|
Механические свойства:
|
|
|
в
|
- Предел кратковременной
прочности , [МПа]
|
|
|
T
|
- Предел пропорциональности
(предел текучести для остаточной деформации), [МПа]
|
|
|
5
|
- Относительное удлинение
при разрыве , [ % ]
|
|
|
|
- Относительное сужение , [
% ]
|
|
|
KCU
|
- Ударная вязкость , [ кДж
/ м2]
|
|
|
HB
|
- Твердость по Бринеллю ,
[МПа]
|
|
|
Физические свойства:
|
|
T
|
- Температура, при которой
получены данные свойства , [Град]
|
|
E
|
- Модуль упругости первого
рода , [МПа]
|
|
|
- Коэффициент
температурного (линейного) расширения (диапазон 20o - T ) , [1/Град]
|
|
|
- Коэффициент теплопроводности
(теплоемкость материала) , [Вт/(м·град)]
|
|
|
- Плотность материала ,
[кг/м3]
|
|
C
|
- Удельная теплоемкость
материала (диапазон 20o - T ), [Дж/(кг·град)]
|
|
R
|
- Удельное
электросопротивление, [Ом·м]
|
|
|
|
|
|
Цилиндрические отверстия диаметром 8,1; 8,5, выполненные по 9 квалитету
(Н9), можно выполнить по 10 квалитету, так как в корпус разъема будет
вставляться тело разъема, выполненное из пластмасс. Следовательно, такая
точность не нужна.
2. Выбор метода
получения заготовки
Заготовки для деталей данного типа обычно изготавливают методами проката
(горячекатаного прутка) или отливки, получаемой методом литья по выплавляемым
моделям. Выбор того или иного метода будем осуществлять исходя из стоимости
заготовки. Для этого определим массу детали и, для каждого случая, массу и
стоимость заготовки:
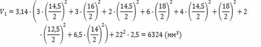
Определение массы детали
V1 - объем детали без учета отверстий и
фрезеруемых плоскостей
V2 - объем полостей

Полученный объем детали
Массу детали найдем по формуле m = ρ*V, где ρ - плотность латуни (8,5 г/см3)
Определение припуска и массы заготовки, изготовленной методом
проката
При получении заготовки методом проката будем использовать калиброванный
квадратный горячекатаный пруток со стороной 22-0,28. Припуски на
заготовку по табл. П.2.4.(ч.1 В.Г.Грановский) возьмем на длину равным 2,5 мм,
т.е. lзаг= 32,5мм.
Определение припусков и массы заготовки, изготовленной
методом литья
При получении заготовки методом литья в песчаную форму припуски на
заготовку по табл. П.2.2.(ч.1 В.Г.Грановский) будут равны 2 мм на все размеры.

Определение стоимости заготовок, полученных методами проката
и литья. Если деталь изготавливается из
проката, затраты на заготовку определяются по ее массе и массе сдаваемой
стружки
где M - масса заготовки, кг; Si - цена 1 кг материала заготовки,
руб; m - масса готовой детали, кг; Sотх - цена 1 тонны отходов, руб.
Стоимость материала заготовки согласно данным таблицы П.3.1 (ч.1
В.Г.Грановский) равна S1
= 1160 руб/т.
Стоимость отходов при механической обработке стружки согласно таблице П.3.2
(ч.1 В.Г.Грановский) для всех вариантов заготовок одинакова и равна Sотх = 373 руб/т. Деталь выполняется из
латуни ЛС 59-1. Масса детали m =
0,037 кг. Согласно данным таблиц П.3.1 и П.3.2 (ч.1 В.Г.Грановский) стоимость
одной заготовки равна:
Стоимость заготовок, получаемых методом литья, можно с достаточной
точностью определить по формуле
,
где Ci - базовая стоимость 1 т заготовок,
руб; kx - коэффициенты, зависящие от класса
точности, группы сложности, массы, марки материала и объема производства.
Базовая стоимость детали при получении заготовки методом литья в песчаную форму
равна согласно таблице II.3.3
литературы 1 Сi = 360
руб/т. Уточнив по таблице П.3.4 (ч.1 В.Г.Грановский) по назначенным допускам
класс точности заготовки (1-й класс точности) по таблице П.3.5 (ч.1
В.Г.Грановский) находим значение КТ = 1,06.
