Оптимизация работы ТЭС в современных условиях
Министерство
образования и науки Российской Федерации
Федеральное
государственное бюджетное образовательное учреждение высшего профессионального
образования
«НАЦИОНАЛЬНЫЙ
ИССЛЕДОВАТЕЛЬСКИЙ
ТОМСКИЙ
ПОЛИТЕХНИЧЕСКИЙ УНИВЕРСИТЕТ»
Институт
ЭНИН
Направление
подготовки Теплоэнергетика и теплотехника
Кафедра АТЭС
Реферат
На
тему: Оптимизация работы ТЭС в современных условиях
Томск 2014
г.
Введение
Как и в любой деятельности, в управлении
электростанцией важнейшей задачей является оптимизация ее работы. Это
подразумевает как выбор наиболее выгодных технически режимов, с наименьшими
потерями, так и учёт экономических параметров. Энергокомпании борются за
повышение маржинальной прибыли (МП) в условиях частых изменений правил рынка и
внешнего регулирования. В недавнем прошлом задача стояла по-другому -
минимизация расходов условного топлива. И для ее решения в компаниях
применялись имитационные модели станций, изначально предназначенные для
проектирования и расчета режимов. Они позволяли находить минимальный расход
условного топлива при фиксированном отпуске энергии на заданный час. После
реформы рынка встала задача максимизации МП на суточном, недельном, месячном и
даже годовом горизонтах. При этом необходимо оперировать экономическими
параметрами, а не только техническими. С этими изменениями пришли изменения и в
подходе к оптимизации. Сегодня это комплексная системная интеграция с
разработкой следующего поколения инструментов - платформ для
технико-экономического моделирования. Они изначально включают в себя не только
технические параметры оборудования станций, но и контракты на поставку топлива,
сбыт тепловой и электрической энергии, стоимость выбросов парниковых газов и т.
д. В результате компании могут более точно принимать такие решения, как планирование
графиков ремонтов, заключение двухсторонних и фьючерсных контрактов,
формирование оптимальных заявок, распределение нагрузки по агрегатам и т.д. Эти
процессы настолько усложнились за последние десятилетия, что сейчас этим
занимаются не персонал обслуживающий станцию, а специализированные компании с
использованием передовой вычислительной техники.
1. Оптимизация режимов ТЭЦ по
техническим параметрам
Проблема повышения экономической эффективности
ТЭЦ весьма актуальна. В свою очередь, эффективность, как отдельных агрегатов,
так и всей ТЭЦ, существенно зависит от режимов их эксплуатации. Обоснованный
выбор последних не может быть осуществлен без использования методов и
программных средств математического моделирования и оптимизации. Задача
оптимизации эксплуатационных параметров ТЭЦ в целом, и отдельных агрегатов
станции с учетом их фактического состояния особенно актуальна в связи с
изношенностью действующего оборудования и переходом энергосистем к рыночным
отношениям. В качестве критерия оптимальности могут выступать: минимум и
максимум мощности ТЭЦ; минимум суммарного расхода топлива котлами ТЭЦ; минимум
тепла, сбрасываемого в систему технического водоснабжения.
