Розробка основних розділів плану соціального та економічного розвитку центру телекомунікаційних послуг
КОЛЕДЖ
ЗВ’ЯЗКУ ТА ІНФОРМАТИЗАЦІЇ
ОДЕСЬКОЇ
НАЦІОНАЛЬНОЇ АКАДЕМІЇ ЗВ’ЯЗКУ ім. О. С. Попова
КУРСОВА
РОБОТА
З
дисципліни «ЕКОНОМІКА ГАЛУЗІ»
Розробка
основних розділів плану соціального та економічного розвитку центру
телекомунікаційних послуг
Виконала: студентка 4-го
курсу О-41 групи
Коджебаш В. П.
Керівник Колеснікова К.
С.
м.
Одеса - 2015 рік
ВСТУП
У теперішній час підприємство
зв’язку розробляють та затверджують плани. Самостійно вирішують такі принципові
питання, як формування загально -економічних показників та виробничої програми,
використання зароблених коштів у тому числі інвестиції. Завдання плану
доводяться не до безпосереднього виконавця, а до середньої ланки (обласних
дирекцій ВАТ "Укртелеком" и УДППЗ "Укрпошта"), які повинні
виходячи с цих завдань укладати угоди з безпосередніми виконавцями.
Відділ планування та економічного
аналізу обласної дирекції ВАТ "Укртелеком" розроблює план
економічного та соціального розвитку за розділом. Потім план доводиться до
підпорядкованого центру телекомунікаційних послуг (ЦТП) основних показників їх
роботи.
Метою ЦТП є здійснення виробничої,
комерційної, фінансової, господарської та інших видів діяльності для
задоволення потреб попиту споживачів у послугах зв’язку та одержання прибутку
відповідно до вимог діючого законодавства.
Предметом діяльності ЦТП є
використання плану доходів та кошторису, собі вартості реалізованих послуг -
узагальнюючих показників фінансових результатів діяльності ЦТП.
На підставі завдання на курсову
роботу складаємо план економічного та соціального розвитку ЦТП на 2016 рік за
розділами.
телекомунікаційний економічний
кошторис
1. ПЛАН ОБ’ЄМУ ПОСЛУГ
У результаті виробничого процесу, що
здійснюється в галузях матеріального виробництва, створюється відповідна
продукція, послуги, які мають споживчу цінність, здатні задовольняти потреби
суспільства у матеріальних благах і послугах.
Результатом процесу виробництва у
галузі зв’язку є продукція, яка суттєво відрізняється від інших видів
продукції. Продукція зв'язку є кінцевий корисний результат виробничої
діяльності з передачі різного роду повідомлень (телефонних, телеграфних,
поштових та інших) на відстані. Продукція зв'язку є послуги надані споживачам.
Ці послуги мають ряд особливостей в порівнянні з іншими галузями економіки:
. продукція зв'язку не має речової
форми;
. процес виробництва продукції
зв’язку невіддільний від процесу її споживання;
. в процесі створення продукції
зв'язку беруть участь два, три і більше підприємств зв'язку;
. нерівномірність надходження
навантаження по годинах, днях, тижнях, порам року.
Послуги зв'язку надаються в
наступних основних формах:
− у формі обміну, тобто у
вигляді передачі різного роду повідомлення (виражається кількістю телеграм,
розмов, посилок, письмових кореспонденції і т.д.);
− у формі надання споживачам у
користуванні або в оренду технічних пристроїв для прийому і передачі
інформації: телефонів, радіоточок, установок абонентського телеграфу каналів
зв'язку;
− у формі надання можливостей
отримання послуг інформаційного характеру за допомогою засобів комп'ютерної
техніки.
У першому випадку споживною вартістю
є ефект від переміщення відправленої споживачем інформації. У другому і
третьому випадку ефект доставляється технічними пристроями якими користуються
споживач і які забезпечують йому можливість приймати і передавати повідомлення
на своєму робочому місці, вдома і т.д.
У зв'язку з тим що в процесі
створення послуг зв'язку беруть участь кілька підприємств, продукції зв'язку
підрозділяється на продукцію підгалузі зв'язку та продукції підприємств
зв'язку.
Продукція підгалузь зв'язку - це
кінцевий корисний результат доставлених всім виробничим циклом. Вона має форму
послуги, завжди носить закінчений характер, пригідна для споживання та підлягає
реалізації за встановленими тарифами.
Продукція підприємств зв'язку - це
виконання певних виробничих функцій на окремих етапах повного виробничого
циклу. Вона має частковий незакінчених характер і не може бути реалізована як
готовий продукт.
В планово - економічній роботі
підприємства зв’язку залежно від задач використовуються різні способи виміри
продукції.
Номенклатура продукції зв’язку - це
перелік найменувань продукції і послуг, вироблюваним даним підприємством із
зазначенням одиниць вимірювання.
У галузі зв'язку розрізняють
номенклатуру продукції підгалузі зв'язку і номенклатуру підприємств зв'язку. У
планово-економічній роботі підприємств зв'язку використовують різні вимірники
продукції: натуральні, умовно-натуральні і грошові.
Основним вимірником є натуральний,
який характеризує споживчу вартість конкретного показника продукції. На основі
натуральних показників визначається обсяг послуг зв'язку кожного виду,
розраховується ступінь задоволення потреб населення і ділового сектора в тих чи
інших послугах зв'язку. За допомогою натуральних показників також визначаються
багато показників діяльності підприємств зв'язку: дохід від реалізації послуг,
чисельність працівників різної професії, потреба в матеріалах, апаратурі.
Умовно-натуральний використовується
при всередині виробничому плануванні. Його сутність розрізняється в тому, що
його різнорідні натуральні вимірники продукції (вихідні, вхідні, транзитні
розмови), приводять до єдиного вимірника (вихідні розмови) за допомогою
коефіцієнта приведення, яке визначається по співвідношенням цін на продукцію
або трудовитрати. Цей вимірник використовується обмежено, оскільки його не
можна поширювати на сучасно різні показники продукції, наприклад: посилки,
телеграма, розмови.
Найбільш широко застосовується
грошовий вимірник. Він універсальний, тому що дозволяє всю різнорідну продукцію
підприємства виражати в одному вимірнику - це національно грошова одиниця. В
даний час в якості грошового вимірника обсягу продукції в галузях зв'язку
прийнятий показник доходів від реалізації послуг. На основі доходів від
реалізації послуг визначаються всі економічні показники роботи підприємств
зв'язку: продуктивність праці, собівартість одиниці послуг, фондовіддача,
прибуток, рентабельність та інше.
У розділі «Послуги» річного плану
соціального та економічного розвитку ЦТП визначається обсяг послуг за
підгалузями зв’язку в натуральному вимірюванні.
Відповідно до завдання на підставі
табл. 3 і 4 необхідно запланувати обсяг продукції телеграфного зв’язку
проводового радіомовлення. Обсяг послуг телеграфного зв’язку виражається
величиною вихідного платного обміну по телеграфам.
Середньорічний темп зниження
вихідного платного обміну визначається за формулою:
де 
вихідний платний обмін
у першому році аналізованого періоду,тис. од.;
t - число років в аналізованому
періоді.
Отримані результати підставляємо в
формулу (1.2).
При цьому остаточне
рішення про темпи зниження обміну на плановий рік 
приймається на підставі
аналізу демографічних та інших зовнішніх та внутрішніх факторів.
До зовнішніх факторів
які впливають на обмін відносяться: розвиток промисловості,
транспорту,сільського господарства; зростання національного доходу, валового
продукту та товарообороту; збільшення території і кількості підприємства,
організацій, установ, що обслуговуються; зріст населення та поліпшення його
матеріального і культурного рівня; проведення різних державних, політичних та
господарських компаній.
До внутрішніх факторів
відносяться: розширення мережі підприємств та засобів зв’язку і наближення їх
до клієнтури; поліпшення якості подання послуг населенню та народному
господарству; зростання продукції праці та інше.
Вихідний платний обмін
по телеграфам на плановий рік визначається за формулою:
де 
вихідний платний обмін
в плановому році, тис. од.;

