Хелатные комплексы
Курсовая работа
Хелатные комплексы
Введение
Комплексные (координационные) соединения представляют собой обширный
класс химических веществ, количество которых значительно превышает число
обычных, "простых" неорганических соединений.
Основополагающие представления о комплексных соединениях ввел в науку
швейцарский ученый Альфред Вернер(1898). В развитие химии комплексных
соединений большую роль сыграли труды Л.А. Чугаева и его многочисленных
учеников - И.И. Черняева, А.А. Гринберга и др.
Знание строения и свойств комплексных соединений, закономерности их
образования позволяют ориентироваться в вопросах природы химической связи,
теории растворов, стереохимии неорганических веществ.
Практическое значение комплексных соединений трудно переоценить. Приведем
лишь некоторые примеры:
. Комплексные соединения входят в состав важнейших биологически активных
и лекарственных веществ: гемоглобина (комплекс железа), хлорофилла (комплекс
магния), инсулина (комплекс цинка), витамина В12 (комплекс кобальта), ряда
противораковых препаратов (комплексы платины).
. В органическом синтезе многие комплексные соединения являются
катализаторами или промежуточными продуктами (соединения ртути в реакции
Кучерова, комплекс титана при полимеризации олефинов, соединения меди при
окислении углеводородов и т.д.).
. В металлургии комплексные соединения используются для получения и
очистки металлов.
. Комплексные соединения широко применяются в качестве реактивов при
качественном и количественном анализе.
Поэтому, темой данной курсовой является тема хелатных соединений
1. Химия комплексных соединений (координационная теория Вернера)
1.1 Координационные соединения
Состав многих химических соединений объясняется с позиций теории
валентности, например: Н2О, NH3, HF и т.д. Такие соединения
можно назвать простыми или соединениями низшего порядка. Однако образование
других соединений, а их большинство, невозможно понять исходя из представлений
о валентности. Они как бы составлены из двух или нескольких простых соединений.
Они называются соединениями высшего порядка или комплексными, координационными
соединениями. Примеры координационных соединений: CoCl3*6NH3,AgCl*2NH3,
Fe(CN)3*3KCN, PtCl4*2KCl, CoCl3*3NH3,
PdCl2*2NH3.
Приведенные эмпирические формулы характеризуют состав комплексных
соединений, но ничего не говорят об их строении. В 1893 г швейцарский химик
Альфред Вернер предложил теорию строения координационных соединений. Эта теория
получила название координационной теории.
.2 Основные понятия координационной теории
1. Центром любого координационного соединения является центральный атом
или комплексообразователь. Обычно в качестве центрального атома выступает
положительный ион металла, чаще всего, переходного металла.
. Частицы, непосредственно связанные с центральным атомом, называются
лигандами. Лигандами обычно являются анионы или нейтральные молекулы.
. Центральный атом может образовывать с лигандами определенное число
химических связей. Оно называется координационным числом (к.ч). Приведем
наиболее часто встречающиеся значения координационных чисел, характерных для
некоторых комплексообразователей:
к.ч.=6 Co3+, Cr3+, Fe3+, Fe2+,Rh3+,
Ir3+, Pt4+.
к.ч.=4 Zn2+, Cd2+, Hg2+, Pt2+,
Pd2+.
к.ч.=2 Ag+, Cu+, Au+.
4. Число связей, которые данный лиганд может образовывать с центральным атомом,
называется его координационной емкостью или дентатностью. Существуют лиганды
монодентатные (H2O, NH3, OH-, Cl- и др.), бидентатные
(NH2-C2H4-NH2, SCN, C2O4),
тридентатные (NH2-C2H4-NH-C2H4-
NH2) и т.д.
5. Центральный атом вместе со всеми лигандами образуют внутреннюю
координационную сферу. Следует иметь в виду, что при формировании внутренней
сферы координационное число центрального атома насыщается, прежде всего, за
счет нейтральных лигандов, а если их не хватает, оставшиеся вакансии
заполняются анионами. При составлении координационных формул частицы, входящие
в состав внутренней сферы, принято заключать в квадратные скобки.
6. Заряд внутренней сферы равен алгебраической сумме степени окисления
центрального атома и зарядов всех лигандов.
