Применение органических реагентов в аналитической химии
СОДЕРЖАНИЕ
1. Введение
2. Реакции, основанные на образовании
комплексных соединений металлов
2.1 Внутрикомплексные соединения
2.2 Хелатные комплексные соединения
2.3 Понятие о
функционально-аналитической и аналитико-активной группах
3. Реакции без участия комплексных
соединений металлов
3.1 Образование окрашенных соединений
с открываемым веществом
3.2 Образование органических
соединений, обладающих специфическими свойствами
4. Использование органических
соединений в качестве индикаторов титриметрических методов
4.1 Теории кислотно-основных
индикаторов
4.2 Индикаторы группы азосоединений
4.3 Трифенилметановые индикаторы
4.4 Нитроиндикаторы
4.5 Индикаторы других структурных
групп
Заключение
Использованная литература
1. ВВЕДЕНИЕ
Органические вещества
широко применяются в аналитической химии вообще и в фармацевтическом анализе, в
частности. Ещё с начала нашей эры было известно, что настой чернильных
дубильных орешков можно было применять в качестве пробы на железо. Много
столетий спустя (1815 год) было установлено, что крахмал в присутствии йода
окрашивается в синий цвет. Первым синтетическим специфическим органическим
реагентом для химического анализа считается реактив Грисса-Илошвая (предложен
П. Гриссом в 1879 году и подробно изучен Л. Илошваем в 1889 году) – смесь
α-нафтиламина и сульфаниловой кислоты, которая даёт красную окраску с
нитрит-ионами. В 1885 году М.А. Ильский и Г. Кнорре предложили
α-нитрозо-β-нафтол в качестве реагента для открытия и определения
кобальта. Эта реакция оказалась примерно в 120 раз чувствительнее применявшейся
ранее аналитической реакции катионов кобальта с нитритом калия. В 1905 году Л.А.
Чугаев в работе «О новом чувствительном реагенте на никель» предложил
диметилглиоксим в качестве реагента на никель и затем в своей докторской
диссертации (1906) изложил результаты исследований в рассматриваемой области.
Предложенный Чугаевым диметилглиоксим и поныне является непревзойдённым аналитическим
реагентом на никель.
В настоящее время
известно очень большое число синтетических органических реагентов, применяемых
в химическом анализе, благодаря трудам И.П. Алимарина, А.К. Бабко, Р. Берга, В.А.
Назаренко и других исследователей.
2. РЕАКЦИИ,
ОСНОВАННЫЕ НА ОБРАЗОВАНИИ КОМПЛЕКСНЫХ СОЕДИНЕНИЙ МЕТАЛЛОВ
При таких аналитических
реакциях преимущественно (хотя и не всегда) применяются циклообразующие
лиганды, способные к построению хелатных комплексов, особенно –
внутрикомплексных соединений и комплексонатов металлов. Молекулы подобных
лигандов должны содержать функционально-аналитические группы (ФАГ), способные
образовывать с атомами металлов-комплексообразователей относительно прочные
координационные связи, чаще всего – устойчивые металлоциклы. В состав ФАГ могут
входить группы ОН, SH, NH, C=O, C=S, гетероатомы азота и др.
В химическом анализе
используют комплексные соединения практически всех типов – катионного,
анионного, комплексы-неэлектролиты, комплексы с неорганическими и органическими
лигандами, моноядерные, многоядерные и т. д. Кратко охарактеризуем наиболее
часто используемые в химическом анализе комплексных соединений.
2.1
Внутрикомплексные соединения
Внутрикомплексные
соединения (ВКС) – координационные соединения металлов с одинаковыми или
различными бидентатными (обычно-органическими) ацидолигандами, связанными с
одним и тем же атомом металла комплексообразователя через одну отрицательно
заряженную и одну нейтральную донорные группы с образованием одинаковых или
различных внутренних металлоциклов (хелатных циклов), не содержащие
внешнесферных ионов и являющиеся комплексами-неэлектролитами. Примером ВКС
могут служить глицинат меди (II) и
оксихинолинат цинка:
К ВКС относятся также
такие практически важные соединения, как оксихинолинаты металлов состава MLn (L – депротонированный по венольной группе остаток 8-оксихинолина,
n – степень окисления металла М),
комплексы металлов с оксиоксимами, нитрозогидроксиламинами, нитрозофенолами,
различными аминокислотами и др.