Установив по таблице П.3.6 (ч.1 В.Г.Грановский) группу сложности детали
(3 группа сложности) по таблице П.3.7 находим значение. КС = 1.
Значение коэффициента массы материала определяется по таблице П.3.8 (ч.1
В.Г.Грановский). Кв = 1,05.
Значение коэффициента марки материала Км = 5,53 (таблица П.3.9
(ч.1 В.Г.Грановский).
Значение коэффициента объема производства определяется по таблицам П.3.10
и П.3.11 (ч.1 В.Г.Грановский). Кn = 1,23.
Таким образом, стоимость заготовки, получаемой методом литья по
выплавляемым моделям равна
Сравнивая стоимости заготовок, получаемых методами проката и литья, мы
видим, что для заданной детали наименьшую стоимость имеет заготовка, получаемая
методом проката (горячекатаный пруток).
3. Выбор способов обработки отдельных
поверхностей детали
|
№ пов-ти
|
Наим-ние поверхности, хар.
размер
|
Требования по точности
|
Требования по
шероховатости, Ra
|
Послед-ность обработки,
испол. размеры
|
Установочная база
|
|
1
|
Цилиндрическое отверстие Ǿ7Н9
|
Н9
|
1,25 мкм
|
Сверлить предварительное
сквозное отверстие Ǿ6,9 мм. Развернуть до Ǿ7Н9.
|
4х-кулачковый патрон
|
|
2
|
Цилиндрическое отверстие Ǿ8,1Н10
|
Н10
|
2,5 мкм
|
Зенкеровать Ǿ8,1Н10 на
длину 9мм; снять фаску 0,5х45°
|
-//-
|
|
3
|
Цилиндрическое отверстие Ǿ8,5Н10
|
Н10
|
2,5 мкм
|
Зенкеровать Ǿ8,5Н10 на
длину 17мм
|
3х-кулачковый патрон
|
|
4
|
Цилиндрическое отверстие Ǿ10Н9
|
Н9
|
1,25 мкм
|
Зенкеровать Ǿ10Н9 на
длину 13мм
|
3х-кулачковый патрон
|
|
5
|
Цилиндрическая поверхность
М16х1
|
7Н
|
5мкм
|
Точить Ǿ16 на длину
3,5мм; снять фаску 1х45°; нарезать резьбу М16х1
|
4х-кулачковый патрон
|
|
6
|
Цилиндрическая поверхность
М14х1
|
7Н
|
5мкм
|
Точить Ǿ14 на длину
6,5мм; снять фаску 0,75х45°; нарезать резьбу М14х1
|
3х-кулачковый патрон
|
|
7
|
Цилиндрическая поверхность Ǿ14,5
|
H12
|
5 мкм
|
Точить Ǿ14,5 на длину
2,5мм
|
4х-кулачковый патрон
|
|
8
|
Цилиндрическая поверхность
Ǿ14,5
|
Н12
|
5мкм
|
Точить Ǿ14,5 на длину
2мм
|
-//-
|
|
9
|
Цилиндрическая поверхность Ǿ18
|
Н12
|
5мкм
|
Точить Ǿ18 на длину
19мм
|
-//-
|
|
10
|
Цилиндрическая поверхность Ǿ12,5
|
Н12
|
5мкм
|
Точить Ǿ12,5 на длину
2мм
|
3х-кулачковый патрон
|
|
11
|
4 цилиндрических отверстия
М3
|
8g
|
5мкм
|
1.Сверлить насквозь Ǿ2,5
2.Зенкеровать фаски 0,5х45° 3.Нарезать резьбу М3
|
кондуктор
|
|
12
|
Разъем под ключ
|
h12
|
5мкм
|
Фрезеровать 2 лыски в
размер 4мм
|
Тиски
|
4. Разработка технологического
маршрута изготовления детали
Операция 01 - Токарно-револьверная
Выполняется на токарно-револьверном станке 1А341.
