|
Условное
обозначение подшипника
|
d
|
D
|
B
|
Грузоподъемность,
кН
|
|
Размеры,
мм
|
С
|
С0
|
|
306
|
30
|
72
|
19
|
28,1
|
14,6
|
|
110
|
50
|
80
|
16
|
21,6
|
13,2
|
Решаем вопрос о смазывании подшипников.
Принимаем для подшипников пластичный смазочный материал. Для предотвращения
вытекания смазки внутрь корпуса и вымывания пластичного смазочного материала
жидким маслом из зоны зацепления устанавливаем мазеудерживающие кольца. Их
ширина определяет размер y=8÷12 мм.
Измерением находим расстояния на ведущем валу l1=60
мм и на ведомом l2=60 мм.
Примем окончательно l1=l2=60
мм.
Глубина гнезда подшипника lr ≈
1,5B; для подшипника 110 B=16 мм; lr=1,5*16=24 мм.
Толщину фланца ∆ крышки подшипника принимают
примерно равной диаметру do отверстия; в этом фланце ∆= 12 мм.
Высоту головки болта примем 0,7dб=0,7*12=8,4 мм. Устанавливаем зазор
между головкой болта и торцом соединительного пальца цепи в 10 мм.
Измерением устанавливаем расстояние l3=59
мм, определяющее положение звёздочки относительно ближайшей опоры ведомого
вала. Примем окончательно l3=60 мм.
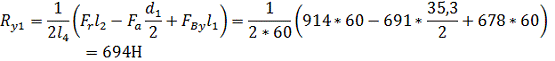
8. Проверка долговечности подшипника
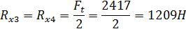
Ведущий вал. Из предыдущих расчётов имеем Ft=2417
H, Fr=914 H и Fa=691 Н
Нагрузка на вал от цепной передачи Fв=960
Н
Составляющие этой нагрузки
Из первого этапа компоновки l1=l2=l3=l4=60
мм
Реакции опор:
В плоскости xz
Проверка:
x1+Rx2-(Ft+FBx)=870+2225-(2471+678)=0
в плоскости yz
Проверка: Ry1+FBy-(Fr+Ry4)=708+678-(914+458)=0
Суммарные реакции:
Подбираем подшипники по более нагруженной опоре
2.
Намечаем радиальные шариковые подшипники 306:
d=30 мм, D=72 мм, B=19 мм, C=28,1 мм и Co=14,6 мм
Эквивалентная нагрузка по формуле
в которой радиальная нагрузка Pr1=2060
H; осевая нагрузка Pa=Fa=691 H, V=1; коэффициент
безопасности для приводов ленточных конвейеров Kб=1; KT=1.
Отношение 
этой величине соответствует е ≈
0,26
Отношение 
X=0,56 и Y=1
Расчетная долговечность, млн. об.
Расчётная долговечность
что больше установленных ГОСТ 16162
- 85
Ведомый вал несёт такие же нагрузки,
как и ведущий:
Ft=2417 H, Fr=914
H и Fa=691 Н
Из первого этапа компоновки l3=l4=70
мм
Реакции опор:
в плоскости xz
в плоскости xy
Проверка:
y3+Ry4-Fr=1276+(-362)-914=0
Суммарные реакции
Выбираем подшипники по более
нагруженной опоре 3.
Шариковые радиальные подшипники 110
особолегкой серии: d=50 мм; D=80 мм; B=16 мм; C=21,6 Н и C0=13,2 Н
Отношение 
этой величине соответствует е ≈
0,26
Отношение 
; следовательно, X=0,56 и Y=1,04.
Поэтому
Расчётная долговечность, млн. об.
Расчетная долговечность, ч
Для зубчатых редукторов ресурс
работы подшипников может превышать 36 000 ч (таков ресурс самого редуктора), но
не должен не менее 10 000 ч. (минимально допустимая долговечность подшипника).
В нашем случае подшипники ведущего вала 306 имеют ресурс Lh=34*103
ч, а подшипники ведомого вала 110 имеют ресурс Lh=15*103
ч.
9. Проверка прочности шпоночных соединений
Шпонки призматические со скруглёнными торцами.
Размеры сечений шпонок и пазов и длины шпонок - по ГОСТ 23360 - 78
Материал шпонок - сталь 45 нормализованная.
