Параметри електричної машини
1. Вихідні данні для
проектування
Номінальний режим роботи
Тривалий(S1)
Номінальна віддаваємая потужність
Р2, кВт 45
Номінальна напруга U, В 220
Номінальна частота обертання n,
об/хв 750
Межа регулювання частоти обертання
вгору від номінальної ослабінням поля
1800
головних полюсів nmax, об/хв
Теж, вниз від номінальної змінюємо
напругу 300
на якорі
Короткочасне
перевантаження по струму 1,5
Рід збудження Паралельне
зі стабілізую-
чою послідовною обмоткою
Джерело і умови живлення
Тиристорні перетворю-
вачі з коефіцієнтом
пульсації не більше 1,1
Ступінь захисту від
зовнішніх дій IP22
Спосіб охолодження ІС01
Виконання по ступеню
монтажа ІМ 1001
Кліматичні умови і
категорія розташування У4
2. Магнітний ланцюг
машини. Розміри, конфігурація, матеріал
.1 Головны розмiри
Висота осі обертання=280
мм
Максимально допустимий
наружний діаметр корпуса
корп = 2 (h-h1) = 2
(280-8) = 544 мм
Максимально допустимий
наружний діаметрн1 Dкорп= 544 мм
Наружний діаметр
якорян2=290 ммн= 0,92т = 0,985
Попереднє значення ККД
η`=0.87
Розрахункова потужність
Р`=E2I2= kнUI
kт=(kн kт Р2)/ η`=
Приймаемо ізоляцію класу
нагрівостійкості F
Поперднє значення ел.
мех. навантаження
Розрахунковий коефіціент
полюсної дуги
Розрахункова довжина осердя
якоря
Відношення довжини осердя якоря до наружного діаметра якоря

задовольняє
умову
2.2 Осердя якоря
Приймаємо для осердя
якоря: сталь 2013, товщина 0,5 мм, листи осердя якоря лаковані, форма пазів -
відкрита прямокутна, рід обмотки - двошаровий з містких секцій, скіс пазів на 1
зубцеве ділення
Коефіцієнт заповнення
осердя сталлю
Припуск на збірку
осердя по ширині паза для штампів
Припуск на збірку
осердя по висоті паза для штампів
Ефективна довжина
осердя якоря при відсутності радіальних каналів
Канали в
колекторі та круглі аксіальні вентиляційні канали в осерді якоря
Знаходимо
попереднє значення внутрішнього діаметра листів якоря
2.3 Осердя головних полюсыв
Приймаємо для
осердя головних полюсів сталь 3411, товщина 1 мм, листи осердя полюсів не
ізольовані, компенсаційна обмотка не потребується, вид повітряного зазору між
головними полюсами і якорем ексцентричний
Коефіцієнт
заповнення
Еквівалентний
зазор
Кількість
головних полюсів
р=4
Висота зазорів в осі
та
по краю полюса
Довжина осердя
полюса
Розрахункова
довжина полюсної дуги
Дійсна ширина
полюсної дуги у не скомпенсованій машині з ексцентричним зазором
Попередня
магнітна індукція в осерді полюса
Попередня
значення магнітного потоку в повітряному зазорі
Ефективна довжина
осердя полюса
Ширина осердя
полюса
Ширина уступа полюса
Висота перерізу
«а=а»
2.4 Осердя добавочних
полюсыв
Приймаємо для осердя добавочних полюсів сталь 3411,
товщина 1 мм, листи осердя полюсів не ізольовані
Коефіцієнт заповнення
В двигуні з 2 р=4 чотири
добавочні полюса
р=4
Довжина наконечника
добавочного полюса
Попереднє значення
ширини осердя добавочного полюса
Величина повітряного
зазору
2.5 Станина
Приймаєм монолітну
станину зі сталі марки Ст. 3
Довжина станини
Висота станини
З рисунка 10-17
Магнітна індукція в
містці розположення магнітного потоку в станині при вході в головний полюс
Значення Bcп =1,38
задовольняє умову
Всп=1,7Тл
Внутрішній діаметр
монолітної станини
Висота головного полюса
Висота добавочного
полюса
3. Обмотка якоря
.1 Тип і кроки обмотки
якоря. Кількість витків обмотки, колекторних пластин, пазів
Попереднє значення
струму:
Обираємо хвильову
обмотку:
а=2
=3
Попередня
кількість витків:
Попередня
кількість витків в секції:
Кількість пазів
якоря:
49
Кількість
колекторних пластин:
Поділ зубців:
Зовнішній діаметр
колектора:
Колекторна
поділка:
Максимальне
значення напруги між колекторними пластинами:
Кількість витків
обмотки якоря:
Кількість
ефективних провідників:
Струм в пазу:
Значення
не
більше 1500А
Уточнене лінійне
навантаження якоря:

