Димеризация, олигомеризация и полимеризация этилена под действием комплексов никеля, содержащих хелатные лиганды
ДИМЕРИЗАЦИЯ, ОЛИГОМЕРИЗАЦИЯ И ПОЛИМЕРИЗАЦИЯ ЭТИЛЕНА ПОД
ДЕЙСТВИЕМ КОМПЛЕКСОВ НИКЕЛЯ, СОДЕРЖАЩИХ ХЕЛАТНЫЕ ЛИГАНДЫ
Реакции
этилена, приводящие к образованию димеров, олигомеров и полимеров этилена
представляют существенный интерес для химической промышленности. Эти реакции
могут приводить к образованию линейных, разветвленных или циклических
соединений. Как показано в табл. 1, линейные продукты имеют много важных
областей применения, среди которых наибольший объем использования имеют моющие
средства и сомономеры для получения ПЭ.
Комплексы
никеля являются самыми распространенными катализаторами олигомеризации олефинов
и проявляют наибольшую активность и селективность по отношению к олефинам.
Никелевые катализаторы можно разделить на две группы: соединения никеля(П) в
сочетании с алкильными или гидридными производными металлов основной группы
(катализаторы Циглера-Натта) и металлоорганические комплексы, которые служат
предшественниками каталитических комплексов.
Много
лет назад мы показали, что хелатные комплексы никеля вызывают образование
линейных продуктов из этилена с исключительно высокой хемоселективностью [1].
На схеме I изображены комплексы 1 и 2, которые можно рассматривать в качестве предшественников
активного Ni-Н-катализатора
3.
Рис.
1. Строение комплекса 1 по данным рентгеноструктурного анализа.
Реакция
комплекса 3 с этиленом приводит к образованию комплекса 4, который после
внедрения следующей молекулы этилена образует Ni-бутильный
комплекс 5. Последний может отщеплять бутен-1 в результате реакции р-элиминирования,
вновь образуя комплекс 3. Таким образом, каталитический цикл замыкается. Кроме
элиминирования бутена-1, комплекс 5 может присоединять еще молекулы этилена,
образуя комплексы Ni с высшими
м-алкильными группами, которые затем могут по реакции Р-элиминирования
отщеплять соответствующие а-олефины или воски, или даже ПЭ. В результате
каталитического цикла, изображенного на схеме I, возникает распределение типа
Шульца-Флори. Наилучшим образом оно описывается величиной Р-фактора,
т.е. отношением скорости элиминирования на стадии обрыва цепи к скорости
элиминирования на стадии роста. Когда стадия обрыва ф-элиминирование) протекает
быстро, в продуктах реакции преобладают олефины С4 - С8.
Продукты с большой длиной цепи (ПЭ) получаются в том случае, когда преобладает
реакция роста.
Механизм,
приведенный на схеме I, подтверждается спектроскопическими исследованиями,
проведенными in situ. Так, ЯМР
исследования, выполненные в этих условиях, показывают, что в растворе
присутствует гидрид никеля 3, который был зафиксирован при использовании Ph2PCH2C(CF3)2OH в качестве
лиганда [2]. Оказалось, что можно выделить этильный 4 и бутильный 5 комплексы
никеля, а также комплексы Ni, содержащие
высшие алкильные группы, которые являются продуктами многократного внедрения
этилена. При нагревании эти комплексы отщепляют соответственно этилен, бутен-1
или высшие сс-олефины, возвращаясь тем самым к комплексу 3.
Таблица
1. Линейные производные этилена
|
Продукт
|
Применение
|
|
Бутен-1
|
Полибутилен
Сомономер в
производстве ПЭ
|
|
Гексен-1
|
Сомономер в
производстве ПЭ
|
|
Октен-1
|
Продукты
тонкого органического синтеза (жирные кислоты, меркаптаны), пластификаторы
|
|
Децен-1
|
Смазки
|
|
Олефины С12
- С18
|
Детергенты
|
|
Олефины С>20
|
Присадки
|
|
Олефины С>30
|
Воски
|
|
Олефины С>т
|
ПЭ
|
Если
образующиеся а-олефины не реагируют с Ni-Н-комплексом
3 (что привело бы к образованию соолигомеров), в продуктах реакции присутствуют
только линейные производные; иначе говоря, реакция должна быть высоко хемоселективна
только по отношению к этилену, а реакция передачи цепи должна отсутствовать.