Напряжение смятия и условие прочности по формуле
Допускаемые напряжения смятия при стальной
ступице [σсм]=100÷120
МПа,
при чугунной [σсм]=50÷70
МПа.
Ведущий вал: d=24 мм; b×h=8×7
мм;
t1=4мм; длина шпонки l=40 мм (при длине ступицы полумуфты МУВП 50
мм); момент на ведущем валу T1=43*103 Н*мм
(Материал полумуфт МУВП - чугун марки СЧ 20)
Ведомый вал.
Из двух шпонок - под зубчатым колесом и под
звёздочкой - более нагружена вторая (меньше диаметр вала и поэтому меньше
размеры поперечного сечения шпонки). Проверяем шпонку под звёздочкой: d=45 мм;
b×h=14×9
мм;
t1=5,5мм; длина шпонки l=100 мм ( при длине ступицы звёздочки 110
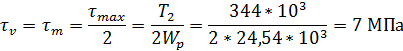
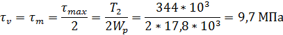
мм); момент T3=344*103 Н*мм;
(обычно звёздочки изготовляют из
термообработанных углеродистых или легированных сталей). Условие σсм<[
σсм] выполнено.
10. Уточнённый расчёт валов
Примем, что нормальные напряжения от изгиба
измеряются по симметричному циклу, а касательные от кручения - по отнулевому
(пульсирующему).
Будем производить расчёт для предположительно
опасных сечений каждого из валов.
Ведущий вал.
Материал вала тот же, что и для шестерни
(шестерня выполнена заодно вместе с валом), т.е. сталь 45, термическая
обработка - улучшение.
По табл. 3.3 при диаметре заготовки до 90 мм ( в
нашем случае da1=39,3 мм.) среднее значение σв=780
МПа.
Предел выносливости при симметричном цикле
изгиба
Предел выносливости при симметричном цикле
касательных напряжений
Сечение А - А. Это сечение при передачи
вращающего момента от электродвигателя через муфту рассчитываем на кручение.
Концентрацию напряжений вызывает наличие шпоночной канавки.
Коэффициент запаса прочности
Где амплитуда и среднее напряжение отнулевого
цикла
При d=24 мм; b=8 мм; t1=4 мм по табл.
8.5
Принимаем kt=1,79 (см. табл.8.5), ετ
≈0,81
(см.табл.8.8) и ψτ=0,1(см.
стр. 166).
ГОСТ 16162 - 78 указывает на то,
чтобы конструкция редукторов предусматривала возможность восприятия радиальной
консольной нагрузки, приложенной в середине посадочной части вала. Величина
этой нагрузки для одноступенчатых редукторов на быстроходном валу должна быть 
при 25*103˂ТБ˂250*103
Н*мм.
Приняв у ведущего вала длину
посадочной части под муфту равной длине полумуфты l=40 мм (муфта УВП для валов
диаметром 24 мм), получим изгибающий момент в сечении А - А от консольной
нагрузки 
Коэффициент запаса прочности по
нормальным напряжениям
здесь опущены промежуточные
выкладки.
Результирующий коэффициент запаса
прочности
получился близким к коэффициенту
запаса sτ=8,79. Это
не значительное расхождение свидетельствует о том, что консольные участки
валов, рассчитанные по крутящему моменту и согласованные с расточками
стандартных полумуфт, оказываются прочными и что учет консольной нагрузки не
вносит существенных изменений. Надо сказать и о том, что фактическое расхождение
будет меньше, так как посадочная часть вала обычно бывает короче, чем длина
полумуфты, что уменьшает значения изгибающего момента в нормальных напряжений.
Такой большой коэффициент запаса
прочности (8,79 или 8,16) объясняется тем, что диаметр вала был увеличен при
конструировании для соединения его стандартной муфтой с валом электродвигателя.
По той же причине проверять
прочность в сечениях Б - Б и В - В нет необходимости.
Ведомый вал.
Материал вала - сталь 45
нормализованная; σв=570 Мпа
Пределы выносливости σ-1=0,43*570=246
МПа и τ-1=0,58*246=142
МПа.
Сечение А - А. Диаметр вала в этом
сечении 55 мм. Концентрация напряжений обусловлена наличием шпоночной канавки:
kσ=1,59 kτ=1,49;
масштабные факторы εσ=0,81 и ετ=0,69;
коэффициенты ψσ=0,15 и ψτ=0,1.0*
Крутящий момент Т2=344*103
Н*мм.