Крок по реальним
пазам:
Результуючий крок
по елементарним пазам:
Перший і другий
частковий крок по елементарним пазам:
3.2
Обмотка якоря з прямокутними відкритими пазами
Висота паза:
Попередня
магнітна індукція в найбільш тонкому місці зубця:
Попередня ширина
зубця в найбільш тонкому місці:
Висота спинки
якоря:
Попередня
магнітна індукція в спинці якоря:
Попередня ширина
паза в штампі:
Допустима ширина
провідника з витковой ізоляцією:
Без ізоляції:
Приблизна
стандартна ширина провідника без та з ізоляцією:
Допустима висота
провідника з мотаної ізоляції:
Без ізоляції:

Приблизна
стандартна висота провідника без та з ізоляцією:
Площа поперечного
перерізу без ізоляції:=10,98
Уточнена ширина
паза в штампі:
Уточнена висота
паза в штампі:
Густина струму в
обмотці:
Удільне теплове
навантаження якоря від втрат в обмотці:
Теж саме, допустиме значення:
Середня поділка
зубців якоря:
Середня ширина
секції обмотки:
Середня довжина
однієї лобової частини обмотки:
Середня довжина
витка обмотки:
Опір обмотки при t=20̊C:
У відносних
одиницях:
Контрольне
значення:
Довжина вильоту
лобової частини обмотки:
4. Обмотка добавочних
полюсів
Поперечна МРС якоря
Попередня кількість
витків котушки добавочного полюса
(
)
Уточнина кількість
витків
Уточнина МРС котушки
Уточнене відношення МРС
Попередне значення
густина струму
Попередня площа
поздовжнього перерізу провідника
Попередній
більший розмір міді
Приймаємо
стандартний більший розмір міді
Попередній менший
розмір провідника
Приймаємо менший
розмір провідника
Площа поперечного
перерізу прийнятого провідника
Радіус
закруглення провідника
Мінімальний
допустимий радіус закруглення провідника
- задовольняє умови
Уточнена густина
струму в обмотці
Середня довжина
витка котушки
Опір обмотки при
температурі 20
С
5.
Стабілізаційна послідовна обмотка головних полюсів двигуна
двигун магнітний
колекторний
Приймаємо розміри
й марку провідника такими як і в обмотці додаткових полюсів
МРС
стабілізаційної обмоткина полюс
Попередня
кількість витків:
Уточнена
кількість витків:
Уточнене значення
МРС обмотки:
Мінімально
допустимий радіус заокруглення:
Приймаємо:
=15
мм
Середня довжина
витка обмотки з неізольованим провідником зігнутої на ребро:
Опір обмотки при t=20̊ C:
6. Характеристики
намагнічування машини
.1 Уточнення магнітного
потока
Опір обмоток якорного
кола двигуна, при робочій температурі
Уточнене ЕРС при
номінальному режимі роботи двигуна
Уточнений магнітний
потік
6.2
МРС для повітряного
зазора між
якорем і головним полюсом
Площа поперечного
перерізу в повітряном зазорі
Уточнена магнітна
індукція в повітряном зазорі
Коефіцієнт зубчатої
будови якоря
Коефіцієнт бандажних
канавок осердя якоря
Спільний коефіцієнт
повітряного зазору
МРС для
повітряного зазору
6.3 МРС для зубців
Ширина зубця в
найбільш вузькій частині
Площа поперечного
перерізу зубців в найбільш вузькій частині
Уточнена магнітна
індукція в найбільш вузькій частині
Ширина зубця в
найбільш тонкій частині:

18,58-7,6=10,98 мм
Теж, в середній
частині:
Площа поперечного
перерізу зубців в найбільш широкій частині:

13331∙10,98/6,63=22078
Теж, в середній
частині:

(13331+22078)/2=17705
Магнітна індукція
в найбільш широкій частині:

27,39∙10/22078=1,24
Тл
Тож, в середній
частині
Коефіцієнт зубців
у найбільш вузькій частині:

=
=(3,14∙(290-2∙34)/49∙6,6∙0,95)
- 1=1,26
Теж, в найбільш
широкій частині:

(18,58/(10,98∙0,95))
- 1=0,78
Теж, в середній
частині:

=
=(3,14∙(290-34)/49∙8,81∙0,95)
- 1=0,96
Напруженість
магнітного поля в зубцях у найбільш вузькій частині:

350 А/см
Теж, в найбільш
широкій частині:

4,4А/см
Теж, в середній
частині:

23,5А/см
Середнє значення
напруженості магнітного поля в зубцях
Середня довжина
шляху магнітного потоку
МРС для зубців
6.4
МРС спинки якоря
Розрахункова
площа поперечного перерізу спики якоря з аксіальними каналами
Уточнена магнітна
індукція у спинці якоря
Напруженність
магнітного поля
Середня довжина
шляху магнітного потоку
МРС для спинки
якоря
6.5 МРС для осердя
головного полюса
Площа поперечного
перерізу полюса
Уточнена магнітна
індукція в осерді полюса
Напруженість
магнітного поля
Середня довжина
шляху магнітного потоку
МРС для осердя
полюса
6.6 МРС для зазору в стику між головними полюсами та станиною
Еквівалентний зазор у
стику
МРС зазору
6.7 МРС для станини
Те ж шихтованої
станинни
Поточнена
магнітна індукція
Середня довжина
магнітного шляху потоку
МРС станини
Сумарна мрс
Коефіцієнт
насичення магнітного кола
7.
Паралельна обмотка головних полюсів
Розмагнічуюча дія
МРС паралкльної
обмотки збудження
Попередня ширина
катушки
Середня довжина
витка обмотки
Попередній
поперечний переріз провідника
Приймаймо
найближчий стандартний поперечний переріз провідника
Поточнений
коефіцієнт запасу
Попереднє
значення густини струму в обмотці
Попереднє число
витків однієї катушки
Поточнена
кількість витків
Поточненена
густина струму в обмотці
Опір обмотки при t =20 градусів
Максимальний
струм обмотки
Максимальна МРС
обмотки
8.
Розміщення обмоток головних і додаткових полюсів
.1
Паралельна обмотка головних полюсів
Приймаємо
виконання у вигляді двох шайб з числом витків у кожній 40, по ширині Nш=28, по висоті Nb=12
Ширина катушки
Висота катушки
8.2
Стабілізуюча послідовна обмотка
Висота
одношарової катушки, навитої на ребро із неізольованих провідників
8.3
Обмотка добавочних полюсів
Приймаємо форму
паралелепіпеду
Висота
одношарової катушки, навитої на ребро із неізольованих провідників
9.
Щітки і колектор
Ширина щітки
Довжина щітки
Число перекритих
щіткою колекторних пластин
Ширина зони
комутації
Відношення зони
комутації до відстані сусідніми кінцями головних полюсів
Контактна площа
однієї щітки
Необхідна
контактна площа всіх щіток
Кількість щіток
на одному бракеті
Поточнена
кількість щіток на одному бракеті
Поточнена
контактна площа всіх щіток
Поточнена густина
струму під щітками
Активна довжина
колектора
Окружна швидкість
колектора при номінальній частоті обертання
10. Коммутаційні
параметри
Проводимість розсіяння
прямокутнього відкритого паза
Окружна швидкість якоря
при 
Окружна швидкість якоря
Реактивна ЕРС
коммутуючих секцій

B
Середнє хначення
магнітної індукції в зазорі під добавочним полюсом

Тл
Коефіцієнт зубчатої
будови якоря
Коефіцієнт бандажних
канавок осердя якоря
Спільний коефіцієнт
повітряного зазору
Необхідний зазор під
добав очним полюсом
Коефіцієнт зубчатої
будови якоря
Коефіцієнт бандажних канавок осердя
якоря
Спільний коефіцієнт
повітряного зазору
Необхідний зазор під
добав очним полюсом
Магнітний потік в зазорі
під добавочним полюсом при номінальному навантаженні
Теж, при навантаженні
Магнітний потік в зазоры під
добавочним полюсом при номінальному навантаженні
Теж, при навантаженні
Площа поперечного
перерізу осердя добав очного полюса
Магнітна індукція в
осерді добав очного полюса при перенавантаженні
Розрахункова магнітна
індукція на ділянках станини, у яких додаються магнітні потоки головних і добав
очних полюсів
Допустиме
значення 
Розрахункова
магнітна індукція на ділянках спинки якоря, в яких додаються магнітні потоки
головних і добав очних полюсів
Допустиме
значення
11. Номінальний режим
Маса сталі зубців якоря з
прямокутними відкритими пазами

кг
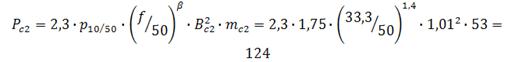
Магнітні втрати в зубцях

Вт
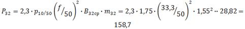
Маса сталі спинки якоря
Магнітні втрати в спинці
якоря

Вт
Сумарні магнітні втрати
в сталі

Вт
Втрати на тертя щіток об
колектор

Вт
Втрати на тертя
підшипників, трертя об повітря та на вентиляцію мащини
Сумарні механічні втрати

Вт
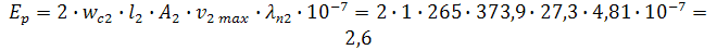
Добавочні втрати у
некомпенсованого двигуна
Електромагнітна
потужність двигуна

Вт
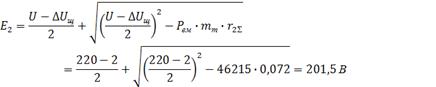
Струм якоря двигуна
ЕРС якоря двигуна
Уточнений струм двигуна

A
Підводима
потужність двигуна

Вт
Сумарні втрати в
двигуні

Вт
Уточнений ККД
двигуна
Уточнений магнітний
потік
МРС магнітного ланітного
двигуна

A
Розмагнічуюча дія
МРС якоря двигуна

A
Уточнене значення
МРС обмотки

Необхідна МРС обмотки
головних полюсів двигуна

А
Момент обертання на валу
двигуна

13. Регулювання частоти
обертання вгору
Магнітний потік
при найбільшій частоті обертання
МРС при номінальному
магнітному потоці

A
Мінімальний струм
збудження
Максимальна величина
регулюючого опору
Частота обертання при
холостому ході