К примеру:
[Co3+(NH3)6 0]3+; [Ag+(NH3)2
0]+;
[Fe3+ (CN) 6 -] 3- ; [Pt4+
Cl- 6]2- ;
[Co3+ (NH3)0 6]Cl- 3]0; [Pd+ (NH3)20Cl2- ] 0
7. В тех случаях, когда заряд внутренней сферы не равен нулю, в
соединении имеется внешняя координационная сфера, заряд которой нейтрализует
заряд внутренней сферы. Итак, строение рассматриваемых соединений описывается
следующими координационными формулами:
[Co(NH3)6]Сl3; [Ag(NH3)2]Cl;
K 3[Fe (CN)6 ]; K2[PtCl6];
[Co (NH3)3Сl3]; [Pd (NH3)2Cl2].
1.3 Классификация координационных соединений
Многочисленные комплексные соединения могут быть классифицированы по
разным признакам.
I. В зависимости от заряда внутренней сферы
а) Соединения, в которых заряд внутренней сферы положителен, называют
комплексными катионами.
б) Если заряд внутренней сферы отрицателен, соединения называются
комплексными анионами.
в) В тех случаях, когда внутренняя сфера нейтральна, мы имеем дело с
комплексами-неэлектролитами.. В зависимости от природы лигандов
а) Комплексы типа двойных солей - ацидокомплексы, в которых все лиганды
являются анионами (ацидолигандами).
б) Комплексы с азотсодержащими лигандами.
в) Комплексы с кислородсодержащими лигандами.
г) Комплексы с фосфорсодержащими лигандами.
е) Комплексы с ненасыщенными лигандами.
ж) Гидридные комплексы, в которых лигандом является гидрид-ион H-
з) Комплексы с циклическими бидентатными (полидентатными) лигандами -
хелатные соединения (от англ. chelate - клешня). Следует отметить, что во
внутренней сфере комплекса, как правило, находятся лиганды разной природы.
III. В зависимости от геометрической конфигурации комплекса
а) Линейные комплексы
б) Тетраэдрические комплексы
в) Плоскоквадратные комплексы
г) Октаэдрические комплексы. В составе комплекса могут находиться один,
два или несколько ионов металла. В зависимости от этого комплексы бывают
одноядерные, биядерные и многоядерные.
Биядерные комплексы могут различаться по своему составу и строению:
а) Каждый ион металла образует отдельную координационную сферу. При этом
возможны два случая:
один ион входит в состав комплексного катиона, а другой - в состав
комплексного аниона, например: [Pt(NH3)4][PtCl4]
оба иона находятся в составе комплексов - неэлектролитов [Pt(NH3)3Br3]*[Pt(NH3)2Br2]. Такие комплексы называются молекулярными.
б) Оба иона металла находятся в составе одной координационной сферы.
Характер связей и в данном случае может быть различным:
ионы металла связаны между собой с помощью мостиков, пример:
Такие комплексы называют мостиковыми.
- ионы связаны между собой непосредственно за счет связей металл-металл.
Такой вид связи имеет место в кластерных соединениях (от англ. cluster-
скопление, гроздь)
2. Изомерия координационных соединений
Изомерами (от греч. isos - равный, meros -часть) называются химические
соединения, имеющие одинаковый состав, но разное строение и поэтому различные
свойства. В координационной химии изомерия широко распространена. Рассмотрим
некоторые виды изомерии.
.1 Координационная изомерия
Координационными изомерами называют вещества, имеющие одинаковый состав,
но различное распределение заместителей в составе комплексных ионов, входящих в
молекулу соединения. Примерами координационных изомеров могут служить:
[Co(NH3)6][Cr(CN)6] и [Cr (NH3)6][Co(CN)6]
[Pt (NH3)4][PdCl4 ] и [Pd(NH3)4][PtCl4]
[PtII(NH3)4][PtIVCl6]
и [PtIV(NH3)4Cl2][PtIICl4]
Следовательно, координационная изомерия проявляется у веществ, имеющих
два атома комплексообразователя в молекуле. Строение координационных соединений
определяется, прежде всего, способом получения. Они обычно получаются в
результате реакций двойного обмена.
[Pt(NH3)4] Cl2 + К2[PdCl4]
= [Pt(NH3)4][PdCl4]↓ + 2KCl
[Pd(NH3)4] Cl2 + К2[PtCl4]
= [Pd(NH3)4][PtCl4]↓ + 2KCl
Гидратная изомерия обнаруживается в отдельных изомерах, когда
распределение молекул воды между внутренней и внешней сферами оказывается
неодинаковым. Классическим примером изомерии этого типа является изомерия
хлорида хрома (III) - СrCl3*6H2O. Это соединение известно
в трех модификациях. Одна из этих модификаций окрашена в серо-синий цвет. При
растворении в воде получается фиолетовый раствор. По данным Вернера она
представляет собой хлорид гексааквохрома (III) [Cr(H2O)6]Cl3.