2.2 Хелатные
комплексные соединения
ВКС представляют собой
частный случай хелатных комплексных соединений (хелатов) металлов (ХКС), т. е.
координационных соединений металлов с одинаковыми или различными отрицательно
заряженными или нейтральными полидентатными лигандами (органическими или
неорганическими), имеющих один или несколько одинаковых или различных хелатных
циклов. Термин «хелат» предложен в 1920 году Морганом и Дрю. Хелаты, в отличии
от ВКС, могут быть комплексами катионного, анионного типа или
комплексами-неэлектролитами, содержать во внутренней координационной сфере или
только полидентатные, или одновременно один или несколько полидентатных и
монодентатные лиганды и иметь или не иметь внешнесферные ионы. Различия между
ВКС и ХКС иногда (но не всегда) не делается: любые ХКС, содержащие хотя бы один
хелатный цикл, нередко называется ВКС. В ХКС один и тот же полидентатный лиганд
образует один или несколько хелатных циклов, причём этот лиганд может быть би-,
три-, тетра-, пента-, гексадентатным. Так, в комплексах 8-оксихинолином (оксином)
реализуются пятичленные металлоциклы:
Примером может служить
вышеописанный оксихинолинат цинка или оксихинолинат магния MgL2 (символом HL обозначена молекула 8-оксихолина), осаждающийся из растворов
в виде осадка темно-зелёного цвета и используемы для определения магния.
Большую группу хелатных
комплексов образует этилендиамин H2NCH2CH2NH2
(часто для
краткости обозначаемый En или
en), дающий пятичленные металлоциклы,
например, в комплексе платины(II)
Два идентичных
металлоцикла содержаться в комплексе кобальта(III) наряду с двумя монодентатными тиоцианатогруппами:
Этот комплекс применяется
для определения серебра(I),
висмута(III) в форме соединений [CoEn2(NCS)2][Ag(NCS)2] и [CoEn2(NCS)
2] [BiI4].
К ХКС относятся такие
практически важные вещества, как соединения металлов с основаниями Шиффа,
комплексонаты, фталоцианины металлов, порфирины, хлорофилл, гемоглобин,
цианокобаламин, инсулин, ферритин и многие другие.
2.3 Понятие
функционально-аналитических и аналитико-активных группах
ВКС – обычно
малорастворимые в воде, часто – окрашенные вещества, могут экстрагироваться
(иногда избирательно) органическими растворителям, не смешивающимися с водой.
ХКС обладают различными растворимостью и окраской, зависящими от природы как
металла-комплексообразователя, так и лигандов внешней сферы
Так, например, ионы меди(II) Cu2+ при взаимодействии с органическими соединениями –
α-ацилоиноксимами – образуют комплексы зелёного цвета, содержащие
пятичленные металлоциклы:
При реакциях ионов кадмия
Cd2+ c органическми реагентами состава Ar-N=N-NH-Ar' (Ar и Ar' – арильные радикалы), содержащими в качестве ФАГ
диазоаминокруппу, образуются комплексы красного цвета.
Сурьма (III) даёт малорастворимые белые осадки
комплексов с лигандами, имеющими в качестве ФАГ две соседние фенольные группы в
ароматическом ядре, наример с пирогаллолом. Образующиеся комплексы содержат
пятичленные металлогруппы:
В настоящее время
известно значительное число ФАГ.
Наличие ФАГ в
органической молекуле является необходимым, но не всегда достаточным условием,
позволяющим использовать данное органическое соединение в качестве
аналитического реагента. Требуется также во многих случаях присутствие
аналитико-активных групп (ААГ), обычно не образующих непосредственно
координационные связи с центральным атомом металла-комплексообразователя, но
усиливающих аналитический эффект ФАГ. Сочетание ФАГ, ААГ вместе с центральным
атомом определяемого металла даёт «аналитический узел», играющий решающую роль
в соответствующей аналитической реакции. Понятие о ФАГ и ААГ было введено Л. М.
Кульбергом. К некоторым основным критериям применения внутрикомплексных
соединений в химическом анализе относятся:
а) малая растворимость
комплексного соединения в тех случаях, когда их используют для осаждения ионов
металлов из растворов;
б) наличие интенсивной
характерной окраски образующихся комплексов, если их используют для открытия
или определения ионов металлов по окраске раствора;
в) достаточно высокая
устойчивость образующихся комплексов (большие значения констант устойчивости).