Изгибающий момент в горизонтальной
плоскости
Изгибающий момент в вертикальной
плоскости
суммарный изгибающий момент в
сечении А - А
Момент сопротивление кручению ( d=
55 мм; b=16 мм, t1=6 мм)
Момент сопротивления изгибу
Амплитуда и среднее напряжение цикла
касательных напряжений
Амплитуда нормальных напряжений
изгиба
Среднее напряжение σm=0;
Коэффициент запаса прочности по
нормальным напряжениям
Коэффициент запаса прочности по
касательным напряжениям
Результирующим коэффициентом запаса
прочности для сечения А - А
Сечение К-К. Концентрации напряжений
обусловлена посадкой подшипника с гарантированным натягом 
и 
принимаем ψσ=0,15 и ψτ=0,1
Изгибающий момент
Осевой момент сопротивления
Амплитуда нормальных напряжений
Полярный момент сопротивления
Амплитуда и среднее напряжение цикла
касательных значений
Коэффициент запаса прочности по
нормальным напряжениям
Коэффициент запаса прочности по
касательным напряжениям
Результирующий коэффициент запаса
прочности для сечения К - К
Сечение Л-Л. Концентрация напряжений
обусловлена переходом от Ø50
мм
до Ø45
мм;
при 
и 
коэффициенты концентрации
напряжений kσ=1,58 и kτ=1,18.
Масштабные факторы εσ=0,81
ετ=0,72.
Внутренние силовые факторы те же,
что и для сечения К - К.
Осевой момент сопротивления
Амплитуда нормальных напряжений
Полярный момент сопротивления
Амплитуда и среднее напряжение цикла
касательных значений
Коэффициенты запаса прочности
Результирующий коэффициент запаса
прочности для сечения Л-Л
Сечение Б-Б. Концентрация напряжений
обусловлена наличием шпоночной канавки: kσ=1,59 и kτ=1,18; εσ=0,81 и ετ=0,72
Изгибающий момент (положим x1=50
мм)
Момент сопротивления сечения нетто
при b=14 мм и t1=5,5 мм
Амплитуда нормальных напряжений
изгиба
Момент сопротивления кручению
сечения нетто
Амплитуда и среднее напряжение цикла
касательных значений
Коэффициенты запаса прочности
Результирующий коэффициент запаса
прочности для сечения Б - Б
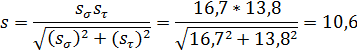
Сведём результаты в таблицу
Таблица 5
|
Сечение
|
A
- A
|
К
- К
|
Л
- Л
|
Б
- Б
|
|
Коэффициент
запаса s
|
10,8
|
10,6
|
7,72
|
7,34
|
Во всех сечениях s≥[s].
11. Посадки сопрягаемых деталей редуктора
Посадки назначаем в соответствии с указаниями,
данными в табл. 10.13
Посадка зубчатого колеса на вал 
по ГОСТ 25347 - 82.
Посадка звёздочки цепной передачи на
вал редуктора H7/h6.
Шейки валов под подшипники выполняем
с отклонением вала k6. Отклонения отверстий а корпусе под наружные кольца по
H7.
Остальные посадки назначаем,
пользуясь данными табл. 10.13.
12. Выбор сорта масла
Смазывание зубчатого зацепления производится
окунанием зубчатого колеса в масло, заливаемое внутрь корпуса до уровня,
обеспечивающего погружение колеса примерно на 10 мм. Объем масляной ванны V
определяем из расчета 0,25 дм3 на 1 кВт передаваемой мощности;
V=0,25*1,81=0,4525 дм3.
По табл. 10.8 устанавливаем вязкость масла. При
контактных напряжениях σн=412
МПа и скорости v=0,34 м/с рекомендуемая вязкость масла должна быть примерно
34*103 м2/с. По табл. 10.10 принимаем масло
индустриальное И40А (по ГОСТ 20799 -75)1
Камеры подшипников заполняем пластичным
смазочным материалом УТ-1, периодически пополняем его шприцем через
пресс-маслёнки.
13. Сборка редуктора
Перед сборкой внутреннюю полость корпуса
редуктора тщательно очищают и покрывают малостойкой краской.
