Разработка технологического процесса изготовления детали 'рычаг'
Реферат
деталь рычаг протяжка калибр
Дипломная работа выполнена в соответствии с заданием и содержит 2 листа
формата А1 (технологические наладки), 2 листа формата А3 (чертеж детали, чертеж
заготовки) и расчётно-пояснительную записку, состоящую из 72 листов, 24
рисунка, 18 таблиц.
Технологический процесс, заготовка, рычаг, припуск, точность, обработка,
деталь, норма времени, режущий инструмент, станки, технологическая
документация.
Тема дипломной работы: "Разработка технологического процесса
изготовления детали "рычаг".
В процессе работы был спроектирован маршрутно-операционный
технологический процесс, оформленный в соответствии с ЕСКД.
Оглавление
Введение
1.
Технологическая часть
.1 Служебное
назначение детали "рычаг", выбор и свойства материала детали
.2 Анализ
технологичности конструкции детали
.3
Определение типа производства
.4
Обоснование выбора исходной заготовки
.5 Выбор и
обоснование технологических баз
.6
Проектирование маршрутной обработки рычага. Содержание и последовательность
технологических операций
.7 Выбор
оборудования и средств технологического оснащения
.8 Применение
высокотехнологичного режущего инструмента
.9
Определение припусков расчетно-аналитическим методом
.10 Расчёт
режимов обработки для основных операций
2.
Конструкторская часть
2.1 Описание
конструкции, работы и расчет станочного приспособления
.2 Описание
конструкции и расчёт протяжки
.3 Описание
конструкции калибра шлицевого
2.4 Расчет погрешности измерения
Заключение
Список
использованной литературы
Введение
Машиностроение является важнейшей отраслью народного хозяйства,
определяющей уровень и темпы развития всех других отраслей промышленности,
сельского хозяйства, энергетики, транспорта и т.д.
Быстрое развитие машиностроительного производства настоятельно требовало
научного решения вопросов, связанных с изготовлением машин, что привело к
возникновению науки о технологии машиностроения.
Целью данного дипломного проекта является совершенствование
технологического процесса изготовления детали "РЫЧАГ", который
выпускается в серийном типе производства.
Основное направление проекта состоит в повышении технологичности
конструкции детали и снижения трудоемкости изготовления детали. Вследствие
того, что основными показателями технологичности конструкции является
минимальная материалоемкость, минимальная трудоемкость и себестоимость изделия,
то решениями поставленной в дипломном проекте цели будут являться:
применение рациональной заготовки, форма и размеры которой приближались
бы к форме и размерам готовой детали;
применение наиболее рациональных технологических методов обработки;
обеспечение заданной точности и качества изготовления изделия;
применение рациональных методов средств контроля точности и качества.
провести все необходимые проектные расчеты для разработки
технологического процесса изготовления рычага и комплекта технологической
документации его изготовления.
1. Технологическая часть
.1 Служебное назначение детали "рычаг", выбор и свойства
материала детали
Деталь "Рычаг" одна из распространённых
деталей машиностроения. Её основное назначение - это передача движения. Наша
деталь представляет собой угловую форму, величина угла меньше прямого, меньше
90 градусов. В центре данного угла находится шлицевое отверстие. По краям на
каждой из сторон имеются цилиндрические отверстия и центральные прорези вдоль
главной оси детали. То есть края "рычага" представляют собой форму
вилки. На протяжении каждого колена с обоих сторон имеются углубления, которые
необходимы для снижения общей массы детали и тем самым повышению экономической
эффективности в связи с меньшим количеством материала, необходимым для
изготовления рычага. Исходя из такой формы детали можно сказать, что данный
рычаг выполняет функцию передачи и преобразования движения из вращательного в
поступательное. Наглядное изображение представлено на рисунке 1 ниже, а
полноценный чертёж "рычага" изображён на чертеже в графическом
разделе в приложении к данной пояснительной записке.
Рисунок 1. Чертёж детали "Рычаг".
Для обеспечения необходимой прочности рычаг изготавливают из
высокопрочных сталей путем ковки с последующей нормализацией 870-890oC
или закалкой 920-950oC с отпуском 570-600oC .
Исходя из вышесказанного, в качестве материала рычага принимаем
конструкционную легированную сталь марки 20ХН3А ГОСТ 4543-71. Сталь применяется
для деталей типа лопасти гидротурбин, рычаги, фланцы, сектора, венцы зубчатые,
ролики обоймы, колеса ходовые и др., а также фасонные отливки, отливаемые
методом точного литья, зубчатые колеса, бандажи, отливки небольших сечений и
другие детали общего машиностроения к которым предъявляются требования
повышенной твердости, сварно-литых конструкций с большим объемом сварки и др.
Химический состав и механические свойства стали 30ГСЛ необходимо знать для
выбора способа получения заготовки, режимов резания и технического
нормирования.
Классификация материала: Сталь конструкционная легированная.
Дополнительные сведения о материале: Сталь хромоникелевая.
Применение: Шестерни, валы, втулки, силовые шпильки, болты, муфты, червяки
и другие цементуемые детали, к которым предъявляются требования высокой
прочности, пластичности и вязкости сердцевины и высокой поверхностной
твердости, работающие под действием ударных нагрузок и при отрицательных
температурах.
Таблица 1. Химический состав материала 20ХН3А в процентном соотношении
|
C
|
Si
|
Mn
|
Ni
|
S
|
P
|
Cr
|
Cu
|
|
0.17 - 0.24
|
0.17 - 0.37
|
0.3 - 0.6
|
2.75 - 3.15
|
до 0.025
|
до 0.025
|
0.6 - 0.9
|
до 0.3
|
Таблица 2.
Механические свойства 20ХН3А при температуре 20oС
|
Сортамент
|
Размер
|
Напр.
|
sв
|
sT
|
d5
|
y
|
KCU
|
Термообр. НВ
|
|
-
|
мм
|
-
|
МПа
|
МПа
|
%
|
%
|
кДж / м2
|
-
|
|
Пруток, ГОСТ 4543-71
|
Ø
15
|
|
930
|
735
|
12
|
55
|
1080
|
Закалка и отпуск
|
Таблица 3. Технологические свойства 20ХН3А
|
Свариваемость:
|
ограниченно свариваемая.
|
|
Флокеночувствительность:
|
чувствительна.
|
|
Склонность к отпускной хрупкости:
|
склонна.
|
Ограниченно свариваемая означает, что сварка возможна при подогреве до
100-120 град. и последующей термообработке.
Расшифровка обозначений, сокращений, параметров
|
Механические свойства :
|
|
s
|
sВ -
Предел кратковременной прочности , [МПа]
|
|
s
|
sТ -
Предел пропорциональности (предел текучести для остаточной деформации), [МПа]
|
|
d
|
d5 -
Относительное удлинение при разрыве , [ % ]
|
|
y
|
y - Относительное сужение , [ % ]
|
|
K
|
KCU - Ударная вязкость , [
кДж / м2]
|
|
H
|
HB - Твердость по Бринеллю
, [МПа]
|
1.2 Анализ технологичности конструкции детали
Технологичность - это совокупность свойств конструкции детали,
определяющих ее приспособленность к достижению оптимальных затрат на
производстве, эксплуатации и ремонте для заданных показателей качества, объема
выпуска и условия выполнения работ.
Деталь является технологичной, если:
в процессе ее изготовления обеспечиваются минимальные затраты труда,
материалов и минимальная себестоимость;
- в процессе технологической подготовки производства
детали обеспечивается минимум затрат на ее проектирование и технологическую
подготовку производства.
Конструкция детали "рычага" является технологичной исходя из
следующих признаков.
. Обеспечение нужной шероховатости возможно стандартными режимами
обработки и унифицированным инструментом.
. Конструкция детали обеспечивает нормальный подвод и выход режущего
инструмента.
. Степень точности и шероховатость обработки соответствует требованиям
нормальной эксплуатации изделия.
. Отсутствует большая разностенность и незамкнутость контуров, вызывающая
деформации при термообработке
. Рычаг легко устанавливается в приспособлениях для механообработки и
контроля.
В результате анализа технологичности конструкции детали "рычаг"
можно заключить, что её конструкция является технологичной.
Рабочий чертеж детали "Рычаг" (смотри рисунок 1) служит для
разработки технологических процессов и наладки станков. Чертеж, представляемый
в данной работе, полностью соответствует предъявляемым требованиям. Имеются все
необходимые проекции и сечения детали, однозначно определяющие ее конфигурацию.
Он содержит все сведения, дающие полное представление о детали. На чертеже
указаны размеры с необходимыми отклонениями, шероховатость обрабатываемых
поверхностей. Технические требования на деталь "Рычаг" следующие:
. Точность изготовления штампованной поковки Т2 ГОСТ 7505-89.
. Неуказанные штамповочные радиусы 5-8 мм.
. Смещение шлицев относительно номинального положения не более 20'.
.Покрытие Хим. фос. ускоренное хр./лак БФ-4(2). Дополнительно, кроме
поверхностей Г, Д, шлицев, отверстий и пазов: грунтовка ФЛ-0,3 К (1), эмаль
ПФ-218 ГС (2) светло-серая ОМ2.
. Остальные ТТ по А190.00.00.000 ДТ.
. Твёрдость 265-352 НВ.
Данный рычаг входит в сборочную единицу (узла)
машиностроения.
Обработка детали возможна с применением универсальных станков или станков
с ЧПУ, стандартного режущего инструмента и средств измерения.
.3 Определение типа производства
Наименьшие затраты при изготовлении деталей (изделий) могут быть
достигнуты в случае построения технологического процесса в соответствии с типом
производства и условиями его реализации.
Производство условно делятся на три основных типа: единичное, серийное и
массовое. У каждого из этих типов производства технологический производственный
процессы имеют свои особенности и каждом из них свойственна определённая форма
организации работы.
Тип производства можно определить согласно ГОСТ 3.1108-74, по
коэффициенту закрепления операции Кзо
< Кзо мелкосерийное;
< Кзо < 20 среднесерийное;
< Кзо < 10 крупносерийное;
Либо по справочным таблицам (см. таблицу 4) в зависимости от массы детали
и годовой программы выпуска.
Масса нашей детали "Рычаг" составляет 3,1 кг (задано по
чертежу).
Таблица 4. Определение типа производства.
|
Масса детали, кг
|
Тип производства
|
|
единичное
|
мелкосерийное
|
среднесерийное
|
крупносерийное
|
массовое
|
|
<1
|
<10
|
10…2000
|
1500…100000
|
75000…200000
|
>200000
|
|
1…2.5
|
<10
|
10…1000
|
1000…50000
|
50000…100000
|
>100000
|
|
2.5…5
|
<10
|
10…500
|
500…35000
|
35000…75000
|
>75000
|
|
5…10
|
<10
|
10…300
|
300…25000
|
25000…50000
|
>50000
|
|
>10
|
<10
|
10…200
|
200…10000
|
10000…25000
|
>25000
|
Себестоимость производства продукции при серийном производстве выше, чем
при массовом, но зато достигается необходимая номенклатура однотипных деталей.
Следовательно, тип производства рычага - среднесерийный с непоточной
организацией производства.
