Телекомунікаційні та інформаційні мережі РГР

  • Вид работы:
    Контрольная работа
  • Предмет:
    Информатика, ВТ, телекоммуникации
  • Язык:
    Украинский
    ,
    Формат файла:
    MS Word
    777,38 Кб
  • Опубликовано:
    2015-03-05
Вы можете узнать стоимость помощи в написании студенческой работы.
Помощь в написании работы, которую точно примут!

Телекомунікаційні та інформаційні мережі РГР

Міністерство освіти і науки, молоді та спорту України

Полтавський національний технічний університет

імені Юрія Кондратюка

Факультет інформаційних та телекомунікаційних технологій і систем

Кафедра комп’ютерної інженерії








Розрахунково-графічна робота

«Телекомунікаційні та інформаційні мережі»

Виконав:

студент 302-ТТ групи

Казидуб О.О.

Варіант№33

Перевірив:

к.т.н., доцент

Слюсар І.І.



Полтава 2012

ЗАДАЧА№1

Інтенсивність надходження заявок в мережу становить , середній час заняття елементів мережі дорівнює . Визначити яка імовірність відмови в обслуговуванні заявки , яка надходить, якщо функціонують  обслуговуючих приладів?

Розв’язання:

Для визначення ймовірність відмови в обслуговуванні заявки необхідно використовувати наступні математичні співвідношення (Z-умовне навантаження [Ерл]):

;

.

Відповідь: .

ЗАДАЧА№2

В мережі є  обслуговуючих приладів,  джерел навантаження. Відомо, що середній час заняття елементів мережі дорівнює , а інтенсивність надходження заявок від одного джерела має значення . Визначити навантаження в мережі, що обслуговане Y.

Розв’язання:

; ;

.

Відповідь: .

ЗАДАЧА№3

Чому дорівнює загублене в мережі навантаження, якщо ймовірність відмови в обслуговуванні заявок дорівнює , середній час заняття елементів мережі - , а інтенсивність надходження заявок в мережу становить ?

Розв’язання:

;

;

.

Відповідь: .

ЗАДАЧА№4

Визначити відносну q та абсолютну пропускні Q здатності системи розподілу інформації, якщо відомо, що в системі функціонує  справних канали, інтенсивність надходження заявок , а середній час зайняття обслуговуючих приладів заявки дорівнює .

Розв’язання:

;

;

;

.

Відповідь: ,

ЗАДАЧА№5

Визначити надійність зв’язку в мережі граф рис.1 між вузлами в мережі 1 і 6, якщо ймовірність працездатного стану ребра дорівнює .

Рис.1.

Розв’язання:

Надійність зв’язку між вузлами 1 і 6 можна обчислити за формулою.

;

;

.

Відповідь: надійність зв’язку між вузлами 1 і 6 дорівнює .

ЗАДАЧА№6

Оцінити показник живучості мережі заданої структури граф рис.2 при l=2-разовому впливі, якщо ймовірність ураження лінії дорівнює q=0,086.

Рис.2.

Розв’язання:

мережа навантаження розподіл пропускний

Таблиця 1

i

l

x1

x2

x3

x4

x5

x6

x7

N

ni/N

1

2

0

0

1

1

1

1

1

4

2

0.5

2

2

0

1

0

1

1

1

1

4

2

0.5

3

2

0

1

1

0

1

1

1

4

0

0

4

2

0

1

1

1

0

1

1

4

1

0.25

5

2

0

1

1

1

1

0

1

4

1

0.25

6

2

0

1

1

1

1

1

0

2

0.5

7

2

1

0

0

1

1

1

1

4

2

0.5

8

2

1

0

1

0

1

1

1

4

1

0.25

9

2

1

0

1

1

0

1

1

4

2

0.5

10

2

1

0

1

1

1

0

1

4

2

0.5

11

2

1

0

1

1

1

1

0

4

3

0.75

12

2

1

1

0

0

1

1

4

2

0.5

13

2

1

1

0

1

0

1

1

4

3

0.75

14

2

1

1

0

1

1

0

1

4

3

0.75

15

2

1

1

0

1

1

1

0

4

3

0.75

16

2

1

1

1

0

0

1

1

4

2

0.5

17

2

1

1

1

0

1

0

1

4

2

0.5

18

2

1

1

1

0

1

0

4

2

0.5

19

2

1

1

1

1

0

0

1

4

2

0.5

20

2

1

1

1

1

0

1

0

4

3

0.75

21

2

1

1

1

1

1

0

0

4

3

0.75


;

.

