|
Нарезание
резьбы
|
|
|
|
|
|
112.
|
Отверстие  мм10Ra6.3Растачивание
|
|
|
|
|
13.
|
Резьба  м9
|
Ra 3,2
|
Сверление
Нарезание резьбы
|
|
|
14.
|
Отверстие  мм10Ra
6,3Черновое растачивание
|
|
|
|
.8
Выбор технологических баз
Выбор технологический баз целесообразно производить в порядке
обратном хронологии их использования, то есть базы для окончательных методов
обработки выбираются в первую очередь, затем - базы для промежуточной
обработки, и в последнюю очередь - базы для черновой обработки.
Выбор чистовых баз.
1. Выбираем чистовые базы при хонинговании отверстия 
мм.
В качестве баз будем использовать торцовые поверхности ножек
корпуса (так как при точной обработке в качестве базы следует выбирать
естественные технологические базы), отверстие 
(так как желательно базировать заготовки по наиболее точным
поверхностям), наружную цилиндрическую поверхность (так как использование
данной базы не будет препятствовать подводу инструмента).
Рисунок 1.4 - Схема базирования корпуса при хонинговании отверстия

мм
Точка 6 приложена к опорной базе лишает заготовку 1 степени
свободы: возможности поворота вокруг z.
Точки 1,2,3 приложены к установочной базе лишают заготовку 3
степеней свободы: возможности поворота вокруг x и y, возможности перемещения
вдоль z.
Точки 4,5 приложены к опорной базе лишают заготовку 2 степеней
свободы: перемещения вдоль x и y.
В качестве приспособления будем использовать специальное
приспособление в виде упора, съемного пальца (так как в качестве базы
используем обрабатываемое отверстие) и плоскости которое обеспечит быстрое и
надежное крепление заготовки. Использование данного приспособления позволит
обеспечить доступ инструмента и СОЖ в зону намеченной обработки, произвести
быструю установку и снятие заготовки.
. Выбираем чистовые базы при хонинговании отверстия 
мм.
В качестве баз будем использовать плоскую боковую поверхность
корпуса, плоскую поверхность ушка (так как желательно базировать заготовки по
наиболее точным поверхностям). плоскую поверхность ушка (так как использование
данной базы не будет препятствовать подводу инструмента).
Рисунок 1.5 - Схема базирования корпуса при хонинговании отверстия