Чтобы
продемонстрировать высокую хемоселективность, проводили реакцию смеси,
содержащей 50% этилена и 50% пропилена, с каталитическими количествами
комплекса 1. Поглощение этилена наблюдали до тех пор, пока в смеси не
достигалось процентное соотношение пропилен : : этилен, равное 90 : 10.
Продукты, получающиеся при таком соотношении, содержали нечетное число атомов
углерода (С5, С7 и т.д.) [3].
Высокая
хемоселективность объясняется наличием хелатного лиганда. По данным рентгеноструктурного
анализа (рис. 1), комплекс 1 имеет плоскоквадратную структуру.
По
нашему мнению, ответственным за высокую хемоселективность реакции является
плоскоквадратное окружение металла. Ниже показан путь протекания реакции
внедрения этилена, включающий стадию появления свободного координационного
места в результате акта внедрения этилена.
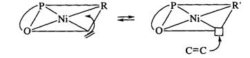
Рост
цепи протекает в трансположении относительно атома кислорода комплекса, в то
время как свободные координационные места для входящей молекулы мономера после
внедрения этилена возникают в трансположения по отношению
к атому фосфора. Если этот механизм правилен, можно полагать, что кроме
давления и температуры на получающееся распределение продуктов должны влиять
стерические и электронные эффекты в хелатном лиганде. При изменении а-донорных
и я-акцепторных свойств Р или хелатного кольца будет изменяться прочность связи
вновь координирующейся молекулы этилена с металлом. Кроме того, на прочность
связи Ni-углерод может также влиять строение
лиганда.
Чтобы
выяснить влияние этого фактора, в Аахене было синтезировано большое количество
разнообразных хелатных комплексов никеля. Можно констатировать, что все
комплексы, активные в реакции линейного присоединения по связи С-С, состоят из
хелата и органического лиганда. Органическая часть только стабилизирует комплекс, тогда как хелатный лиганд регулирует
каталитическую активность и селективность.
Размер
цикла в части также им решающее значение. Ниже изображены комплексы, которые
отличаются размером [4].
Комплексы
6-8 содержат пяти – семичленные хелатные циклы. В комплексах 9 и 10 жесткого хелата
увеличивается при введении в него соответственно двойной связи или ароматического
цикла. Исследование реакции комплексов 6 с этиленом показало, что комплексы 6,
9, и 10 вольно активны в линейной олигомеризации, в то время как активность
комплексов 7 и 8, содержащих гибкие шести- и семичленные циклы, невысока.
Ниже
будет показано, что конструирование лиганда влияет на протекание реакций
димеризации, олигомеризации и полимеризации этилена.
ДИМЕРИЗАЦИЯ
Чтобы
получить преимущественно бутен-1, нужно понизить основность атома Р. Интересно
отметить, что добавление Ph3P к комплексу
1 является другим путем изменения величины р-фактора (табл. 2).
