Расчет трехфазного асинхронного двигателя
ЗАДАНИЕ НА КУРСОВОЙ ПРОЕКТ
АСИНХРОННОГО ДВИГАТЕЛЯ
Выполнить расчет и конструктивную разработку
трехфазного асинхронного двигателя с фазным ротором с следующими техническими
данными:
. Номинальная мощность-3,0 кВт
. Номинальное фазное напряжение-380 В
. Номинальная частота напряжения сети-50 Гц
. Номинальный КПД-72,0 %
. Номинальный коэффициент мощности-0,73 о.е.
. Число полюсов машины-6
. Высота оси вращения-112 мм
. Установочный размер по длине станины-М(В)
. Конструктивное исполнение по способу монтажа-IM1001
. Исполнение по способу защиты от воздействия
окружающей среды-IP54
. Исполнение по способу охлаждения-IC0141
. Климатическое исполнение и категория
размещения-У3
. Класс нагревостойкости изоляции-F
СОДЕРЖАНИЕ
Введение
.
Главные размеры двигателя
.
Расчет статора
.1
Расчет обмотки статора
.2
Расчет зубцовой зоны статора
.
Расчет ротора
.1
Обмотка и зубцовая зона фазного ротора
.2
Сердечник ротора
.
Расчет магнитной цепи
.1
Магнитное напряжение зазора
.2
Магнитное напряжение зубцовой зоны статора
.3
Магнитное напряжение зубцовой зоны ротора
.4
Магнитное напряжение ярма (спинки) статора
.5
Магнитное напряжение ярма (спинки) ротора
.6
Намагничивающий ток двигателя
.
Параметры двигателя для номинального режима
.1
Параметры (сопротивления) обмотки статора
.2
Параметры обмотки фазного ротора
.
Потери мощности и КПД
.
Расчет рабочих характеристик
.
Тепловой расчет двигателя
.
Вентиляционный расчет двигателя
Список
используемых источников
ВВЕДЕНИЕ
Асинхронный двигатель является преобразователем
электрической энергии в механическую и составляет основу большинства
механизмов, использовавшихся во всех отраслях народного хозяйства.
В настоящее время асинхронные двигатели
потребляют более 40% вырабатываемой электрической энергии, на их изготовление
расходуется большое количество дефицитных материалов: обмоточной меди,
изоляции, электрической стали и других затрат.
На ремонт и обслуживание асинхронных двигателей
в эксплуатации средства составляют более 5 % затрат из обслуживания всего
установленного оборудования.
Поэтому создание серии высокоэкономических и
надежных асинхронных двигателей являются важнейшей народно - хозяйственной
задачей, а правильный выбор двигателей, их эксплуатации и высококачественный
ремонт играют первоочередную роль в экономии материалов и трудовых ресурсов.
В данной курсовой работе будет произведено
проектирование асинхронного двигателя, номинальные данные которого приведены в
техническом задании. Проектирование новой машины начинаем с выбора базовой
модели, на которую ориентируемся при проведении всех расчётов, начиная с выбора
главных размеров, и при разработке конструкций отдельных узлов. За базовую
выберем конструкцию двигателя серии 4А - 4А112МВ6У3.
1. ГЛАВНЫЕ РАЗМЕРЫ ДВИГАТЕЛЯ
Максимально возможный внешний диаметр сердечника
статора:
где h=112
- высота оси вращения, мм;
- минимально
допустимое расстояние от нижней точки наружной поверхности сердечника статора
до опорной плоскости лап:
- толщина стенки
станины:
- минимально
допустимое расстояние от нижней точки литой станины до опорной плоскости лап:
По таблице 5.1 [1] принимаем внешний диаметр
сердечника статора
.
Внутренний диаметр сердечника статора:
где
-
принимаем по таблице 5.2 [1].
Полюсное деление:
где 2p=6
- число полюсов машины.
Расчетная мощность машины:
где
-
номинальная мощность двигателя, кВт;
- коэффициент
полезного действия, о.е.;
- коэффициент
мощности, о.е.;
- коэффициент,
равный отношению ЭДС обмотки статора к номинальному напряжению, определяем по
рисунку 5.2 [1].
