

9,29

158,64

Посредствам информации представленной в таблице 12, можно сделать следующие выводы:

·        Так же как и в 2011 году, в 2012 году, основная доля доходов предприятия, приходится именно на товары, относящиеся к группе А;

·        В 2012 году сокращается количество совершаемых товаром оборотов по всем группам, однако, наиболее существенно, такое сокращение отразилось на товарах группы С;

·        Средний оборот по всему предприятию. Формируется преимущественно за счет товаров группы А, как в 2011 году, так и в 2012 году.

Таблица 13 - Оборачиваемость товарных запасов ЗАО «Элис-К» за 2013 год

Показатель

Товарная группа

ИТОГО


А

В

С


1. Выручка от реализации, тыс. руб.

44 160,33

13 791,06

3 380,28

61 331,67

2. Средние товарные запасы, тыс. руб.

2 501,10

1 940,06

669,81

5 110,97

3. Коэффициент оборачиваемости, об. (1/2)

17,66

7,11

5,05

12,00

4. Длительность периода, дни.

360,00

5. Длительность одного оборота, дни (4/3)

20,39

50,64

71,33

30,00

6. Среднедневной оборот, тыс. руб. (2/5)

122,67

38,31

9,39

170,37


На основании данных, представленных в таблице 13, можно сделать следующие выводы:

·        Общая длительность одного оборота остается неизменной, посредствам варьирования показателей внутри групп.

·        Длительность одного оборота по товарам группы А увеличивается, в то время, как по товарам группы В и С сокращается;

·        Равно как и длительность одного оборота, количество оборотов за анализируемый период остается неизменным.

Рассматривая каждый год отдельно, очевидно, что и в этих рамках присутствует определенная динамика изменений, однако, наиболее обоснованными выводами для принятий соответствующих решений будут именно сравнение показателей разных годов за одинаковый период, что и представлено в таблице 14.

Таблица 14 - Оборачиваемость товарных запасов ЗАО «Элис-К»

Показатель

Год

Изменения


2011

2012

2013

2011/2012

2012/2013





руб.

%

руб.

%

Выручка от реализации, тыс. руб.

55496,12

57109,53

61331,67

1613,41

102,91

4222,1

107,39

Затраты, тыс. руб.

10720,64

12588,90

13290,63

1868,26

117,43

701,73

105,57

Прибыль, тыс. руб.

1666,00

2202,00

581,00

134,87

-45,00

98,00

Средние товарные запасы, тыс. руб.

4624,68

4759,13

5110,97

134,45

102,91

351,84

107,39

Оборачиваемость запасов, обороты

12,00

12,00

12,00

0,00

100,00

0,00

100,00

Длительность одного оборота, дни.

30,00

30,00

30,00

0,00

100,00

0,00

100,00

Среднедневной оборот, тыс. руб.

154,16

158,64

170,37

4,48

102,91

11,73

107,39


На основании приведенных данных, можно сделать общие выводы по управлению денежными средствами предприятия:

·        Распределение денежных средств напрямую зависит от уровня запасов, то есть от динамики продаж;

·        В 2011 и в 2012 годах, большая часть денежных средств оставалась в виде дебиторской задолженности, то есть товар отгруженный, но не реализованный;

·        В 2013 году наиболее весомой статьей в структуре денежных средств являются свободные денежные средства, находящиеся на счетах предприятия;

·        Во всем рассматриваемом периоде, наименьшая часть денежных средств аккумулируются в товарных запасах.

.3 Основные направления совершенствования управления денежными потоками на предприятии

В стратегическом развитии любого предприятия, наличие эффективного управления денежными средствами занимает главенствующую роль, поскольку оказывает прямое влияние на конечные экономические результаты деятельности предприятия.

