Анализ и синтез системы автоматического управления электропривода блюминга
"Теория автоматического управления"
Анализ и синтез системы автоматического управления электропривода
блюминга
Исходные данные
1. Параметры элеткродвигателя
Рн= 7100 кВт
Uн = 930 В
Iн = 8130 А
nн = 30 мин-1
Rя = 0.0036 Ом
J1 =22850 кг
м2
рп = 8
γ =
1.1
Ω12 = 31.4 с-1
2. Параметры системы автоматического
регулирования
Элементная база системы УБСР-А
Тm=0.005 с
Тф=0.0012-0.0015 с
Uпит=24 В
Uуmax=20 В
Реферат
Курсовая работа по дисциплине "Теория автоматического
управления " на тему "Расчет и анализ систем автоматического
управления".
Объектом разработки данной курсовой работы является система
автоматизированного управления главного привода блюминга, выполненная по схеме подчинённого регулирования. Цель
работы - разработка и исследование САУ по заданным критериям качества её
работы.
Расчетно-пояснительная записка содержит 55 страниц, 22 рисунка,
литературных источников.
В процессе исследования САУ были определенны структурные
схемы, коэффициенты передаточных функций элементов системы и их взаимосвязь.
Проведен анализ работы системы САУ на устойчивость. Выведены
передаточные функции по управляющему и возмущающему сигналам. Даны рекомендации
по коррекции САУ.
ПЕРЕХОДНОЙ ПРОЦЕСС, ПЕРЕДАТОЧНАЯ ФУНКЦИЯ САУ, КОЭФФИЦИЕНТ
УСИЛЕНИЯ, СТРУКТУРНАЯ СХЕМА, УСТОЙЧИВОСТЬ СИСТЕМИ, КОРРЕКЦИЯ.
Содержание
Введение
1. Описание
схемы электрической принципиальной
2. Составление дифференциальных уравнений, определение передаточных функций
и составление структурных схем элементов САУ
3. Определение параметров и передаточных функций регуляторов
.1 Регулятор тока якоря
.2 Регулятор скорости
. Составление структурной схемы САУ
. Определение передаточных функций САУ по управляющему и возмущающему
воздействиям
. Исследование САУ на устойчивость
.1 Критерий устойчивости Гурвица
.2 Критерий устойчивости Михайлова
. Определение показателей качества САУ
. Моделирование САУ и
оптимизация
Выводы
Список литературы
Введение
Эффективность средств производства, которыми располагает
человечество в значительной степени определяется совершенством способов
получения энергии, необходимой для выполнения механической работы в
производственных процессах.
Электрический привод рождался в недрах века пара и прошел
большой путь от первого электропривода, предназначенного для перемещения
небольшого катера, осуществленного в 1838 г. Б. С. Якоби, до современного
автоматизированного электропривода, приводящего в движение бесчисленное множество рабочих машин и механизмов
в промышленности, на транспорте, в сельском хозяйстве и в бытовой технике и
автоматически управляющего их технологическими процессами. Благодаря
возможности изготовления в широком диапазоне мощностей - от долей ватта до десятков тысяч
киловатт - современный электропривод
применяется в виде одиночного (индивидуального) электропривода каждого
механизма, что упрощает кинематические цепи машин и облегчает задачу
автоматического управления их рабочим процессом. В автоматизированном
электроприводе нашли применение и получили дальнейшее развитие основные
достижения современной техники управления - от новейших аппаратов до полупроводниковых приборов и управляющих
вычислительных машин.
Электрический привод представляет собой
электромеханическое устройство, предназначенное для приведения в движение рабочего
органа машины и управления ее технологическим процессом. Он состоит из трех
частей: электрического двигателя, осуществляющего электромеханическое
преобразование энергии, механической части, передающей механическую энергию
рабочему органу машины, и системы управления, обеспечивающей оптимальное по тем
или иным критериям управление технологическим процессом. Характеристики
двигателя и возможности системы управления определяют производительность
механизма, точность выполнения технологических операций, динамические нагрузки
механического оборудования и ряд других факторов. С другой стороны, нагрузка
механической части привода, условия движения ее связанных масс, точность
передач и т. п. оказывают влияние на условия работы двигателя и системы
управления, поэтому электрические и механические элементы электропривода
образуют единую электромеханическую систему, составные части которой находятся
в тесном взаимодействии.