ОЛИГОМЕРИЗАЦИЯ
Олигомеризация
олефина осуществлена компанией "Шелл" (процесс "Шелл" для
получения высших олефинов - SHOP-процесс) [1,
5]. Этот процесс с общим объемом продукции ~1 млн. т является одним из примеров
наиболее крупномасштабного применения гомогенного катализа на основе переходных
металлов. На схеме II показаны первичные и вторичные продукты, получаемые в
указанном процессе (добан, добанол, этоксилаты добанола и этоксисульфаты
добанола - торговые названия поверхностно-активных веществ (детергентов))
Первая
стадия представляет собой олигомеризацию этилена в а-олефины. Образующиеся а-олефины
характеризуются геометрическим распределением, которое можно в некоторой
степени регулировать изменением давления и температуры. Получаемый при этом
набор а-олефинов трудно сбалансировано реализовать на рынке. По этой причине из
смеси отгоняют только те а-олефины, которые можно продать - в основном С8
- С20- Олефины, не находящие спроса на рынке, <С10 и
>С2о изомеризуют на второй стадии. На третьей стадии смесь
олефинов с внутренними двойными связями подвергают реакции метатезиса, в
результате которой олефины <С 10 и>С20 превращаются
в олефины С10 - С14 (интервал, соответствующий
детергентам), также отделяемые дистилляцией. Сочетание изомеризации и метатезиса с дистилляцией и рециклом
создает уникальную технологию для получения
продуктов с заданным распределением по числу атомов углерода. Указанная схема
процесса дает возможность получать олефины с любым числом атомов углерода.
Ключом к решению проблемы явилась достигнутая хемоселективность. Были получены
олефины, содержащие >95% ос-изомеров и степенью линейности,>99%.
Селективность образования линейных олефинов важна при проведении метатезиса. В
условиях метатезиса разветвленные олефины, содержащиеся в продуктах первой
стадии, реагируют очень медленно, приводя к образованию малоактивных
разветвленных олефинов, имеющих низкую рыночную стоимость.
|
|
 |
Высокая
селективность получения линейных α-олефинов в SHOP-процессе
обеспечивает также оптимальное использование исходного материала, а именно
этилена. Практически все произведенные в этом процессе продукты можно
реализовать на рынке, побочные продукты фактически отсутствуют.
Для
практики было бы важно иметь возможность так изменить распределение продуктов,
полученных в соответствии со схемой I, чтобы получить линейные продукты с
числом атомов углерода в наиболее желательном интервале С12 – С8
за счет соолигомеризации олигомеров С4 - С10 с
этиленом. Мы обнаружили, что комплекс реагируя с ос-олефинами, образует в
основном линейные димеры [6].
По
нашим сведениям это единственный комплекс, который вызывает димеризацию а-олефинов,
приводя к преимущественному образованию линейных продуктов. Для этого нужно,
чтобы реакция присоединения катализатора Ni-H к а-олефину
протекала против правила Марковникова (уравнение (1)).
Рис. 2. Распределение продуктов
олигомеризации этилена при одновременном использовании комплексов 2 и 11.
Соотношение комплексов 2:11 равно 1 : 2 (7); 1 : 3 (2) и 1 : 4 (3).
При
совместном присутствии комплексов 2 и 11, можно ожидать, что реакция с этиленом
будет протекать следующим образом: комплекс 2 вызывает образование смеси
линейных а-олефинов С4 - С>20, а комплекс 11 катализирует
их димеризацию. Поскольку скорость реакции увеличивается в ряду С4
> С6 > С8 ..., олефины С4 - С6
должны реагировать с большей скоростью и таким образом будут расходоваться,
увеличивая долю олефинов С8 - С12. В табл. 3 представлены
данные, полученные при совместном использовании этих двух комплексов в реакции
олигомеризации этилена [7].
Таблица
3. Олигомеризация этилена при использовании
комплексов 2 и 11
|
Опыт
|
Соотношение
комплексов 2:11
|
Продукты
олигомеризации, мае. %
|
|
С4
|
Q
- с10
|
С>12
|
|
1
|
1
:0
|
35.5
|
51.5
|
13
|
|
2
|
1
: 1
|
56.5
|
21
|
|
3
|
1
: 5
|
2
|
69.8
|
28
|
|
Опыт 1:
|
0.2
ммоля комп. 'кса 2, 70°С,
|
2 ч' рс2н4
|
=
30 бар,
|
При
эквимолярном соотношении комплексе 2 и 11 (опыт 2) доля бутена уменьшается,
приводя к увеличению доли олефинов С6 - С10. При соотношении
комплексов 2 и 11 = 1: 5 доля бутена становится еще меньше. Таким образом,
использование двух предшественников катализатора, комплексов 2 и 11, в одном
реакторе позволяет в определенной степени контролировать распределение продуктов
реакции.
