Параметры работы насосной станции
Введение
заземление кабельный электропроводка насосный
Передача, распределение и потребление электроэнергии на
промышленных предприятиях должны производиться с высокой экономичностью и
надежностью. Так, в системах цехового электроснабжения широко используются
комплектные распределительные устройства (КРУ) и комплектные трансформаторные
подстанции (КТП), а также комплектные силовые и осветительные токопроводы.
Все это создает гибкую и надежную систему распределения
электроэнергии, экономящую большое количество проводов и кабелей. Значительно
упростились схемы подстанций различных напряжений и назначений за счет отказа
от сборных шин и выключателей на первичном напряжении и применения глухого
присоединения трансформаторов подстанций к питающим линиям и т.д.
Основными определяющими факторами при проектировании
электроснабжения должны быть характеристики источников питания и потребителей
электроэнергии, в первую очередь требование, к бесперебойности электроснабжения
с учетом возможности обеспечения резервирования в технологической части
проекта, требования электробезопасности.
Подключение систем электроснабжения промышленных предприятий
к сетям энергосистем производится согласно техническим условиям на
присоединение, выдаваемым энергоснабжающей организацией в соответствии с
Правилами пользования электрической энергией.
При проектировании систем электроснабжения необходимо
учитывать, что в настоящее время все более широкое распространение находит
ввод, позволяющий по возможности максимально приблизить высшее напряжение
(35-330 кВ) к электроустройствам потребителей с минимальным количеством
ступеней промежуточной трансформации. Основополагающим принципом при
проектировании схем электроснабжения является также отказ от «холодного»
резерва. Рациональные схемы решения должны обеспечивать ограничение токов
короткого замыкания. В необходимых случаях при проектировании систем
электроснабжения должна быть предусмотрена компенсация реактивной мощности.
Мероприятия по обеспечению качества электроэнергии должны решаться комплексно и
базироваться на рациональной технологии и режиме производства, а также на
экономических критериях. При выборе оборудования необходимо стремиться к
унификации и ориентироваться на применение комплексных устройств различных
напряжений, мощности и назначения, что повышает качество электроустановки,
надежность, удобство и безопасность ее обслуживания.
Схемы электроснабжения промышленных предприятий должны
разрабатываться с учетом следующих основных принципов:
. источники питания должны быть максимально приближены к
потребителям электрической энергии;
. число ступеней трансформации и распределения электроэнергии
на каждом напряжении должно быть минимально возможным;
. распределение электроэнергии рекомендуется осуществлять по
магистральным схемам. В обоснованных случаях могут применяться радиальные
схемы.
. схемы электроснабжения и электрических соединений
подстанций должны быть выполнены таким образом, чтобы требуемый уровень
надежности и резервирования был обеспечен при минимальном количестве
электрооборудования и проводников.
Целью данной курсовой работы является проектирование
электроснабжения электрооборудования насосной станции.
1. Общая
часть
1.1
Характеристика насосной станции, электрических нагрузок и его технологического
процесса
Электроснабжение промышленных предприятий выполняют на
напряжение до 1 кВ (наиболее распространённым является напряжение 380 В). На
выбор схемы и конструктивное исполнение сетей оказывают влияние такие факторы,
как степень ответственности приёмников электроэнергии, режимы их работы и
размещение по территории производственного объекта, номинальные токи и
напряжение.
Насосная станция (НС) предназначена для мелиорации.
На территории НС предусмотрены: машинный зал, ремонтный
участок, агрегатная, сварочный пост, служебные, бытовые и вспомогательные
помещения. НС получает электроснабжение (ЭСН) от государственной районной
электростанции (ГРЭС) по воздушной ЛЭП-35. Расстояние от ГРЭС до собственной
трансформаторной подстанции (ТП), расположенной в пристройке к зданию НС 10 км.
В соответствии с «Правилами устройства электроустановок»
(ПУЭ) потребители электроэнергии (ЭЭ) по надёжности ЭСН относятся ко второй и
третьей категории.
Электроприёмники второй категории - электроприёмники, перерыв
электроснабжения которых приводит к массовому недоотпуску продукции, массовым
простоям рабочих, механизмов и промышленного транспорта, нарушению нормальной
деятельности значительного количества городских и сельских жителей.
Электроприёмники второй категории в нормальных режимах должны
обеспечиваться ЭЭ от двух независимых источников питания.
Для электроприёмников второй категории при нарушении ЭСН от
одного из источников питания допустимы перерывы ЭСН на время, необходимое для
включения резервного питания действиями дежурного персонала или выездной
оперативной бригады.
Электроприёмники третьей категории - все остальные
электроприёмники, не попадающие под определения первой и второй категории.
Для электроприёмников третьей категории ЭСН может выполняться
от одного источника питания при условии, что перерывы электроснабжения,
необходимые для ремонта или замены повреждённого элемента системы ЭСН, не
превышает одних суток.
Количество рабочих смен - 3.
Основными потребителями ЭЭ являются пять мощных
автоматизированных насосных агрегатов. Все электроприёмники приведены в таблице
1 пронумерованные в соответствии с планом расположения ЭО НС.
Таблица 1 - Перечень ЭО НС
|
№ на плане
|
Наименование ЭО
|
Pн, кВт
|
Примечание
|
|
1, 2
|
Вентиляторы
|
10
|
|
|
3
|
Сверлильный станок
|
2,8
|
1-фазный
|
|
4
|
Заточной станок
|
1,8
|
1-фазный
|
|
5
|
Токарно-револьверный станок
|
25
|
|
|
6
|
Фрезерный станок
|
8,5
|
|
|
7
|
Круглошлифовальный станок
|
7,8
|
|
|
8
|
Резьбонарезной станок
|
7
|
|
|
9…11
|
Электронагреватели отопительные
|
17,5
|
|
|
12
|
Кран мостовой
|
28,6 кВ*А
|
ПВ=25%
|
|
13…17
|
ЭД вакуумных насосов
|
5
|
|
|
18…22
|
Электродвигатели задвижек
|
1,5
|
1-фазный
|
|
23…27
|
Насосные агрегаты
|
360
|
|
|
28
|
Щит сигнализации
|
1,2
|
1-фазный
|
|
29, 30
|
Дренажные насосы
|
8,4
|
|
|
31, 32
|
Сварочные агрегаты
|
12,5 кВ*А
|
ПВ=40%
|
Грунт в районе здания - глина с температурой +10 оС.
Каркас здания и ТП сооружён из блоков секций длинной 6 метров
каждая.
Размеры здания А х В х Н = 42 х 30 х 7 м.
Все помещения кроме машинного зала двухэтажные высотой 2,8 м.
1.2
Классификация помещений по взрыво-, пожаро-, электробезопасности
Насосная станция по степени взрыво- и пожаробезопасности можно
отнести к безопасному, так как он не имеет помещений, где бы содержались
опасные вещества.
По электробезопасности станция относится к классу пониженной
опасности, так как на станции очень мало токоведущих частиц (пыли, стружки и
т.д.) металла, которые оседают на ЭО. Также возможно соприкосновение
обслуживающего персонала одновременно с корпусом ЭО и конструкциями, связанными
с землей.
Все приемники по режиму работы разделяются на 3 основных
типа: продолжительный, кратковременный и повторнократковременный.
Продолжительный режим является основным для большинства ЭО.
Это режим, при котором превышение температуры нагрева электроприемника над
температурой окружающей среды достигает определенной величины τуст. Установившаяся температура считается такой, если она в течение
часа не изменялась. В этом режиме работают все станки, печи, насосы,
компрессоры и вентиляторы.
Кратковременный режим работы характеризуется небольшими
включениями и длительными паузами. В этом режиме работают вспомогательные
механизмы станков и другого оборудования.
Повторно-кратковременный режим - это кратковременные периоды
работы, чередующиеся с паузами, при этом периоды включения не на столько
велики, чтобы температура превысила установившееся значение, но и при паузах не
успевает остыть, в конечном итоге достигая средней величины.
В этом режиме работают грузоподъемные механизмы, прокатные
станы и сварочные аппараты.
2. Расчетно-конструкторская
часть
.1
Категория надежности ЭСН и выбор схемы ЭСН
Сооружения насосных станций разделяют на основные и
второстепенные.
К основным относят те сооружения, разрушение которых приводит
к нарушению нормальной работы насосной станции (плотины, дамбы, водозаборные и
водовыпускные сооружения, здания насосных станций, напорные трубопроводы,
подпорные стены и т.д.).
К второстепенным сооружениям относят те, разрушение или отказ
в работе которых не приводит к нарушению работы насосной станции (ремонтные
затворы, водозащитные и отбойные сооружения, берегоукрепительные конструкции,
служебные мостики, дороги т.д.).
Все сооружения гидротехнических систем делят на четыре
класса.
Класс сооружения зависит от его высоты, типа основания,
последствий аварии или нарушения режима его эксплуатации (таблица 2). Класс
основных сооружений, выбранный по таблице 2, повышают на единицу, если их
разрушение влечет за собой катастрофические последствия для населённых пунктов
и предприятий или приводит к значительному ущербу народному хозяйству, и
понижают на единицу, если катастрофические последствия при их разрушении не
возникают, а последующий ремонт
Таблица 2 - Класс основных сооружений в зависимости от
грунтов основания и высоты сооружений
|
Грунты основания
|
I
|
II
|
III
|
IV
|
|
Высота сооружений, м
|
|
Скальные
|
Более 100
|
60…100
|
25…60
|
Менее 25
|
|
Песчаные, крупнообломочные, глинистые в твердом
и полутвердом состоянии
|
Более 50
|
25…50
|
10…25
|
Менее 10
|
|
Глинистые, водонасыщенные в пластическом
состоянии
|
Более 25
|
20…25
|
10…20
|
Менее 10
|
Сооружений может быть выполнен без остановки работы всего
гидроузла.
Класс второстепенных сооружений гидроузлов обычно при равных
условиях на единицу ниже, чем основных сооружений (таблица 3).
Таблица 3 - Класс основных и второстепенных сооружений в
зависимости от обслуживаемой площади
|
Площадь мелиорируемых земель, обслуживаемых
сооружением при орошении и осушении, тыс. га
|
Сооружение
|
|
|
Основное
|
Второстепенное
|
|
Более 300
|
I
|
II
|
|
100…300
|
II
|
III
|
|
50…100
|
III
|
IV
|
|
50 и менее
|
IV
|
IV
|
По надежности подачи или откачки воды насосные станции
разделяют на три категории.
I категория надежности - насосные станции, у которых в аварийных
ситуациях допускается перерыв в работе не более 5 ч, или снижение подачи до 50%
расчетной не более чем в течение 3 суток, или при прекращении подачи могут
возникнуть опасность для жизни и угроза нанесения народному хозяйству
значительного ущерба; к этой категории надежности обычно относят каскады
крупных и уникальных насосных станций, обслуживающих крупные массивы с ценными
сельскохозяйственными культурами, а также крупные осушительные насосные
станции, имеющие ограниченную аккумулирующую емкость осушительной системы.
II категория надежности - насосные станции, у
которых в аварийных ситуациях допускается перерыв в подаче до одних суток или
снижение ее до 50% расчетной не более чем в течение 5 суток; к этой категории
надежности обычно относят крупные и средние насосные станции, обслуживающие
более 5 тыс. га посевов ценных сельскохозяйственных культур.