2. Постановка задачи
Минимизация стоимости расходуемого топлива при
заданных тепловых и электрических нагрузках, максимизация и минимизация
полезной электрической мощности ТЭЦ при заданных тепловых нагрузках). Признаком
режимов (обеспечивающих минимально возможную конденсационную выработку) при
заданном составе работающих турбин ТЭЦ является минимально возможный отвод
тепла от конденсаторов турбин в систему технического водоснабжения (СТВ)
станции, при обеспечении расхода пара в конденсаторы турбин не меньше
вентиляционного пропуска. Это условие более предпочтительно, чем требование
минимально возможного (вентиляционного) расхода пара в конденсаторы турбин,
поскольку это требование не обязательно должно выполняться при использовании
тепла конденсации пара на нагрев сетевой или подпиточной воды. Поиск таких
режимов можно осуществить в результате решения следующим образом. Решается
задача:
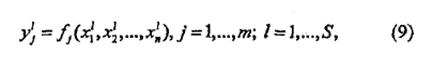
где x - вектор независимых оптимизируемых
параметров (расходы пара в конденсаторы турбин и пара из регулируемых отборов
турбин, давление перед регулирующими диафрагмами турбин, давление пара в
пиковых подогревателях сетевой воды и др.); у - вектор зависимых оптимизируемых
параметров (расходы острого пара на турбины, расходы пара из нерегулируемых
отборов турбин, электрические мощности турбин, давления в нерегулируемых отборах
турбин и т.д.); NТЭЦ - полезная электрическая мощность ТЭЦ; Q1 - заданная
тепловая нагрузка 1-го внешнего потребителя тепла; N min ТЭЦ, N max ТЭЦ -
минимально возможная и максимально возможная электрическая нагрузка станции при
заданных тепловых нагрузках, получаемые как результаты оптимизационных расчетов
станции по критериям минимума и максимума электрической нагрузки ТЭЦ; s - число
внешних потребителей тепла; Н - m-мерная векторная функция
ограничений-равенств, включает уравнения, описывающие технологические связи
между элементами схемы, энергетические и материальные балансы элементов
технологической схемы ТЭЦ и др; G - l-мерная векторная функция
ограничений-неравенств (включает ограничения снизу и сверху на такие зависимые
параметры как расходы острого пара на турбины, электрические мощности турбин и
др.); хmin, хmax - векторы минимальных и максимальных значений вектораx.
Обозначим QСТВ в точке решения задачи через
Q’ств. Далее решается задача поиска максимума полезной электрической мощности
ТЭЦ:
Электрическую мощность,
полученную в результате решения этой задачи обозначим через Nmaxт и решим
задачу минимизации расхода топлива.
Режим, полученный в результате
решения последовательности приведенных задач, и будет режимом с максимальной
выработкой электроэнергии на тепловом потреблении при минимальной
конденсационной выработке. Следует отметить, что дополнительный (сверх ) рост
электрической мощности ТЭЦ будет обеспечиваться только за счет конденсационной
выработки.
Для решения данной задачи
необходимо получить математические модели выходных параметров станции, которые
бы достаточно точно описывали их, но при это были не слишком громоздки и сложны
для анализа.
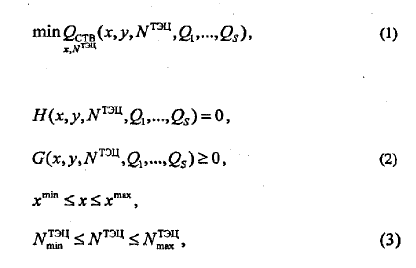
3. Методика
построения быстродействующих математических моделей
В моделях турбоустановок число
входных параметров, как правило, более десяти. Влияние каждого такого параметра
на выходные параметры существенно зависит не только от его значения, но и от
значения других входных параметров. Это делает построение быстродействующих
математических моделей теплофикационных турбин сложной задачей метод,
основанный на расчетах с использованием подробной математической модели
турбоустановки в узлах заранее заданной многопараметрической сетки. Узлы
многопараметрической сетки образуются всеми возможными сочетаниями дискретных
значений входных параметров модели, определяемых следующим образом:
где п - количество входных
параметров быстродействующей математической модели; ri - количество равных
интервалов, на которые разбивается диапазон
изменения i-ого входного
параметра; bimin, bimax - минимальный и максимальный пределы изменения i-го
входного параметра;∆xi - шаг сетки изменения i-го входного параметра; ki
- номер дискретного значения i-ого входного параметра.

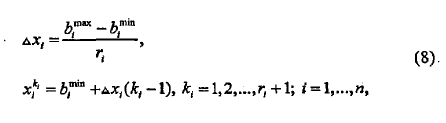
Для наборов входных параметров,
соответствующих всем узлам многопараметрической сетки с использованием
подробной математической модели турбоустановки определяются выходные параметры:
где s - число узлов
многопараметрической сетки; m - количество выходных параметров
быстродействующей математической модели.