вихідний платний обмін,
очікуваний у поточному році, тис. од.;

середньорічний темп
росту(зниження) вихідного платного обміну, %.
Розрахунок вихідного
платного обміну по телеграфам на 2016 рік зведемо у табл. 1.1.
Таблиця 1.1 - План
вихідного обміну по телеграфам
|
Вид обміну (тис. од.)
|
Обмін за попередні роки, (тис. од.)
|
середньорічний темп росту (зниження) обміну, (%)
|
Темп росту (зниження) обміну на плановий рік, (%) + 1,1
|
План обміну на 2016 рік (тис. од.)
|
|
Вихідні платні тарифи
|
2013
|
2014
|
2015
|
|
|
|
|
180,6
|
182,5
|
184,2
|
101
|
100,9
|
185,9
|
Обсяг послуг проводового
радіомовлення виражається середньорічною кількістю основних і додаткових
радіоточок, приймачів ефірного мовлення (
), яка визначається на
підставі даних про наявність технічних пристроїв на 1 січня планового року,
плану їх приросту та строків в ведення у дію за формулою:
якщо заплановано ведення
у дію з і-го кварталу:
де 
число кварталів роботи
технічних пристроїв з моменту їх введення до кінця планового року і половина
того кварталу, у якому здійснюється введення, квартал.
- якщо заплановано ведення у
дію з і-го місяця:
де 
планова середньорічна
кількість технічних пристроїв, од;

кількість технічних
пристроїв на початок планового року, од;

кількість технічних
пристроїв, які заплановано ввести з і-го місяця, од.;

число повних місяців
роботи технічних пристроїв з моменту їх введення до кінця планового року,
місяць.
якщо запланований
рівномірне введення у дію протягом року:
де 
приріст технічних
пристроїв в плановому році, од.
Кількість нарядів на
встановлення технічних пристроїв у плановому році визначається відповідно до
плану їх приросту: 
основні
додаткові 
приймачі ефірного
радіомовлення 
2. ПЛАН ДОХОДІВ ВІД
РЕАЛІЗАЦІЇ ПОСЛУГ
В існуючій практиці
планово-економічної роботи у якості грошового вимірювача загального обсягу
роботи підприємства зв’язку прийнятий показник доходів від реалізації послуг.
Доход від реалізації
послуг - це грошові кошти, які підприємства одержують в результати реалізації
послуг зв’язку населенню і народному господарству. На підставі доходів від
реалізації послуг розраховуються такі економічні показники роботи підприємства
зв’язку, як продуктивність праці, собівартості одиниці послуг тощо.
У розділі «Доходи»
річного плану соціального та економічного розвитку ЦТП визначається загальна
сума доходів від реалізації послуг, у тому числі за підгалузями зв’язку:
- міжміський телефонний
зв'язок;
- міський телефонний зв'язок;
телеграфний зв'язок;
проводові мовлення.
Загальна сума доходів від реалізації
послуг зв’язку ЦТП на плановий рік визначається за формулою:

(2.1)
Доходи телефонного
зв’язку на плановий визначається як добуток середньої доходної такси і величини
вихідного платного обміну по телеграмах у плановому році:

(2.2)
Планування середньої
доходної такси по телеграмах здійснюється у такій послідовності:
.Визначається середня
доходна такса по телеграмах, очікувана у поточному році,за формулою:
де 
доходи від вихідного
платного обміну по телеграмам. Очікувані у поточному році, тис. грн.;

величина вихідного
платного обміну по телеграмам, очікувана у поточному році, тис. од.
Отримані результати
підставляємо у формулу (2.4).
. Визначається середня
доходна такса по телеграмам на плановий рік як добуток середньої доходної
такси, очікуваної за поточний рік і наміченого темпу її росту в плановому році
за формулою:
де 
темп росту середньої
доходної такси по телеграмах у плановому році,%
Отримані результати
підставляємо у формулу (2.2).
Доходи проводового
мовлення в плановому році визначається як сума доходів від абонентної плати за
користування радіоточками,доходи від встановлення радіоточок, доходи від
технічного обслуговування приймачів ефірного мовлення, доходів відомчих
радіовузлів та інших доходів проводового мовлення:

(2.5)
Доходи від абонентної
плати за користування радіоточками в плановому році визначається як добуток
середньої абонентної плати і середньорічної кількості радіоточок, що
обслуговуються, за формулою:

, (2.6)
де 
середня абонентська
плата за користування радіоточками в плановому році, грн.;

середньорічна кількість
радіоточок в плановому році, од.
Середньорічна кількість
радіоточок на плановий рік визначається як сума середньорічної кількості
основних та додаткових радіоточок за формулою:
Отримані результати
підставляємо у формулу (2.6).
Планування середньої
абонентської плати за користування радіоточками здійснюється у такій
послідовності:
. Визначається середня
абонентська плата за користування радіоточками, очікувана за поточний рік
шляхом подвоєння середньої абонентської плати за перше півріччя поточного
року,оскільки у другому півріччі поточного року не передбачається змін у
структурі радіоточок і тарифах.

(2.7)

грн
.Якщо у поточному році
не передбачається змін у структурі радіоточок, середню абонентську плату в
плановому році залишають на рівні поточного року.

грн (2.8)
Отримані результати
підставляємо у формулу (2.6).
Доходи від встановлення
основних і додаткових радіоточок на плановий рік визначається за формулою:

, (2.9)
де 
доходи від встановлення
радіоточок в плановому році, тис. грн.;

середня доходна такса
по нарядам на встановлення радіоточок і-го виду у плановому році, грн.;

кількість нарядів на
встановлення радіоточок і-го виду в плановому році, наряд.
Кількість нарядів на
встановлення радіоточок і-го виду в плановому році береться з плану обсягу
послуг.
Середня доходна такса по
нарядам на встановлення радіоточок за поточний рік дорівнює середній доходній
таксі по нарядам у I півріччі поточного року, оскільки доходи від встановлення
нових радіоточок ЦТП одержує один раз:
Отримані результати
підставляємо у формулу (2.5).
Доходи від технічного
обслуговування приймачів ефірного мовлення плануються за аналогічною методикою.

(2.12)
Отримані результати
підставляємо в формулу (2.11).
Отримані результати
підставляємо у формулу (2.5).
Якщо у плановому році не
передбачається змін у структурі нарядів на встановлення радіоточок, то в
плановому році середня доходна такса по нарядам на встановлення радіоточок
залишається на рівні поточного року:
Тепер, маючи необхідні
данні, можемо розрахувати загальну суму доходів від реалізації послуг:
Відповідно до
Податкового кодексу України доходи від реалізації послуг оподатковується
податком на додану вартість (ПДВ) за ставкою 20% від суми доходів яка включає
ПДВ:
Сума чистого доходу від
реалізації послуг на плановій рік визначається як різниця між доходами від
реалізації послуг і сумою ПДВ.