III категория надежности - насосные станции, у
которых допускается перерыв в подаче
Таблица 4 - Степень огнестойкости зданий и сооружений в
зависимости от категории надежности подачи воды и их класса до 5 суток
|
Категория надежности подачи воды
|
Класс зданий и сооружений
|
Степень огнестойкости
|
|
I
|
II
|
I…II
|
|
II
|
III…IV
|
I…III
|
|
III
|
IV
|
III…IV
|
К ней относят все остальные насосные станции.
В зависимости от категории надежности подачи воды выбирают
обеспеченность уровней и расходов воды в источнике, тип и габариты сооружений,
число резервных насосных агрегатов и сооружений, коэффициенты запасов и т.д.
Для насосных станций существует понятие «степень
огнестойкости сооружения». Известны четыре степени огнестойкости. Последняя
зависит от категории надежности подачи воды и класса сооружения (таблица 4).
Степень огнестойкости определяет перечень необходимые средств пожаротушения.
2.2
Расчет электрических нагрузок, компенсирующего устройства и выбор
трансформаторов
Расчет нагрузок
Под электрической нагрузкой в данный момент времени
понимается её действующее значение, показанное измерительным прибором
(вольтметр, амперметр). Основные виды электрических нагрузок: активная (Р), неактивная
(Q), полная мощность (S), ток (Т). Зависимость
электрических величин называется графиком нагрузки (ГН). Различают
индивидуальные и групповые ГН.
Расчет нагрузок на примере крана мостового:
Суммарная мощность всех приемников:
где: n - количество однотипных электроприемников, шт.;
Мощность приведенная к длительному режиму работы:
где:
Реактивная сменная мощность:
Полная сменная мощность:
Максимальная активная нагрузка:
где:
Коэффициент максимума нагрузки:
где:
средний коэфицент использования групп
элеткроприемников.
Максимальная реактивная нагрузка:
Максимальная полная нагрузка:

Максимальный ток нагрузки:
Аналогично рассчитываем остальные электроприемники,
результаты расчета сводим в таблицу 5.
Таблица 5 - Сводная ведомость электрических нагрузок
|
Наименование РУ и электроприемников
|
Pн, кВт
|
n
|
ΣP, кВт
|
Kи
|
cos φ
|
tg φ
|
Pсм, кВт
|
Qсм, кВар
|
Sсм, кВ*А
|
Pр, кВт
|
Qр, кВар
|
Sр, кВ*А
|
Iм, А
|
|
РП1
|
|
Кран мостовой ПВ=25%
|
28,6
|
1
|
28,6
|
0,1
|
0,5
|
1,73
|
1,43
|
2,47
|
2,9
|
130,6
|
38,23
|
136,1
|
295,7
|
|
Сварочный агрегат ПВ=40%
|
12,5
|
2
|
25
|
0,2
|
0,6
|
1,33
|
1
|
1,33
|
1,66
|
10,6
|
2,6
|
10,92
|
23,7
|
|
Итого по РП1
|
41,1
|
3
|
53,6
|
0,1
|
0,8
|
1,53
|
2,43
|
3,8
|
4,56
|
141,2
|
40,83
|
147
|
319,4
|
|
РП2
|
|
Вентиляторы
|
10
|
2
|
20
|
0,6
|
0,8
|
0,75
|
12
|
9
|
15
|
|
|
|
|
|
Заточный станок
|
1,8
|
1
|
1,8
|
0,1
|
0,5
|
1,73
|
0,25
|
0,43
|
0,88
|
|
|
|
|
|
Фрезерный станок
|
8,5
|
1
|
8,5
|
0,1
|
0,5
|
1,73
|
1,19
|
2,06
|
2,4
|
|
|
|
|
|
Резьбонарезной станок
|
7
|
1
|
7
|
0,1
|
0,5
|
1,73
|
0,98
|
1,7
|
1,9
|
|
|
|
|
|
Электронагреватели отопительные
|
17,5
|
3
|
52,5
|
0,8
|
0,95
|
0,33
|
39,4
|
12,9
|
41,4
|
|
|
|
|
|
Насосные агрегаты
|
360
|
2
|
720
|
0,7
|
0,75
|
0,88
|
468
|
351
|
585
|
|
|
|
|
|
Щит сигнализации
|
1,2
|
1
|
1,2
|
0,6
|
0,78
|
0,8
|
0,72
|
0,56
|
0,91
|
|
|
|
|
|
Дренажные насосы
|
8,4
|
2
|
16,8
|
0,7
|
0,8
|
0,75
|
11,76
|
8,8
|
14,7
|
|
|
|
|
|
Токарно-револьверный станок
|
25
|
1
|
25
|
0,2
|
0,65
|
1,17
|
4,25
|
7,35
|
8,5
|
|
|
|
|
|
Сверлильный станок
|
2,8
|
2,8
|
0,1
|
0,5
|
1,73
|
0,39
|
0,68
|
0,78
|
|
|
|
|
|
Круглошлифовал.
|
7,8
|
1
|
7,8
|
0,1
|
0,5
|
1,73
|
1,09
|
1,89
|
2,18
|
|
|
|
|
|
станок
|
|
|
|
|
|
|
|
|
|
|
|
|
|
|
Итого по РП2
|
450
|
16
|
863,4
|
4,2
|
0,66
|
1,21
|
540
|
396,4
|
673,7
|
215,5
|
118,5
|
245,9
|
534,3
|
Расчет системы освещения объекта
В качестве источников освещения на промышленных предприятиях
используются газоразрядные лампы (для общего освещения) и лампы накаливания
(для аварийного освещения). Лампы накаливания (ЛН) имеют низкую световую отдачу
(Н = 7 ч 18 лм / Вт) и малый срок службы (Т=1000 часов), поэтому их можно
использовать только в следующих случаях:
§ для общего освещения помещений повышенной опасности
и особо опасных по поражению электрическим током при условии необходимости
использования пониженных уровней напряжений (не выше 50 В) для питания
осветительной установки;
§ в помещениях, в которых по условиям
технологического процесса недопустимы радиопомехи;
§ для аварийного освещения, если рабочее освещение
выполнено газоразрядными лампами высокого давления (ДРЛ, ДРИ, ДНаТ). Для
аварийного освещения (освещение безопасности и эвакуационного) следует
применять: лампы накаливания, люминесцентные лампы в помещениях с минимальной
температурой воздуха не менее 5°С и при условии питания ламп во всех режимах
напряжением не ниже 90% номинального, разрядные лампы высокого давления при
условии их мгновенного или быстрого повторного зажигания как в горячем состоянии
после кратковременного отключения питающего напряжения, так и в холодном
состоянии.
Расчет нагрузки осветительной сети
Составляется таблица для расчета освещения (таблица 6). В
первую колонку вносятся все помещения АЦ. Значения удельной мощности освещения
и коэффициенты спроса взяты из справочных материалов. По плану расположения ЭО
АЦ рассчитываются площади помещений.
Определяется номинальная мощность освещения для каждого
помещения:
где
- номинальная мощность освещения, кВт;
. - удельная мощность освещения, Вт/м2;
- площадь помещения, м2.
Для склада запчастей
, а площадь
. Вычисляем его
номинальную мощность освещения:
Определяются расчетные мощности освещения:
где
- расчетная активная мощность освещения, кВт;
- коэффициент спроса освещения;
- расчетная реактивная мощность освещения, квар;
- коэффициент реактивной мощности (для
газоразрядных ламп принимается 0,33);
- полная расчетная мощность освещения.
Для склада штампов:
Так как лампы газоразрядные каждую третью лампу ставим на
аварийное освещение.
Таблица 6 - Расчет освещения
|
Объект
|
Pуд.осв., Вт/м2
|
S, м2
|
Кс
|
Pн.осв, кВт
|
Pр, кВт
|
Qр, квар
|
Sр, кВА
|
|
Вентиляторная
|
9
|
18
|
0,6
|
0,16
|
0,1
|
0,03
|
0,1
|
|
Склад запчастей
|
6
|
27
|
0,9
|
0,16
|
0,14
|
0,05
|
0,15
|
|
Ремонтный участок
|
9
|
72
|
0,9
|
0,65
|
0,55
|
0,18
|
0,58
|
|
Агрегатная
|
7
|
108
|
0,9
|
0,76
|
0,65
|
0,21
|
0,68
|
|
Машинный зал
|
13
|
720
|
1
|
9,36
|
8,89
|
2,93
|
9,36
|
|
Бытовка
|
7
|
18
|
0,8
|
0,13
|
0,1
|
0,03
|
0,1
|
|
Обслуживающий персонал
|
9
|
36
|
1
|
0,32
|
0,32
|
0,11
|
0,34
|
|
Начальник смены
|
9
|
18
|
1
|
0,16
|
0,16
|
0,05
|
0,17
|
|
Сварочный пост
|
9
|
24
|
1
|
0,22
|
0,21
|
0,07
|
0,22
|
|
Щитовая
|
7
|
36
|
0,6
|
0,25
|
0,15
|
0,05
|
0,16
|
|
Отопительная
|
7
|
72
|
0,6
|
0,5
|
0,3
|
0,1
|
0,32
|
|
Итого
|
|
|
|
|
11,54
|
3,79
|
12,21
|
Выбор компенсирующего устройства
Повышение коэффициента мощности нагрузки приводит к
уменьшению полной мощности S, а, следовательно, и тока I, протекающего по сети.
Снижается нагрузка линий и трансформаторов, в результате чего в отдельных
случаях изменяются сечения проводов и мощности трансформаторов, что ведет к
уменьшению затрат на сооружение сети.
Коэффициент мощности можно повысить, уменьшая реактивную
мощность, потребляемую электроприемниками, а также путем использования
синхронных компенсаторов и конденсаторов.
Величина потребляемой мощности компенсирующих устройств
находится из выражения:
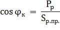
где: Pp - мощность нагрузки, кВт
cosφ - коэффициент мощности.
tgφ - тангенс угла сдвига
фаз, соответствующий коэффициенту мощности до компенсации;
tgφк - тангенс угла сдвига
после компенсации, равен 0,39.
α - коэффициент, вводимый
в расчет с целью учета возможности повышения коэффициента мощности мерами, не
требующими установки компенсирующих устройств, равен 0,9.
Из справочных данных выбираем тип конденсатора и его
параметры:
УКМ 58-0,4-50-10 У3
Определяем количество конденсаторов n, шт., в батарее по
формуле:
Где:
Для низковольтных устройств:
Так как конденсатор УКМ 58-0,4-50-10 У3 регулируемый
выбираем:
;
;
Вычисляем полную нагрузку предприятия с учетом компенсации
Результаты расчета сведены в таблицу 7.
