Проектирование развития электрической сети
ФГАОУ
ВПО «Уральский Федеральный Университет имени первого Президента РФ Б.Н.
Ельцина»
Уральский
энергетический институт
Кафедра
«АЭС»
Курсовой
проект по дисциплине
Электроэнергетические
системы и сети
Проектирование
развития электрической сети
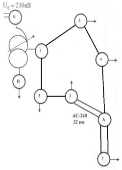
1. Карта-схема района проектирования
. Принципы разработки вариантов
конфигурации сети
1. Обеспечение надежного электроснабжения
потребителей.
. Передача мощности по наиболее короткому
электрическому пути от источника до потребителя- принцип минимальных потерь
мощности.
. Передача мощности по наиболее географически
короткой сети - принцип минимальных капиталовложений.
. Полная загрузка существующей сети.
. Обеспечение качества электроэнергии на шинах
потребителей.
Дополнительная информация:
район проектирования - Урал;
срок окупаемости объектов - 5 лет ;
удельная стоимость потерь - 2 руб/кВтч;
коэффициент приведения капитальных вложений к
современным ценам = 70;
Т мах = 4500 час;
ТЭЦ работает в базе графика нагрузки ЭЭС.
Требуемые напряжения на шинах подстанций
|
Узел
|
31
|
41
|
51
|
71
|
81
|
91
|
|
Требуемое
напряжение на шинах подстанции, кВ
|
10,2
|
10,5
|
10,2
|
10,5
|
10,5
|
10,2
|
. Разработка балансов мощностей
Ориентировочный уровень потерь мощности в сети
110 кВ
Расход на собственные нужды электростанций :
Балансы активной мощности
|
Максимальный
режим
|
Минимальный
режим
|
|
Потребление
системы
|
Потребление
системы
|
|
Узел
|
Р,
МВт
|
∆Р,
МВт
|
Р∑,
МВт
|
Узел
|
Р,
МВт
|
∆Р,
МВт
|
Р∑,
МВт
|
|
3
|
16
|
0,64
|
16,64
|
3
|
9,6
|
0,38
|
9,98
|
|
4
|
50
|
2
|
52
|
4
|
30
|
1,2
|
31,2
|
|
5
|
19
|
0,76
|
19,76
|
5
|
11,4
|
0,46
|
11,86
|
|
7
|
42
|
1,68
|
43,68
|
7
|
25,2
|
1
|
26,2
|
|
8
|
37
|
1,48
|
38,48
|
8
|
22,2
|
0,89
|
23,09
|
|
9
|
24
|
0,96
|
24,96
|
9
|
14,4
|
0,58
|
14,98
|
|
Итого
потребление
|
195,52
|
Итого
потребление
|
117,31
|
|
Генерация
системы
|
Генерация
(ТЭЦ в базе графика нагрузки ЭЭС)
|
|
P, МВт
|
Pсн, МВт
|
∆Pтр, МВт
|
Pэкв, МВт
|
P, МВт
|
Pсн, МВт
|
∆Pтр, МВт
|
Pэкв, МВт
|
|
3*100
|
3*10,8
|
3*0,5
|
266,1
|
3*100
|
3*10,8
|
3*0,
5
|
266,1
|
|
Избыток
мощности
|
16,155
|
Избыток
мощности
|
77.175
|
4. Варианты конфигурации сети
Вариант 1
Вариант 2
Вариант 3
Вариант 4
. 5. Определение эквивалентных токов
узлов
Выбор трансформаторов в узлах сети
|
№
|
ПС
|
Pн, МВт
|
cosφ
|
Sн, МВА
|
Sн*0,7 МВА
|
Тип
трансформатора
|
R, Ом
|
X, Ом
|
DPХ,
МВт
|
DQХ,
МВт
|
|
1
|
3-нагрузка
|
16
|
0.93
|
17,2
|
12,04
|
2ТДН-16000/110
|
4,38
|
86,7
|
0,019
|
0,112
|
|
2
|
4-нагрузка
|
50
|
0.90
|
55,55
|
38,88
|
2ТРДН-40000/110
|
1,4
|
34,7
|
0,036
|
0,26
|
|
3
|
5-нагрузка
|
19
|
0.91
|
20,88
|
14,62
|
2ТДН-16000/110
|
4,38
|
86,7
|
0,019
|
0,112
|
|
4
|
7-нагрузка
|
42
|
0.91
|
46,15
|
32,30
|
2ТРДН-40000/110
|
1,4
|
34,7
|
0,036
|
0,26
|
|
5
|
8-нагрузка
|
37
|
0.86
|
43,02
|
30,11
|
2ТРДН-40000/110
|
1,4
|
34,7
|
0,036
|
0,26
|
|
6
|
9-нагрузка
|
24
|
0,89
|
26,97
|
18,88
|
2ТРДН-25000/110
|
2,54
|
55,9
|
0,027
|
0,175
|
|
7
|
А-генерация
|
3*100
|
0.8
|
3*125
|
3*87,5
|
3ТРДЦН-125000/110
|
0,4
|
11,1
|
0,17
|
0,687
|
Определение токов в узлах сети 110 кВ
Максимальный режим
|
№
|
Узел,
трансформатор
|
Pн,
МВт
|
Qн, Мвар
|
DPТ,
МВт
|
DQТ,
Мвар
|
DPХ,
МВт
|
DQХ,
Мвар
|
PЭ,
МВт
|
QЭ, Мвар
|
SЭ, МВА
|
IЭ, А
|
|
3
|
2ТДН-16000/110
|
16
|
6,32
|
0,05
|
0,97
|
0,038
|
0,224
|
16,09
|
7,52
|
17,76
|
89,148
|
|
4
|
2ТРДН-40000/110
|
50
|
24,22
|
0,16
|
4,05
|
0,072
|
0,52
|
50,24
|
28,79
|
57,90
|
290,673
|
|
5
|
2ТДН-16000/110
|
19
|
8,66
|
0,07
|
1,43
|
0,038
|
0,224
|
19,11
|
10,31
|
21,71
|
109,013
|
|
7
|
2ТРДН-40000/110
|
42
|
19,14
|
0,11
|
2,79
|
0,072
|
0,052
|
42,18
|
21,98
|
47,57
|
238,815
|
|
8
|
2ТРДН-40000/110
|
37
|
21,95
|
0,10
|
2,43
|
0,072
|
0,52
|
37,17
|
24,90
|
44,74
|
224,619
|
|
9
|
2ТРДН-25000/110
|
24
|
12,30
|
0,07
|
1,54
|
0,054
|
0,35
|
24,12
|
14,18
|
27,98
|
140,492
|
|
а
|
3ТРДЦН-1250000/110
|
300
|
225
|
2,127
|
59,015
|
0,3
|
1,374
|
302,47
|
285,39
|
415,852
|
2087,76
|
Минимальный режим
|
№
|
Узел,
|
Pн,
МВт
|
Qн,
Мвар
|
DPТ,
МВт
|
DQТ,
Мвар
|
DPХ,
МВт
|
DQХ,
Мвар
|
PЭ,
МВт
|
QЭ,
Мвар
|
SЭ,
МВА
|
IЭ,
A
|
|
3
|
2ТДН-16000/110
|
12,04
|
4,76
|
0,03
|
0,55
|
0,038
|
0,224
|
12,11
|
5,53
|
13,31
|
66,821
|
2ТРДН-40000/110
|
38,88
|
18,83
|
0,10
|
2,45
|
0,072
|
0,52
|
39,05
|
21,80
|
44,72
|
224,529
|
|
5
|
2ТДН-16000/110
|
14,62
|
6,66
|
0,04
|
0,85
|
0,038
|
0,224
|
14,70
|
7,73
|
16,61
|
83,388
|
|
7
|
2ТРДН-40000/110
|
32,3
|
14,72
|
0,07
|
1,65
|
0,072
|
0,052
|
32,44
|
16,42
|
36,36
|
182,534
|
|
8
|
2ТРДН-40000/110
|
30,11
|
17,87
|
0,06
|
1,61
|
0,072
|
0,52
|
30,25
|
19,99
|
36,26
|
182,031
|
|
9
|
2ТРДН-25000/110
|
18,8
|
9,63
|
0,04
|
0,94
|
0,054
|
0,35
|
18,90
|
10,92
|
21,83
|
109,583
|
|
а
|
3ТРДЦН-125000/110
|
300
|
225
|
2,127
|
59,015
|
0,34
|
1,374
|
302,467
|
285,389
|
415,852
|
2087,758
|
Длины ЛЭП:
|
Линия
|
L14
|
L15
|
L53
|
L48
|
L43
|
L3A
|
LA7
|
L13
|
LA9
|
L98
|
|
Длина,
км
|
54
|
31
|
26
|
38
|
33
|
32
|
27
|
39
|
39
|
25
|
6. Выбор сечений линий электропередачи
(вариант 1)
Максимальный режим
Минимальный режим
|
№
|
ЛЭП
|
l,
км
|
Iмак,
А
|
n
|
Iц,
А
|
FЭК мм2
|
Сечение
|
Вид
аварии
|
Iп/а,
А
|
Iдоп,
А
|
Решение
|
|
1
|
А7
|
27
|
283,6
max
|
2
|
141,8
|
135,35
|
2АС-120
|
Обр.