В данной расчетно-графической работе нужно выполнить расчет
САР главного электропривода блюминга.
Блюминг, блуминг (англ. blooming), высокопроизводительный прокатный стан для
обжатия стального слитка большого поперечного сечения массой до 12 т и более в
блюм. В некоторых случаях Б. используют для прокатки слябов, а также фасонных
заготовок (для крупных двутавровых балок, швеллеров и др.). На металлургических
заводах Б. - промежуточное звено между сталеплавильными и прокатными цехами,
выпускающими готовую продукцию. На современных заводах Б. работают совместно с
непрерывными заготовочными станами, которые выпускают заготовку для сортовых
станов. Б. характеризуются диаметром прокатных валков и бывают: одноклетьевые -
а) реверсивные двухвалковые (табл.) - дуо (большие 1300-1150 мм, средние
900-950 мм и малые 800-750 мм) и б) нереверсивные трёхвалковые - трио 800-750
мм; сдвоенные - из двух последовательно расположенных дуо-клетей с валками 1150
мм в первой клети и 1000-900 мм во второй; непрерывные - несколько
последовательно расположенных нереверсивных дуо-клетей с валками 1000-800 мм;
специализированные (одноклетьевые реверсивные дуо) 1400-1350 мм, выпускающие
заготовку для широкополочных балок.
Рисунок 1 - Макет блюминга: 1 - рабочая клеть; 2 - верхний
валок; 3 - манипулятор; 4 - универсальные шпиндели; 5 - главные
электродвигатели.
В состав собственно Б. (рис. 1) входят: рабочая клеть, главные
электродвигатели и механизмы, приводящие во вращение валки прокатные. В состав
цеха Б. входит вспомогательное оборудование (мостовые краны, слитковоз,
манипуляторы, рольганги) и ножницы для резки выходящей из Б. полосы на заданные
размеры. Рабочая клеть состоит из двух литых стальных станин массой 60-105 т,
которые установлены на фундаментных плитах (плитовинах); прокатных стальных
валков и их подшипников; механизма для установки (подъёма и опускания) верхнего
валка и механизма для смены валков. Общая высота рабочей клети достигает 7-9 м.
Вращение валков осуществляется от электродвигателей постоянного тока. У Б. с
одним электродвигателем механизм, передающий вращение валкам, состоит из двух
универсальных шпинделей, шестерённой клети с двумя зубчатыми шестернями,
расположенными одна над другой, и коренной муфты, сцепляющей ведущий вал
шестерни с валом электродвигателя. В Б. новейшей конструкции каждый рабочий
валок снабжен индивидуальным электродвигателем; в этом случае вращение
передаётся через приводные валы и универсальные шпиндели.
Технологический процесс прокатки в цехе Б. включает: доставку горячих слитков на
ж.-д.(железнодорожный) платформах из сталеплавильного цеха к нагревательным
колодцам; подогрев слитков в вертикальном положении в колодцах до 1100-1300°С
(в зависимости от марки стали); подачу каждого слитка на слитковозе к приёмному
рольгангу Б.; взвешивание слитка и подачу его по рольгангу к валкам Б.;
прокатку в 11-19 проходов с обжатием 40-120 мм за проход и промежуточными
кантовками на 90° (кантовка и перемещение полосы вдоль валков осуществляются
манипулятором). У полосы, поступившей к ножницам, отрезают передний и задний
концы, после чего она передаётся на заготовочные станы. Часто полосу разрезают
на отдельные блюмы или слябы, которые передаются рольгангами на холодильник и
затем на склад. Выход блюмов и слябов составляет 85-90% массы слитков.
Применение Б. позволяет разливать сталь в крупные слитки, повышает качество
готового проката.
Система автоматического управления Б. состоит из отдельных автономных
систем, каждая из которых управляет одним или группой механизмов и связана с
вычислительной машиной. Последняя получает информацию о работе механизмов в
процессе продвижения слитка вдоль линии Б. и корректирует параметры
технологического процесса и режимы работы оборудования. Это позволяет увеличить
производительность Б. за счёт более рационального ведения прокатки и
обеспечивает лучшее качество металла; полнее используется оборудование Б.