Для серийного производства определяется количество деталей в партии,
одновременно запускаемой в производство, по формуле:
,
где Д - число дней, на которые необходимо иметь запас деталей на складе.
Для обеспечения непрерывности производства число дней, на которое
необходимо иметь запас готовых деталей на складе в ожидании сборки, называется
периодичностью запуска. Рекомендуется периодичность запуска: 3, 6, 12, 24 дня.
Для мелких деталей весом до 100 кг Д = 5 - 10 дней. Норму запаса для
хранения готовых деталей на складе принимаем Д = 6 дней.- годовой
действительный фонд времени работы станка, дни. Fp = 253 дня.
Где N - годовая программа =700 шт.; т.к.тип производства еще не известен
примем усредненное значение нормативного коэффициента загрузки = 0,8
Скорректируем размер партии с учетом удобства планирования и организации
производства. Корректировка размера партии состоит в определении расчетного
числа смен на обработку всей партии деталей на основных рабочих местах:
где
- среднее штучно - калькуляционное время по основным
операциям = 11,3 мин.
.4 Обоснование выбора исходной заготовки
Имея отработанный рабочий чертеж, технические
требования, которым должна отвечать готовая деталь, и зная количество деталей,
подлежащих изготовлению в единицу времени по неизменяемому чертежу, приступают
к выбору экономичного вида полуфабриката (прокат, стальные слитки, порошковые
материалы и др.) и метода получения заготовки детали.
В одних случаях можно изготавливать заготовку,
максимально приближающуюся по качественным показателям (размерам, форме,
шероховатости поверхности, механическим свойствам, химическому составу,
качеству поверхностного слоя материала) к требованиям готовой детали, что
сокращает потери, связанные с ее превращением в готовую деталь. Однако
стоимость такого полуфабриката возрастает с увеличением степени его приближения
к требованиям готовой детали и повышением уровня самих этих требований.
Другие полуфабрикаты или заготовки, отличающиеся
меньшей степенью приближения к требованиям готовой детали, стоят меньше, но
требуют больших последующих расходов по их превращению в готовую деталь
(например, путем обработки резанием).
Следовательно, из нескольких возможных вариантов
превращения полуфабриката в готовую деталь необходимо использовать наиболее
экономичный.
Вопрос о выборе полуфабриката и варианте превращения
его в готовую деталь должен решаться на основе сравнения себестоимости детали
при каждом из возможных вариантов. При одних и тех же требованиях к готовой
детали себестоимость механической обработки обычно выше себестоимости получения
заготовок. Чем дальше отстоят размеры и другие показатели качества заготовок от
требований к готовой детали, тем в большей степени возрастает себестоимость
обработки заготовок резанием и потери материала; по мере приближения заготовок
к требованиям готовой детали себестоимость их последующей обработки довольно
быстрее снижается.
Расположение крепежных отверстий допускает использовать
многоинструментальную обработку, что позволяет применять агрегатные
многоинструментальные станки. Размеры и формы поверхностей позволяют вести
обработку стандартным инструментом. В целом изготовление рычага можно вести на
оборудовании нормальной точности, а также используя стандартные измерительные
инструменты для проведения контроля крышки.
Правильно выбрать заготовку - значит определить ее пригодность для
изготовления детали с позиций прочностных и стойкостных характеристик,
установить рациональный способ ее получения, определить оптимальные припуски на
обработку ее поверхностей, рассчитать размеры заготовки и установить допуски на
точность их выполнения, сконструировать заготовку и разработать оптимальные
технические условия на изготовление.
Основными факторами, учитываемыми при выборе заготовки, являются:
масштаб и серийность выпуска (тип производства);
тип и конструкция детали (форма и размеры);
назначение детали в машине, материал и технические условия на
изготовление;
планируемые сроки на технологическую подготовку производства;
конкретные условия производства (вооруженность завода и кадры);
экономичность заготовки, выбранной с учетом предыдущих факторов.
Все способы получения заготовок определяются:
. Технологической характеристикой материала, т.е. его литейными
свойствами или способностью претерпевать пластические деформации при обработке
давлением, а такие структурными изменениями материала, получаемыми в результате
применения того или иного метода выполнения заготовки (расположение волокон в
прокате, поковках и штамповках, величина зерна в отливках и т.д.).
. Конструктивными формами и размерами заготовки (например, чем крупнее
деталь, тем дороже обходится изготовление штампа, модели или металлической
формы).
. Требуемой точностью выполнения заготовки и качеством поверхности.
. Величиной программного задания (при больших партиях выгодны те способы
изготовления заготовок, которые обеспечивают наибольшее приближение формы и
размеров заготовки к форме и размерам готовой детали).
. Производственными возможностями заготовительных цехов предприятия
(наличием соответствующего оборудования).
. Временем, затрачиваемым на технологическую подготовку производства
заготовок (на изготовление штампов, моделей, прессформ, нестандартного
оборудования и т.п.).
Выбор рациональной заготовки имеет важное экономическое значение для
получения высоких технико-экономических характеристик заготовительных цехов и в
целом для производства машин.
Рассмотрим несколько возможных способов формообразования заготовки детали
"Рычаг" и примем наиболее рациональный из них.
Опытно-технологические разработки по изготовлению рычагов способами
точного литья или сварки предварительно сформированных ковкой ступицы и пальца
не позволили получить необходимую прочность рычагов для крупных гидротурбин.
Поэтому примем к рассмотрению следующие способы:
ковка с использованием подкладных штампов;
отливка.
Способ изготовления рычага путем ковки с использованием подкладных
штампов.
Рычаг представляет собой одну из ответственных и сложных по своей
конфигурации деталей машиностроения. Воспринимая усилие, необходимое для
перемещения других деталей, рычаг одновременно подвержен воздействию
знакопеременной нагрузки из-за пульсации потока. Для изготовления рычага
выбирают материалы, обеспечивающие предел текучести 55-60 кгс/мм2 в
сечениях 200-400 мм. Способ формообразования заготовок рычага должен
обеспечивать высокую плотность и однородность материала, свободного от
внутренних дефектов. При изготовлении поковок необходимо, чтобы ось заготовки
приблизительно совпадала с осью слитка, а внешние очертания заготовки
соответствовали наружным очертаниям рычага с учетом напусков и припусков на
механическую обработку.
Итак, наиболее подходящая форма получения заготовки для нашей детали
"Рычаг" - это штамповка в закрытых штампах. Изображение заготовки
представлено на рисунке 4, а полноценный чертёж представлен в графической части
в приложении к данной работе.
Рисунок 4. Заготовка детали "Рычаг".
.5 Выбор и обоснование технологических баз
Технологический процесс фрезерной обработки должен обеспечить возможность
обработать на данном станке при заданных условиях работы наибольшее количество
деталей высокого качества при возможно лучшем использовании оборудования и
инструмента, а также с наименьшими затратами. Технологический процесс должен
быть построен в наиболее целесообразной последовательности операций и переходов
с использованием наиболее рациональных методов фрезерования.
Последовательность обработки зависит от многих факторов: характера
фрезерных операций, размеров и формы деталей, технических условий на взаимное
расположение отдельных поверхностей, наличного парка оборудования и т.д. Однако
в большинстве случаев последовательность обработки зависит от выбора
установочных баз.
В машине, механизме, станке, детали соединяются между собой, обеспечивая
передачу и преобразование движений. В процессе обработки заготовки (детали)
закрепляются. Для ориентации заготовок во время обработки на станках,
расположения готовых деталей в сборочных единицах (узлах) машин, измерения
деталей служат поверхности, линии, точки и их совокупности, которые называются
базами. Различают технологические и конструкторские базы. Технологические базы
разделяются на установочные и измерительные.
Установочные базы - поверхности (а также линии и точки), служащие для
установки заготовки на станке и ориентирующие ее относительно режущего
инструмента.
Порядок обработки детали зависит в первую очередь от того, какие
поверхности выбираются в качестве установочных баз в процессе обработки.
Поэтому установочные базы должны намечаться заранее, до начала обработки.
Различают следующие основные случаи выбора установочных баз:
. Подлежащая обработке заготовка не имеет предварительно обработанных
поверхностей. Тогда базировку приходится вести по черной поверхности заготовки
(черновая база). При этом на первой установке нужно обработать ту черную
поверхность, которая намечена в качестве установочной базы для последующей
обработки других поверхностей, т.е. подготовить чистовую установочную базу для
следующих установок.
. Подлежащая обработке на данной операции заготовка имеет плоскости,
обработанные на предыдущих операциях. В этом случае базировка производится по
предварительно обработанным поверхностям.
. Подлежащая обработке на данной операции заготовка имеет наружные или
внутренние поверхности вращения, обработанные на предыдущих операциях. В этом
случае базировку производят по этим поверхностям.
Установочными базами могут быть различные поверхности заготовок. В
качестве баз при первоначальной обработке используют необработанные поверхности
(черновые базы), при последующей обработке - обработанные поверхности (чистовые
базы). Точность обработки повышается при постоянстве технологических баз.
Установочные базы делятся на основные и вспомогательные. Основные установочные
базы - это поверхности, которые ориентируют заготовки (обрабатываемые детали)
на станке и положение готовых деталей в машине относительно других сопрягаемых
деталей при ее работе. Вспомогательные установочные базы - это поверхности,
которые используют только для установки заготовок (деталей) на станке; они не
имеют особого значения для работы машины. Измерительная база - поверхность
(линия или точка), от которой производят отсчет размеров.
Итак, на первой операции мы обрабатываем плоскую поверхность рычага -
далее она будет являться базовой при обработке такой же поверхности с другой
стороны. При обработке внутренних отверстий базой будет являться помимо плоской
ранее обработанной торцевой поверхности ещё и цилиндрическая внутренняя
поверхность - первоначально обработанное отверстие на предыдущей операции.
Рисунок 2. Базирование детали "Рычаг".
1.6 Проектирование маршрутной обработки рычага. Содержание и
последовательность технологических операций
Выбор обработки отдельных поверхностей детали и последовательность
выполнения операций выбирают исходя из требований рабочего чертежа и с учётом
размеров, массы изделия, вида и способа получения исходной заготовки.
Цель технологического маршрута - дать общий план обработки заготовки при
изготовлении детали, наметить содержание и последовательность технологического
процесса (ТП).
При составлении технологического маршрута учитывался материал, вид
обрабатываемой поверхности, точности ее размеров и положение относительно
других поверхностей. Так как в качестве материала крышки используется чугун,
при составлении маршрута обработки по возможности учитываем характерные
свойства данного материала.
Предлагаемый маршрут обработки каждой поверхности представлен в таблице.
Структура и содержание технологического процесса обработки резанием
заготовки детали зависит от ее конструктивного исполнения, геометрической
формы, размеров, массы, вида заготовки, сложности предъявляемых технологических
требований и характера производства. Несмотря на многообразие этих факторов, в
разработке и построении техпроцесса обработки резанием имеются общие
закономерности. Для различных деталей техпроцесс включает следующие основные
этапы:
. Черновая и чистовая обработка торцовых и цилиндрических поверхностей,
которые в дальнейшем используются в качестве технологических баз.
. Обработка остальных наружных поверхностей.
. Черновая обработка отверстий под крепежные винты.
. Отделочная обработка или высокоточная обработка основных
конструкторских баз.