тис.грн.
Чистий дохід від
реалізації послуг є джерелом покриття поточних експлуатації витрат
підприємства.
. ПЛАН З ПРАЦІ
У розділі «Праця»
річного плану соціального та економічного розвитку ЦТП плануються фонд оплати
праці і продуктивність праці.
Фонд оплати праці на
плановий рік визначається як добуток середньої заробітної плати одного
працівника і середньорічної чисельності працівників в плановому році за
формулою:
Продуктивність праці визначається
кількістю продукції, виготовлена одним працівником за одиницю часу. При
розрахунку продуктивності праці обсяг продукції може бути виражений у
натуральному, умовно-натуральному або у грошовому вимірі. Якщо обсяг послуг
виражений у грошовому вимірі, то продуктивність праці показує суму доходів від
реалізації послуг, яка припадає на одного працівника в одиницю часу(рік,
квартал, місяць).
Продуктивність праці в аналізованому
періоді розраховується за формулою:
де 
продуктивність праці в
аналізованому періоді, грн./чол.;

сума доходів від
реалізації послуг за аналізований період, грн.;

середньорічна
чисельність працівників за аналізований період,чол.
Одержаний результат
показує, що 37629,03 грн. від реалізації послуг нападає на одного працівника за
рік.
Одним з об’єктивних розвитку
суспільства є постійне зростання продуктивності праці. Зростання продуктивності
праці - це основний інтенсивний фактор розвитку виробництва. Зростання
продуктивності праці заклечається у зменшені частки живої праці у вартості
продукції, тобто дозволяє при менших витратах робочого часу одержати більше
продукції (доходів) з тією ж або навіть меншою чисельністю працівників.
Для аналізу зміни продуктивності
праці розрахуємо такі показники:
.Індекс динаміки продуктивності
праці (темп зміни продуктивності праці):
де 
продуктивність праці у
плановому і поточному роках відповідно, грн..

, то ми бачимо
підвищення продуктивності праці в плановому році порівняно з поточним складає
1,084 %.
. Абсолютна зміна
продуктивності праці за аналізований період:
. Приріст (зниження)
продуктивності праці в процентах:
Ефективність планів
підприємства зв’язку характеризує співвідношення темпів росту продуктивності
праці 
і темпів росту
середньої заробітної плати 
Темп росту середньої
заробітної плати визначається за формулою:
Планування фонду оплати
праці повинно забезпечувати випереджаючі темпи росту продуктивності праці
порівняно з темпами росту середньої заробітної плати:
. В нашому випадку це
1,084 > 1,06. Як бачимо, співвідношення виконується. За рахунок цього
відбувається зниження витрат за статтею «Витрати на оплату праці з
відрахуваннями на соціальні заходи», які приходяться на одиницю послуг. Це
свідчить про прогресивність плану праці і підвищення ефективності роботи ЦТП.
Відсоток приросту
середньорічної заробітної плати одного працівника в плановому році визначається
за формулі:
де 
відсоток приросту
середньорічної заробітної плати в плановому році,%;

середньорічної
заробітної плати одного працівника в плановому і поточному роках відповідно,
грн..
Одним з важливіших
показників, що характеризується ефективність підвищення продуктивності праці та
використання трудових ресурсів, є частка приросту продукції (доходів), яка
отримана за рахунок підвищення продуктивності праці.
де 
приріст середньорічної
чисельності працівників, %;

приріст доходів від
реалізації, %.
Приріст середньорічної
чисельності працівників розраховується за формулі:
Приріст доходів від
реалізації розраховується за формулі:
Отримані дані
підставляємо в формулу (3.7).

показує відсоток
приросту доходів від реалізації послуг за рахунок росту продуктивності праці, а

показує відсоток
приросту доходів від реалізації послуг за рахунок збільшення планової
чисельності працівників.
Так як 
, то розрахуємо умовну
економію штату:
де 
умовна чисельність
працівників у плановому році при урівні продуктивності праці поточного року.
Отримані дані
підставляємо в формулу (3.10).
Приведені розрахунки
показують, що в плановому році відбувається зростання продуктивності праці на
2913,03 грн., або на 8,4%.
Зростання продуктивності
праці дозволить підвищити продуктивність використання трудових ресурсів,а саме:
− За рахунок росту
продуктивності праці буде забезпечено 39,7% приросту доходів від реалізації
послуг, а за рахунок збільшення середньорічної чисельності працівників на 15,4
% буде отримано 25,03% доходів від реалізації послуг.
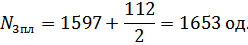
− Якщо в плановому
році продуктивність праці залишилась на рівні поточного року, то для отримання
запланованої суми доходів від реалізації послуг ЦТП додатково знадобилось 21
чол.
Для забезпечення
показників плану з праці необхідно розробити і запропонувати наступні організаційно-технічні
заходи:
− удосконалити та
організувати робочі місця для кожного працівника з урахуванням його
фізіологічних характеристик;
− забезпечити
раціональну побудову і подальше удосконалення загальнодержавної мережі зв’язку,
збільшити кількість пунктів в зв’язку і тривалість їх роботи;
− впровадити
використання системи автоматичного управління зв’язком;
− активізувати
послуги зв’язку, що приводять до зростання доходів;
− підвищити
кваліфікацію та культурно-технічний рівень працівників;
− забезпечити
моральне та матеріальне заохочення працівників;
− зменшити часи
поновлення пошкоджених технічних засобів.
. ПЛАН СОБІВАРТОСТІ
ПОСЛУГ
Одним з основних
розділів річного соціального та економічного розвитку ЦТП є прогноз витрат,
необхідних для забезпечення нормальної виробничої діяльності підприємства.
Витрати плануються за кожною статтею окремо, потім визначається загальна сума
експлуатаційних витрат, а також собівартість одиниці реалізованих послуг в
плановому році.
Планові суми витрат за
статтями визначаються прямими розрахунками або за допомогою укрупнених
вимірювачів. Для забезпечення однакового визначення складу витрат, які
включаються у собівартість послуг усіх підприємств зв’язку незалежно від їх
типу, групуються такі статті витрат:
. Витрати на оплату
праці 
.
. Нарахування на
заробітну плату 
.
. Амортизаційні
відрахування 
.
. Матеріальні витрати -
всього, в тому числі: матеріали, паливо, запасні частини 
, електроенергію зі
сторони для виробничих потреб 
.
. Транспортні послуги
сторонніх організацій 
. Інші витрати - всього,
в тому числі: платежі з обов’язкового страхування майна; плата відсотків за
кредити банків; плата за взаєморозрахунками між підприємствами за взаємопослуги
зв’язку; витрати на оренду нежитлових приміщень; витрати на капітальний і
поточний ремонт тощо.
.
. Загальногосподарські і
адміністративно-управлінські витрати: витрати на підготовку та утримання
приміщень, підготовку кадрів, охорону праці і техніку безпеки тощо.
.
Розраховані витрати за
окремими елементами та статтями включаються до загального кошторису, який
визначає річну суму витрат на весь запланований обсяг продукції (послуг):
де 
собівартість
реалізованих послуг в плановому році, тис. грн.;