Именно посредством полноценного и корректного управления денежными средствами предприятия, можно существенным образом влиять на любые показатели деятельности фирмы, как промежуточные, так и конечные:

·        Посредством эффективного и полноценного управления денежными потоками компании, можно гарантировать и обеспечивать ряд важнейших показателей: платежеспособность, финансовая устойчивость, ликвидность, рентабельность и так далее;

·        Любое стратегическое развитие предприятия в большинстве случаев осуществляется посредствам финансовых инструментов. Эффективное же управление денежными потоками позволяет обеспечивать финансовое равновесие в любых рыночных условиях;

·        Планирование, формирование и анализ денежных потоков позволяет повысить равномерность и ритмичность в деятельности всего предприятия. Стоит отметить, что отсутствие анализа и планирования в финансовой деятельности предприятия приведет к негативным последствиям в работе всех подразделений предприятия:

¨       Формирование товарных запасов;

¨       Финансовая работа с поставщиками и потребителями;

¨       Договорная работа (не соблюдение условий договора, просрочка в поставках, либо в оплатах);

¨       Оплата труда работников, планирование фонда заработной платы;

¨       Неточности при определении планов и объемов реализации товара;

·        Наличие наиболее полноценной и квалифицированной работы в области управления денежными потоками предприятия позволяет выявлять имеющиеся финансовые резервы, тем самым сокращая долю заемных средств;

·        Именно посредствам полноценного и эффективного управления денежными средствами компании, осуществляется увеличение скорости оборота капитала компании.

Комплексный подход к управлению денежными потоками предприятия позволит решить единую задачу, включающую:

сведение к минимуму рисков неплатежей и взаимосвязанных с ними других финансовых рисков;

поддержание минимального наличия денежных средств, достаточного для бесперебойного осуществления деятельности предприятия;

обеспечение требуемой ликвидности;

поддержание заданного уровня рентабельности;

обеспечение финансовой устойчивости.

Управление денежными потоками охватывает основные аспекты управления деятельности компании (рис. 13).

Рис. 13. Управление денежными потоками предприятия

Поэтому основными направления совершенствования управления денежными потоками выступают совершенствование управления:

·        внеоборотными активами;

·        товарно-материальными запасами;

·        дебиторской и кредиторской задолженностями;

·        кредитами;

·        собственным капиталом.

Выработка мер по оптимизации управления денежными потоками в ЗАО ЗАО «Элис-К» будет базироваться на следующих принципах функционирования системы управления денежными потоками:

-             ускорение и оперативный сбор денежных притоков;

-       централизацию поступивших средств;

-       контроль над сроком осуществления денежных оттоков;

-       прогнозирование денежной позиции;

-       оптимизацию использования временных избыточных денежных средств;

-       сбор своевременной информации;

-       внедрение систем и услуг, необходимых для наблюдения, контроля за денежной позицией компании и дальнейшего управления.

В целях увеличения чистого денежного потока рекомендуется также принять следующие меры:

-             рост чистой прибыли;

-       увеличение суммы амортизации основных средств и нематериальных активов;

-       уменьшение дебиторской задолженности;

-       уменьшение запасов и НДС по приобретенным ценностям;

-       увеличение суммы прочих поступлений;

-       сокращение выплат по краткосрочным кредитам и займам;

-       уменьшение прочих расходов.

Рассмотрим мероприятия по оптимизации управления денежными потоками и рассчитаем предполагаемый эффект от их реализации:

. Увеличение качества финансового планирования и финансирования предлагается составление ежемесячных планов, базирующихся на утвержденном бюджете доходов и расходов Общества на год и контроль их исполнения. В ЗАО «Элис-К» необходимо задействовать трехуровневую система финансового планирования и учета исполнения финансовых планов, которая обеспечит качество и взаимоувязку финансового планирования с бюджетом доходов и расходов и с планами вложений.

В рамках контроля за целевым использованием средств необходимо наладить систему сбора оперативной информации, которая позволяет отслеживать все платежи организации. В рамках данной системы, для проверки обоснованности платежей ежедневно необходимо получать отчетность о проведенных операциях.

Мероприятия по совершенствованию управления финансами имеют своей целью повышение эффективности деятельности Общества путем планирования и осуществления экономически обоснованных расходов, достижение рационального соотношения между расходами и достигнутыми результатами в реализации финансовых планов Общества, достижение оптимальной величины расходов, достаточной для функционирования и перспективного развития Общества. Контроль за целевым использованием средств обеспечивается составлением финансовых планов на основании бюджета доходов и расходов, а также производственных планов текущего, капитального ремонта и капитальных вложений, системой ежедневного оперативного финансового учета и контроля исполнения платежей.