. Контроль точности обработанных поверхностей детали и самой детали.
При формировании технологического маршрута изготовления детали в поточном
производстве необходимо учесть следующее:
операции строятся по принципу концентрации переходов;
черновые и чистовые технологические переходы не объединяем на одной
позиции, исключение - случаи, когда для требуемой точности необходимо при одной
установке выполнить черновую и чистовую обработку базовых поверхностей;
для обеспечения нормальной работы инструментов необходимо в пределах
каждой позиции комплектовать однотипные переходы, добиваясь одновременной
работы и наименьшей разницы в продолжительности работы.
Выбор технологического маршрута обработки колонны ведется с целью
повышения эффективности обработки и достижения нужных показателей качества, при
этом учитывается следующие правила:
· Основные припуски снимаются на черновых операциях.
· Более ответственные поверхности и операции выносятся в конец
маршрута для снижения их возможных повреждений в процессе межоперационного
транспортировки рычага.
Используя принятые технологические переходы на каждую поверхность и
технологические базы, принятые выше, разрабатываем план изготовления детали.
Таблица 5. Маршрут обработки детали "Рычаг"
|
№ операции и наименование
|
Наименование оборудования
|
№ и наименование позиции
|
Ra, мкм
|
|
000 Заготовительная
|
Штамп
|
-
|
160
|
|
010 Фрезерная
|
Вертикально-фрезерный
станок 6Р12. Фреза торцевая Т5К10
|
1. Фрезерование плоскости,
поверхность 1,2,3 на глубину 3 мм.
|
6,36
|
|
|
1. Переустановка,
фрезерование плоскости поверхность 4,5,6, выдерживая размеры 50, 38,36 мм.
|
|
|
020 Сверлильная
|
Радиально - сверлильный
станок 2М58-1. Сверло Æ 41,5 мм
|
1. Рассверливание сквозного
предварительного отверстия под протяжку, Æ 41,5 мм.
|
6,3
|
|
025 Контрольная
|
Штангенциркуль ШЦ-П-
250-630-0, 1-1 ГОСТ 166-89.
|
Контролировать размеры
согласно чертежу детали.
|
|
|
030 Протяжная
|
Горизонтально-протяжной
станок 7Б55. Протяжка Р6М5.
|
1. Протягивание шлицев
протяжкой до получения восьми шлицев D-8х42х48Н8х8D9. 
|
11,6
|
|
040 Горизонтально-фрезерная
|
Горизонтально-фрезерный
станок 6Р82. Фреза дисковая 2254-1456 2
|
1. Фрезерование паза на
вилке в размер 18Н12 мм.
|
12,5 -
|
|
|
2. Переустановка заготовки,
фрезерование паза в размер 10Н11 мм, выдерживая угол 10°, угол 5°43’ и размер 177-1 мм.
|
|
|
050 Вертикально-сверлильная
|
Радиально - сверлильный
станок 2М58-1. Сверло Æ12 Р6М5. СверлоÆ20 Р6М5.
|
1. . Сверление двух
сквозных отверстий Æ12Н11 мм, и одного отверстия Æ20 мм. 2. Зенкерование фасок 1,6´45° . 
|
3,2
|
|
055 Моечная
|
Моечная ванна
|
|
|
060 Зачистная
|
Инструмент слесарный
|
Зачистить все заусенцы,
образованные после обработки детали.
|
|
|
065 Контрольная
|
Инструмент контрольный
|
Контролировать все размеры
полученной детали.
|
|
|
|
|
|
|
1.7 Выбор
оборудования и средств технологического оснащения
Операция 010. Для данной операции применим вертикально-фрезерный станок
6Р12.
Рисунок 6. Вертикально-фрезерный станок 6Р12.
|
Технические характеристики
|
Параметры
|
|
Размеры рабочей поверхности
стола, мм
|
1250 х 320
|
|
Наибольшее продольное
перемещение стола, мм
|
800
|
|
Наибольшее поперечное
перемещение стола, мм
|
320
|
|
Наибольшее вертикальное
перемещение стола, мм
|
420
|
|
Расстояние от торца
шпинделя до рабочей поверхности стола, мм
|
30 - 450
|
|
Пределы частот вращения
шпинделя, мин -1
|
31,5 - 1600
|
|
Ускоренное продольное
перемещение стола, мм/мин
|
4000
|
|
Ускоренное поперечное
перемещение стола, мм/мин
|
4000
|
|
Ускоренное вертикальное
перемещение стола, мм/мин
|
1330
|
|
Максимальная масса
обрабатываемой детали с приспособлением, кг
|
1000
|
|
Мощность электродвигателя
привода шпинделя, кВт
|
7,5
|
|
Мощность электродвигателя
привода стола, кВт
|
3
|
|
Конус шпинделя по ГОСТ
30064-93
|
ISO 50
|
|
Габаритные размеры станка
(Д х Ш х В), мм
|
2280 х 1965 х 2265
|
|
Масса станка с
электрооборудованием, кг
|
3250
|
Операция 020. Здесь мы используем Радиально - сверлильный станок 2М58-1.
Рисунок 7. Радиально-сверлильный станок 2М58-1.
Технические характеристики:
Станки модели 2м58-1 предназначены для сверления, рассверливания,
зенкования, развертывания, нарезания резьбы; применяется в условиях единичного
и серийного производства
Наибольший условный диаметр сверления в стали 45, мм 100
Вылет шпинделя, мм 3150
Наибольшее перемещение шпинделя, мм 630
Серия 1976
Аналог 2М58-1
Замена 2А587
Точность Н
Мощность 13
Габариты 4850x1830x4885
Масса 18000
Максимальная частота вращения шпинделя, об/мин: 1250
Операция 030. Для данной операции применяем Станок протяжной
горизонтальный для внутреннего протягивания, одинарный 7Б55.
Рисунок 8. Горизонтально-протяжной станок 7Б55.
Технические характеристики:
Станки модели 7б55 предназначены для обработки методом протягивания
предварительно обработанных или черновых сквозных отверстий различной формы и
размеров. Привод гидравлический
Класс точности по ГОСТ 8-71 Н
Номинальное тяговое усилие, тс 10
Наибольшая длина хода рабочих салазок, мм 1250
Наибольшая настроенная длина хода рабочих салазок, мм 1200
Расстояние от станины до оси отверстия под планшайбу в опорной плите, мм
250
Максимальный наружный диаметр обрабатываемой детали, мм 600
Размеры рабочей поверхности передней опорной плиты станка, мм 450х450
Диаметр отверстия под планшайбу в опорной плите, мм 160А
Диаметр отверстия в планшайбе, мм 125А
Диаметр планшайбы, мм 280
Наибольшая скорость рабочего хода, м/мин 11,5
Наибольшая / наименьшая скорость рабочего хода, м/мин 11,5 / 1,5
Регулирование скорости рабочего хода бесступенчатое
Рекомендуемая скорость обратного хода, м/мин 20...25
Мощность, кВт 18,5
Габариты 6340x2090x1910
Масса, кг 5200
Операция 040. Для этой операции применим горизонтально-фрезерный
консольный станок 6р82.
Рисунок 9. Горизонтально-фрезерный станок 6Р82.
Технические характеристики:
Станки модели 6р82 предназначены для выполнения разнообразных фрезерных
работ цилиндрическими, торцевыми, концевыми, фасонными и другими фрезами.
Размеры рабочей поверхности стола (длина х ширина), мм 1250х320
Число Т-образных пазов 3
Наибольшие перемещения стола, мм
продольное (механическое / вручную) 800 / 800
поперечное (механическое / вручную) 240 / 250
вертикальное (механическое / вручную) 410 / 420. и max. расстояния от оси
шпинделя до рабочей поверхности стола, мм 30-450
Расстояние от оси шпинделя до хобота, мм 155
Расстояние от торца шпинделя поворотной головки до стола, мм 35-535
Расстояние от оси шпинделя поворотн. головки до направляющих станины, мм
260-280
Перемещения стола на одно деление лимба
(продольн.,поперечн.,вертикал.),мм 0,05
Перемещения стола на один оборот лимба, мм
продольное и поперечное 6
вертикальное 2
Наибольшая масса обрабатываемой детали, кг 250
Наибольшее перемещение пиноли шпинделя, мм 80
Поворот головки в поперечной плоскости стола, град.
к станине 45
от станины 90
Поворот головки в продольной плоскости стола, град. 360
Поворот накладной головки, град 360
Размер горизонтального шпинделя по ГОСТ 15945-70 50
Размер шпинделя поворотной и накладной головок по ГОСТ 15945-70 40
Мощность электродвигателя привода главного движения, кВт 7,5
Габарит станка (длина х ширина х высота), мм 2470х1950х1950
Масса станка, кг 3300
Завод изготовитель, год Горький, 1973-85
1.8 Применение
высокотехнологичного режущего инструмента
Сменные многогранные пластины используются совместно с державками для
различных видов обработки. Различаются по типу материалов, из которых они
изготовлены:
твердосплавные и металлокерамические (керметы) пластины;
пластины с вставками PCBN и PCD;
керамические пластины.
Также могу различаться по видам обработки: для черновой, получистовой и
чистовой обработки.
Есть также разделение по видам применения: - для общей токарной
обработки, отрезные и канавочные пластины, резьбонарезные пластины.
Рисунок 10. Торцевая фреза с пластинами из металлокерамики.
Твердосплавные пластины и керметы могут иметь различные виды стружколомов
и используются для всех типов обработки: финишная (стружколомы SF, USF, WG),
чистовая (стружколомы DF, HF, EF, NF, PM), получистовая (стружколомы DM, HM,
EM, NM), черновая (стружколомы DR, HR, ER) и всех основых материалов: сталь
(P), нержавеющая сталь (M), чугун (K), цветные металлы (N), жаропрочные сплавы
(S). Система обозначения пластин позволяет быстро и удобно выбирать нужные
группы пластин из всей номенклатуры:
а) Первая буква обозначет форму пластины (ромб, квадрат, круглая и т.д.);
б) Вторая буква показывает значение заднего угла (например A = 3°, C = 7° и
т.д.); в) Третья буква обозначает виды и значения допусков; г) Четвертая буква
обозначает тип пластины (с отверстием или без, односторонняя или двухсторонняя,
есть ли стружколом или нет).
Во многих случаях, особенно в массовом и
крупносерийном производствах, использование неперетачиваемых пластин
оказывается более целесообразным по ряду причин. Основной причиной является
высокая экономичность использования твердого сплава, так как на одной пластине
располагаются три, четыре, шесть и более режущих кромок, которые можно
использовать последовательно без каких-либо существенных дополнительных затрат.
Твердые сплавы - это металлические материалы весьма
большой твердости, очень тугоплавкие и износостойкие. Эти свойства твердых
сплавов остаются неизменными в широком диапазоне температур, вплоть до
900-1000°С. Инструментальные твердые сплавы являются металлокерамическими, и их
производят методом порошковой металлургии в отличие от литых твердых сплавов.
Основой металлокерамических твердых сплавов являются химические соединения
металлов: вольфрама, титана, тантала или ниобия с углеродом - карбиды: карбиды
вольфрама (WC), титана (TiC), тантала (ТаС), ниобия (NbC) или соединения
металлов ванадия, хрома, циркония, ниобия, молибдена с азотом (нитриды), бором
(бориды) или кремнием (силициды).
