Расчет асинхронного двигателя
Содержание
Введение
1. Выбор основных размеров двигателя
2.
Расчет размеров зубцовой зоны статора
3.
Расчет ротора
4.
Расчет магнитной цепи
5.
Расчет параметров рабочего режима
6.
Расчет потерь
7. Расчет рабочих характеристик
8. Расчет и построение пусковых
характеристик
9.
Тепловой расчет
Литература
Введение
В асинхронных машинах преобразование энергии
происходит при несинхронном (асинхронном) вращении ротора и магнитного поля
статора.
Машины переменного тока широко используются во
всех отраслях народного хозяйства. В частности машины переменного тока
применяют в электроприводах, требующих широкого, плавного и экономичного
регулирования частоты вращения, высоких перегрузочных пусковых и тормозных
моментов. Двигатели небольшой мощности применяют во многих системах автоматики.
В данном курсовом проекте рассчитывается
асинхронный двигатель. Он является аналогом существующего двигателя АИР112М4.
Данный двигатель имеет следующие параметры:
·
Номинальная
мощность РН=5,5
кВт.
·
Номинальный
КПД η=87,5%.
·
Коэффициент
мощности cosφ=0,88.
·
Номинальная
частота nн=1500 об/мин.
·
Число
пар полюсов 2р=4.
·
Электромагнитные
нагрузки А= 26∙ 103 А\м, Вδ=0,87 Тл
1.
Выбор основных размеров двигателя
) Определяем предварительно высоту оси
вращения h=112мм.
Dа=0,191 м.
) Определяем внутренний диаметр статора:
где
=0,68
м.
3) Определяем полюсное деление:
4) Определяем расчетную мощность:
где Р2-мощность на валу двигателя,
Вт;
kE-отношение
ЭДС обмотки статора к номинальному напряжению, которое может быть приближенно
определено kE=0,968.
η-КПД.
5) Осуществляем предварительный выбор
электромагнитных нагрузок по А=26·103 А/м, Вδ=0,87 Тл.
) Обмоточный коэффициент kоб1=
0,96
) Определяем расчетную длину воздушного зазора:
где Ω-синхронная угловая
скорость двигателя, рад/c
рад/с.,
где n1=1500
об/мин. - синхронная частота вращения.
kB-коэффициент
формы поля, (
);
kоб1-обмоточный
коэффициент, для однослойной обмотки kоб1=0,96.
Для проверки правильности расчета
главных размеров определяем соотношение:
Oпределяем,
что для данного двигателя λ=0,5…1,2, что в нашем случае выполняется.
) Определяем предварительно зубцовое
деление t1 в
зависимости от типа обмотки, номинального напряжения и полюсного деления
машины. Диапазон возможных значений определяем по [1]:
t1min=0,01 м, t1max=0,0123 м.
) Определяем диапазон возможных
чисел пазов статора:
.
C учетом
выбранных значений t:
;
.
Окончательно принимаем Z1=36.
Определяем число пазов на полюс и
фазу:

) Окончательно зубцовое деление
статора t:
) Для дальнейших расчетов определим
номинальный ток обмотки статора:
Определяем число эффективных
проводников в пазу:
13) Принимаем uн=28 проводников
) Определяем число витков в фазе
обмотки:
,
где а=1 - число параллельных ветвей.
Окончательное значение линейной
нагрузки:
А/м.
Уточняем значение потока:
kоб1-
обмоточный коэффициент: kоб1 = 0,959
kE = 0,968
Определяем индукцию в воздушном
зазоре:
Тл.
Значения А и Вδ находятся в
допустимых значениях
) Определим предварительно плотность
тока в обмотке статора:

16) Определяем предварительное
сечение эффективного проводника:
м2.
) Сечение эффективного проводника
окончательно принимаем nэл=1, тогда qэл=1,21∙10-6
м2
Провод марки ПЭТВ: dэл=1,25 мм, dиз=1,33 мм, qэл=1,227 мм2
) Уточняем плотность тока:
А/м2.
2. Расчет размеров зубцовой зоны
статора
) По выбранным значениям индукции определяем
высоту ярма статора:
,
м;
Ва - индукция в ярме статора,
принимаем Ва=1,6 Тл.
kcт-коэффициент
заполнения сердечника сталью, для оксидированных листов стали kcт=0,97;
lcт1= lδ=0,1 м (для
данной конструкции двигателя);
Определим минимальную ширину зубца:
,
где BZ1max - индукция
в зубцах статора по [1] BZ1max=1,9 Тл;

