Основные методы расчета сложных электрических цепей
Введение
В процессе выполнения применим основные методы расчета сложных
электрических цепей: контурных токов, узловых напряжений, эквивалентного
генератора. Метод контурных токов является одним из основных методов расчета
сложных электрических цепей, которым широко пользуются на практике. Этот метод заключается в том, что вместо
токов в ветвях определяются на основании второго закона Кирхгофа так называемые
контурные токи, замыкающиеся в контурах.
Метод узловых напряжений заключается в том, что на основании первого
закона Кирхгофа определяются напряжения в узлах электрической цепи относительно
некоторого базисного узла. Эти искомые напряжения называются узловыми
напряжениями, причем положительное направление их указывается стрелкой от
рассматриваемого узла к базисному.
Напряжение на какой-либо ветви равно разности узловых напряжений концов
данной ветви, произведение же этого напряжения на комплексную проводимость
данной ветви равно току в этой ветви. Таким образом, зная узловые напряжения в
электрической цепи, можно найти токи в ветвях.
Если принять потенциал базисного узла равным нулю, то напряжения между
остальными узлами и базисным узлом будут равны также методом узловых
потенциалов.
Ток в любой ветви mn
линейной электрической цепи не изменяется, если электрическую цепь, к которой
подключена данная ветвь, заменить эквивалентным источником напряжения; э.д.с.
этого источника должна быть равна напряжению на зажимах разомкнутой ветви, а
внутреннее сопротивление источника должно равняться входному сопротивлению пассивной
электрической цепи со стороны зажимов m и n при разомкнутой ветви mn.
1. Основная
часть
Задание
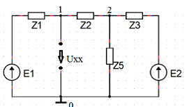
. Найти все токи в ветвях электрической цепи (рис. 1):
. Методом контурных токов;
. Методом узловых напряжений.
Проверить найденный ток на резисторе R1 (рис. 1) методом эквивалентного
генератора (теоремы об эквивалентом источнике напряжения).
напряжение электрический ток генератор
Рисунок 1. Схема электрической цепи
Исходные данные
Схема электрической цепи (рис. 1);
Параметры
элементов цепи: 
[Ом], 
[Ом], 
[Ом], 
[Ом], 
[Ом], 
[В], 
[В].
. Нахождение токов в ветвях методом контурных токов
. Заменим все активные и реактивные сопротивления цепи (рис. 1) на
эквивалентные комплексные сопротивления (рис. 2).
. Выразим эквивалентные комплексные сопротивления:
Выберем произвольные направления обхода токов в контурах и ветвях схемы
(рис. 3).
Выразим собственные комплексные сопротивления контуров:
Выразим взаимные комплексные сопротивления контуров:
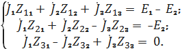
Запишем уравнения по второму закону Кирхгофа для контуров:
Для удобства вычислений запишем (4) в векторно-матричной форме:
Запишем (5) в эквивалентной форме:
Найдем

