Расчет процессов с фазовым переходом системы жидкость–пар

  • Вид работы:
    Контрольная работа
  • Предмет:
    Физика
  • Язык:
    Русский
    ,
    Формат файла:
    MS Word
    461,7 Кб
  • Опубликовано:
    2015-04-27
Вы можете узнать стоимость помощи в написании студенческой работы.
Помощь в написании работы, которую точно примут!

Расчет процессов с фазовым переходом системы жидкость–пар














Контрольная работа

Расчет на ЭВМ процессов с фазовым переходом системы жидкость-пар

Содержание

Введение

. Автоматизированный расчет на ЭВМ колонн узла ректификации воздуха

. Основы расчета ректификационных колонн с регулярной насадкой

. Основы теории и расчета ректификационных процессов при получении особо чистых веществ в автономных криогенных модулях

Список литературы

Введение

В современных установках разделения воздуха узел ректификации состоит, как правило, из нескольких тарельчатых ректификационных колонн, укомплектованных дополнительными теплообменными аппаратами. В зависимости от назначения воздухоразделительной установки (для получения технического или технологического, жидкого или газообразного кислорода, жидкого или газообразного азота, с извлечением аргона или без извлечения и т.п.) узел ректификации установки имеет различную компоновку. Компоновка установки различается числом ректификационных колонн, количеством вводимых и выводимых технологических потоков, номерами тарелок питания и другими признаками.

В ведущих научно-производственных организациях для расчета колонных аппаратов используют САПР узла ректификации воздуха, которые позволяют рассчитывать теплообменные процессы с учетом современного уровня исследования фазового равновесия тройной смеси и учетом взаимного влияния компонентов.

1. Автоматизированный расчет на ЭВМ колонн узла ректификации воздуха

В настоящее время возможности ЭВМ позволяют производить расчет ректификационных колонн по методу Льюиса и Мачесона на основе определения реального изменения концентраций компонентов воздуха на каждой тарелке и по высоте колонны с учетом конструктивных параметров и изменяющихся свойств пара и жидкости. В НПО "Криогенмаш" разработаны обобщенная расчетная схема колонны (рис. 1) и программа, которая охватывает практически любые возможные варианты схем колонн высокого и низкого давления.

В числе исходных данных для расчета должны быть заданы: параметры всех потоков питания и получаемых продуктов разделения (расход, энергетическое состояние и состав); тепловая нагрузка конденсатора; давление в конденсаторе и среднее его значение в колонне; гидравлические сопротивления секций колонны; конструктивные размеры для каждой секции (площадь, высота и ширина сливной перегородки, длина пути жидкости, диаметр отверстия и шаг перфорации) и другие параметры. Всего массив исходных данных включает 118 элементов и состоит из IS(82) и IS1(36).

Рис. 1. Обобщенная расчетная схема колонны

Массив исходных данных термодинамического расчета содержит 82 элемента и формируется на основе результатов, полученных из расчета материального и энергетического баланса узла разделения воздуха и колонных аппаратов и других принятых величин. При составлении балансовых соотношений принимают, что на разделение поступает 1 моль/с исходной смеси, а состав задают в молярных долях (моль/моль) и обозначают символом ZjA, где Z - компонент смеси, A - материальный поток. Структура и запись материального и энергетического баланса остаются такими же, как и в случае разделения 1 моль смеси [18, 37]. Балансовые соотношения должны решаться для тройной смеси N2-Ar-O2 с точностью до шестого знака после запятой.

В колонну может подаваться до шести потоков питания: N, S, R, D, М, В и выводиться до пяти продуктов разделения: А, Е, С, H, K. Материальные потоки могут быть в жидком, парожидкостном и парообразном состояниях. Энергетическое состояние материальных потоков задают в виде величины , численно равной доле паровой фазы в потоке: для насыщенной жидкости αG = 0, насыщенного пара αG = 1, перегретого пара

αG > 1, где .

Значения энтальпии h′ и h" могут быть определены из диаграммы i-x-y для бинарной смеси при давлении в колонне и составе потока. Энтальпию h рассчитывают как


для переохлажденной жидкости



для перегретого пара, где - энтальпия, теплоемкость и температура насыщенной жидкости, a - насыщенного пара.

При получении сырого аргона поток кубовой жидкости, выводимый из колонны высокого давления, разделяют на две части - R и М. Доля потока кубовой жидкости, направляемая в конденсатор аргонной колонны,

,

где  - тепловая нагрузка конденсатора аргонной колонны, a - предварительно принятое повышение энтальпии кубовой жидкости в этом аппарате.

Энергетическое состояние потока М на входе в конденсатор колонны сырого аргона принимают равным потоку кубовой жидкости R, т. e. eMi=ieR , а на выходе из него  определяют из ранее приведенного соотношения по значению энтальпии . Здесь  - энтальпия кубовой жидкости R, потока М на входе и выходе из конденсатора.

При автоматизированном решении материального баланса секций колонны низкого давления может быть принято полное смешение пара потоков М и R, что характеризуется признаком смешения MR = 1. Состав жидкости потока М после конденсатора колонны сырого аргона в исходных данных приравнивают к нулю, т.е. Z1ML = Z2ML = Z3ML = 0, a его истинное значение определяют в последующих расчетах колонны на ЭВМ.

Потоки получаемых продуктов разделения, в отличие от потоков питания колонны, определяют по неполному спектру известных параметров, что является необходимым для исключения так называемого "перезадания исходных данных". Потоки отбросного азота промежуточной чистоты, сырого аргона и кислорода промежуточной чистоты, если их получение предусматривается, находят по параметрам Е, С, Н, eЕ, еC, lH, Z3E, Z3C, Z3H, Z1C. Концевые продукты разделения определяют по их энергетическому состоянию eА и eK и содержанию в них кислорода Z3A и Z3K.

При задании содержания в сыром аргоне азота Z1C и кислорода Z3C следует иметь в виду, что в продукте С может быть до 0,03 моль/моль O2 и до 0,07 моль/моль N2. Отсутствующие параметры, характеризующие продукты разделения А, С и K, определяют при реализации программы расчета на ЭВМ.