· Подрезать торец до размера 31-0,045мм (переход 1)
Операция 01 - Токарно-револьверная
Выполняется на токарно-револьверном станке 1А341. (переход 2)
1. Сверлить предварительное сквозное отверстие Ǿ6,9±0,058мм
2. Точить Ǿ29-0,24мм на длину 19+0,28мм
Операция 01 - Токарно-револьверная
Выполняется на токарно-револьверном станке 1А341. (переход 3)
. Зенкеровать отверстие Ǿ8,1±0,058мм на глубину 9+0,03мм
2. Точить Ǿ24-0,24мм на длину 19+0,28мм
Операция 01 - Токарно-револьверная
Выполняется на токарно-револьверном станке 1А341. (переход 4)
. Точить Ǿ18-0,24мм на длину 19+0,28мм
2. Точить Ǿ16-0,24мм на длину 8+0,36мм
. Снять фаску 0,5х45°
Операция 01 - Токарно-револьверная
Выполняется на токарно-револьверном станке 1А341. (переход 5)
· Точить Ǿ14,5-0,24мм на длину 2,5-0,25мм под
углом 45°
Операция 01 - Токарно-револьверная
Выполняется на токарно-револьверном станке 1А341. (переход 6)
· Проточить канавку Ǿ14,5-0,24мм шириной 2+0,25мм
Операция 01 - Токарно-револьверная
Выполняется на токарно-револьверном станке 1А341. (переход 7)
· Нарезать резьбу М16х1±0,018
Операция 01 - Токарно-револьверная
Выполняется на токарно-револьверном станке 1А341. (переход 1)
· Подрезать торец в размер 30-0,045мм
Операция 01 - Токарно-револьверная
Выполняется на токарно-револьверном станке 1А341. (переход 8)
. Зенкеровать отверстие Ǿ8,5±0,058мм на глубину 17+0,025мм
2. Точить Ǿ30-0,045мм на длину 8,5-0,25мм
Операция 01 - Токарно-револьверная
Выполняется на токарно-револьверном станке 1А341. (переход 9)
. Зенкеровать отверстие Ǿ10±0,033мм на глубину 13-0,045мм
2. Точить Ǿ22-0,24мм на длину 8,5-0,25мм
Операция 01 - Токарно-револьверная
Выполняется на токарно-револьверном станке 1А341. (переход 10)
. Развернуть отверстие Ǿ7±0,036мм
2. Точить Ǿ14-0,24мм на длину 8,5-0,25мм
Операция 01 - Токарно-револьверная
Выполняется на токарно-револьверном станке 1А341. (переход 6)
· Проточить канавку Ǿ12,5-0,24мм шириной 2-0,25мм
Операция 01 - Токарно-револьверная
Выполняется на токарно-револьверном станке 1А341. (переход 11)
· Снять фаску 0,75х45°
Операция 01 - Токарно-револьверная
Выполняется на токарно-револьверном станке 1А341. (переход 12)
· Нарезать резьбу М14х1±0,018
Операция 15 - Фрезерная
Выполняется на горизонтально-фрезеровальном станке 6Р81.
Фрезеровать лыску с размер 4+0.03мм по всей длине (переход 1)
Операция 20 - Сверлильная
Выполняется на вертикально-сверлильном станке 2Н118 с использованием
специального приспособления - кондуктора. Сверлятся 4 отверствия Ǿ2,8мм
(переход 1). Нарезается резьба М3 в 4 отверстиях (переход 2).
Основные технические характеристики станков
1. Вертикально-сверлильный станок, мод. 2Н118
|
Модель
|
2Н118
|
|
Наибольший диаметр
сверления, мм
|
18
|
|
Наибольшее усилие подачи,
кН
|
5,6
|
|
Частота вращения шпинделя,
об/мин
|
180-2800
|
|
Подача, мм/об
|
0.1-0,56
|
|
Мощность электродвигателя,
кВт
|
1,5
|
|
Габариты станка в плане, мм
|
910 х 550
|
2. Горизонтально-фрезерный станок модели 6Р81
|
Рабочая поверхность стола
|
250х1000 мм
|
|
Наибольшее перемещение
стола
|
продольное - 630 мм
поперечное - 200 мм вертикальное - 320 мм
|
|
Число скоростей шпинделя
|
16
|
|
Частота вращения шпинделя
|
|
Число рабочих подач стола
|
16
|
|
Подача стола
|
продольная - (35-1020)
мм/мин поперечная - (28-790) мм/мин вертикальная - (14-390) мм/мин
|
|
Скорость быстрого
перемещения стола
|
продольного - 2900 мм/мин
поперечного - 2300 мм/мин вертикального - 1150 мм/мин
|
|
Мощность электродвигателя
привода главного движения
|
5.5кВт
|
|
Габаритные размеры
|
длина - 1480 мм ширина -
1990 мм высота - 1630 мм
|
|
Масса
|
2280 кг
|
Токарно-револьверный станок 1А341
Токарно-револьверный станок 1А341 с горизонтальной осью револьверной
головки применяют главным образом при обработке деталей из прутка, а также
штучных заготовок небольшого размера.