Зерна карбидов вольфрама, титана, тантала
цементируются кобальтом или никелем - достаточно пластичными и прочными
металлами. Порошки карбидов и связки тщательно перемешиваются, затем формуются
и прессуются пластины, которые затем подвергаются спеканию при определенной
температуре.
Металлокерамические твердые сплавы делят на три
группы:группа - вольфрамовые типа ВК с разным содержанием карбидов вольфрама
(буква В) и кобальта (буква К): ВК3; ВК3-М, ВК4, ВК4-В, ВК6, ВК6-М, ВК6-В, ВК8,
ВК8-В, ВК8-ВК и др. Цифры, стоящие после буквы К, означают среднее содержание
кобальта (%), остальные буквы указывают либо на мелкозернистую (буква М), либо
на крупнозернистую (буква К в конце) структуру сплава, либо на спекание сплава
в атмосфере водорода (буква В). Например, химический состав сплава ВК8
соответствует: 92% WC и 8% Со.группа - титановольфрамовые типа ТВ, структура
которых состоит из зерен твердого раствора карбида вольфрама (WC) в карбиде
титана (TiC) и избыточных зерен карбида вольфрама, сцементированных кобальтом: Т30К4,
Т15К6, Т14К8, Т5К10, Т5К12. В маркировке сплава Т30К4 приняты обозначения: Т -
титан, число 30-30% карбида титана, К - кобальт, цифра 4-4% кобальта, остальное
(66%) - карбид вольфрама.группа - титанотанталовольфрамовые типа ТТК, структура
которых состоит из зерен твердого раствора (Ti, Та, W) С и избыточных зерен
карбида вольфрама, сцементированных кобальтом: ТТ7К12, ТТ8К6, ТТ10К8-Б, ТТ20К9.
В маркировке сплава ТТ7К12 первая буква Т означает титан, вторая буква Т -
тантал, буква К - кобальт, цифры: 7% карбиды титана и тантала (4% + 3%), 12% -
кобальт, остальное (81%) - карбид вольфрама.
Каждая марка твердого сплава имеет свою область
применения:
) сплавы ВК - при обработке деталей из чугуна, цветных
металлов и сплавов и неметаллических материалов,
) сплавы ТВ - при обработке легированных и
углеродистых сталей,
) сплавы ТТК - при обработке труднообрабатываемых
материалов, включая жаропрочные стали и сплавы, при тяжелом черновом точении и
при наличии ударов.
Сплавы группы ВК также могут использоваться при чистовом
и получистовом точении закаленных сталей для нарезания резьбы, развертывания и
растачивания цементированных, закаленных легированных и углеродистых сталей.
Твердые сплавы можно изготовлять из огнеупорных
окислов алюминия А12О3 или циркония ZrO2, связанных
аморфной стекловидной фазой. В этом случае их называют минералокерамическими
твердыми сплавами. Они обладают очень высокими режущими свойствами, но очень
хрупкие. Если в качестве связки использовать железо, никель или тугоплавкие
металлы титан, цирконий, хром, молибден, то можно ослабить хрупкость
минералометаллических или керамикометаллических материалов, называемых
сокращенно керметами.
На долю твердосплавного инструмента приходится 68%
обрабатываемых материалов (по массе), быстрорежущего инструмента - 28%,
инструмента из керметов - 4%.
При обработке ряда материалов в последние годы стали
использовать сверхтвердые материалы, к которым относятся природные алмазы,
синтетические алмазы и кубический нитрид бора (эльбор). Для лезвийного
инструмента применяют монокристаллы природных алмазов, поликристаллы и
композиции из поликристаллов синтетических алмазов и эльбора в виде пластин,
вставок, цилиндров и других тел. Эти композиционные сверхтвердые материалы
выпускают под разными названиями (карбонадо, баллас, алмет, композиты,
эльбор-Р, гексанит-Р и др.).
Таблица 6.Сравнительные значения свойств
инструментальных материалов
Таблица 7. Сравнительные значения скоростей резания при точении
керамическим инструментом и инструментом из твёрдого сплава
Исходя из вышеперечисленного, целесообразнее применять для обработки
резцы с пластинами из металлокерамики.
Рисунок 11. Сравнение инструментальных материалов.
1.9 Определение
припусков расчетно-аналитическим методом
Определение припусков на обработку и допусков на промежуточные
операционные размеры, обеспечивающие возможность получения деталей требуемого
качества, имеет важное технико-экономическое значение.
Завышенные припуски на обработку являются причиной перерасхода материала,
увеличения трудоемкости, приводят к снижению качества поверхности за счет
удаления наиболее износостойких поверхностных слоев, повышают затраты на
электроэнергию. С другой стороны, заниженные припуски также снижают качество
обработки, так как не позволяют полностью удалить дефектный слой, затрудняют
достижение требуемой точности и шероховатости поверхности. В связи с этим
возникает необходимость технически обоснованного выбора общего и
межоперационных припусков на обрабатываемые поверхности. Под общим припуском
подразумевается слой металла, необходимый для выполнения всей совокупности
технологических переходов, т.е. всего процесса обработки данной элементарной
поверхности от черной заготовки до готовой детали.
Общий припуск определяется как сумма операционных припусков:
,
где Zi - припуск на обработку рассматриваемой поверхности на
i-й операции.
Существуют три метода определения припуска, которые находят применение и
в САПР ТП: дифференциально-аналитический, нормативный и
интегрально-аналитический.
Аналитический (дифференциально-аналитический) метод определения припусков
базируется на анализе производственных погрешностей и является наиболее точным.
Он дифференцированно учитывает влияние на величину припуска конфигурации и
размеров детали, качества заготовки, а также погрешностей, возникающих при
механической и термической обработке.
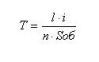
Наиболее общий вид формулы для определения минимального припуска (мм) на
обработку на i-й операции можно представить в виде
,
где Rzi-1 - высота шероховатости неровностей профиля, мкм;i-1
- глубина дефектного слоя на предшествующей операции (переходе), мкм;
ri-1 -
векторная сумма пространственных отклонений взаимосвязанных поверхностей
обрабатываемой заготовки, полученных на предшествующей операции, мкм;
ei -
векторная сумма погрешностей базирования и закрепления, мкм;- коэффициент,
учитывающий характер припуска (для односторонних припусков k=l, для
симметричного - k = 2).
Рассматриваемый метод находит наибольшее применение при автоматизации
решения технологических задач. Он позволяет наиболее точно определять значения
припусков и операционных размеров, что способствует в ряде случаев снижению
отходов металла в стружку на 20-50%.
В качестве исходной информации для автоматизации расчета припусков
используются следующие данные: чертеж детали с техническими требованиями, метод
получения заготовки, точность и качество заготовки, установочные базы, тип
приспособления, технологический маршрут обработки элементарной поверхности и
вид термической обработки.
Алгоритм расчета припусков и операционных размеров с использованием
дифференциально-аналитического метода включает следующие этапы:
. Ввод исходной информации.
. Выбор или назначение технологического маршрута обработки i-ой
элементарной поверхности.
. Определение составляющих Rzi-1, Ti-1, ri-1, ei .
. Расчет минимального припуска Zmin, Для i - ой операции.
. Определение допусков для соответствующих квалитетов, их верхних и
нижних отклонений i - ой поверхности для каждой i - ой операции.
. Расчет максимальных, общих и номинальных припусков на все операции
технологического процесса обработки i - ой поверхности.
. Расчет минимальных и максимальных размеров обрабатываемых поверхностей
по всем операциям обработки i - ой поверхности.
Основной трудностью создания вышеописанного алгоритма является подготовка
и формализация на 3-м этапе большого объема справочно-нормативной информации,
особенно для определения погрешностей базирования, закрепления,
пространственных отклонений в связи с их многообразием в зависимости от
конкретных условий обработки.
1.10 Расчёт
режимов обработки для основных операций
Сверление - вид механической обработки материалов резанием, при котором с
помощью вращения вокруг оси инструмента (сверла) и поступательного его движения
вдоль этой оси получают отверстия различного диаметра и глубины.
Это вращение может придаваться как непосредственно инструменту, так и
обрабатываемой заготовке (в токарных станках).
Режим резания при сверлении должен обеспечивать максимальную
производительность операции при заданной стойкости инструмента за счет
назначения определенного сочетания глубины резания, подачи сверла и скорости
резания.
При сверлильных работах рекомендуется задавать режимы исходя из мощности
используемого оборудования. Наиболее удобный материал режущего инструмента -
быстрорежущая сталь (Р18, Р6М5).
Сверление может быть как окончательной операцией формирования отверстия,
так и предварительным этапом обработки для последующей операций зенкерования и
развертывания, целью которых является повышение точности получаемого отверстия
и снижение шероховатости поверхности. Примерная последовательность этапов
обработки и значения припуска для обработки отверстий в зависимости от
необходимой точности отверстия приведена в таблице 8.
Таблица 8.
|
Квалитет точности отверстия
|
Этап обработки
|
Ориентировочное значение
припуска на обработку t, мм
|
|
15, 14
|
I - сверление
|
t=0,5D или t=0,5(D-d)
|
|
13, 12, 11, 10
|
I - сверление
|
t=0,5D или t=0,5(D-d)
|
|
II - зенкерование
|
0,3D0,5
|
|
9, 8
|
I - сверление
|
t=0,5D или t=0,5(D-d)
|
|
II - зенкерование
|
0,3D0,5
|
|
III - развертывание
однократное
|
0,002D + 0,1
|
|
7
|
I - сверление
|
t=0,5D или t=0,5(D-d)
|
|
II - зенкерование
|
0,3D0,5
|
|
III - развертывание
черновое
|
0,001D + 0,08
|
|
III - развертывание
чистовое
|
0,001D + 0,03
|
При сверлении глубина резания составляет t=0,5D, при рассверливании
t=0,5(D-d).
Отверстия диаметром более 25 мм обычно сверлят за два перехода: вначале
сверлом меньшего диаметра, а затем рассверливают сверлом большего диаметра.
Диаметр первого сверла равен примерно длине поперечной режущей кромки
второго сверла. Это дает возможность значительно уменьшить силу резания при
обработке сверлом большого диаметра. Наше отверстие равно 25 мм (см. рис.1)
Если сверление не является заключительной операцией формирования
отверстия, необходимый диаметр сверла d, определяют по формуле
= D - 2tзен - 2tразв.черн
- 2tразв.чист, мм,
где tзен - припуск
под зенкерование, мм; tразв.черн - припуск под черновое
развертывание, tразв.чист - припуск под чистовое развертывание.
Полученный диаметр сверла
необходимо уточнить на соответствие ГОСТ 885-77 (переиздание 1986
г.).устанавливающий диаметры спиральных сверл. Принимают ближайшее меньшее
значение диаметра из стандартного ряда
Подача при сверлении зависит,
прежде всего, от диаметра сверла, а также от физико-механических свойств
обрабатываемого материала, глубины отверстия и др. факторов.