1. Описание схемы электрической принципиальной
Рисунок 1.1 - Схема САУ подчинённого регулирования
Любая электромеханическая система состоит из электрической и
механической части. К механической части относится ротор двигателя, приводной
вал и рабочий орган (РО), непосредственно выполняющий работу в технологическом
процессе. К электрической части относят якорную цепь, ТП, регуляторы координат,
датчики координат и т. п.
2. Составление дифференциальных уравнений отдельных элементов
системы управления и определение их передаточных функций
Дифференциальные уравнения элементов
Механическая часть электропривода как объект управления
(двухмассовая расчетная схема):
Рисунок 2.1 - Двухмассовая кинематическая модель
Запишем систему интегро-дифференциальных уравнений для данной
модели:
где, М - момент, развиваемый двигателем;
Му - момент упругих сил;
Мс - момент сил статического сопротивления;
w1 - угловая скорость двигателя;
С12 - коэффициент жесткости вала;
J1 - момент инерции вала двигателя;
J2 - момент инерции рабочего механизма.
Запишем эту систему уравнений в форме Лапласа:
Электродвигатель постоянного тока независимого возбуждения:
Рисунок 2.2 - Схемы двигателя постоянного тока независимого
возбуждения: а) Электрическая принципиальная; б) Схема замещения.
Двигатель постоянного тока с независимым возбуждением описывается сложными зависимостями.
При неизменном потоке возбуждения (Ф = Фн)
регулирование скорости двигателя осуществляется напряжением на зажимах обмотки
якоря. Основной движущей координатой привода является ток якоря двигателя.
По второму закону Кирхгофа, запишем дифференциальное
уравнение для якорной цепи двигателя, исходя из схемы замещения:
где, Iя - ток якоря ДПТ;
Uя - напряжение на зажимах обмотки якоря;
Rя - сопротивление якоря;
Lя - индуктивность цепи якоря.
где, к = 0.25 - для компенсированных двигателей;
Uн - номинальное напряжение двигателя;
Iн - номинальный ток якоря ДПТ;
р - число пар полюсов;
ωн- номинальная угловая
скорость вращения якоря двигателя:
Непосредственно электромеханическое преобразование энергии
осуществляется ротором (якорем) двигателя. Уравнение движения которого имеет
вид:
где
- номинальный момент, развиваемый двигателем:
Мс - момент сил статического сопротивления:
- фиктивное значение тока, пропорциональное моменту
сопротивления.
Тогда уравнение механического равновесия будет иметь вид:
Отсюда выразим уравнение для тока якоря:
Подставив последнее выражение в уравнение электрического
равновесия, получим:
т. к.
и
, то уравнение будет иметь вид:
где ТМ - электромеханическая постоянная времени;
ТЭ - электрическая постоянная времени.
Тиристорный преобразователь как объект управления:
Тиристорный преобразователь (ТП), работающий на нагрузку,
можно представить как три основные части: СИФУ, собственно самого ТП и
нагрузки. СИФУ предназначена для формирования фазового сдвига отпирающего
импульса a (формируемого генератором импульсов ГИ), отсчитываемый от момента
естественного отпирания тиристора в зависимости от управляющего напряжения UУ.
Расчет параметров тиристорного преобразователя при известных
номинальных значения тока Iн и напряжения Uн приводного двигателя производится в следующем порядке.
Типовая мощность трансформатора:
Предварительно находим параметры трансформатора:
Расcчитаем значения фазного напряжения вторичной обмотки:
По величине мощности выбираем трансформатор согласно
каталожным данным: тип
ТРДТП - 25000/10Р-У2, S = 17980 кВА; U1Л = 10 кВ; U2Л = 0,95 кВ;
19000 Вт;
= 140000 Вт;
= 7 %,
=0,7%.