где xit текущее значение i-ого
входного параметра.
Быстрый расчет по такой сетке
производится путем интерполяции выходных параметров по ближайшим к заданной
точке узловым точкам сетки, являющимися вершинами n-мерного прямоугольного
параллелепипеда (число таких вершин равно 2n). Используемые при интерполяции
координаты угловых точек параллелепипеда получаются как все возможные
комбинации найденных указанным способом пар координат xik, xik+1, причем k,
определяется из условия:
В общем виде задача состоит в поиске
такой функции j-го выходного параметра от входных параметров, значения которой
в вершинах найденного указанным выше способом параллелепипеда будут равны
значениям выходного параметра в этих точках. С помощью этой функции
определяется значение yt в текущей точке x1t…xnt. В качестве такой функции
предлагается использовать полином вида:
Коэффициенты этого полинома a для каждого j-го
выходного параметра определяются из систем линейных алгебраических уравнений,
задающих равенства fj и yj во всех угловых точках параллелепипеда.
Такой подход позволяет решить задачу с
достаточной точностью. Однако при большом количестве входных параметров он
может не только не привести к ускорению расчетов, но и значительно их замедлить
из-за резкого увеличения требуемого числа узлов многомерной сетки с
возрастанием n. Для преодоления этой трудности целесообразно разделение
турбоустановки на части (у каждой из которых число входных параметров не более
5-6) и разработка быстродействующих моделей с использованием многомерных сеток
для каждой части. Для расчета турбоустановки в целом производится итерационная
увязка быстродействующих моделей её частей. В результате инженерного анализа
признано целесообразным разделить теплофикационную турбоустановку на собственно
турбоустановку без конденсатора и конденсатор.
Следует отметить, что выше шла речь о входных
параметрах, совместно влияющих на выходные (назовем эти параметры основными).
Кроме того, среди входных параметров турбоустановки можно выделить параметры
(назовем их дополнительными), влияние которых на выходные можно учитывать независимо
друг от друга. Это происходит в связи с малым отклонением данных параметров от
некоторых «базовых» значений. На отклонение дополнительного параметра от его
«базового» значения вводятся поправки. Суммируя значение j-ого выходного
параметра, полученного с использованием основной сетки, с поправками по всем
дополнительным параметрам определим окончательное значение j-ого выходного
параметра:
где h - количество дополнительных входных
параметров; zt - «базовое» значение дополнительного входного параметра; rt -
расчетное значение дополнительного входного параметра; φt
- поправка
к значению выходного j- го параметра на отклонение значения t-го
дополнительного параметра от «базового» значения.
Введение поправок значительно увеличивает
точность расчета выходных параметров. При расчете многомерной сетки,
координатами которой являются основные параметры (основная сетка),
дополнительные параметры принимаются равными «базовым» значениям при расчете
каждого выходного параметра. Для учета отклонения значения каждого
дополнительного параметра от «базового» также вводится своя «дополнительная»
сетка. Координатами ее узлов являются значения основных параметров и данного
дополнительного.
4. Распределение нагрузок между
котлами
На крупных промышленно-отопительных ТЭЦ, как
правило, устанавливается значительное количество параллельно-работающих
энергетических паровых и пиковых водогрейных котлов. Причем даже однотипные
котлы могут иметь различающиеся энергетические характеристики. Поэтому весьма
актуальной является задача распределения паровой и тепловой нагрузок между
этими котлами.