Молекулярная электрическая проводимость раствора характерна для соединений,
распадающихся на четыре иона.
При действии на раствор избытка нитрата серебра осаждаются все 3 иона
хлора. Две другие модификации СrCl3*6H2O при растворении
в воде дают растворы зеленого цвета. Одна из модификаций, изученная Вернером,
характеризуется тем, что нитрат серебра осаждает из подкисленного раствора
только 1/3 содержащихся в соединении хлорид-ионов. Ей приписывается
координационная формула [Cr(H2O)4Cl2]Cl*2H2O.
Из раствора другой модификации в тех же условиях нитратом серебра осаждаются
2/3хлорид-ионов.
Следовательно, ее координационная формула [Cr(H2O)5Cl]Cl2*H2O.
Удаление молекулы координированной воды из комплекса приводит к переходу
хлорид-иона из внешней сферы во внутреннюю. В качестве других примеров
гидратных изомеров можно привести комплексы кобальта [Cо(NH3)5NO2](NO2)2*H2O
и [Cо(NH3)5Н2O](NO2)3.
.3 Ионизационная метамерия (изомерия)
Этот вид изомерии возможен только для катионных комплексов. Приведем
пример двух таких изомеров:[Pt(NH3)4Br2]Cl2 и [Pt(NH3)4Cl2]Br2.
Оба соединения имеют одинаковый состав, одинаковые молекулярные массы и
отличаются друг от друга только распределением анионов между внутренней и
внешней сферой. Различить такие изомеры можно, используя реакции двойного
обмена с подходящими реагентами. Так, при добавлении к раствору первого соединения
избытка нитрата серебра образуется белый осадок AgCl, в то же время как в
результате реакции со вторым соединением выпадает желтый осадок AgBr.
.4 Связевая изомерия
Изомерия связи возникает тогда, когда монодентантные лиганды могут
координироваться через два разных атома. Например, ион NO2- может присоединяться к центральному атому через азот или
через кислород. Это обуславливает существование у иридия, кобальта, и некоторых
других метало двух изомеров:[(NH3)5
-Ir-NO2]Cl2 и [(NH3)5-Ir-ONO]Cl2. Таким образом, этот вид изомерии возможен для
координационных соединений, в состав которых входят амбидентатные лиганды.
Амбидентатными называются монодентатные лиганды, содержащие два разных атома, с
помощью которых может осуществляться связь с центральным атомом.
.5 Геометрическая изомерия
Еще в 1893 г. при создании координационного учения А. Вернер внес
пространственные представления в теорию строения комплексных ионов и установил
наличие геометрической изомерии. Геометрическим изомером называют вещества,
имеющие одинаковый состав, но разное расположение лигандов вокруг центрального
атома.
Геометрическая изомерия обусловлена тем, что одинаковые лиганды
располагаются вокруг комплексообразователя либо рядом (цис-положение), либо
напротив (транс-положение). Этот тип изомерии часто называется
цис-транс-изомерией. Примером может служить дихлородиамминплатина: А- Cl- , Х- NH3.
(оранжевые кристаллы) (желтые, менее растворимые в воде кристаллы)
Рис. 1
Цис- и транс-изомеры отличаются друг от друга физическими и химическими
свойствами. Изучение геометрической изомерии имело большое значение для
установления пространственного строения комплексных соединений. На основании
того, что для некоторых комплексов МА2В2 и МА4В2 удавалось синтезировать по два
изомера, Вернер приписал им квадратное и октаэдрическое строение. Подавляющее
большинство комплексных МА2В2 изомеров не имеет. Для них Вернер постулировал
тетраэдрическую структуру. Все предположения были в позднее подтверждены современными
методами исследования строения вещества.
.6 Оптическая изомерия
Оптическими изомерами называют вещества с одинаковой относительной
молекулярной массой, молекулы которых не имеют центра и плоскости симметрии,
вследствие чего они способны вращать плоскость поляризации света.
Впервые оптическая активность была открыта Араго в 1811 г на примере
пластинок, вырезанных из кристаллического кварца. Впоследствии оно изучалось Л.