для сверл с d ≤ 10 мм So
= 0,025 × KS × KHBS × KlS × K1S × d, мм/об
для сверл с d ≥10 мм So
= 0,063 × KS × KHBS × KlS × K1S × d0,6 мм/об,o = 0,063 × 1,0 × (1,5)1,2
× 1,4(25/20)0,3 × 1,0 × 250,6=
=0,063
× 1,6 × 1,5 × 6,9 = 0,23
мм/об
где KS -
коэффициент, учитывающий влияние марки обрабатываемого материала (определяется
по табл. 37); KHBS и KlS - коэффициенты, учитывающие
соответственно влияние твердости обрабатываемого материала и глубины отверстия
lо, мм. Эти коэффициенты могут быть определены по табл. 9; K1S
- коэффициент, характеризующий условия сверления: для "обычных"
условий сверления K1S = 1,0, для тяжелых условий K1S = 0,6. Под
тяжелыми условиями подразумевается сверление отверстий в деталях малой
жесткости, для получения сквозных отверстий, отверстий на наклонных
поверхностях и т.п.
Таблица 9
|
Обрабатываемый материал
|
KS
|
Kv
|
|
Стали повышенной
обрабатываемости (типа А20, и др.)
|
1,2
|
1,2
|
|
Стали углеродистые
качественные (типа стали 40, 45, 50 и др.)
|
1,0
|
1,0
|
|
Стали низколегированные
(типа 20Х, 40Х, 30Г и др.)
|
0,9
|
0,9
|
|
Стали среднелегированные
(типа 35ХГСА, 38ХМА, 38ХС, 18ХНВА и др.)
|
0,8
|
0,75
|
|
Стали высоколегированные
коррозионностойкие, жаростойкие, жаропрочные (типа 20Х13, 12Х18Н10Т и др.)
|
0,7
|
0,6
|
Материал детали "Сухарь" - Сталь СТ3СП2 ГОСТ 148337-89 - сталь
конструкционная углеродистая, обыкновенного качества
Таблица 10
|
Обрабатываемый материал
|
KHBS
|
KlS
|
KHBv
|
Klv
|
|
Сталь
|
|
|
|
|
|
Чугун
|
|
|
|
|
Рассчитанное значение подачи Sо следует уточнить в бóльшую сторону по паспортным данным
оборудования и использовать значение Sо ст при дальнейших расчетах.
Ряд паспортных значений подачи на оборот Sо ст для некоторых моделей
вертикально-сверлильных станков приведен в табл. 11.
Таблица 11
|
Модель станка
|
Ряд значений частоты
вращения шпинделя n, об/мин и подачи на оборот Sо ст, мм/об
|
|
2Б118
|
nст=208; 326;
520; 820; 1280; 2040 Sо ст=0,1; 0,2; 0,3; 0,4
|
|
2А125
|
nст=97; 140;
195; 272; 392; 545; 680; 900; 1300 Sо ст =0,1; 0,13;
0,17; 0,22; 0,28; 0,36; 0,48; 0,62; 0,81
|
|
2А135
|
nст=68; 100;
140; 195; 275; 400; 530; 750; 1100 Sо ст=0,12; 0,15; 0,2; 0,26;
0,32; 0,43; 0,57; 0,72; 0,96; 1,22; 1,6
|
|
2А150
|
nст= 32; 47; 63;
89; 125; 185; 250; 351; 500; 735; 996; 1400 Sо ст= 0.12; 0.19;
0.28; 0.4; 0.62 0.9; 1.17; 1.8; 2.64
|
|
2Н125 2Н135 2Н150
|
nст=45; 63; 90;
125; 180; 250; 355; 500; 710; 1000; 1400; Sо ст=0.1; 0.14; 0.2;
0.28; 0.4; 0.56; 0.8; 1.12; 1.6
|
Скорость резания при сверлении V для режима нормальной интенсивности
может быть рассчитана по формулам:
при сверлении стали:
м/мин
Где
Т - заданная стойкость сверла, мин. Рекомендуемое значение стойкости
может быть принято по нормативам [2] или подсчитано по приближенным
эмпирическим зависимостям, приведенным в справочных таблицах.
Рисунок 13. Сверление отверстия Æ20 мм.
Т=6d0,7=6x200,7=57,1 мин
Поправочный коэффициент Kv, характеризующий влияние марки обрабатываемого
материала, находят по табл. 9.
Поправочный коэффициент KHBS, характеризующий влияние
твердости обрабатываемого материала и коэффициент Klv, характеризующий длину
(глубину) обрабатываемого отверстия l0, выбирают по табл. 10.
Поправочный коэффициент Kм, характеризующий инструментальный материал
сверла, определяют по табл. 12.
Таблица 12
|
Марка быстрорежущей стали
|
Kм
|
|
Р6М5
|
1,0
|
|
Р6М5К5
|
1,06
|
|
Р6М4К8
|
1,17
|
|
Р2М5, 11Р3М3Ф2
|
0,92
|
При выборе инструментального материала для изготовления сверла следует принимать
во внимание следующие соображения. Для обычных условий сверления углеродистых и
низколегированных сталей, имеющих нормальную (НВ 180…220) и пониженную
твердость (НВ < 180), можно использовать сверла из стали Р6М5. Эту же марку
можно применять при сверлении чугуна с НВ < 200. Для обработки
среднелегированных сталей, а также углеродистых и низколегированных сталей
повышенной твердости НВ 220…250 и чугуна с НВ > 200 рекомендуется
использовать сверла из стали Р6М5К5. Для обработки высоколегированных, коррозионно-стойких,
жаростойких и жаропрочных сталей, а также материалов с высокой твердостью (НВ
> 250) рекомендуется применять сверла из стали Р9М4К8. Для сталей повышенной
обрабатываемости, а также материалов с низкой твердостью НВ 130-150, можно применять
малолегированные недорогие быстрорежущие стали Р2М5 и 11Р3М3Ф2.
Поправочный коэффициент Kп характеризует наличие износостойкого покрытия.
Для сверл без покрытия принимают Kп =1,0, для сверл с износостойким покрытием
Kп = 1,15.
Поправочный коэффициент Kт, характеризующий степень точности сверла,
определяют по табл. 13. Сверла повышенной точности класса А1, изготовленные
методом вышлифовки канавок и спинок, имеют более высокую стойкость,
используются обычно на ответственных работах, на автоматизированном оборудовании,
при повышенных требованиях к надежности инструмента и т. п. Такие сверла имеют
большую стоимость и изготавливаются, как правило, небольших диаметров.
Таблица 13
|
Тип сверла
|
Класс точности
|
Kт
|
|
Фрезерованные или катанные
|
В
|
1,0
|
|
В1
|
1,05
|
|
Шлифованные
|
А1
|
1,15
|
Поправочный коэффициент Kс характеризует длину рабочей части сверла.
Чаще всего для сверления отверстий в машиностроении используют сверла
средней серии с коническим хвостовиком по ГОСТ 10903-77 (переиздание 1986г.)
или с цилиндрическим хвостовиком поГОСТ10902-77 (переиздание 1986г.). Для
сверления отверстий малой глубины в массовом и крупносерийном производстве для
повышения стойкости рекомендуется применять сверла короткой серии, а для
обработки глубоких отверстий - длинные и удлиненные сверла соответствующих
серий. Для сверл средней серии длину рабочей части l, мм, можно в первом
приближении подсчитать по эмпирической формуле
1
= 15d 0,7, мм. l1=15x200.7=142,7 мм
Зная длину рабочей части сверла, значение поправочного коэффициента Kс
можно подсчитать по формуле
Кс=1,7х0,1760,3=1,009
Поправочный коэффициент Kф, характеризующий форму заточки режущей части
сверла, устанавливают согласно табл. 14.
Таблица 14
|
Обрабатываемый материал
|
Форма заточки
|
d, мм
|
Kф
|
|
Наименование
|
Обозначение
|
|
|
|
Сталь, стальные отливки,
чугун
|
Нормальная (без подточек)
|
Н
|
-
|
1,0
|
|
Стальные отливкив<500
МПа с коркой
|
Нормальная с подточкой
перемычки
|
НП
|
Св. 12
|
|
|
Стальные отливкив<500
МПа с коркой и чугун с коркой
|
Двойная (с двойным углом )
|
Д
|
|
1,2
|
|
Двойная с подточкой
перемычки
|
ДП
|
|
|
Частоту вращения шпинделя n определяют по формуле
, об/мин.
Полученное значение n уточняют в меньшую сторону по паспортным данным
оборудования. Ряд значений частоты вращения шпинделя nст для
некоторых моделей универсальных вертикально-сверлильных станков приведены в
табл. 5.
Фактическое значение скорости резания Vф, м/мин, равно
, м/мин.
У нормальных сверл диаметром выше 10 мм не возникает
опасности излома от чрезмерно большого крутящего момента, так как для этих
диаметров наибольшие напряжения, возникающие в сверле, обычно лимитируются
скоростью затупления при возрастании скорости резания и подачи. Для сверл
диаметра меньше 10 мм, крутящий момент рекомендуется рассчитывать по формуле
, для обеспечения целостности
инструмента.
Мощность резания можно определить по формуле:
<#"810930.files/image047.gif"> кВт.
Для
определения крутящего момента применим экспериментальную формулу:
, Н×м
где
См - коэффициент, характеризующий свойства обрабатываемого
материала, ХМ и УМ - коэффициенты, зависящие от свойств
обрабатываемого материала.
Формула
для определения времени обработки при сверлении:
<#"810930.files/image050.gif"> (мин.)
Для наглядности результаты вышеприведённых расчётов можно свести в
итоговую таблицу 15.
Таблица 15.
|
Глубина резания t=D/2 (мм)
|
10
|
|
Подача S (мм/об.)
|
0,2
|
|
Стойкость сверла Т (мин).
|
57,1
|
|
Частота вращения n (об/мин)
|
140
|
|
Скорость резания V (м/мин.)
|
11
|
|
Мощность Nе
(кВт)
|
6
|
|
Крутящий момент
|
422,5
|
|
Время обработки 4-х
отверстий Т (мин.)
|
2,86
|
Рисунок 14. Параметры при сверлении.
Фрезерование (фрезерная обработка) - это процесс механической обработки,
при котором режущий инструмент (фреза) совершает вращательное движение (со
скоростью V), а обрабатываемая заготовка - поступательное (со скоростью подачи
S).
При торцовом фрезеровании (а в нашем случае применяется именно этот тип
фрезерования) ось фрезы располагается перпендикулярно обработанной поверхности.
Основную работу при торцовом фрезеровании производят боковые (главные) режущие
кромки; торцовые кромки производят лишь зачистку обработанной поверхности.
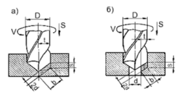
На рис. 2 показано торцовое фрезерование фрезой, у которой главный угол в
плане
. Торцовое фрезерование называется
полным, когда ширина фрезеруемой (обработанной) поверхности B будет равна
диаметру фрезы D; полный угол контакта
в этом случае будет равен 1800.
Толщина среза а - величина переменная вдоль всей длины дуги контакта. На
входе и выходе она равна а1. Для произвольного положения зуба,
имеющего угол контакта
, толщина среза определяется из треугольника.
Рисунок 15. Торцевое фрезерование плоской поверхности сухаря.
