Дифференциальные уравнения и передаточные функции звеньев САУ
Содержание
Введение
Условия
заданий
Задание
№1
Задание
№2
Задание№3
Задание№4
Задание№5
Задание№6
Выводы
Введение
Модель и моделирование - универсальные понятия,
атрибуты одного из наиболее мощных методов познания в любой профессиональной
области, познания системы, явления. Модель - это объект или описание объекта,
системы для замещения одной системы другой системой для лучшего изучения
оригинала или воспроизведения каких-либо его свойств. Модель-результат
отображения одной структуры на другую. Любая модель строится и исследуется при
определенных допущениях, гипотезах.
Моделирование базируется на математической
теории подобия, согласно которой абсолютное подобие может иметь место лишь при
замене одного объекта другим точно таким же. При моделировании большинства
систем (за исключением, возможно, моделирования одних математических структур
другими) абсолютное подобие невозможно, и основная цель моделирования - модель
достаточно хорошо должна отображать функционирование моделируемой системы.
Условия заданий
Задание №1.
Определить статическую характеристику ОАУ, если
приведены разные статические характеристики его функциональных элементов О1 и
О2.
=
-4,
0;
=cos (
+
),
є[0,
]
, Pi
3.
Задание №2.
Выполнить аналитическую линиарезацию заданной
функции в заданной точке и построить график полученной функции.
f (x)=2*sin(3*x-1)+4 cos(x) в точке x0=
.
Задание №3.
Определить аналитическим путем реакцию
ОАУ(двигателя постоянного тока), что описывается формулой на задающее влияние
f(t); электромеханическая постоянная
электромагнитная
постоянная
с. Проверить
решение и построить график реакцию двигателя. f(t)=3*
.
Задание №4.
Выполнить обратное превращение Лапласа заданной
передаточной функции ОАУ (или представить дифференциальное уравнение , что
описывает ОАУ в виде передаточной функции).
Задача №5.
Превратить дифференциальное уравнение к
нормальной форме Коши и привести соответствующие схемы моделирования для
условия задачи №4 (начальные условия - нулевые).
Задача №6.
Получить конечноразностные уравнения, дискретные
передаточные функции и дискретное описание системы в пространстве состояния.
дифференциальный уравнение
линеаризация функция
Ход работы
Задание№1
Статическая характеристика элемента - называется
зависимость установившихся значений выходной величины от значения величины на
входе системы
=
-4,
0
рис. 1.График зависимости
=cos (
+
),
є[0,
].
рис.2.График зависимости
рис.3.График зависимости
Задание№2
Для упрощения исследований САУ нелинейных
дифференциальных уравнений во многих случаях можно приближенно заменить
линейными.
Процесс преобразования нелинейных уравнений в
линейные называют линеаризацией. Если время t явно не входит в исходное
уравнение и, кроме того, заданный режим является статическим (величины у, х не
зависят от времени), то коэффициенты линеаризованного уравнения постоянны. Если
уравнение было получено при следующих предположениях:) отклонения переменных у
и достаточно малы;) функция обладает непрерывными частными производными по всем
своим аргументам в окрестности точек, соответствующих заданному режиму.
При невыполнении хотя бы одного из этих условий
линеаризацию проводить нельзя.
)*
);
;
рис.4 График функции
Задание №3
=
;
=
;
*
(t)
+
Проводим замену и подставляем в исходное
уравнение:
λ=
;
=
;
λ +
;
.2*7.4*
*
+0.2*λ
+1=0;
Находим корни уравнения:
=-5.07;
=
-1346.28
Общее решение уравнения:
w(t)=
;
w(t)=
;
Частное решение:
;
(t) =2A ;
Подставляем в исходное уравнение:
.2*7.4*
;=3
; B=-1.2; C= -0.7600888
Проверка:
.0000296*3+0.2(6t-1.2)+3
-1.2t-
0.7600888=3
;
.0000888+1.2t-0.24+3
;
.
Полное решение диф. у-ний находим как сумма
частного и общего
(t);
Определяем коэффициент исходя из начальных
условий
.
*
(
)*
.21
Проверка:
(0)=
8727681203367
Полное решение имеет вид:
.
Рис.5 График аналитической функции
Задание №4
Передаточная функция - это отношение изображений
выходного сигнала объекта к входному сигналу, преобразованного по Лапласу при
ненулевых начальных условиях.
,s- комплексная
переменная преобразований Лапласа.
Передаточная функция используется для того,
чтобы находить по изображению входного сигнала находить изображение выходного
сигнала при помощи алгебраических операций.
;
Ответ:
Задание№5
;
Проводим замену:
Выбираем переменное состояние:
Нормальная форма Коши, когда слева
,
справа переменные состояния
Переходим к векторно-матричной форме
=
+
U
(t);
;
Формируем схему моделирования:
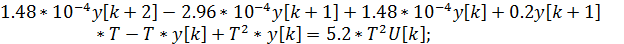
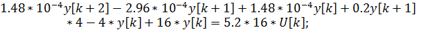
Задание №6
;

Вывод
При выполнении домашнего задания мы получили
статическую характеристику ОАУ при заданных статических характеристиках ее
функциональных элементов; провели линеаризация функции. Уравнение
математической модели, было представлено в виде передаточной функции также
дифференциальные уравнения, были представлены в виде пространства состояния.
Выполняя домашнее задание мы закрепили знания по основам моделирования СУ
полученные на лекциях, практических занятиях и лабораторных работах. Также мы
убедились в том, что математическая модель достаточно полно описывают объект,
имеет максимальную точность описания свойств и характеристик объектов,
практически не искажает реальные характеристики, имея погрешность лишь из-за
дискретизации сигнала. Недостатками математической модели является: свобода в
выборе инструментальных математических средств (операций), а также не всегда
объект автоматического управления можно описать с помощью математических зависимостей
из-за их сложности. Недостатками численной модели является: дискретизация
сигнала, что приводит к потере промежуточных значений. Для проведения
компьютерных вычислений более удобна математическая модель.