Пастером на органических соединениях. Им же были предложены некоторые методы
оптического активирования комплексных соединений, т. е. расщепления соединений
на оптически антиподы, относящиеся друг к другу как предмет к своему
зеркальному изображению. Одним из предложенных методов разделения веществ на
оптические антиподы было их взаимодействие с другими оптическими деятельными
веществами, например с кислотами.
А. Вернер в 1911г. Впервые разделил цис-изомер вещества состава [CoЕn2NH3Cl]Cl2
на оптические антиподы, что было прекрасным подтверждением координационной
теории. Строение обоих антиподов изображалось формулами:
Рис. 2
У транс-изомера имеется центр и плоскость симметрии, и поэтому оно не
имеет оптических антиподов:
Рис. 3
3. Химическая связь в комплексных соединениях
.1 Метод валентных связей (МВС)
Для объяснения образования и свойств комплексных соединений в настоящее
время применяют ряд теорий, в том числе теорию валентных связей. Основные
положения метода:
· Связь между комплексообразователем и лигандами
донорно-акцепторная. Каждый лиганд - донор электронной пары, центральный атом -
акцептор.
· Обитали центрального атома, участвующие в образовании связей,
подвергаются гибридизации. Тип гибридизации определяется числом, природой и
электронной структурой лигандов. Гибридизация электронных орбиталей
комплексообразователя определяет геометрию комплекса.
· Дополнительное упрочнение комплекса обусловлено тем, что
наряду с у-связями могут возникать р-связи. Это происходит, если занятая
электронами орбиталь центрального атома перекрывается с вакантной орбиталью
лиганда. Перераспределение электронной плотности в результате этого
перекрывания происходит в противоположенных направлениях: при возникновении
у-связи идет перенос на комплексообразователь, при р-связивании - от него к
лигандам.
· Магнитные свойства, проявляемые комплексом, объясняются
исходя из заселенности орбиталей. При наличие неспаренных электронов комплекс
парамагнитен. Спаренности электронов обуславливает диамагнетизм комплексного
соединения.
Рассмотрим с позиций метода валентных связей образование некоторых
координационных соединений.
. Ион [Ag(NH3)2]+
Электронная формула центрального иона Ag+: 4d10
Электронно-структурная формула:
Рис. 4
В пределах валентной оболочки иона Ag+ имеются вакантные 5s- и
р-орбитали, они являются акцепторами неподеленных электронных пар молекул
аммиака. Эти орбитали образуют две гибридные sp- орбитали. Комплекс[Ag(NH3)2]+
является линейным.
Рис. 5
. Ион [Co(NH3)6]3+
Электронное строение иона Со3+: 3d6
Рис. 6
Так же как при образовании комплекса [Pt(NH3)4]2+
и в этом случае происходит спаривание электронов:
Рис. 7
Рис. 8
Две орбитали 3d-, орбиталь 4s- и три орбитали 4р- образуют шесть
гибридных орбиталей d2sp3, направленных к вершинам октаэдра.
Комплексный катион имеет октаэдрическую конфигурацию
3. Комплексный анион [CoF6]3-
В отличие от предыдущего комплекса, в данном случае лигандами являются
шесть ионов F-. Это приводит к изменению вида гибридизации - здесь не
происходит спаривания электронов:
Рис. 9
В гибридизации при образовании этого комплекса участвуют 4d-орбитали,
т.е. d-орбитали внешнего уровня. Тип гибридизации - sp3d2. Комплексы,
образованные гибридными орбиталями с участием внешних d-орбиталей, называются
внешнеорбитальными. Комплекс [Co(NH3)6]3+, в образовании которого участвуют
орбитали внутреннего электронного уровня - 3d, называется внутриорбитальным.
Таким образом, характер гибридизации зависит от природы лигандов. Вместе с тем,
комплекс [CoF6]3- так же как [Co(NH3)6]3+ имеет октаэдрическую конфигурацию.
Метод валентных связей позволяет предсказать не только геометрическую
конфигурацию комплекса, но и его магнитные свойства. Известно, что вещества,
молекулы которых содержат неспаренные электроны, являются парамагнитными
(втягиваются внешним магнитным полем). Молекулы, в которых все электроны
спарены, обладают диамагнитными свойствами (выталкиваются магнитным полем).
Анализ структуры трех рассмотренных комплексов показывает, что только [CoF6]3-
обладает парамагнитными свойствами, остальные являются диамагнетиками.
Некоторые лиганды содержат помимо неподеленных электронных пар вакантные
орбитали. К ним относятся соединения фосфора и серы, в атомах которых есть
пустые 3d-орбитали, а также многочисленные ненасыщенные органические соединения
(СО, этилен и его производные и др).