1ц
|
283,6
|
390
|
2АС-120
|
|
2
|
А9
|
39
|
168,9
max
|
2
|
84,45
|
80,6
|
2АС-120
|
Обр.
1ц
|
168,9
|
390
|
2АС-120
|
|
3
|
А3
|
32
|
1026,25
min
|
2
|
513,125
|
489,8
|
2АС-240
|
Обр.
1ц
|
1026,25
|
1210
|
3АС-240
|
|
4
|
53
|
26
|
68,9
max
|
2
|
34,45
|
32,9
|
2АС-120
|
Обр.
1ц
|
68,9
|
390
|
2АС-120
|
|
5
|
34
|
39
|
901,94min
|
2
|
450,97
|
430
|
2АС-240
|
Обр.
1ц
|
901,94
|
1210
|
3АС-240
|
|
6
|
48
|
38
|
183,9
min
|
2
|
91,95
|
87,7
|
2АС-120
|
Обр.
1ц
|
183,9
|
390
|
2АС-120
|
|
7
|
89
|
25
|
|
|
|
|
|
Обр.1ц
|
|
|
|
|
8
|
15
|
31
|
|
|
|
|
|
Обр.1ц
|
|
|
|
Выбор сечений линий электропередачи (вариант 2)
Расчет токов в сети (максимальный режим)
Расчет кольца выполнен с помощью программы RASTR,
в узлах указаны мощности нагрузки, сечения линий условно приняты АС-240.
И так далее для всех вариантов.
Токи ветвей сети:
|
Tип
|
N_нач
|
N_кон
|
I_нач
|
I_кон
|
|
ЛЭП
|
1
|
2
|
95,41
|
88,29
|
|
ЛЭП
|
2
|
4
|
230,93
|
226,77
|
|
ЛЭП
|
4
|
10
|
376,21
|
371,04
|
|
ЛЭП
|
1
|
5
|
287,69
|
283,06
|
|
ЛЭП
|
5
|
3
|
340,29
|
336,47
|
|
ЛЭП
|
3
|
10
|
223,26
|
219,04
|
|
ЛЭП
|
3
|
10
|
223,26
|
219,04
|
|
ЛЭП
|
10
|
7
|
117,81
|
120,55
|
|
ЛЭП
|
10
|
7
|
117,81
|
120,55
|
Расчет токов в сети (минимальный режим)
Токи ветвей сети:
|
Tип
|
N_нач
|
N_кон
|
I_нач
|
I_кон
|
|
ЛЭП
|
1
|
2
|
209,83
|
204,69
|
|
ЛЭП
|
2
|
4
|
301,67
|
297,80
|
|
ЛЭП
|
4
|
10
|
385,49
|
380,29
|
|
ЛЭП
|
1
|
5
|
414,49
|
410,60
|
|
ЛЭП
|
5
|
3
|
446,21
|
442,73
|
|
ЛЭП
|
3
|
10
|
254,40
|
250,15
|
|
ЛЭП
|
3
|
10
|
254,40
|
250,15
|
|
ЛЭП
|
10
|
7
|
67,19
|
69,92
|
|
ЛЭП
|
10
|
7
|
67,19
|
69,92
|
Выбор сечений линий:
|
№
|
ЛЭП
|
l,
км
|
Iмак,
А
|
n
|
Iц,
А
|
FЭК мм2
|
Сечение
|
Вид
аварии
|
Iп/а,
А
|
Iдоп,
А
|
Решение
|
|
1
|
А7
|
27
|
241,1
max
|
2
|
120,55
|
115,07
|
2АС-120
|
Обр.
1ц
|
245,16
|
390
|
2АС-120
|
|
2
|
А4
|
40
|
385.49
min
|
1
|
385.49
|
367.97
|
2АС-185
|
Обр.
53
|
755,04
|
1020
|
2АС-185
|
|
|
|
|
2
|
219.12
|
209.16
|
2АС-185
|
|
|
|
|
|
3
|
А3
|
32
|
470,72
min
|
2
|
235,36
|
224,66
|
2АС-240
|
762,06
|
1210
|
2АС-240
|
|
4
|
35
|
26
|
408,92
min
|
1
|
408,92
|
390,33
|
2АС-185
|
Обр.
24
|
728,04
|
1210
|
2АС-240
|
|
|
|
|
2
|
225,5
|
215,25
|
2АС-240
|
|
|
|
|
|
5
|
51
|
31
|
421
min
|
1
|
421
|
401,86
|
2АС-185
|
Обр.
24
|
725,36
|
1210
|
2АС-240
|
|
|
|
|
2
|
239,84
|
228,9
|
2АС-240
|
|
|
|
|
|
6
|
42
|
31
|
282,09
|
1
|
282,09
|
269,27
|
АС-240
|
Обр.
1ц 3А
|
334,3
|
605
|
АС-240
|
|
7
|
12
|
38
|
190,83
|
1
|
190,83
|
182,16
|
АС-185
|
Обр.
1ц 3А
|
242,61
|
510
|
АС-185
|
Приведу таблицу ветвей RASTR
с указанием токов в ветвях после выбора количества цепей и сечений.
(минимальный режим):
|
Tип
|
N_нач
|
N_кон
|
I_нач
|
I_кон
|
|
ЛЭП
|
1
|
2
|
190,83
|
185,49
|
|
ЛЭП
|
2
|
4
|
282,03
|
278,11
|
|
ЛЭП
|
4
|
10
|
183,08
|
178,10
|
|
ЛЭП
|
4
|
10
|
183,08
|
178,10
|
|
ЛЭП
|
1
|
5
|
239,84
|
235,80
|
|
ЛЭП
|
1
|
5
|
239,84
|
235,80
|
|
ЛЭП
|
5
|
3
|
253,92
|
250,48
|
|
ЛЭП
|
5
|
3
|
253,92
|
250,48
|
|
ЛЭП
|
3
|
10
|
285,01
|
280,84
|
|
ЛЭП
|
3
|
10
|
285,01
|
280,84
|
|
ЛЭП
|
10
|
7
|
70,33
|
72,96
|
|
ЛЭП
|
10
|
7
|
70,33
|
72,96
|
Выбор сечений линий электропередачи (вариант 3)
Расчет токов в сети (максимальный режим)
Расчет токов в сети (минимальный режим)
Данные RASTR:
максимальный режим
|
Tип
|
N_нач
|
N_кон
|
I_нач
|
I_кон
|
|
ЛЭП
|
1
|
2
|
74,00
|
67,11
|
|
ЛЭП
|
2
|
4
|
195,79
|
191,63
|
|
ЛЭП
|
4
|
10
|
343,08
|
338,05
|
|
ЛЭП
|
5
|
3
|
30,81
|
29,03
|
|
ЛЭП
|
5
|
3
|
30,81
|
29,03
|
|
ЛЭП
|
3
|
10
|
246,95
|
242,78
|
|
ЛЭП
|
3
|
10
|
246,95
|
242,78
|
|
ЛЭП
|
10
|
7
|
120,14
|
122,83
|
|
ЛЭП
|
10
|
7
|
120,14
|
122,83
|
|
ЛЭП
|
1
|
3
|
339,03
|
333,10
|
минимальный режим
|
Tип
|
N_нач
|
N_кон
|
I_нач
|
I_кон
|
|
|
ЛЭП
|
1
|
2
|
166,22
|
160,79
|
|
|
ЛЭП
|
2
|
4
|
257,60
|
253,72
|
|
|
ЛЭП
|
4
|
10
|
342,61
|
337,53
|
|
|
ЛЭП
|
5
|
3
|
18,08
|
16,58
|
|
|
ЛЭП
|
5
|
3
|
18,08
|
16,58
|
|
|
ЛЭП
|
3
|
10
|
284,75
|
280,59
|
|
|
ЛЭП
|
3
|
10
|
284,75
|
280,59
|
|
|
ЛЭП
|
10
|
7
|
68,73
|
71,41
|
|
|
ЛЭП
|
10
|
7
|
68,73
|
71,41
|
|
|
ЛЭП
|
1
|
3
|
479,40
|
474,28
|
|
|
№
|
ЛЭП
|
l,
км
|
Iмак,
А
|
n
|
Iц,
А
|
FЭК мм2
|
Сечение
|
Вид
аварии
|
Iп/а,
А
|
Iдоп,
А
|
Решение
|
|
1
|
А7
|
27
|
245,6
max
|
2
|
122,83
|
117,25
|
2АС-120
|
Обр.