Таблица 7 - Результаты расчета и выбора компенсирующего
устройства
|
Параметр
|
Размерность
|
Значение
|
|
Расчетная активная мощность (Pр)
|
кВт
|
542,96
|
|
Расчетная реактивная мощность до компенсации
(Qр)
|
квар
|
288,52
|
|
Расчетный коэффициент мощности (cos ф)
|
-
|
0,66
|
|
Требуемый коэффициент мощности (cos фк)
|
-
|
0,92-0,95
|
|
Расчетная реактивная мощность КУ (Qку)
|
квар
|
68,4
|
|
Компенсирующее устройство
|
-
|
УКМ 58-0,4-50-10 У3
|
|
Количество батарей
|
шт.
|
2
|
|
Фактическая мощность КУ (Qку.ф)
|
квар
|
30
|
|
Полная нагрузка предприятия с учетом
компенсации (Sр.пр)
|
кВ*А
|
589,09
|
|
|
|
|
Фактическое значение коэффициента мощности
(cosф факт.)
|
-
|
0,92
|
Рисунок 1 - Схемы присоединения конденсаторных установок
Выбор трансформаторов
Силовые трансформаторы являются основным оборудованием
трансформаторной подстанции
Существуют два типа:
повышающий
понижающий
Силовые трансформаторы устанавливают на ГПП, РПС, ПП. В
силовых трансформаторах
Происходит преобразование величины напряжения. Силовые
трансформаторы выбираются с учетом
Из справочных данных выбираем трансформатор ближайшей большей
мощности
Выбираем трансформатор ТМ - 630/0,4 - 2 шт.
Где: 
Таблица 8 - Паспортные данные трансформатора
|
Px.x., Вт
|
Pк.з., Вт
|
Ix.x., %
|
Uк.з., %
|
|
1,31
|
8,5
|
2
|
5,5
|
Определяем коэффициент загрузки выбранного трансформатора
Вычислим потери трансформатора
А) активные потери
Б) реактивные потери
Определим расчетную нагрузку трансформатора с учетом
компенсации, с учетом потерь
Проверим выбранный трансформатор на условия надежности
Эти трансформаторы можно установить на предприятии, так как
оба условия выполняются.
2.3 Расчет сечений питающих линий
Расчет питающих линий для электроснабжения потребителей
сводится к определению необходимых сечений кабеля, которые смогут обеспечить
нормальный режим работы. Выбранные сечения проверяют по потерям напряжения.
Определяем токовые нагрузки для потребителей
, A по формуле:
где:
- Мощность потребителя, питающегося от гибкого
кабеля, кВт;
- напряжение питающей сети для потребителя, кВ;
- коэффициент мощности потребителя (паспортное
значение).
Из справочных материалов (3, табл. 13.29) выбираем марку
кабеля и сечение по ближайшему допустимому значению токовой нагрузки по условию
(
).
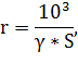
Вычисляем потери напряжения в кабелях ∆U, В:
где:
- значение активного сопротивления на единицу
длины, Ом/км;
- значение индуктивного сопротивления на единицу
длины, принимается 0,08 Ом/км для кабельных линий (по 1, стр. 11), Ом/км;
- расчетное значение токовой нагрузки, А;
- длина кабеля, км;
- коэффициент мощности потребителя;
- значение, соответствующее значению
.
где
- удельная проводимость м/(Ом*мм2);
принимается
м/(Ом*мм2) для алюминиевых проводов;
- сечение проводника, мм2.
Определяем потери напряжения в процентах
,
Потери напряжения не должны превышать 5%.
Пример расчета для потребителя «Кран мостовой»:
Выбираем кабель АВВГ-3х35,
.
Расчеты для остальных потребителей производятся аналогично.
Полученные данные сводим в таблицу 9:
Таблица 9 - Расчет и выбор сечений кабелей
|
|
Наименование потребителя
|
Рн, кВ
|
Uн, кВ
|
cosφ
|
sinφ
|
L, км
|
Iр, A
|
Iдоп, А
|
S, мм2
|
r, Ом
|
x, Ом
|
∆U, В
|
∆U%
|
Марка
|
|
1
|
Вентиляторы
|
10
|
0,4
|
0,8
|
0,6
|
0,023
|
18,06
|
29
|
4
|
8,33
|
0,0092
|
4,79
|
1,2
|
АВВГ-3х4
|
|
2
|
Вентиляторы
|
10
|
0,4
|
0,8
|
0,6
|
0,02
|
18,06
|
29
|
4
|
8,33
|
0,008
|
4,17
|
1,04
|
АВВГ-3х4
|
|
3
|
Сверлильный станок
|
2,8
|
0,4
|
0,5
|
0,87
|
0,015
|
8,09
|
22
|
2,5
|
13,33
|
1,4
|
0,35
|
АВВГ-3х2,5
|
|
4
|
Заточной станок
|
1,8
|
0,4
|
0,5
|
0,87
|
0,02
|
5,2
|
22
|
2,5
|
13,33
|
0,008
|
1,2
|
0,3
|
АВВГ-3х2,5
|
|
5
|
Токарно-револьверный станок
|
25
|
0,4
|
0,85
|
0,53
|
0,02
|
42,5
|
46
|
10
|
3,33
|
0,008
|
4,17
|
1,04
|
АВВГ-3х10
|
|
6
|
Фрезерный станок
|
8,5
|
0,4
|
0,5
|
0,87
|
0,024
|
24,57
|
29
|
4
|
8,33
|
0,0096
|
4,26
|
1,07
|
АВВГ-3х4
|
|
7
|
Круглошлифовальный станок
|
7,8
|
0,4
|
0,5
|
0,87
|
0,023
|
22,54
|
29
|
4
|
8,33
|
0,0092
|
3,74
|
0,94
|
АВВГ-3х4
|
|
8
|
Резьбонарезной станок
|
7
|
0,4
|
0,5
|
0,87
|
0,025
|
20,23
|
22
|
2,5
|
13,33
|
0,01
|
5,84
|
1,46
|
АВВГ-3х2,5
|
|
9
|
Электронагреватели отопительные
|
17,5
|
0,4
|
0,95
|
0,31
|
0,007
|
26,62
|
29
|
4
|
8,33
|
0,0028
|
2,55
|
0,64
|
АВВГ-3х4
|
|
10
|
Электронагреватели отопительные
|
17,5
|
0,4
|
0,95
|
0,31
|
0,011
|
26,62
|
29
|
4
|
8,33
|
0,0044
|
4,01
|
1
|
АВВГ-3х4
|
|
11
|
Электронагреватели отопительные
|
17,5
|
0,4
|
0,95
|
0,31
|
0,015
|
26,62
|
29
|
4
|
8,33
|
0,006
|
5,47
|
1,37
|
АВВГ-3х4
|
|
12
|
Кран мостовой, неподвижная часть
|
28,6
|
0,4
|
0,5
|
0,87
|
0,01
|
82,66
|
95
|
35
|
0,95
|
0,004
|
0,68
|
0,17
|
АВВГ-3х35
|
|
13
|
ЭД вакуумных насосов
|
5
|
0,4
|
0,85
|
0,53
|
0,014
|
8,5
|
35
|
6
|
5,56
|
0,0056
|
0,97
|
0,24
|
АВВГ-3х6
|
|
14
|
ЭД вакуумных насосов
|
5
|
0,4
|
0,85
|
0,53
|
0,017
|
8,5
|
35
|
6
|
5,56
|
0,0068
|
1,18
|
0,3
|
АВВГ-3х6
|
|
15
|
ЭД вакуумных насосов
|
5
|
0,4
|
0,85
|
0,53
|
0,02
|
8,5
|
35
|
6
|
5,56
|
0,008
|
1,39
|
0,35
|
АВВГ-3х6
|
|
16
|
ЭД вакуумных насосов
|
5
|
0,4
|
0,85
|
0,53
|
0,022
|
8,5
|
35
|
6
|
5,56
|
0,0088
|
1,53
|
0,38
|
АВВГ-3х6
|
|
17
|
ЭД вакуумных насосов
|
5
|
0,4
|
0,85
|
0,53
|
0,027
|
8,5
|
35
|
6
|
5,56
|
0,0108
|
1,88
|
0,47
|
АВВГ-3х6
|
|
18
|
Электродвигатели задвижек
|
1,5
|
0,4
|
0,6
|
0,8
|
0,008
|
3,61
|
22
|
2,5
|
13,33
|
0,0032
|
0,4
|
0,1
|
АВВГ-3х2,5
|
|
19
|
Электродвигатели задвижек
|
1,5
|
0,4
|
0,6
|
0,8
|
0,011
|
3,61
|
22
|
2,5
|
13,33
|
0,0044
|
0,55
|
0,14
|
АВВГ-3х2,5
|
2.4 Расчет токов КЗ и выбор аппаратов защиты
Расчет токов КЗ
Коротким замыканием (КЗ) называют всякое случайное или
преднамеренное, не предусмотренное нормальным режимом работы, электрическое
соеденение различных точек электроустановки, при которых токи в ветвях
электроустановки резко возрастают, превышая наибольший допустимый ток
продолжительного режима.
В системе трехфазного переменного тока могут быть замыкания
между тремя фазами, между двумя фазами и однофазные КЗ.
Причинами коротких замыканий могут быть: механические
повреждения изоляции - проколы и разрушения кабелей при земляных работах;
поломка фарфоровых изоляторов; падение опор воздушных линий; старение, то есть
износ, изоляции, приводящее постепенно к ухудшению электрических свойств
изоляции; увлажнение изоляции и другие причины.
Некоторые КЗ являются устойчивыми, условия возникновения их
сохраняются во время бестоковой паузы коммутационного аппарата. Условия
неустойчивых КЗ само ликвидируются во время бестоковой паузы.
Последствия коротких замыканий является резкое увеличение
тока в короткозамкнутой цепи и снижение напряжения в отдельных точках системы.
Дуга, возникшая в месте КЗ, приводит к частичному или полному разрушению
аппаратов, машин и других устройств. Увеличение тока в ветвях электроустановки,
примыкающего к месту КЗ, приводит к значительным механическим воздействиям на
токоведущие части и изоляторы.
Для уменьшения последствия тока КЗ необходимо как можно
быстрее отключить повреждённый участок, что достигается применением
быстродействующих выключателей и релейной защиты с минимальной выдержкой
времени. Все электрические аппараты и токоведущие части должны быть выбраны
таким образом, чтобы исключалось их разрушение при прохождении токов КЗ.
Для расчетов токов КЗ составляется расчетная схема -
упрощенная однолинейная схема электроустановки, в которой учитываются все
источники питания, трансформаторы, воздушные и кабельные линии.
Ток КЗ для выбора токоведущих частей и аппаратов
рассчитывается при нормальном режиме работы электроустановки: параллельное
включение всех источников, параллельная или раздельная работа трансформаторов и
линий, которая зависит от нормального режима работы секционного выключателя на
подстанциях. По расчетной схеме составляется схема замещения, в которой
указываются сопротивления всех элементов и намечаются точки для расчета токов
КЗ.
В данном КП КЗ рассчитывается на высокой стороне
трансформатора, на низкой стороне трансформатора, на самом мощном потребителе и
на самом удаленном потребителе.
Рисунок 2 - Расчетная схема короткого замыкания
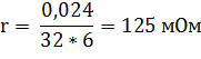
Определим индуктивное и активное сопротивление КЛ
А) Индуктивное сопротивление Х, мОм
где:
,2 мОм
Б) Активное сопротивление r, мОм
где:
Полученные данные сводим в таблицу 9.