Такие лиганды образуют с центральным атомом помимо обычной донорно-акцепторной
связи вторую связь за счет смещения электронной плотности с заполненной
гибридной орбитали металла на вакантную орбиталь лиганда. Такая связь
называется р-дативной связью.
Образование р-дативной связи на геометрическую конфигурацию комплекса не
влияет. Однако, влияет на различные физико-химические свойства комплекса.
Недостатки МВС:
· Пригоден для описания только ограниченного круга веществ.
· Комплексные соединения с многоцентровыми связями МВС совсем
не рассматривает.
· Не объясняет и не предсказывает оптические свойства
комплексных соединений, так как не учитывает возбужденные состояний.
.2 Теория кристаллического поля (ТКП)
В тридцатых годах XX века в координационной химии возникло новое
направление, которое явилось развитием на новом уровне электростатических
представлений. Это направление получило название теории кристаллического поля.
Основные идеи этой теории, сформулированные Бете и Фан-Флеком, состоят в
том, что электронные уровни центрального атома могут претерпевать изменения под
влиянием окружающих его лигандов.
Основные принципы теории кристаллического поля состоят в следующем:
а) Рассматривается чисто электростатическое взаимодействие центрального
атома с лигандами.
б) Принимаются во внимание только d-орбитали центрального атома.
г) Рассматривается электростатическое влияние поля лигандов на d-орбитали
центрального атома.
ТПК, так же как и МВС, качественно объясняет основные факты химии
комплексных соединений: координационные числа, пространственные структуры,
магнитные, и кроме того, оптические свойства. Тем не менее, ТКП несовершенна.
Исходя из предположения о ионном характере связи, она хорошо объясняет и дает
близкие по опыту расчетные величины для комплексов с недеформируемыми или
малополяризующимеся лигандами, т. е. если доля ковалентной составляющей в связи
невелика.
ТКП приложима лишь к комплексным соединениям, в которых
комплексообразователь (d-элемент)
имеет свободные электроны. Поэтому она не позволяет изучать не только все
производные непереходных элементов, но и многие комплексы переходных металлов.
Основным затруднением ТКП является то, что она не учитывает частично
ковалентный характер связи комплексообразователь-лиганд. Поэтому все эффекты,
обусловленные ковалентным вкладом в связь, в простом методе ТКП остаются
необъяснимыми.
3.3 Теория поля лигандов
Разработана в 30-40-х годах 20-го века, объединила в себе основные
положения теории кристаллического поля и метода молекулярных орбиталей. Прежде
всего, полезно вспомнить основные положения метода молекулярных орбиталей.
. Молекула рассматривается как единая система ядер и электронов, а не как
совокупность атомов, сохраняющих индивидуальность.
. Подобно тому, как электроны в атомах располагаются на атомных орбиталях
(АО), электроны в молекуле располагаются на молекулярных орбиталях (МО).
. Молекулярная орбиталь рассматривается как линейная комбинация атомных
орбиталей.
. В образовании молекулярных орбиталей участвуют только те АО, которые
имеют близкую по величине энергию и приблизительно одинаковую симметрию
относительно оси связи.
. При взаимодействии двух АО в результате их линейной комбинации
образуются две МО с большей и меньшей энергией по сравнению с энергией исходных
АО. В результате сложения АО образуется МО с повышенной межъядерной электронной
плотностью, т.е. с меньшей энергией. Такую орбиталь называют связывающей. В
результате вычитания АО образуется МО с большей энергией, называемая
разрыхляющей.
. В соответствии с принципом Паули на молекулярной орбитали, как и на
атомной, не может быть больше двух электронов.
. Все имеющиеся в молекуле электроны распределяются по МО в порядке
увеличения энергии, в соответствии с принципом Паули и правилом Хунда.
. Переход электрона с АО на связывающую МО увеличивает энергию связи, а
переход на разрыхляющую МО уменьшает прочность связи.
. Стабильность молекулы определяется разностью между числом связывающих и
разрыхляющих электронов. Если эта разность равна нулю, молекула не образуется.