Для обеспечения этих
критериев необходимо соблюдение, по крайней мере, следующих условий:
1)
молекулы
органических реагентов должны содержать ФАГ;
2) ФАГ должен иметь такую
пространственную конфигурацию и взаимное расположение донорных атомов (азота,
кислорода, серы, фосфора, мышьяка и др.), чтобы могла реализоваться возможность
образования наиболее устойчивых пяти- и шестичленных металлоциклов;
3) молекула органического
лиганда должна иметь, По-возможности, большую молекулярную массу – это понижает
погрешности определения металлов.
На практике процессы
комплексообразования часто сочетают с экстракцией. Некоторые органические
реагенты позволяют открывать определять целый ряд катионов. К числу таких
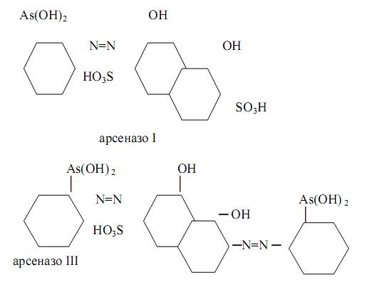
органических реагентов относятся соединения группы арсеназо, содержащие мышьяк,
азогруппы, SO3H, ОН (арсеназо I,
арсеназо II, арсеназо III, полиарсеназо), например Так, с помощью арсеназо I можно определить уранильную группу UO22+ , катионы кальция Ca2+ , бериллия Be 2+ , меди Cu2+ , кобальта Co2+ , никеля Ni2+ , алюминия Al3+ , редкоземельных металлов титан (III), цирконий (IV), торий (IV), ванадий (V), ниобий (V), тантал (V), а также
анионы F ˉ , BF4ˉ.
Арсеназо III позволяет определить катионы Be2+, Mg2+, Ca2+, Zn2+, Cd2+, Hg2+, Al3+, Pb2+, редкоземельных металлов, титан (III), цирконий (IV), торий (IV), гафний (IV).
К числу достаточно
распространённых в химическом анализе относятся, например, такие органические
реагенты, как дитизон, диметилглиоксим, 1-нитрозо-2-нафтол.
Дитизон, или дифенилтиокарбазон
(часто сокращённо
обозначается Н2Dz ) впервые
был предложен в качестве реагента на катионы Zn2+ , с которыми он образует комплекс малинового цвета –
дитизонат цинка Zn(НDz)2,растворимый в
хлороформе и в тетрахлориде углерода. Реакция – весьма чувствительная: предел
обнаружения m=0, 025 мкг, предельное разбавление V lim =104 мл/г.
Дитизон используется
также для определения Cu(II), Ag(I), Au(III), Cd(II), Hg(II), In(III), Tl(I), Pb(II), Bi(III), Co(II), Ni(II), Pd(II), Pt(II) и некоторых других ионов.
Как лиганд дитизон может
выступать в форме анионов НDzˉ
и НDz2-, образуя комплексы состава Cd(НDz)2, Ag2Dz, Pb(НDz)2, PbDz, PdDz и так далее.
Диметилглиоксим (диацетилдиоксим, реактив Чугаева)

Ионы Ni2+ образуют с диметилглиоксимом в водной
среде объёмистый осадок красного цвета, малорастворимый в воде и в водном
аммиаке, но растворимый в минеральных кислотах. Реакция протекает по схеме:
Ni2+ + HDMG→ [Ni(DMG)2] + 2Н+
где HDMG – сокращённое обозначение молекулы диметилглиоксима.
Структурная формула образующего комплекса будет выглядеть следующим образом:
где точками обозначены
внутримолекулярные водородные связи. Этот нейтральный комплекс никельдиметилглиоксим
и является показателем наличия ионов никеля в растворе. Осаждение обычно
проводят из разбавленных аммиачных растворов при рН=8-9. Комплекс очень
устойчив; логарифм константы устойчивости равен lgβ=17, 32. Реакция весьма
чувствительна: предел обнаружения m=0, 16 мкг, предельное разбавление Vlim =3∙105 мл/г.