Таблица 10 - Значение активного и индуктивного сопротивления
КЛ
|
Наименование точек
|
Xкл, мОм
|
r, мОм
|
|
К1
|
1500
|
9765,63
|
|
К2
|
3000
|
2083,33
|
|
К3
|
7,2
|
125
|
|
К4
|
5,4
|
3,04
|
Рисунок 3 - Схема замещения короткого замыкания
Определим относительное сопротивление трансформатора
А) относительное активное rm, мОм сопротивление
трансформатора
где:
Б) Относительное индуктивное Xm, мОм сопротивление
трансформатора
где:
Активное сопротивление трансформатора
, мОм
Индуктивное сопротивление трансформатора Xт, мОм

Результирующее индуктивное Xрез, мОм, сопротивление
рассчитывается по формуле:
где:
- сумма индуктивных сопротивлений элементов от
места КЗ до питающего трансформатора.
Результирующее активное rрез, мОм, сопротивление
рассчитывается по формуле:
где:
- сумма активных сопротивлений элементов от
места КЗ до питающего трансформатора.
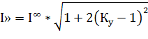
Определим ток
, кА, трехфазного КЗ:
Определим ударный ток Iу.кз, кА, в каждой точке
КЗ:
Определим действующее значение ударного тока I», кА, в каждой точке КЗ:
Полученные данные сводим в таблицу
Таблица 11 - Значения токов короткого замыкания низковольтной
сети
|
Наименование точек
|
I∞, кА
|
I», кА
|
iу.кз, кА
|
|
К1
|
0,585
|
0,608
|
0,993
|
|
К2
|
0,946
|
0,983
|
1,605
|
|
К3
|
1,772
|
1,842
|
3,007
|
|
К4
|
11,523
|
11,975
|
19,555
|
Выбор автоматических выключателей и магнитных пускателей
При эксплуатации электросетей длительные перегрузки проводов
и кабелей, КЗ вызывают повышение температуры токопроводящих жил больше
допустимой.
Это приводит к преждевременному износу их изоляции,
следствием чего может быть пожар, взрыв во взрывоопасных помещениях, поражение
персонала.
Для предотвращения этого линия ЭСН имеет аппарат защиты,
отключающий поврежденный участок.
Аппаратами защиты являются: автоматические выключатели,
предохранители с плавкими вставками и тепловые реле, встраиваемые в магнитные
пускатели.
Автоматические выключатели являются наиболее совершенными
аппаратами защиты, надежными, срабатывающими при перегрузках и КЗ в защищаемой
линии.
Чувствительными элементами автоматов являются расцепители:
тепловые, электромагнитные и полупроводниковые.
Тепловые расцепители срабатывают при перегрузках, электромагнитные
- при КЗ, полупроводниковые - как при перегрузках, так и при КЗ.
Наиболее современные автоматические выключатели серии ВА
предназначены для замены устаревших A37, АЕ, АВМ и «Электрон».
Автоматические выключатели выбираются согласно условиям:
для линии без ЭД - Iн.а.≥ Iн.р.; Iн.р.≥ Iр;
для линии с одним ЭД - Iн.а.≥ Iн.р.; Iн.р.≥ 1,25 Iр;
для групповой линии с несколькими ЭД - Iн.а.≥ Iн.р.; Iн.р.≥ 1,1Iр.
Автоматические выключатели, контакторы, магнитные пускатели и
силовые выключатели выбираются из справочных материалов (перечислены в разделе
«Список литературы»).
Выбираем автоматический выключатель для потребителя «Кран
мостовой»:
Выбираем автоматический выключатель ВА 51-31-1:
;
;
;
.
Выбираем магнитный пускатель ПАЕ-500,
Автоматические выключатели и магнитные пускатели для
остальных потребителей выбираются аналогично. Результаты сведены в таблицу 12:
Таблица 12 - Аппараты защиты
|
Наименование потребителя
|
Iр, A
|
Iн.р.>1.1Iр
|
Тип выключателя
|
Iн.а., А
|
Iн.р., А
|
Iоткл, кА
|
Тип магнитного пускателя
|
Iр, A
|
Iн, А
|
|
Вентиляторы
|
18,06
|
19,866
|
ВА 51-25
|
25
|
20
|
3
|
ПМЕ-200
|
18,06
|
23
|
|
Сверлильный станок
|
8,09
|
8,899
|
ВА 51-25
|
25
|
10
|
2,5
|
ПМЕ-100
|
8,09
|
10
|
|
Заточный станок
|
5,2
|
5,72
|
ВА 51-25
|
25
|
6,3
|
2
|
ПМЕ-100
|
5,2
|
10
|
|
Токарно-револьверный станок
|
42,5
|
46,75
|
ВА 51-31-1
|
100
|
50
|
5
|
ПАЕ-400
|
42,5
|
60
|
|
Фрезерный станок
|
24,57
|
27,027
|
ВА 51-31-1
|
100
|
25
|
3,5
|
ПМЕ-212
|
24,57
|
25
|
|
Круглошлифовальный станок
|
22,54
|
24,794
|
ВА 51-25
|
25
|
25
|
3
|
ПМЕ-200
|
22,54
|
23
|
|
Резьбонарезной станок
|
20,23
|
22,253
|
ВА 51-25
|
25
|
20
|
3
|
ПМЕ-200
|
20,23
|
23
|
|
Электронагреватели отопительные
|
26,62
|
29,282
|
ВА 51-31-1
|
100
|
31,5
|
5
|
ПМЕ-300
|
26,62
|
36
|
|
Кран мостовой, неподвижная часть
|
82,66
|
90,926
|
ВА 51-31-1
|
100
|
100
|
7
|
ПАЕ-500
|
82,66
|
106
|
|
ЭД вакуумных насосов
|
8,5
|
9,35
|
ВА 51-31-1
|
100
|
10
|
3,5
|
ПМЕ-100
|
8,5
|
10
|
|
Электродвигатели задвижек
|
3,61
|
3,971
|
ВА 51-25
|
25
|
4
|
1,5
|
ПМЕ-100
|
3,61
|
10
|
|
Насосные агрегаты
|
693,6
|
763
|
ВА 53-41
|
1000
|
800
|
20
|
ПАЕ-800
|
693,6
|
700
|
|
Щит сигнализации
|
2,22
|
2,442
|
ВА 51-25
|
25
|
2,5
|
1,5
|
ПМЕ-000
|
2,22
|
3
|
|
Дренажные насосы
|
15,17
|
16,687
|
ВА 51-25
|
25
|
16
|
3
|
ПМЕ-200
|
15,17
|
23
|
|
Сварочные агрегаты
|
30,11
|
33,121
|
ВА 51-31-1
|
100
|
31,5
|
5
|
ПМЕ-300
|
30,11
|
36
|
Выбор силового выключателя
Определяем ток трансформатора:
Выбираем силовой выключатель ВММ-10 А-400-10У2
Таблица 13 - Технические характеристики силового выключателя
|
Тип выключателя
|
Uном, кВ
|
Iном, А
|
|
ВММ-10 А-400-10У2
|
10
|
400
|
Выбор распределительных пунктов и шинопровода
Для приема и распределения электроэнергии по группам
потребителей трехфазного тока промышленной частоты напряжением 380 В применяют
силовые распределительные пункты и шкафы. В зависимости от типа пункта или
шкафа на вводе может располагаться рубильник или автоматический выключатель, на
отходящих линиях предохранители или автоматические выключатели.
Выбор силовых шкафов и пунктов выполняют по степени защиты в
зависимости от характера среды в цехе, от его комплектации предохранителями или
автоматическими выключателями.
Номинальный ток распределительного пункта
должен быть больше
расчетного тока
группы приемников.
Таблица 14 - Выбор распределительных пунктов
|
Потребитель
|
Ip, А
|
Распределительный пункт
|
Iном, А
|
|
РП1
|
319,4
|
ПР11-1087-21УЗ
|
400
|
|
РП2
|
534,26
|
ПР11-7123-21УЗ
|
630
|
|
РП3
|
467,43
|
ПР11-7123-21УЗ
|
630
|
По справочнику В.П. Шеховцова (10, табл. 4.2.2.) выбирается
шинопровод ШРА 4-630-32-УЗ (
).
Паспортные данные ШРА 4-630-32-УЗ:
Номинальный ток: 630 А;
Номинальное напряжение: 660 В;
Электродинамическая стойкость ударному току КЗ: 35 кА;
Выбор измерительных трансформаторов
Измерительные трансформаторы предназначены для питания
катушки измерительных приборов, реле, защиты и автоматики, приборов и т.д.
Бывают трансформаторы тока и напряжения.
ТТ - трансформаторы тока, понижает величину измерительного
тока и служит для присоединения к их вторичным обмоткам измерительных приборов
и обмоток токовых реле.
Первичную обмотку выполняют из провода большого сечения и
включают последовательно в цепь. Вторичная обмотка должна либо быть подключена
к измерительным приборам, либо замкнута накоротко.
ТТ изготавливают следующих конструкций: проходные,
катушечные, шинные.
ТН - трансформаторы напряжения, предназначены для включения
обмоток напряжения измерительных приборов и аппаратов защиты.
Это обычный трансформатор небольшой мощности, при напряжении
вторичной обмотки равной 100 В.
ТН изготавливают (до 6 кВ) с воздушным охлаждением, свыше 6
кВ - с масляным.
Номинальные классы точности: 0,5; 1; 1,5; 2,5; 3.
ТТ выбираем по номинальному току и напряжению и проверяем по
электродинамической и термической устойчивости к воздействию токов к.з.
Сопротивление соединительных проводов или жил контрольного
кабеля:
где:
- длина соединения проводов, эту длину можно
принимать от 2,5 ÷ 4 [м];
- [м / Ом*мм2], медь - 57, алюминий -
32;
- сечение соединения проводов или жил кабеля,
допускается 2,5 [м];
Таблица 15 - Приборы измерения и защиты
|
Наименование потребителей
|
Количество приборов
|
Сопротивление обмоток
|
|
|
|
Одного прибора
|
Сумма приборов
|
|
Счетчик активной энергии
|
1
|
0,2
|
0,2
|
|
Счетчик реактивной энергии
|
1
|
0,2
|
0,2
|
|
Амперметр
|
1
|
0,05
|
0,05
|
|
Реле максимального тока
|
1
|
0,1
|
0,1
|
|
Реле мощности
|
1
|
0,3
|
0,3
|
|
Реле указанное
|
1
|
0,02
|
0,02
|
|
ИТОГО
|
|
|
0,87
|
Из таблицы 15:
Zнагр=2 (Zпр+Zр)+Zпер
где:
- сопротивление реле,
;
- сопротивление соединительных проводов,
;
- общее (суммарное) сопротивление,
;
- переходное сопротивление контактов,
.
Zнагр=2 (0,02+0,87)+0,05=1,83
Выбираем ТТ:
ТШЛ - 10 - трансформатор тока, шинный, с линией изоляции, 1
класс.
После расчетов по справочным данным выбираем трансформатор
тока по трем параметрам.