витрати за статтями
витрат, тис. грн.
Планування витрат за
окремими статтями здійснюється з урахуванням наступного:
. Витрати на оплату
праці (загальний фонд оплати праці) 
плануються виходячи зі
штатного розпису у межах планової чисельності штату с урахуванням доплати,
надбавки, які передбачені чинним законодавство а також планового відсотка
премії в цілому по підприємству.
. Нарахування на
заробітну плату (єдиний соціальний внесок) 
плануються за ставками
ЕСВ від сум нарахованої заробітної плати по видам виплат, які включають основну
і додаткову зарплату, інші заохочувальні та компенсаційні витрати, в тому числі
в натуральній формі, відповідно до Закону України «Про оплату праці».
Ставки ЕСВ
встановлюються у розмірі 36,76-49,7% залежно від класу професійного ризику
виробництва, до якого віднесено підприємство у Фонді соціального страхування
від нещасного випадку.
Підприємства зв’язку
віднесені до 4-го класу професійного ризику виробництва, для якого ставка ЕСВ
встановлена у розмірі 36,79%.
де 
нарахування на
заробітну плату, тис. грн.;

витрати на оплату
праці, тис. грн.
. Амортизаційні
відрахування 
плануються із
застосуванням таких методів:
) прямолінійний метод;
) метод зменшення
залишкової вартості;
) метод прискореного
зменшення залишкової вартості;
) кумулятивний метод;
) виробничий метод.
Для нарахування
амортизації основні засоби класифікуються за групами із зазначенням мінімально
припустимих строків їх корисного використання.
Умовно приймаємо такі
строки корисного використання об’єктів основних засобів:
3 група
(будівля,споруди,передавальні пристрої) - 20 років;
4 група (машини і
обладнання) - 8 років;
5 група (транспортні
засоби) −13,25 року.
При нарахуванні
амортизації об’єктів основних засобів, які входять у групу 3(будівлі),
застосовується прямолінійний метод; у групу 4 (машини і обладнання) і 5
(транспортні засоби) − метод прискореного зменшення залишкової вартості.
При прямолінійному
методі річна сума амортизації визначається діленням вартості, що амортизується,
на строк корисного використання об’єкту основних засобів за формулою:
де 
вартість об’єкту ОЗ, що
амортизується, тис. грн.;

первинна вартість
об’єкту ОЗ, тис. грн.;

ліквідаційна вартість
об’єкту ОЗ, тис. грн.;

строк корисного
використання об’єкту основних засобів, рік.
У курсовій роботі умовно
приймаємо, що ліквідаційна вартість об’єктів основних засобів дорівнює нулю.
При методі прискореного
зменшення залишкової вартості річна сума амортизації визначається як добуток
залишкової вартості об’єкту на початку звітного року або первинної вартості на
дату початку нарахування амортизації і річної норми амортизації, яка визначена
виходячи із строку корисного використання об’єкту і подвоюється.
де 
річна норма амортизації
В цілому по ЦТП сума
амортизаційного відрахування складає:
. Витрати за статтями
«Матеріали, паливо, запасні частини», «Електроенергія для загальновиробничих
потреб», «Загальновиробничі витрати», «Транспортні витрати» зазначаються за
нормативним методом.
Планова сума витрат за
вказаними статтями визначається як добуток нормативу і-го виду витрат на
одиницю доходів в плановому році і кількості укрупнених вимірювачів за
формулою:
де 
величина витрат за
певною статтею на плановий рік, тис. грн.;

планова сума доходів
від реалізації послуг, тис. грн.;

норматив і-го виду
витрат на одиницю доходів в плановому році, грн.;

укрупнений вимірювач.
Отримані дані
підставляємо у формулу (4.1).
Собівартість одиниці
реалізованих послуг в плановому році визначається за формулою:
де 
собівартість одиниці
реалізованих послуг в плановому році, грн.;
Собівартість одиниці реалізованих
послуг показує суму витрат, яка припадає на 100 грн. чистого доходу від
реалізації послуг потрібно витратити 67,034 грн.
Відсоток зниження
собівартості одиниці реалізованих послуг в плановому році визначається за
формулою:
де 
відсоток зниження
собівартості одиниці реалізованих послуг в плановому році,%;