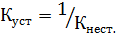
3.4 Устойчивость комплексных соединений. Константа нестойкости
При растворении в воде комплексные соединения обычно распадаются так, что
внутренняя сфера ведет себя как единое целое:
K[Ag(CN)2]
K++[Ag(CN)2]-
Наряду
с этим процессом хоть и вне значительной степени, происходит диссоциация
внутренней сферы комплекса: [Ag(CN)2]-

Ag++2CN-
Применив
к последнему равновесию выражение константы ионизации, получим соотношение,
называемое константой нестойкость комплекса:
Константа
нестойкости есть мера прочности комплекса. Вместо константы нестойкости иногда
пользуются обратной величиной, называемой константой устойчивости: 
У
ряда соединений, которые рассматриваются как комплексные, константы нестойкости
настолько велики, что концентрации составляющих частиц оказываются больше
концентрации комплексного иона. К таким соединениям относятся двойные соли,
которые в твердом состоянии имеют координационную структуру, а в растворе в
значительной мере распадаются на составные ионы, например:
K2[CuCl4]
2K++[CuCl4]2-
2K++Cu2++4Cl-
В
умеренно разбавленных растворах этой соли существуют как комплексные, так и
простые ионы. Дальнейшее разбавление приводит к полному распаду комплексных
ионов [CuCl4]2- .
координационный изометрия хелаты лиганд
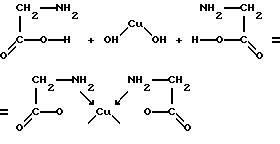
4. Хелаты. Хелатный эффект
К очень важным циклическим соединениям относят так называемые хелаты или
клешнеобразные соединения, в которых центральный атом и полидентантный лиганд
образуют цикл. Например, при взаимодействии гидроксида меди с аминоуксусной
кислотой образуется нейтральный комплекс:
Рис. 10
Каждая молекула аминоуксусной кислоты использует обе функциональные
группы. В одном случае она соединяется с центральным атомом через две
аминогруппы по донорно-акцепторному механизму, а во втором - через кислород
карбоксильной группы обычной ковалентной связью. Комплексообразователь при этом
оказывается как бы втянутым внутрь лиганда, охвачен связями наподобие клешни
рака. Отсюда и происходит название хелат. Примерами других хелатов могут
служить комплексы с этилендиамином NH2-C2H4-NH2, этилендиаминтетрауксусной
кислотой (ЭДТА), щавелевой кислотой.
К хелатам также относятся такие важные для жизни соединения, как
хлорофилл и гемоглобин:
Рис. 10
Комплексообразователем в хлорофилле выступает магний, а в гемоглобине -
железо. В одной плоскости с металлом располагаются четыре атома азота
органического лиганда. По другую сторону от плоскости железо присоединяем
молекулу белка(глобина), а по другую молекулу кислорода. Такой продукт
называется оксигемоглобином. Он образуется в легких, где гемоглобин
присоединяет кислород воздуха и далее в виде оксигемоглобани разносится по
всему организму. Хлорофилл играет важнейшую роль в процессах фотосинтеза,
протекающих во всех зеленых растениях.
Наличие в хелатах циклических группировок сильно увеличивает их
устойчивость по сравнению с соединениями подобного состава, но не имеющими
циклов. Такое повышение устойчивости называют хелатным эффектом. Этот термин был введен Г.
Шварценбахом в 1952 году для пояснения экспериментально обнаруженного факта
существенно более высокой устойчивости комплексов ионов металлов с
полидентатными реагентами по сравнению с комплексами этих же металлов с
монодентатными лигандами. Хелатный эффект (ХЭ) количественно выражается
следующим соотношением:
ХЭ = lg вMZ - lgвMAm ,
где Z - m-дентатный лиганд, а lgвMAm = lgKMA1 + lgKMA2
+ … +lgKMAn
Хелатный эффект - это разность между логарифмами константы устойчивости
хелатного комплекса и общей константой устойчивости комплекса, образованного
этим же ионом металла с соответствующим монофункциональным лигандом.
Г. Шварценбах предложил так называемое энтропийное толкование хелатного
эффекта. Из общих физико-химических соображений
ДGo = -RTlnK =ДHo - TДSo.
Шварценбах считал, что высокая устойчивость хелатов с полидентатными
лигандами связана с увеличением энтропийного вклада в свободную энергию
образования комплекса. Для комплексов с монодентатными лигандами реакцию
образования можно записать следующим образом:
M(H2O)6 + 6 NH3 = M(NH3)6
+ 6 H2O,
тогда как для полидентатных лигандов процесс пойдет несколько иначе:
M(H2O)6 + Y = MY + 6 H2O.