По рисунку 5.4 (а) [1] определяем индукцию в
зазоре
и
линейную нагрузку статора
.
Синхронная скорость вращения двигателя:
где
-
частота изменения напряжения сети, Гц;
p - число пар
полюсов машины.
Расчетная длина магнитопровода:
где
-
коэффициент формы поля;
- обмоточный
коэффициент при шаге обмотки
в машинах с любым числом полюсов.
Отношение
находится
в пределах заштрихованной области допустимых значений
,
рисунок 5.5 (а) [1], значит, главные размеры выбраны правильно.
Длина сердечника статора
и
длина стали статора
совпадают с
расчетной:
Длину сердечника ротора
в
машинах с
принимают равной
,
а длину стали ротора
- равной
:
По рисунку 5.6 [1] определяем воздушный зазор
асинхронного двигателя
.
2. РАСЧЕТ СТАТОРА
.1 Расчет обмотки статора
Обмотка статора: однослойная.
По рисунку 6.1 (3) [1] определяем максимально и
минимально возможные размеры
и
зубцового
деления статора.
Возможный диапазон изменения числа пазов
статора:
Принимаем число пазов сердечника статора
.
Пазовое деление статора:
Предварительное число эффективных проводников в
пазу для минимального числа параллельных ветвей фазы
:
где
-
номинальный фазный ток обмотки статора:
- число фаз обмотки
статора;
- номинальное
фазное напряжение обмотки статора, В.
Число эффективных проводников в пазу:
где
-
число параллельных ветвей для выбранного типа обмотки.
Принимаем
.
Число последовательно соединенных витков фазы
статора:
Линейная нагрузка:
Обмоточный коэффициент обмотки статора для
первой гармонической магнитного поля в зазоре машины:
где
=1-
коэффициент укорочения для однослойной обмотки.
Для однослойных обмоток со сплошной фазной зоной
условно принимают:
- полюсное деление
в пазовых делениях:
- расчетный шаг
обмотки в пазовых делениях:
Коэффициент распределения для обмоток с целым числом
пазов на полюс и фазу:
- число пазов на
полюс и фазу:
Магнитный поток полюсного деления:
Амплитуда индукции в зазоре машины:
Полное сечение эффективного проводника:
где
-предварительно
допустимая плотность тока:
- определяем по
графику допустимых значений рисунок 6.3 [1],
.
Действительное сечение эффективного проводника
обмотки статора:
где
-
число элементарных проводников;
- сечение
элементарного проводника, определяем по таблице 4.5 [1],
.
Реальная плотность тока в обмотке:
2.2 Расчет зубцовой зоны статора
Всыпную обмотку из провода круглого сечения
укладываем в полузакрытые пазы трапецеидальной формы. Угол наклона клиновой
части паза
. По таблице 6.3
[1] определяем допустимую индукцию в ярме
и
зубцах статора
.
Высота ярма:
где
-
коэффициент заполнения сердечника сталью определяем по таблице 6.2 [1], марка
стали 2212.
Ширина зуба:
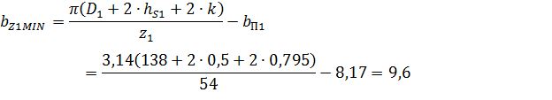
Глубина паза у дна:
Ширина паза у дна:
Высота шлица
.
Ширина шлица:
где
-
диаметр изолированного провода определяем по таблице 4.5 [1].
Принимаем
по
таблице 6.4 [1], мм.
Размер пазов с трапециевидной верхней частью:
Размеры паза “в свету”:
где
-
припуски на сборку сердечника по ширине и глубине паза таблица 6.5 [1], мм.
Нижняя трапецеидальная часть паза занятая
обмоткой:
где
-
высота свободной от обмотки верхней части паза:
Площадь поперечного сечения паза, занятая
обмоткой вместе с изоляцией:
Площадь корпусной изоляции:
где
-
односторонняя толщина корпусной изоляции, мм, определяем по таблице 4.6 [1].
Для однослойных обмоток
.