1ц
|
249,83
|
390
|
2АС-120
|
|
2
|
13
|
39
|
479,45
min
|
1
|
479,45
|
457,66
|
2АС-240
|
Обр.
А4
|
810,96
|
1210
|
2АС-240
|
|
|
|
|
2
|
281.67
|
268.87
|
2АС-240
|
|
|
|
|
|
3
|
3А
|
32
|
652,96
min
|
2
|
326,48
|
311,64
|
2АС-240
|
Обр.
А4
|
900,9
|
1210
|
2АС-240
|
|
4
|
А4
|
40
|
286,01
min
|
1
|
286,01
|
273
|
АС-240
|
Обр.
1ц А3
|
341,05
|
605
|
АС-240
|
|
5
|
42
|
31
|
198,83
min
|
1
|
198,83
|
189,8
|
АС-185
|
Обр.
1ц А3
|
255,29
|
510
|
АС-185
|
|
6
|
12
|
38
|
107,9
min
|
1
|
107,9
|
103
|
АС-120
|
Обр.
1ц А3
|
164,66
|
390
|
АС-120
|
|
7
|
53
|
26
|
61,46
max
|
2
|
30,73
|
29,33
|
2АС-120
|
Обр.
1ц
|
63,79
|
390
|
2АС-120
|
|
|
|
|
|
|
|
|
|
|
|
|
|
|
|
|
Опытным путем было определено, что выбор сечений
начинать с усиления цепи 42 нецелесообразно. При избытке мощности полезно усилить
линию 31, чтобы обеспечить транзит мощности в соседнюю энергосистему по
кратчайшему пути от ТЭЦ. За счет этого произойдет, также, уменьшение
капиталовложений в линии.
Приведу таблицу ветвей RASTR
с указанием токов в ветвях после выбора количества цепей в минимальном режиме:
|
Tип
|
N_нач
|
N_кон
|
I_нач
|
I_кон
|
1
|
2
|
107,91
|
102,06
|
|
ЛЭП
|
2
|
4
|
198,83
|
195,05
|
|
ЛЭП
|
4
|
10
|
286,01
|
281,21
|
|
ЛЭП
|
5
|
3
|
18,78
|
17,29
|
|
ЛЭП
|
5
|
3
|
18,78
|
17,29
|
|
ЛЭП
|
3
|
10
|
326,48
|
322,43
|
|
ЛЭП
|
3
|
10
|
326,48
|
322,43
|
|
ЛЭП
|
10
|
7
|
71,03
|
73,64
|
|
ЛЭП
|
10
|
7
|
71,03
|
73,64
|
|
ЛЭП
|
1
|
3
|
281,68
|
276,62
|
|
ЛЭП
|
1
|
3
|
281,68
|
276,62
|
Максимальный режим:
|
Tип
|
N_нач
|
N_кон
|
I_нач
|
I_кон
|
|
ЛЭП
|
1
|
2
|
60,87
|
56,66
|
|
ЛЭП
|
2
|
4
|
153,88
|
149,91
|
|
ЛЭП
|
4
|
10
|
305,06
|
300,37
|
|
ЛЭП
|
5
|
3
|
31,72
|
29,97
|
|
ЛЭП
|
5
|
3
|
31,72
|
29,97
|
|
ЛЭП
|
3
|
10
|
275,73
|
271,59
|
|
ЛЭП
|
3
|
10
|
275,73
|
271,59
|
|
ЛЭП
|
10
|
7
|
123,27
|
125,90
|
|
ЛЭП
|
10
|
7
|
123,27
|
125,90
|
|
ЛЭП
|
1
|
3
|
198,31
|
192,45
|
|
ЛЭП
|
1
|
3
|
198,31
|
192,45
|
Выбор сечений линий электропередачи (вариант 4)
Максимальный режим
Минимальный режим
Данные RASTR.
Максимальный режим:
|
TипN_начN_конI_начI_кон
|
|
|
|
|
|
ЛЭП
|
1
|
2
|
86,74
|
89,48
|
|
ЛЭП
|
1
|
2
|
86,74
|
89,48
|
|
ЛЭП
|
4
|
10
|
72,08
|
68,28
|
|
ЛЭП
|
4
|
10
|
72,08
|
68,28
|
|
ЛЭП
|
1
|
5
|
202,99
|
198,41
|
|
ЛЭП
|
5
|
3
|
257,19
|
253,59
|
|
ЛЭП
|
3
|
10
|
345,81
|
341,40
|
|
ЛЭП
|
3
|
10
|
345,81
|
341,40
|
|
ЛЭП
|
10
|
7
|
118,50
|
121,23
|
|
ЛЭП
|
10
|
7
|
118,50
|
121,23
|
|
ЛЭП
|
1
|
3
|
331,85
|
326,27
|
Минимальный режим:
|
Tип
|
N_нач
|
N_кон
|
I_нач
|
I_кон
|
|
|
ЛЭП
|
1
|
2
|
50,82
|
53,37
|
|
|
ЛЭП
|
1
|
2
|
50,82
|
53,37
|
|
|
ЛЭП
|
4
|
10
|
42,00
|
38,45
|
|
|
ЛЭП
|
4
|
10
|
42,00
|
38,45
|
|
|
ЛЭП
|
1
|
5
|
289,07
|
285,20
|
|
|
ЛЭП
|
5
|
3
|
321,67
|
318,35
|
|
|
ЛЭП
|
3
|
10
|
412,80
|
408,51
|
|
|
ЛЭП
|
3
|
10
|
412,80
|
408,51
|
|
|
ЛЭП
|
10
|
7
|
67,89
|
70,60
|
|
|
ЛЭП
|
10
|
7
|
67,89
|
70,60
|
|
|
ЛЭП
|
1
|
3
|
443,82
|
438,90
|
|
|
№
|
ЛЭП
|
l,
км
|
Iмак,
А
|
n
|
Iц,
А
|
FЭК мм2
|
Сечение
|
Вид
аварии
|
Iп/а,
А
|
Iдоп,
А
|
Решение
|
|
1
|
12
|
38
|
178.96
max
|
2
|
89.48
|
85.4
|
2АС-120
|
Обр.
1ц
|
181,74
|
390
|
2АС-120
|
|
2
|
4А
|
40
|
144,16
max
|
2
|
72,08
|
68,8
|
2АС-120
|
Обр.
1ц
|
146,28
|
390
|
2АС-120
|
|
3
|
7А
|
27
|
242,46
max
|
2
|
121,23
|
115,72
|
2АС-120
|
Обр.
1ц
|
246,51
|
390
|
2АС-120
|
|
4
|
А3
|
32
|
825,6
min
|
2
|
412,8
|
394
|
3АС-240
|
Обр.