Повышение качества финансового планирования и финансирования позволит осуществить централизацию управления движением денежных средств, консолидировать денежные потоки и увеличить эффективность расходов. На основе метода экспертных оценок попробуем оценить эффект для чистого денежного потока от реализации данных мероприятий в ЗАО «Элис-К» за 2015 год в таблице 15.

Таблица 15 - Оценка эффекта от повышения качества финансового планирования и финансирования ЗАО «Элис-К» в 2015 г., в тыс. руб.

Показатель

Результат повышения эффективности планирования и финансирования (экспертная оценка)

2015

Изменение



До внедрения

После внедрения

в тыс. руб.

в %

Чистая прибыль организации

3%

166 000,00

170 980,00

4 980,00

103,00

Изменение дебиторской задолженности

-10%

-139940,00

-162 000,00

18 000,00

90,00

Изменение запасов ТМЦ

-10%

-10594,00

-11 653,00

1059,40

90,00

Чистый денежный поток

10%

95000,00

104 500,00

9 500,00

110,90


Повышение эффективности управления денежными потоками за счет увеличения качества финансового планирования и финансирования по экспертным оценкам позволит увеличить чистый денежный поток на 10 % в первый год внедрения системы. Это должно произойти за счет снижения дебиторской задолженности и запасов ТМЦ на 10%, а также увеличения кредиторской задолженности на 8% (при этом все договорные обязательства должны быть соблюдены). Также планируется увеличение чистой прибыли организации на 3% за счет ускорения оборачиваемости.

Таким образом, повышение эффективности планирования и финансирования, отслеживания движения денежных потоков и анализа с одной стороны, требует от организации мобилизации управленческого потенциала всех участников процесса, а также довольно значительных затрат времени и труда, однако уже за первый год функционирования может быть получен эффект увеличения чистого денежного потока на 9500 тыс.руб. При этом, повысится прозрачность движения денежных потоков, контроль за каждой суммой расходов средств, оперативное получение данных по поступившим доходам.

. В целях увеличения чистого денежного потока предлагается использовать систему скидок, что повысит лояльность покупателей и увеличит объем продаж. ЗАО «Элис-К» также рекомендуется использовать систему скидок как один из приемов управления дебиторской задолженностью, с помощью которого можно эффективно управлять денежными потоками на предприятии.

Рассчитаем эффективность использования системы скидок как одного из методов оптимизации чистого денежного потока организации. ЗАО «Элис-К» предоставляет отсрочку покупателям после выставления счета-фактуры не более 15 дней. На практике нередки задержки платежей сверх этого срока. Оценим вероятность безнадежных долгов в группах по срокам возникновения задолженности наиболее крупных дебиторов (таблица 16).

финансовый управление денежный дебиторский

Таблица 16 - Оценка реального состояния дебиторской задолженности, тыс.руб.

Дебиторы

Классификация задолженности по срокам возникновения

Сумма задолж.

Вероятность безнадежных долгов

Сумма безнадежных долгов

Реальная величина задолженности

«Кировский»

0-30 дней

240

0,025

6,0

234,0


31-60 дней

300

0,05

15,0

285,0


61-90 дней

100

0,075

7,5

92,5


более 91 дня

220

0,1

22,0

198,0

Итого


860

0,06

50,5

809,5

«Мегамарт»

0-30 дней

80

0,025

2,0

78,0


31-60 дней

130

0,05

6,5

123,5


61-90 дней

45

0,075

3,3

41,6


более 91 дня

50

0,1

5,0

45,0

Итого


305

0,06

16,8

288,1

«Квартал»

0-30 дней

160

0,025

4,0

156,0


31-60 дней

0

0,05

0,0

0,0


61-90 дней

0

0,075

0,0

0,0


более 91 дня

115

0,1

11,5

103,5

Итого


275

0,06

15,5

259,5

ООО «Гранд»