Условие выбора:
Для проверки ТТ по электродинамической стойкости при действии
токов к.з определяется расчетным коэффициентом динамической стойкости, который
должен быть меньше кратности допустимого тока динамической стойкости:
где:
- расчетное значение кратности дополнительного
тока электродинамической стойкости;
- ударный ток короткого замыкания [А];
- номинальный ток первичной обработки
трансформатора тока, принятого к установке [А];
Выбор ТН производится по номинальному напряжению первичной
цепи и классу точности в зависимости от напряжения приборов включенных во
вторичную обмотку, по роду установок.
Соответствие классу точности проверяют путем сопоставления
номинальной нагрузки вторичной цепи с расчетной. Суммарная вторичная нагрузка
ТН определяется:
Таблица 16 - Выбор трансформатора напряжения
|
Наименование приборов
|
Количество, шт
|
Потребители
|
cСos φ
|
∑P, Вт
|
∑Q, Вар
|
|
|
1 приб. S, В*А
|
Сумма S, В*А
|
|
|
|
|
Счетчик активной энергии
|
1
|
1,5
|
1,5
|
0,38
|
0,57
|
0,53
|
|
Счетчик реактивной энергии
|
1
|
1,5
|
1,5
|
0,35
|
0,52
|
0,5
|
|
Ваттметр
|
1
|
1,5
|
1,5
|
0,41
|
0,62
|
0,56
|
|
Вольтметр
|
1
|
0
|
0
|
1
|
0
|
-
|
|
Реле напряжения
|
1
|
15
|
15
|
1
|
15
|
-
|
|
Промежуточное реле
|
1
|
8
|
8
|
1
|
8
|
-
|
|
Реле времени
|
1
|
20
|
20
|
1
|
20
|
|
Реле мощности
|
1
|
35
|
35
|
0,48
|
16,8
|
14,8
|
|
Отключающаяся катушка
|
1
|
30
|
30
|
1
|
30
|
-
|
|
ИТОГО
|
1
|
|
|
|
94,11
|
16,28
|
Для расчета таблицы 16:
Из таблицы:
Выбираем ТН:
НТМН - 6 - трансформатор напряжения, трехфазный, масляный,
для контроля изоляции 6 кВ.
Условия выбора:
Трансформатор напряжения будет надежно работать в выбранном
классе точности.
Расчет заземления
Сопротивление заземляющего устройства для сети на 0,4 кВ с
глухозаземлённой нейтралью должно быть не более 4 Ом. Принимаем наименьшее
сопротивление заземляющего устройства при общем заземлении
. Рекомендуемое удельное
сопротивление грунта принимаем
из (7, табл. 48). Расчетное удельное
сопротивление грунта рассчитывается по формуле:
где
- удельное сопротивление грунта соответствующее
среднему значению (грунт средней влажности).
Выбираем в качестве заземлителей прутковые электроды длиной
. Сопротивление
одиночного пруткового электрода
Принимаем размещение заземлителей в ряд с расстоянием между
ними
.
Число заземлителей:
где
(по 5, табл. 7.1).
3. Составление
ведомостей монтируемого ЭО
Составляем ведомость монтируемого
оборудования для дальнейших экономических расчетов и для производства в
дальнейшем электромонтажных работ
Таблица 17 - Ведомость монтируемого
оборудования
|
№№
|
Наименование электрооборудования
|
Тип, марка оборудования
|
Кол-во
|
|
п\п
|
|
|
|
|
1
|
Трансформатор
|
ТМ 630 - 10 / 04
|
2
|
|
2
|
Конденсаторы
|
УКМ 58-0,4-50-10 У3
|
2
|
|
3
|
Вентиляторы
|
|
2
|
|
4
|
Сверлильный станок
|
|
1
|
|
5
|
Заточной станок
|
|
1
|
|
6
|
Токарно-револьверный станок
|
|
1
|
|
7
|
Фрезерный станок
|
|
1
|
|
8
|
Круглошлифовальный станок
|
|
1
|
|
9
|
Резьбонарезной станок
|
|
1
|
|
10
|
Электронагреватели отопительные
|
|
3
|
|
11
|
Кран мостовой
|
|
1
|
|
12
|
ЭД вакуумных насосов
|
|
5
|
|
13
|
Электродвигатели задвижек
|
|
5
|
|
14
|
Насосные агрегаты
|
|
5
|
|
15
|
Щит сигнализации
|
|
1
|
|
16
|
Дренажные насосы
|
|
2
|
|
17
|
Сварочные агрегаты
|
|
2
|
|
18
|
Распределительный пункт
|
ПР11-1087-21УЗ
|
3
|
|
19
|
Распределительный пункт
|
ПР11-7123-21УЗ
|
2
|
|
20
|
Распределительный шинопровод
|
ШРА 4-630-32-УЗ
|
2
|
|
21
|
Щит освещения
|
|
1
|
|
22
|
Кабели
|
АВВГ
|
|
|
23
|
Кабели гибкие
|
КГ
|
|
|
24
|
Автоматические выключатели
|
ВА
|
20
|
|
25
|
Магнитные пускатели
|
ПМЕ, ПАЕ
|
17
|
|
26
|
Силовой выключатель
|
ВММ-10 А-400-10У2
|
2
|
4.
Экономическая
часть
На предприятии экономия электроэнергии может быть получена
путем выполнения следующих основных мероприятий: выбор наиболее экономичных
схем электроснабжения предприятия в целом, и отдельных энергоемких
потребителей; выбор и соблюдение режимов работы основного технологического,
энергетического и электротехнического оборудования; переход на более
прогрессивное оборудование и проведение комплекса подготовительных работ;
внедрение в производственные процессы средств автоматики и телемеханики;
подержание оптимальных значений реактивной мощности задаваемых предприятиями
электроснабжающими организациями.
В экономической части необходимо произвести следующие
расчеты:
) Расход электроэнергии;
) Стоимость электроэнергии;
. Суточный расход активной энергии:
где:
- расчетная активная мощность, кВт.
- количество часов работы потребителя в сутки, ч
. Суточный расход реактивной энергии:
где:
- расчетная реактивная мощность, квар.
Выполним расчет электроэнергии для потребителя «Кран
мостовой»:
) Суточный расход активной энергии для потребителя:
) Суточный расход реактивной энергии:
Для остальных потребителей расчет расхода электроэнергии
производится аналогично. Результаты сводим в таблицу 18:
Таблица 18 - Суточные расходы электроэнергии
|
Потребители
|
Pр, кВт
|
Qр, квар
|
t, час
|
Wа, кВт*ч
|
Wр, квар*ч
|
|
Вентиляторы
|
12
|
9
|
24
|
288
|
216
|
|
Сверлильный станок
|
0,39
|
0,68
|
24
|
9,36
|
16,32
|
|
Заточной станок
|
0,25
|
0,43
|
24
|
6
|
10,32
|
|
Токарно-револьверный станок
|
4,25
|
7,35
|
24
|
102
|
176,4
|
|
Фрезерный станок
|
1,19
|
2,06
|
24
|
28,56
|
49,44
|
|
Круглошлифовальный станок
|
1,09
|
1,89
|
24
|
26,16
|
45,36
|
|
Резьбонарезной станок
|
0,98
|
1,7
|
24
|
23,52
|
40,8
|
|
Электронагреватели отопительные
|
39,4
|
12,9
|
24
|
945,6
|
309,6
|
|
Кран мостовой
|
1,43
|
2,47
|
24
|
34,32
|
59,28
|
|
ЭД вакуумных насосов
|
20
|
17
|
24
|
480
|
408
|
|
Электродвигатели задвижек
|
0,9
|
0,54
|
24
|
21,6
|
12,96
|
|
Насосные агрегаты
|
1170
|
877,5
|
24
|
28080
|
21060
|
|
Щит сигнализации
|
0,72
|
0,56
|
24
|
17,28
|
13,44
|
|
Дренажные насосы
|
11,76
|
8,8
|
24
|
282,24
|
211,2
|
|
Сварочные агрегаты
|
1
|
1,33
|
24
|
24
|
31,92
|
|
Освещение
|
11,54
|
3,79
|
24
|
276,96
|
90,96
|
|
Итого
|
|
|
|
30645,6
|
22752
|
5. Монтаж
электрооборудования
.1 Виды электропроводок
Электрическая энергия к электроприемникам подводится по
проводникам, к которым относятся провода, кабели, шины, шинопроводы и
токопроводы. Совокупность проводников с относящимися к ним креплениями,
поддерживающими и защитными конструкциями и деталями называют электропроводкой.
По способу выполнения электропроводка может быть открытой, если она проложена
по поверхности стен и потолков, по балкам и фермам, и скрытой, если она
проложена внутри конструктивных элементов зданий или сооружений (в полах,
перекрытиях, стенах, каналах и т.п.). Электропроводка может быть стационарной,
переносной, передвижной; может быть временной и постоянной.
По месту расположения электропроводка может быть внутренняя,
т.е. проложенная внутри зданий, помещений и сооружений, и наружная, т.е.
проложенная по наружным стенам зданий и сооружений или между ними, под
навесами, а также на опорах, установленных вне улиц, дорог и т.п.
Вводом от воздушной линии электропередачи называется
электропроводка, соединяющая ответвление от воздушной линии электропередачи с
внутренней электропроводкой, считая от изолятора, установленного на наружной
поверхности (стене, крыше) здания или сооружения, до зажимов вводного
устройства внутри здания (рис. 3). Ответвление от воздушной линии (ВЛ) к вводу
в здание при напряжении до 1000 В не является наружной электропроводкой и
относится к ВЛ, а выполняется изолированным проводом.
Внутренняя открытая электропроводка может выполняться
открытой и скрытой. Внутренняя открытая проводка может быть струнной, если
несущим элементом является стальная проволока (струна), или металлическая
полоса, закрепленные вплотную к несущей поверхности (стене, потолку), и
предназначенные для крепления к ним проводов, кабелей, или их пучков; тросовой,
когда провода, кабели или их пучки крепятся к стальной проволоке или канату,
натянутым в воздухе. Проводки могут быть в коробах, представляющих собой
закрытую полую конструкцию прямоугольного или круглого сечения, предназначенную
для прокладки в них проводов и кабелей, или в лотках, изготовляемых из
несгораемых материалов, а также в стальных или пластмассовых трубах.
Скрытая электропроводка выполняется в трубах, гибких
металлических рукавах, коробах, замкнутых каналах и пустотах строительных
конструкций, в заштукатуренных бороздах, под штукатуркой, а также помещается в
строительные конструкции при их изготовлении.
Открытую электропроводку выполняют проводами, кабелями и
токопроводами, под которыми понимают устройства, состоящие из неизолированных
или изолированных проводников и относящихся к ним изоляторов, защитных
оболочек, ответвительных устройств, поддерживающих и опорных конструкций. Они
могут быть гибкие (из проводов) и жесткие (из жестких шин).
Жесткий токопровод напряжением до 1000 В заводского
изготовления, поставляемый комплектными секциями, называют шинопроводом. В
зависимости от назначения их подразделяют на магистральные, распределительные,
троллейные и осветительные.
Изолированные провода подразделяют на защищенные и
незащищенные. Защищенные провода поверх электрической изоляции имеют оболочку
для предохранения от механических повреждений.
5.2 Монтаж кабельных линий
Общие сведения. Основной источник электроэнергии промышленных
предприятий - это электрические станции, объединенные в энергетические системы.