При одновременном получении технического кислорода и чистого газообразного азота на установках сравнительно небольшой производительности из колонны низкого давления следует отводить так называемую "аргонную фракцию" в виде пара в количестве 10 - 20 % от перерабатываемого воздуха. В каждой конкретной колонне распределение аргона имеет свои особенности, что сказывается и на составе выводимой аргонной фракции. Отбросная аргонная фракция может содержать примерно 0,55 моль/моль O2; 0,045 моль/моль Аг; остальное - азот. При расчете данного режима работы колонны параметры отбросной аргонной фракции в массиве исходных данных присваивают потоку Н.

При получении сырого аргона производят отбор пара аргонной фракции FG (0,07…0,09 моль/моль Аг; 0,05 моль/моль N2; остальное - кислород) из колонны низкого давления и подачу его в аргонную колонну. При этом в массив исходных данных вводят только содержание кислорода во фракции Z3W = 0,905…0,925 моль/моль О2.

В процессе проведения вычислительного эксперимента и формирования массива исходных данных необходимо иметь в виду, что если отсутствует питание или боковой отбор продукта разделения, то секцию над местом ввода (отбора) потока не рассматривают, а сразу осуществляют переход к следующей секции колонны.

При расчете колонны низкого давления без получения сырого аргона в основной программе отключают блоки расчета аргонной колонны, для чего в массиве исходных данных приравнивают к нулю материальные потоки M, С, а также eM = 0, Z3M = 0, eC = 0, Z3Ci=i0.

Давление в конденсаторе, потери давления на ректификационной тарелке секций колонны, среднее давление задают в килопаскалях (кПа). Давление в конденсаторе рк - это давление в верхнем сечении колонны, значение которого определяют в зависимости от температурного режима конденсатора, а для колонн, "открытых" сверху, - в зависимости от сопротивления магистрали верхнего продукта разделения. Для колонн низкого давления рк = 120…130 кПа, высокого давления - рк = 550…600 кПа.

Среднее давление в колонне pср предварительно рассчитывают как

,

где - предполагаемые потери давления на тарелках колонны (при Δpi = 0,25…0,4 кПа).

Гидравлические потери  для колонн низкого давления задают равными 12…20 кПа, иногда до 30 кПа, а высокого давления - 10…15 кПа.

В связи с тем что давление в колонне в сильной степени влияет на параметры фазового равновесия, термические и калорические свойства и другие факторы процесса ректификации, принятую величину  необходимо сопоставить с расчетным гидравлическим сопротивлением. В случае их расхождения более чем на ±100 Па необходимо откорректировать принимаемое значение гидравлического сопротивления Δpi на тарелках секций.

Тепловую нагрузку на конденсатор колонны Qк (Дж/моль) определяют из энергетического баланса колонны. При расчете процесса ректификации в колоннах, "открытых" сверху, Qк = 0. На последующих этапах расчета тепловая нагрузка конденсатора колонны высокого давления должна строго соответствовать тепловой нагрузке испарителя Qи колонны низкого давления (Qк - Qи ≈ 5,0 Дж/моль), для чего по полученному из энергетического баланса значению Qк определяют продукты разделения в колонне высокого давления, которые используют для расчета колонны низкого давления и значения Qи. Далее сопоставляют значения Qи и Qк и, в случае необходимости, путем корректировки энергетического состояния eB потока В на входе в колонну уточняют тепловую нагрузку на конденсатор и расчеты повторяют до тех пор, пока не будет обеспечена требуемая точность вычисления этих величин.

В термодинамическом расчете коэффициент эффективности тарелки секций может приниматься равным единице (тарелка считается теоретической) или может иметь другие значения от 0,4 до 1,2 в зависимости от режимных и конструктивных параметров контактных устройств. Во втором случае при термодинамическом расчете определяют уже ориентировочное количество действительных ректификационных тарелок.

Для проведения технологического расчета ректификационной колонны наряду с массивом IS(82) задают массив исходных данных IS(36), характеризующий геометрические параметры тарелки секций.

Номер тарелки может быть выбран по ориентировочному диаметру колонны, который определяется по принятой скорости пара, отнесенной к площади полного сечения колонны wп = 0,1…1,5 м/с:

,

где Gп - объемный расход пара в секции колонны, м3/с.

При этом исходный массив IS(82) несколько трансформируется:

1 в элементе IS(82) вместо Gв = 0 задают массовый расход воздуха в проектируемой установке Gв, кг/с;

2 элементы IS(60)-IS(75), характеризующие сопротивление тарелки и их коэффициенты эффективности, приравнивают к нулю, так как они являются расчетными параметрами в технологическом расчете колонны установки.

Программа расчета предусматривает определение состава пара и жидкости тройной смеси N2-Ar-O2 во всех секциях, на каждой тарелке, начиная с первой (верхней).

Алгоритм расчета материального баланса колонны и определения начального состава верхнего продукта:

количество вводимых компонентов (моль/с)

; (1)

суммарный поток питания (моль/с)

; (2)

состав суммарного питания (моль/моль)

; (3)

массовый расход верхнего и нижнего продуктов (моль/с)

; (4)

массовый расход кислорода в верхнем и нижнем продуктах (моль/с)

; (5)

массовый расход верхнего продукта (моль/с)

; (6)

массовый расход нижнего продукта (моль/с)

; (7)

концентрация азота в верхнем продукте в первом приближении (моль/моль)

; (8)

концентрация аргона в верхнем продукте (моль/моль)

; (9)


. (10)

Теплоту испарения верхнего продукта rA определяют по (83) в джоулях на моль (Дж/моль), тогда массовый расход жидкости, поступающей из конденсатора (моль/с),

; (11)

массовый расход компонента в жидкости (моль/с)

; (12)

массовый расход пара (моль/с), поступающего в конденсатор,

; (13)

массовый расход компонентов в паре (моль/с)

; (14)

массовый расход компонента (моль/с), поступающего с жидкостью в i-ю секцию,

; (15)

количество компонента (моль/с), выходящего с парами из i-й секции,

. (16)

Давление в i-й секции приравнивают к давлению в конденсаторе (кПа):

= pK (17)

Текущие значения материальных и энергетических потоков на i-й тарелке и в целом в секции колонны зависят от тепломассообменных процессов.