;
) Определяем размеры паза в штампе:
Высота паза:
мм;
Ширина паза при β=45º b1
определяется по формуле:
Принимаем размеры паза в штампе:
bш- средняя
ширина шлица паза статора bш=3,5мм;
hш- высота
шлица паза, hш=0,5мм.
мм.
) Размеры паза в свету с учетом
припуска на сборку:
Δbп-припуск по
ширине паза, Δbп=0,1 мм;
Δhп-припуск по
высоте паза, Δhп=0,1 мм.
Определяем площадь поперечного
сечения трапециидального паза, в котором размещается обмотка, корпусная
изоляция и прокладки:
,
;
Высота клиновой части паза

мм;
Определяем площадь поперечного
сечения корпусной изоляции в пазу:
Sиз=bиз(2hп+b1+b2),
где bиз-
односторонняя толщина изоляции в пазу, bиз=0,25мм.
Определяем площадь поперечного
сечения паза для размещения проводников:,
Для проверки правильности размещения
обмотки в пазах рассчитаем коэффициент заполнения:

.
Полученное значение кз допустимо для
механизированной укладки обмотки.
3. Расчет ротора
) Воздушный зазор δ=0,3мм.
) Число пазов ротора по Z2=34.
) Внешний диаметр:
мм.
) Длина магнитопровода l2=l1=0,1.
) Зубцовое деление ротора

мм
) Внутренний диаметр ротора равен
диаметру вала:
kB=0,23.
) Ток в стержне ротора:
,
где ki-коэффициент,
учитывающий влияние тока намагничивания и сопротивления обмоток на отношение I1 /I2; принимаем
ki=0,91;
νi-коэффициент
приведения токов, определенный по формуле:
Ток в стержне:
Определяем площадь поперечного
сечения стержня:
где J2-плотность
тока в стержнях ротора при заливке пазов алюминием выбираем J2=6,5·106А/м2.
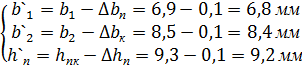
31) Определяем размеры паза ротора.
В двигателях с h=112 мм выполняют пазы с размерами
шлица bш=1,5мм и hш=0,75мм.
Высота перемычки над пазом в двухполюсных двигателях выполняется равной
мм.
Определяем ширину зубцов ротора:
,
мм.
где Вz2-допустимая
индукция в зубцах якоря; по [1] определяем Вz2=1,85 Тл.
Определяем размеры паза:
Размер нижней части лопаточных
стержней:
Диаметр закругления нижней части
стержня:
Расстояние между центрами
закруглений нижней части стержня:

.
) Уточняем ширину зубцов ротора по
формулам:
bz2≈ bz1
Определим полную высоту паза:
33) Уточняем
площадь сечения стержня:
Плотность тока в стержне:

.
) Произведем расчет короткозамкнутых
колец.
Плотность тока в них примем на 15%
меньшую, чем в стержнях:
Jкл=0,85J2=0,85·4,65·106=3,95·106
А/м2.
Ток в кольце:

.
Тогда ток в коротко замыкающем
кольце: 
.
Площадь поперечного сечения:

.
Окончательно определяем размеры
замыкающих колец:

;

;

;

.
4. Расчет магнитной цепи
Расчет магнитной цепи проводится для режима
холостого хода двигателя, при котором для асинхронных машин характерно
относительно сильное насыщение стали зубцов статора и ротора.
) Индукция в зубцах статора:
Тл.
Индукция в зубцах ротора:
Тл,.
Индукция в ярме статора:
Тл.
Для нахождения индукции в ярме
ротора, необходимо знать расчетную высоту ярма ротора hj, которая
для двигателей с посадкой сердечника непосредственно на вал равна:
,
где dk, mk2
-соответственно, диаметр и число аксиальных каналов (в нашем случае оба
значения равны нулю).
Индукция в ярме ротора:
Тл.
) Магнитное напряжение воздушного
зазора:
,
где kδ-коэффициент
воздушного зазора:
,
где γ определяется:

;
теперь по (3.3) определим:
;
Тогда магнитное напряжение зазора:
А;
Для стали 2013 определим при Bz1=1,93 Тл Hz1=2340 А/м;
при Bz2=1,92 Тл Hz2=2250 А/м.
) Тогда магнитное напряжение
зубцовых зон статора и ротора:
;
где hZ1(2)-расчетная
высота зубцов статора (ротора);
hZ1=hП1=11,5 мм;
hZ2= hП2 - 0,1b2Н=11,13-0,1·5,6=10,57
мм;
Тогда:
А;

;
Для проверки правильности расчета
вычислим коэффициент насыщения зубцовой зоны:

;
Данное значение коэффициента
считается приемлемым.
) Определяем магнитные напряжения
ярм статора и ротора. Предварительно Ва=1,6 Тл Hа=750 А/м;
при Bj=0,92 Тл Hj=158 А/м.
Предварительно определяем длины
средних магнитных линий статора La и ротора Lj:
м;

;
где hj-высота
спинки ротора вычислена:
Тогда магнитные напряжения:
А;

;
) Определим магнитное напряжение на
пару полюсов:
;
Все значения нам известны, тогда:
41) Определим коэффициент насыщения
магнитной цепи:

;
) Определим намагничивающий ток:

;
Относительное значение
намагничивающего тока:

;
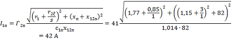
5. Расчет параметров рабочего режима
) Активное сопротивление фазы обмотки статора r1:
,
где
- общая длинна эффективных
проводников фазы обмотки;
- площадь поперечного сечения
эффективного проводника;
- число параллельных ветвей
обмотки;
- удельное сопротивление материала
обмотки при расчетной температуре; для меди
Ом·м.
- коэффициент увеличения активного
сопротивления фазы обмотки от действия эффекта вытеснения тока. В проводниках
обмотки статора асинхронных машин эффект вытеснения тока проявляется
незначительно из-за малых размеров элементарных проводников. Поэтому в расчетах
нормальных машин, как правило, принимают
.
Средняя ширина катушки bкт
обмотки статора:
;
Длина лобовой части lл:
мм;
Вылет лобовых частей обмотки lвыл:
;
где Квыл=0,4 - коэффициент, значение
которого выбирается из таблицы при условии, что лобовые части не изолированы.
В=0,01 м - вылет прямолинейной части
катушек из паза.
Средняя длина витка обмотки lср:
, где
Общая длина эффективных проводников
фазы обмотки:
;
Значение сопротивления обмотки
статора в относительных единицах
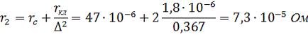
44) Сопротивление стержня:
где
- удельное сопротивление литой
алюминиевой обмотки при расчетной температуре.
Активное сопротивление короткозамыкающих колец
по формуле:
Активное сопротивление фазы обмотки ротора r2
определяется для короткозамкнутых роторов по формуле:
Активное сопротивление фазы короткозамкнутой
обмотки ротора, приведенное к обмотке статора по формуле:
Приведенное активное сопротивление
фазы короткозамкнутого ротора в относительных единицах
по формуле
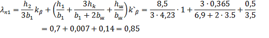
) Коэффициент магнитной проводимости
пазового рассеяния lП:
h2=hп.к-2bиз=9,3-2∙0,4=8,5
мм; b1=4,23 мм; hк=0,5(4,23-3,5)=0,365
мм; kβ=1; k`β=1.
Коэффициент магнитной проводимости лобового
рассеяния lЛ определяется по формуле:
,
где
- относительное укорочение шага
обмотки:
;
Коэффициент магнитной проводимости
дифференциального рассеяния lД1 определяется по формуле:

;
βск=0; Кск =1,5; Кβ=1.
) Индуктивное сопротивление фазы
обмотки статора x1 определяется по формуле:
;