Площадь поперечного сечения паза, занимаемая
проводом:
Коэффициент заполнения паза изолированным
проводом:
3. РАСЧЕТ РОТОРА
3.1 Обмотка и зубцовая зона фазного
ротора
Обмотку ротора выполняют с тем же числом полюсов
=
.
Обмотка ротора двухслойная концентрическая с всыпной обмоткой (рис. 7.1)[1] в
соответствии с параграфом 4.4 [1]
Число параллельных ветвей примем
Число пазов на полюс и фазу:
K=1 или K=1/2
Число пазов ротора:
Обмоточный коэффициент обмотки ротора для первой
гармонической магнитного поля в зазоре машины:
где
-
коэффициент укорочения:
Шаг двухслойной обмотки по пазам:
Относительно укорочение шага:
Полюсное деление в пазовых делениях:
- коэффициент
распределения для обмоток с целым числом пазов на полюс и фазу:
номинальный фазный ток в обмотки ротора:
- коэффициент,
учитывающий влияние намагничивающего тока и зависящий от принятого в задании на
проектирование коэффициента мощности:
- коэффициент
приведения токов фазного ротора:
- число витков
последовательно соединенных витков фазы всыпной обмотки ротора:
-фазная ЭДС при
соединении обмотки ротора в звезду:
Число эффективных проводников в пазу:
где
-
число параллельных ветвей для выбранного типа обмотки.
Принимаем
Сечение эффективного проводника обмотки ротора:
где
-
плотность тока ротора,
.
Внешний диаметр ротора:
Зубцовое деление ротора:
Расчет зубцовой зоны фазного ротора
с всыпной обмоткой
Примем
Ширина зубца ротора:
Глубина паза c
трапециевидной верхней частью:
Высота шлица
.
Ширина шлица
Размер пазов с трапециевидной верхней частью:
Примем
Размеры паза “в свету”:
где
-
припуски на сборку сердечника по ширине и глубине паза таблица 6.5 [1], мм.
Нижняя трапецеидальная часть паза занятая
обмоткой:
где
-
высота свободной от обмотки верхней части паза:
Площадь поперечного сечения паза, занятая
обмоткой вместе с изоляцией:
Площадь корпусной изоляции:
где
-
односторонняя толщина корпусной изоляции, мм, определяем по таблице 4.6 [1].
Для однослойных обмоток:
Площадь поперечного сечения паза, занимаемая
проводом:
Коэффициент заполнения паза изолированным
проводом:
Уточняем плотность тока ротора:
Сердечник ротора
Диаметр вала:
где
-
значение коэффициента определяем по таблице 7.4 [1].
Принимаем
.
Внутренний диаметр насаживаемого на вал
сердечника ротора
равен диаметру
вала
:
Т.к. высота оси вращения
,
то аксиальные каналы отсутствуют.
4. РАСЧЕТ МАГНИТНОЙ ЦЕПИ
асинхронный двигатель ротор статор
4.1 Магнитное напряжение зазора
Коэффициенты, учитывающие зубчатость сердечников
статора и ротора:
Магнитное напряжение зазора на пару полюсов:
где
-
магнитная проницаемость вакуума;
- коэффициент
воздушного зазора, учитывающий влияние зубчатости сердечников статора и ротора
на магнитное сопротивление зазора:
4.2 Магнитное напряжение зубцовой
зоны статора
Расчетная высота зубца статора:
Ширина верхней и нижней части зубца статора:
Т.к
,
то расчетную ширину зубца принимаем
.
Индукция в зубце статора:
Расчетную напряженность поля
определим
с помощью кривых намагничивания зубцов рисунок 8.2 [1]:
Магнитное напряжение зубцовой зоны статора:
.3 Магнитное напряжение зубцовой
зоны ротора
Пазы трапецеидальные полузакрытые и зубцы
постоянной или мало изменяющейся ширины.
Расчетная высота зубцовой зоны ротора:
Ширина верхней части зубца ротора:
Ширина нижней части зубца ротора:
,то считают
расчетную ширину зубца
Определяем напряженность по таблице 8.2 [1]:
Магнитное напряжение зубцовой зоны ротора:
Коэффициент насыщения зубцовой зоны:
Коэффициент насыщения зубцовой зоны находится в
допустимых пределах
, значит основные
размеры и обмоточные данные проектируемой машины выбраны правильно.