Текущая и равновесная концентрации для j-го компонента в паровой и жидкой фазах в колонне зависят от эффективности массопередачи на i-й ректификационной тарелке:


где  - коэффициенты эффективности для паровой и жидкой фаз соответственно;  - текущая и равновесная концентрации компонента в паре;  - текущая и равновесная концентрации компонента в жидкости.

Коэффициент  определяют по коэффициентам локальной эффективности тарелки  для j-го компонента [13]. Например, для тарелки с диаметральным током

, (20)

где Z - число ветвей потоков на тарелке; gZ - относительный расход жидкости в ветвях потока; φZ - относительная скорость пара в ветвях потока; SZ - число секций полного перемешивания; λij - фактор движущей силы на i-й тарелке j-го компонента,

, (21)

где  - движущие силы процесса массообмена; υi = Li / Gi - флегмовое отношение, здесь Li, Gi - текущие значения расхода жидкости и пара на i-й тарелке.

Коэффициент локальной эффективности

, (22)

где - число единиц переноса в паровой фазе по данному компоненту,

, (23)

где Re, Sc - числа Рейнольдса и Шмидта; hэф - эффективная высота запаса жидкости; γ - капиллярная постоянная; HF - фактор пенообразования, определяемый по формулам, приведенным в работе [13].

Между коэффициентами эффективности существует взаимосвязь:

. (24)

На основании алгоритма (18)-(24) можно определить концентрацию j-го компонента в жидкости, стекающей с i-й тарелки:

. (25)

По составу стекающей жидкости определяют теплоту ее испарения rij = φ(p, xij), а из энергетического баланса i-й тарелки - расход жидкости:

, (26)

где qс - теплоприток из окружающей среды.

Из уравнения материального бaлaнca тарелки находят расход уходящего пара:

Gi = Li-1 + Gi+1 - Li ; (27)

определяют его состав:

. (28)

Таким образом, совокупность уравнений (18)-(28) для всех тарелок в рассчитываемой секции полностью описывает изменение концентраций вплоть до известного состава верхнего и нижнего продуктов.

Программа предусматривает оптимизацию рассчитываемой колонны. Перебор вариантов расчетов производят при получении нижнего продукта разделения с содержанием компонентов Z3K ≥ 0,96 моль/моль. При этом оптимизируют места вводов потоков питания R, D, М (только для колонн низкого давления).

При С = 0 перебор вариантов осуществляют до тех пор, пока суммарное число тарелок не будет минимальным. При расчете колонны с получением сырого аргона расчет продолжают до достижения заданной концентрации азота в сыром аргоне. Если заданная концентрация не может быть достигнута, расчет проводят до достижения минимальной величины Z1C.

2. Основы расчета ректификационных колонн с регулярной насадкой

Интенсификация процессов тепломассообмена в ректификационных колоннах обеспечивается при движении жидкости в пленочном режиме, который осуществляется обычно в насадочных аппаратах. При этом следует отметить, что насадочные ректификационные колонны являются пленочными аппаратами с непрерывным процессом массообмена. Для повышения эффективности пленочных ректификационных колонн воздухоразделительных установок целесообразно применять аппараты с регулярной насадкой. В работе [15] приводится обширный материал по экспериментальному и теоретическому исследованиям различных гидродинамических и массообменных режимов с разными профилями регулярных насадок (прил. 1-4).

Для колонн с регулярной насадкой определяющими параметрами массообменных процессов являются необходимое число единиц переноса и высота единиц переноса (ВЕП).

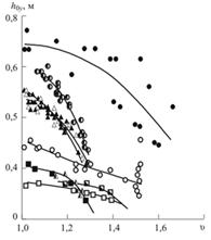
На рис. 2 показана зависимость высоты единиц переноса в паровой фазе от различных параметров ректификационной колонны с различными типами регулярной насадки. Из анализа влияния параметров колонны на ВЕП следует, что исследованные насадки с диапазоном нагрузок по пару 0,8 < Gп < 1,2 имеют стабильные характеристики, а увеличение флегмового отношения υ от 1 до 1,3 (рис. 3) приводит к заметному снижению величины  [15].

Рис. 2. Зависимость h0y от нагрузки колонны по пару:

образец 2; - образец 7; - образец 8; - образцы 10, 11, 12;

образец 14; - образец 15; - образец 16; - образец 18;

образец 19; - соответствующие аппроксимации

Насадочные ректификационные колоны исследовались в различных режимах без орошения и с орошением насадки. При этом были получены выражения для расчета коэффициента трения для сухих насадок

 (29)

и для падения давления пара в насадке высотой H (м)

 (30)

где Rey - число Рейнольдса; ρy - плотность, кг/м3; wy - скорость потока, м/с.

Рис. 3. Зависимость h0y от флегмового отношения υ:

образец 2; - образец 3; - образец 7; - образец 8; - образец 9;

образец 14; - образец 15; - образец 18; - образец 19;

соответствующие аппроксимации

При исследовании различных типов регулярных насадок было установлено, что сопротивление их повышается с уменьшением эквивалентного диаметра насадок и возрастанием скорости пара, а также что сопротивление насадок ячеисто-щелевого типа сильно зависит от способа укладки гофрированных листов.

Гидродинамическая обстановка на орошаемых регулярных насадках может характеризоваться несколькими режимами:

-    "пленочным", при котором движение пленки жидкости близко к ламинарному и трение на границе раздела фаз мало;

-       "подвисания", при котором наблюдается быстрый рост гидравлического сопротивления и происходит торможение стекающей пленки жидкости встречным потоком пара;

-       "захлебывания", когда сила трения пара на границе с жидкостью уравновешивает ее вес и наблюдается постепенное затопление насадки.

Режим "захлебывания" в колоннах с регулярной насадкой является неустойчивым, для определения его наступления необходимо рассчитать максимально допустимую скорость пара:

, (31)

где g = 9,81 м/с2; ε - доля свободного объема, м3/м3; ηx - динамическая вязкость жидкости Па·с; F - удельная поверхность контакта, м2/м3; ρx, ρy - плотность жидкости и пара соответственно, кг/м3; L, G - удельные нагрузки по жидкости и пару, кг/(м2·с); A и B - постоянные эмпирические коэффициенты.