При обработке смеси комплекса 6 и [А1(СН3)0]„
этиленом, наблюдалось существенное увеличение активности. Даже при 0°С
оборотное число реакции превышало 10 000. К сожалению, хемоселективность
образования именно линейных продуктов была потеряна. Две типичные
гельхроматограммы продуктов, которые демонстрируют эту потерю
хемоселективности, представлены на рис. 3.
Эти результаты привели к мысли выделить ионные комплексы
никеля с Т|2-РлО
хелатными лигандами. Был получен комплекс 14 [11]
Рентгеноструктурный анализ подтвердил плоскоквадратную
структуру комплекса. Реакция комплекса 14 с этиленом давала смесь линейных и
разветвленных олефинов, что указывало на потерю хемоселективности образования
линейных продуктов реакции. Очевидно, олефины, возникающие при олигомеризации
этилена, вступают затем в реакцию соолигомеризации, что и приводит к появлению
разветвленных продуктов.
ПОЛИМЕРИЗАЦИЯ
Распределение α-олефинов определяется соотношением
скоростей Р-элиминирования и
роста. Очевидно, что при малом значении (3-фактора в уравнении (4) получаются
очень пологие кривые распределения
Таким образом, можно провести полимеризацию этилена с
образованием линейного продукта с очень высокой ММ. Если протекает реакция
передачи цепи, то появляются разветвленные продукты. Как видно из данных табл.
4, передача цепи протекает в случае образования продуктов с более высокой ММ.
Рис. 3. Сравнение селективности комплекса 6 (]) и 6/[А1(СН3)0]„
(2) в олигомеризации этилена; Ni: Al = 1 : 50,0°С, Рс н = 3 атм, 3 ч, молярное
отношение С2Н4 : Ni = 3 х 104.
Впервые мы наблюдали образование высоколинейного кристаллического
ПЭВП при суспендировании никелевых катализаторов в алканах [1, 12]. По данным
ИК-спектроскопии, полученный ПЭ имел кристалличность около 70%. Средневесовая
ММ составляла 105 - 106, температура плавления 130 -
140°С. Позднее мы установили, что ПЭ также образуется при добавлении R3P и при
использовании комплекса, содержащего заместитель в цикле [3]. Как показано в
табл. 5, добавление лигандов R3P к комплексу 1 может вызвать или прекращение реакции из-за блокировки
координационных мест (R3P = PEt3) или образование
ПЭ [R3P = (сс-нафтил)3Р].
В развитие наших работ Остойя-Старжевский получил
катализатор полимеризации этилена при реакции комплекса 1 с СН2 =
РМе3 [13]. Этому комплексу была приписана структура
Клабунде
и сотр. фирмы "Du Pont" также
сообщили о синтезе линейного ПЭВП под влиянием комплекса 1 [14]. По их данным,
в том случае, когда четвертое координационное место в плоскоквадратном
комплексе не занято Ph3P, происходит
полимеризация этилена. Для удаления R3P были
использованы различные акцепторы, например, Rh(AcAc)(C2H4)2.
Производительность использованного катализатора составляла 20000 г ПЭ/г №.
Интересно отметить, что комплекс 1 димеризуется в комплекс, когда четвертое
положение свободно, что подтверждается данными рентгеноструктурного анализа
Интересно
отметить, что Финк и Нестеров вносили Т|2-РлО хелатный
комплекс 19 на модифицированные оксид кремния или оксид алюмщм в соответствии с
реакцией (5) [16].
При
введении водорода или добавлении гидр да магния были получены высокоактивные
катализаторы олигомеризации этилена.
Мы
также сделали попытку нанести комплексы типа 1 на органические или
неорганические носители в соответствии со схемой, приведен™ ниже, используя
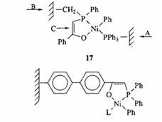
закрепление через положения А и В в комплексе 17 [17]. С этими катализаторами мы
получили в основном линейные олефины, время жизни катализаторов было невелико, вероятно, из-за покрытия активных
центров образующимся полимером.