Электрическая энергия от источника подаётся к потребителям, как правило, с
помощью линий электропередач (ЛЭП). Питание подстанций осуществляет чаще всего
воздушными и кабельными линиями; питание РУ - по кабельным линиям, токопроводам
и шинопроводам. При питании подстанций по радиальным кабельным линиям
осуществляется непосредственное, без отключающих аппаратов, присоединение
питающего кабеля 6-10 кВ к трансформатору. Для передачи электроэнергии в сетях
внутреннего электроснабжения наряду с кабельными линиями широкое
распространение получили шинопроводы, прокладываемые по шинным тоннелям или
подземным галереям.
Способы выполнения сетей. Распределительные сети системы
электроснабжения, прокладываемые по территории предприятий могут представлять
собой воздушные и кабельные линии, шинопроводы, токопроводы, СИП, а также
силовые и осветительные сети, проложенные установочными проводами.
Воздушные линии (ВЛ-см. ранее, стр. 43-55) широко применяют в
питающих и распределительных сетях 220-6 кВ при соответствующих условиях
окружающей среды, трассы. Для воздушных линий используют в основном голые
многопроволочные провода. В качестве опор для воздушных линий применяют:
промежуточные, анкерные, угловые, концевые, транспозиционные и специальные
опоры.
Кабельные линии до недавнего времени применялись
преимущественно в сетях до 1000 В, 6 - 10 кВ и реже 35 кВ. Однако в последнее
время из экономических соображений шире стали применять силовые кабели
напряжением 110-220 кВ и выше. Кабель состоит из следующих основных элементов:
многопроволочная или цельная токоведущая жила, фазовая изоляция, наполнитель,
экраны из проводящих или полупроводящих материалов, оболочка, бронепокров
(броня), наружный защитный покров. Жилы кабелей изготавливаются из медных или
алюминиевых проволок. Изоляция жил - из пропитанной бумаги, резины, силикона,
пластмассы, полиэтилена, а также из нового материала - сшитого полиэтилена
(СПЭ). В зависимости от назначения и марки кабеля оболочки изготовляют из
свинца, алюминия, поливинилхлорида, полиэтилена и специальной резины. От
механических повреждений кабели защищают резиновым шлангом или бронёй из
стальных оцинкованных лент или проволок, защищённых от коррозии пропитанной
пряжей. Между оболочкой и бронёй имеется защитная подушка из СПЭ, битумного
состава, пропитанной бумаги или пряжи. Экраны изготавливают из металлических
проволок, фольги, полупроводящих полимерных и металлополимерных материалов.
В зависимости от условий кабели прокладывают в траншеях или в
кабельных сооружениях: туннелях, эстакадах, галереях, каналах. Кабельные
сооружения должны предусматривать 20%-ый резерв для прокладки дополнительных
кабелей. Кабельные линии, предназначенные для питания электроприёмников первой
категории, прокладывают по отдельным, изолированным друг от друга трассам.
При прокладке кабельных трасс по возможности используют
существующие технологические, водо-, тепло- и воздухокоммуникации, стены
зданий, лотки, межферменные пространства, натянутые между зданиями троса.
Кабельные сооружения по степени пожароопасности относятся к
категории В и выполняются из несгораемых материалов.
Токопроводы используют при концентрированном расположении
нагрузок и большом числе часов использования максимума нагрузки. При этом
дефицитные кабели 6, 10 и 35 кВ заменяют неизолированными алюминиевыми шинами
или проводами. Повышается надежность питания, упрощается эксплуатация,
повышается способность к перегрузке. К недостаткам токопроводов следует отнести
высокую стоимость строительной части, их реактивность, вносимую строительными и
крепящими конструкциями, которая приводит к дополнительным потерям в
токопроводе и снижению напряжения у потребителя, необходимость резервирования,
так как аварии на токопроводе сказываются на большом числе потребителей.
Шинопроводы применяют для межцеховых (напряжением 6 -35 кВ) и
цеховых (на напряжения до 1000 В) магистралей. Шинопроводы для межцеховых
магистралей чаще всего изготовляют из алюминиевых шин, размещенных в общем
алюминиевом круглом кожухе.
Закрытые шинопроводы устанавливают на любой высоте,
защищенные - на высоте не менее 2,5 м от пола. Применяют также открытые
шинопроводы, выполняемые голыми шинами, проложенными по изоляторам,
закрепленным на кронштейнах и траверсах нижнего пояса ферм, стен, колонн на
высоте не ниже 3,5 м от пола.
Установочные провода широко применяют наряду с шинопроводами
и кабелями для подключения двигателей, выполнения схем управления и
осветительных ceтей. Установочные провода прокладывают открыто (в лотках и
желобах) и в газовых трубах. Прокладка в газовых трубах обеспечивает надежную
защиту проводов от механических воздействий, допустима в помещениях с любой
характеристикой среды и выполняется в любом месте: в бороздах в полу, по стенам
и потолкам (открыто и скрыто), по металлическим конструкциям зданий и
технологического оборудования). Провода с алюминиевыми жилами нельзя применять
при прокладке по конструкциям, подверженным сотрясениям и ударам. Если имеется
возможность воздействия на провода масел и их паров, то провода ППВ и АППВ
прокладываются в трубах. Эти провода используют также для скрытой проводки
осветительных сетей.
Подготовительные работы при прокладке КЛ. До начала монтажных
работ по прокладке КЛ составляется проект трассы, который должен быть
согласован со всеми заинтересованными организациями. На место монтажа кабель
поставляется на кабельных барабанах. Строительная длина кабеля на барабане
составляет 200…2000 м в зависимости от марки, количества и сечения жил кабеля,
внешнего диаметра кабеля и размера барабана. Для разгрузки кабельных барабанов
должны использоваться автокраны или специальные транспортные средства -
кабельные транспортеры.
При прокладке КЛ в земле (в траншеях, трубах, блоках)
предварительно оформляется разрешение на проведение раскопок и выполняется
разметка кабельной трассы. При пересечении кабельной трассой других подземных
коммуникаций выполняются согласования будущих пересечений с организациями,
эксплуатирующими эти коммуникации.
Для предотвращения повреждения пересекаемых подземных
коммуникаций вручную роются шурфы для обнаружения этих коммуникаций. Работы выполняются
в присутствии представителя организации, эксплуатирующей пересекаемые
коммуникации.
При открытой прокладке кабеля проверяются кабельные
сооружения, производственные помещения и установленные в них опорные
конструкции для кабелей.
В зависимости от типа изоляции кабеля устанавливаются
наибольшие допустимые разности уровней кабельной трассы. Для кабелей с бумажной
пропитанной изоляцией эта разность уровней составляет от 5 до 15 м, для кабелей
с резиновой, пластмассовой и СПЭ-изоляцией разность уровней не ограничена.
Перед монтажом производится осмотр кабеля на барабанах. Не
должно быть наружных механических повреждений, оба конца кабеля на барабане
должны быть герметично заделаны. По результатам осмотра кабеля составляется
соответствующий акт.
Прокладка кабелей. Питание основных электроприемников и
потребителей собственных нужд стационарных и передвижных установок
осуществляется в основном кабельными и воздушными линиями. Поэтому кабельные
линии широко используются в промышленных сетях и бытовых электроустановках. По
сравнению с воздушными линиями кабельные линии дороже, в них труднее определять
места повреждений и производить ремонт, однако КЛ не занимают или занимают
значительно меньше места на территориях предприятий и населенных пунктов, кроме
этого, есть места, где прокладка ВЛ невозможна или недопустима.
При проектировании кабельной сети необходимо
руководствоваться основными требованиями: обеспечение минимальных расстояний от
источника питания до потребителя, соблюдение сохранности кабеля от механических
повреждений, вибраций, коррозии, хищения; укладка кабеля с запасом 5-10% по
длине для компенсации температурных деформаций и возможных смещений почвы;
выполнение требования допустимых радиусов изгиба кабелей согласно нормам;
недопустимость превышения разности уровней по трассе для бронированных и
небронированных кабелей в свинцовой или алюминиевой оболочке при вязкой
пропитке изоляции 15-25 м, при обедненной пропитке - 100 м, (при нестекающей
пропитке и для кабелей с резиновой и пластмассовой изоляцией - без
ограничений); обеспечение защиты от блуждающих токов.
На поверхности кабели прокладываются в траншеях, каналах,
трубах, на эстакадах, в коллекторах, по металлоконструкциям, иногда -
подвешиваются на тросах. В подземных условиях-по стенкам и по кровле выработок,
на гибких и жестких подвесах, в скважинах вместе с несущим тросом, в каналах.
При использовании траншей наименьшая глубина заложения
кабелей напряжением до 20 кВ составляет 0,7 м; до 35 кВ - 1 м; при пересечениях
с дорогами, тротуарами - 1 м; при вводах в здание - 0,6 м.
В местах пересечений и сближений трассы с дорогами,
подземными коммуникациями и сооружениями кабели прокладываются в трубах. Дно
траншей посыпается песком, затем укладываются кабели, затем опять слой песка,
затем кирпичи и просеянный грунт.
При пересечении и сближении кабельной трассы с
электрифицированными железными дорогами и трамвайными путями во избежание
действия блуждающих токов на кабели необходимо применять трубы из изолирующих
материалов (керамические, пропитанные гудроном или битумом, асбоцементные,
пластмассовые). Внутренний диаметр труб принимают не менее 1,5 наружного
диаметра кабеля, а для кабелей с однопроволочными алюминиевыми жилами - не
менее двукратного диаметра. Наименьший допускаемый диаметр труб - 50 мм при
длине трубопровода до 5 м, 100 мм - при большей длине. Для защиты от скопления
в трубах воды их укладывают прямолинейно по выровненному и утрамбованному дну
траншеи с уклоном не менее 0,2%.
При прокладке кабелей с пересечением они отделяются слоем
земли не менее 500 мм, если в местах пересечений кабели помещаются в
огнестойкие трубы, то расстояние между ними уменьшается до 250 мм. При этом
кабели более низкого напряжения располагаются на нижнем уровне.
Кабельная линия должна быть удалена от стволов деревьев на
расстояние не менее 2000 мм, от фундаментов зданий при параллельной прокладке -
не менее 600 мм., от габаритов ВЛ - не менее 1000 мм.
Виды кабельных сооружений. К кабельным сооружениям относятся
кабельные коллекторы, каналы, туннели, блоки, эстакады. Подземное сооружение,
предназначенное для общего размещения кабельных линий, теплопроводов и
водопроводов, называется коллектором. Внутриквартальные коллекторы сооружают
рядом с техническими подпольями жилых и общественных зданий. При прокладке
кабельных линий в одном сооружении параллельно друг другу расстояние между
силовыми, а также между силовыми и контрольными кабелями должно быть не менее
100 мм. При наличии в канале кабельной муфты расстояние от нее до ближайших
кабелей должно быть не менее 250 мм.
Закрытое и заглубленное (частично или полностью) в грунт или
пол непроходное сооружение, предназначенное для размещения в нем кабелей,
укладку, осмотр и ремонт которых можно производить лишь при снятом перекрытии,
называется кабельным каналом
Прокладка кабелей в каналах применяется внутри и вне
помещений стационарных установок, цехов и зданий. В лотковых и сборных
железобетонных каналах кабели могут укладываться на дне канала, на полках или
подвесах с одной или двух сторон канала.