Торцовая фреза с
(рис. 2) применяется в случае необходимости обработки
поверхности, имеющей со смежной вертикальной поверхностью угол 900 .
Рассчитаем основные параметры при обработке фрезой.
Основное время при торцовом фрезеровании подсчитывается по формуле:
[мин],
- длина обработанной поверхности в мм; y - величина врезания в мм;
=1÷5 мм - величина перебега; Sм - минутная
подача в мм/мин.
. Глубина резания t
Назначается исходя из припуска на обработку. Как правило, припуск снимают
за один проход, т.е. t = h. Обычно глубина резания составляет 2
6 мм, а при торцовом фрезеровании на
мощных фрезерных станках t ≤ 25 мм.
При повышенных требованиях к точности и шероховатости обработка ведется в
два прохода (черновой и чистовой). Глубина резания при чистовом проходе
составляет 0,75
2 мм.
. Подача на зуб Sz
Поскольку фреза является многозубым инструментом, справедливы
соотношения:
м
[мм/мин]= S[мм/об] · n = Sz[мм/зуб] · z · n,
где n - частота вращения шпинделя, об/мин;- число зубьев фрезы.
При черновом фрезеровании величина подачи зависит от:
мощности станка;
жесткости системы СПИД (станок-приспособление-инструмент-деталь);
обрабатываемого материала;
материала фрезы.
В справочнике по таблице выбирается подача на зуб Sz.
При чистовом фрезеровании подача зависит от шероховатости обработанной
поверхности. По таблице справочника выбирается подача на оборот S и
пересчитывается на подачу на зуб Sz.
Таблицы подач в справочнике подразделяются на черновые и чистовые. Т.к.
по условию задан параметр шероховатости, то рассматриваемый пример
получистового точения ближе к случаю чистовой обработки.
По табл. 37 [1] для Rа=3.2 мкм и L=80 мм табличное значение
подачи Sтабл =1.0…2.3 мм/об. Выбираем среднее - Sтабл=1.7 мм/об. Смотрим: есть
ли примечания для данных условий резания. Примечания ко всем таблицам при
расчете обязательны.
Определяем подачу на зуб:
.
. Стойкость Т
Период стойкости фрезы зависит от инструментального материала и диаметра
фрезы.
Для цилиндрической фрезы с мелким зубом (D>60 мм, а диаметр нашей
фрезы равен Æ100 мм)
по табл. 40 [1] определяем стойкость инструмента: Т=180 мин.
. Скорость резания V
Скорость резания, допускаемая режущими свойствами фрезы:
[м/мин], где Kv = Kм v ·Kп v ·Kи v.
Коэффициенты Kv характеризуют: Kм v- материал детали; Kи v-
материал инструмента; KП v- качество поверхности.
По табл. 39 [1] выбирается ближайший вид обработки. Для нашего случая -
это фрезерование плоскостей. Далее необходимо определиться с обрабатываемым
материалом, к какой группе он относится: конструкционная углеродистая сталь,
серый чугун, медные сплавы.
Отличия заданного обрабатываемого материала от табличного по НВ или σв учитываются соответствующим коэффициентом KM,
входящим в общий коэффициент Kv. Для рассматриваемого примера в таблице
выбираем раздел: обработка стали.
После чего по таблице (Sz Сv=57.6; qv=0.7; xv=0.5; yv=0.20;
иv=0.3; pv=0.3; m =0.25.
Следующим шагом расчета необходимо учесть все отличия данных условий
обработки относительно тех, для которых даны табличные значения. Для этого
находят значения поправочных коэффициентов:
.
=
коэффициент определяется по табл. 1 и 2 [1] для данных условий и
округления в этом месте расчетов недопустимы.
КПv=1.0 - по таблице 5 [1] (поверхность заготовки без литейной
корки).Иv=1.0 - по таблице 6 [1] (обрабатывается Р6М5).
.
. Частота вращения шпинделя n
[об/мин]
Частота вращения шпинделя корректируется по станку: n ≥ nст.
Так как заданный станок FSS400, на котором производится фрезерная
обработка нашего сухаря, имеет ступенчатое регулирование главного привода, то
согласно таблице 3.2 выбираем ближайшее меньшее значение по станку и принимаем
n=160 об/мин.
. Действительная скорость резания Vд
.
. Действительная подача на зуб Sz д
Минутная подача определяется подачей на зуб и скорректированной частотой
вращения шпинделя:
м = Sz · z · n [мм/мин].м=0,12×14×160=268,8 (мм/мин)
Внимание! Минутная подача корректируется по станку:
м
≥ Sм ст . Sм=250
Обратным действием после коррекции находится действительная подача на
зуб:
.
. Проверка по мощности электродвигателя станка
Для проверки по мощности электродвигателя станка определяем главную
составляющую окружной силы резания:
По табл. 41 [1] согласно выбранному разделу (цилиндрическая фреза;
быстрорежущая сталь) определяем параметры:
=30;
=0.83;
=0.65; ир=1; qp=0.83; wp=0.
Все отличия заданных условий резания относительно табличных учитывают
поправочные коэффициенты:
=
.
=
определяем по табл. 9 [1] (серый чугун обрабатывается быстрорежущей
сталью при фрезеровании, n=0.55).
Мощность, затрачиваемая на резание:
.
По таблице 3.2 находим КПД станка η=0.8 и определяем расчетную мощность:
расч=Nрез/ η=2,24/0,8=2,8 [кВт].
С учетом данных таблицы 3.2 (Nст=7.5 кВт) делаем вывод, что
обработка возможна:
расч=2.8< Nст=7.5.
Основное время
Определяем составляющие длины L. Для цилиндрического фрезерования:
[мм]; Δ=2.5 мм.
Тогда:
L=l+y+Δ =215+19.6+2.5=237.1 [мм].
Основное (технологическое) время определяется по формуле:
[мин].
Для наглядности результаты вышеприведённых расчётов можно свести в
итоговую таблицу 16.
Таблица 16.
|
Глубина резания t, мм
|
4
|
|
Подача S (мм/зуб.)
|
0,12
|
|
Период стойкости фрезы Т
(мин).
|
180
|
|
Частота вращения n (об/мин)
|
160
|
|
Скорость резания V (м/мин.)
|
50,3
|
|
Мощность Nе
(кВт)
|
2,24
|
|
Время обработки Т (мин.)
|
0,95
|
2. Конструкторская
часть
.1 Описание
конструкции, работы и расчет станочного приспособления
Станочное приспособление - устройство для базирования
и закрепления заготовки при обработке на металлорежущем станке.
При изготовлении деталей в машиностроении большое
значение имеет технологическая подготовка производства, основную долю затрат по
стоимости и трудоемкости в которой вносит проектирование и изготовление
технологической оснастки, в частности, затраты на создание станочных
приспособлений. Одним из возможных решений этой задачи является применение
унифицированных, стандартизированных функциональных элементов, позволяющие
сократить комплект станочных приспособлений и увеличить срок их эксплуатации.
По целевому назначению различают пять групп
приспособлений:
1. станочные приспособления для установки
заготовок на станках, которые в зависимости от вида обработки делят на
токарные, фрезерные, сверлильные, шлифовальные, расточные, протяжные,
строгальные и другие.
2. Станочные приспособления для установки
обрабатывающих инструментов (вспомогательный инструмент), характеризующиеся
большим числом нормализованных конструкций в силу применения нормализованных и
стандартных рабочих инструментов. В состав этой группы входит 70...80 % от
общего количества приспособлений.
. Сборочные приспособления для обеспечения правильного
взаимного положения деталей и сборочных единиц, предварительного деформирования
собираемых упругих элементов (резиновых деталей, пружин, рессор), напрессовки,
запрессовки, вальцовки, клепки, гибки по месту и других сборочных операций.
. Контрольные приспособления, предназначенные для
проверки точности заготовок, промежуточного и окончательного контроля
изготавливаемых деталей, проверки сборочных операций, сборочных единиц и машин
(к этой группе относятся также испытательные и контрольно-измерительные
стенды).
. Транспортно-кантовальные приспособления для захвата,
перемещения и перевертывания обрабатываемых заготовок и собираемых изделий
(обычно тяжелых), применяемые в основном в автоматизированном массовом и
крупносерийном производствах.
По степени специализации подразделяют на три группы, в
каждую из которых входят соответствующие системы станочных приспособлений,
предусмотренные ЕСТПП и ГОСТ 14.305-73 "Правила выбора технологической
оснастки". В отдельную систему можно выделить средства механизации зажима
станочных предусмотренные ЕСТПП и ГОСТ 14.305-73 "Правила выбора
технологической оснастки". В отдельную систему можно выделить средства
механизации зажима станочных приспособлений (СМЗСП).
1. Универсальные
1. УБП - универсально-безналадочные
приспособления, для которых характерно применение универсальных регулируемых
приспособлений, не требующих сменных установочных и зажимных элементов. Данная
группа включает в себя комплексы универсальных приспособлений, входящих в
комплекты оснастки, поставляемой машиностроительным предприятиям в качестве
принадлежностей к станкам. Рекомендуется для единичного и мелкосерийного
производств.
2. УНП - универсально-наладочные
приспособления. Предусматривает разделение элементов приспособлений на два
основных вида: базовые и сменные. Базовые элементы - постоянная многократно
используемая часть приспособления, изготавливаемая заранее по соответствующим
стандартам. Сменные установочные и зажимные элементы-наладки могут быть
универсальными (изготавливаемыми заранее) и специальными (изготавливаемыми по
мере необходимости машиностроительным заводом).
Рекомендуется для мелкосерийного и серийного
производств, особенно эффективна при групповой обработке заготовок.
3. УУС - универсальные устройства и средства.
2. Специализированные
1. СБП - специализированные безналадочные
приспособления.
2. СНП - специализированные наладочные
приспособления. Так же, как и система УНП, включает базовые элементы и
комплексы элементов-наладок, но отличается более высокой степенью механизации
приводов и применением многоместных приспособлений.
Рекомендуется для специализированного серийного и
крупносерийного производств.
3. Специальные
1. УСП - универсально-сборные приспособления.
УСП является одноцелевым по назначению, но универсальными по изготовлению.
Собирают из заранее изготовленныхдеталей и сборочных единиц без последующей
доработки. В комплект УСП входят: базовые и корпусные детали (плиты
прямоугольные, плиты круглые, угольники); установочные детали (пальцы, призмы,
штыри и др.); направляющие детали (кондукторные втулки, колонки); крепежные
детали (болты, винты, шпильки, гайки, шайбы); разные детали (вилки, хомутики,
оси, рукоятки, опоры); сборочные единицы (поворотные головки, кронштейны,
фиксаторы, подвижные призмы, кулачковые и тисковые зажимы).
Из комплекта УСП можно собирать токарные, сверлильные,
фрезерные и другие приспособления. Предусматривает комплекс стандартных заранее
изготовленных из высококачественных легированных и инструментальных закаленных
сталей (12ХНЗА, У8А, У10А и др.) элементов - деталей и сборочных единиц высокой
точности, из которых компонуют различные конструкции специальных приспособлений.