собівартості одиниці
реалізованих послуг в поточному році, грн.
Зміна суми витрат за
рахунок зниження собівартості одиниці реалізованих послуг визначається за
формулою:
де 
умовна сума перевитрати
коштів, якщо 
;

умовна сума економії
коштів, якщо 
;
З цього ми бачимо, що
собівартість одиниці реалізованих послуг знизилось на 1,9%, за рахунок чого
буде економія коштів на 101,56 тис. грн.
Для реалізації складного
плану собівартість послуг необхідно запровадити наступні заходи:
− збільшити
продуктивність праці;
− запровадити нову
техніку та технології, механізацію та автоматизацію виробничих процесів;
− раціонально
розмістити засоби зв’язку в країні;
− запровадити
засоби автоматизації і багатоканальних систем зв’язку та інших важливих
напрямків технічного прогресу, що певною мірою впливають на економію витрат.
5. ПЛАН ПРИБУТКУ
Діяльність підприємства
поділяється на звичайну і надзвичайну. Звичайна діяльність - будь-яка основна
діяльність підприємства, а також операції, що забезпечують або виникають
внаслідок її проведення. Звичайна діяльність складається з операцій основної
діяльності, тобто операцій, пов’язаних з виробництвом або реалізацій продукції
(товарів, робіт, послуг), які є головною метою створення підприємства і які
забезпечують основну частку його доходу, та інших операцій (продаж та оренда
основних засобів, нематеріальних активів, продаж і покупка цінних паперів,
курсові різниці тощо), які безпосередньо не пов’язані з основною діяльністю.
Надзвичайна подія -
подія або операція, яка відрізняється від звичайної діяльності підприємства, та
не очікується, що вона повторюватиметься періодично або в кожному наступному
звітному періоді.
У розділі «Прибуток»
річного плану соціального та економічного розвитку ЦТП визначається фінансовий
результат підприємства відповідно до Положення (стандарту) бухгалтерського
обліку «Звіт про фінансові результати».
Валовий прибуток
(збиток) визначається як різниця між чистим доходом від реалізації продукції
(товарів, робіт, послуг) і собівартістю реалізованої продукції (товарів, робіт,
послуг):
де 
валовий прибуток у
плановому році, тис. грн.
Отриманий результат підставляємо у
формулу (5.2).
Прибуток (збиток) від операційної
діяльності визначається як алгебраїчна сума валового прибутку (збитку), іншого
операційного доходу, адміністративних витрат, витрат на збут та інших
операційних витрат:
де 
прибуток від
операційної діяльності, тис. грн.;

інший операційний доход
(доходи від реалізації оборотних активів; отримані штрафи, пеня, неустойки;
доходи від списання кредиторської заборгованості; одержані гранти та субсидії;
доходи від реалізації іноземної валюти; відшкодування раніше списаних активів),
тис. грн.;

адміністративних витрат
(витрати на утримання апарату управління підприємством; витрати на опалення,
освітлення, водопостачання, водовідведення та охорону будинку адміністрації
ЦТП; винагороди за юридичні та аудиторські послуги; витрати на службові
відрядження апарату управління підприємством; плата за розрахунково-касове
обслуговування та інші послуги банку), тис. грн.;

витрати на збут
(витрати на дослідження ринку (маркетинг); витрати на рекламу), тис. грн.;

інші операційні витрати
(витрати від знецінення запасів; витрати на утримання об’єктів
соціально-культурного призначення; витрати від різниці курсу валют; витрати на
дослідження та розробку; сума безнадійної дебіторської заборгованості та
відрахування до резерву сумнівних боргів; нестачі й втрати від псування
цінностей; витрати на виплату матеріальної допомоги; витрати від продажу
валюти), тис. грн.
Отриманий результат
підставляємо у формулу (5.3).
Прибуток (збиток) від звичайної
діяльності до оподаткування визначається як алгебраїчна сума прибутку (збитку)
від операційної діяльності, фінансових та інших доходів (прибутків), фінансових
та інших витрат (збитків) за формулою:
де 
прибуток від звичайної
діяльності до оподаткування в плановому році, тис. грн.;

дохід від фінансової
діяльності (інші доходи від фінансових операцій; дивіденди одержані) тис. грн.;

інші доходи (доходи від
безоплатно одержаних активів; доход від реалізації майнових комплексів; доход
від реалізації фінансових інвестицій; доход від реалізації необоротних
активів), тис. грн.;

фінансові витрати
(збиток, спричинений інвестиціями в дочірне підприємство; відсоток за
користування кредитом), тис. грн.;