1ц
|
825,5
|
1210
|
3АС-240
|
|
|
|
|
3
|
280.83
|
268.06
|
3АС-240
|
|
|
|
|
|
5
|
13
|
39
|
454,48
min
|
1
|
454,48
|
433,82
|
2АС-240
|
Обр.
53
|
792,22
|
1210
|
2АС-240
|
|
|
|
|
2
|
294,38
|
281
|
2АС-240
|
|
|
|
|
|
6
|
53
|
26
|
219,55
min
|
1
|
219,55
|
209,6
|
АС-185
|
Обр.
1ц 13
|
328,82
|
510
|
АС-185
|
|
7
|
15
|
31
|
186,81
min
|
1
|
186,81
|
178,3
|
АС-185
|
Обр.
1ц 13
|
296,56
|
510
|
АС-185
|
|
|
|
|
|
|
|
|
|
|
|
|
|
|
|
|
|
Приведу таблицу ветвей RASTR
с указанием токов в ветвях после выбора количества цепей в максимальном режиме:
|
Tип
|
N_нач
|
N_кон
|
I_нач
|
I_кон
|
1
|
2
|
86,74
|
89,48
|
|
ЛЭП
|
1
|
2
|
86,74
|
89,48
|
|
ЛЭП
|
4
|
10
|
74,96
|
71,28
|
|
ЛЭП
|
4
|
10
|
74,96
|
71,28
|
|
ЛЭП
|
1
|
5
|
126,98
|
122,19
|
|
ЛЭП
|
5
|
3
|
181,14
|
177,65
|
|
ЛЭП
|
3
|
10
|
240,11
|
235,82
|
|
ЛЭП
|
3
|
10
|
240,11
|
235,82
|
|
ЛЭП
|
3
|
10
|
240,11
|
235,82
|
|
ЛЭП
|
10
|
7
|
123,47
|
126,10
|
|
ЛЭП
|
10
|
7
|
123,47
|
126,10
|
|
ЛЭП
|
1
|
3
|
220,28
|
214,65
|
|
ЛЭП
|
1
|
3
|
220,28
|
214,65
|
В минимальном режиме:
|
TипN_начN_конI_начI_кон
|
|
|
|
|
|
ЛЭП
|
1
|
2
|
50,82
|
53,37
|
|
ЛЭП
|
1
|
2
|
50,82
|
53,37
|
|
ЛЭП
|
4
|
10
|
43,94
|
40,48
|
|
ЛЭП
|
4
|
10
|
43,94
|
40,48
|
|
ЛЭП
|
1
|
5
|
186,81
|
182,76
|
|
ЛЭП
|
5
|
3
|
219,55
|
216,28
|
|
ЛЭП
|
3
|
10
|
288,30
|
284,14
|
|
ЛЭП
|
3
|
10
|
288,30
|
284,14
|
|
ЛЭП
|
3
|
10
|
288,30
|
284,14
|
|
ЛЭП
|
10
|
7
|
71,27
|
73,87
|
|
ЛЭП
|
10
|
7
|
71,27
|
73,87
|
|
ЛЭП
|
1
|
3
|
294,38
|
289,38
|
|
ЛЭП
|
1
|
3
|
294,38
|
289,38
|
7. Оценка технико-экономических показателей (1
вариант)

Потери мощности в ЛЭП
Годовые издержки на переменные потери
электроэнергии в ЛЭП
τ=2886,2 ч
Оценка потерь мощности и капвложений в ЛЭП
|
№
|
ЛЭП
|
l,
км
|
Iмах,
А
|
n
|
Сечение
|
R0, Ом/км
|
R, Ом
|
ΔPмах,
МВт
|
Куд
тыс.руб/км
|
Кл
млн.руб
|
|
1
|
3-А
сущ. ж/б
|
32
|
842,18
|
3
|
АС-240
|
0,12
|
1,28
|
2,72
|
14
|
31,36
|
|
2
|
1-2
пр. ж/б
|
38
|
183,9
|
2
|
АС-120
|
0,249
|
4,731
|
0,479
|
11,4
|
60,648
|
|
3
|
1-3
пр. ж/б
|
39
|
633,78
|
3
|
АС-240
|
0,12
|
1,56
|
1,879
|
14
|
114,66
|
|
4
|
5-3
пр. ж/б
|
26
|
68,9
|
2
|
АС-120
|
0,249
|
3,237
|
0,0461
|
11,4
|
41,496
|
|
5
|
4-А
пр. ж/б
|
40
|
168,9
|
2
|
АС-120
|
0,249
|
4,98
|
0,426
|
11,4
|
63,84
|
|
6
|
7-А
пр. ж/б
|
27
|
283,6
|
2
|
АС-120
|
0,249
|
3,3615
|
0,811
|
11,4
|
43,092
|
|
Всего
по варианту 1
|
6,367
|
355,096
|
ИΔЭ=2*10-3*6,367*2886,2=36,75
млн. руб
Оценка технико-экономических показателей (2
вариант)
|
№
|
ЛЭП
|
l,
км
|
Iмах,
А
|
n
|
Сечение
|
R0, Ом/км
|
R, Ом
|
ΔPмах,
МВт
|
Куд
тыс. руб/км
|
Кл
млн. руб
|
|
1
|
3-А
сущ. ж/б
|
32
|
478,8
|
2
|
АС-240
|
0,12
|
1,92
|
1,32
|
-
|
-
|
|
2
|
1-2
пр. ж/б
|
38
|
94,26
|
1
|
АС-185
|
0,162
|
6,156
|
0,164
|
12,9
|
34,314
|
|
3
|
1-5
пр. ж/б
|
31
|
327,58
|
2
|
АС-240
|
0,12
|
1,86
|
0,5987
|
14
|
60,76
|
|
4
|
5-3
пр. ж/б
|
26
|
374,34
|
2
|
АС-240
|
0,12
|
1,56
|
0,6558
|
14
|
50,96
|
|
5
|
2-4
пр. ж/б
|
31
|
232,71
|
1
|
АС-240
|
0,12
|
3,72
|
0,604
|
14
|
30,38
|
|
6
|
4-А
пр. ж/б
|
40
|
378,1
|
2
|
АС-185
|
0,162
|
3,24
|
1,39
|
12,9
|
72,24
|
|
7
|
7-А
пр. ж/б
|
27
|
250,26
|
2
|
АС-120
|
0,249
|
3,3615
|
0,6315
|
11,4
|
43,092
|
|
Всего
по варианту 2
|
5,365
|
291,746
|
ИΔЭ=2*10-3*5,365*2886,2=30,967
млн. руб
Оценка технико-экономических показателей (3
вариант)
|
№
|
ЛЭП
|
l,
км
|
Iмах,
А
|
n
|
Сечение
|
R0, Ом/км
|
R, Ом
|
ΔPмах,
МВт
|
Куд
тыс.руб/км
|
Кл
млн.руб
|
|
1
|
3-А
сущ. ж/б
|
32
|
551,62
|
2
|
АС-240
|
0,12
|
1,92
|
1,7526
|
-
|
-
|
|
2
|
1-2
пр. ж/б
|
38
|
60,74
|
1
|
АС-120
|
0,249
|
9,462
|
0,1047
|
11,4
|
|
3
|
1-3
пр. ж/б
|
39
|
397,58
|
2
|
АС-240
|
0,12
|
2,34
|
1,109
|
14
|
76,44
|
|
4
|
5-3
пр. ж/б
|
26
|
63,54
|
2
|
АС-120
|
0,249
|
3,237
|
0,0392
|
11,4
|
41,496
|
|
5
|
2-4
пр. ж/б
|
31
|
154,06
|
1
|
АС-185
|
0,162
|
5,022
|
0,3575
|
12,9
|
27,993
|
|
6
|
4-А
пр. ж/б
|
40
|
149,92
|
1
|
АС-120
|
0,12
|
4,8
|
1,3402
|
14
|
39,2
|
|
7
|
7-А
пр. ж/б
|
27
|
251,88
|
2
|
АС-120
|
0,249
|
3,3615
|
0,639
|
11,4
|
43,092
|
|
Всего
по варианту 3
|
5,3438
|
258,545
|
ИΔЭ=2*10-3*5,3438*2886,2=30,85
млн. руб
Оценка технико-экономических показателей (4
вариант)
|
№
|
ЛЭП
|
l,
км
|
Iмах,
А
|
n
|
Сечение
|
R0, Ом/км
|
R, Ом
|
ΔPмах,
МВт
|
Куд
тыс.руб/км
|
Кл
млн.руб
|
|
1
|
3-А
сущ. ж/б
|
32
|
720,36
|
3
|
АС-240
|
0,12
|
1,28
|
1,993
|
14
|
31,36
|
|
2
|
1-2
пр. ж/б
|
38
|
178,96
|
2
|
АС-120
|
0,249
|
4,731
|
0,4545
|
11,4
|
60,648
|
|
3
|
1-3
пр. ж/б
|
39
|
440,6
|
2
|
АС-240
|
0,12
|
2,34
|
1,363
|
14
|
76,44
|
|
4
|
5-3
пр. ж/б
|
26
|
181,15
|
1
|
АС-185
|
0,162
|
4,212
|
0,4146
|
12,9
|
23,478
|
|
5
|
1-
5 пр. ж/б
|
31
|
126,98
|
1
|
АС-185
|
0,162
|
5,022
|
0,243
|
12,9
|
27,993
|
|
6
|
4-А
пр. ж/б
|
40
|
149,92
|
2
|
АС-120
|
0,249
|
4,98
|
0,3358
|
11,4
|
63,84
|
|
7
|
7-А
пр. ж/б
|
27
|
252,2
|
2
|
АС-120
|
0,249
|
3,3615
|
0,6414
|
11,4
|
43,092
|
|
Всего
по варианту 4
|
5,445
|
326,851
|
ИΔЭ=2*10-3*5,445*2886,2=31,43
млн. руб
. Выбор схем электрических соединений ОРУ
110 кВ (вариант 1)
|
№
узла
|
Число
линий
|
Число
трансф.