Поскольку диметилглиоксим малорастворим в воде, то предложено использовать не
сам диметилглиоксим, а его двунатриевую соль, которая растворяется в воде. С
помощью диметилглиоксима можно определять также и палладий(II), железо(II), висмут(III),
кобальт(III). При определении никеля для
устранения мешающего действия висмута, железа и кобальта ионы последних
маскируют введением тиогликоевой кислоты. Небольшое количество ионов кобальта и
железа можно также маскировать введением винной кислоты. Для маскирования
больших количеств этих ионов рекомендуют прибавлять в раствор добавки N,N-ди(оксиэтилен)глицина. Диметилглиоксим используют и при
фотометрическом определении никеля в присутствии окислителей.
1-Нитрозо-2-нафтол (α-нитрозо-β-нафтол, или
реактив Ильинского)
также считается
классическим органическим аналитическим реагентом. Впервые он был предложен М.А.
Ильинским и Г. Кноре для гравиметрического определения кобальта в форме
комплекса СоIIIL3, где HL – молекула 1-нитрозо-2-нафтола. Комплекс выделяется из
растворов в виде пурпурно-красного осадка. Точная структура комплекса пока не
известна. Предполагается возможность осуществления как пяти-, так и
шестичленных хелатных металлоциклов типа
Комплекс очень устойчив:
логарифм константы устойчивости lgβ=17. Реакция весьма чувствительна: предел обнаружения m=0, 5 мг, предельное разбавление Vlim =3∙10-5 мл/г. С
использованием 1-нитрозо2-нафтола можно также определять также никель,
палладий, железо.
Разработана фотометрическая
методика определения кобальта с помощью рассматриваемого органического
реагента.
3. РЕАКЦИИ БЕЗ
УЧАСТИЯ КОМПЛЕКСНЫХ СОЕДИНЕНИЙ МЕТАЛЛОВ
3.1 Образование
окрашенных соединений с открываемыми веществами
Дифениламин (C6H5)2NH при реакциях в кислой среде с
соединениями, содержащими окислители (NO2ˉ, NO3ˉ, BrO3ˉ, CrO42ˉ, MnO4ˉ, Fe3+ и др. ) окрашивает раствор в синий цвет вследствие
необратимого окисления дифениламина в синий дифенилдифенохинондиимин. Эта
реакция – фармакопейная, используется для открытия, например, нитратов и
нитритов. С нитратами реакция протекает по схеме:
При выдерживании смеси
синяя окраска постепенно переходит в бурую, а затем в жёлтую. Определению
мешают сильные восстановители – такие, как сульфид-ион S2ˉ, сульльфит-ион SO32ˉ,
тиосульфат-ион S2O32ˉ, иодид-ион Iˉ.
Антипирин используют для открытия нитрит-ионов NO2ˉ (реакция фармакопейная). В кислой
среде (HCl, H2SO4) нитриты образуют с антипирином
нитрозоантипирин изумрудно-зелёного цвета:
NO2ˉ + H3O+ = HNO2 + H2O
Нитраты образуют с
антипирином в сильнокислой среде (концентрированная серная кислота)
ярко-красный нитроантипирин
Выше уже упоминался
реактив Грисса-Илошвая в качестве аналитического реагента на нитрит-ионы NO2ˉ . При взаимодействии смеси
сульфаниловой кислоты и 1-амино-2-нафтола с нитритами в нейтральных или
уксуснокислых растворах образуется азокраситель ярко-красного цвета (реакция
Грисса):
Реакция весьма
чувствительная: открываемый минимум m=0, 01 мкг. Нитрат-ион NO3ˉ такой реакции не даёт.
Аналогично протекает реакция
также в том случае, если вместо 1-амино-2-нафтола взять β-нафтол:
развивается красная окраска.
Вместо сульфаниловой
кислоты в этой реакции можно использовать различные другие ароматические амины,
которые в щелочной среде с 1-нафтиламином или 1-нафтолом (а также с
производными анилина, например, диметиланилином) дают окрашенные азокрасители.
Этакридин (риванол) в кислой среде образует с
нитратами диазоэтакридин красного цвета:
Реакция специфична для
нитратов.
Борат-ионы BO3ˉ , B4O72- открывают с помощью куркумовой бумаги
– бумаги, обработанной раствором органического красителя – куркумина. Соли
борной кислоты окрашивают в кислой среде куркумовую бумагу в розовый цвет.