Закрытое подземное сооружение (коридор) с расположенными в
нем опорными конструкциями для размещения на них кабелей и кабельных муфт,
позволяющее производить прокладку кабелей, ремонты и осмотры кабельных линий со
свободным проходом по всей длине, называется кабельным туннелем. При прокладке
между туннелями, колодцами и коллекторами применяются механизмы, например,
задувочная машина. Для механизации при прокладке в траншеях кабель сматывается
с барабана с помощью кабельного транспортера.
Сооружение с трубами (каналами) для прокладки в них кабелей с
относящимися к нему колодцами называется кабельным блоком. Кабельные блоки
сооружают из железобетонных панелей длиной 6 м с двумя, тремя каналами внутри,
асбоцементных безнапорных труб диаметром 100 мм, керамических труб диаметром
150 мм. Составными элементами блочной прокладки кабелей являются блоки и
колодцы.
Надземное или наземное открытое горизонтальное или наклонное
протяженное кабельное сооружение называется кабельной эстакадой. Кабельная
эстакада может быть проходной или непроходной.
Полностью или частично закрытая эстакада называется кабельной
галереей.
Подземное сооружение, предназначенное для общего размещения
кабельных линий, теплопроводов и водопроводов, называется коллектором.
Внутриквартальные коллекторы сооружают рядом с техническими подпольями жилых и
общественных зданий.
Для обеспечения эксплуатации коллектора, контроля за
температурой воздуха в нем, работой вентиляционных и насосных установок,
автоматическое управление осуществляют с диспетчерского пункта, оборудованного
телефонной связью, сигнализацией и дистанционным включением.
В населенных пунктах и на территории промышленных площадок
нецелесообразно применять траншейную прокладку кабелей в связи с наличием
асфальтированных или бетонных дорог, тротуаров, других коммуникаций. Здесь
рекомендуется применять подземные сооружения (проходные или полупроходные
коллекторы, каналы), позволяющие эксплуатировать линии без нарушения дорожных
покрытий. При использовании проходных коллекторов, несмотря на их высокую
стоимость, осмотр и ремонт кабельных линий не представляет сложности и не
создает проблем для хозяйственной деятельности.
При пересечении кабеля с трубопроводами водопровода и
канализации расстояние между ними должно быть не менее 500 мм, с газопроводами
1000 мм, с теплопроводами - 2000 мм, с осью не электрифицированной
(электрифицированной) железной дороги - 3250 (10750) мм, с автомобильной
дорогой (со стороны кювета) - 1000 мм.
Вне зданий кабельные каналы над съемными плитами засыпаются
слоем земли не менее 300 мм. В помещениях каналы оставляются открытыми или
закрываются съемными несгораемыми плитами, в том числе металлическими листами.
Силовые кабели в каналах засыпаются песком лишь во взрывоопасных помещениях для
герметизации помещений.
При прокладке кабеля используются стальные, асбоцементные,
керамические и пластмассовые трубы. Трубы используют на прямолинейных участках
длиной не более 40 м и на вводах в здания. Для кабельной линии, проложенной в
земле, допускается ее заключение в трубы на общую длину не более 40 м при наличии
до трех переходов, при этом длина одного перехода допускается до 20 м. Для труб
с пластмассовым покровом ее диаметр должен составлять 2-кратный наружный
диаметр кабеля, для остальных видов труб - 1,5-кратный. Соединение проводников
внутри труб не допускается. При протаскивании кабеля в трубы необходимо
соблюдать усилия тяжения и использовать механические устройства, разгружающие
кабель от механических нагрузок.
5.3 Монтаж осветительного оборудования
Для питания светильников общего освещения применяют
напряжение не свыше 380/220 В переменного тока при заземленной нейтрали и не
свыше 220 В переменного тока при изолированной нейтрали. В помещениях без
повышенной опасности указанное напряжение 220 В допускается для всех
стационарных светильников вне зависимости от высоты их установки.
Питание специальных ламп (ксеноновых, ДРЛ, ДРИ, ДКсТ,
рассчитанных на напряжение 380 В) и пускорегулирующих аппаратов (ПРА) для
газоразрядных ламп, имеющих специальные схемы (например, трехфазные) с
последовательным соединением ламп, применяют напряжение не свыше 380 В, включая
и фазное напряжение системы 660/380 В с заземленной нейтралью. Ввод в
светильник и пускорегулирующую аппаратуру выполняют проводом или кабелем с
медными жилами и изоляцией, рассчитанной на напряжение не менее 660В; при этом
обеспечивается одновременное отключение всех фазных проводов, вводимых в
светильник.
В помещениях с повышенной опасностью и особо опасных ввод в
светильник двух или трех проводов разных фаз системы 660/380 В не допускается.
В таких помещениях светильники общего освещения с любыми лампами при высоте
установки над полом или площадкой обслуживания менее 2,5 м применяют такой
конструкции, при которой доступ к лампе без применения инструмента невозможен.
Ввод в светильник выполняется в металлических трубах, металлорукавах или в
защитных оболочках проводов и кабелей, либо для питания светильников применяют
лампы накаливания на напряжение не свыше 42 В.
Это требование не распространяется на светильники в
электропомещениях, а также на светильники, обслуживаемые с кранов или площадок,
посещаемых только квалифицированным персоналом. При этом расстояние от
светильников до настила тележки крана должно быть не менее 1,8 м или
светильники должны быть подвешены не ниже нижнего пояса ферм перекрытия, а
обслуживание этих светильников с кранов должно выполняться с соблюдением
требований техники безопасности.
Светильники с люминесцентными лампами на напряжение 127-220В
допускается устанавливать на высоте менее 2,5 м от пола при условии
недоступности их токоведущих частей для случайных прикосновений. В виде
исключения групповые линии рабочего и аварийного освещения прокладывают
проводами и кабелями с изоляцией на напряжение не ниже 660 В в одном коробе,
используемом для установки светильников с люминесцентными лампами; при этом не
допускается возможность их взаимного соприкосновения и крепление к общему тросу
с расстоянием между ними в свету не менее 20 мм.
В двухпроводных, трехпроводных, четырехпроводных и
пятипроводных линиях однофазных и трехфазных систем с заземленной нейтралью
выключатели устанавливают только в цепи фазного провода. Установка
предохранителей, автоматов, выключателей в нулевых рабочих проводах
запрещается.
Заземление или зануление корпусов светильников общего
освещения с лампами накаливания и с газоразрядными лампами с встроенными внутрь
светильника пуско-регулирующими аппаратами осуществляют в сетях с заземленной
нейтралью при вводе в светильник кабеля, защищенного провода, незащищенных
проводов в трубе или металлорукаве. Заземление можно выполнять также скрыто без
труб как исключение, а также ответвлением от нулевого рабочего провода внутри
светильника, а при вводе в светильник открытых незащищенных проводов - гибким
изолированным проводом, присоединяемым к заземляющему винту корпуса светильника
и к рабочему нулевому проводу у ближайшей к светильнику неподвижной опоры или
коробки. Заземление или зануление корпуса светильников общего освещения с
лампами ДРЛ, ДРИ, натриевыми и люминесцентными (с вынесенными
пускорегулирующими аппаратами) осуществляют с помощью перемычки между
заземляющим винтом заземленного (зануленного) пускорегулирующего аппарата и
заземляющим винтом светильника. При монтаже новых проводок необходимо разделять
нулевой N
и заземляющий РЕ проводники. Выключатель ставится в фазном проводнике
Металлические отражатели светильников, укрепленные на
корпусах из изолирующих материалов, заземлять или занулять не требуется. Для
облегчения монтажа осветительных установок заводы изготовляют электромонтажные
изделия, позволяющие свести работы по монтажу выключателей, штепсельных розеток
и светильников лишь к креплению готовых конструкций к строительным элементам
зданий.
При строительстве зданий, особенно крупнопанельных, в них,
как правило, предусматривают все отверстия, ниши и закладные части для
установки осветительного оборудования и прокладки осветительных сетей. Так,
выключатели и штепсельные розетки при скрытой проводке устанавливают в готовых
нишах, коробах или стаканах, с креплением с помощью шурупов, винтов или
имеющихся на них распорных лапок. Надплинтусные штепсельные розетки и
потолочные выключатели имеют металлические основания, их устанавливают
непосредственно на стене. Выключатели и штепсельные розетки для открытой
проводки, потолочные и настенные ламповые патроны, а также потолочные и
настенные светильники с лампами накаливания (за исключением имеющих специальные
основания) устанавливают на деревянных розетках с помощью шурупов.
Подвесные светильники укрепляют к перекрытиям на крюках. В
соответствии с требованиями правил к подвеске светильников с металлическими
корпусами в жилых и общественных зданиях конец крюка необходимо изолировать. К
стенам, колоннам и фермам подвесные светильники крепят с помощью различного
вида кронштейнов, стоек, обхватов и подвесов. При однорядном и двухрядном
подвесе люминесцентных светильников на тросах, под перекрытиями и у стен для
прокладки проводов применяют стальные короба.
Двухметровые секции коробов соединяют между собой в
непрерывную линию и крепят к перекрытию, стене или к тросу с помощью кронштейнов,
скоб и подвесов.
Для освещения производственных помещений с взрывоопасными
условиями можно применять комплектные осветительные устройства со щелевыми
световодами (КОУ). Они состоят из щелевого световода, камеры с источниками
света, пускорегулирующего аппарата (ПРА), торцового переходного элемента.
Щелевой световод представляет собой цилиндрическую трубу, внутренняя
поверхность которой по всей длине покрыта зеркальным отражающим слоем, и
оптическую щель, через которую световой поток выходит наружу. КОУ изготовляют
для производственных помещений с тяжелыми условиями среды (пыль, влага). Во
взрывоопасных зонах классов B-Iб и B-IIa камеры с источником света устанавливают непосредственно в
освещаемом помещении, в производственных помещениях со взрывоопасными зонами
классов B-I, В-Iа и B-II камеры выносят за
пределы помещений и соединяют с помощью герметизированных переходных элементов
со световодами. Таким образом, КОУ обеспечивают создание высококачественного и
безопасного освещения, прежде всего во взрыво- и пожароопасных помещениях, а
также целый ряд экономических и эксплуатационных преимуществ.
Монтаж КОУ сводится к подвеске световода и установке камеры
света и ПРА на стене или конструкциях. Во взрывоопасных помещениях камеры с
источником света и ПРА устанавливают вне этих помещений и соединяют со ЩС
переходным элементом так, чтобы была исключена возможность попадания
взрывоопасных смесей в камеру с источниками света, в ту ее часть, где возможно
искрообразование. Так как КОУ в настоящее время находится в процессе внедрения,
работы эти следует выполнять в строгом соответствии с действующими временными
инструкциями.
Осветительные щиты и щитки, вводные шкафы и распределительные
пункты представляют собой законченное комплексное устройство, монтаж которого сводится
лишь к установке их на соответствующее место. Собранные в мастерских блоки
щитков поступают на монтажную площадку в полностью законченном виде:
окрашенные, с надписями и укомплектованные вспомогательными материалами.