|
Тип
подстанции и схема ОРУ 110 кВ
|
Число
выкл.
|
|
1
|
5
|
2
|
Узловая
, одна секционированная система шин с обходной системой шин
|
9
|
|
2
|
2
|
2
|
Тупиковая,
два блока линия-трансформатор
|
2
|
|
3
|
8
|
2
|
Узловая
, одна секционированная система шин с обходной системой шин
|
12
|
|
4
|
2
|
2
|
Тупиковая,
два блока линия-трансформатор
|
2
|
|
5
|
2
|
2
|
Тупиковая,
два блока линия-трансформатор
|
2
|
|
7
|
2
|
2
|
Тупиковая,
два блока линия-трансформатор
|
2
|
|
А
|
7
|
3
|
ТЭЦ,
две рабочих системы шин с обходной системой шин
|
12
|
|
Всего
по варианту 1
|
41
|
Выбор схем электрических соединений ОРУ 110 кВ
(вариант2)
|
№
узла
|
Число
линий
|
Число
трансф.
|
Тип
подстанции и схема ОРУ 110 кВ
|
Число
выкл.
|
|
1
|
3
|
2
|
Узловая
, одна секционированная система шин с обходной системой шин
|
7
|
|
2
|
2
|
2
|
Проходная,
мостик с автоматической перемычкой
|
3
|
|
3
|
4
|
2
|
Узловая
, одна секционированная система шин с обходной системой шин
|
8
|
|
4
|
3
|
2
|
Узловая
, одна секционированная система шин с обходной системой шин
|
7
|
|
5
|
4
|
2
|
Узловая
, одна секционированная система шин с обходной системой шин
|
8
|
|
7
|
2
|
2
|
Тупиковая,
два блока линия-трансформатор
|
2
|
|
А
|
6
|
3
|
ТЭЦ,
две рабочих системы шин с обходной системой шин
|
11
|
|
Всего
по варианту 2
|
46
|
Выбор схем электрических соединений ОРУ 110 кВ
(вариант3)
|
№
узла
|
Число
линий
|
Число
трансф.
|
Тип
подстанции и схема ОРУ 110 кВ
|
Число
выкл.
|
|
1
|
3
|
2
|
Узловая
, одна секционированная система шин с обходной системой шин
|
7
|
|
2
|
2
|
2
|
Проходная,
мостик с автоматической перемычкой
|
3
|
|
3
|
6
|
2
|
Узловая
, одна секционированная система шин с обходной системой шин
|
10
|
|
4
|
2
|
2
|
Проходная,
мостик с автоматической перемычкой
|
3
|
|
5
|
2
|
2
|
Тупиковая,
два блока линия-трансформатор
|
2
|
|
7
|
2
|
2
|
Тупиковая,
два блока линия-трансформатор
|
2
|
|
А
|
5
|
3
|
ТЭЦ,
две рабочих системы шин с обходной системой шин
|
10
|
|
Всего
по варианту 3
|
37
|
Выбор схем электрических соединений ОРУ 110 кВ
(вариант 4)
|
№
узла
|
Число
линий
|
Число
трансф.
|
Тип
подстанции и схема ОРУ 110 кВ
|
Число
выкл.
|
|
1
|
5
|
2
|
Узловая
, одна секционированная система шин с обходной системой шин
|
9
|
|
2
|
2
|
2
|
Тупиковая,
два блока линия-трансформатор
|
2
|
|
3
|
6
|
2
|
Узловая
, одна секционированная система шин с обходной системой шин
|
10
|
|
4
|
2
|
2
|
Тупиковая,
два блока линия-трансформатор
|
2
|
|
5
|
2
|
2
|
Проходная,
мостик с автоматической перемычкой
|
3
|
|
7
|
2
|
2
|
Тупиковая,
два блока линия-трансформатор
|
2
|
|
А
|
7
|
3
|
ТЭЦ,
две рабочих системы шин с обходной системой шин
|
12
|
|
Всего
по варианту 4
|
40
|
9. Оценка технико-экономических показателей
подстанций
Капитальные вложения в подстанции:
Разница в капитальных вложениях в подстанции:
Капитальные вложения в РУ низшего напряжения и
трансформаторы в узлах не учитываются, так как одинаковы во всех вариантах
развития сети.
подстанция баланс мощность электроэнергия
Расчет капитальных вложений в подстанции
|
№
варианта
|
Число
выключателей 110 кВ
|
Разница
в числе выключателей 110 кВ
|
Разница
в капитальных вложениях в подстанции, млн.руб
|
|
1
|
41
|
4
|
14
|
|
2
|
46
|
9
|
31,5
|
|
3
|
37
|
0
|
0,00
|
|
4
|
3
|
10,5
|
Принимаем стоимость одного элегазового
выключателя равной 3,5 млн. руб.
. Издержки на компенсацию потерь
электроэнергии в сети
Учитываются только потери электроэнергии в
линиях, так как трансформаторы одинаковы во всех вариантах развития сети
Издержки на компенсацию потерь электроэнергии в
сети
Потери на корону в линиях 110 кВ не учитываем.
Расчет издержек на компенсацию потерь
электроэнергии в сети:
|
№
варианта
|
Потери
мощности в максимальном режиме, ΔPмах
,МВт
|
Издержки
на потери электроэнергии в сети, млн. рублей
|
|
1
|
6,367
|
36,75
|
|
2
|
5,365
|
30,967
|
|
3
|
5,3438
|
30,85
|
|
4
|
5,445
|
31,43
|
. Технико-экономическое сравнение
вариантов сети
Приведенные статические затраты
Срок окупаемости Tок=5
лет
Ен=1/Ток=0,2 αл=2,8%
αпс=9,4%
Варианты считаются равноценными, если отличия в
оценках приведенных затрат не превышают 5%.
|
№
варианта
|
Капитальные
вложения в линии, млн. руб
|
Разница
в капвложениях в подстанции, млн. руб
|
Издержки
на потери электроэнергии в сети, млн. руб
|
Приведенные
затраты, млн. руб
|
Приведенные
затраты, отн. ед.
|
|
1
|
355,096
|
14
|
36,75
|
121,828
|
1,356
|
|
2
|
291,746
|
31,5
|
30,967
|
106,746
|
1,189
|
|
3
|
258,545
|
0,00
|
30,85
|
89,798
|
1
|
|
4
|
326,851
|
10,5
|
31,43
|
109,04
|
1,214
|
Наиболее экономичный вариант - 3. Второй по
экономичноти - вариант 2 или 4 (равноценные).