Щёлочи и аммиак изменяют окраску на синюю или буровато-зелёную. Реакция –
фармакопейная. В качестве возможной предполагается следующая схема протекания
реакции:
Окрашенные соединения с
борной кислотой образуют также оксиантрахиноны - ализарин, пурпурин,
хинализарин – в среде концентрированной серной кислоты.
Реакция образования
окрашенных соединений с органическими реагентами используются для определения
подлинности многих лекарственных препаратов или открытия входящих в них групп,
например, органических кислот; соединений, содержащих гидроксильные,
альдегидные, кетонные, эфирные, имидные группы, аминогруппы, фенильные радикалы;
алкалоидов, гликозидов сердечного действия, витаминов, гормонов и их
синтетических аналогов, антибиотиков и других веществ.
3.2 Образование
органических соединений, обладающих специфическими свойствами
В ряде случаев в
химическом анализе используют такие реакции с участием органических реагентов,
в результате которых образуются продукты реакции, обладающие специфическими
свойствами – запахом, окрашиванием пламени газовой горелки и т. д. Так, реакция
образования сложных эфиров используется для открытия ацетат-ионов CH3СООˉ, борат-ионы BO3ˉ, B4O72- . Открытие ацетат-ионов проводится в кислой среде. При этом ацетат-ионы,
присоединяя ион водорода, переходят в слабую уксусную кислоту. При реакции с
этанолом уксусная кислота даёт уксусноэтиловый эфир, обладающий характерным
запахом:
CH3СООˉ + Н3О+ = CH3СООН + Н2О
CH3СООН + НOC2H5 = CH3СОО C2H5 + Н2О
Реакция – фармакопейная.
Летучие сложные эфиры
борной кислоты окрашивают пламя в зелёный цвет. В присутствии серной кислоты и
этанола борат-ионы образуют сложные эфиры:
B4O72- + Н+ + 5Н2О = Н3BO3
Н3BO3 + 3C2H5OН→ В(ОC2H5)3 + 3Н2О
При поднесении пламени к
чашке или тиглю, в которых протекает эта реакция, продукты сгорания окрашивают
пламя в зелёный цвет. Реакция – фармакопейная.
4. ИСПОЛЬЗОВАНИЕ
ОРГАНИЧЕСКИХ СОЕДИНЕНИЙ В КАЧЕСТВЕ ИНДИКАТОРОВ В ТИТРИМЕТРИЧЕСКИХ МЕТОДАХ
КОЛИЧЕСТВЕННОГО АНАЛИЗА
4.1. Теории
кислотно-основных индикаторов
Кроме использования
органических соединений для образования металлокомплексов, образования
окрашенных соединений органические реагенты используются очень широко в
аналитической химии в качестве индикаторов методов кислотно-основного
титрования. Индикатор – это вещество, которое проявляет видимое изменение в
точке эквивалентности или вблизи её. Кислотно-основные индикаторы в кислых и
щелочных растворах имеют различную окраску. Иак, лакмус в кислой среде (рН <
7) окрашен в красный цвет, а в щёлочной (рН>7) – в синий; фенолфталеин в
кислой – бесцветен, в щелочной – имеет красную или малиновую окраску.
Для объяснения природы
изменения окраски индикаторов было предложено несколько теорий. Ионная
теория кислотно-основных индикаторов предполагает наличие в растворе двух форм
молекулы индикатора – кислой формы, имеющей один цвет, и основной формы,
имеющей другой цвет. В зависимости от рН раствора и соответственно от
преобладания той или иной формы, происходит окрашивание раствора в
соответствующий форме молекулы индикатора цвет.
Хромофорная теория кислотно-основных индикаторов
объясняет наличие окраски индикаторов, являющихся органическими соединениями,
присутствием в молекулах индикаторов хромофорных групп. В роли хромофорных
групп могут выступать такие группировки атомов и связей, как
–N=N–, =C=S=,-N=O,-N=N-
↓
O
хиноидные структуры и
некоторые другие.