Монтаж распределительных устройств, щитов или шкафов состоит
из разметки, установки и выверки рамы, установки на раму блоков щита,
состоящего из отдельных панелей или секций, соединения блоков между собой и
закрепления их на раме, подключения проводов и кабелей и заземления.
Щиты, вводные устройства и щитки устанавливают по отвесу или
уровню строго вертикально. Расстояние от трубопроводов должно быть не менее 0,5
м. При установке в нишах этажные и квартирные щитки закрепляют распорными
болтами, предусмотренными конструкцией щитков, или на закладных деталях. При
установке щитков выдерживают расстояние от оголенных, находящихся под
напряжением частей, до заземленных металлических нетоковедущих частей не менее
чем 20 мм по поверхности изоляции и 12 мм по воздуху. Щитки и пункты снабжают надписями,
указывающими номер щитка, назначение и номер каждой линии в соответствии со
схемой и планом электрической сети. Щитки, на которых размещают приборы и
провода, принадлежащие к установкам переменного и постоянного токов или разных
напряжений, должны иметь четкие надписи и расцветку, обеспечивающие возможность
легкого распознания их принадлежности к этим установкам.
5.4 Монтаж защитного заземления
Под заземлением (любой части электроустановки) понимают
преднамеренное электрическое соединение с заземляющим устройством, состоящим из
заземлителя и заземляющих проводников. Заземлители подразделяют на естественные
и искусственные. В качестве естественных заземлителей используют проложенные в
земле водопроводные и другие металлические трубопроводы (кроме трубопроводов с
горючими пли взрывоопасными газами и жидкостями), металлические конструкции
зданий и сооружений, имеющие соединение с землей, броня и свинцовые оболочки
кабелей и т.п. В качестве искусственных заземлителей применяют отрезки стальных
труб с толщиной стенок не менее 2,5-3,5 мм, круглой стали диаметром не менее 6
мм и металлические пластины.
В соответствии с требованием ПУЭ во всех электроустановках
напряжением до 1000 В и выше для обеспечения безопасности людей к заземляющим
устройствам присоединяют корпуса электрооборудования и отдельные элементы
электроустановок, не находящиеся под напряжением, а также все металлические
корпуса другого оборудования. Кроме того, устройство заземления необходимо для
обеспечения определенного режима работы электрических установок в нормальных и
аварийных условиях. Цель защитного заземления - уменьшение напряжения на
заземленном оборудовании в момент прохождения тока замыкания на землю, а также
выравнивания напряжения в зоне растекания тока и уменьшения напряжения
прикосновения и шага, что служит защитой от поражения электрическим током.
Совокупность заземлителя и заземляющих проводников составляет
заземляющее устройство, которое включает в себя заземлители - проводник
(электрод) или группу электрически соединенных между собой проводников
(электродов), располагаемых в земле или имеющих назначение создать
электрическое соединение с землей; заземляющие проводники - проводники,
соединяющие заземляемые части аппаратуры с заземлителями; магистраль заземления
- проводник, электрически объединяющий заземляющие проводники.
Под сопротивлением заземляющего устройства понимается
сопротивление заземляющих проводов вместе с сопротивлением растеканию
заземлителя, т.е. сопротивление прохождению электрического тока через
заземлители зависит от качества и состояния грунта, в котором находится
заземлитель, типа заземлителя, глубины его заложения и взаимного расположения
заземлителей. Качество грунта с точки зрения его электрической проводимости
определяется значением удельного электрического сопротивления, которое для
некоторых грунтов в зависимости от их физического состояния находится в широких
пределах (торф, речная вода, скальные грунты таким колебаниям не подвержены). В
грунтах с большим удельным сопротивлением прибегают к специальным мерам. чтобы
уменьшить его значения (вводят в грунт соли, влагу и др.).
При монтаже наружного контура заземляющего устройства в
соответствии с проектом роют траншею глубиной 0,5-0,7 м от планировочной
отметки земли для забивки заземлителей и прокладки заземляющих проводников.
Затем забивают вертикальные заземлители так, чтобы верхние их концы выступали
из земли от дна траншеи на 200 мм. После этого в траншеи укладывают заземляющие
проводники с минимальным сечением 48 мм2 и приваривают их к
вертикальным заземлителям.
Заземлители заглубляют в грунт с помощью вибро- или
электромагнитных погружателей или автоямобура с приставкой для забивания
электродов-заземлителей. Заземляющие проводники присоединяют к искусственным
заземлителям сваркой или с помощью хомутов. При этом внутренняя поверхность
хомутов должна быть луженая, а место накладки хомута на трубе - зачищено до
блеска. Для предохранения от коррозии сварные швы, находящиеся в земле,
покрывают горячим битумом. В местах, где на трубопроводах, служащих в качестве
естественных заземлителей, имеются фланцевые соединения для создания
непрерывной цепи заземления, устанавливают перемычки сечением не менее 4 мм2
из голых медных проводников. Применяют также заглубленные заземлители, которые
в виде металлической сетки из полосовой стали и других устройств, заготовленные
вместе с приваренными к ним заземляющими проводниками, укладывают на дно
котлована при закладке фундамента зданий цехов и подстанций.
При монтаже сети заземления внутри зданий в качестве
заземляющих проводников в первую очередь используют металлические конструкции
зданий, подкрановые пути, алюминиевые оболочки кабелей, галереи и другие
технологические металлические трубопроводы, кроме трубопроводов для горючих и
взрывоопасных жидкостей и газов и т.п.
Если используют естественные заземляющие проводники, то их
надежно присоединяют к наружным контурам заземляющих устройств. Все контактные
соединения выполняют так, чтобы была обеспечена надежность контактов и
непрерывность электрической цепи на всей длине. Для этого все соединения
участков металлических конструкций сваривают; болтовые, заклепочные соединения
и стыки перекрывают перемычками из стальных полос.
При открытой прокладке стальные трубы электропроводки, если
их используют в качестве заземляющих проводников, надежно соединяют с помощью
хорошо затянутых муфт на сурике или других конструкций, дающих надежный контакт
(манжеты на сварке, на винтах, с клином и т.п.). При скрытой прокладке эти
соединения выполняют только муфтами на сурике. При наличии длинного участка
резьбы на конце трубы (сгоне) ставят контргайки. Между трубами и корпусами
электрооборудования, в которые вводят трубы, создают надежное металлическое
соединение с помощью царапающих гаек, непосредственной приварки труб или
установки перемычек.
Там, где не представляется возможным использовать в качестве
заземляющих проводников указанные выше элементы зданий и конструкций,
прокладывают заземляющую сеть из полосовой или круглой стали соответственно
площадью поперечного сечения не менее 24 мм2, толщиной 4 мм и
диаметром не менее 5 мм. Шины заземления прокладывают открыто по стенам на
высоте 0,4-0,6 м от пола так, чтобы они были доступны для осмотра. В помещениях
сырых с едкими парами шины прокладывают на расстоянии не менее 5-10 мм от стен.
Расстояние между точками крепления 0.6-1 м. Шины крепят к стенам дюбелями. При
пересечении дверных проемов шины могут быть уложены в полу, но при этом их
защищают от механических повреждений отрезками стальных труб, а также угловой
или швеллерной стали, или прокладываются над дверями. Сечение заземляющих
проводников: магистральных: сталь - 100 мм2, медь - 50 мм2,
отводов - соответственно 50 и 25 мм2.
Все заземляющие искусственные проводники, а также перемычки,
установленные в местах стыков конструкций, используемых в качестве заземляющих
проводников, окрашивают в черный цвет (чтобы обозначить цепь заземления).
Допускается окраска в иные цвета в соответствии с эстетическим оформлением
помещения, но с обязательным в этом случае нанесением в местах присоединений и
ответвлений не менее двух полос фиолетового цвета на расстоянии 150 мм друг от
друга.
При питании от источников в сети с глухозаземленной нейтралью
для преднамеренного электрического соединения нетоковедущих частей
электрической аппаратуры используют
нулевой провод, под которым понимают проводник, соединенный с
глухозаземленной нейтралью источника питания в сети переменного тока, или
средний заземленный проводник в трехпроводной сети постоянного тока, служащий
обратным проводом при неравномерной нагрузке фаз или полюсов. В соответствии с
действующими правилами в системе с заземленной нейтралью до 1000 В должно быть
5 проводников: 3 фазных, один нулевой N и один заземляющий РЕ. В однофазной сети - 3
проводника: фазный, нулевой и заземляющий. В соответствии с ПУЭ нулевой
проводник в трехфазной сети должен иметь проводимость не менее 50% проводимости
фазного провода.
Заземление трансформаторов (рис. 20) осуществляется
соединением с заземляющим контуром корпуса (бака), оболочки и брони кабелей
сети ВН и НН, кабельных воронок со стороны ВН и НН. Диаметр резьбы болтовых
соединений - не менее 12 мм. Соединение наконечника и заземляющего проводника
производится прессованием, пайкой или сваркой. Таким образом корпус
трансформатора оказывается соединенным с главным заземлителем (с помощью
заземляющей жилы или оболочки кабеля) и с местным заземлителем.
При заземлении соединительных и ответвительных (тройниковых)
муфт заземляются: корпус муфты, оболочка и броня всех подключенных кабелей.
Соединение с заземляющей сетью осуществляется с помощью хомутов, пайки или
болтового соединения.
Заключение
Курсовой проект по дисциплине «Электрооборудование» рассчитан
согласно рекомендованным методикам. В процессе выполнения курсового проекта по
теме «ЭСН и ЭО насосной станции» я изучил техническую и справочную литературу,
научился составлять однолинейные и развернутые схемы электроснабжения. Я
рассчитал сменные и максимальные активные, реактивные и полные нагрузки
электроприемников методом коэффициента использования и коэффициента максимума.
Все коэффициенты я выбирал из справочной литературы, с условием всех требований
ПУЭ.
Я обосновал выбор силового трансформатора с учетом категории
электроснабжения автоматизированного цеха, определил коэффициент загрузки
трансформатора с учетом компенсирующих устройств. В процессе выполнения
курсового проекта я рассчитал аппараты защиты для всех электроприемников и
выбрал марку кабеля по сечению и допустимому току, согласно требованиям ПУЭ.
Список
литературы
1.
В.П. Шеховцов «Расчет и проектирование схем электроснабжения»
.
Г.Д. Медведев «Электрооборудование и электроснабжение горных предприятий» 2010
.
В.С. Дзюбан, Я.С. Риман, А.К. Маслий «Справочник энергетика угольной шахты»
2007
.
П.В. Кузнецов, А.А. Федоров «Справочник электрика промышленных предприятий»
2011
.
Б.Ю. Липкин «Электроснабжение промышленных предприятий и установок 2006
.
И.И. Алиев «Справочник по электротехнике и электрооборудованию»
.
Н.Н. Чулков, А.Н. Чулков «Электрификация карьеров в задачах и примерах» 2004
.
Б.В. Кузнецов, М.Ф. Сацукевич «Справочное пособие заводского электрика»
.
В.П. Шеховцов «Справочное пособие по электрооборудованию и электроснабжению»
2011