інші витрати, тис. грн.
Прибуток оподатковується
податком відповідно до Податкового кодексу України за ставкою 25% прибутку від
звичайної діяльності до оподаткування за формулою:
де 
сума податку на
прибуток в плановому році, тис. грн.;
- ставка податку на
прибуток, %
Прибуток від звичайної
діяльності визначається як різниця між прибуток від звичайної діяльності до
оподаткування та сумою податків з прибутку за формулою:
де 
прибуток від звичайної
діяльності в плановому році, тис. грн.
Чистий прибуток від
звичайної діяльності визначається як сума прибуток від звичайної діяльності,
надзвичайного прибутку за врахуванням надзвичайного збитку та податків з
надзвичайного прибутку. При складанні плану чистий прибуток дорівнює прибутку
від звичайної діяльності:
Критерієм економічної ефективності
виробництва і характеристикою ступеня його прибутковості є відносна величина,
яка називається рівнем рентабельності. Рентабельність дає можливість
порівнювати виробничо-фінансові результати з витратами або обсягом використаних
виробничих засобів (ресурсів), характеризуючи ефективність їх використання.
де 
рентабельність, %;

операційні витрати,
тис. грн.
Операційні витрати - це
витрати, пов’язані з основною операційною діяльністю. Вони розрізняються за
функціями (виробництво,управління, збут та інші) та класифікуються у розрізі
економічних елементів (матеріальні витрати, витрати на оплату праці,
відрахування на соціальні заходи, амортизація та інші витрати). Таким чином,
операційні витрати - це сума собівартості реалізованих послуг, адміністративних
витрат і витрат на збут:
Отримані дані
підставляємо у формулу (5.7).
Ми бачимо, що на одну
гривню операційних витрат приходиться 47,3 коп. доходів від звичайної
діяльності до оподаткування.
6. БАЛАНС, ОНОВЛЕННЯ ТА ЕФЕКТИВНІСТЬ
ВИКОРИСТАННЯ ОСНОВНИХ ВИРОБНИЧИХ ЗАСОБІВ
В даному розділі плану соціального
та економічного розвитку ЦТП розраховуються вартісні показники та показники
руху основних виробничих засобів (ОВЗ).
Основні виробничі засоби - це
матеріальні активи, які підприємство утримує з метою їх використання в процесі
виробництва чи надання послуг, очікуваний термін експлуатації яких більше за
один рік. До них відносять виробничі будівлі, мережі лінійно-кабельних споруд,
обладнання зв’язку тощо.
До ОВЗ можна віднести такі ознаки:
− вони багаторазово приймають
участь у процесі виробництва;
− утримують свою зовнішню
форму;
− в процесі виробництва
зношуються поступово та по мірі зношування переносять частину своєї вартості на
вартість річної продукції.
В залежності від функціонального
призначення ОВЗ підрозділяються на:
− виробничі (приймають участь
у сфері матеріального виробництва та обслуговування його);
− невиробничі (не беруть
участь в процесі виробництва, а призначені для соціально-культурного
обслуговування працівників. До них відносять ОВЗ житлово-комунального
господарства, охорони здоров’я, культури тощо).
В залежності від
натурально-істотного характеру основних засобів підрозділяються на:
− земельні ділянки;
− капітальні витрати на
покращення земель;
− будівлі та споруди;
− машини та обладнання;
− транспортні засоби;
− інструменти, пристосування
та інвентар;
− робоча і продуктивна худоба;
− багаторічні насадження тощо.
По використанню основних засобів
підрозділяються на:
− діючі;
−недіючі.
В залежності від приналежності
основних засобів діляться на:
− власні (належать даному
підприємству);
− орендовані (знаходяться в
тимчасовому його користуванні).
Коефіцієнт фондовіддачі в плановому
році визначається за формулою:
де 
коефіцієнт
фондовіддачі, грн./ 1 грн.;

середньорічна вартість
ОВЗ, тис. грн.
Отриманий результат
показує, що 0,328 гривень доходів від реалізації послуг припадає на 1 гривню
середньорічної вартості ОВЗ.
Коефіцієнт фондоємності
в плановому році визначається за формулою:
де 
коефіцієнт
фондоємності, грн./ 1 грн.
Отриманий результат
показує, що 3,05 гривень середньорічної вартості ОВЗ припадає на кожну гривню
доходів від реалізації послуг.
Коефіцієнт
фондоозброєності в плановому році визначається за формулою:
де 
коефіцієнт
фондоозброєності, грн./ 1 грн.
Отриманий результат
показує, що 114649,2 гривень середньорічної вартості ОВЗ припадає на одного
працівника.
Рентабельність ОВЗ
визначається як відношення прибутку від звичайної діяльності до оподаткування
до середньорічної вартості ОВЗ:
З цього розрахунку
бачимо що з однієї гривні ОВЗ 9,08 коп. прибутку від звичайної діяльності до
оподаткування.
Рух ОВЗ характеризується
коефіцієнт оновлення та вибуття.
Коефіцієнт оновлення ОВЗ
в плановому році визначається за формулою:
де 
коефіцієнт оновлення
ОВЗ, %;

вартість ОВЗ, введених
до експлуатації в плановому році, тис. грн.;

вартість ОВЗ на кінець
планового року, тис. грн.
Результат показує що на
кінець року приходиться 6,6% ОВЗ в їх повній вартості.
Коефіцієнт вибуття ОВЗ в
плановому році визначається за формулою:
де 
коефіцієнт вибуття ОВЗ,
%;

вартість ОВЗ,
ліквідованих у плановому році, тис. грн.;

вартість ОВЗ на початок
планового року, тис. грн.
З цього розрахунку
бачимо що на початку планового року припадає 1,23% ліквідованих основних
виробничих засобів в їх повній вартості.