ВЛИЯНИЕ РАСТВОРИТЕЛЯ
Как указывалось выше, решающее влияние на процесс может
оказывать растворитель. Много лет тому назад мы обнаружили, что комплексы типа
1 и 2 можно использовать в полярных растворителях. Так, нам удалось
синтезировать ПЭ в водной среде. Клабунде утверждал, что его работа была начата
с целью создания новых каталитических систем, стабильных к кислородсодержащим
соединениям, что, по нашему мнению, представляет несомненный интерес.
Для коммерческой реализации SHOP-процесса решающую
роль сыграла стабильность Ni-комплексов к полярным растворителям [1, 5, 18]. Олигомеризацию ос-олефинов
можно было проводить в полярных растворителях, таких как многоатомные спирты
или ацетонитрил, которые практически не смешиваются с а-олефинами,
образующимися в ходе каталитической реакции. Находящиеся в другой фазе
ос-олефины легко отделяются. Ниже приведена схема потоков этого двухфазного
каталитического процесса.
Комплекс 1 растворяется в полярном растворителе, который не
смешивается с образующимися а-олефинами. В сепараторе ос-олефины отделяются от
катализатора 1, который может быть возвращен в рецикл. Насколько нам известно,
указанный каталитический процесс представляет собой первый случай использования
двухфазного катализа, нашедшего впоследствии широкое применение [19].
Компании "Gulf Research and Development", "Union Carbide Corporation", "Mobil Chemical" достигли больших успехов в применении двухфазных схем с
использованием хелатных комплексов, содержащих лиганды Т|2-РлО.
Бич и Гаррисон из компании "Gulf Research and Development"
запатентовали комплексы типа 20, которые ведут процесс в среде метанола [20]:
(R, - Rg = одинаковые или разные Н, алкилы С, .24, арилы С6
_20, алкенилы С2.30, циклоалкилы С3_40, аралкилы и алкарилы С6.40, галоген-, ОН-, алкокси
группы; Z = Р, As, Sb). Например, илид Ni (R1 - R6 = Ph, R7 = S03Na, R8 = Ph; Z = E = P; Y = 0).
Мюррей из "Union Carbide" синтезировал целый набор лигандов типа 21 [21].
После реакции комплекса 21 с (COD)2Ni эти соединения
дают катализаторы олигомеризации этилена в полярных растворителях.
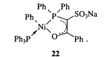
И, наконец, Киссин из компании "Mobil"
синтезировал комплекс 22, который также работает в среде полярного растворителя.
СПИСОК ЛИТЕРАТУРЫ
1.
Keim
W., et al. Shell Dev. Сотр. US Pat. 3635937,
1972; 3647914, 1972; 3647915, 1972; 3686159, 1972; Kowaldt F.H., Keim W.,
Goddard R., Kruger С. // Angew. Chem. Int.
Ed. Engl. 1978. V. 17. № 7. P. 466. Peuckert M., Keim W. // Organomettalics. 1983. V. 2. P. 594; Keim W. //Chem.-Ing. Tech. 1984. V. 56. P. 850; Keim W. // Angew. Chem.
Int. Ed. Engl. 1990. V. 29. P. 235.
2.
Muller
U., Keim W., Kruger C, Betz P. //Angew. Chem.
Int. Ed. Engl. 1989. V. 28.P. 1011; Andrews P., Evans J. IУ J. Chem. Soc, Chem. Commun. 1993. P. 1246.
3.
Kowaldt
F.H., Keim W. // Compendium Dtsch.
Ges. Mineralowiss. Kohlechem. 1978. V. 78/79. P. 453.
4.
Keim
W., Schulz R.P. // J. Molec. Cat. (in print).
5.
Keim
W. // Chem.-Ing. Tech. 1984. V. 56. P. 850; Freitas E.R., Gum C.R. // Chem. Eng. Prog. 1979. P. 73;
6.
Lutz
E.F. // J. Chem. Educ. 1986. P. 202.