Станок имеет револьверную головку барабанного типа, ось вращения которой
параллельна оси шпинделя и смещена относительно ее. Револьверная головка имеет
продольную и поперечную (круговую) подачи, поэтому подобные станки не имеют
поперечного суппорта.
Основные параметры токарно-револьверного станка 1А341
Наибольший диаметр, мм:
прутка заготовки в патроне 40
над станиной 400
Пределы частот вращения шпинделя, об/мин 60-2000
Пределы подач револьверной головки, мм/об:
продольных 0,05-1,6
круговых 0,03-0,48
Количество гнезд в револьверной головке 16
Мощность электродвигателя главного движения, кВт 4,5
Частота вращения электродвигателя главного движения, об/мин 1440
На станке можно производить многоинструментальную наладку для точения,
сверления, растачивания, зенкерования, развертывания, нарезания резьбы и других
операций. Особенностью станка является наличие командоаппарата с шестнадцатью
кулачками, которые при движении или повороте револьверной головки действуют на
конечные выключатели, управляют электромагнитными муфтами.
5. Разработка технологических
операций
Операция 01 - Токарно-револьверная
Переходы №1-2, 4-5, 8, 11.
Станок: токарно-револьверный 1А341
Приспособление: патрон четырехкулачковый/трехкулачковый.
Инструмент:
Резец токарный проходной отогнутый 2102-0501, Р18/резец для контурного
точения К.01.4250.000, ВК8
Глубина резания t=0,5-1,5мм.
Подача S=0,25 мм/об (табл. 11 ч.3
В.Г.Грановский). Значение скорости резания находим по формуле:
где Vтабл=105м/мин (табл. 12 ч.3 В.Г.
Грановский); K1=1 (табл. 13 ч.3 В.Г. Грановский), K2=1
(табл.14 ч.3 В.Г. Грановский), при Т=60 мин; K3=1,05 (табл. 15 ч.3 В.Г. Грановский); n=2000 об/мин.
Операция 01 - Токарно-револьверная
Переходы №3, 4, 9, 10.
Станок: токарно-револьверный 1А341
Приспособление: патрон четырехкулачковый/трехкулачковый.
Инструмент:
Резец токарный проходной отогнутый 2102-0501, Р18/резец для контурного
точения К.01.4250.000, ВК8
Глубина резания t=2,5-4мм.
Подача S=0,25 мм/об (табл. 11 ч.3
В.Г.Грановский). Значение скорости резания находим по формуле:
где Vтабл=92м/мин (табл. 12 ч.3 В.Г.
Грановский); K1=1 (табл. 13 ч.3 В.Г. Грановский), K2=1
(табл.14 ч.3 В.Г. Грановский), при Т=60 мин; K3=1,05 (табл. 15 ч.3 В.Г. Грановский); n=1000 об/мин.
Операция 01 - Токарно-револьверная
Переходы №6
Станок: токарно-револьверный 1А341
Приспособление: патрон четырехкулачковый/трехкулачковый.
Инструмент:
Резец токарный отрезной по ГОСТ 18874-73, Р18
Глубина резания t=2мм.
Подача S=0,04 мм/об (табл. 11 ч.3
В.Г.Грановский). Значение скорости резания находим по формуле:
где C=270, m=0,23, y=0,25 (табл. 16 ч.3 В.Г. Грановский);
Kv=1,05 (табл. 15 ч.3 В.Г. Грановский),
K2=1 (табл.14 ч.3 В.Г. Грановский), при Т=60 мин; n=500 об/мин.