мм
Точка 6 приложена к опорной базе лишает заготовку 1 степени
свободы: возможности поворота вокруг z
Точки 1,2,3 приложены к установочной базе лишают заготовку 3
степеней свободы: возможности поворота вокруг x и y, возможности перемещения
вдоль z.
Точки 4,5 приложены к опорной базе лишают заготовку 2 степеней
свободы: перемещения вдоль x и y,
В качестве приспособления будем использовать специальное
приспособление в виде упора, съемного пальца (так как в качестве базы
используем обрабатываемое отверстие) и плоскости которое обеспечит быстрое и
надежное крепление заготовки. Использование данного приспособления позволит
обеспечить доступ инструмента и СОЖ в зону намеченной обработки, произвести
быструю установку и снятие заготовки.
3. Выбираем чистовые базы при шлифовании торца упорного кольца.
В качестве баз будем использовать торцовые поверхности ножек
корпуса (так как при точной обработке в качестве базы следует выбирать
естественные технологические базы), отверстие
(так как желательно базировать заготовки по наиболее точным
поверхностям), наружную цилиндрическую поверхность (так как использование
данной базы не будет препятствовать подводу инструмента).
Рисунок 1.6 - Схема базирования корпуса при шлифовании торца
упорного кольца
Точка 6 приложена к опорной базе лишает заготовку 1 степени
свободы: возможности поворота вокруг z
Точки 1,2,3 приложены к установочной базе лишают заготовку 3
степеней свободы: возможности поворота вокруг x и y, возможности перемещения
вдоль z.
Точки 4,5 приложены к опорной базе лишают заготовку 2 степеней
свободы: перемещения вдоль x и y,
В качестве приспособления будем использовать специальное
приспособление в виде упора, пальца и плоскости которое обеспечит быстрое и
надежное крепление заготовки. Использование данного приспособления позволит
обеспечить доступ инструмента и СОЖ в зону намеченной обработки, произвести
быструю установку и снятие заготовки.
Выбор черновых баз.
1. Выбираем чистовые базы при сверлении черновом зенкеровании чистовом зенкеровании черновом
развертывании чистовом развертывании отверстия 
, сверлении черновом зенкеровании чистовом зенкеровании черновом
развертывании чистовом развертывании отверстия 
мм, фрезеровании выемки R30,3±0,3
мм, черновом точение 
мм, черновом точение
торца 
мм, фрезеровании
торца 
фрезеровании, чистовом фрезеровании торца упорного кольца, фрезеровании
чистовом, фрезеровании боковой поверхности 
сверление отверстия 
мм, нарезании резьбы 
м, сверление отверстия 
мм, нарезании резьбы 
м, черновом растачивании отверстие 
мм.
В качестве баз будем использовать наружные цилиндрические
поверхности, плоские поверхности ушек (так как при литье на них не образуется
литников и они получаются ровными и чистыми, так же эти поверхности вообще не
обрабатываются). При данном базировании будет соблюдаться принцип постоянства
баз.
Рисунок 1.7 - Схема базирования корпуса при сверлении черновом зенкеровании чистовом
зенкеровании черновом развертывании чистовом развертывании отверстия 
, сверлении черновом зенкеровании чистовом зенкеровании черновом
развертывании чистовом развертывании отверстия 
мм, фрезеровании выемки R30,3±0,3
мм, черновом точение 
мм, черновом точение
торца 
мм, фрезеровании
торца 
фрезеровании, чистовом фрезеровании торца упорного кольца, фрезеровании
чистовом, фрезеровании боковой поверхности 
сверление отверстия 
мм, нарезании резьбы 
м, сверление отверстия 
мм, нарезании резьбы 
м, черновом растачивании отверстие 
мм.
Точки 1,2,3 приложены к установочной базе лишают заготовку 3
степеней свободы: перемещения вдоль x и y, и возможности поворота вокруг z.
Точки 4,5 приложены к направляющей базе лишают заготовку 2
степеней свободы: возможности поворота вокруг x и y.
Точка 6 приложена к опорной базе лишает заготовку 1 степени
свободы: перемещения вдоль z.
В качестве приспособления будем использовать специальное
приспособление которое обеспечит быстрое и надежное крепление заготовки.
Использование данного приспособления позволит обеспечить доступ инструмента и
СОЖ в зону намеченной обработки, произвести быструю установку и снятие
заготовки.
1.9 Выбор и обоснование технологического маршрута
обработки детали
На черновой стадии обработки на первых переходах будут
фрезероваться боковая поверхность корпуса (получистовое и чистовое
фрезерование) и паз, а так же обработка отверстия под поршень (Сверление,
черновое зенкерование, чистовое зенкерование, черновое развертывание, чистовое
развертывание) и крепежные отверстия (сверление, нарезание резьбы). Это
позволит подготовить базы для последующей обработки отверстия под вал
коленчатый и торцовых поверхностей корпуса, глушительных отверстий. Потом
фрезеруем торцовые поверхности корпуса, обрабатываем отверстие под вал
коленчатый (Сверление, черновое зенкерование, чистовое зенкерование, черновое
развертывание, чистовое развертывание), крепежные отверстия (сверление,
нарезание резьбы), глушительные отверстия (фрезеруем отверстие с фоской)
обрабатываем резьбовое отверстие. На чистовой стадии улучшаем качество
поверхностей. Обрабатываем хонингованием отверстия под вал коленчатый,
отверстия под поршень. Шлифуем торец опорного кольца
На основании вышеперечисленных особенностей можно составить
последовательность переходов механической обработки:
. Фрезеруем боковую поверхность корпуса.
. Фрезеруем боковую поверхность корпуса на чисто.
. Фрезеруем паз.
. Сверлим отверстие.
. Зенкеруем на черно отверстие.
. Зенкеруем на чисто отверстие.
. Развертываем на черно отверстие.
. Развертываем на чисто отверстие.
9. Сверлим 4 отверстия 
. Нарезаем 4 резьбы М5-H6.
. Фрезеруем торцы ноже корпуса.
. Сверлим 2 отверстия 
. одновременно обтачиваем наружную цилиндрическую поверхность.
. Нарезаем резьбу М6-H6.
. Сверлим отверстие 
, одновременно обтачиваем наружную цилиндрическую поверхность.
. Зенкеруем на черно отверстие.
. Зенкеруем на чисто отверстие.
. Обрабатываем фаску.
. Фрезеруем на черно упорный торец.
. Фрезеруем на чисто упорный торец.
. Фрезеровать выемку R30±0,3 мм.
. Обрабатываем фаску.
. Развертываем на черно отверстие.
. Развертываем на чисто отверстие.
. Растачиваем 2 отверстия 
.
. Растачивая ступень 
. Сверлим 2 отверстия 
.
. Обрабатываем фаску.
. Нарезаем резьбу М5-H6.
. Хонинговать отверстие 
.
. Хонинговать отверстие
. Шлифовать упорный торец.
Объединяем переходы в операции и выбираем оборудование:
. Операция 005 - сверлильно-фрезерно-расточная (переходы
1-28)
Данные
переходы можно объединить в одну операцию, так как формирование данных
поверхностей можно произвести на одинаковом оборудовании, при одинаковой схеме
базирования и закреплении детали в одном приспособлении, что не затрудняет
доступ инструмента для обработки намеченных поверхностей. На данной операции
нам понадобится 22 инструмента. Для выполнения данный операции выбираем
многоцелевой станок MIKRON HSM 200U LP. Станок имеет мощность главного привода
8,5кВт. Габариты станка - 4000х2200х2650 мм. Наибольшие размеры обрабатываемых
поверхностей 160х160х200 мм. Емкость инструментального магазина 30 шт.
Остальные переходы являются чистовыми и их нельзя включать в
данную операцию так как они выполняются на специальном оборудовании.
. Операция 010 - Хонинговальная (переход 29)
Включает один переход - хонингование отверстия 
. Так как данная операция выполняется на хонинговальном, то данный
переход выносится в отдельную операцию. Для выполнения данный операции выбираем
хонинговальный станок SV-2010. Станок имеет мощность главного привода 7,5кВт.
Габариты станка -2175x2230x2900 мм. Диаметры обработки: 3-65 мм. Длина
обработки: 250 мм. Размер стола 175х175х150 мм.
3. Операция 015 - Хонинговальная (переход 30)
Включает один переход - хонингование отверстия 
Так как данная операция выполняется на хонинговальном станке, то
данный переход выносится в отдельную операцию. Для выполнения данный операции
выбираем хонинговальный станок SV-2010. Станок имеет мощность главного привода
7,5кВт. Габариты станка -2175x2230x2900 мм. Диаметры обработки: 3-65 мм. Длина
обработки: 250 мм. Размер стола 175х175х150 мм.
4. Операция 020 - Шлифовальная (переход 31).
Включает один переход - шлифовальние торца упорного кольца.
Так как данная операция выполняется на плоскошлифовальном станке, то данный
переход выносится в отдельную операцию. Для выполнения данный операции выбираем
плоскошлифовальный станок Proma PBP-170. Станок имеет мощность главного привода
1,6кВт. Габариты станка - 1000х700х830 мм. Размер стола 152х304х210 мм. Размер
шлифовального круга 180х13х31,75 мм.
. Операция 025 - промывка.
. Операция 030 - контроль.
.10 Разработка технологических операций
На этом этапе окончательно определяется состав и порядок
выполнения переходов в пределах каждой технологической операции, производится
выбор моделей оборудования, станочных приспособлений, режущего, измерительного
и вспомогательного инструмента.
Подробно разработаем выбор структуры технологической
операции: операция 005 - сверлильно-фрезерно-расточная.
Учитывая серийный тип производства, принимаем структуру
операции: по числу одновременно обрабатываемых заготовок - одноместная; по
числу применяемых инструментов - много инструментальная; по порядку выполнения
технологических переходов - последовательная.
Операция будет состоять из одного установа, так как при
выбранном способе базирования можно обработать все поверхности корпуса.
Операция включает в себя 3 позиции и 26 переходов:
Позиция 1:
Фрезерование боковой поверхности корпуса, Чистовое фрезерование
боковой поверхности корпуса, фрезерование паза, сверление отверстия, черновое
зенкерование отверстия, чистовое зенкерование отверстия, черновое развертывание
отверстия, чистовое развертывание отверстия, сверление (4 отверстия 
), нарезание резьбы (4 отверстий М5-H6).
Позиция 2
Фрезеровать торцы ступиц, сверлить 2 отверстия 
. одновременно обтачиваем наружную цилиндрическую поверхность
ступиц, нарезать две резьбы М6-H6, сверлить
отверстие 
. одновременно обтачиваем наружную цилиндрическую поверхность,
обрабатываем фаску.
Позиция 3
Фрезеровать торец опорного кольца, фрезеровать на чисто торец
опорного кольца, обработать фаску, фрезеровать выемку R30±0,3 мм, зенкеровать на черно отверстие, зенкеруем на чисто
отверстие, развертывать на черно отверстие, развертывать на чисто отверстие,
растачиваем 2 отверстия 
растачивая ступень 
мм, сверлить 2 отверстия 
. одновременно подрезаем фаску, обработать фаску, нарезать резьбу
М5-H6.
Выбор режущего инструмента.
В качестве инструмента для получистового фрезерования боковой
поверхности корпуса, будем использовать торцевую фрезу. Предпочтение отдаем
фрезам с МНП, так как это позволит менять режущие пластины, используя одну и ту
же державку. Форму пластин фрезы применяем пятигранную так как её можно
использовать 5 раз. Материал режущей пластины принимаем твердый сплав, так как
износостойкость твердых сплавов больше чем быстрорежущих сталей, а также
твердые сплавы работают при более больших скоростях резания, чем быстрорежущие.
Применяем фрезу с пластинами из твердого сплава марки ВК6. Пластины из сплава
ВК6 применяются для операций получистового фрезерования. Учитывая
вышесказанное, применяем фрезу 2214-0355 ГОСТ 26595-85 с пластиной PNMA-220408 ГОСТ 19048-80.
В качестве инструмента для чистового фрезерования боковой
поверхности корпуса, будем использовать торцевую фрезу с пластиной из твердого
сплава марки ВК4. По форме режущей пластины, державке и материалу, чистовая
фреза будет схожа с черновой. Различие будет лишь в точности изготовления
фрезы, так как при чистовой обработке нужно обеспечить малые допуски на размер.
Учитывая это, принимаем фрезу 2214-0355 ГОСТ 26595-85 с пластиной PNMA-220408 ГОСТ 19048-80.
Для фрезерования паза будем использовать концевую фрезу
2220-0182 ГОСТ 17025-71. В качестве материала можно принять быстрорежущую сталь
или твердый сплав. Твердые сплавы нетехнологичны из-за большой твердости,
изготовление цельных фрез очень дорого, к тому же они ограниченно шлифуются -
только алмазным инструментом. Поэтому используем относительно дешевую фрезу из
быстрорежущей стали Р6М5.
В качестве спирального сверла будем использовать сверло
2301-0023 ГОСТ 10903-77. В качестве материала для сверла можно принять
быстрорежущую сталь или твердый сплав. Твердые сплавы нетехнологичны из-за
большой твердости, поэтому изготовление цельных сверл очень дорого, к тому же
они ограниченно шлифуются - только алмазным инструментом. Поэтому используем
относительно дешевое спиральное сверло из быстрорежущей стали Р6М5.
В качестве чернового зенкера будем использовать зенкер
2320-2564. ГОСТ 12489-71. В качестве материала для зенкера можно принять
быстрорежущую сталь или твердый сплав. Твердые сплавы нетехнологичны из-за
большой твердости, поэтому изготовление цельных зенкеров очень дорого, к тому
же они ограниченно шлифуются - только алмазным инструментом. Поэтому используем
относительно дешевый зенкер из быстрорежущей стали Р6М5.
В качестве чистового зенкера будем использовать зенкер
2320-5694. ГОСТ 12489-71. В качестве материала для зенкера можно принять
быстрорежущую сталь или твердый сплав. Твердые сплавы нетехнологичны из-за
большой твердости, поэтому изготовление цельных зенкеров очень дорого, к тому
же они ограниченно шлифуются - только алмазным инструментом. Поэтому используем
относительно дешевый зенкер из быстрорежущей стали Р6М5.
В качестве черновой развертки будем использовать развертку
2363-3298 ГОСТ 1672-80. В качестве материала для развертки можно принять
быстрорежущую сталь или твердый сплав. Твердые сплавы нетехнологичны из-за