Задача оптимизации распределения паровой
(тепловой) нагрузки между параллельно-работающими котлами в математической
форме имеет следующий вид:
где IДОТКЛ - множество (список) номеров котлов,
которые допускают отключение; IДВКЛ - множество (список) номеров котлов,
которые обязательно должны быть включены; Di - текущая паропроизводительность
(теплопроизводительность) i-го котла; N - число котлов на ТЭС; Dimin, Dimax -
минимальная и максимальная паропроизводительность (теплопроизводительность)
i-го котла; DΣ - суммарная заданная
производительность котлов; Bi - расход топлива i-ым котлом; Bi(Di) -
энергетическая характеристика i-го котла (функция, определяющая расход топлива
по паропроизводительности).
Для решения задачи (12) - (14) используется
метод динамического программирования. При этом максимальная производительность
i+1 котлов определяется как сумма максимальной производительности i+1 котла и
максимальной производительности i котлов. Все возможные диапазоны загрузки
1,2,...,N котлов разбиваются на заданное количество дискретных значений. Для
каждого j-го дискретного значения загрузки i+1 котлов проводится поиск всех
возможных путей его достижения из допустимых значений загрузки i котлов, в
процессе которого отбрасываются заведомо недопустимые пути, не отвечающие
условию нахождения нагрузки i+1 котла в допустимом диапазоне. Из всех найденных
таким образом путей, выбирается тот, который обеспечивает минимальный суммарный
расход топлива i+1 котлом. Таким образом, для каждого j-го дискретного значения
загрузки i+1 котла находится оптимальный путь от каждого дискретного значения
загрузки i котлов. Основываясь на этих путях достижения минимального расхода
топлива для каждой возможной производительности группы котлов, имеем заранее
определенные нагрузки каждого из них для всего диапазона возможных нагрузок
этой группы.
5. Программно-вычислительный
комплекс
Комплекс программ оптимизации режимов работы ТЭЦ
предназначен для:
идентификации математических моделей основного
энергетического оборудования (котлы, турбины) по результатам замеров;
построения быстродействующих математических
моделей теплофикационных паровых турбин;
оптимизации распределения нагрузок между
агрегатами существующей ТЭС, с учетом идентификации;
редактирования значений параметров, участвующих
в расчетах;
наглядного представления исходных данных и
результатов расчетов на схемах и в таблицах.
Основные этапы согласованной методики разработки
математических моделей оборудования и собственно ТЭЦ, оптимизации режимов ее
работы представлены на рис. 1.
Рисунок 1 - Схема согласованной методики
оптимизации режимов работы ТЭЦ
Согласованная методика оптимизации режимов
работы крупных промышленно-отопительных ТЭЦ состоит из нескольких этапов.
Разрабатываются подробные математические модели турбоустановок рассматриваемой
ТЭЦ. На основании результата замеров в нескольких режимах выполненных на ТЭЦ в
процессе технологических испытаний турбоустановок, или при их нормальной
эксплуатации, формулируется задача идентификации математической модели
турбоустановки, в процессе решения которой производится корректировка
коэффициентов этой модели (внутренний относительный к.п.д. отсеков,..
пропускные способности отсеков, к.п.д. подогревателей и др.). Параллельно с
этим процессом, производится разработка быстродействующей математической модели
турбоустановки. Для этого с использованием ПК разрабатываются подробные
математические модели каждой из частей турбоустановки (турбоустановки без
парового конденсатора и конденсатора). Для каждой из этих частей выбирается
состав основных и дополнительных параметров и диапазонов их изменения. Далее
полученные в результате идентификации коэффициенты математической модели
турбоустановки передаются в математические модели каждой из частей турбины,
предназначенных для расчета сеток быстродействующей математической модели. С
использованием полученных моделей частей турбины производится расчет и запись в
память компьютера основных и дополнительных сеток каждой из частей. Описанные
процедуры выполняются для каждой из турбин станции. На основании полученных
быстродействующих математических моделей турбоустановок разрабатывается
математическая модель ТЭЦ в целом и формируется задача ее оптимизации.
Оптимизация режимов работы ТЭЦ с использованием
полученной математической модели производится на основании заданных
пользователем тепловых, электрических нагрузок и состава оборудования ТЭЦ.