Відповідь: .

ЗАДАЧА№7

Визначити шляхи з мінімальною вагою між всіма вузлами мережі. Результат представити у вигляді матриці.

Розв’язання:

Рис.3.

=4, b=9, c=7, d=8, e=9.

; ; ; .

Відповідь : - характеристичні матриці.

ЗАДАЧА№8

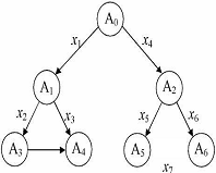
Знайти множину усіх шляхів від вузла a1 до a2. Побудувати дерево шляхів відносно вузла a1.

Розв’язання:

Структура мережі відповідає графу (рис.4.). Необхідно побудувати дерево шляхів рангу  для вузла 4. , .

Рис.4.

Дерево шляхів матиме вигляд (рис.5.):

Рис.5.

Відповідь : використовуючи побудоване дерево, випишемо всі шляхи рангу r 3, що з’єднують вузол 4 з вузлом 1: .

ЗАДАЧА№9

Визначити максимальну пропускну здатність в мережі між вузлами a1=4 і a2=7.

Розв’язання:

Структура мережі представлена у вигляді графа (рис.6).

Рис.6.

1) ; . 4) ; .

) ; . 5) ; .

) ; .


ЗАДАЧА№10

Оцінити коректність конфігурації мережі Ethernet за параметрами: часом подвійного обертання сигналу (PDV) між двома найбільш віддаленими станціями мережі та скороченням міжкадрового інтервалу (PVV) при проходженні послідовності кадрів через всі повторювачі.

Розв’язання:

Рис.7. Структура мережі Ethernet

№ сегменту

10 Base-FB

10 Base-FL

10 Base-T

L, м

№ сегменту

10 Base-FB

10 Base-FL

10 Base-T

L, м

 

1

+

L1

6 +


L2

2

+

L1

7

+

L3

3

+

L1

8

+

L3

4 +


L2

9

+

L3

5 +

L2


Рис.8. Технологічні показники мережі Ethernet

Між вузлом1 і вузлом2:PDV=774,51>575 Конфігурація мережі не коректна=30,5<49 оскільки одна з умов не задовольняється.

Між вузлом1 і вузлом3:PDV=774,51>575 Конфігурація мережі не коректна=30,5<49 оскільки одна з умов не задовольняється.

Між вузлом2 і вузлом3:PDV=617,51>575 Конфігурація мережі не коректна=30,5<49 оскільки одна з умов не задовольняється.

Відповідь :конфігурація мережі Ethernet не коректна, жоден зі шляхів не задовольняє обом умовам мережі Ethernet.

ЗАДАЧА№11

На підприємстві необхідно завершити організацію надання послуг VoIP. З метою приховування інформації утворюються підмережі класу «С». Визначити маску однієї з них, якщо планується робота в ній абонентів у кількості N=28. При цьому врахувати ΔN-ий запас 8 (у відсотках) на подальше її розширення. Відповідь вказати у вигляді стандартного запису, наприклад: 255.255.255.128.

Розв’язання:

;

;

;

.255.255.224.

Відповідь : 255.255.255.224.

ВИКОРИСТАНА ЛІТЕРАТУРА

1. ВоробієнкоП.П., НікітюкЛ.А., РезніченкоП.І. Телекомунікаційні та інформаційні мережі: Підруч. для ВНЗ. -К.: Саммит-книга, 2010. -640 с.

. ОлиферВ.Г., ОлиферH.A. Компьютерные сети. Принцип, технологии, протоколы: Учебник для вузов. 4-е изд. -СПб.: "Питер", 2010. -944с.

. СтекловВ.К., БеркманЛ.Н. Проектування телекомунікаційних мереж: Підруч. для студ. вищ. навч. зал. за напрямком «Телекомунікації»/за ред. В.К.Стеклова.-К.: Техніка, 2002.-792 с.

Похожие работы на - Телекомунікаційні та інформаційні мережі РГР

 

Не нашли материал для своей работы?
Поможем написать уникальную работу
Без плагиата!
Без нейросетей!