виконується, частка
оновлених ОВЗ перевищує частку ліквідованих на 5,37%, це свідчить про
збільшення виробничих потужностей.
Для забезпечення
ефективності використання ОВЗ необхідно запровадити наступні заходи:
− запровадити
комплексну механізацію та автоматизацію виробничих процесів;
− використовувати
високоефективні багатоканальні системи зв’язку;
− раціонально
побудувати мережі зв’язку, збільшити число пунктів зв’язку і тривалість їхньої
роботи;
− створити нові
більш досконалі та економічні засоби праці, і більш планово використовувати
діючі виробничі фонди;
− прискорити
освоєння нововведених виробничих потужностей підприємств.
. АНАЛІЗ РЕЗУЛЬТАТІВ
РОЗРАХУНКІВ І ВИСНОВКИ
На підставі розрахунків,
виконаних у розділах 2 - 6, складаємо зведену аналітичну таблицю економічних
показників роботи ЦТП у 2015 и 2016 рр.
Таблиця 7.1 - Економічні
показники роботи ЦТП у 2015-2016 рр.
|
№
|
Найменування показників
|
Поточний 2014 рік
|
Плановий 2015 рік
|
У відсотках до плану
|
|
1
|
Доходи від реалізації послуг, тис. грн.
|
7463,9
|
9332
|
125,03
|
|
2
|
Податок на додану вартість, тис. грн.
|
1243,9
|
1555,4
|
125,05
|
|
3
|
Чистий дохід на реалізацію послуг,тис. грн.
|
6220
|
7776,6
|
125,03
|
|
4
|
Середньорічна чисельність працівників, чол.
|
215
|
248
|
115,4
|
|
5
|
Середньорічна заробітна плата одного працівника, грн.
|
2047,1
|
2166,2
|
105,8
|
|
6
|
Продуктивність праці, грн./ чол.
|
34716,0
|
37629,03
|
108,4
|
|
7
|
Собівартість реалізованих послуг, тис. грн.
|
5588,0
|
5213
|
93,3
|
|
8
|
Собівартість одиниці реалізованих послуг, грн.
|
68,34
|
67,034
|
98,1
|
|
9
|
Коефіцієнт фондовіддачі, грн.
|
−
|
0,328
|
−
|
|
10
|
Коефіцієнт фондоємності, грн.
|
−
|
3,05
|
−
|
|
11
|
Коефіцієнт фондоозброєності, грн./чол.
|
−
|
114649,2
|
−
|
|
12
|
Прибуток від звичайної діяльності, тис. грн.
|
2788,4
|
1935,63
|
69,5
|
|
13
|
Рентабельність, %
|
49,90
|
47,3
|
94,8
|
|
14
|
Рентабельність ОВЗ, %
|
−
|
9,08
|
−
|
Проаналізуємо заплановані економічні
показники робити ЦТП порівняно з поточним роком. Про поліпшення роботи
підприємства свідчить наступне:
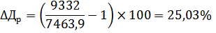
. Зростання доходів від реалізації
послуг і чистого доходу на 25,03%.
. Зростання продуктивності праці на
8,4%, що випереджає темп росту середньорічної заробітної плати одного
працівника на 2,6%.
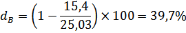
. Підвищення ефективності
використання трудових ресурсів: за рахунок росту продуктивності праці на 8,4%
буде забезпечено 39,7 % приросту доходів від реалізації послуг, а за рахунок
збільшення середньорічної чисельності працівників на 15,4 % буде отримано 60,3
% доходів від реалізації послуг.
. Зниження загальної суми
собівартості реалізованих послуг на 6,7%.
. Зниження собівартості одиниці
реалізованих послуг на 1,9% та одержанні за рахунок цього економію коштів на
суму 101,56 тис. грн.
. Підвищення ефективності
використання ОВЗ: зростання фондовіддачі, фондоозброєності та рентабельність
ОВЗ при умові зниження фондоємності.
. Зниження ефективності виробництва
та зростання рентабельності на 5,2%.
. Поліпшення якості роботи та якості
наданих послуг зв’язку.
Для забезпечення виконання
складеного плану необхідно запровадити наступні організаційно-технічні заходи,
спрямовані на підвищення ефективності виробництва, зростання продуктивності
праці, економію витрат і зниження собівартості одиниці послуг, поліпшення
використання ОВЗ та прискорення їх оновлення, поліпшення якості послуг зв’язку:
− модернізувати існуючу
техніку;
− автоматизувати виробничі
процеси;
− поліпшити використання
основних фондів зв’язку;
− впровадити нову техніку і
більш прогресивні технології;
− зменшити витрати на
обслуговування засобів виробництва;
− проводити значну роботу щодо
оснащення ЦТП засобами механізації та автоматизації;
− встановити раціональну схему
проходження інформації між різними пунктами за оптимальної організації прямих і
транзитних зв’язку;
− запровадити механізацію та
автоматизацію виробничих процесів;
− збільшити число пунктів
зв’язку та тривалість їх роботи;
− раціонально будувати і
удосконалювати загальнодержавну мережу зв’язку;
− удосконалити технологічні
процеси оброблення та передавання повідомлення.