0-30 дней

0

0,025

0,0

0,0


31-60 дней

40

0,05

2,0

38,0


61-90 дней

65

0,075

4,8

60,1


более 91 дня

110

0,1

11,0

99,0

Итого


215

0,08

17,8

197,1

ОАО «Сервис»

0-30 дней

40

0,025

1,0

39,0


31-60 дней

30

0,05

1,5

28,5


61-90 дней

50

0,075

3,7

46,2


более 91 дня

60

0,1

6,0

54,0

Итого


180

0,07

12,2

167,7

ООО «Никол»

0-30 дней

40

0,025

1,0

39,0


31-60 дней

62

0,05

3,1

58,9


61-90 дней

25

0,075

1,8

23,1


более 91 дня

25

0,1

2,5

22,5

Итого


152

0,06

8,4

143,5

ОАО «Центро-поставка»

0-30 дней

30

0,025

0,7

29,2


31-60 дней

0

0,05

0,0

0,0


61-90 дней

35

0,075

2,6

32,3


более 91 дня

78

0,1

7,8

70,2

Итого


143

0,08

11,1

131,8

ООО «Царицын»

0-30 дней

50

0,025

1,2

48,7


31-60 дней

0

0,05

0,0

0,0


61-90 дней

0

0,075

0,0

0,0


более 91 дня

0

0,1

0,0

0,0

Итого


50

0,025

1,2

48,7

ОАО «Рестор»

0-30 дней

0

0,025

0,0

0,0

35

0,05

1,7

33,2


61-90 дней

0

0,075

0,0

0,0


более 91 дня

13

0,1

1,3

11,7

Итого


48

0,06

3,3

44,9

ОАО "Оптимум"

0-30 дней

0

0,025

0,0

0,0


31-60 дней

0

0,05

0,0

0,0


61-90 дней

0

0,075

0,0

0,0


более 91 дня

49

0,1

4,9

44,1

Итого


49

0,1

4,9

44,1

Всего


2277

0,06

141,8

2135,1


Максимальный размер скидок - 5%.

Для стимулирования оплаты дебиторами задолженности можно применить следующую градацию скидок:

-   оплата в момент поставки товара: скидка 5%

-       оплата до 5 дней после поставки товара: скидка - 4,5%

-       от 6 до 10 дней - 3,5%

-       от 11 до 15 дней - 3%

-       от 16 до 20 дней - 2,5%

-       от 21 до 25 дней - 2%

-       от 26 до 35 дней - 1,5%

-       от 36 до 45 дней - 1%

-   через 46 и более дней скидки не предоставляются.

Как показывает практика, предложенная система скидок работает очень хорошо, что позволяет сделать предположение о том, что в результате предложенных скидок дебиторы погасят свою текущую задолженность, в результате чего ЗАО «Элис-К» сможет получить денежные средства на сумму:

(240+80+160+40+40+30+50) - ((240+80+160+40+30+50)* ((5%+4,5% +4%+ 3,5%+3%+2,5%)/6)) = 640-640*3,75% = 616 тыс.руб.

Для анализа финансовой эффективности системы скидок для дебиторов рассчитаем такие показатели, как период оборота дебиторской задолженности, который показывает количество дней в продажах за период. Расчет эффективности системы скидок приведен в таблице 17.

Таблица 17 - Расчет эффективности системы скидок

Показатели

Алгоритм расчета

Расчет

1. Сальдо дебиторской задолженности(Сдб)


2 537 тыс.руб.

2. Срок дебиторской задолж-ти до введения скидок (Одб)

Сдб/В*365дн.

2 537/2 752*365 = 335 дней

3. Срок дебиторской задолженности после введения скидок (Одбскид)

Сдбскид/В*365дн.

(2537-616)/2 752*365 = 255,5 дней

4.Однодневная стоимость финансирования (Сфин)

Средняя ставка кредитования (22% годовых)*Сдб/365

2 537*22%/365 = 1,53 тыс.руб.

4. Сумма сэкономленных средств

Сфин*(Одб-Одбскид)

1,53*(335-255,5) = 121,64 тыс.руб.