Расчет производится в три основных этапа: считывание сеток быстродействующих
математических моделей турбоустановок в оперативную память компьютера, поиск
оптимального режима работы ТЭЦ, в процессе которого помимо прочих параметров
уточняется суммарная производительность каждой из групп котлов, на основании
которых на заключительном этапе производится оптимальная загрузка каждого котла
группы с помощью методов динамического программирования. Результаты проведенных
расчетов выводятся в таблицах и на схемах комплекса.
Но это лишь техническая оптимизация позволяющая
минимизировать потери и максимизировать выработку электроэнергии по физическим
и техническим параметрам. Помимо этого станции существуют в системе экономики,
диктующей свои тенденции.
Рынок электроэнергии и мощности России
На сегодняшний момент в России отношения по
купле-продаже электроэнергии можно условно разделить на две основные части:
купля-продажа на оптовом рынке электроэнергии
(оптовый рынок электроэнергии и мощности);
купли-продажа электроэнергии на розничном рынке
электроэнергии;
На оптовом рынке продавцами и покупателями могут
выступать:
генерирующие компании оптового рынка
электроэнергии;
операторы экспорта/импорта электроэнергии;
энергосбытовые компании и гарантирующие поставщики;
крупные потребители.
Указанные выше субъекты оптового рынка
электроэнергии и мощности ОРЭМ могут быть как продавцами на оптовом рынке
электроэнергии и мощности, так и покупателями. Для того, чтобы получить статус
оптового рынка электроэнергии и мощности и право торговать на нем организация,
желающая стать участником оптового рынка электроэнергии и мощности, должна
удовлетворять требованиям, которые изложены в «Правилах оптового рынка
электроэнергии», утвержденном в постановлении Правительства РФ от 27 декабря
2010 года № 1172, а также в Договоре о присоединении к торговой системе
оптового рынка.
В России оптовый рынок электроэнергии и мощности
пока действует только на территории ценовых зон. Ценовая зона - это часть
территории РФ, где возможна конкуренция между участниками оптового рынка
электроэнергии и мощности. Существует две ценовые зоны:
первая ценовая зона (территория Европейской
части России и Урала);
вторая ценовая зона (Сибирь).
Кроме того, есть так называемые неценовые зоны
(регионы Дальнего Востока, Архангельская область, Калининградская область и
Республика Коми). На этих территориях конкуренция пока по различным техническим
причинам невозможна. В неценовых зонах реализация электроэнергии на розничном
рынке электроэнергии и мощности производится по регулируемым ценам.
6. Основные принципы работы оптового
рынка электроэнергии и мощности
Как следует из названия, на оптовом рынке
электроэнергии и мощности осуществляться торговля двумя товарами -
электроэнергией и мощностью. Мощность - это особый товар, при покупке которого
у покупателя возникает право требования к генерирующим компаниям оптового рынка
поддерживать оборудование, предназначенное для выработки электроэнергии в
постоянной готовности.
В настоящем виде оптовый рынок электроэнергии и
мощности работает с 2006г. На оптовом рынке электроэнергии и мощности работают
несколько секторов рынка:
сектор регулируемых договоров;
рынок на сутки вперед;
сектор свободных договоров;
балансирующий рынок.
По регулируемым договорам сектора регулируемых
договоров тарифы на электроэнергию определяется ФСТ РФ. При этом в этом секторе
приобретается электроэнергия только для поставки населению, а также для
потребителей в зоне работы МРСК Северного Кавказа.
Объемы электроэнергии, которые не приобретаются
по регулируемым договорам, покупаются по нерегулируемым ценам в рамках
свободных договоров, рынка на сутки вперед (РСВ) и балансирующего рынка (БР).
Основной смысл свободных договоров это то, что
участники оптового рынка электроэнергии и мощности самостоятельно определяют с
кем они будут заключать договоры, а также цены и объемы поставки
электроэнергии.