большой твердости, поэтому изготовление цельных разверток очень дорого, к тому
же они ограниченно шлифуются - только алмазным инструментом. Поэтому используем
относительно дешевую развертку из быстрорежущей стали Р6М5.
В качестве чистовой развертки будем использовать развертку
2363-3402 ГОСТ 1672-80. В качестве материала для развертки можно принять
быстрорежущую сталь или твердый сплав. Твердые сплавы нетехнологичны из-за
большой твердости, поэтому изготовление цельных разверток очень дорого, к тому
же они ограниченно шлифуются - только алмазным инструментом. Поэтому используем
относительно дешевую развертку из быстрорежущей стали Р6М5.
В качестве спирального сверла будем использовать сверло
2300-6551. ГОСТ 10902-77. В качестве материала для сверла можно принять
быстрорежущую сталь или твердый сплав. Твердые сплавы нетехнологичны из-за
большой твердости, поэтому изготовление цельных фасонных инструментов
невозможно или очень дорого, к тому же они ограниченно шлифуются - только
алмазным инструментом. Поэтому используем относительно дешевое спиральное
сверло из быстрорежущей стали Р6М5.
В качестве метчика будем использовать метчик 2621-2461 Н6
ГОСТ 3266-81. В качестве материала для метчика можно принять быстрорежущую сталь
или твердый сплав. Твердые сплавы нетехнологичны из-за большой твердости,
поэтому изготовление цельных фасонных инструментов невозможно или очень дорого,
к тому же они ограниченно шлифуются - только алмазным инструментом. Поэтому
используем относительно дешевый метчик из быстрорежущей стали Р6М5.
В качестве инструмента для чернового фрезерования торцев
ступиц, будем использовать торцевую фрезу. Предпочтение отдаем фрезам с МНП,
так как это позволит менять режущие пластины, используя одну и ту же державку.
Форму пластин фрезы применяем пятигранную так как её можно использовать 5 раз.
Материал режущей пластины принимаем твердый сплав, так как износостойкость
твердых сплавов больше чем быстрорежущих сталей, а также твердые сплавы
работают при более больших скоростях резания, чем быстрорежущие. Применяем
резец с пластиной из твердого сплава марки ВК6. Пластины из сплава ВК6
применяются для операций чернового фрезерования. Учитывая вышесказанное,
применяем фрезу 2214-0355 ГОСТ 26595-85 с пластиной PNMA-220408 ГОСТ 19048-80.
Для сверления отверстия и одновременного обтачивания наружной
поверхности ступицы будем использовать специальный инструмент. Состоящий из
спирального сверла 2301-3552. ГОСТ 10903-77 и токарного резца. В качестве
материала для сверла можно принять быстрорежущую сталь или твердый сплав.
Твердые сплавы нетехнологичны из-за большой твердости, поэтому изготовление
цельных фасонных инструментов невозможно или очень дорого, к тому же они
ограниченно шлифуются - только алмазным инструментом. Поэтому используем
относительно дешевое сверло из быстрорежущей стали Р6М5. Применяем резец с
трехгранной пластиной из твердого сплава марки ВК6. Пластины из сплава ВК6
применяются для операций чернового и получистового точения по корке при
неравномерном сечении среза и непрерывном резании, получистовом и чистовом
точении, точном точении. Учитывая вышесказанное, применяем резец с пластиной TNMM-220408 ГОСТ 19048-80.
В качестве метчика будем использовать метчик 2621-2489 Н6
ГОСТ 3266-81. В качестве материала для метчика можно принять быстрорежущую
сталь или твердый сплав. Твердые сплавы нетехнологичны из-за большой твердости,
поэтому изготовление цельных фасонных инструментов невозможно или очень дорого,
к тому же они ограниченно шлифуются - только алмазным инструментом. Поэтому
используем относительно дешевый метчик из быстрорежущей стали Р6М5.
Для сверления отверстия и одновременного обтачивания наружной
поверхности ступицы будем использовать специальный инструмент. Состоящий из
спирального сверла 2301-3607. ГОСТ 10903-77 и токарного резца. В качестве
материала для сверла можно принять быстрорежущую сталь или твердый сплав.
Твердые сплавы нетехнологичны из-за большой твердости, поэтому изготовление
цельных фасонных инструментов невозможно или очень дорого, к тому же они
ограниченно шлифуются - только алмазным инструментом. Поэтому используем
относительно дешевое сверло из быстрорежущей стали Р6М5. Применяем резец с
трехгранной пластиной из твердого сплава марки ВК6. Пластины из сплава ВК6
применяются для операций чернового и получистового точения по корке при
неравномерном сечении среза и непрерывном резании, получистовом и чистовом
точении, точном точении. Учитывая вышесказанное, применяем резец с пластиной TNMM-220408 ГОСТ 19048-80.
В качестве инструмента для чернового фрезерования торца
опорного кольца, будем использовать торцевую фрезу. Предпочтение отдаем фрезам
с МНП, так как это позволит менять режущие пластины, используя одну и ту же
державку. Форму пластин фрезы применяем пятигранную так как её можно использовать
5 раз. Материал режущей пластины принимаем твердый сплав, так как
износостойкость твердых сплавов больше чем быстрорежущих сталей, а также
твердые сплавы работают при более больших скоростях резания, чем быстрорежущие.
Применяем резец с пластиной из твердого сплава марки ВК6. Пластины из сплава
ВК6 применяются для операций чернового фрезерования. Учитывая вышесказанное,
применяем фрезу 2214-0355 ГОСТ 26595-85 с пластиной PNMA-220408 ГОСТ 19048-80.
В качестве инструмента для чистового фрезерования торца
опорного кольца, будем использовать торцевую фрезу с пластиной из твердого
сплава марки ВК4. По форме режущей пластины, державке и материалу, чистовая
фреза будет схожа с черновой. Различие будет лишь в точности изготовления
фрезы, так как при чистовой обработке нужно обеспечить малые допуски на размер.
Учитывая это, принимаем фрезу 2214-0355 ГОСТ 26595-85 с пластиной PNMA-220408 ГОСТ 19048-80.
Для фрезерования выемки R30±0,3 мм. будем
использовать специальную концевую фрезу D=30 мм. В качестве
материала можно принять быстрорежущую сталь или твердый сплав. Твердые сплавы
нетехнологичны из-за большой твердости, изготовление цельных фрез очень дорого,
к тому же они ограниченно шлифуются - только алмазным инструментом. Поэтому
используем относительно дешевую фрезу из быстрорежущей стали Р6М5.
В качестве зенковковки будем использовать зенковку 2353-0135
ГОСТ 14953-80. В качестве материала для зенковки можно принять быстрорежущую
сталь или твердый сплав. Твердые сплавы нетехнологичны из-за большой твердости,
поэтому изготовление цельных фасонных инструментов невозможно или очень дорого,
к тому же они ограниченно шлифуются - только алмазным инструментом. Поэтому
используем относительно дешевую зенковку из быстрорежущей стали Р6М5.
В качестве чернового зенкера будем использовать зенкер
2320-2584. ГОСТ 12489-71. В качестве материала для зенкера можно принять
быстрорежущую сталь или твердый сплав. Твердые сплавы нетехнологичны из-за
большой твердости, поэтому изготовление цельных фасонных инструментов
невозможно или очень дорого, к тому же они ограниченно шлифуются - только
алмазным инструментом. Поэтому используем относительно дешевый зенкер из
быстрорежущей стали Р6М5.
В качестве чистового зенкера будем использовать зенкер
2320-2585. ГОСТ 12489-71. В качестве материала для зенкера можно принять
быстрорежущую сталь или твердый сплав. Твердые сплавы нетехнологичны из-за
большой твердости, поэтому изготовление цельных фасонных инструментов
невозможно или очень дорого, к тому же они ограниченно шлифуются - только
алмазным инструментом. Поэтому используем относительно дешевый зенкер из
быстрорежущей стали Р6М5.
В качестве черновой развертки будем использовать специальную
развертку D=22,45
мм. В качестве материала для развертки можно принять быстрорежущую сталь или
твердый сплав. Твердые сплавы нетехнологичны из-за большой твердости, поэтому
изготовление цельных фасонных инструментов невозможно или очень дорого, к тому
же они ограниченно шлифуются - только алмазным инструментом. Поэтому используем
относительно дешевую развертку из быстрорежущей стали Р6М5.
В качестве чистовой развертки будем использовать специальную
развертку d=22,5
мм. В качестве материала для развертки можно принять быстрорежущую сталь или
твердый сплав. Твердые сплавы нетехнологичны из-за большой твердости, поэтому
изготовление цельных фасонных инструментов невозможно или очень дорого, к тому
же они ограниченно шлифуются - только алмазным инструментом. Поэтому используем
относительно дешевую развертку из быстрорежущей стали Р6М5.
Для растачивании глухого отверстия применяем специальный
расточной резец с трехгранной пластиной из твердого сплава марки ВК6. Пластины
из сплава ВК6 применяются для операций чернового и получистового точения по
корке при неравномерном сечении среза и непрерывном резании, получистовом и
чистовом точении, точном точении. Учитывая вышесказанное, применяем резец с
пластиной TNMM-220408 ГОСТ 19048-80.
Для растачивании ступени применяем расточной резец с
трехгранной пластиной из твердого сплава марки ВК6. Пластины из сплава ВК6
применяются для операций чернового и получистового точения по корке при
неравномерном сечении среза и непрерывном резании, получистовом и чистовом
точении, точном точении. Учитывая вышесказанное, применяем резец с пластиной TNMM-220408 ГОСТ 19048-80.
Для сверления отверстия и одновременного подрезания фаски
будем использовать специальный инструмент. Состоящий из спирального сверла
2301-3552 ГОСТ 10903-77 и токарного резца. В качестве материала для сверла
можно принять быстрорежущую сталь или твердый сплав. Твердые сплавы
нетехнологичны из-за большой твердости, поэтому изготовление цельных фасонных
инструментов невозможно или очень дорого, к тому же они ограниченно шлифуются -
только алмазным инструментом. Поэтому используем относительно дешевую развертку
из быстрорежущей стали Р6М5. Применяем резец с трехгранной пластиной из
твердого сплава марки ВК6. Пластины из сплава ВК6 применяются для операций
чернового и получистового точения по корке при неравномерном сечении среза и
непрерывном резании, получистовом и чистовом точении, точном точении. Учитывая
вышесказанное, применяем резец с пластиной TNMM-220408 ГОСТ 19048-80
В качестве зенковковки будем использовать зенковку 2353-0101
ГОСТ 14953-80. В качестве материала для зенковки можно принять быстрорежущую
сталь или твердый сплав. Твердые сплавы нетехнологичны из-за большой твердости,
поэтому изготовление цельных фасонных инструментов невозможно или очень дорого,
к тому же они ограниченно шлифуются - только алмазным инструментом. Поэтому
используем относительно дешевую зенковку из быстрорежущей стали Р6М5.
В качестве метчика будем использовать метчик 2621-2489 Н6
ГОСТ 3266-81. В качестве материала для метчика можно принять быстрорежущую
сталь или твердый сплав. Твердые сплавы нетехнологичны из-за большой твердости,
поэтому изготовление цельных фасонных инструментов невозможно или очень дорого,
к тому же они ограниченно шлифуются - только алмазным инструментом. Поэтому
используем относительно дешевый метчик из быстрорежущей стали Р6М5.
Выбор вспомогательного инструмента.
Для установки сверл спиральных, зенкеров, разверток, зенковки
имеющих конические хвостовики, нам понадобиться 12 переходных специальных
хвостовиков 352-6250-4050 и 12 специальные оправки 352-6250-4004-01, что
позволяет устанавливать данный осевой инструмент в конусное отверстие шпинделя
станка.
Для установки торцевых фрез, понадобится 2 оправоки 6220-0202
ГОСТ 13041-89, что позволяет устанавливать данный осевой инструмент в конусное
отверстие шпинделя станка.
Для установки специальных режущих инструментов, понадобится 3
специальные расточные оправки.
Выбор средств контроля.
После выполнения операции нужно произвести контроль детали.
При выборочном контроле, производится контроль, например, каждой десятой
детали.
Контроль размера отверстия будем использовать калибр пробку 
для линейного размера будем использовать глубиномер индикаторный.
Контроль отверстий 
. 
будем осуществлять с помощью пневмомикрометра STOTZ MSG-64K3. Резьбовые отверстия будем контролировать с помощью
калибров резьбовых. Диаметры цилиндрических поверхностей ступиц, глубины
ступеней на ступицах, отверстие 
мм будем контролировать с помощью штангенциркуля ШЦ-III-500-0,1 ГОСТ 166-89.
Выбор смазочно-охлаждающих средств.
Заготовка сделана из чугуна СЧ20, который обладает хорошим
коэффициентом обрабатываемости, а, следовательно, и удовлетворительным
тепловыделением, поэтому будем по возможности выбирать стандартную СОЖ (без
всевозможных дорогих примесей).
При обработке будем применять СОЖ на масляной основе
Виттол-100, 3-5%.
1.11 Определение припусков расчетно-аналитическим
методом
Для расчета припусков используем данные источника [6].
Расчет выполним для отверстия
Для компактного и наглядного представления хода расчетов их
промежуточные и окончательные результаты по мере их появления заносим в таблицу
1.6.
По приведенным переходам в разделе 1.7 определяем составляющие
минимальных припусков 
(высота неровностей профиля на предыдущем переходе) и 
(толщина дефектного поверхностного слоя на предшествующем
переходе) для поверхностей, получаемых после каждого перехода:
для поверхности после сверления Rz0=0,04
мм, h0=0,06 мм;
для поверхности после зенкерования Rz1=
мм, h1=
мм;
для поверхности после зенкерования Rz2=0,025
мм, h2=0,02 мм;
для поверхности после развертывания Rz3=0,01
мм, h3=0,01 мм;
для поверхности после развертывания Rz4=0,002
мм, h4=0,01 мм;
для поверхности после хонингования Rz5=0,0004
мм, h5=0,003 мм;
При расчете припуска на последующую обработку отверстия,
просверленного при не вращающейся заготовке, значение с0
определяется по формуле:

(1.13)
где 
смещение оси просверленного отверстия от номинального положения,
мкм (С0=20 мкм)

удельный увод оси просверленного отверстия, мкм/мм (Ду=1,3
мкм/мм)

длина отверстия, мм (l=39 мм)
Значения 
для остальных переходов определяем упрощенно по формуле:
, мм (1.14)
где 
суммарная погрешность формы и расположения поверхность после i-2 перехода.

коэффициент уточнения для i-1 перехода.
Определим погрешности установки заготовки в приспособление на
первом переходе по формуле:

(1.15)
где: 
погрешность базирования, вызванная неточностью размера базы;

погрешность базирования, вызванная неточностью формы и
шероховатостью базы;

погрешность закрепления точной заготовки;

.
Так как у заготовки нет предварительно выполненного отверстия
погрешность установки не будет влиять на величину припуска, на сверление,
зенкерование, развертывание.
Минимальные двухсторонние припуски для отдельных переходов
механической обработки на станках с автоматических циклах работы после смены
инструмента определяем по формуле:
где 
- погрешность позиционирования станка MIKRON HSM 200U LP 
для зенкерования
для зенкерования
для зенкерования
для развертывания
для хонингования
Максимальные размеры для каждого перехода определяем, начиная с
последнего перехода, формирующего размер готового отверстия детали.
для хонингования
где 
- номинальный диаметр обрабатываемой поверхности, указанный на
чертеже детали, мм;

- верхнее отклонение обрабатываемой поверхности, указанный на
чертеже детали, мм.
Для предыдущих переходов
Максимальный двухсторонний припуск для каждого перехода
мехобработки определяем по формуле:
Максимальные размеры для каждого перехода
где
- достижимый допуск (таблица 1.3)
Выполним проверку правильности арифметических расчетов припусков
по уравнению:
где 
допуск размера заготовки;