После применения приспособления разбирают на составные элементы. Элементы УСП
находятся в обращении в течение 18-20 лет. Базовые детали по ГОСТ 15636-70 -
ГОСТ 15646-70; Корпусные детали по ГОСТ 15647-70 - ГОСТ 15706-70; Установочные
детали по ГОСТ 15707-70 - ГОСТ 15718-70; Направляющие детали по ГОСТ 15361-70 -
ГОСТ 15366-70; Прижимные детали по ГОСТ 15719-70 - ГОСТ 15723-70; Крепежные
детали по ГОСТ 15724-70 - ГОСТ 15733-70; Разные детали по ГОСТ 15734-70 - ГОСТ
15743-70; Сборочные единицы по ГОСТ 15744-70 - ГОСТ 15761-70.
Точность обработки на УСП не превышает 9-го квалитета
вследствие их невысокой жёсткости (наличие большого количества стыков). Главным
достоинством УСП является быстрота сборки. За 2-5 часов можно скомпоновать
приспособление средней сложности (с учетом квалификации слесаря-сборщика).
Рекомендуется для единичного, мелкосерийного, серийного и различных опытных
производств в период освоения новых видов изделий. Универсально-сборные
переналаживаемые приспособления (УСПП) - система станочных приспособлений, в
основу которой положен агрегатно-модульный принцип создания компоновок и
возможность переналадки элементов, в том числе автоматизированная.
Предназначены для базирования и закрепления деталей
при обработке на сверлильно-фрезерно-расточных станках с ЧПУ в условиях
многономенклатурного производства.
2. СРП - сборно-разборные приспособления.
Содержит комплексы стандартных сборочных единиц с базовыми поверхностями для
сборки различных приспособлений. По окончании эксплуатации (при смене объекта
производства) компоновки разбирают на сборочные единицы и используют их в новых
приспособлениях. Представляет собой компоновку, состоящую из готовой базовой
части (плиты, угольника, планшайбы), сборочных единиц (зажимных, установочных и
т. д.) и наладочного элемента, чаще всего специального, с помощью которого
заготовку "связывают" с установочными элементами приспособления. СРП,
несмотря на определенное сходство с УСП, имеют существенное различие: они
содержат помимо стандартных деталей и узлов специальную наладку. Точность
обработки на СРП (8, 9-й квалитеты) обеспечивается точностью изготовления и
установки составляющих базовых элементов. Рекомендуется для серийного и
крупносерийного производств в условиях частой смены выпускаемых изделий с большим
количеством модификаций.
3. НСП - неразборные специальные
приспособления. Содержит комплексы преимущественно стандартных сборочных
единиц, деталей и заготовок, а также нестандартных элементов для изготовления
высокопроизводительных специальных приспособлений и сменных специальных
на¬ладок. Рекомендуется для стабильного крупносерийного и массового
производств.
4. Система СМЗСП включает комплекс
универсальных силовых устройств, выполненных в виде обособленных агрегатов и
позволяющих в сочетании с другими приспособлениями механизировать и
автоматизировать процесс закрепления заготовок.Предназначена для использования
в условиях любого производства.
По способам обеспечения степени гибкости станочные
приспособления подразделяют на:
· сборные приспособления (УСП, УСПМ, СРП, УСПО);
· переналаживаемые приспособления (УБП, УНП, СБП, СНП,
АПП).
Дальнейшее развитие существующие системы станочных
приспособлений получили в системе универсально-сборных переналаживаемых
приспособлений (УСПП)
В процессе обработки на заготовку действуют силы резания Pz, Px, Py, так
же появляется момент резания, который стремится повернуть заготовку, так же на
заготовку действует сила зажима, которая препятствует повороту и смещению ее в
приспособлении при обработке.
Основные опоры бывают постоянными, регулируемыми и
самоустанавливающимися. Для повышения жесткости и виброустойчивости заготовки
применяют вспомогательные опоры, которые бывают регулируемыми и
самоустанавливающимися. Суммарное число основных и вспомогательных опор больше
числа тех степеней свободы, которых нужно лишить заготовку. Чем меньше опор,
тем проще станочные приспособления.
Так же приспособление должно обеспечивать возможность беспрепятственного
вылета инструмента и устойчивую жесткость закрепления.
Для удержания заготовки от поворота нужно приложить момент, направленный
в противоположную сторону
и равный
.
Момент зажима создается силой закрепления
,
где
- коэффициент трения;
- коэффициент запаса, учитывающий нестабильность сплавных
воздействий на заготовку
;
- гарантированный коэффициент запаса,
;
- коэффициент, учитывающий увеличение сил резания из-за
случайных неровностей на обрабатываемой поверхности заготовки,
;
- коэффициент, учитывающий увеличение сил резания вследствие
затупления режущего инструмента,
;
- коэффициент, учитывающий увеличение сил резания при
прерывистом резании, т.к. резание не является прерывистым, то
;
- коэффициент, характеризующий постоянство силы, развиваемой
зажимным механизмом,
;
- коэффициент, учитывающий эргономику немеханизированного
зажимного механизма, т.к. приспособление механизировано, то коэффициент не
учитывается;
- коэффициент, учитывающийся только при наличии моментов,
стремящихся повернуть заготовку, установленную плоской поверхностью, в данном
случае не учитывается.
2.2 Описание
конструкции и расчёт протяжки
Расчет геометрических параметров режущей части протяжки:
Назначают передний и задний углы протяжки. Задний угол режущих зубьев
выбирают в диапазоне aro = 2...3°.
Передний угол gro назначают в
зависимости от обрабатываемого материала по справочным таблицам.
. Передние углы протяжек
Определяют припуск под протягивание
= (Dmax - Do)/2,
где Dmax - наибольший предельный размер готового отверстия.
Рассчитывают шаг режущих зубьев по эмпирической формуле
Выбирают шаг t, соответствующий найденному диапазону, из табл. 17.
По величине t из табл. 17 назначают размеры стружечных канавок, геометрия
которых показана на рис. 1. При t ≥ 6 мм каждому шагу в табл. 17
соответствует не одна глубина канавки h. В качестве начального варианта
выбирают наибольшее значение h, чтобы обеспечить максимальную с точки зрения
размещения стружки в канавке толщину среза при протягивании. В дальнейшем
значение h может быть скорректировано в сторону уменьшения после проверки
режущей части протяжки на прочность.
Таблица 17. Размеры стружечных канавок, мм
|
t
|
h
|
c
|
r
|
R
|
Fк, мм2
|
t
|
h
|
c
|
r
|
R
|
Fк, мм2
|
|
|
|
|
|
|
|
|
|
|
|
|
|
|
|
|
|
|
|
|
|
4,5
|
2
|
1,5
|
1
|
2,5
|
3,14
|
14
|
4
|
4
|
2
|
10
|
12,57
|
|
|
|
|
|
|
|
|
|
|
|
|
|
|
|
|
|
|
|
|
|
6
|
|
2
|
|
4
|
|
|
5
|
|
2,5
|
|
19,63
|
|
|
|
|
|
|
|
|
|
|
|
|
|
|
|
|
|
|
|
|
|
2,5
|
|
1,25
|
|
4,91
|
|
6
|
|
3
|
|
28,27
|
|
|
|
|
|
|
|
|
|
|
|
|
|
|
|
|
|
|
|
|
|
8
|
|
3
|
|
5
|
|
16
|
5
|
4,5
|
2,5
|
12
|
19,63
|
|
|
|
|
|
|
|
|
|
|
|
|
|
|
|
|
|
|
|
|
|
3
|
|
1,5
|
|
7,07
|
|
6
|
|
3
|
|
28,27
|
|
|
|
|
|
|
|
|
|
|
|
|
|
|
|
|
|
|
|
|
|
10
|
|
|
|
7
|
|
|
7
|
|
3,5
|
|
38,48
|
|
|
|
|
|
|
|
|
|
|
|
|
|
|
|
|
|
|
|
|
|
4
|
|
2
|
|
12,57
|
18
|
5
|
6
|
2,5
|
|
19,63
|
|
|
|
|
|
|
|
|
|
|
|
|
|
|
|
|
|
|
|
|
|
12
|
3
|
4
|
1,5
|
8
|
7,07
|
|
6
|
|
3
|
|
28,27
|
|
|
|
|
|
|
|
|
|
|
|
|
|
|
|
|
|
|
|
|
|
4
|
|
2
|
|
12,57
|
|
7
|
|
3,5
|
|
38,48
|
|
|
|
|
|
|
|
|
|
|
|
|
|
|
|
|
|
|
|
|
Рассчитывают толщину среза, приходящегося на один зуб протяжки, из
условия помещаемости стружки в стружечной канавке:
где Fк - площадь сечения канавки (см. табл. 2); k - коэффициент заполнения канавки. При
обработке стальных, алюминиевых и медных заготовок k = = 3,5...4, при обработке заготовок из чугуна, бронзы и
латуни k = 2...2,5.
Полученную величину az округляют с точностью до 0,001 мм.
Определяют число одновременно работающих режущих зубьев
Рассчитывают силу, приходящуюся на 1 мм длины обрабатываемого контура, по
формуле
z
= Cpsв az0,85Kg ,
где Kg = (90 - g) /
75.
При обработке алюминиевых и медных сплавов Cр ≈ 2,0,
чугуна Cр ≈ 2,6, углеродистых сталей Cр ≈ 3,3, легированных сталей
Ср ≈ 4,3.
Рассчитывают усилие протягивания
т
= p рzD q
и напряжения в канавке перед первым зубом режущей части протяжки
Должно выполняться условие s1
≤ [sи], где
допускаемое напряжение на растяжение для протяжек из быстрорежущей стали [sи] = 400...450 МПа.
Если условие не выполняется, по табл. 2 выбирают меньшее значение глубины
стружечной канавки и повторяют расчет, начиная с п.1.2.5.
По справочным таблицам выбирают наибольший диаметр хвостовика d1,
проходящий с зазором в отверстие диаметром Dо.
Рассчитывают напряжение в опасном сечении хвостовика, возникающее под
действием силы Pт,
где Fх - площадь опасного сечения, приведенная в табл. 4.
Должно выполняться условие sх
≤ [sх], где
допускаемое напряжение на растяжение для хвостовиков из углеродистой и
легированной конструкционной стали [sх] = 250 МПа. Если это условие не выполняется, уменьшают
толщину среза на черновых зубьях протяжки до значения
.
Рассчитывают число черновых режущих зубьев протяжки
подбирая число чистовых режущих зубьев
1÷3
и толщину среза на
чистовом зубе
таким образом, чтобы z без какого-либо округления оказалось
целым числом.
Рассчитывают номинальные диаметры черновых режущих зубьев
i
= Dо + 2az(i - 1)
и чистовых режущих зубьев
чj = Dz + 2
j,
где
а Dz - номинальный диаметр последнего чернового зуба.
Рассчитывают длину режущей части протяжки
Расчет параметров калибрующей части протяжки
Передний угол калибрующих зубьев назначают таким же, как у режущих, а
задний угол выбирают в диапазоне arк = 0,5...1°.
Выбирают число калибрующих зубьев zк по табл. 3 в зависимости
от квалитета точности изготавливаемого отверстия.
Рассчитывают шаг калибрующих зубьев tк ≈ (2/3) t,
который согласуют с шагами, приведенными в табл. 2. По той же табл. 2 выбирают
размеры канавки между калибрующими зубьями.