.4 Магнитное напряжение ярма
(спинки) статора
Высота ярма:
Длина средней силовой линии в ярме статора:
Индукция в ярме статора:
Напряженность магнитного поля ярма статора
определяем по таблице 8.5 [1]:
Магнитное напряжение ярма статора:
4.5 Магнитное напряжение ярма
(спинки) ротора
Высота ярма ротора при посадке сердечника ротора
на вал:
Длина средней силовой линии в ярме ротора:
Расчетная высота ярма с учетом проникновения
части магнитного потока в вал:
где
-
число и диаметр аксиальных каналов в ярме, при отсутствии вентиляционных
каналов принимаем
.
Индукция в ярме ротора:
Напряженность магнитного поля ярма ротора
определяем по таблице 8.5 [1]:
Магнитное напряжение ярма ротора:
4.6 Намагничивающий ток двигателя
Суммарная МДС магнитной цепи на пару полюсов:
Коэффициент насыщения магнитной цепи:
Намагничивающий ток:
Намагничивающий ток в долях номинального тока:
5. ПАРАМЕТРЫ ДВИГАТЕЛЯ ДЛЯ
НОМИНАЛЬНОГО РЕЖИМА
.1 Параметры (сопротивления) обмотки
статора
Класс нагревостойкости F,
.
Удельное сопротивление медных проводов:
Лобовые части имеют прямоугольную форму.
Коэффициенты:

Длина вылета лобовой части:
Длина лобовой части:
Средняя длина витка:
Вследствие малых размеров элементарных
проводников обмотки статора поверхностный эффект в них проявляется мало и
активное сопротивление обмотки определяем без учета этого эффекта,
.
Активное сопротивление фазы статора:
Активное сопротивление фазы статора в о.е.
Расчетный размер:
где
-
число и ширина радиальных каналов равны нулю, т.к. их нет.
Коэффициенты, зависящие от относительного
укорочения шага:
Односторонняя толщина корпусной изоляции
определяется по таблице 4.6 [1]:
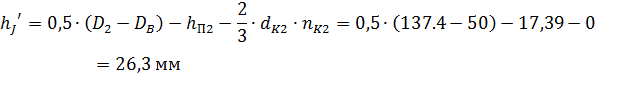
Высота части паза, занятой обмоткой:
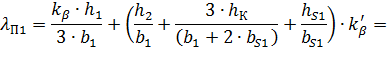
Коэффициент магнитной проводимости рассеяния
пазов статора:
Коэффициент учитывающий тип обмотки:
Длина лобовой части средней катушки катушечной
группы:
Коэффициент магнитной проводимости лобового
рассеяния:
Коэффициент, учитывающий размеры зубцовой зоны
статора:
Коэффициент, зависящий от числа пазов и скоса
пазов:
При
,
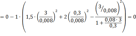
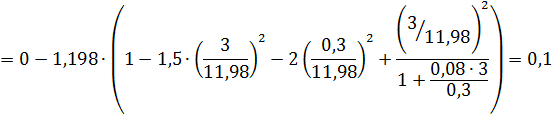
коэффициент дифференциального рассеяния:
Коэффициент магнитной проводимасти
дифференциального рассеяния:
Коэффициент магнитной проводимости рассеяния
обмотки статора:
Индуктивное сопротивление рассеяния фазы
статора:
Индуктивное сопротивление рассеяния фазы статора
в о.е.
.2 Параметры обмотки фазного ротора
Класс нагревостойкости F,
.
Удельное сопротивление медных проводов:
Лобовые части имеют прямоугольную форму.
Коэффициенты:
Средняя ширина катушки обмотки статора:
Длина вылета лобовой части:
Длина лобовой части:
Средняя длина витка:
Вследствие малых размеров элементарных
проводников обмотки ротора поверхностный эффект в них проявляется мало и
активное сопротивление обмотки определяем без учета этого эффекта,
.
Активное сопротивление фазы ротора:
Коэффициент приведения:
Активное сопротивление фазы ротора приведенное к
статору.