Далее предполагается, что
индикаторы в растворе могут присутствовать в разных таутомерных формах,
находящихся в равновесии. В кислой среде доминирует одна таутомерная форма
индикатора с какой-то, а в щелочной – другая таутомерная форма с иной хромофорной
группой. Примером сказанного может послужить индикатор фенолфталеин, который в
кислой среде бесцветен, а в щелочной окрашен в красный цвет. Согласно хромофорной
теории предполагается, что в водном растворе фенолфталеина устанавливается
равновесие:
Таутомерная форма I не имеет хромофорной группы и
поэтому бесцветна, а форма II
обладает хиноидным хромофором и поэтому окрашена в красный цвет. Другой пример
виден у индикатора метиловый оранжевый, который является натриевой солью
диметиламиноазобензол-сульфокислоты (CH3 ) 2 N – C6H4– N=N – C6H4
– SO3Na. В водном растворе анион этой кислоты присоединяет протон и
переходит в кислоту, которая подвергается превращению по схеме:
Таутомерная форма I имеет хромофор ─N=N─, придающий индикатору жёлтый цвет, а таутомерная
форма II имеет другую хромофорную группу,
придающую индикатору красный цвет.
Ионно-хромофорная
теория, которая
объединила представление ионной и хромофорной теорий.
В рамках этой теории
принимается, что кислотно-основные индикаторы представляют собой слабые кислоты
и основания, причём нейтральная молекула индикатора и её ионизированная форма
содержат разные хромофорные группы.
Допустим, индикатор
представляет собой слабую одноосновную кислоту HInd. В соответствии с ионно-хромофорной теорией в водном
растворе индикатора устанавливается равновесии:
HInd = H+
+ Indˉ = H+ + IndˉB
кислая форма I основная форма II
Кислая форма представляет
собой нейтральную молекулу слабой кислоты HInd в какой-то таутомерной форме, основная форма IndˉB – это анион кислотной формы, которая является слабой
кислотой в другой таутомерной форме. Хромофорные группы обеих таутомерных форм HInd и IndˉB неодинаковы, поэтому и окраска этих двух форм различна.
При изменении рН
растворов, а именно при подкислении равновесие смещается влево – в сторону
кислой формы и после понижения рН до такого значения рН1, когда в растворе
доминирует эта форма, раствор принимает окраску формы I. При уменьшении концентрации ионов водорода равновесие
смещается вправо – в сторону основной формы II. В случае индикатора фенолфталеина схему можно упрощённо
представить следующим образом:

4.2 Индикаторы
группы азосоединений
Индикаторы группы
азосоединений (азоиндикаторы) - это многочисленная группа индикаторов, являющихся
производными пара-аминобензола и пара-диметиламинобензола, которые сами по себе
практически не растворимы в воде. При введении сульфогрупп или карбоксильных
групп в молекулы этих соединений получаются растворимые в воде азокрасители,
обычно имеющие красную окраску в кислой среде и жёлтую – в щелочной. К
индикаторам этой группы, помимо метилового оранжевого, относятся ализариновый
жёлтый, метиловый жёлтый, метиловый красный, тропеолины и др.
4.3
Трифенилметановые индикаторы
Трифенилметановые
индикаторы. Индикаторы
этой группы также часто применяются в кислотно-основном титровании. Все они
формально могут рассматриваться как производные трифенилметана. Из индикаторов
этой группы распространены фенолфталеины, сульфофталеины, анилинсульфофталеины,
бензеины, собственно трифенилметановые красители. Характер таутомерных
превращений фталеинов аналогичен описанным выше для фенолфталеина. К фталеинам
относятся α-нафтолфталеин, фенолфталеин, тимолфталеин и др. К
сульфофталеинам, содержащим сульфогруппу –SO3H в качестве
заместителя в ароматических ядрах, принадлежат брокрезоловый зелёный,
бромкрезоловый пурпуровый, брофеноловый синий, хлорфеноловый красный и др.