допуск размера детали.
Таблица 1. 3 - Составляющие припусков, предельные припуски и
размеры для переходов отверстия 
мм.
|
Номер перехода i
|
Наименование
перехода
|
Допуск ТAi, мм
|
Составляющие
минимального припуска, мм
|
Предельные
припуски, мм
|
Предельные
размеры, мм
|
|
|
|
|
|
|
|
2Zimin
|
2Zimax
|
Dimax
|
Dimin
|
|
0
|
Сверление
|
0,18
|
0,04
|
0,06
|
0,0545
|
-
|
-
|
-
|
14,306
|
14,126
|
|
1
|
Зенкерование
|
0,07
|
0,003
|
0,04
|
0,0212
|
0,010
|
0,31
|
0,42
|
14,616
|
14,546
|
|
2
|
Зенкерование
|
0,027
|
0,025
|
0,02
|
0,0083
|
0,010
|
0,18
|
0,223
|
14,796
|
14,769
|
|
3
|
Развертывание
|
0,011
|
0,01
|
0,01
|
0,0032
|
0,010
|
0,11
|
0,126
|
14,906
|
14,895
|
|
4
|
Развертывание
|
0,008
|
0,002
|
0,01
|
0,002
|
0,010
|
0,06
|
0,063
|
14,966
|
14,958
|
|
5
|
Хонингование
|
0,006
|
0,0004
|
0,003
|
0,0012
|
0,010
|
0,044
|
0,046
|
15,010
|
15,004
|
|
Предельные
общие припуски
|
|
|
-
|
-
|
|
0,704
|
0,878
|
-
|
-
|
На основе заполненной таблицы 1.3 составляем схему
расположения припусков, допусков и предельных размеров, представленную на
рисунке 1.8.
Рисунок 1.8 - Схема расположения припусков, допусков и предельных
размеров для отверстия 
мм
Расчет выполним для торца упорного кольца 
. Для компактного и наглядного представления хода расчетов, их
промежуточные и окончательные результаты по мере появления заносим в таблицу
1.4.
Определяем составляющие минимальных припусков 
(высота неровностей профиля на предыдущем переходе) и 
(толщина дефектного поверхностного слоя на предшествующем переходе)
для поверхностей, получаемых после каждого перехода:
для поверхности после литья 
для получистового фрезерования
для чистового фрезерования
для шлифования 
Для плоских торцов отливки, значение 
(суммарное отклонение расположения поверхностей на предыдущем
переходе) определяем по формуле:

, мкм (1.24)
где 
- удельная кривизна отливки, мкм/мм
d - диаметр обрабатываемого торца, мм
Значения 
для остальных переходов определяем упрощенно по формуле (1.14):
Определим погрешности установки заготовки в приспособление на
первом переходе по формуле (1.15).
Погрешность базирования 
, так как заготовка базируется в призму и на плоскость.
=0, так как для обработки всей партии будет использоваться один
экземпляр приспособления, и погрешность его изготовления можно компенсировать
при настройке станка. 
и 
при такой установке раздельно определить затруднительно, поэтому
их сумму 
, для установки на опорные пластины, при размере от основания до
верхней точки торца 12 мм.
Остаточная погрешность установки определяются по формуле:
Определим погрешности установки при установке заготовки в
приспособление на третем переходе по формуле (1.15).
Погрешность базирования 
, так как заготовка базируется в призму и на плоскость.
=0, так как для обработки всей партии будет использоваться один
экземпляр приспособления, и погрешность его изготовления можно компенсировать при
настройке станка. 
и 
при такой установке раздельно определить затруднительно, поэтому
их сумму 
, для установки на опорные пластины, при размере от основания до
верхней точки торца 39 мм.
Минимальные припуски для отдельных переходов механической
обработки на станках с ЧПУ определяем по формуле:
где 
- погрешность позиционирования станка MIKRON HSM 200U LP 
для получистового фрезерования
для чистового фрезерования
Минимальные припуски для отдельных переходов механической
обработки на станках определяем по формуле:

.
Максимальные размеры для каждого перехода определяем, начиная с
последнего перехода, формирующего размер готового отверстия детали.
для шлифования
где 
- номинальный диаметр обрабатываемой поверхности, указанный на
чертеже детали, мм;

- верхнее отклонение обрабатываемой поверхности, указанный на
чертеже детали, мм.
Для предыдущих переходов
Максимальный двухсторонний припуск для каждого перехода
мехобработки определяем по формуле:
Максимальные размеры для каждого перехода
где
- достижимый допуск (таблица 1.4)
Выполним проверку правильности арифметических расчетов припусков
по уравнению:
где 
допуск размера заготовки;

допуск размера детали.
Таблица 1. 4 - Составляющие припусков, предельные припуски и
размеры для торца 
|
Номер перехода i
|
Наименование
перехода
|
Допуск ТАi, мм
|
Составляющие
минимального припуска, мм
|
Предельные
припуски, мм
|
Предельные
размеры, мм
|
|
|
|
|
|
|
|
Zimin
|
Zimax
|
Аimin
|
Аimax
|
|
0
|
Литье в кокиль
|
1,8
|
0,1
|
0,3
|
0,0345
|
0,01
|
-
|
-
|
39,535
|
41,335
|
|
1
|
Получистовое
фрезерование
|
0,1
|
0,025
|
0,05
|
0,0134
|
0,01
|
0,524
|
2,22
|
39,01
|
39,11
|
|
2
|
Чистовое
фрезерование
|
0,039
|
0,0064
|
0,002
|
0,0052
|
0,01
|
0,128
|
0,191
|
38,88
|
38,919
|
|
3
|
Шлифование
|
0,025
|
0,0032
|
0,015
|
0,0032
|
0
|
0,083
|
0,094
|
38,8
|
38,825
|
|
Предельные
общие припуски
|
|
|
-
|
-
|
|
0,735
|
2,51
|
-
|
-
|
На основе заполненной таблицы 1.4 составляем схему
расположения припусков, допусков и предельных размеров, представленную на
рисунке 1.9.
Рисунок 1.9 - Схема расположения припусков, допусков и предельных
размеров торца упорного кольца 
мм.
1.12 Выявление и расчет технологической размерной цепи
В качестве исходного звена технологической подетальной размерной
цепи, используемой для оценки приемлемости техпроцесса мехобработки для
достижения требуемой точности детали, обычно принимается чертежный размер
детали, получаемой без совмещения измерительной и технологической баз. Размер 
мм. образуется на операции 005 при не совмещении технологической и
измерительной баз, поэтому этот размер принимаем в качестве исходного звена.
Замкнутость размерной цепи обусловлена тем, что величина исходного звена
является разностью координат двух его границ, заданных от начала одной и той же
системы координат, принятой для установления позиционных связей элементов
детали. Границами составляющего звена А1 будут служить верхняя
плоскость детали и нижняя плоскость ушек корпуса. Границами составляющего звена
А2 будут служить дно глушительного отверстия и нижняя плоскость ушек
корпуса. Получившаяся размерная цепь приведена на рисунке 1.10.
Рисунок 1.10 - Схема размерной цепи
После обработки получаем следующие размеры:

мм;

мм;

- Выбираем по таблицам точности [6] (размер 
получаем получистовым точением которое позволяет получить 10
квалитет точности, выбираем 
мм, размер 
получаем получистовым растачиванием которое позволяет получить 10
квалитет точности, выбираем
мм).
Величина замыкающего звена равна разности между суммой всех
увеличивающих звеньев и суммой всех уменьшающих звеньев цепи. Номинальный
размер замыкающего звена определим по формуле:

;
где: 
- сумма увеличивающих размеров составляющих звеньев;

- сумма уменьшающих размеров составляющих звеньев;

мм;
Рассчитаем максимально возможное положение замыкающего звена:

мм;
Рассчитаем минимально возможное положение замыкающего звена:

мм;
Рассчитаем допуск замыкающего звена:

мм;
Рассчитаем предельные отклонения замыкающего звена:

мм;

мм;
Замыкающий размер 
мм.
Сравнивая чертежный размер замыкающего звена (
мм) с расчетным (
мм) делаем вывод, что техпроцесс для получения данного размера
написан верно.
1.13 Определение режимов резания
Расчет режимов резания на два перехода производится по
эмпирическим формулам по методике, приведенной в литературе [4]:
. Определяем режимы резания для перехода 4 операции 005. На данном
переходе происходит сверление отверстия 
Глубина резания. При сверлении глубина резания равна:
где D - диаметр сверла.
Подача. При сверлении отверстий без ограничивающих факторов
выбираем максимально допустимую по прочности сверла подачу. При наличии
ограничивающих факторов подачу определяют умножением табличного значения подачи
на соответствующий поправочный коэффициент, приведённый в примечании к таблице.
Так как глубина отверстия 
и точность отверстия не превышает 12 квалитета принимаем подачу:
Скорость резания. Определим скорость резания Vрез по формуле:
где 
- поправочный коэффициент;
- диаметр обработки, мм; D = 16 мм;- период стойкости режущего
инструмента, мин.;
.- подача режущего инструмента, мм/об;
мм/об;, m, y - показатели степени, характеризующие параметры
резания; 

- коэффициент обрабатываемости,
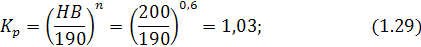
Коэффициент обрабатываемости определяем по следующей формуле:
где 
- коэффициент, характеризующий обрабатываемый материал;

- коэффициент, учитывающий инструментальный материал, 
;

- коэффициент, учитывающий глубину сверления, 
.
Коэффициент, характеризующий обрабатываемый материал, определяем
по формуле:


где 
показатель степени, 

- предел прочности, 
Определим крутящий момент:
где 
- крутящий момент, Н
м;