Как видим, в результате внедрения предложенной системы скидок чистый денежный поток в ЗАО «Элис-К» будет увеличен на 121,7 тыс.руб.

. Внедрение факторинговых операции дебиторской задолженности. Поскольку самую большую задолженность перед ЗАО «Элис-К» имеет сеть «Кировский», то факторинговую операцию выгоднее всего проводить в отношении данного дебитора. Суть данной операции заключается в продаже дебиторской задолженности с дисконтом.

В таблице 18 приведен расчет влияния факторинговой операции для формирования чистого денежного потока в ЗАО «Элис-К».

Сумма дисконта при продаже дебиторской задолженности «Кировский» составит 43,4 тыс.руб., тогда как сумма уплаченных процентов за пользование кредитом составит 136,4 тыс.руб.

Таким образом, согласно приведенным расчетам, видно, что чистый денежный поток при проведении факторинговой операции ЗАО «Элис-К» в отношении дебиторской задолженности «Кировский» увеличится на 137,5 тыс.руб. (576,6-439,1).

Таблица 18 - Расчет эффективности факторинговой операции

Показатели

Факторинг

Сохранение дебиторской задолженности

1. Сумма дебиторской задолженности, право на взыскание которой передано коммерческому банку, тыс.руб.

620


2. Сумма кредита, необходимая для деятельности ЗАО «Элис-К», в связи с непогашенной дебиторской задолженностью, тыс.руб.


620

3. Сумма дисконта при продаже дебиторской задолженности (при ставке дисконта - 7%), тыс.руб.

620*0,07 = 43,4


4. Сумма процентов при пользовании кредитом (при среднем уровне процентной ставки - 22%), тыс.руб.


620*0,22 =136,4

5.Сумма условных потерь при старении дебиторской задолженности, тыс.руб.


15+7,5+22= =44,5

6. Сумма средств, причитающихся ЗАО «Элис-К», тыс.руб.

6200-434 = 5766

620-136,4-44,5 = 439,1


Также работу по снижению дебиторской задолженности необходимо проводить в следующих направлениях:

усиление работы с поставщиками с целью заключения более выгодных с экономической точки зрения контрактов и отказ от договоров с низкой рентабельностью. В настоящий момент у организации заключен целый ряд соглашений с поставщиками. Из всего этого спектра необходимо выделить наиболее доходные, что даст возможность не только повысить общую рентабельность бизнеса за счет перехода на более выгодные контракты, но и позволит компании требовать от поставщиков предоставления дополнительных скидок при увеличении объема продаж;

организовать четкий контроль над своевременным выставлением счетов и ежедневного анализа оплаты по выставленным счетам: регулярно составлять реестр старения дебиторской задолженности, определять структуру и динамику изменения каждой статьи дебиторской задолженности, срок оборачиваемости дебиторской задолженности;

- необходимо премировать работу менеджеров по продажам не на основе данных о продаже или отгрузке, как это делается в настоящее время, а на основе оплаты покупателем дебиторской задолженности. Это позволит уже на стадии продажи заинтересовать менеджера на оплату проданной продукции и увеличит оборачиваемость дебиторской задолженности без каких-либо дополнительных затрат со стороны организации.

Также возможным способом воздействия на ускорение расчетов с покупателями является введение в расчет штрафных санкций за задержку платежа. Несмотря на то, что внешне механизм санкций равноценен скидкам, в большинстве случаев он менее выгоден продавцу и покупателю. Это связано с системой налогообложения организаций. Так, штрафы, полученные от контрагентов, входят в состав внереализационных доходов организации и, следовательно, увеличивают налогооблагаемую базу по налогу на прибыль. Кроме того, согласно требованиям Налогового кодекса РФ (часть вторая) сумма полученных штрафов в полном объеме является базой по расчету налога на добавленную стоимость. Несмотря на наличие такой возможности, внедрение в практику подобной меры требует значительных усилий, зачастую приводящих лишь к ухудшению финансового состояния организации и снижению денежного потока за счет оттока клиентов. Поэтому данное мероприятие внедряться не будет.