Определяем номинальное значения напряжения и тока вторичной
обмотки:
Тиристорный преобразователь представляет собой некоторый
генератор, на выходе которого среднее значение выпрямленной ЭДС можно
определить следующей зависимостью:

Еdo - максимальное значение выпрямленной ЭДС преобразователя (при
угле регулирования равном нулю).
Для построения участка внешней характеристики ТП, не
учитывающей режим прерывистого тока и с пренебрежением активного сопротивления
якорной цепи воспользуемся выражением:
где Е2ф - амплитудное значение фазной ЭДС
преобразователя;
m - число фаз выпрямителя (m=6).
Тогда величина Edo тиристорного преобразователя составит:
Номинальный угол регулирования:
С помощью прикладной программы MathCad построим регулировочную
характеристику тиристорного преобразователя Еd=f(α):
Рисунок 2.3 - Регулировочная характеристика ТП
Коэффициент передачи силовой части тиристорного
преобразователя в области номинального напряжения (930 В):
(В/рад)
где ∆Еd - приращение ЭДС преобразователя при
приращении угла регулирования ∆α.
Уравнение, описывающее регулировочную характеристику СИФУ α
=f(Uу) имеет вид:
где Uоп ≤ Uпит.
Построим регулировочную характеристику СИФУ:
Рисунок 2.4 - Регулировочная характеристика СИФУ
ТП в динамике представляет собой сложное импульсное
нелинейное звено. Однако с достаточной для практики точностью можно
рассматривать его как непрерывное звено. Преобразователь с безинерционной
системой управления, при отсутствии в канале управления АСУЭП апериодических
звеньев, практически эквивалентен звену чистого запаздывания с постоянной
времени:
где fc=50 Гц - частота питающей сети;
т -
число фаз.
Уравнение, описывающее динамику процесса регулирования тиристорным
преобразователем, имеет вид:
Экспериментально установлено, что постоянная времени тиристорного
преобразователя
, где ТСИФУ - некомпенсируемая
постоянная времени, зависящая от типа элементной базы САР, для аналоговых
элементов на интегральных микросхемах общего применения - УБСР - АИ, является
суммой постоянных всех каскадов. Принимаем
ТСИФУ=0.002 (с).
Постоянную фильтра на входе управляющего напряжения
принимаем:
ТФ=0.001 (с).
Тогда постоянная тиристорного преобразователя составит:
Тm=ТСИФУ+ТФ+t=0.002+0.002+0.001=0.005(с).
С учетом вышеизложенных замечаний уравнение, описывающее динамику
процесса регулирования тиристорным преобразователем, записывается следующим
образом:
Датчики в цепи обратной связи
Датчик скорости измерительными
(чувствительными) элементами в цепи обратной связи по скорости могут быть
тахогенераторы. Рассмотрим применение для системы автоматического регулирования
тахогенератора постоянного тока. Рабочее напряжение на номинальной скорости
вращения тахогенератора по величине превышает напряжение САР. Поэтому к обмотке
якоря ТГ подключается потенциометр (делитель напряжения) для согласования
величин напряжений. Выходной вал тахогенератора механическим способом
соединяется с валом двигателя. Для гальванического разделения цепей
тахогенератора и САР обычно используют датчик скорости - усилитель, с
коэффициентом усиления Кдс, равным единице.
Коэффициент обратной связи по скорости:
где: КПОТ - коэффициент передачи потенциометра;
КТГ- коэффициент передачи тахогенератора;
КДС - коэффициент передачи датчика скорости;
UДС
max=20 (В)- максимальное напряжение на выходе
датчика скорости.
Датчик тока для измерения текущего тока через якорь двигателя применим
датчик на основе шунта. Информация, полученная в результате измерения тока
якоря посредством шунта, проходит через панель гальванической развязки с
коэффициентом передачи КГР=1 и усиливается усилителем до нужного
значения для ввода в САУ.
Определим коэффициент датчика тока:
,
где,Uдт max
= 20 (В) - максимальное напряжение датчика тока;
λ1
= 2.2 - перегрузочная способность двигателя;
Iян = 8130 (А) - номинальный ток двигателя.
Передаточные функции элементов САР
Передаточная функция механической части по управляющему и
возмущающему воздействиям
Запишем дифференциальные уравнения в форме Лапласа:
Управляющим воздействием является момент
двигателя М(р), а
возмущающим - момент сопротивления нагрузки МС(р).