- поправочные коэффициенты; 
Определим осевую силу:

где 
- поправочные коэффициенты; 
Определение мощности резания:
где n - частота вращения шпинделя, 
Определение величины длины рабочего хода L:
При сверлении:
где 
- соответственно длина обработки и врезания, мм.;
Определение основного времени То:
При сверлении:
где: S - минутная подача, мм/об;
. Определяем режимы резания для растачивания отверстия 
на переходе 24 операции 005.
Глубину резания принимаем равную припуску на обработку:=1,50
мм
Подачу S назначаем в зависимости от глубины резания и
обрабатываемого материала по таблице 11 [4]:=0,4 мм/об.
Скорость резания V, м/мин рассчитываем по формуле:

(1.35)
где CV - коэффициент скорости резания назначаем по таблице 17
[4];= 292;
х, y, m - показатели степеней назначаем по таблице 17 [4];
х = 0,15; y = 0,2; m = 0,2;- стойкость инструмента;
Т = 60 мин;

- общий поправочный коэффициент на скорость резания, учитывающий
фактические условия резания;
Коэффициент обрабатываемости определяем по формуле 
где 
- коэффициент, характеризующий обрабатываемый материал;

- коэффициент, учитывающий инструментальный материал, 
;

- коэффициент, учитывающий состояние поверхности заготовки, 
.
Коэффициент, характеризующий обрабатываемый материал, определяем
по формуле:
где 
показатель степени, 

- предел прочности, 
Частота вращения шпинделя;
Сила резания:

(1.37)
где 
- поправочные коэффициенты; 
; (1.38)
- коэффициенты, учитывающие влияние геометрических параметров
режущей части инструмента;

;
Эффективная мощность резания:
(1.39)
Длина рабочего хода инструмента= 24 мм. (1.40)
Определяем основное время То:
Режимы резания для остальных операций приведем в таблицу 1.5
Таблица 1.5 - Сводная таблица режимов резания
|
Операция
|
Переход
|
Т, мин
|
t, мм
|
S, мм/об
|
n, мин-1
|
V, м/мин
|
N, кВт
|
L, мм
|
Т0,
мин
|
|
005
|
Фрезерование
боковой поверхности корпуса
|
180
|
1,2
|
1
|
1082
|
170
|
0,9
|
50
|
0,05
|
|
Фрезерование
боковой поверхности корпуса на чисто
|
180
|
0,5
|
0,8
|
1082
|
170
|
0,9
|
50
|
0,06
|
|
Фрезерование
паза
|
80
|
0,7
|
0,15
|
823
|
93,3
|
0,8
|
7
|
0,05
|
|
Сверление
|
60
|
8
|
0,47
|
517
|
26
|
1,6
|
35
|
0,15
|
|
Черновое
зенкерование
|
30
|
2
|
0,9
|
480
|
30
|
1,4
|
35
|
0,08
|
|
Чистовое
зенкерование
|
30
|
1
|
0,8
|
434
|
33
|
1,4
|
35
|
0,1
|
|
Черновое
развертывание
|
120
|
0,22
|
2,7
|
397
|
28
|
0,9
|
35
|
0,03
|
|
Чистовое
развертывание
|
120
|
0,05
|
1,9
|
450
|
21,2
|
0,98
|
35
|
0,14
|
|
Сверление
|
50
|
2,1
|
0,27
|
320
|
59
|
1,3
|
10
|
0,11
|
|
Нарезание
резьбы
|
90
|
0,4
|
0,8
|
200
|
22
|
0,24
|
8
|
0,05
|
|
Фрезерование
торцев
|
80
|
1,5
|
1,1
|
1082
|
160
|
0,8
|
22
|
0,02
|
|
Сверление
|
60
|
2,5
|
0,27
|
480
|
27
|
1,2
|
19
|
0,13
|
|
Нарезание
резьбы
|
90
|
0,5
|
1
|
250
|
22
|
0,3
|
15
|
0,06
|
|
Сверление,
обтачивание
|
60
|
4,5
|
0,29
|
490
|
1,3
|
39
|
0,27
|
|
Подрезаем фаску
|
60
|
1
|
0,4
|
800
|
90
|
1,1
|
1
|
0,003
|
|
Фрезерование
торца
|
180
|
1,5
|
1
|
1082
|
170
|
0,9
|
23
|
0,02
|
|
Чистовое
фрезерование торца
|
180
|
1,5
|
1
|
1082
|
170
|
0,9
|
23
|
0,02
|
|
Фрезеровать
цилиндр. поверхность
|
120
|
2
|
0,15
|
730
|
130
|
0,77
|
35
|
0,3
|
|
Подрезаем фаску
|
60
|
1
|
0,4
|
800
|
90
|
1,1
|
1
|
0,003
|
|
Черновое
зенкерование
|
30
|
2
|
0,9
|
416
|
26
|
1,2
|
39
|
0,1
|
|
Чистовое
зенкерование
|
30
|
1
|
0,9
|
420
|
27
|
1,2
|
39
|
0,1
|
|
Черновое
развертывание
|
120
|
0,22
|
2,4
|
392
|
25
|
0,8
|
39
|
0,04
|
|
Чистовое
развертывание
|
120
|
0,05
|
1,7
|
450
|
22
|
0,7
|
39
|
0,05
|
|
Черновое
растачивание отверстия
|
60
|
1,5
|
0,4
|
4130
|
363
|
3,45
|
24
|
0,014
|
|
Черновое
растачивание отверстия
|
60
|
1,5
|
0,4
|
4130
|
363
|
3,45
|
1,5
|
0,001
|
|
Сверление,
подрезание фаски
|
60
|
2,1
|
0,27
|
320
|
59
|
1,3
|
11
|
0,12
|
|
Подрезаем фаску
|
60
|
2
|
0,6
|
500
|
22
|
0,75
|
2
|
0,007
|
|
Нарезание резьбы
|
90
|
5,5
|
0,8
|
250
|
23
|
1,1
|
11
|
0,06
|
|
010
|
Хонингование
|
40
|
0,001
|
0,002
|
720
|
Vок=50
|
2,1
|
30
|
1,3
|
|
|
|
|
|
|
Vвп=15
|
|
|
|
|
015
|
Хонингование
|
40
|
0,001
|
0,002
|
1060
|
Vок=50
|
2,3
|
39
|
1,6
|
|
|
|
|
|
|
Vвп=15
|
|
|
|
|
020
|
Плоское
шлифование
|
45
|
0,1
|
0,03
|
nд=250
|
Vд=43,1
|
1,3
|
23
|
0,14
|
|
|
|
|
|
nк=1000
|
Vк=2100
|
|
|
|
1.14 Определение технических норм времени на
операции
Расчёт норм времени проводим подробно для
сверлильно-фрезерно-расточной операции 005 по данным источника [5].
В условиях серийного производства определяется норма
штучно-калькуляционного времени:
где 
- подготовительно-заключительное время, мин;

- количество деталей в партии, шт.;

- норма штучного времени.
Для станков с ЧПУ норма штучного времени определяется по следующей
формуле:
где
- время цикла автоматической работы станка по программе, мин;

вспомогательное время работы станка по программе, мин;

поправочный коэффициент на время выполнения ручной вспомогательной
работы в зависимости от партии обрабатываемых деталей (1,07);

время технического и организационного обслуживания рабочего места,
%;

- время перерывов на отдых и личные потребности, %;
где 
- время автоматической работы станка по программе, мин;