, (32)

где , m, n, k - эмпирические коэффициенты (прил. 7).

При расчете массообмена в пленочных колоннах по формулам (4.57)-(4.59) влияние физических свойств фаз на массоперенос может быть учтено соотношениями

; (33)

, (34)

где  - фактор русла канала насадки, здесь d ¢- глубина интенсификаторов, м; f1 - площадь рифленой поверхности, м2; δ - толщина пленки жидкости, м; f0 - площадь нерифленой поверхности;  H0 - высота пакета насадки, м; , a, p, r, t, B0, k, q, w - численные константы, значения которых приведены в прил. 8-9;  - диффузионные числа Прандтля для паровой и жидкой фаз соответственно.

. Основы теории и расчета ректификационных процессов при получении особо чистых веществ в автономных криогенных модулях

Для ряда современных технологий в электронике, космической технике, в производстве полупроводниковых материалов требуются вещества особой чистоты. Эти криопродукты в отдельных технологических процессах являются основным технологическим сырьем или исполняют роль высокоэффективной защитной среды. Среди различных технологий, применяемых для очистки криопродуктов технической чистоты, особое место занимает низкотемпературная ректификация [14, 40-43].

В криопродуктах технической чистоты, поступающих на ректификационную очистку, наряду с базовым веществом содержатся микропримеси высоко- и низкокипящих компонентов смеси. Например, в исходном азоте содержатся микропримеси низкокипящего Н2 и высококипящих Ar, O2, СО, СН4; в кислороде - низкокипящих Ne, N2, Аг и высококипящих CH4, Кг, Хе, СO2; в аргоне - соответственно N2 и O2, СH4, Кг, СO2 и др. В связи с этим ректификационный процесс должен быть двухэтапным: вначале очистка от одной группы микропримесей, а затем - от другой.

Так как тонкий процесс получения сверхчистых веществ оказывается нарушенным при любых изменениях режимных параметров основного блока, он должен быть автономным и связан с газоразделительной установкой только по линии питания исходным продуктом.

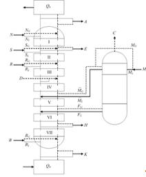
Узел ректификационной очистки потока питания технической чистоты может состоять из двух отдельных колонн (рис. 4) или представлять собой единый колонный аппарат, включающий колонны высокого и низкого давлений, и трех конденсаторов-испарителей (рис. 5, а).

В случае, когда поток питания подается в колонну в парообразном состоянии, конструкция нижней колонны упрощается, так как в ней отсутствует первый конденсатор-испаритель (см. рис. 5, б).

Рис. 4. Схема криогенного автономного модуля очистки продукта технической чистоты

Для обеспечения паровых и жидкостных потоков в колонных аппаратах узла ректификационной очистки в автономных модулях используются циркуляционные флегмообразующие циклы, включающие в свою структуру компрессор, теплообменные аппараты и дроссельные вентили. В криогенных автономных модулях малой производительности для этой цели, как правило, применяются независимые высоко- и низкотемпературные источники.

Первый этап расчета - определение числа теоретических тарелок в ректификационных колоннах

Рассмотрим изложенные выше принципы на примере ректификационной очистки исходного продукта, содержащего  молярных долей базового вещества и включающего низкокипящие  и высококипящие  микропримеси. При этом

.

Предположим, что среди низкокипящих примесей компонент , a среди высококипящих -  более близки по летучести к основному компоненту продукта разделения.

В рассматриваемом случае автономный модуль должен состоять из двух ступеней ректификационной очистки.

На первой ступени ректификационного разделения базовое вещество очищается от той группы микропримесей, которая отстоит дальше от него по летучести, чем вторая группа примесей. В этом случае наиболее близкие по летучести примеси отделяются от концентрируемого вещества при самом низком давлении в процессе ректификации, т. е. в оптимальных условиях.

Предположим, что компонент  наиболее близок по летучести к концентрируемому веществу и низкокипящие микропримеси удаляются на второй ступени очистки.

Рис. 5. Схема узла ректификационной очистки криопродукта:

а - поток питания в жидком или двухфазном состоянии;

б - поток питания в парообразном состоянии

Рассмотрим краткое описание принципиальной схемы автономного ректификационного модуля (см. рис. 4). Поток питания технической чистоты VT в жидком состоянии дросселируется в мерник III, в котором поддерживается постоянный уровень жидкости, свободно сливающейся через калиброванное отверстие в перегородке мерника. Из мерника поток VT поступает на первую ректификационную ступень разделения (в колонну I). В колонне I поток питания VT очищается от высококипящих компонентов  и разделяется на два потока - D1 и R1. Продукт первичного концентрирования D1 содержит практически все низкокипящие примеси и ничтожное количество высококипящих микропримесей (главным образом компонент ). Последние после дальнейшего концентрирования потока D1 полностью переходят в продукт конечного концентрирования R2, поэтому их содержание в потоке должно быть достаточно малым, чтобы обеспечить требуемую кондицию продукта R2.

Отбросный поток R1 содержит практически все высококипящие микропримеси. В колонне II поток D1, который поступает на разделение в жидком виде, очищается от низкокипящих микропримесей.

В результате процесса ректификации из колонны II выходят два потока - продукционный поток жидкого сверхчистого вещества R2 и отбросный поток D2, обогащенный низкокипящими примесями, в газообразном виде. Сверхчистый продукт разделения сливается в специально подготовленную емкость, а отбросные потоки объединяются перед теплообменником IV в один поток и обычно после подогрева выбрасываются в атмосферу или, если это возможно, возвращаются в основной блок ректификации воздуха.