Операция 01 - Токарно-револьверная
Переходы №3, 8, 9. Зенкеровать отверстие в размер
Станок: токарно-револьверный 1А341
Приспособление: патрон четырехкулачковый/трехкулачковый.
Инструмент:
Зенкер цилиндрический со сменной направляющей цапфой по ОСТ И25-2-80, Р18
Глубина резания t=0,6-1,5. Подача S=0,8 мм/об (табл. 54 ч.3
В.Г.Грановский). Значение скорости резания находим по формуле:
где C=50; D=8,1-8,5; q=0,2;
x=0,1; t=0,6-1,55; m=0,125, y=0,4 (табл. 55 ч.3 В.Г. Грановский); K=0,8 (табл. 17,19 ч.3 В.Г. Грановский), при Т=35 мин; n=1600 об/мин.
Операция 01 - Токарно-револьверная
Переходы №7,12. Нарезать метрическую резьбу
Станок: токарно-револьверный 1А341
Приспособление: патрон четырехкулачковый/трехкулачковый.
Инструмент: Плашка круглая для нарезания метрической резьбы по ГОСТ
9740-71
Значение скорости резания находим по формуле:
где Cv=; d=14-16; p=1; x=0,1; t=0,6-1,55; m=0,125, y=0,4 (стр.71 ч.3 В.Г. Грановский); при Т=75 мин; n=600 об/мин.
Операция 01 - Токарно-револьверная
Переход №2: Сверлить предварительное сквозное отверстие Ǿ6,9мм.
Станок: токарно-револьверный 1А341
Инструмент:
Спиральное сверло с цилиндрическим хвостиком по ГОСТ 10902-77, Ǿ6,9,
Р18.
Вычисляем режим работы инструмента. Глубина резания t=3,45 мм. Подача S=0,36 мм/об (табл. 44 ч.3 В.Г.
Грановский).
где C=32,6; D=6,9; q=0,25;
m=0,125, y=0,4 (табл. 51 ч.3 В.Г. Грановский); K=0,68 (табл. 17,19 ч.3 В.Г.
Грановский), при Т=35 мин; n=1600
об/мин.
Операция 01 - Токарно-револьверная
Переход №10. Развернуть отверстие Ǿ7Н9 мм
Станок: токарно-револьверный 1А341
Приспособление: патрон трехкулачковый.
Инструмент:
Развертка ручная цилиндрическая по ГОСТ 7722-77, Р18
Глубина резания t=0,05.
Подача S=1,8 мм/об (табл. 56 ч.3
В.Г.Грановский). Значение скорости резания находим по формуле:
где C=0,33; D=7; q=0,2;
x=0,1; t=0,05; m=0,125, y=0,4 (табл. 57 ч.3 В.Г. Грановский); K=0,68 (табл. 17,19 ч.3 В.Г. Грановский), при Т=40мин; n=120 об/мин.
Операция №15. Фрезерная.
Переход 1: Фрезеровать лыску в размер 4+0,03мм по всей длине глубиной 2
Станок: Горизонтально-фрезерный станок 6Р81
Приспособление: Тиски
Инструмент: Фреза дисковая трехсторонняя D=50 мм, В=4 мм, z=14, Sz=0,2мм/зуб, Р6М5
Глубина резания t=2мм.
. Скорость резания выбираем по таблице 29 ( стр40,ч3), он
лежит в пределе (30-50) м/мин. Примем
.Тогда:
n=(10000*40)/(3/14*50)=250об/мин.
Операция 20. Сверлильная.
Переход №1: Сверлить 4 отверстия Ǿ2,8мм.
Переход №2: Нарезать резьбу М3 в 4 отверстиях.
Станок: вертикально-сверлильный 2Н118.
Приспособление: кондуктор.
Инструмент:
Спиральное сверло с цилиндрическим хвостиком по ГОСТ 10902-77, Ǿ2,8,
Р18.
Метчик машинно-ручной для нарезания метрической резьбы по ГОСТ 3266-71,
М3.
Вычисляем режим работы инструмента во время перехода №1. Глубина резания t=2,5 мм. Подача S=0,18 мм/об (табл. 44 ч.3 В.Г.