4
Значение индуктивного сопротивления
обмотки статора в относительных единицах определяется по формуле

4
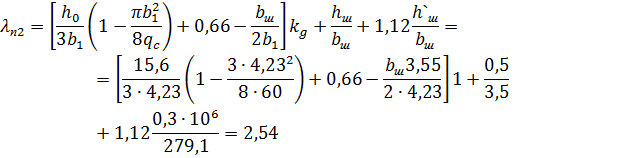
Коэффициент магнитной проводимости
пазового рассеяния
h0=14,7+0,4∙2,32=15,6;
b1=4,23; qc=60;
bш=3,5; hш=0,5
Коэффициент магнитной проводимости лобового
рассеяния lЛ2:
Коэффициент магнитной проводимости
дифференциального рассеяния:
Индуктивное сопротивление фазы обмотки ротора:
Приведенное к обмотке статора индуктивное
сопротивление рассеяния фазы ротора:
Приведенное индуктивное сопротивление фазы
короткозамкнутого ротора в относительных единицах:
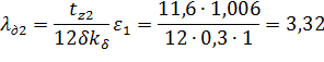
. Расчет потерь
В асинхронных машинах имеют место потери в
стали, электрические потери, вентиляционные, механические и добавочные потери
при нагрузке. Основные потери в стали в АД рассчитывают только в сердечнике
статора, так как частота перемагничивания ротора в режимах близких к
номинальному, очень мала и потери в стали ротора при больших индукциях незначительны.
) Определяем основные потери в стали:
;
где р1,0/50-удельные потери,
р1,0/50=2,5 Вт/кг; β=1,5;
kДА, kДZ
-коэффициенты, учитывающие влияние на потери в стали неравномерности
распределения потока по сечениям участков магнитопровода и технологических
факторов. Для машин мощностью меньше 250 кВт принимается: kДА=1,6; kДZ=1,8.
ma, mZ1-масса
стали ярма и зубцов статора, кг:
;
где ha=0,5(Da-D)-hz1=0,5(0,191-0,13)-0,0115=0,019
м;
γс-удельная масса стали, в
расчетах принимаем γс=7,8·103
кг/м3.
Определяем массу:
кг.
кг.
Итак, основные потери в стали:
Вт.
) Определяем поверхностные потери в
роторе:
;
где pпов2-удельные
поверхностные потери, которые расчитываются:
;
где k02-коэффициент,
учитывающий влияние обработки поверхности головок зубцов ротора на удельные
потери, k02=1,5;
B02-амплитуда
пульсации индукции в воздушном зазоре над коронками зубцов ротора, Тл:
;
для определения
вычисляем
, по рис.
6-41 [1]
.
Тогда:
.
Определим удельные поверхностные
потери:
Вт/м2.
Определяем поверхностные потери в роторе:
Вт.
) Пульсационные потери в зубцах
ротора:
;
где Bпул2-амплитуда
пульсации индукции в среднем сечении зубцов:
mZ2-масса
зубцоа стали:
mz2=z2∙hz2∙bz2cp∙lст∙kст∙γc=34∙14,3∙10-3∙7,3∙10-3∙0,1∙0,97∙7800=2,7
кг
Пульсационные потери в зубцах
ротора:

т
) Определяем сумму добавочных
потерь:
51) Определяем полные потери в
стали:
Рст = Рст.осн+ Рст.доб= 107,5+36,2=
143,7 Вт
) Определяем механические потери:
;
Вт.
где Кт=1,3(1-Da)=1,0517 для
машин с 2р=4;
) Холостой ход двигателя:

;
где Ixxa-активная составляющая
тока холостого хода:
где Рэ1хх-электрические потери в
статоре при холостом ходе:
Вт.
Определяем коэффициент мощности при
холостом ходе:
7. Расчет рабочих характеристик
) Параметры:
Ом;

;
Рассчитаем коэффициент γ:
Так как условие не выполняется, то
необходим точный расчёт с выделением активной и реактивной составляющих:
Активная составляющая тока
синхронного холостого хода:

;
;
;
Принимаем
=
=0,03 и
рассчитываем рабочие характеристики задаваясь s=0,01;0,015 ; 0,02; 0,025; 0,03;
0,035; 0,04.
Результаты расчета приведены в
таблице ниже.
Данные расчета рабочих характеристик
асинхронного двигателя с короткозамкнутым ротором
P2Н = 5,5 кВт; U1Н
= 220/380 B; 2p=4;
PСТ + PМЕХ
=175,2 Вт;
I0A = 0,27
A; I0P » Im
= 3,59 A; r1 = 1,77
Ом;
r’2 = 0,67
Ом;
с1
= 1,03Ом;
a’ = 1,06 Ом;
a = 1,96 Ом; b’ =-0,057; b =
4,51 Ом.
Таблица 1. Рабочие характеристики асинхронного
двигателя
|
№ п/п
|
|
СКОЛЬЖЕНИЕ
|
|
|
0,01
|
0,015
|
0,02
|
0,025
|
0,03
|
0,035
|
0,04
|
|
1
|
a'∙r'2/s
|
107,204545
|
47,17
|
37,736
|
26,95429
|
21,44091
|
18,868
|
14,29394
|
|
2
|
R=a+a'∙r'2/s
|
109,204545
|
49,17
|
39,736
|
28,95429
|
23,44091
|
20,868
|
16,29394
|
|
3
|
X=b+b'∙r'2/s
|
-1,3047727
|
1,9235
|
2,4308
|
3,010571
|
3,307045
|
3,4454
|
3,691364
|
|
4
|
Z
|
109,21234
|
49,20761
|
39,81028
|
29,11038
|
23,67304
|
21,15051
|
16,70684
|
|
5
|
I''2
|
2,01442438
|
4,470853
|
5,526211
|
7,557442
|
9,293272
|
10,40164
|
13,16826
|
|
6
|
cosф'2
|
0,99992863
|
0,999236
|
0,998134
|
0,994638
|
0,990194
|
0,986643
|
0,975285
|
|
7
|
sinф'2
|
-0,0119471
|
0,039089
|
0,06106
|
0,103419
|
0,139697
|
0,162899
|
0,220949
|
|
8
|
I1a
|
2,28428061
|
4,737436
|
5,785899
|
7,786918
|
9,472146
|
10,5327
|
13,11281
|
|
9
|
I1p
|
3,56593343
|
3,764763
|
3,927428
|
4,371584
|
4,88824
|
5,284418
|
6,499516
|
|
10
|
I1
|
4,23483402
|
6,051177
|
6,992948
|
8,930109
|
10,6591
|
11,78401
|
14,63521
|
|
11
|
I'2
|
2,07485711
|
4,604979
|
5,691997
|
7,784165
|
9,572071
|
10,71369
|
13,5633
|
|
12
|
P1
|
1,5076252
|
3,126708
|
3,818694
|
5,139366
|
6,251616
|
6,951583
|
8,654453
|
|
13
|
Pэ1
|
0,09469057
|
0,193336
|
0,258199
|
0,421063
|
0,599895
|
0,733196
|
1,13092
|
|
14
|
Pэ2
|
0,01149444
|
0,05662
|
0,086505
|
0,161784
|
0,244638
|
0,306471
|
0,491182
|
|
15
|
Pдоб
|
0,00482786
|
0,009857
|
0,013164
|
0,021468
|
0,030586
|
0,037382
|
0,057661
|
|
16
|
∑P
|
0,26451286
|
0,413313
|
0,511368
|
0,757815
|
1,028618
|
1,230549
|
1,833263
|
|
17
|
P2
|
1,24311234
|
2,713395
|
3,307325
|
4,38155
|
5,222998
|
5,721034
|
6,82119
|
|
18
|
η
|
0,82454999
|
0,867812
|
0,866088
|
0,852547
|
0,835464
|
0,822983
|
0,788171
|
|
19
|
cosф
|
0,53940263
|
0,782895
|
0,827391
|
0,871985
|
0,888644
|
0,893813
|
0,895977
|
Рисунок 1 Зависимость
;
Рисунок 2 Зависимость
;
Рисунок 3 Зависимость
;
Рисунок 4 Зависимость
;
Рисунок 5 Зависимость
;
8.
Расчет и построение пусковых характеристик
Таблица 2. Расчет токов в пусковом режиме
асинхронного двигателя
|
№
|
Расчетная формула
|
Скольжение s
|
|
|
1.000
|
0.800
|
0.641
|
0.600
|
0.400
|
0.300
|
0.200
|
0.100
|
|
1
|
|
0.884
|
0.791
|
0.712
|
0.625
|
0.395
|
0.280
|
0.208
|
8.842e-6
|
|
2
|
|
0.544
|
0.348
|
0.229
|
0.136
|
0.022
|
5.441e-3
|
1.654e-3
|
0.000
|
|
3
|
|
9.003e-3
|
0.010
|
0.011
|
0.012
|
0.014
|
0.014
|
0.014
|
0.014
|
|
4
|
|
1.385
|
1.239
|
1.152
|
1.086
|
1.000
|
1.000
|
1.000
|
1.000
|
|
5
|
|
1.284
|
1.176
|
1.112
|
1.063
|
1.000
|
1.000
|
1.000
|
1.000
|
|
6
|
|
3.104
|
2.843
|
2.688
|
2.570
|
2.417
|
2.417
|
2.417
|
2.417
|
|
7
|
|
0.960
|
0.960
|
0.970
|
0.980
|
0.980
|
0.990
|
0.990
|
1.000
|
|
8
|
|
1.961
|
1.961
|
1.976
|
1.991
|
1.991
|
2.006
|
2.006
|
2.022
|
|
9
|
|
0.984
|
0.984
|
0.988
|
0.992
|
0.992
|
0.996
|
0.996
|
1.000
|
|
10
|
|
1.744
|
1.744
|
1.752
|
1.759
|
1.759
|
1.766
|
1.766
|
1.773
|
|
11
|
|
7.947
|
8.406
|
9.007
|
10.02
|
17.09
|
29.40
|
49.42
|
2.461e1
|
|
12
|
|
3.765
|
3.765
|
3.772
|
3.780
|
3.780
|
3.787
|
3.787
|
3.794
|
|
13
|
|
А
|
25.01
|
22.53
|
20.54
|
12.56
|
7.422
|
4.438
|
8.938e-
|
|
14
|
|
А
|
25.48
|
24.34
|
22.97
|
20.96
|
12.92
|
7.804
|
4.938
|
2.014
|
55) Активное сопротивление обмотки ротора с
учетом влияния эффекта вытеснения тока,
Приведенная высота:
,
где
мм - высота стержня в пазу.
Для
ϕ=0,089
Глубина проникновения тока:
Глубина проникновения тока в
стержень рассчитаем по формуле:
Площадь сечения ограниченного
высотой hr по формуле:

;

;

:
Приведенное активное сопротивление с
учетом эффекта вытеснения тока по формуле: 
;
56) Коэффициент магнитной проводимости пазового
рассеяния с учетом вытеснения

;
Коэффициент изменения индуктивного сопротивления
фазы обмотки ротора с учетом вытеснения:

;
Индуктивное сопротивление фазы
обмотки ротора с учетом вытеснения по формуле:

;
) Пусковые параметры

;

.
) Ток в обмотке ротора без учета
влияния насыщения по формуле:

;
) Учет влияния насыщения на
параметры. Принимаем для s=1
. Средняя МДС обмотки, отнесенная к
одному пазу обмотки статора:

;
Фиктивная индукция потока рассеяния
в воздушном зазоре по формуле:
,
Для
находим kδ=0,46.
Коэффициент магнитной проводимости
пазового рассеянья обмотки статора с учетом влияния насыщения по формуле:

;
Изменение коэффициента проводимости рассеяния
полузакрытого паза статора по формуле:
Коэффициент магнитной проводимости
рассеяния при насыщении по формуле:

;
Коэффициент магнитной проводимости
дифференциального рассеяния обмотки статора с учётом влияния насыщения по
формуле:
lД1 нас. = lД1×
kδ= 2,5×0,46
= 1,15
Индуктивное сопротивление фазы обмотки статора с
учётом влияния насыщения по формуле:
х1 нас. = (х1×ål1 нас. )/ ål1 = 
=1,17 ≈1,2 Ом
Коэффициент магнитной проводимости
пазового рассеяния обмотки ротора с учётом влияния насыщения и вытеснения тока
по формуле:
,
с2 = (t2 - bШ2)(1 - kd
) =(11,9 - 1,5)(1 - 0,46 )=7,02 мм;
Коэффициент магнитной проводимости пазового
рассеянья обмотки ротора с учетом влияния насыщения и вытеснения тока по
формуле:
lП2x. нас. = lП2x
- Dlп2.
нас. =2,2 - 0,41 = 1,79;
Коэффициент магнитной проводимости
дифференциального рассеянья обмотки ротора с учетом влияния насыщения по
формуле:

;
Приведённое индуктивное сопротивление фазы
обмотки ротора с учётом влияния эффекта вытеснения тока и насыщения по формуле:

;
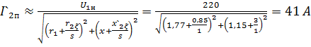
) Расчет токов и моментов:
Ток в обмотке ротора по формуле:
;
Ток в обмотке статора по формуле:
;
Кратность пусткового тока с учетом
влияния эффекта вытеснения тока и насыщения
А;
Кратность пускового момента с учетом
влияния вытеснения тока и насыщения
Н
м;
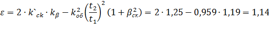
Полученный в расчете коэффициент
насыщения
отличается от принятого kнас=1,35
менее чем на 3%
Для расчета других точек задаемся kнас,
уменьшенным
В таблице приведены пусковые характеристики
асинхронного двигателя.
Таблица 3. Расчет пусковые характеристики
асинхронного двигателя с учетом эффекта выеснения тока и насыщения от полей
рассеяния
|
Скольжение
|
|
№
|
Парам.
|
1,000
|
0,800
|
0,641
|
0,600
|
0,400
|
0,300
|
0,200
|
0,100
|
|
1
|
43,5638,4433,5332,1224,1319,3113,87,41
|
|
|
|
|
|
|
|
|
|
2
|
2569,822681978,41894,91423,71139,3813437
|
|
|
|
|
|
|
|
|
|
3
|
5,835,144,494,303,232,581,840,99
|
|
|
|
|
|
|
|
|
|
4
|
kδ
|
0,44
|
0,46
|
0,52
|
0,55
|
0,70
|
0,78
|
0,89
|
0,97
|
|
5
|
3,643,513,122,931,951,430,720,20
|
|
|
|
|
|
|
|
|
|
6
|
0,080,080,070,070,050,040,020,01
|
|
|
|
|
|
|
|
|
|
7
|
0,940,940,950,950,970,981,001,01
|
|
|
|
|
|
|
|
|
|
8
|
7,287,026,245,853,902,861,430,39
|
|
|
|
|
|
|
|
|
|
9
|
0,410,410,400,400,360,330,240,10
|
|
|
|
|
|
|
|
|
|
10
|
k`нас
|
1,31
|
1,27
|
1,25
|
1,24
|
1,06
|
1,04
|
1,05
|
1,03
|
|
11
|
lП2x. нас.
|
1,79
|
1,81
|
1,82
|
1,83
|
1,87
|
1,91
|
2,00
|
2,14
|
|
12
|
lД1
нас.
|
1,10
|
1,15
|
1,30
|
1,38
|
1,75
|
1,95
|
2,23
|
2,43
|
|
13
|
1,821,902,152,272,893,223,684,01
|
|
|
|
|
|
|
|
|
|
14
|
х1 нас.
|
1,16
|
1,17
|
1,23
|
1,26
|
1,40
|
1,48
|
1,59
|
1,67
|
|
15
|
1,861,902,022,082,372,542,782,99
|
|
|
|
|
|
|
|
|
|
16
|
1,011,011,021,021,021,021,021,02
|
|
|
|
|
|
|
|
|
|
17
|
54,4451,948,2246,8839,6635,0528,618,6
|
|
|
|
|
|
|
|
|
|
18
|
55,7053,149,4448,1040,8636,1929,619,4
|
|
|
|
|
|
|
|
|
|
19
|
6,706,395,955,794,924,363,572,34
|
|
|
|
|
|
|
|
|
|
20
|
1,9542,0372,1282,1652,3492,4312,432,06
|
|
|
|
|
|
|
|
|
Рисунок 6 Зависимость
;
Рисунок 7 Зависимость
;
) Критическое скольжение:
9. Тепловой расчет
Расчет нагрева производят, используя значения
потерь, полученных для номинального режима.
62) Превышение температуры
внутренней поверхности сердечника статора над температурой воздуха внутри
двигателя
, °С:
где К=0,2 - коэффициент учитывающий,
что часть потерь в сердечникестатора и в пазовой части обмотки передаётся через
станину непосредственно в окружающую среду.
a1=90
- коэффициент теплоотдачи с поверхности.
Р'эп1 - электрические потери в
обмотке статора в пазовой части при номинальном скольжении sн=0,044 по формуле:
,
где кr=1,15 - коэффициент увеличения потерь для
обмоток с изоляцией