умножив
(6) на обратную матрицу 
:
Найдем
комплексные амплитуды токов в ветвях через 
:
Найдем токи путем взятия модуля:
Найдем фазы токов:
Выполним вычисления в MATLAB:
Удаляем все переменные из рабочей области созданные ранееall
Исходные данные= 450; % Ом= 170; % Ом= 300; % Ом= 260; % Ом= 200; % Ом=
10; % В= 40/pi; % В
. Метод контурных токов
Выражаем эквивалентные сопротивления
= -1j*x2;= r2 + 1j*x1;= -1j*x3;= r1;= -1j*x2;
= z1 + z2 + z3;= z3 + z5;= z2 + z4 + z5;
Выражаем взаимные сопротивления контуров= z3; z21 = z3;= z2; z31 = z2;=
z5; z32 = z5;
Находим комплексные контурные токи
= [z11 z12 z13; z21 z22 -z23; z31 -z32 z33];
Ek =
[(E1 -E2); -E2;
0];
Jk = inv(Zk)*Ek;
Выражаем комплексные контурные токи из вектора Jk
k = Jk(1, 1);k = Jk(2, 1);k = Jk(3, 1);
Находим комплексные амплитуды токов в ветвях
I1k = J1k;k = J1k + J3k;k = -J1k -J2k;k = -J3k;5k = -J2k + J3k;
Находим токи в ветвях
i1k = abs(I1k);k = abs(I2k);k = abs(I3k);k = abs(I4k);5k = abs(I5k);
Находим фазы токов
f1k = atan(imag(I1k)/real(I1k));k =
atan(imag(I2k)/real(I2k));k = atan(imag(I3k)/real(I3k));k =
atan(imag(I4k)/real(I4k));k = atan(imag(I5k)/real(I5k));
Результат
1. Токи в ветвях:
2. Фазы токов:
Нахождение токов в ветвях методом узловых напряжений
1. Заменим все активные и реактивные сопротивления цепи (рис. 1) на
эквивалентные комплексные проводимости, а источники ЭДС заменим эквивалентными
источниками тока (рис. 4).
. Выразим эквивалентные комплексные проводимости и источники
тока:
3. Выберем произвольные направления обхода токов в ветвях схемы и
предположим, что узел №0 равен 0 [В] (рис. 5).
.
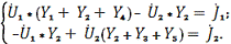
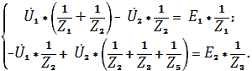
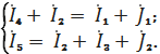
На основании первого закона Кирхгофа запишем уравнения для 1-го и 2-го узлов:
5. Выразим комплексные амплитуды токов в ветвях через (11) и
потенциалы узлов:
6. Перепишем (12) с учетом (13):
7. Перепишем (14):
8. Для удобства вычислений запишем (15) в векторно-матричную форму:
9. Запишем (16) в эквивалентной форме:
10.
Найдем вектор 
умножив
(17) на обратную матрицу 
:
.
Найдем комплексные амплитуды токов в ветвях по закону Ома:
Выполним вычисления в MATLAB:
Исходные данные= 450; % Ом= 170; % Ом= 300; % Ом= 260; % Ом= 200; % Ом=
10; % В= 40/pi; % В
4. Метод узловых потенциалов
Выражаем проводимости ветвей
Y1 = 1/(-1j*x2);= 1/(r2 + 1j*x1);= 1/(-1j*x3);= 1/r1;
Находим токи, которые бы были после эквивалентной замены ЭДС источниками
y = E1*Y1;y = E2*Y3;
Находим потенциалы в узлах
Jy = [J1y; J2y];= inv(Y)*Jy;
Выражаем потенциалы в узлах из вектора Uy
y = Uy(1,1);y = Uy(2,1);
Находим комплексные токи в ветвях
I1y = Y1*(E1 - U1y);y = Y2*(U1y - U2y);y = Y3*(E2 - U2y);y =
Y4*U1y;
I5y = Y5*U2y;
Находим токи в ветвях
i1y = abs(I1y);y = abs(I2y);y = abs(I3y);y = abs(I4y);
i5y = abs(I5y);
Находим фазы токов в ветвях
f1y = atan(imag(I1y)/real(I1y));y =
atan(imag(I2y)/real(I2y));y = atan(imag(I3y)/real(I3y));y =
atan(imag(I4y)/real(I4y));y = atan(imag(I5y)/real(I5y));
Результат
1. Токи в ветвях:
2. Фазы токов:
Проверка
найденного тока на 
(рис. 1)
методом эквивалентного генератора
1. Заменим все активные и реактивные сопротивления цепи (рис. 1) на
эквивалентные комплексные сопротивления (рис. 2).
. Выразим эквивалентные комплексные сопротивления (1).
3. Представим
схему (рис. 2) в виде последовательного соединения эквивалентного генератора с
его собственным сопротивлением и 
. Найдем
генератора. Для этого, разомкнем зажимы на 
(рис.
6).
5. Воспользуемся методом узловых напряжений для нахождения.
Для этого, предположим, что узел №0 равен 0 [В] (рис. 7).
Рисунок 7
6.
На основании первого закона Кирхгофа запишем уравнения для 1-го и 2-го узлов:
. Запишем (20) в векторно-матричной форме:
8. Перепишем (21) в эквивалентную форму (17).
9.
Найдем вектор 
путем
(18).
.
Найдем комплексное сопротивление эквивалентного генератора, для этого закоротим

, 
(рис.
8).
Рисунок
8
Удаляем все переменные из рабочей области созданные ранееall
Исходные данные= 450; % Ом= 170; % Ом= 300; % Ом= 260; % Ом= 200; % Ом=
10; % В= 40/pi; % В
. Метод эквивалентного генератора
Выражаем эквивалентные комплексные сопротивления
z1 =
-1j*x2;
z2 = r2 + 1j*x1;
z3 =
-1j*x3;= r1;= -1j*x2;
Выражаем комплексные проводимости
e = 1/z1;e = 1/z2;e = 1/z3;e = 1/z4;e = 1/z5;
Находим потенциалы в узлах
= [(Y1e + Y2e) (-Y2e);(-Y2e) (Y2e + Y5e + Y3e)];
Je = [E1/z1; E2/z3];
Ue = inv(Ze)*Je;
Выражаем потенциалы в узлах из вектора Ue
e = Ue(1, 1);e = Ue(2, 1);
Находим ЭДС эквивалентного генератора
= U1e;
Находим комплексное сопротивление эквивалентного генератора
= z1*(z2 + (z5*z3)/(z5 + z3))/(z1 + z2 + (z5*z3)/(z5 + z3));
Находим комплексный ток в ветви
e = Ee/(Ze + z4);
Находим ток в ветви
e = abs(I4e);
Находим фазу тока в ветви
e = atan(real(I4e)/imag(I4e));
1. Ток
на 
:
2. Фаза тока:

Метод
|
Вывод
|
|
Контурных токов
|
Узловых напряжений
|
Эквивалентного генератора
|
|
|
 [A] Равны
|
|
|
|
|
|
 [A] Равны
|
|
|
|
|
|
 [A] Равны
|
|
|
|
|
|
 [A]  Равны
|
|
|
|
|
|
 [A] Равны
|
|
|
|
|
|
|
|
|
|
Равны
|
|
|
|
|
|
Равны
|
|
|
|
|
|
Равны
|
|
|
|
|
|
Равны
|
|
|
|
|
|
Равны
|
Вывод
В
результате выполненной работы мы овладели навыками применения различных методов
расчета сложных электрических цепей. Получили токи всех ветвей цепи и их фазы
методом контурных токов и узловых напряжений, а также проверили полученный ток
на 
методом
эквивалентного генератора.
Сравнив
полученные результаты, оказалось, что все значения токов и их фаз совпали - это
значит, что мы рассчитали цепь верно.
Список использованных источников
1. Атабеков Г. И., «Основы теории цепей», 1969 г.
. Конспект лекций с дисциплины «Основы теории цепей».