. Реструктуризация кредиторской задолженности. ЗАО «Элис-К» может применить такие методы реструктуризации кредиторской задолженности как:

отступное;

двусторонний взаимозачет задолженностей;

покупка требований к кредитору с последующим взаимозачетом;

обеспечение долга.

Из методов реструктуризации кредиторской задолженности особое внимание необходимо уделить двухстороннему взаимозачету задолженностей, так как он позволяет снизить размер оттока денежных средств по погашению кредиторской задолженности и одновременно позволять избежать риска неуплаты по встречному обязательству.

. Увеличение внеоборотных активов - прежде всего расширение складских площадей за счет ранее не использованных площадей. Данное мероприятие не требует значительных капиталовложений и приведет к увеличению складских запасов в два раза и росту выручки на 3 % (экспертная оценка) вследствие расширения ассортимента продукции, находящегося на складе.

В ходе работы нами были сделаны предложения, позволяющие оптимизировать дебиторскую и кредиторскую задолженность, а значит, и обеспечить увеличение потока денежных средств. Рассчитать экономическую эффективность всех предложенных мероприятий не представляется возможным, поэтому мы рассчитали экономический эффект лишь некоторых из них.

Заключение

По итогам проведенного исследования были сделаны следующие выводы.

. Финансовое благополучие предприятия во многом зависит от притока денежных средств, обеспечивающих покрытие его обязательств. Отсутствие минимально-необходимого запаса денежных средств может указывать на финансовые затруднения. Избыток денежных средств может быть знаком того, что предприятие терпит убытки. Причем причина этих убытков может быть связана как с инфляцией и обесценением денег, так и с упущенной возможностью их выгодного размещения и получения дополнительного дохода. В любом случае именно анализ денежных потоков позволит установить реальное финансовое состояние на предприятии. Анализ денежных потоков является одним из ключевых моментов в анализе финансового состояния предприятия, поскольку при этом удается выяснить, смогло ли предприятие организовать управление денежными потоками так, чтобы в любой момент в распоряжении фирмы было достаточное количество наличных денежных средств.

Движение денежных средств фирмы представляет собой непрерывный процесс. Для каждого направления использования денежных фондов должен существовать соответствующий источник и целевой объект. В работе, процессы движения денежных средств рассматривались на примере ЗАО «Элис-К». Общество занимается оптовой торговлей посудой.

. На основании проведенного финансового анализа, можно сделать следующие выводы:

§  В 2013 году численность складского персонала увеличивается, поэтому себестоимость складской переработки груза не возрастает, а наоборот снижается.

§  В 2013 году увеличивается скорость товарного обращения за счет снижения грузооборота. Таким образом, увеличение цен на продукцию повлекло снижение многих значимых показателей, что является не благоприятным фактом для компании.

§  Распределение денежных средств напрямую зависит от уровня запасов, то есть от динамики продаж;

§  В 2011 и в 2012 годах, большая часть денежных средств оставалась в виде дебиторской задолженности, то есть товар отгруженный, но не реализованный;

§  В 2013 году наиболее весомой статьей в структуре денежных средств являются свободные денежные средства, находящиеся на счетах предприятия;

§  Во всем рассматриваемом периоде, наименьшая часть денежных средств аккумулируются в товарных запасах.

Таким образом, на основании вышеизложенной информации, очевидно, что на предприятии присутствует определенный ряд проблем, решение которых необходимо осуществить в ближайшее время.

. Выработка мер по оптимизации управления денежными потоками в ЗАО ЗАО «Элис-К» будет базироваться на следующих принципах функционирования системы управления денежными потоками:

-             ускорение и оперативный сбор денежных притоков;

-       централизацию поступивших средств;

-       контроль над сроком осуществления денежных оттоков;

-       прогнозирование денежной позиции;

-       оптимизацию использования временных избыточных денежных средств;

-       сбор своевременной информации;

-       внедрение систем и услуг, необходимых для наблюдения, контроля за денежной позицией компании и дальнейшего управления.

. Для повышения эффективности управления денежными потоками были предложены следующие мероприятия:

) Увеличение качества финансового планирования и финансирования.