. Анализ параметров качества
электроэнергии
Принципы анализа качества электроэнергии:
. Выполняется проверка уровней напряжений на
шинах потребителей наиболее экономичного варианта сети и возможность
обеспечения допустимых ГОСТ Р 54149-2010 уровней напряжений с помощью имеющихся
средств:
- централизованное регулирование
напряжения с помощью РПН автотрансформатора;
- регулирование напряжения с помощью РПН
силовых трансформаторов;
При обеспечении требуемого качества
электроэнергии во всех режимах окончательно выбирается наиболее экономичный
варианта сети.
. При необходимости установки дополнительных
средств регулирования напряжения необходимо новое технико-экономическое
сравнение с выбором наиболее экономичного варианта сети.
. После выбора варианта развития сети
выполняются расчеты установившихся режимов и выбираются рациональные
регулировочные ответвления РПН.
Расчеты выполняются с использованием комплекса «RASTR».
. Схема замещения сети и данные RASTR.
Турбогенераторы установленные на ТЭЦ позволяют
регулировать выдачу реактивной мощности в сеть.
Cosφ(min)=0.8
Cosφ(max)=0.95
Qmin = 20.707
МВар Qmax = 47,25
МВар
. Вариант нормальный режим
Узлы (максимальный режим):
|
Тип
|
Номер
|
U_ном
|
P_н
|
Q_н
|
Р_г
|
Q_г
|
V_зд
|
Q_min
|
Q_max
|
V
|
Delta
|
|
База
|
8
|
220,0
|
|
|
-27,2
|
27,51
|
220,0
|
|
|
220,00
|
|
|
Нагр
|
11
|
220,0
|
|
|
|
|
|
|
|
216,36
|
0,98
|
|
Нагр
|
12
|
220,0
|
|
|
|
|
|
|
|
216,36
|
0,98
|
|
Нагр
|
6
|
10,0
|
11,2
|
5,4
|
|
|
|
|
|
10,26
|
0,08
|
|
Нагр
|
1
|
110,0
|
0,1
|
1,2
|
|
|
|
|
|
113,83
|
0,99
|
|
Нагр
|
2
|
110,0
|
0,1
|
0,4
|
|
|
|
|
|
110,48
|
0,84
|
|
Нагр
|
21
|
10,4
|
32,0
|
14,6
|
|
|
|
|
|
9,67
|
-3,45
|
|
Нагр
|
4
|
110,0
|
0,1
|
0,4
|
|
|
|
|
|
111,55
|
2,06
|
|
Нагр
|
41
|
10,4
|
28,0
|
15,9
|
|
|
|
|
|
9,75
|
-1,61
|
|
Нагр
|
5
|
110,0
|
0,0
|
0,1
|
|
|
|
|
|
113,90
|
2,56
|
|
Нагр
|
51
|
10,0
|
12,0
|
5,5
|
|
|
|
|
|
10,49
|
-1,17
|
|
Нагр
|
3
|
110,0
|
0,1
|
0,4
|
|
|
|
|
|
114,53
|
2,77
|
|
Нагр
|
31
|
10,4
|
26,0
|
7,6
|
|
|
|
|
|
10,24
|
-0,43
|
|
Нагр
|
10
|
110,0
|
0,2
|
1,4
|
|
|
|
|
|
116,58
|
5,17
|
|
Нагр
|
7
|
110,0
|
0,1
|
0,5
|
|
|
|
|
|
113,62
|
4,43
|
|
Нагр
|
71
|
10,5
|
47,0
|
26,6
|
|
|
|
|
|
9,94
|
0,74
|
|
Ген
|
101
|
10,5
|
|
|
63,0
|
27,95
|
10,5
|
20,707
|
47,250
|
10,50
|
10,01
|
|
Ген
|
102
|
10,5
|
|
|
63,0
|
27,95
|
10,5
|
20,707
|
47,250
|
10,50
|
10,01
|
|
Ген
|
103
|
10,5
|
|
|
63,0
|
27,95
|
10,5
|
20,707
|
47,250
|
10,50
|
10,01
|
Ветви (максимальный режим):
|
Tип
|
N_нач
|
N_кон
|
R
|
X
|
B
|
Кт/r
|
dP
|
dQ
|
|
ЛЭП
|
8
|
11
|
0,55
|
59,20
|
|
|
0,004
|
0,458
|
|
ЛЭП
|
8
|
12
|
0,55
|
59,20
|
|
|
0,004
|
0,458
|
|
Тр-р
|
12
|
6
|
3,20
|
131,00
|
|
0,0478
|
0,003
|
0,111
|
|
Тр-р
|
11
|
6
|
3,20
|
131,00
|
|
0,0478
|
0,003
|
0,111
|
|
Тр-р
|
11
|
1
|
0,48
|
|
|
0,5260
|
0,005
|
|
|
Тр-р
|
12
|
1
|
0,48
|
|
|
0,5260
|
0,005
|
|
|
ЛЭП
|
1
|
2
|
9,46
|
16,23
|
-101,1
|
|
0,302
|
0,519
|
|
Тр-р
|
2
|
21
|
2,54
|
55,90
|
|
0,0913
|
0,070
|
1,540
|
|
Тр-р
|
2
|
21
|
2,54
|
55,90
|
|
0,0913
|
0,070
|
1,540
|
|
ЛЭП
|
2
|
4
|
5,02
|
12,80
|
-85,2
|
|
0,178
|
0,455
|
|
Тр-р
|
4
|
41
|
2,54
|
55,90
|
|
0,0913
|
0,058
|
1,268
|
|
Тр-р
|
4
|
41
|
2,54
|
55,90
|
|
0,0913
|
0,058
|
1,268
|
|
ЛЭП
|
1
|
3
|
4,68
|
15,80
|
-109,6
|
|
0,226
|
0,764
|
|
ЛЭП
|
1
|
3
|
4,68
|
15,80
|
-109,6
|
|
0,226
|
0,764
|
|
Тр-р
|
3
|
31
|
2,54
|
55,90
|
|
0,0913
|
0,037
|
0,815
|
3
|
31
|
2,54
|
55,90
|
|
0,0913
|
0,037
|
0,815
|
|
ЛЭП
|
3
|
5
|
6,47
|
11,10
|
-69,2
|
|
0,022
|
0,038
|
|
ЛЭП
|
3
|
5
|
6,47
|
11,10
|
-69,2
|
|
0,022
|
0,038
|
|
Тр-р
|
5
|
51
|
7,95
|
139,00
|
|
0,0956
|
0,029
|
0,502
|
|
Тр-р
|
5
|
51
|
7,95
|
139,00
|
|
0,0956
|
0,029
|
0,502
|
|
ЛЭП
|
3
|
10
|
3,84
|
12,96
|
-89,9
|
|
0,580
|
1,956
|
|
ЛЭП
|
3
|
10
|
3,84
|
12,96
|
-89,9
|
|
0,580
|
1,956
|
|
ЛЭП
|
4
|
10
|
4,80
|