Грановский).
где C=32,6; D=2,8; q=0,25;
m=0,125, y=0,4 (табл. 51 ч.3 В.Г. Грановский); K=6,8 (табл. 17,19 ч.3 В.Г.
Грановский), при Т=35 мин; n=2000
об/мин.
Вычисляем режим работы инструмента во время перехода №2.
Значение скорости резания находим по формуле
V=Vтабл*Кб= 7,2м/мин
Vтабл
= 6м/мин, Кб=1,2 (по таблицам 67,68 литературы 3);
n=800 об/мин.
Определение типа производства
Темп выпуска τ определяется как:
τ = Ф*60 / N, мин.
Ф = 2070ч.
τ = 2070*60 /30000 = 4,14 мин.
При необходимости изготовления в течение месяца (примерно 160 ч) 1000
штук темп выпуска составит
τ = 160*60 / 1000 = 9.6 мин.
Коэффициент серийности вычисляется как
Кс = τ/ tшт.ср
Производство крупносерийное.
технология
процесс изготовление заготовка деталь
Часть 2. Разработка специального
приспособления «Кондуктор»
1. Расчет осевой силы
Крутящий момент сил резания при сверлении рассчитывается по формуле:
[H·м],
Осевая сила резания при сверлении рассчитывается по формуле
[H],
где М- крутящий момент сил резания;0- осевая сила на инструменте;M,Cp-
коэффициенты, зависящие от материала заготовки и инструмента;диаметр,
мм;глубина резания, мм;подача, мм/об.;p- поправочный
коэффициент;,x,y- показатели степеней.
Кр=0,75
=10*0,012*2,8^2*0,18^0.8*0.75=0,18
H*мм
=10*31,5*2,8^1*0,18^0.8*0.75=42 H
Табл. № 2. Значение коэффициентов и показателей степени в
формулах крутящего момента и осевой силы при сверлении, рассверливании и
зенкеровании.
|
Обрабатываемый материал
|
Наименование операции
|
Материал режущей части
инструмента
|
Коэффициент и показатели
степени в формулах
|
|
|
|
Крутящего момента
|
Осевой силы
|
|
|
|
См
|
q
|
x
|
y
|
Сp
|
q
|
x
|
y
|
|
Гетерогенные медные сплавы
средней твёрдости НВ 120
|
Сверление
|
Быстрорежущая сталь
|
0,012
|
2,0
|
---
|
0,8
|
31,5
|
1,0
|
---
|
0,8
|
|
Рассверливание и
зенкерование
|
|
0,031
|
0,85
|
---
|
0,8
|
17,2
|
---
|
1,0
|
0,4
|
2. Расчет силы закрепления
Найдем силу закреплении Рз.
Мк = РзĿμ,
Где μ = 0,15 - коэффициент трения латуни по стали
Ŀ - плечо. Таким образом, сила закрепления Рз =0,18/(0,15*15,5)=0,08
Н
3.
Конструкция приспособления
Для выполнения Операции 20 Сверлильная используется специальное
приспособлние «Кондуктор». Приспособление используется при сверлении 4
отверстий Ǿ2,8 и нарезании резьбы М3 на детали ТПМ 08-11.
Особенностью установки является необходимость полного базирования и
быстрого закрепления детали на горизонтальном столе станка, с помощью
кондуктора.
4. Принцип действия
Деталь базируется в оправке кондуктора и закрепляется в цанговом патроне.
Оправка кондуктора может вращаться вокруг своей оси благодаря подшипнику. Для
фиксации оправки используется специальное кольцо, которое может перемещаться по
горизонтальной оси. На кольце закреплена планка с отверстием и кондукторной
втулкой.
Список литературы.
1. В.Г. Грановский «Методические указания для курсового
проектирования по курсу Технология приборостроения”» Часть1, Москва 1987г
. В.Г. Грановский «Методические указания для курсового
проектирования по курсу Технология приборостроения”» Часть2 , Москва 1987г
. В.Г. Грановский «Методические указания для курсового
проектирования по курсу Технология приборостроения”» Часть3, Москва 1987г
4. А.Г.Косилова, Р.К.Мещерякова «Справочник
технолога-машиностроителя» Том2, Москва 1985г.