Повышение качества финансового планирования и финансирования позволит осуществить централизацию управления движением денежных средств, консолидировать денежные потоки и увеличить эффективность расходов.

Повышение эффективности управления денежными потоками за счет увеличения качества финансового планирования и финансирования по экспертным оценкам позволит увеличить чистый денежный поток на 10% в первый год внедрения системы. Это должно произойти за счет снижения дебиторской задолженности и запасов ТМЦ на 10%, а также увеличения кредиторской задолженности на 8% (при этом все договорные обязательства должны быть соблюдены). Также планируется увеличение чистой прибыли организации на 3% за счет ускорения оборачиваемости.

) В целях увеличения чистого денежного потока предлагается использовать систему скидок, что повысит лояльность покупателей и увеличит объем продаж.

Как показывает практика, предложенная система скидок работает очень хорошо, что позволяет сделать предположение о том, что в результате предложенных скидок дебиторы погасят свою текущую задолженность, в результате чего ЗАО «Элис-К» сможет получить денежные средства на сумму 616 тыс.руб.

В результате внедрения предложенной системы скидок чистый денежный поток в ЗАО «Элис-К» будет увеличен на 121,7 тыс.руб.

) Внедрение факторинговых операции дебиторской задолженности. Поскольку самую большую задолженность перед ЗАО «Элис-К» имеет сеть «Кировский», то факторинговую операцию выгоднее всего проводить в отношении данного дебитора. Суть данной операции заключается в продаже дебиторской задолженности с дисконтом.

Согласно приведенным расчетам, видно, что чистый денежный поток при проведении факторинговой операции ЗАО «Элис-К» в отношении дебиторской задолженности «Кировский» увеличится на 137,5 тыс.руб.

). Реструктуризация кредиторской задолженности. ЗАО «Элис-К» может применить такие методы реструктуризации кредиторской задолженности как: отступное; двусторонний взаимозачет задолженностей; покупка требований к кредитору с последующим взаимозачетом; обеспечение долга.

Из методов реструктуризации кредиторской задолженности особое внимание необходимо уделить двухстороннему взаимозачету задолженностей, так как он позволяет снизить размер оттока денежных средств по погашению кредиторской задолженности и одновременно позволять избежать риска неуплаты по встречному обязательству.

). Увеличение внеоборотных активов - прежде всего расширение складских площадей за счет ранее не использованных площадей. Данное мероприятие не требует значительных капиталовложений и приведет к увеличению складских запасов в два раза и росту выручки на 3 % (экспертная оценка) вследствие расширения ассортимента продукции, находящегося на складе.

Таким образом, внедрение всех предложенных мероприятий позволит ЗАО «Элис-К» дополнительно нарастить чистый денежный поток, что позволит организации увеличить чистую прибыль и, в конечном счете, повысить финансовую устойчивость и платежеспособность организации.

Список литературы

1.       Аникин Б.А., Тяпухин А.П. Коммерческая логистика: учеб. - М.: ТК Велби, Изд-во Проспект, 2012 - 432с.

2.      Астахова Н., Москвитина П. Менеджмент. Учебник для бакалавров / Н. Астахова, П. Москвитина. - М.: Юрайт, 2013 - 422с.

.        Баранникова Г.Н. Основы предпринимательства: Уебно-метобическое пособие - Воронеж: Изд-во ВГУ, 2010 - 44с.

.        Балашев А. Теория менеджмента / А. Балашев. - М.: Вузовский учебник, 2013. - 352с.

.        Бердникова Т.Б. Анализ и диагностика финансово-хозяйственной деятельности предприятия: - М.: «Феникс», 2012 - 215с.

.        Брагин Л.А., Данько Т.П. Организация и управление торговыми предприятиями / Л.А. Брагин, Т.П. Данько. - М.: ИНФРА-М, 2010. - 303с.

.        Бунеева Р.И. Коммерческая деятельности: учеб. - М.: «Феникс», 2010. 365с.

.        Виноградова С.Н. Коммерческая деятельность / С.Н. Виноградова, О.В. Пигунова. - Мн.: Вышэйшая школа, 2010. - 352c.