- машинно-вспомогательное время, мин.
Значения основного времени и машинно-вспомогательного приведены в
таблице 1.6.
Таблица 1.6 - Время автоматической работы станка по программе
|
Участок
траектории или движения номера позиций инструментов предыдущего и рабочего
положений
|
Приращение по
оси Z
|
Приращение по
оси Х
|
Приращение по
оси Y
|
Длина i-го участка траектории L1, мм
|
Минутная подача
на i-м участке Smi, мм/мин
|
Основное время
автоматической работы станка по программе T0, мин
|
Машинно-вспомогательное
время Тмв, мин
|
|
Переход 1
|
|
Инструмент №2 -
инструмент №1
|
-
|
-
|
|
-
|
-
|
-
|
0,015
|
|
0-1
|
-21,5
|
0
|
-51
|
55,3
|
4000
|
-
|
0,013
|
|
1-2
|
0
|
0
|
-102
|
102
|
1082
|
0,09
|
-
|
|
2-0
|
21.5
|
0
|
51
|
55,3
|
4000
|
-
|
0,013
|
|
Переход 2
|
|
Инструмент №1 -
инструмент №1
|
|
|
|
|
|
|
-
|
|
0-1
|
-22
|
0
|
-51
|
55,5
|
4000
|
-
|
0,013
|
|
1-2
|
0
|
0
|
102
|
102
|
866
|
0,11
|
-
|
|
2-3
|
22
|
0
|
-51
|
55,5
|
4000
|
-
|
0,013
|
|
Переход 3
|
|
Инструмент №1 -
инструмент №2
|
|
|
|
|
|
|
0,015
|
|
0-1
|
-33
|
-3,5
|
14
|
36
|
4000
|
-
|
0,008
|
|
1-2
|
-5
|
0
|
0
|
5
|
124
|
0,04
|
-
|
|
2-3
|
0
|
7
|
0
|
7
|
124
|
0,05
|
-
|
|
3-0
|
38
|
-3,5
|
-14
|
37
|
4000
|
-
|
0,009
|
|
|
|
|
|
|
|
|
|
Остальные переходы рассчитываем аналогично.
Суммарное значение T0=9,280 мин. Тмв=0,617 мин.
Определяем вспомогательное время на данной операции:
где 
- время на установку и снятие заготовки, мин;

вспомогательное время на управление станком, мин;

время на измерение, мин.
Заготовка устанавливается в специальное зажимное приспособление.
При массе детали до 8 кг,
.
Вспомогательное время на прием управления включает в себя время на
включение и выключение станка (0,04 мин.), проверку возврата инструмента в
заданную точку после обработки (0,15 мин.); установку и снятие щитка,
предохраняющего от забрызгивания эмульсией (0,03 мин.).
Время на измерение равно сумме времен измерения каждой
поверхности, обрабатываемой на данной операции:
Поверхности детали, измеряемы после первого установа:
· Внутренняя цилиндрическая поверхность 
будем измерять калибр-пробкой, 
· Внутренняя цилиндрическая поверхность 
будем измерять калибр-пробкой, 
· Наружная цилиндрическая поверхность 
будем измерять калибр-скобой, 
· Наружная цилиндрическая поверхность 
будем измерять калибр-скобой, 
· Резьба М6-6Н будем измерять калибром резьбовым 
;
· Резьба М5-6Н будем измерять калибром резьбовым 
;
· Глубину отверстия 
будем измерять глубиномером 
;
· Расстояние между резьбовыми отверстиями М5-6Н будем измерять
колибром комплексным 
· Радиус выемки R=30 мм будем
измерять шаблоном 
;
Суммарное время измерения на операции:
Так как 
намного больше 
(9,897 мин. > 0, 99 мин.), то при обработке одной детали можно
параллельно производить контроль второй, поэтому время на измерение не
учитываем как составляющую вспомогательного времени (
будет наложена на 
).
Сумма времени автоматической работы станка и вспомогательного
времени называется оперативным временем. Определяем оперативное время:
Время на обслуживание рабочего места, личные потребности и отдых:
где 
затраты времени на обслуживание рабочего места и отдых в процентах
от оперативного времени
.
Определяем подготовительно-заключительное время.
Норма подготовительно-заключительного времени:
мин. - получить наряд, чертёж, технологическую документацию,
режущий и вспомогательный инструмент, контрольно-измерительный инструмент,
заготовки и сдать их после окончания обработки партии деталей;
,0 мин. - инструктаж мастера;
,0 мин. - ознакомиться с работой, чертежом, технологической
документацией, осмотреть заготовки;
,5 мин. - установить и снять патрон поводковый;
,15 мин. - установить исходные режимы станка;
,5 мин. - установить и снять кулачки у инерционного
(поводкового) патрона;
мин. - установить и снять инструментальный блок или отдельный
режущий инструмент (установить 2 инструмента);
,4 мин. - ввести программу в память системы с ЧПУ с
программоносителя;
,5 мин. - установить исходные координаты X и Y (настроить нулевое
положение).
Размер партии:
где: 
;

.
Значения времени для остальных операций сведем в таблицу 1.7.
Таблица 1.7 - Сводная таблица технических норм времени, мин
|
N операции
|
Наименование
операции
|
То
|
Тв
|
Тв
|
Топ
|
Тоб
|
Тшт
|
Тпз
|
Тштк
|
Топ
|
Тизм
|
|
|
|
|
|
|
|
005
|
сверлильно-фрезерно-расточная
|
9,897
|
0,28
|
0,22
|
-
|
0,535
|
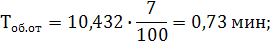
10,432
|
0,73
|
11,162
|
28,05
|
11,233
|
|
010
|
Хонинговальная
|
1,3
|
0,15
|
0,22
|
0,18
|
0,55
|
1,85
|
0,13
|
1,98
|
15,5
|
2,01
|
|
015
|
Хонинговальная
|
1,6
|
0,15
|
0,20
|
0,17
|
0,52
|
2,12
|
0,14
|
2,26
|
15,5
|
2,29
|
|
020
|
Плоскошлифовальная
|
0,81
|
0,15
|
0,18
|
0,23
|
0,56
|
1,37
|
0,09
|
1,46
|
15,4
|
1,5
|
1.15 Определение необходимого количества
оборудования и его загрузки
Количество и загрузка оборудования, требуемого для выполнения
операций, определяют в следующем порядке:
Расчетное количество оборудования (рабочих мест) для
выполнения i-ой
операции:
где Тшткi - штучно-калькуляционное
время i-той
операции, мин;
N - годовой объем выпуска данной детали;
F = 4015 - годовой фонд времени работы оборудования в две
смены, час;
Kв = 1,1…1,3 - коэффициент выполнения норм времени.
Принятое количество оборудования (рабочих мест) Pin получают, округляя
расчетное число Pip до ближайшего большего целого.
Коэффициент загрузки i-го рабочего места
выполнением i-той
операции в течение года, при объеме выпуска заданной детали:
Расчетный коэффициент загрузки 
не должен превышать нормативного значения 
(
- для серийного производства).
Годовой объем выпуска детали «Корпус СТ.178000.150» N = 20000 шт.
Подставив численные значения в формулы (1.48) и (1.49), получим:
Операция 005:
Операция 010:
Операция 015:
Операция 020:
Так как загрузка хонинговальных станков SV-2010 не достигает
нормированного значения (
), то догружаем наиболее загруженные станки другими токарными
операциями из техпроцесса. Операции 010, 015 будут выполняться на одном
хонинговальном станке SV-2010.
Тогда коэффициент загрузки станка равен:

;
Средний коэффициент загрузки 
:

;
Расчетное и принятое количество оборудования, коэффициент загрузки
оборудования для каждой операции сведем в таблицу 1.8.
Таблица 1.8 - Расчетное и принятое количество оборудования,
коэффициент загрузки оборудования для каждой операции
|
№ операции
|
Наименование
операции
|
Модель станка
|
Pip
|
Pin
|
|
|
005
|
сверлильно-фрезерно-расточная
|
MIKRON HSM 200U
LP
|
0,84
|
1
|
0,84
|
|
010
|
Хонинговальная
|
SV-2010
|
0,32
|
1 1
|
0,32
|
|
015
|
Хонинговальная
|
|
|
|
|
|
020
|
Плоскошлифовальная
|
Proma PBP-170
|
0,112
|
1
|
0,112
|
Так как загрузка хонинговальных станков SV-2010 не достигает
нормированного значения (
), то догружаем наиболее загруженные станки другими токарными
операциями из техпроцесса. Операции 010, 015 будут выполняться на одном
хонинговальном станке SV-2010.
На основе данных таблицы 1.8 строим график загрузки
оборудования (Рисунок 1.11).
Рисунок 1.11 - График загрузки оборудования
1.16 Уточнение типа производства по коэффициенту
закрепления операций
В соответствии с ГОСТ 3.1119-83 тип производства
характеризуется коэффициентом закрепления операций:

, (1.50)
где 
- суммарное число операций над одной или разными деталями,
выполняемых в данном производственном подразделении за одну смену в течение
планового периода;

- явочное число основных производственных рабочих в одной смене в
данном подразделении.
Общее число операций, которые можно выполнять в течение года на i-том рабочем месте, при условии, что эти операции имеют ту
же трудоемкость определяем по формуле:

, (1.51)
Подставив численные значения в формулу (1.51), получим:
операция 005:

;
операции 010,015:

;
операции 020:

;
Значения Пi сведем в
таблицу 1.9 вместе с коэффициентами загрузки и количеством оборудования.
Таблица 1.9 - Значения Пi вместе с коэффициентами загрузки и количеством оборудования
|
№ операции
|
Наименование
операции
|
Модель станка
|
Пi
|
Pin
|
|
|
005
|
сверлильно-фрезерно-расточная
|
MIKRON HSM 200U
LP
|
0,95
|
1
|
0,84
|
|
010 015
|
Хонинговальная
|
SV-2010
|
2,5
|
1
|
0,32
|
|
020
|
Плоскошлифовальная
|
Proma PBP-170
|
7,14
|
1
|
0,112
|
Общее количество операций для всех принятых рабочих мест:
Явочное число основных производственных рабочих приближенно
принимают равным суммарному числу принятых рабочих:
Подставив численные значения в формулу (1.52), получим:
Рассчитаем Кз.о по (1.50) и уточним тип
производства:
По ГОСТ 3.1108-83 полученный коэффициент закрепления соответствует
крупносерийному типу производства (
Предварительный выбор производства для изготовления требуемого
количества деталей в год (N = 20000 шт.)
неверен.
2. Расчет и проектирование приспособление для
контроля глубины 24±0,3 мм
Проектируемое приспособление применяется для контроля глубины
отверстия Æ31 мм (измеряется размер 24±0,3 мм) у детали «Корпус»
СТ.178000.150.
Выбирая схему измерения, отдаем предпочтение приспособлению,
которое будет устанавливаться на контролируемую деталь по торцу Æ38 мм, который является
измерительной базой для контролируемого параметра точности. Поскольку доступ средства
измерения ко второй границе контролируемого размера затруднен (отверстие имеет
относительно небольшой диаметр) в конструкции приспособления предусмотрен
передаточный механизм (удлинитель), передающий измерительное перемещение от
контролируемой поверхности к измерительному преобразователю. Для обеспечения
стабильного контакта передаточного механизма с поверхностью детали
предусмотрена пружина, создающая измерительное усилие.
Форму измерительного наконечника удлинителя при контроле
размеров принимают плоской. Это упрощает изготовление наконечника и позволяет
снизить требования к точности положения наконечника относительно линии
измерения. В нашем случае минимизируется влияние на точность контроля зазоров в
направляющих удлинителя.
Контрольное приспособление состоит из корпуса, который, как
уже указывалось, своей опорной плоской поверхностью устанавливается на
контролируемую деталь. В корпусе с помощью разрезной втулкой, поджимаемой
винтом, закрепляется индикатор. В корпусе также установлен подпружиненный
измерительный преобразователь (удлинитель).
Перед началом измерений приспособление предварительно
настраивается на контролируемый размер 24±0,3 мм по эталонной детали (индикатор
устанавливается на ноль).
В процессе измерений приспособление устанавливается на торец
детали Æ38 мм. При этом удлинитель касается дна отверстия и передает
измерительное перемещение на индикатор. Отклонение стрелки индикатора от
нулевого положения указывает значения контролируемого размера. Деталь считается
годной, если отклонение показаний индикатора от нулевого положения в любую из
сторон не превысит 0,3 мм.
Измерение выполняется в нескольких местах, тем самым
обеспечивается большая достоверность результатов контроля.
Выполним расчет контрольного приспособления на точность.
Действительное значение погрешности измерения определяется по
формуле
, (2.1)
Составляющие погрешности измерения
1. Погрешность базирования еб. В рассматриваемой
конструкции приспособления базирование осуществляется непосредственно по
поверхности, являющейся измерительной базой для контролируемого размера (торец Æ38 мм). В этом случае
рассматривается погрешность базирования связанная с шероховатостью базовой
поверхности детали. Торец Æ38 мм имеет шероховатость Ra6,3 (Rz равно 25 мкм).
2. Погрешность закрепления ез равна 0, поскольку
заготовка не закрепляется.
. Погрешность износа установочных элементов
приспособления еи. Рассматриваем износ опорной площадки корпуса, которой
приспособление устанавливается на заготовку.
Для плоской поверхности установочного элемента, выполненного
из закаленной стали 45, погрешность определим по формуле
, (2.2)
при годовой программе выпуска N = 20000 шт., коэффициенте в = 0,003 и числе настроек приспособления
на контролируемый размер n = 12 в течении
года погрешность составит
мкм
4. Погрешность положения установочных элементов во
время измерительных движений епу. Как уже указывалось, в процессе контроля
глубины отверстия измерения будут производиться в нескольких местах.
Базирование приспособления на детали производится по плоскости, поэтому в
каждой из позиций измерения приспособление будет занимать вполне определенное
положение, и данная погрешность равна нулю.
5. Погрешность передачи измерительного сигнала от
измеряемой поверхности до измерительного преобразователя еп. Как уже
указывалось, при плоском измерительном наконечнике удлинителя данная
погрешность минимальна. Принимаем ее равной нулю.
. Погрешность измерительного преобразователя еип, для
используемого в приспособлении индикатора часового типа ИЧ-5 ГОСТ 577-73 с
ценой деления шкалы 0,01 мм погрешность для прибора 1 класса точности
составляет 0,016 мм.
. Погрешность деформаций от измерительной силы ес.
Принимаем данную погрешность равной нулю, поскольку деформации контролируемой
поверхности под действием измерительной силы незначительны (колебание
измерительного усилия, создаваемого пружиной удлинителя невелико, поскольку
деформация пружины при измерении практически не меняется).
. Погрешность отсчета показаний ео, принимаем равной
половине цены деления шкалы средства измерения, то есть 0,005 мм.
. Погрешность в результате температурных деформаций
ет, принимается равной 10% от суммы всех вышерассмотренных погрешностей.
мм
В итоге действующее значение погрешности измерения составит
мм
Точность измерений будет обеспечена, если действительное значение
погрешности измерения в процессе контроля, не будет превышать предельно
допустимой величины. Допустимая погрешность измерения составляет 25% от допуска
на контролируемый параметр точности, в нашем случае для размера 24±0,3 мм
принимаем 0,15 мм.
Рассчитанное значение погрешности меньше допустимого значения,
следовательно, измерения будут проводиться с достаточной точностью.
Заключение
В курсовом проекте дано описание детали Корпус СТ.178000.150,
указаны конструктивные особенности и характеристика данной детали, произведен
анализ служебного назначения детали, отработка её на технологичность, и
обоснован выбор метода получения заготовки с указанием коэффициента
использования материала. Разработан технологический процесс изготовления
детали. Установлена последовательность переходов, дано обоснование выбора
технологических баз, выполнены аналитические расчеты припусков и режимов
резания на две операции механической обработки. Произведен выбор типов станков
и определены коэффициенты их загрузки. Также сформирована техническая
документация на разработанный технологический процесс.
Спроектировано измерительное приспособление для контроля глубины 
Список используемых источников
1. Технология машиностроения. Курсовое
проектирование. Под редакцией М.М. Кане, В.К. Шелега. - Мн.: Выш. шк., 2013. - 311 с.
2. http://mojazarplata.by/main/minimalka/bpm доступ от 15.10.2014
3. Методические указания к практической работе
«Выявление технологических размерных цепей и их расчет методом максимума-минимума
и теоретико-вероятностным методом» по дисциплине «Основы технологии
машиностроения» для студентов специальности 36 01 01 «Технология
машиностроения» / Сост. О.А. Медведев. - Брест.: БрГТУ, 2012. - 43 с.
. Справочник технолога-машиностроителя. В 2-х
т. / Под ред. А.М. Дальского. - М.: Машиностроение, 2003. - Т.2.
5. Общемашиностроительные нормативы времени
и режимов резания для нормирования работ, выполняемых на универсальных и
многоцелевых станках с ЧПУ. Нормы режимов резания. - М.: Экономика, 1990. - Ч.
2.
. Методические указания к практической
работе «Определение припусков расчётно-аналитическим методом» по дисциплине
«Основы технологии машиностроения» для студентов специальности 36 01 01
«Технология машиностроения» и 36 01 03 «Технологическое оборудование
машиностроительного производства» / Сост. О.А. Медведев. - Брест.: БрГТУ, 2010.
- 47 с.
. Антонюк В.Е. Конструктору станочных
приспособлений. Справочное пособие. - Мн.: Выш. шк., 1993. - 400 с.
. Иванов М.Н. Детали машин. Учебник для
вузов. - 3-е изд., доп. и перераб. - Мн.: Выш. шк., 1976. - 399 с.
. ГОСТ 13766-86.
10. Справочник технолога - машиностроителя. / Под
ред. А.Г. Косиловой и Р.К. Мещерякова. - М.: Машиностроение, 1985. - Т.1.