Составим блок-схему механической
части:
Рисунок 2.5 - Блок-схема механической части
Передаточная функция по управляющему воздействию.
Перенесём второй сумматор влево, преобразуем схему в прямой
цепи и цепи обратной связи, получим выражение:
где:
,
Следовательно передаточная функция по управляю щему воздействию:
Передаточная функция по возмущающему воздействию.
Перенесём второй сумматор влево, третий сумматор с Мс
перенесём за первый сумматор, преобразуем цепь после первого сумматора, его
обратную связь, преобразуем оставшуюся цепь, получим результат:
где:
,
Следовательно, передаточная функция механической части по возмущающему
воздействию имеет вид:
Передаточная функция электродвигателя постоянного тока
Т. к. двигатель питается от тиристорного преобразователя, то
уравнение якорной цепи будет иметь вид:
Определим параметры якорной цепи:
) Сопротивление якорной цепи.
Активное и индуктивное сопротивления трансформатора,
приведенные ко второй обмотке, будут равны:
Ток в первичной обмотке найдем по формуле:
где:
- коэффициент трансформации трансформатора.
Активное сопротивление сглаживающего дросселя:
Сопротивления преобразователя:
2) Электрическая постоянная времени.
Величину индуктивности сглаживающего дросселя выбираем из
условий обеспечения непрерывности тока двигателя при изменении нагрузки от
где m=6,

Индуктивности якоря двигателя и фазы трансформатора:
Требуемая индуктивность сглаживающего дросселя:
Сглаживающий дроссель не нужен.
Запишем дифференциальное уравнение цепи якоря в форме
Лапласа:
Передаточную функцию якорной цепи двигателя получаем при
условии, что входной величиной является разность между напряжением и
противо-ЭДС двигателя ΔUя, а выходной - ток якоря двигателя Iя:
Из уравнения механического равновесия определим передаточную
функцию якоря двигателя:
-
уравнение механического равновесия.
Запишем это уравнение в форме Лапласа:
- электромеханическая постоянная времени двигателя.
Электрическая постоянная времени:
Получаем передаточную функцию якоря ДПТ, при условии, что
входной величиной является ток якоря двигателя Iя, а выходной - угловая скорость
двигателя, ω1:
Передаточная функция тиристорного преобразователя
Уравнение, описывающее динамику процесса регулирования тиристорным
преобразователем, записывается следующим образом:
Запишем его в форме Лапласа:
Полагая, что входная величина - напряжение управления Uу,
а выходная - ЭДС ТП Еa
получаем:
Передаточные функции цепей обратной связи:
Датчик скорости.
Уравнение цепи обратной связи по скорости имеет вид:
Выражения в форме Лапласа:
Учитывая, что входной величиной является скорость двигателя,
а выходной - напряжение обратной связи, получим:
Датчик тока.
Уравнение цепи обратной связи по току имеет вид:
Выражения в форме Лапласа:
Учитывая, что входной величиной является ток якоря двигателя,
а выходной - напряжение обратной связи, получим:
3. Определение
параметров и передаточных функций регуляторов
3.1 Регулятор
тока якоря
Для определения параметров ПИ-регулятора тока применим метод компенсации
наибольшей постоянной. Составим блок схему контура регулирования тока:
Рисунок 3.1 - Контур регулирования тока
Запишем передаточную функцию разомкнутого контура:
Передаточная функция объекта , которая компенсируется
контуром тока:
Тогда передаточная функция регулятора тока имеет вид:
где
Передаточная функция разомкнутого оптимизированного контура тока будет
иметь вид:
,
Передаточная функция замкнутого оптимизированного контура тока:
,
Член
можно отбросить, так как он содержит произведение
малых постоянных времени, близкое к нулю. Тогда получим:
3.2 Регулятор скорости
Рисунок 3.2 - Контуры регулирования тока и скорости
Найдем передаточную функцию объекта контура скорости:
Передаточная функция части объекта, которая компенсируется регулятором
скорости:
.