16,20
|
-112,4
|
|
1,069
|
3,607
|
|
Тр-р
|
10
|
101
|
0,71
|
19,20
|
|
0,0868
|
0,230
|
6,233
|
|
Тр-р
|
10
|
102
|
0,71
|
19,20
|
|
0,0868
|
0,230
|
6,233
|
|
Тр-р
|
10
|
103
|
0,71
|
19,20
|
|
0,0868
|
0,230
|
6,233
|
|
ЛЭП
|
10
|
7
|
6,73
|
11,53
|
-71,8
|
|
0,412
|
0,706
|
|
ЛЭП
|
10
|
7
|
6,73
|
11,53
|
-71,8
|
|
0,412
|
0,706
|
|
Тр-р
|
7
|
71
|
1,40
|
34,70
|
|
0,0913
|
0,086
|
2,137
|
|
Тр-р
|
7
|
71
|
1,40
|
34,70
|
|
0,0913
|
0,086
|
2,137
|
Узлы (минимальный режим):
|
Тип
|
Номер
|
U_ном
|
P_н
|
Q_н
|
Р_г
|
Q_г
|
V_зд
|
Q_min
|
Q_max
|
V
|
Delta
|
|
База
|
8
|
220,0
|
|
|
-84,6
|
16,7
|
220,0
|
|
|
220,00
|
|
|
Нагр
|
11
|
220,0
|
|
|
|
|
|
|
|
218,15
|
3,00
|
|
Нагр
|
12
|
220,0
|
|
|
|
|
|
|
|
218,15
|
3,00
|
|
Нагр
|
6
|
11,0
|
11,2
|
5,4
|
|
|
|
|
|
10,34
|
2,11
|
|
Нагр
|
1
|
110,0
|
0,1
|
1,2
|
|
|
|
|
|
114,80
|
3,00
|
|
Нагр
|
2
|
110,0
|
0,1
|
0,4
|
|
|
|
|
|
114,42
|
4,11
|
|
Нагр
|
21
|
10,4
|
19,2
|
8,7
|
|
|
|
|
|
10,22
|
1,76
|
|
Нагр
|
4
|
110,0
|
0,1
|
0,4
|
|
|
|
|
|
115,79
|
5,76
|
|
Нагр
|
41
|
10,4
|
16,8
|
9,5
|
|
|
|
|
|
10,33
|
3,76
|
|
Нагр
|
5
|
110,0
|
0,0
|
0,1
|
|
|
|
|
|
116,47
|
5,74
|
|
Нагр
|
51
|
10,0
|
7,2
|
3,3
|
|
|
|
|
|
10,91
|
3,64
|
|
Нагр
|
3
|
110,0
|
0,1
|
0,4
|
|
|
|
|
|
116,81
|
5,88
|
|
Нагр
|
31
|
10,4
|
15,6
|
4,6
|
|
|
|
|
|
10,54
|
4,05
|
|
Нагр
|
10
|
110,0
|
0,2
|
1,4
|
|
|
|
|
|
119,35
|
8,72
|
|
Нагр
|
7
|
110,0
|
0,1
|
0,5
|
|
|
|
|
|
117,71
|
8,29
|
|
Нагр
|
71
|
10,5
|
28,2
|
16,0
|
|
|
|
|
|
10,50
|
6,26
|
|
Ген-
|
101
|
10,5
|
|
|
63,0
|
20,7
|
10,5
|
20,707
|
47,250
|
10,64
|
13,41
|
|
Ген-
|
102
|
10,5
|
|
|
63,0
|
20,7
|
10,5
|
20,707
|
47,250
|
10,64
|
13,41
|
|
Ген-
|
103
|
10,5
|
|
|
63,0
|
20,7
|
10,5
|
20,707
|
47,250
|
10,64
|
13,41
|
Ветви (минимальный режим)
|
Tип
|
N_нач
|
N_кон
|
R
|
X
|
B
|
Кт/r
|
dP
|
dQ
|
|
ЛЭП
|
8
|
11
|
0,55
|
59,20
|
|
|
0,021
|
2,276
|
|
ЛЭП
|
8
|
12
|
0,55
|
59,20
|
|
|
0,021
|
2,276
|
|
Тр-р
|
12
|
6
|
3,20
|
131,00
|
|
0,04780
|
0,003
|
0,109
|
|
Тр-р
|
11
|
6
|
3,20
|
131,00
|
|
0,04780
|
0,003
|
0,109
|
|
Тр-р
|
11
|
1
|
0,48
|
|
|
0,52600
|
0,023
|
|
|
Тр-р
|
12
|
1
|
0,48
|
|
|
0,52600
|
0,023
|
|
|
ЛЭП
|
1
|
2
|
9,46
|
16,23
|
-101,1
|
|
0,136
|
0,233
|
|
Тр-р
|
2
|
21
|
2,54
|
55,90
|
|
0,09130
|
0,023
|
0,497
|
|
Тр-р
|
2
|
21
|
2,54
|
55,90
|
|
0,09130
|
0,023
|
0,497
|
|
ЛЭП
|
2
|
4
|
5,02
|
-85,2
|
|
0,342
|
0,873
|
|
Тр-р
|
4
|
41
|
2,54
|
55,90
|
|
0,09130
|
0,018
|
0,407
|
|
Тр-р
|
4
|
41
|
2,54
|
55,90
|
|
0,09130
|
0,018
|
0,407
|
|
ЛЭП
|
1
|
3
|
4,68
|
15,80
|
-109,6
|
|
0,652
|
2,200
|
|
ЛЭП
|
1
|
3
|
4,68
|
15,80
|
-109,6
|
|
0,652
|
2,200
|
|
Тр-р
|
3
|
31
|
2,54
|
55,90
|
|
0,09130
|
0,013
|
0,277
|
|
Тр-р
|
3
|
31
|
2,54
|
55,90
|
|
0,09130
|
0,013
|
0,277
|
|
ЛЭП
|
3
|
5
|
6,47
|
11,10
|
-69,2
|
|
0,007
|
0,012
|
|
ЛЭП
|
3
|
5
|
6,47
|
11,10
|
-69,2
|
|
0,007
|
0,012
|
|
Тр-р
|
5
|
51
|
7,95
|
139,00
|
|
0,09560
|
0,010
|
0,167
|
|
Тр-р
|
5
|
51
|
7,95
|
139,00
|
|
0,09560
|
0,010
|
0,167
|
|
ЛЭП
|
3
|
10
|
3,84
|
12,96
|
-89,9
|
|
0,858
|
2,896
|
|
ЛЭП
|
3
|
10
|
3,84
|
12,96
|
-89,9
|
|
0,858
|
2,896
|
|
ЛЭП
|
4
|
10
|
4,80
|
16,20
|
-112,4
|
|
0,833
|
2,811
|
|
Тр-р
|
10
|
101
|
0,71
|
19,20
|
|
0,08680
|
0,208
|
5,621
|
|
Тр-р
|
10
|
102
|
0,71
|
19,20
|
|
0,08680
|
0,208
|
5,621
|
|
Тр-р
|
10
|
103
|
0,71
|
19,20
|
|
0,08680
|
0,208
|
5,621
|
|
ЛЭП
|
10
|
7
|
6,73
|
11,53
|
-71,8
|
|
0,132
|
0,226
|
|
ЛЭП
|
10
|
7
|
6,73
|
11,53
|
-71,8
|
|
0,132
|
0,226
|
|
Тр-р
|
7
|
71
|
1,40
|
34,70
|
|
0,09130
|
0,028
|
0,689
|
|
Тр-р
|
7
|
71
|
1,40
|
34,70
|
|
0,09130
|
0,028
|
0,689
|
Далее приведу схемы замещения сети с указанием
потоков мощности в концах и началах линий, модулей и углов напряжения в узлах,
генераций и нагрузок. С учетом выбранных регулировочных ответвлений на
трансформаторах и автотрансформаторах.