Для получения пара и жидкости в ректификационных колоннах криогенного модуля используется флегмообразующий циркуляционный поток VF, который сжимается в компрессоре V и охлаждается в теплообменнике IV, отдавая теплоту обратному циркуляционному и отбросному потокам. Давление, до которого сжимается циркуляционный поток, в основном определяется требуемым температурным напором в нижних конденсаторах-испарителях ректификационных колонн. Этот поток в количестве VF1 и VF2 дросселируется в трубное пространство нижних конденсаторов колонн I и II, где конденсируется, отдавая теплоту кипящим в межтрубном пространстве жидкостям. При этом образуется пар, участвующий в процессе ректификации.

Конденсат из нижних аппаратов дросселируется в межтрубное пространство верхних конденсаторов ректификационных колонн. В результате его кипения в колоннах I и II образуются флегмовые потоки, участвующие в процессе ректификации.

На первом этапе расчета все высококипящие микропримеси заменяются одной, самой близкой по летучести к базовому веществу (в данном случае ), а все низкокипящие микропримеси - тоже одной, самой близкой по летучести к базовому веществу (здесь ). Это несколько ухудшает результаты расчета.

Обозначим для общности


Следовательно, на первом этапе расчета поток питания автономного модуля рассматривается как тройная смесь, состоящая из низкокипящей примеси, базового вещества и высококипящей примеси.

В колонне I рассматриваем процесс ректификации потока питания VT как разделение бинарной смеси: базовое вещество плюс высококипящие микропримеси, присоединяя низкокипящие микропримеси к базовому веществу и полагая, что низкокипящие микропримеси целиком выводятся из колонны I потоком D1, очищенным от высококипящих микропримесей.

Исходя из сказанного поток питания VT = 1 кмоль, поступающий в колонну I, состоит из

.

В результате разделения потока питания технической чистоты в колонне I получается два потока - D1 и R1.

В колонне II содержащиеся в потоке D1 остаточные высококипящие микропримеси практически полностью переходят в продукционный сверхчистый продукт R2. Поэтому содержание  в потоке D1 должно составлять лишь долю допустимых микропримесей в конечном продукте ректификационной очистки. Таким образом, предполагается, что поток D1 имеет состав .

Материальный баланс колонны I запишется так:

+ R1 = 1, (37)

а по высококипящей микропримеси

. (38)

Решая уравнения (37) и (38), определяем D1 и R1.

На первом этапе расчета ректификации в колонне II рассматриваем поток питания как разделение бинарной смеси базовое вещество плюс низкокипящий компонент с содержанием  микропримесей, присоединяя микропримесь , содержащуюся в поступающем на очистку в эту колонну потоке D1, к базовому компоненту. При этих условиях состав потока D1 будет таким:


Материальный баланс колонны II

D1 = R2 + D2, (41)

а по низкокипящей микропримеси

. (42)

Содержание низкокипящей микропримеси в продукционном сверхчистом веществе  принимаем таким, чтобы суммарное содержание микропримесей составляло

, (43)

т.е. чтобы оно было меньше или равно допустимому содержанию микропримесей в продукционном сверхчистом веществе по требуемой кондиции.

В рассматриваемом случае содержание высококипящих микропримесей в конечном продукте определяется из следующего условия:

. (44)

Решая уравнения (41) и (42), находим удельные величины потоков D2 и R2.

Основные расчетные формулы

Колонна I

Минимальное флегмовое число в колонне I

, (45)

где  - константа фазового равновесия.

Для бинарной смеси базовое вещество-высококипящая примесь в области микроконцентраций  равновесная линия считается прямой (рис. 6).

Действительное флегмовое число . Число теоретических тарелок в укрепляющей секции колонны

 (46)

где  - угловой коэффициент рабочей линии укрепляющей секции колонны,

. (47)

Рис. 6. x-y-диаграмма бинарной смеси базовое вещество-высококипящий компонент в колонне I

Число теоретических тарелок в исчерпывающей секции колонны определяется из равенства


где  - угловой коэффициент рабочей линии исчерпывающей секции колонны,

. (49)

Колонна II

Минимальное флегмовое число колонны II

, (50)

где  - константа фазового равновесия для бинарной смеси базовое вещество-низкокипящая микропримесь (рис.7).

Рис. 7. x-y-диаграмма бинарной смеси базовое вещество-низкокипящий компонент в колонне II

Число теоретических тарелок в укрепляющей секции колонны II

 (51)

где  - угловой коэффициент рабочей линии укрепляющей секции колонны II,

, (52)

здесь  - действительное флегмовое число в колонне II.

Число теоретических тарелок в исчерпывающей секции колонны II

 (53)

где - угловой коэффициент рабочей линии исчерпывающей секции колонны II,

. (54)

Второй этап расчета - определение полного состава продуктов разделения

Необходимо установить состав продуктов предварительного (в колонне I) и окончательного (в колонне II) ректификационного разделения по всем компонентам. Из решения алгоритма (37)-(54) известны значения всех потоков, действительные флегмовые числа в ректификационных колоннах, а также состав исходного потока питания блока, поступающего на концентрирование, по всем микропримесям. Кроме того, известны угловые коэффициенты рабочих линий и число теоретических тарелок в каждой из секций обеих колонн. При этом углы наклона рабочих линий ректификационных колонн для расчетных высоко- и низкокипящих компонентов остаются такими же и для остальных высоко- и низкокипящих микропримесей, которые на первом этапе расчета присоединялись к наиболее близким по летучести к базовому компоненту микропримесям.

Содержание высококипящих микропримесей в потоке D1  будет суммарно меньше, чем , к которому были присоединены все высококипящие примеси на первом этапе расчета. Это связано с тем, что микропримесь  наиболее близка по летучести к базовому компоненту, поэтому содержание остальных высококипящих примесей в укрепляющей секции колонны I будет убывать быстрее, чем содержание .

Действительное значение каждой из высококипящих микропримесей в потоке D1 находим из выражения

, (55)

где  - содержание i-х высококипящих примесей в потоках питания колонн I и II;  - константа фазового равновесия i-й высококипящей микропримеси в бинарной смеси с базовым компонентом.

Содержание высококипящих микропримесей в отбросном потоке определяем из материального баланса колонны I по каждой примеси.

При расчете процесса ректификации все низкокипящие примеси условно присоединены к ; также принято, что они целиком выводятся из колонны потоком D1. В действительности часть этих микропримесей уносит отбросный поток R1.