Номинальный диаметр всех калибрующих зубьев одинаков и равен Dк
= Dmax. На зубьях предусматривают ленточку шириной f = 0,2...0,3 мм.
Рассчитывают длину калибрующей части протяжки
lк = tкzк.
Рис. 20. Хвостовики круглых протяжек по ГОСТ 4044-70
Конструктивные элементы протяжки
Геометрию и размеры хвостовика протяжки назначают в соответствии с рис. 2
и справочной таблицей.
Выбирают длину передней направляющей инструмента в диапазоне lпн
= (0,8...1,0)Lо, назначают длину задней направляющей lзн = (0,6...0,8)Lо и
рассчитывают расстояние до первого зуба
= 280 + lпн.
Определяют общую длину протяжки
= L1 + lр + lк + lзн.
Чтобы протяжка имела достаточную жесткость, должно выполняться условие L ≤
40D. Если это условие не выполняется, следует перейти к проектированию протяжки
с групповой схемой срезания припуска или комплекта из нескольких протяжек.
Для улучшения условий резания на режущих зубьях протяжки выполняют
стружкоразделительные канавки, конфигурация которых показана на рис. 3 (e = 60...90°; m = 0,6...1 мм; Rc
= 0,3...0,5 мм).
Количество канавок рассчитывают по эмпирической формуле
округляя nc до ближайшего четного числа.
На следующих друг за другом зубьях канавки выполняют в шахматном порядке
со смещением на угол 180°/nc.
Для изготовления, контроля и заточки круглых протяжек их выполняют с
центровыми отверстиями формы В по ГОСТ 14034-74. Диаметр d отверстий выбирают в
зависимости от диаметра протяжки по табл. 18.
Таблица 18. Диаметры центровых отверстий, мм
|
D
|
до 6
|
6...10
|
10...14
|
14...20
|
20...30
|
30...40
|
40...60
|
60...80
|
80...100
|
|
d
|
1,6
|
2,0
|
2,5
|
3,15
|
4,0
|
5,0
|
6,3
|
8,0
|
10,0
|
Протяжки изготавливают сварными, соединяя с помощью контактной стыковой
электросварки соплавлением режущую часть из быстрорежущей стали (ГОСТ 19265-73)
с хвостовой частью из углеродистой качественной стали (ГОСТ 1050-74) или
легированной конструкционной стали (ГОСТ 4543-71), как показано на примере
рабочего чертежа протяжки.
Твердость после термообработки: режущей части HRCэ 62...66,
хвостовой части HRCэ 44...50.
Шероховатость поверхностей протяжки:
профиля стружечной канавки, задней поверхности зуба, передней и задней
направляющих - Ra 0,63;
поверхностей хвостовика, контактирующих с замком патрона протяжного
станка, - Ra 1,25;
остальных поверхностей - Ra 2,5.
Точность конструктивных элементов протяжки.
Допуск на диаметр режущих зубьев назначают в пределах TDi = =
0,01...0,02 мм, но не более 0,4az, с расположением поля допуска по h.
Допуск на диаметр калибрующих зубьев TDк = TD/3 с
расположением поля допуска по h.
Допускаемое отклонение глубины стружечной канавки не более +0,3 мм при hк
≤ 4 мм и не более +0,5 мм при hк > 4 мм.
Чтобы исключить застревание заготовки на направляющих протяжки, поле
допуска на диаметр передней направляющей располагают по е8, а на диаметр задней
направляющей, которая соприкасается с уже обработанной поверхностью, по f 7.
Допуски на размеры хвостовика (обозначения размеров по табл. 4) назначают
следующими:
на диаметр d1 - по е8;
на диаметр d2 - по с11;
на диаметр d3 - с верхним предельным отклонением -0,5 мм и
нижним предельным отклонением -1,0 мм;
на размер b - по е8.
Отклонение общей длины протяжки не должно превышать ±3 мм при L ≤
1000 мм и ±5 мм при L > 1000 мм.
Предельные отклонения других размеров инструмента назначают по ±IT14/2.
.3 Описание конструкции калибра шлицевого
Калибрами называются такие измерительные инструменты,
которыми проверяются правильность размеров и формы изделий и при помощи которых
можно установить, что изготовленные изделия соберутся друг с другом в сборке и
что это соединение изделий будет нужного качества.
Калибры предназначаются, главным образом, для измерения
одного определенного размера. Они не позволяют измерить фактический размер
изделия, а только дают возможность установить, что изделие не вышло за пределы
указанных в чертеже границ - допусков на его изготовление.
Калибры бывают нормальные и предельные. Нормальные
калибры имеют один размер, тот, который желательно получить на изделии.
Годность изделия определяется вхождением в него калибра с большей или меньшей
степенью плотности. Пользование нормальными калибрами требует большой
квалификации и опыта рабочего и контролера.
Предельные калибры имеют два размера: один размер
калибра равен наименьшему предельному размеру детали, второй - наибольшему.
Один конец калибра обязательно должен входить в деталь, а второй - входить не
должен. Один из этих размеров называется проходным, другой непроходным, или
большим и меньшим. Пользование предельными калибрами обеспечивает полную
взаимозаменяемость деталей и не требует высокой квалификации рабочего и
контролера.
Взаимозаменяемость - это свойство деталей собираться друг
с другом с необходимым характером посадки без пригонки деталей по месту.
В настоящее время применяются, главным образом,
предельные калибры. Нормальными калибрами пользуются значительно реже. Они
применяются только в качестве контрольных калибров, а также для контроля
профильных поверхностей изделий. Гладкие калибры применяются для измерения
диаметров отверстий, диаметров валов, длин и высот.
Предельные калибры для отверстий называются
калибрами-пробками и представляют собой стержень с двумя цилиндрами. Один
цилиндр имеет наименьший предельный размер отверстия и называется проходным,
второй имеет наибольший предельный размер и называется непроходным концом
калибра.
Рис. 23. Калибр-пробки для контроля отверстий.
Предельные размеры изделий, для которых предназначены
калибры, называются номинальными размерами калибров.
Фактические размеры калибров отличаются от номинальных
размеров потому, что:
) калибры не могут быть абсолютно точно изготовлены;
2) в процессе пользования они изнашиваются и изменяют свой размер; 3)
назначение их различно: они применяются либо для контроля изделия, либо для
контроля самих калибров.В нашем случае калибр-пробкой мы измеряем внутренние
диаметры отверстий нашей детали "Рычаг".
Калибры для контроля изделий называются рабочими.
Калибры для контроля размеров калибров называются контрольными калибрами или
контркалибрами. Виды калибров, допуски на их изготовление и износ установлены
государственными стандартами и носят название системы допусков для предельных
калибров.
Для контроля шлицевого отверстия применяем калибр для
контроля шлицевых отверстий. Чертёж данного измерительного инструмента
представлен на рисунке 21, а также на отдельном чертеже в приложении к данной
дипломной работе.
Рисунок 21. Калибр для контроля шлицевого отверстия в
детали "Рычаг".
.4 Расчет погрешности измерения
Погрешность измерений - это отклонение результата измерения от
действительного значения. Она является результатом несовершенства метода
измерения, средств измерения и точности счета показателей.
Пределы допускаемых погрешностей для данного контрольно-измерительного
приспособления равна 100÷200мкм.
Общая погрешность определяется по формуле:
где
- погрешность установки изделия, мкм;
- износ деталей приспособления, мкм;
- погрешность показаний индикатора, мкм.
Следовательно примененное контрольно-измерительное устройство
обеспечивает измерение с малой погрешностью.
Заключение
Во время выполнения дипломной работы был разработан (усовершенствован)
технологический процесс изготовления детали "Рычаг". Установка
станков с ЧПУ позволила отказаться от старых станков.
При проектировании операционной технологии курсовой работы подсчитаны
режимы резания и проведено техническое нормирование, а также приведен выбор
станков, инструмента и средств измерений. Кроме этого сконструировано
специальное приспособление с автоматическим силовым приводом для быстрого
закрепления обрабатываемой детали на металлорежущем станке и тем самым это
приспособление приведёт к сокращению временных затрат при обработке.
Применение промышленного робота модели FS10C способствует решению трех
важных проблем: улучшению условий труда работающих, повышению
производительности труда и сокращению потребностей в рабочей силе. Благодаря
возможности быстрой переналадки использование промышленного робота делает
экономически целесообразным автоматизацию в условиях частой смены объектов
производства и при замене ручного низкоквалифицированного труда.
Учтены требования по технике безопасности и охране труда, предложены
необходимые мероприятия по улучшению условий труда.
Список
использованной литературы
1.
Барановский Ю.В. "Режимы резания металлов": Справочник. - М.:
Машиностроение, 1972. - 409 с.: ил.
. Боровков
В.М. Методические указания по дисциплине "Проектирование заготовок",
Тольятти: Тольяттинский Государственный Университет, 2002.
. Булычев
В.А. "Разработка техпроцесса корпусной детали в условиях массового
производства", Метод. указания, Тольятти: Тольяттинский Государственный
Университет, 2000. - 21 с.
. А.Ф.
Горбацевич А.Ф. Курсовое проектирование по технологии машиностроения. Мн.:
"Высшая школа", 1983.
. Гусев А.А.
Технология машиностроения (специальная часть), М.: Машиностроение, 1986. - 480
с.
. Косилова
А.Г., Мещерякова Р.К. Справочник технолога машиностроителя в 2-х т. - 4-е
издание, перераб. и доп. - М.: Машиностроение, 1985. - ил.
. Матвеев
В.В., Тверской М.М., Бойков Ф.И. и др. Размерный анализ технологических
процессов - М.: Машиностроение, 1982. - 264 с., ил.
. Михайлов
А.В. "Разработка технологических процессов сборки изделия", Метод.
указ., Тольятти: Тольяттинский Государственный Университет, 2001. - 48 с.
. Михайлов
А.В. Методические указания к выполнению Курсовых проектов по дисциплине
"Технология отрасли", Тольятти: Тольяттинский Государственный
Университет, 1998. - 35 с.
. Мягков
В.Д., Палей М.А., Романов А.Б., Брагинский В.А. Допуски и посадки. Справочник в
2-х т. - 6-е изд., переработ. и доп. - Л.: Машиностроение, Ленинградское
отделение, 1983. Ил.
. А.Ф.
Горбацевич. Курсовое проектирование по технологии машиностроения. Минск,
"Высш. Школа", 1983 - 256 с. с ил.
. Анурьев
В.И. Справочник конструктора-машиностроителя: В 3-х т. - 5-е изд., перераб. и
доп. - М.: Машиностроение, 1982. - 728 с., ил.
. Михайлов
А.В. Методическое пособие "Размерный анализ технологических процессов изготовления
деталей машин" - Тольятти: Тольяттинский Государственный университет, 2002
год.
. Михайлов
А.В. "Обработка на многошпиндельных токарных станках", Метод.
указания, Тольятти: Тольяттинский Государственный Университет, 1996. - 24 с.
. Новиков
М.П. Основы технологии сборки машин и механизмов - 5-е изд., М.:
Машиностроение, 1980. - 592 с.
. ГОСТ
1695-80. Фрезы цельные торцовые, насадные, дисковые трехсторонние и дисковые
пазовые. Технические условия.