В соответствии с этими уравнениями при комплексообразовании с
монодентатными лигандами общее число свободно колеблющихся частиц в растворе не
изменяется, а в случае полидентатных - увеличивается, что приводит к увеличению
энтропии системы.
5. Практическое значение комплексных соединений
Практическое значение комплексных соединений трудно переоценить. Приведем
лишь некоторые примеры:
. Комплексные соединения входят в состав важнейших биологически активных
и лекарственных веществ: гемоглобина (комплекс железа), хлорофилла (комплекс
магния), инсулина (комплекс цинка), витамина В12 (комплекс кобальта), ряда
противораковых препаратов (комплексы платины).
. В органическом синтезе многие комплексные соединения являются
катализаторами или промежуточными продуктами (соединения ртути в реакции
Кучерова, комплекс титана при полимеризации олефинов, соединения меди при
окислении углеводородов и т.д.).
. В металлургии комплексные соединения используются для получения и
очистки металлов.
. Комплексные соединения широко применяются в качестве реактивов при
качественном и количественном анализе.
Практическая часть
Синтез №1 - получение хлорида триэтилендиаминкобальтата(III) [CoЕn3]Cl3
Оборудование: весы, плоскодонная коническая колба, стакан, мерный
цилиндр, магнитная мешалка, фарфоровая чашка, водяная баня, воронка Бюхнера,
колба Бунзена.
Методика синтеза:
В плоскодонную коническую колбу ёмкостью 100 мл поместить 5 г CoCl2*6H2O
и растворить соль в 10 мл воды. Добавить 16 мл 30%-го раствора этилендиамина(C2H4(NH2)2),
частично нейтралезованного 4 мл 20% НCl(нейтрализацию проводить под тягой).
Затем добавляем 30 мл 3%-го наствора Н2О2. Реакционную смесь перемешивать на
магнитной мешалке 40 мин. Полученный раствор бурого цвета переливаем в
фарфоровую чашку емкостью 100 мл и упариваем на водяной бане до объема 30 мл.
горячий раствор перелить в стакан и охлодить до комнатной температуры, добавить
8 мл концентрированной HCl b 20мл этилового спитра. Смесь выдержать при 0̊ в течении 15 мин. Выпавшие кристаллы
оранжевого цвета отфильтовать на воронке Бюхнера, промыть 10 мл смеси вода-этиловый
спирт(1:1) , а затем 5 мл этилового спирта и 5 мл эфира. Полученное вещество
вусышить и перенести ы бюкс.
Уравнение реакции синтеза:
2CoCl2 +6En+ 2HCl=2[Co(En)3]Cl3+2H2O
Расчеты:

практическая

Цвет
полученного соединения: оранжевый
Результаты
исследования спектра поглащения раствора: 
Таблица
1
|
л (длина волны) нм.
|
D (оптическая плотность)
|
|
315
|
0.05
|
0.285
|
|
400
|
0.5
|
|
440
|
0.26
|
|
490
|
0.31
|
|
540
|
0.035
|

Наблюдения:
Имеющийся
в лаборатории этилендиамин имел жёлтоватый цвет, сильно дымящийся, условная
концентрация жидкого этилендиамина составляла 70%. Имеющаяся в лаборатории
перекись водорода была концентрированной, для приготовления раствора нужной
концентрации разбавил перекис в 10 раз.
С
полученным соединением оранжевого цвета проведены следующие опыты и реакции:
1)
В
результате проведенной реакции выпадает белый осадок 
, нами
показано наличие ионов 
во
внешней сфере.
2)

В
результате проведенной реакции выпадает бурый осадок 
, нами
показано наличие ионов Co3+ в
растворе.
3)

В
результате проведенной реакции выпадает чёрный осадок 
нами
показано наличие ионов Co3+ в
растворе.
4)

В
результате проведенной реакции раствор окрашивается в розовый цвет, но для
того, чтобы образовался аммиачный комплекс необходимо к раствору 
добавить
большое количество аммиака, что говорит об устойчивости полученного комплекса.
Синтез №2 - получение диметилглиоксимата никеля (II) [Ni(N2(OH)2C2(CH3)2)2]
Оборудование: весы, стакан мерный цилиндр, воронка Бюхнера.
Методика синтеза:
г хлорида никеля растворяем в 25 мл воды. Затем добавляем спиртовой
раствор аммиака до слабого запаха. Затем к раствору добавляем спиртовой раствор
диметилглиоксима до образования рыхлого осадка диметилглиоксимата алого цвета.