) Максимальный режим
) Минимальный режим
Выбор рациональных регулировочных ответвлений
РПН (максимальный режим):
|
Узел
|
21
|
31
|
41
|
51
|
6
|
71
|
|
Требуемое
напряжение, кВ
|
10,4
|
10,4
|
10,4
|
10
|
10
|
10,5
|
|
Напряжение
до регулирования (нулевые ответвления РПН АТ и Т)
|
9.68
|
10,24
|
9.76
|
10.5
|
10,26
|
9.94
|
|
Отклонение
напряжения на шинах подстанции от требуемого, %
|
-6.9
|
-1.54
|
-6.15
|
5
|
2.6
|
-5.33
|
|
Централизованное
регулирование РПН АТ (+3)
|
10.18
|
10.69
|
10.22
|
10.98
|
10.15
|
10.34
|
|
Рациональное
регулировочное ответвление РПН трансформаторов
|
0
|
0
|
0
|
+5
|
-
|
0
|
|
Коэффициент
трансформации
|
0,0913
|
0,0913
|
0,0913
|
0,08815
|
-
|
0,0913
|
|
Напряжение
после регулирования, кВ
|
10,18
|
10,69
|
10,22
|
10,12
|
10,15
|
10,33
|
Выбор рациональных регулировочных ответвлений
РПН (минимальный режим):
|
Узел
|
21
|
31
|
41
|
51
|
6
|
71
|
|
Требуемое
напряжение, кВ
|
10,4
|
10,4
|
10,4
|
10
|
10
|
10,5
|
|
Напряжение
до регулирования (нулевые ответвления РПН АТ и Т)
|
10,22
|
10,54
|
10,33
|
10,91
|
10,34
|
10,5
|
|
Отклонение
напряжения на шинах подстанции от требуемого, %
|
-1,73
|
1,35
|
-0,67
|
9,1
|
3,4
|
0
|
|
Централизованное
регулирование РПН АТ
|
Не
требуется
|
|
Рациональное
регулировочное ответвление РПН трансформаторов
|
0
|
0
|
0
|
+5
|
-
|
0
|
|
Коэффициент
трансформации
|
0,0913
|
0,0913
|
0,0913
|
0,08815
|
-
|
0,0913
|
|
Напряжение
после регулирования, кВ
|
10,22
|
10,54
|
10,33
|
10,06
|
10,64
|
10,5
|
В нормальных режимах установка дополнительного
оборудования не требуется.
Вариант аварийный режим
Отключение одного трансформатора связи.
Максимальный режим
Узлы:
|
Тип
|
Номер
|
U_ном
|
P_н
|
Q_н
|
Р_г
|
Q_г
|
V_зд
|
Q_min
|
Q_max
|
V
|
Delta
|
|
База
|
8
|
220,0
|
|
|
-26,9
|
45,04
|
220,0
|
|
|
220,00
|
|
|
Нагр
|
11
|
220,0
|
|
|
|
|
|
|
|
208,08
|
2,02
|
|
Нагр
|
12
|
-
|
-
|
-
|
-
|
-
|
-
|
-
|
-
|
-
|
-
|
|
Нагр
|
6
|
10,0
|
11,2
|
5,4
|
|
|
|
|
|
9,76
|
0,06
|
|
Нагр
|
1
|
110,0
|
0,1
|
1,2
|
|
|
|
|
|
116,16
|
2,05
|
|
Нагр
|
2
|
110,0
|
0,1
|
0,4
|
|
|
|
|
|
112,39
|
2,01
|
|
Нагр
|
21
|
10,4
|
32,0
|
14,6
|
|
|
|
|
|
9,86
|
-2,13
|
|
Нагр
|
4
|
110,0
|
0,1
|
0,4
|
3,26
|
|
Нагр
|
41
|
10,4
|
28,0
|
15,9
|
|
|
|
|
|
9,90
|
-0,31
|
|
Нагр
|
5
|
110,0
|
0,0
|
0,1
|
|
|
|
|
|
115,48
|
3,69
|
|
Нагр
|
51
|
10,0
|
12,0
|
5,5
|
|
|
|
|
|
9,82
|
0,07
|
|
Нагр
|
3
|
110,0
|
0,1
|
0,4
|
|
|
|
|
|
116,09
|
3,90
|
|
Нагр
|
31
|
10,4
|
26,0
|
7,6
|
|
|
|
|
|
10,39
|
0,79
|
|
Нагр
|
10
|
110,0
|
0,2
|
1,4
|
|
|
|
|
|
117,48
|
6,36
|
|
Нагр
|
7
|
110,0
|
0,1
|
0,5
|
|
|
|
|
|
114,56
|
5,63
|
|
Нагр
|
71
|
10,5
|
47,0
|
26,6
|
|
|
|
|
|
10,03
|
2,00
|
|
Ген
|
101
|
10,5
|
|
|
63,0
|
22,25
|
10,5
|
20,707
|
47,250
|
10,50
|
11,18
|
|
Ген
|
102
|
10,5
|
|
|
63,0
|
22,25
|
10,5
|
20,707
|
47,250
|
10,50
|
11,18
|
|
Ген
|
103
|
10,5
|
|
|
63,0
|
22,25
|
10,5
|
20,707
|
47,250
|
10,50
|
11,18
|
Ветви:
|
Tип
|
N_нач
|
N_кон
|
R
|
X
|
B
|
Кт/r
|
dP
|
dQ
|
|
ЛЭП
|
8
|
11
|
0,55
|
59,20
|
|
|
0,031
|
3,364
|
|
ЛЭП
|
8
|
12
|
-
|
-
|
-
|
-
|
-
|
-
|
|
Тр-р
|
12
|
6
|
-
|
-
|
-
|
-
|
-
|
-
|
|
Тр-р
|
11
|
6
|
3,20
|
131,00
|
|
0,04780
|
0,012
|
0,490
|
|
Тр-р
|
11
|
1
|
0,48
|
|
|
0,55800
|
0,030
|
|
|
Тр-р
|
12
|
1
|
-
|
-
|
-
|
-
|
-
|
-
|
|
ЛЭП
|
1
|
2
|
9,46
|
16,23
|
-101,1
|
|
0,380
|
0,652
|
|
Тр-р
|
2
|
21
|
2,54
|
55,90
|
|
0,09130
|
0,067
|
1,483
|
|
Тр-р
|
2
|
21
|
2,54
|
55,90
|
|
0,09130
|
0,067
|
1,483
|
|
ЛЭП
|
2
|
4
|
5,02
|
12,80
|
-85,2
|
|
0,170
|
0,433
|
|
Тр-р
|
4
|
41
|
2,54
|
55,90
|
|
0,09130
|
0,056
|
1,232
|
|
Тр-р
|
4
|
41
|
2,54
|
55,90
|
|
0,09130
|
0,056
|
1,232
|
|
ЛЭП
|
1
|
3
|
4,68
|
15,80
|
-109,6
|
|
0,244
|
0,825
|
|
ЛЭП
|
1
|
3
|
4,68
|
15,80
|
-109,6
|
|
0,244
|
0,825
|
|
Тр-р
|
3
|
31
|
2,54
|
55,90
|
|
0,09130
|
0,036
|
0,792
|
|
Тр-р
|
3
|
31
|
2,54
|
55,90
|
|
0,09130
|
0,036
|
0,792
|
|
ЛЭП
|
3
|
5
|
6,47
|
11,10
|
-69,2
|
|
0,022
|
0,037
|
|
ЛЭП
|
3
|
5
|
6,47
|
11,10
|
-69,2
|
|
0,022
|
0,037
|
|
Тр-р
|
5
|
51
|
7,95
|
139,00
|
|
0,08815
|
0,028
|
0,487
|
|
Тр-р
|
5
|
51
|
7,95
|
139,00
|
|
0,08815
|
0,028
|
0,487
|
|
ЛЭП
|
3
|
10
|
3,84
|
12,96
|
-89,9
|
|
0,566
|
1,912
|
|
ЛЭП
|
3
|
10
|
3,84
|
12,96
|
-89,9
|
|
0,566
|
1,912
|
|
ЛЭП
|
4
|
10
|
4,80
|
16,20
|
-112,4
|
|
0,984
|
3,322
|
|
Тр-р
|
10
|
101
|
0,71
|
19,20
|
|
0,08680
|
0,217
|
5,857
|
|
Тр-р
|
10
|
102
|
0,71
|
19,20
|
|
0,08680
|
0,217
|
5,857
|
|
Тр-р
|
10
|
103
|
0,71
|
19,20
|
|
0,08680
|
0,217
|
5,857
|
|
ЛЭП
|
10
|
7
|
6,73
|
11,53
|
-71,8
|
|
0,404
|
0,693
|
|
ЛЭП
|
10
|
7
|
6,73
|
11,53
|
-71,8
|
|
0,404
|
0,693
|
|
Тр-р
|
7
|
71
|
1,40
|
34,70
|
|
0,09130
|
0,085
|
2,099
|
|
Тр-р
|
7
|
71
|
1,40
|
34,70
|
|
0,09130
|
0,085
|
2,099
|
В аварийном режиме напряжение на шинах
потребителей соответствуют ГОСТ. Регулирование напряжения не требуется.
Схема замещения