) Электрические потери в лобовых
частях катушек:
Превышение температуры наружной
поверхности лобовых частей обмотки над температурой воздуха внутри машины
по формуле:
;
) Перепад температуры в изоляции
пазовой части обмотки статора
определяется по формуле
где bиз1 - односторонняя толщина
изоляции в пазу, bиз1 = 0,25.
lэкв
=0,16 Вт·/(м·°С) - средняя
эквивалентная теплопроводность пазовой изоляции; для класса нагревостойкости B.
l`экв
= 1,25 Вт·/(м·°С) - среднее
значение коэффициента теплопроводности внутренней изоляции катушки всыпной
обмотки, определяется по рисунку [1].
Пп1 - расчетный периметр поперечного
сечения паза статора; для полузакрытых трапециидальных пазов по формуле:
.
асинхронный
двигатель статор ротор
65) Превышение температуры наружной поверхности
лобовых частей над температурой воздуха внутри машины:
;
,
) Среднее превышение температуры
обмотки статора над температурой воздуха внутри машины,
по формуле:
;
) Сумма всех потерь в двигателе при номинальном
режиме и расчетной температуре, определяемая по формуле
;
Сумма всех потерь в двигателе при
номинальном режиме и расчетной температуре с учетом их увеличения по формуле:
;
Сумма потерь, отводимых в воздух
внутри двигателя
по формуле:
;
) Превышение температуры воздуха
внутри машины над температурой окружающей среды
определяется по формуле:
,
где
-коэффициент подогрева воздуха,
учитывающий теплоотдающую способность поверхности корпуса и интенсивность
перемешивания воздуха внутри машины: для
по рис.[1];
Sкор- эквивалентная поверхность охлаждения
корпуса по формуле:
,
где
- периметр поперечного сечения рёбер
для
.
) Среднее превышение температуры
обмотки статора над окружающей средой по:
;
) Проверка условий охлаждения
двигателя.
Требуемый для охлаждения расход
воздуха Qв определяется по формуле:
,
где km -
коэффициент, учитывающий изменение условий охлаждения по длине поверхности
корпуса, обдуваемого наружным вентилятором, определяется по формуле
,
где
- коэффициент охлаждения.
Расход воздуха, который может быть получен при
данных размерах двигателя, оценивается эмпирической формулой:
;
Расход воздуха обеспечиваемый
конструкцией ротора Q'в = 0,125 м 3/с больше требуемого для охлаждения расхода
воздуха Qв = 0,063 м 3/с.
Таким образом, двигатель не
нуждается в дополнительной системе охлаждения.
Вывод: спроектироанный двигатель
отвечает поставленным в техническом задании требованиям.
Литература
1. Забудский
Е.И., Расчет асинхронного двигателя: Сборник справочно - методических
материалов. - М.: МГАУ им. В.П.Горячкина, 2000. - 200 с.
2. Копылов
И.П. Электрические машины. М.: Высшая школа, 2000. - 607 с.
. Копылов
И.П., Проектирование электрических машин: Учеб. Пособие для вузов. - М.: Высшая
школа, 2002. - 757 с.