Приведенное активное сопротивление фазы ротора в
о.е.
Коэффициент магнитной проводимости рассеяния
пазов ротора:
Коэффициент учитывающий тип обмотки:
Длина лобовой части средней катушки катушечной
группы:
Коэффициент магнитной проводимости лобового
рассеяния:
Коэффициент, учитывающий размеры зубцовой зоны
ротора:
коэффициент дифференциального рассеяния:
Коэффициент магнитной проводимасти
дифференциального рассеяния:
Коэффициент магнитной проводимости рассеяния
обмотки ротора:
Индуктивное сопротивление рассеяния фазы ротора:
Активное сопротивление фазы ротора приведенное к
статору.
Индуктивное сопротивление рассеяния фазы ротора
в о.е.
6. ПОТЕРИ МОЩНОСТИ И КПД
Потери мощности в асинхронных
машинах условно делят на магнитные (основные и добавочные), электрические,
механические и добавочные при нагрузке.
Основные магнитные потери
Удельные потери в стали определяем
по таблице 10.1 [1]:
Коэффициенты, учитывающие увеличение магнитных
потерь за счет технологии обработки стали и неравномерного распределения
магнитной индукции в отдельных частях сердечника:
Плотность электротехнической стали:
Масса стали ярма:
Масса стали зубцов статора
Основные магнитные потери в сердечнике статора:
Добавочные магнитные потери
Добавочные потери условно делят на поверхностные
и пульсационные.
Амплитуды пульсаций индукции над зубцами ротора
от раскрытия пазов статора и над зубцами статора от раскрытий пазов ротора:
где коэффициенты
определяем
по рисунку 10.1 [1]. Пазы ротора закрытые, поэтому
,
а для пазов статора
.
Коэффициенты обработки учитывают увеличение
удельных потерь за счет механической обработки поверхности сердечников. Примем:
Удельные поверхностные потери на поверхности
ротора и статора соответственно:
Поверхностные потери мощности в зубцах ротора и
статора соответственно:
Амплитуда пульсаций магнитной индукции в среднем
сечении зубцов статора и ротора:
Масса зубцов ротора, верхней и нижней частей
соответственно:
Пульсационные потери в зубцах статора и ротора:
Полные добавочные магнитные потери:
Полные магнитные потери в асинхронном двигателе:
Электрические потери мощности
В обмотке статора:
В роторе:
При соединении обмотки в звезду:
Где
коэффициент для
металлографитовых щеток МГ.
Механические потери мощности
Двигатель со степенью защиты IP44:
где
-
коэффициент, который определяем по таблице 10.3 [1].
Добавочные потери
Добавочные потери возникают за счет потоков
рассеяния и высших гармоник магнитного потока в зазоре.
Суммарные потери мощности:
Подводимая мощность:
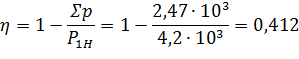
КПД двигателя в о.е:
Электрические потери при холостом ходе:
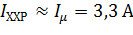
Реактивная составляющая тока холостого хода:
Активная составляющая тока холостого хода:
Ток холостого хода:
Коэффициент мощности при холостом ходе
двигателя:
7. РАСЧЕТ РАБОЧИХ ХАРАКТЕРИСТИК
Рабочими характеристиками называют зависимости
.
Обычно к ним относят также зависимости
.
Рабочие характеристики расчитывают, используя
соотношения для Г-образной схемы замещения асинронного двигателя.
Активное сопротивление намагничивающего контура
Т-образной схемы замещения, учитывающее магнитные потери мощности:
В относительных единицах:
Индуктивное сопротивление, учитывающее взаимную
индуктивность обмоток статора и ротора:
В относительных единицах:
Коэффициент, учитывающий изменение магнитного
потока при нагрузке за счет падения напряжения на сопротивлении обмотки
статора:
Составляющие тока синхронного холостого хода,
реактивная и активная:
При
используем
приближенный метод расчета.
Пренебрегаем реактивной составляющей (
)
, тогда:
Предварительно принимаем номинальное скольжение
.