.        Гаджинский А.М. Логистика / А.М. Гаджинский. - М.: ИТК «Дашков и К», 2012. - 483с.

.        Гаджинский А.М. Современный склад. Организация, технологии, управление и логистика: учеб.-практическое пособие. - М.: ТК Велби, Изд-во Проспект, 2013. -176с.

.        Денисова А.Л., Дюженкова Н.В. Организация коммерческой деятельности: управление запасами: Учебное пособие. - Тамбов: Издательство ТГТУ, 2013. - 45с.

.        Егоров И.В. Организация торговли: Учебник для вузов. - СПб.: Питер, 2013. - 127с.

.        Жиделева В., Каптейн Ю. Экономика предприятия / В. Жиделева, Ю. Каптейн. - М.: ИНФРА-М, 2012. - 133с.

.        Зайцев Н.Л. Экономика, организация и управление предприятием: учебное пособие. - М.: ТК Велби, Изд-во Проспект, 2010. - 455с.

.        Канте А.А., Кошевая И.П. Анализ финансово-хозяйственной деятельности предприятия: - СПб.: Питер, 2009.- 288с.

.        Киселева Е.Н., Буданова О.Г. Организация коммерческой деятельности по отраслям и серам применения: Учебное пособие. - М.: Вузовский учебник, 2010. - 192с.

.        Ковалев В.В., Волкова О.Н. - Анализ хозяйственной деятельности: Учебник. - М. ИНФРА, 2010 - 424с.

.        Коротков Э.Л., Шестопал Ю.Т., Дорофеев В.Д. Конкурентные позиции бизнеса. Монография. - М.: "Инфрам-М", 2011. - 261 с.

.        Логистика под ред. Б.А. Акунина, М.: ИНФРА-М, 2011 - 540с.

.        Макконнелл К.Р., Брю С.Л. Экономика: принципы, проблема и политика. Пер. с англ. Т. 1, 2. - М.: Республика, 2012. - 170с.

.        Максимцов Н., Горфинкель В. Менеджмент / Н. Максимцов, В. Горфинкель. - М.: Вузовский учебник, 2012. - 299 с.

.        Маленков Ю. Современный менеджмент / Ю. Маленков. - М.: Экономика, 2010 - 439 с.

.        Мельник М.В., Герасимова Е.Б. Анализ финансово-хозяйственной деятельности предприятия: Учебник. - СПб.: Питер, 2013 - 192с.

.        Молоткова Н.В. Соседова Г.А. Основы коммерческой деятельности: учебное пособие: М. ТГТУ, 2013. - 152с.

.        Молоткова Н.В. Соседова Г.А. Организация, технология и проектирование коммерческих предприятий: учебное пособие: М. ТГТУ, 2009. - 128с.

.        Муромцев Д.Ю., Муромцев Ю.Л., Тютюнник В.М., Белоусов О.А. Экономическая эффективность и конкурентоспособность: Учебное пособие. - Тамбов: Издательство ТГТУ, 2010. - 96с.

.        Николаева Т.И., Егорова Н.Р. Экономика предприятия торговли и общественного питания. - Екатеринбург: Изд-во Урал. гос. экон. ун-та, 2011. - 498с.

.        Николаева Т.И., Елагин Ю.А. Организация торговых процессов и обслуживания покупателей, Екатеринбург 2013. - 912с.

.        Осипова Л.В. Основы коммерческой деятельности / Л.В. Осипова, И.М. Синяева. - М.: ЮНИТИ-ДАНА, 2013. - 623с.

.        Организация и управление торговыми предприятиями: Учебник/ Под редакцией д-ра экон.наук, проф. Л.А. Брагина, д-ра экон.наук, проф. Т.П. Данько. - М.: ИНФРА-М, 2010. - 303с.

.        Основы логистики: Учебник для вузов / Под ред. В. Щербакова. - Спб.: Питер, 2010. - 432 с.

Похожие работы на - Характеристика денежных потоков предприятия

 

Не нашли материал для своей работы?
Поможем написать уникальную работу
Без плагиата!
Без нейросетей!