Содержание низкокипящих микропримесей в потоке D1 определяем из материального баланса колонны I по этим примесям.

Величину низкокипящих примесей в отбросном потоке определяем из выражения

, (56)

где  - содержание i-х высококипящих микропримесей в потоках VT и R1;

 - константа фазового равновесия i-й низкокипящей микропримеси в бинарной смеси с базовым компонентом.

На рис. 8 показан фрагмент программы расчета узла ректификационной очистки криопродукта - подпрограмма расчета числа теоретических тарелок и состава продуктов разделения в колонне I.

Анализируя аналогичным образом процесс ректификации в колонне II, получим выражение для определения состава продукционного потока R2 по низкокипящим компонентам:

ректификационный колонна воздух криогенный

, (57)

и выражение для определения содержания высококипящих микропримесей в отбросном потоке D2:

, (58)

где  - содержание i-х низкокипящих микропримесей в потоке питания D1 и продукционном потоке R2 соответственно;  - содержание i-х высококипящих микропримесей в потоке питания D1 и отбросном потоке D2;  - константы фазового равновесия i-х низкокипящих и высококипящих микропримесей в бинарной смеси с базовым компонентом.

Состав потока R2 по высококипящим, a D2 - по низкокипящим микропримесям определяем на основании значений материального баланса колонны II.

Рис. 8. Подпрограмма расчета колонны I

Подпрограмма расчета числа теоретических тарелок и состава продуктов разделения в колонне II показана на рис. 9.

В зависимости от свойств базового вещества (кислорода, аргона, азота и т. д.) и микропримесей компоновка автономного модуля может быть изменена. В этом случае в колонне I методом низкотемпературной ректификации отделяются низкокипящие микропримеси, а в колонне II - высококипящие. Поэтому при расчете колонных аппаратов необходимо использовать соответствующие алгоритмы.

Рис. 9. Подпрограмма расчета колонны II

При проведении теплового и конструктивного расчетов элементов криогенного модуля необходимо знать основные материальные потоки, методика расчета которых имеет свою специфику для узла ректификационной очистки с двумя колоннами (см. рис. 4) и одной колонной (см. рис. 5).

Рассмотрим расчет материальных потоков при условии, что технически чистый поток питания поступает на очистку в состоянии насыщенной жидкости, т. е. .

Вариант 1 (колонны установлены раздельно).

Значение жидкостного потока  в укрепляющей секции колонны I находим по известному действительному флегмовому числу, т. е.

. (59)

Флегмообразующий поток VF1 в нижнем конденсаторе-испа-рителе колонны I за счет теплоты перегрева и конденсации должен испарить всю жидкость, находящуюся в межтрубном пространстве (), т. е.

, (60)

где  - теплота парообразования флегмы при давлении колонны I .

Из выражения (60) находим значение флегмообразующего потока, необходимого для нижнего конденсатора-испарителя колонны I:

, (61)

где  - энтальпия флегмообразующего потока VF1 на входе и выходе из конденсатора-испарителя при давлении р2.

Массовый расход пара в колонне I

. (62)

Теплосодержание потока VF1 на выходе из верхнего конденсатора-испарителя колонны I находим из его энергетического баланса:

, (63)

т. е. , (64)

где  - теплота конденсации парового потока при давлении в верхнем сечении колонны I;  - энтальпия флегмообразующего потока при давлении кипения p1 в межтрубном пространстве.

Аналогичным образом находим флегмовый поток в колонне II:

. (65)

Флегмообразующий поток VF2 в нижнем конденсаторе-испарите-ле колонны II должен испарить всю жидкость

(), т.е.

, (66)

где  - теплота парообразования флегмы при давлении колонны ;  - энтальпия флегмообразующего потока на входе и выходе из конденсатора-испарителя.

Из энергетического баланса (66) находим потребное количество потока VF2:

. (67)

Массовый расход пара, поступающего в трубное пространство верхнего конденсатора-испарителя колонны II, находим как , а теплосодержание потока VF2 на выходе из конденсатора-испарителя - из его энергетического баланса, т. е.

, (69)

где  - теплота конденсации пара при давлении в верхнем сечении колонны II;  - энтальпия флегмообразующего потока VF2 при давлении р1.

Суммарный флегмообразующий поток

= VF1 + VF2.

Вариант 2 (колонны установлены одна над другой). Для определения действительного флегмового числа в колонне I напишем энергетический баланс среднего конденсатора-испарителя:

,  (70)

откуда

. (71)

В то же время энергетический баланс среднего конденсатора-испарителя можно записать как  или .

Тогда массовый расход жидкости, поступившей в средний конденсатор-испаритель,

. (72)

Массовый расход жидкости, которую необходимо испарить в нижнем конденсаторе-испарителе колонны I за счет конденсации флегмообразующего потока VF1, составит

, (73)

а энергетический баланс запишется в следующем виде:

, (74)

Откуда

. (75)

Дальнейший расчет материальных и энергетических потоков в колоннах I и II аналогичен первому варианту.

Во втором варианте компоновки узла ректификационной очистки потока питания технической чистоты VF ≈ VF1 и, как показывает расчетный анализ, в этом случае расход циркуляционного флегмообразующего потока снижается примерно на 40%.

При разделении газообразного потока питания в колонне I отсутствует нижний конденсатор-испаритель (см. рис. 5, б), расчет основных материальных потоков в колонных аппаратах имеет определенную специфику; при этом принимаем, что D1 = 1 кмоль.

Для рассматриваемого случая значение удельного флегмового потока

.

Из энергетического баланса верхнего конденсатора-испарителя колонны II следует, что

. (76)

В колонне I удельный флегмовый поток  или же его величину можно определить из энергетического баланса нижнего конденсатора-испарителя колонны II:

, (77)

где .

По известным материальным и энергетическим потокам производим тепловой, гидравлический и конструктивный расчеты теплообменных аппаратов, конденсаторов-испарителей и ректификационных колонн, входящих в компоновку автономного криогенного модуля.

Расчетный анализ заканчиваем определением удельных энергетических затрат и металлоемкости аппаратов.