Задавая значения скольжения s равные
и
рассчитываем рабочие характеристики в последовательности приведенной в таблице
11.1 [1]. По результатам расчета начертим рабочие характеристики двигателя. По
графику зависимости
определим
действительное номинальное скольжение
,
соответствующее заданной номинальной мощности
.
После чего рассчитаем характеристики для действительного номинального
скольжения, и в результате расчета получим номинальные данные двигателя.
Таблица 1 - Расчет рабочих характеристик
асинхронного двигателя Р2Н=3 кВт; U1Н=380
В; I1Н=5
А; IOA=0,17 A;
IOP=3,3 A;
pM+pМЕХ=2,079
кВт; r1=3,4
Ом; r’2=3,8
Ом; С1=1,03; a’=1,06
Ом; a=3,5 Ом; b’=0
Ом; b=6,5 Ом.
|
№
|
Расчетная
формула
|
Единица
|
Скольжение
|
|
|
|
0
|
0,2sНП
|
0,4
sНП
|
0,6
sНП
|
0,8
sНП
|
sНП
|
1,2
sНП
|
sН
|
|
1
|
|
Ом
|
|
402.8
|
201.4
|
134.3
|
100.7
|
80.6
|
67.1
|
74,5
|
|
2
|
|
Ом
|
|
0
|
0
|
0
|
0
|
0
|
0
|
0
|
|
3
|
|
Ом
|
|
406.3
|
204.9
|
137.8
|
104.2
|
84.1
|
70.6
|
78
|
|
4
|
|
Ом
|
|
6.5
|
6.5
|
6.5
|
6.5
|
6.5
|
6.5
|
6.5
|
|
5
|
|
Ом
|
|
406.4
|
205
|
137.9
|
104.4
|
84.3
|
70.9
|
78,2
|
|
6
|
|
А
|
0
|
0.93
|
1.8
|
2.7
|
3.6
|
4.5
|
5.3
|
4,8
|
|
7
|
|
-
|
1
|
0,99
|
0,99
|
0,99
|
0,99
|
0,99
|
0,99
|
0,99
|
|
8
|
|
-
|
0
|
0.02
|
0.03
|
0.047
|
0.06
|
0.07
|
0.09
|
0,08
|
|
9
|
|
А
|
0.17
|
1.09
|
1.9
|
2.8
|
3.7
|
4.6
|
5.4
|
4,9
|
|
10
|
|
А
|
3.3
|
3.3
|
3.35
|
3.4
|
3.5
|
3.6
|
3.7
|
3,7
|
|
11
|
|
А
|
3.3
|
3.47
|
3.8
|
4.4
|
5.1
|
5.8
|
6.5
|
6,1
|
|
12
|
|
А
|
0
|
0.96
|
1.85
|
3.7
|
4.6
|
5.5
|
4,9
|
|
13
|
|
кВт
|
0.019
|
1.2
|
2.2
|
3.2
|
4.2
|
5.2
|
6.2
|
5,6
|
|
14
|
|
кВт
|
0,12
|
0.12
|
0.15
|
0.19
|
0.26
|
0.34
|
0.43
|
0,38
|
|
15
|
|
кВт
|
0
|
0.013
|
0.04
|
0.09
|
0.16
|
0.25
|
0.36
|
0,27
|
|
16
|
|
кВт
|
0.0000087
|
0.000009
|
0.00001
|
0.000015
|
0.00002
|
0.000023
|
0.000026
|
0,00003
|
|
17
|
|
кВт
|
2.19
|
2.2
|
2.27
|
2.36
|
2.5
|
2.67
|
2.87
|
2,73
|
|
18
|
|
кВт
|
0
|
0
|
0
|
0.84
|
1.7
|
2.53
|
3.33
|
2,87
|
|
19
|
|
-
|
0
|
0
|
0
|
0.27
|
0.41
|
0.49
|
0.54
|
0,048
|
|
20
|
|
-
|
0,05
|
0.31
|
0.5
|
0.63
|
0.72
|
0.79
|
0.83
|
0,98
|
По результатам расчетов и построений получили
(последний столбец таблицы 1)
. ТЕПЛОВОЙ РАСЧЕТ ДВИГАТЕЛЯ
Нагрев обмоток рассчитывают для наиболее
неблагоприятного режима работы с предельно допустимой для выбранной изоляции
температурой (класс F - 140°С).