Передаточная функция регулятора скорости с учетом того, что малая
постоянная времени контура скорости равен 2Тμ, будет иметь вид:


Передаточная функция разомкнутого оптимизированного контура скорости
будет иметь вид:
Передаточная функция разомкнутого оптимизированного контура скорости:
.
4.
Составление
структурной схемы САУ
4.1 Структурная
схема механической части
4.2 Структурная
схема двигателя постоянного тока
Структурная схема ДПТ с НВ:
4.3 Структурная схема тиристорного преобразователя
4.4 Структурная
схема датчиков цепей обратных связей
Обратная связь по скорости:
Обратная связь по току:
4.5 Структурная схема регулятора скорости
4.6 Структурная схема регулятора тока
4.7 Структурная схема (полная) САУ
Структурная схема САУ с подчиненным
регулированием без учета упругости механической передачи приведена на рисунке
4.1.
Рисунок 4.2 - Структурная схема САУ
с подчиненным регулированием без учета упругости механической передачи
Структурная схема системы автоматического
управления с подчиненным регулированием с учетом упругости механической
передачи приведена на рисунке 4.3.
Рисунок 4.3 - Структурная схема САУ
с подчиненным регулированием с учетом упругости механической передачи
5. Определение передаточных функций САУ по управляющему и возмущающему воздействиям
5.1 Вывод передаточной функции САУ по управляющему воздействию
Мс=0.
Преобразуем схему, пренебрегая обратной связью кФ:
Определим постоянные времени:
электрический автоматический управление устойчивость
5.2
Вывод передаточной функции САУ по
возмущающему воздействию
Преобразуем схему:
6. Исследование САУ на
устойчивость
6.1 Алгебраические критерии
устойчивости
Устойчивостью называют свойство
системы возвращаться в исходный или принимать новый установившийся режим после
всякого выхода из него в результате какого-либо воздействия.
Система устойчива, если ее
выходная величина остается ограниченной в условиях действия на систему
ограниченных по величине возмущений.
Критерий устойчивости Рауса -
Гурвица
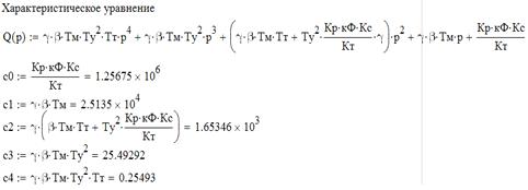
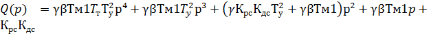
Запишем характеристическое уравнение нашей системы:
Так как определитель Гурвица больше нуля, то
система устойчива.
Корневой метод
Условие устойчивости: все корни характеристического уравнения
Q(p) должны лежать слева от мнимой оси.
Запишем характеристическое уравнение системы:
Действительные части корней - отрицательные,
поэтому делаем вывод, что система устойчива и дополнительной коррекции не
требует.
6.2 Частотные
критерии устойчивости
Критерий устойчивости Михайлова.
Критерий Михайлова формируется так: система устойчива, если
годограф Q(jw), начинаясь на
действительной положительной полуоси, огибает против часовой стрелки начало
координат, проходя последовательно n квадрантов, где n - порядок системы.
Запишем характеристическое уравнение системы:
Заменим р на jω:
Выделим мнимую и действительную часть
Построим годограф Михайлова с помощью прикладной программы MathCad:
Рисунок 6.1 - Годограф Михайлова
Т.к. годограф последовательно проходит через
четыре квадранта, огибая начало координат против часовой стрелки, окончательно
можно сделать вывод, что система устойчива.
Построим график переходных процессов.
Рисунок 6.2 - График переходного процесса
7. Определение показателей качества САУ
7.1 Определение показателей качества САУ методами теории
автоматического управления
Характеристический полином:
Корни характеристического уравнения:
-083246
30.17189j

54,71524
Берем корни лежащие ближе к мнимой оси.
-083246
30.17189j
α= -0.83246
β= 30,17189j
Показатели качества регулирования:
.Запас устойчивости:
2. Время регулирования:
где Δ - ошибка регулирования (Δ = 5%)
3. Колебательность
2. Перерегулирование
3. Демфирование