Представленный алгоритм позволяет определить число теоретических тарелок, а также предварительно оценить состав продуктов разделения D1, R1 и D2, R2.

Ниже приводятся отдельные результаты вычислительного эксперимента. Расчеты проводились для случая очистки технического кислорода, содержащего микропримеси:


В криогенном ректификационном модуле процесс очистки технического кислорода от примесей (см. рис. 4) осуществлялся последовательно в двух ректификационных колоннах. В колонне I удалялись высококипящие, а в колонне II - низкокипящие примеси.

Установлено, что при очистке технического кислорода от высококипящей примеси метана в колонне I увеличение флегмового числа υ приводит к уменьшению числа теоретических тарелок. При этом если число тарелок n в исчерпывающей секции меняется мало, то в укрепляющей секции колонны в диапазоне υ = 0,61…1,14 оно сначала резко изменяется от 24 до 11, после чего существенного уменьшения не происходит.

При очистке технического кислорода от низкокипящей примеси аргона в укрепляющей секции отмечается незначительное влияние флегмового числа υ на число тарелок n, в то время как в исчерпывающей секции с ростом υ сначала наблюдается резкое уменьшение n, а затем при υ >100 необходимое число тарелок изменяется мало (рис. 10).

Из анализа данных следует, что при принятых условиях численного эксперимента в криогенном модуле можно получить необходимую кондицию конечного продукта разделения R2 = 0,9 моль/моль с моль/моль. Это значение близко к значению содержания кислорода в продукте, полученном при физическом эксперименте в промышленных условиях.

Рис. 10. Зависимость числа теоретических тарелок от флегмового числа при очистке кислорода: 1 - в исчерпывающей секции; 2 - в укрепляющей секции; 3 - в целом для колонны

В табл. 1 приведен состав продуктов разделения, а в табл.2 - расчетное число теоретических тарелок в колоннах узла ректификации для получения высокочистого кислорода с концентрацией 0,9999991 моль O2 / моль в зависимости от чистоты технического жидкого кислорода, поступающего на очистку в автономный модуль. Давление в колонах I и II (см. рис. 4) составляет 200 и 150 кПа.

В колонне I, где происходит отделение высококипящих примесей, среди которых были метан и криптон, число теоретических тарелок (как общее, так и в отдельных секциях) почти не меняется, т. е. не зависит от чистоты технического жидкого кислорода. Это объясняется тем, что в исходной смеси с разной концентрацией кислорода концентрация метана и криптона почти не изменялась и находилась соответственно на уровне (4…5)10-4 моль CH4/моль и 1·10-4 моль Kr / моль.

Таблица 1

Состав продуктов разделения колонн I и II при

Поток

Состав x·105, моль/моль


 D1

21,025

498,362

0,001

0,000

 R1

0,533

131,121

99,981

2,000

 D2

399,467

9467,147

0,000

0,000

 R2

0,000

0,096

0,001

0,000


Таблица 2

Расчетное число теоретических тарелок

Число теоретических тарелок при объемной концентрации технического O2, %

99,2

99,5

99,7

Колонна I


Исчерпывающая часть

 2,86

 2,86

 2,86

Укрепляющая часть

12,15

11,57

11,57

Общее число

15,01

14,43

14,43

Колонна II


Исчерпывающая часть

 93,87

71,78

67,14

Укрепляющая часть

 13,07

13,07

13,07

Общее число

106,94

84,85

80,21

В колонне II, где кислород в основном очищается от аргона и азота, наблюдается значительная зависимость числа теоретических тарелок от чистоты исходной смеси. Большое число теоретических тарелок в исчерпывающей секции колонны обусловлено трудностью отделения примеси аргона от кислорода из-за того, что они имеют близкие значения температуры кипения и летучести. Кроме того, по мере уменьшения в исходной смеси концентрации кислорода в ней растет концентрация аргона и азота - соответственно от 1,5·10-3 до 5,2·10-3 моль Ar / моль и от 1·10-3 до 2,2·10-3 моль N2 / моль.

Данные, приведенные в табл. 3, позволяют оценить возможности предлагаемой схемы (см. рис. 4) для создания автономного модуля по очистке от микропримесей жидкого или газообразного аргона в целях получения аргона особой чистоты.

Расчет чистоты конечного продукта разделения проведен при следующих данных: концентрация аргона в исходном продукте - 0,9999 моль Ar / моль; содержание примесей - 2·10-5 моль N2 / моль, 7·10-5 моль O2 / моль, 5·10-6 моль CH4/моль, 5·10-6 моль Ar / моль. В колоннах I и II давление соответственно составляет 200 и 150 кПа; теоретических тарелок 56 и 9,5; флегмовое число равно 4,36 и 26,25.

Таблица 3

Состав продуктов разделения

Потоки

Концентрация, моль/моль


аргона

азота

кислорода

метана

криптона

Колонна I






Дистиллят

0,9999052

2,105·10-5

7,368·10-5

7·10-8

-

Кубовый остаток

0,9998013

-

2·10-8

9,868·10-5

1·10-4

Колонна II






Дистиллят

0,9982665

3,9983·10-4

1,33367·10-3

-

-

Кубовый остаток

0,9999962

4,5·10-8

3,755·10-6

-

-


В колонне I в отбираемом верхнем продукте (дистилляте, равном 95% объема разделяемой смеси на входе в колонну), который идет затем на вторичное разделение в колонну II, криптона практически не содержится, а концентрация метана находится на уровне 7·10-8 моль CH4/моль. Конечный продукт разделения (кубовый остаток, равный 90% объема разделяемой смеси), отводимый из колонны II, имеет концентрацию аргона на порядок выше, чем концентрация аргона высокой чистоты, получаемого на промышленных воздухоразделительных установках (ВРУ).

Несколько большее содержание кислорода в полученном аргоне особой чистоты, чем в промышленном аргоне высокой чистоты, объясняется тем, что в исходном составе разделяемой смеси концентрация кислорода была принята на порядок больше, чем лимитируется стандартом на аргон, производимый на ВРУ.