При этом электрические потери в обмотках увеличиваются по сравнению с режимом
работы при расчетной температуре пропорционально увеличению удельного
сопротивления меди обмоток, что учитывают коэффициентом увеличения
электрических потерь:
Электрические потери в обмотке статора делят на
потери в пазовых и лобовых частях катушек:
Превышение температуры внутренней поверхности
сердечника статора над температурой воздуха внутри машины:
где
коэффициент,
учитывающий часть потерь в пазовой части обмотки и сердечнике статора,
передаваемых воздуху внутри машины (по таблице 13.1 [1]);
коэффициент
теплоотдачи с поверхности сердечника статора внутреннему воздуху (по рисунку
13.1 [1]).
Расчетный периметр условной поверхности
охлаждения паза статора:
Односторонняя толщина изоляции в пазу статора:
.
Средний коэффициент теплопроводности пазовой
изоляции:
Средний коэффициент теплопроводности внутренней
изоляции катушки из круглого провода с учетом неплотной укладки проводников и
неполного исключения воздушных прослоек между проводами при пропитке в
зависимости от соотношения диаметров провода
определяем
по рисунку 13.2 [1]:
Перепад температуры в изоляции пазовой части
обмотки статора:
Односторонняя толщина изоляции лобовой части:
.
Перепад температуры в изоляции лобовых частей
обмотки статора:
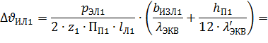
Превышение температуры наружной поверхности
лобовых частей обмотки статора над температурой воздуха внутри двигателя:
Среднее превышение температуры обмотки статора
над температурой воздуха внутри двигателя:
Расчетная поверхность охлаждения корпуса
двигателя:
Отводимая внутренним воздухом сумма потерь
мощности:
Коэффициент теплоотдачи с поверхности корпуса
охлаждающему воздуху (по рисунку 13.5 [1]):
Среднее превышение температуры воздуха внутри
машины над температурой окружающей среды:
Среднее превышение температуры обмотки статора
над температурой окружающей среды:
Для изоляции класса нагревостойкости F
превышение температуры обмотки
. Расчетные
параметры входят в указанные пределы.
. ВЕНТИЛЯЦИОННЫЙ РАСЧЕТ ДВИГАТЕЛЯ
Приближенный расчет вентиляции двигателя
заключается в определении минимального расхода воздуха, необходимого для
охлаждения машины, и расхода воздуха, обеспечиваемого нагнетательными
элементами системы вентиляции. Сравнение расходов воздуха позволяет судить об
эффективности охлаждения двигателя.
Расход воздуха, необходимый для охлаждения
двигателя с исполнением по степени защиты IP23:
Коэффициент, учитывающий суммарное действие всех
нагнетательных элементов:
Расход воздуха, обеспечиваемый нагнетательными
элементами:
В результате получаем
,
что является условием нормального охлаждения двигателя.
СПИСОК ИСПОЛЬЗОВАННЫХ ИСТОЧНИКОВ
1. Проектирование
асинхронных двигателей: Учеб. пособие/ Л.Ф. Силин. Красноярск: ИПЦ КГТУ, 2002.
- 236 с.
. Проектирование
электрических машин: Учеб. пособие/ И.П. Копылов, Б.К. Клоков, В.П. Морозкин,
Б. Ф. Токарев. - М.: Высш. шк. 202.-757 с.
. Асинхронные
двигатели серии 4А: Справочник/ А.Э. Кравчик, М.М. Шлаф, В.И. Афонин, Е.А.
Соболенская. - М.: Энергоиздат, 1982. - 504 с.
. Электрические
машины: Учебник для ВТУЗов./ А.И. Вольдек. - 2-е изд. - Л., «Энергия», 1974. -
840 с.
. Электрические
машины. Асинхронные машины: Учеб. пособие/ А.Л. Встовский. Красноярск: ИПЦ
КГТУ, 2005. - 150 с.