Сборку производят в соответствии со сборочным
чертежом редуктора, начиная с узлов валов:
на ведущий вал насаживают мазеудерживающие
кольца до 80-100 оC.
в ведомый вал закладывают шпонку 16x10x100 и
напрессовывают зубчатое колесо до упора в бурт вала; затем надевают распорную
втулку, мазеудерживающие кольца и устанавливают шарикоподшипники,
предварительно нагретые в масле.
Собранные валы укладывают в основание корпуса
редуктора и надевают крышку корпуса, покрывая предварительно поверхности стыка
крышки и корпуса спиртовым лаком. Для центровки устанавливают крышку на корпус
с помощью двух конических шрифтов; затягивают болты, крепящие крышку к корпусу.
После этого на ведомый вал надевают распорное
колесо, в подшипниковые камеры закладывают пластичную смазку, ставят крышки
подшипников с комплектом металлических прокладок для регулировки.
Перед постановкой сквозных крышек в проточки
закладывают войлочные уплотнения, пропитанные горячим маслом. Проверяют
проворачиванием валов отсутствие заклинивания подшипников (валы должны
проворачиваться от руки) и закрепляют крышки винтами.
Далее на конец ведомого вала в шпоночную канавку
закладывают шпонку, устанавливают звёздочку и закрепляют ее торцовым
креплением; винт торцового крепления стопорят специальной планкой.
Затем ввёртывают пробку маслопускного отверстия
с прокладкой и жезловый маслоуказатель.
Заливают в корпус масло и закрывают смотровое
отверстие крышкой с прокладкой из технического картона; закрепляют крышку
болтами.
Собранный редуктор обкатывают и подвергают
испытанию на стенде по программе, устанавливаемой техническими условиями.
Заключение
При выполнении курсового проекта по «Деталям
машин» были закреплены знания, полученные за прошедший период обучения в таких
дисциплинах как: теоретическая механика, сопротивление материалов,
материаловедение.
Целью данного проекта является проектирование
привода цепного конвейера, который состоит как из простых стандартных деталей,
так и из деталей, форма и размеры которых определяются на основе
конструкторских, технологических, экономических и других нормативов.
В ходе решения поставленной передо мной задачей,
была усвоена методика выбора элементов привода, получены навыки проектирования,
позволяющие обеспечить необходимый технический уровень, надёжность долгий срок
службы.
Опыт и навыки, полученные в ходе выполнения
курсового проекта будут востребованы при выполнении, как курсовых проектов, так
и дипломного проекта.
Можно отметить, что спроектированный редуктор
обладает хорошими свойствами по всем показателям.
По результатам расчёта на контактную
выносливость действующие напряжения в зацеплении меньше допускаемых напряжений.
По результатам расчёта по напряжениям изгиба
действующие напряжения изгиба меньше допускаемых напряжений.
Расчёт вала показал, что запас прочности больше
допускаемого.
Необходима динамическая грузоподъемность
подшипников качения меньше паспортной.
При расчёте был выбран - электродвигатель,
который удовлетворяет заданным требованиям.
Литература
1. Чернавский С.А., Боков К.Н.,
Чернин И.М., Ицкович Г.М., Козинцов В.П. «Курсовое проектирование деталей
машин»: Учебное пособие для учащихся. М: Машиностроение, 1987 г. 416 с.
2. Гузенков П.Г., «Детали
машин», 4-е изд. М.: Высшая школа, 1986 г., 360 с.
. Детали машин: Атлас
инструкций. Под ред. Д.Р. Решетина М.: Машиностроение, 1979 г., 367 с.
. Березовский Ю.Н, Петров
М.С. «Детали машин», М.: Машиностроение, 1983 г., 384 с.
. Дружинин Н.С., Выполнение
чертежей по ЕСКД М.: Изд-во стандартов, 1975 г. 542 с.
. «Проектирование
механических передач» / Под рез. С.А. Чернавского, 5-е изд. М.: Машиностроение,
1984 г., 558 с.
. «Подшипники качения»:
Справочник-каталог / Под. Ред. Р.В Коросташевского. М.: Машиностроение, 1984
г., 280 с.
. Кузьимин А.В., Чернин И.М.
«Расчёты деталей машин», 3-е изд. - Минск: Высшая школа 1986 г. 402 с.