Осадок отфильтровываем и промываем 2-3 раза водой и высушиваем на воздухе.
Уравнение реакции синтеза:
NiCl2+2H2dmg+2NH3= [Ni(Hdmg)2]+NH4Cl
Расчеты:

.
Цвет
полученного соединения: алый.
Получившееся
вещество (
само по
себе доказывает, что в его состав входит ионы Ni2+. В ходе проведения качественных реакций
экспериментально обнаруживаем высокую устойчивость соединения, 
не
прореагировал с высоко концентрированным NaOH. Лишь при
растворении в тетрахлорметане (CCl4) прореагировал с Na2S:
В
результате проведенной реакции выпадает чёрный осадок 
, нами
показано наличие ионов Ni2+ в
растворе. В связи с тем, что 
удалось
растворить только в CCl4, спектр поглощения раствора не снимал по
причине сильного запаха CCl4.
Синтез №3- получение тригидрата триоксалатоферрата(III) калия К3[Fе(С2O4)3]* ЗН2O
Оборудование: Весы, стакан, магнитная мешалка, водяная баня, баня со
льдом, воронка Бюхнера.
Методика синтеза:
В стакан ёмкостью 25мл. поместить 3 г твёрдого хлорида железа(III). Смесь перемешивать на магнитной
мешалке до растворения соли. В другой стакан ёмкостью 50 мл внести 9.13г
оксалата калия, добавить 25 мл воды и нагреть содержимое стакана на водяной
бане до растворения соли( не доводя до кипения). Все дальнейшие операции
проводить в условиях защиты от освещения. К полученному теплому раствору
оксалата калия при перемешивании прилить раствор хлорида железа(III) и охладить в бане со льдом.
Наблюдается образование светло-зеленых кристаллов оксалатного комплекса железа(III). Раствор с осадком оставить на 1
час в бане со льдом для более полной кристаллизации. Затем осадок отфильтровать
на воронке Бюхнера, промыть на фильтре 10 мл этанола, высушить током воздуха
перенести в бюкс и взвесить.
Уравнение реакции синтеза:
3K2C2O4+FeCl3=K3[Fe(C2O4)3]+3KCl
Расчеты:

=4.68г
Цвет
полученного соединения: зеленый
Результат
исследования спектра поглощения раствора:
Таблица
2
|
л (длина волны) нм.
|
D (оптическая плотность
|
|
315
|
0.05
|
|
364
|
0.025
|
|
400
|
0.015
|
|
440
|
0.435
|
|
490
|
0.025
|
|
540
|
0.023
|
Качественные реакции, доказывающие состав полученных в результате синтеза
веществ:
4
В
результате проведенной реакции, выпадает ярко-синий осадок берлинской лазури 
, нами
показано наличие ионов Fe3+ в
растворе.
В
результате реакции, раствор не окрашивается в кроваво-красный, т. к. не
образуется Fe(SCN)3, следовательно, ион Fе3+
находится во внутренней сфере.
В
результате проведения реакции, выпадает желтый осадок 
следовательно,
ионы K+
находятся во внешней сфере.


В
результате проведения реакции, выпадает черный осадок 
следовательно,
в растворе находятся ионы Fe3+ .
Заключение
Общепризнанного определения понятия «комплексное соединение» нет. Это
обусловлено разнообразием комплексных соединений и их характерных свойств. В
лабораторной практике химики чаще всего имеют дело с соединениями в твердом и
растворено состоянии. Для этих условий можно дать следующее определение
комплексных соединений: комплексными называются соединения, в узлах кристаллов
которых находятся комплексы, способные к самостоятельному существованию в
растворе. Следует подчеркнуть, что такое определение, конечно, далеко не
исчерпывает существа проблемы и применимо лишь в известных пределах.
К очень важным комплексным соединениям относят так называемые хелаты или
клешнеобразные соединения, в которых центральный атом и лиганд образуют цикл.
Список используемой литературы
1) Ахметов Н.С. Общая и неорганическая химия: Учебник для
вузов. - М.: Высш. школа, 2011.-679с., ил.
2) Угай Я.А. Общая и неорганическая химия: Учебник для
вузов. - М.: Высш. школа,2012.- 527с., ил.
) Гликина Ф.Б., Ключников Н.Г. Химия комплексных
соединений. - 3-е изд.-М.: Просвещение, 2009.-160с.
4) Глинка Н.Л. Общая химия. Учебник для студ. Высш. учеб. :
Интеграл, 2008.