Сульфогруппа играет роль ауксохрома. Сульфофталеины обладают интенсивной
окраской и резким её изменением при переходе от одной формы индикатора к
другой. Различные индикаторы этой группы можно рассматривать в качестве
производных фенолового красного
Предполагается, что в
растворе феноловый красный претерпевает в зависимости от рН раствора
превращения по схеме:
Интервал перехода окраски
индикатора наблюдается в пределах рН от ~6, 8 (жёлтая) до ~8, 4 (красная). К
собственно трифенилметановым красителям относятся кристаллический фиолетовый,
малахитовый зелёный, метиловый фиолетовый, пентаметоксикрасный,
гексаметоксикрасный. Одним из индикаторов данной группы является
кристаллический фиолетовый (кристаллвиолет):
В водных растворах
кристаллический фиолетовый протонируется: к атомам азота двух ароматических
диметиламиногрупп последовательно присоединяются один или два протона в
зависимости от кислотности раствора с образованием зелёной, желтовато-зелёной и
оранжевой форм. Интервал перехода лежит в пределах изменения рН раствора от
~0,8 (зелёная окраска) до ~2, 6 (синяя окраска). Изменение окраски индикаторов
этой группы в водных растворах не очень резкое; они чаще применяются при
кислотно-основном титровании в неводных средах.
4.4 Нитроиндикаторы
Нитроиндикаторы представляют собой ароматические
нитропроизводные, например, паранитрофенол, который в растворе претерпевает превращения:
Интервал перехода лежит в
пределах рН от 5, 6 (бесцветный) до 7, 6 (жёлтый). К этой группе индикаторов
относятся также мета- и ортонит-рофенолы, динитрофенолы и некоторые другие.
4.5 Индикаторы
других структурных групп
Индикаторы других
структурных типов. Эта
групп включает все остальные индикаторы различного строения, не относящиеся к
вышеописанным, например лакмус, оксиновый синий, нейтральный красный,
индофенолы, экстракты растений и др. Из индикаторов данной группы наиболее
распространённым является лакмус. Обычно он применяется в виде лакмусовой
бумаги, которая в кислой среде окрашивается в красный цвет, а в щелочной – в
синий. Лакмус представляет собой органическое вещество синего цвета, которое
получают из лишайников в виде синего порошка. Частично растворим в воде и в
этаноле. Главный компонент лакмуса, обладающий индикаторными свойствами, -
азолитимин, его содержание в лакмусе составляет 4-5%.Интервал перехода лакмуса
как кислотно-основного индикатора лежит в пределах рН от 4, 5 до 8, 3; при этом
окраска изменяется из красной в синюю. Значение рТ≈7, 0. Кроме того, по
способу применения индикаторы можно разделить на внутренние и внешние.
Внутренние индикаторы добавляются непосредственно в титруемый раствор.
Подавляющее число кислотно-основных индикаторов – внутренние. Внешние
индикаторы находятся вне титруемого раствора. Примером может служить лакмусовая
бумага. В парах аммиака влажная лакмусовая бумага синеет. К внешним индикаторам
относится индикаторная бумага, предназначенная для приблизительного определения
значения рН раствора. Индикаторная бумага представляет собой полоски бумаги,
пропитанной различными индикаторами (ализарин, конго красный, синий и красный
лакмус и др.).
ЗАКЛЮЧЕНИЕ
Таким образом, как
показано выше, в аналитической химии немалую роль играет применение
органических реагентов в качественном, количественном анализах, кислотно-основном
титровании и других случаях. Качественный анализ имеет большое значение,
поскольку частные химические реакции на многие катионы и анионы применяются
постоянно в фармацевтическом анализе, фармакопейном анализе для контроля
подлинности лекарственных субстанций и компонентов лекарственных форм.
ИСПОЛЬЗУЕМАЯ
ЛИТЕРАТУРА
1. Основы аналитической химии. В 2-х
книгах под ред. академика РАН Ю.А. Золотова. М.: «Высшая школа», 1996г.
2. Аналитическая химия. В 2-х частях.
В.Д. Пономарев. М.: «Высшая школа», 1982г.
3. Аналитическая химия. В 2-х книгах.
Ю.Я. Харитонов. М.: «Высшая школа», 2001г.
4. Аналитическая химия. А.Я. Логинов,
А.Г. Воскресенский, И.С. Солодкин. М.: «Просвещение», 1973г.
5. Крешков. А.П. Основы аналитической
химии, II. т. 1-3, Москва, 1977г.
6. В.Г. Беликов. Фармацевтическая
химия. Пятигорск. 1996 г.
7. В.Д. Шаповалова. Фармацевтический
анализ лекарственных средств. Харьков, 1995 г.
8. Ф.Б. Коган. Методы идентификации
лекарственных препаратов. Киев, 1978 г.
9. Н.Н. Глущенко, Т.В. Плетнёва, В.А.
Попков. Фармацевтическая химия. Москва, 2004 г.