Учитывая то обстоятельство, что из низкокипящих примесей, содержащихся в азоте, инертные газы неон и гелий обычно не являются вредными для тех технологий, где используется азот особой чистоты, а очистка азота от микропримесей водорода может быть осуществлена не только методом низкотемпературной ректификации, в работе проанализирован лишь процесс очистки азота от высококипящих примесей оксида углерода и кислорода. Эта задача может быть решена в одноколонном автономном модуле.

Рис. 11. Зависимость числа теоретических тарелок от флегмового числа при очистке аргона: 1 - 0,99; 2 - 0,999; 3 - 0,9999 моль Ar/моль

Результаты проведенного анализа очистки азота показаны на рис.12 в виде зависимости числа теоретических тарелок в ректификационной колонне от чистоты исходного азота и рабочего флегмового числа. При этом для всех рассчитанных режимов чистота продукционного азота составляла 0,9999999 моль N2 / моль. Давление в ректификационной колонне было принято 150 кПа, а объем отбираемого азота особой чистоты составлял 95% объема технического азота, поступающего на разделение.

Удельные затраты энергии в автономном модуле прежде всего зависят от параметров циркуляционного контура, свойств рабочих веществ и температурных напоров в конденсаторах колонн I и II.

На рис. 13 показана зависимость удельных затрат энергии при использовании во флегмообразующем контуре воздуха или азота от величины флегмового числа в колонне II при различных значениях температурных напоров в нижнем конденсаторе-испарителе этой колонны.

Рис. 12. Зависимость числа теоретических тарелок от флегмового числа при очистке технического азота с объемной концентрацией азота: 1 - 97,0%; 2 - 99,0%; 3 - 99,5%

Рис. 13. Зависимость удельных затрат энергии от флегмового числа колонны II, циркуляционного потока и разности температур: 1 - воздух; 2 - азот

Как показал анализ, увеличение флегмового числа выше 5-6 практически не вызывает существенного уменьшения числа теоретических тарелок независимо от исходной концентрации азота. При меньших значениях флегмового числа значительно возрастает число теоретических тарелок в колонне, которые могут обеспечить требуемую чистоту продукционного азота. Несмотря на то что при малых значениях флегмового числа циркуляционный флегмообразующий поток уменьшается, габаритные размеры ректификационной колонны значительно возрастут. Одновременно с увеличением числа ректификационных тарелок возрастет и гидравлическое сопротивление колонны, что потребует сжатия технического азота, подаваемого на разделение, до более высокого давления.

Список литературы

1. Архаров A.M., Марфенина И.В., Микулин Е.И. Криогенные системы. Т. 1. Основы теории и расчета. - М.: Машиностроение, 2006. - 576 с.

2. Справочник по физико-техническим основам криогеники / М.П. Малков, И.Б. Данилов, Л.Г. Зельдович, А.Б. Фрадков; Под ред. М.П. Малкова. - 3-е изд., перераб. и доп. - М.: Энергоатомиздат, 1985. - 432 с.

3. Николаев С.Н., Спиридонов Г.А. Уравнения состояния для расчета термодинамических свойств водорода и дейтерия. - М., 1986. - 17 с. - Деп. в ВНИИЦ МВ 22.08.80, №2420.

4. Борзенко Е.И. Статика и динамика элементов криогенных систем. - Л.: Изд-во Ленингр. ун-та, 2008. - 212 с.

5. Новотельнов В.Н., Суслов А.Д., Полтараус В.Б. Криогенные машины. - СПб.: Политехника, 2001. - 335 с.

6. Рид Р., Праунец Дж., Шервуд Т. Свойства газов и жидкостей. - Л.: Химия, 1982. - 702 с.

7. Архаров A.M., Беляков В.П. и др. Криогенные системы. Т. 2. Основы проектирования аппаратов, установок и систем. - М.: Машиностроение, 2009. - 719 с.

8. Способ получения кислорода высокой чистоты: А.с. 757817 СССР, МКИ F 25 J 3/04.

9. Архаров И.А. Перенос теплоты и массы в криогенных аппаратах нового поколения газоразделительных установок. Автореф. дис. на соискание ученой степени д-ра техн. наук. - М.: МГТУ им. М.Э. Баумана, 2005. - 368 с.

10.Кафаров В.В., Мешалкин В.П., Перов В.Л. Математические основы автоматизированного проектирования химических производств. - М.: Химия, 1979. - 320 с.

11.Оносовский В.В. Моделирование и оптимизация холодильных установок. - Л.: Изд-во ЛГУ, 2010. - 206 с.

12.Новотельнов В.Н., Суладзе С.В. Анализ распределения температур потоков в теплообменном аппарате сателлитного гелиевого рефрижератора. - Л.: ЦИНТИхимнефтемаш, 1985. - С. 15-17.

13.Григорьев В.А., Крохин Ю.И. Тепло- и массообменные аппараты криогенной техники. - М.: Энергоиздат, 2002. - 311 с.

14.Григорьев В.А., Павлов Ю.М., Аметистов Е.В. Кипение криогенных жидкостей. - М.: Энергия, 1977. - 288 с.

15.Боранбаев Н., Марфенина И.В., Шевцов А.В. Результаты исследования фазового равновесия жидкость-пар системы криптон-ксенон: В трудах МВТУ. Криогенная техника и кондиционирование. - М., 2004. - С. 107-115.

16.Глебов И.А., Данилевич Я.Б., Шахтарин В.Н. Турбогенераторы с использованием сверхпроводимости. - Л.: Наука, 1981. - 231 с.

17.Бухарин Н.Н. Моделирование характеристик центробежных компрессоров. - Л.: Машиностроение, 2003. - 214 с.

18.Епифанова В.И. Компрессорные и расширительные турбомашны радиального типа. - М.: Машиностроение, 2004. - 374 с.

19.Серов Е.П., Корольков Б.П. Динамика парогенераторов. - М.: Энергия, 1972. - 416 с.

20.Кириллин В.А., Шейндлин А.Е., Шкильрайн Э.Э. Термодинамика растворов. - М.: Энергия, 2010. - 181 с.

Похожие работы на - Расчет процессов с фазовым переходом системы жидкость–пар

 

Не нашли материал для своей работы?
Поможем написать уникальную работу
Без плагиата!
Без нейросетей!