Рынок на сутки вперед (РСВ) оптового рынка
электроэнергии и мощности это проводимый ОАО «АТС» конкурентный отбор ценовых
заявок поставщиков и покупателей за сутки до реальной поставки электроэнергии с
определением цен и объемов поставки на каждый час суток. На РСВ осуществляется
маржинальное ценообразование, т.е. цена определяется путем балансирования
спроса и предложения и распространяется на всех участников рынка.
Цена РСВ определяется для каждого из порядка
8000 узлов обеих ценовых зон. Индексы цен и объемы торговли РСВ публикуются в
ежедневном режиме на сайте ОАО «АТС». Для подачи заявки на покупку
электроэнергии на рынке на сутки вперед покупатели оптового рынка направляют
эти заявки в соответствии с установленными сроками в адрес ОАО «АТС». Таким
образом, все крупные потребители, которые работают на оптовом рынке электроэнергии
и мощности должны подавать заявки с плановым почасовым потреблением
электроэнергии для приобретения электроэнергии на рынке на сутки вперед. Для
исключения рисков манипуляции ценами на рынке на сутки вперед в первую очередь
должны удовлетворяться заявки на приобретение электроэнергии с наименьшей
ценой.
Вместе с тем, фактическое потребление
электроэнергии всегда отличается от планового потребления электроэнергии. В
связи с этим у потребителя, который подал заявку на приобретение электроэнергии
на рынке на сутки вперед будет либо недостаток электроэнергии (в случае если
факт больше плана), либо избыток приобретённой на рынке на сутки вперед
электроэнергии (план больше факта). В связи с этим торговля этими отклонениями
производится в режиме реального времени на балансирующем рынке. Стоит отметить,
что цена покупки электроэнергии на балансирующим рынке значительно выше чем
цена покупки на рынке на сутки вперед, а цена продажи - значительно ниже. Т.е.
планировать свое почасовое потребление необходимо таким образом, чтобы добиться
минимального отклонения факта от плана, т.к. значительное отклонение приведет к
значительному увеличению затрат на электроэнергию. При этом за каждые 3 часа до
часа фактической поставки системный оператор (ОАО «СО ЕЭС») проводит дополнительные
конкурентные отборы заявок поставщиков с учетом прогнозного потребления в
энергосистеме, экономической эффективности загрузки станций и требований
системной надежности.
Кроме того, отклонения фактического потребления
от планового квалифицируются собственными или внешними инициативами.
Собственная инициатива возникает по причине действий участника рынка
(потребителя или поставщика), внешняя - в результате команд Системного
оператора или аварии, приведшей к вынужденному изменению режима производства
или потребления электроэнергии. Для определения стоимости отклонений для
различных видов инициатив используются расчетные формулы (срезки),
рассчитываемые на каждый час суток для каждого узла расчетной модели.
Срезки определяются как максимальные (минимальные)
значения индикатора БР и цены РСВ., тем самым стимулируя к более точному
исполнению планового потребления и производства электроэнергии. На основе
стоимости отклонений определяются предварительные требования и предварительные
обязательства БР, разница между которыми формирует небаланс балансирующего
рынка.
Отрицательный небаланс распределяется между
участниками пропорционально их собственным инициативам. Положительный небаланс
распределяется между поставщиками, пропорционально величине исполнения внешних
инициатив, и потребителями, максимально точно придерживающимися планового
потребления. Таким образом, на БР «штрафуются» участники рынка, допускающие
наибольшие отклонения фактических потребления и выработки от плановых по
собственной инициативе, и «премируются» участники, придерживающиеся планового
потребления и максимально точно выполняющие команды Системного оператора.
7. Рынок мощности
С 1 июня 2008 года торговля мощностью
осуществляется на основе конкурентного отбора мощности (КОМ), проводимого
системным оператором. Участники оптового рынка, прошедшие процедуру допуска к
КОМ, получили возможность подавать заявки в объеме, не превышающем максимальную
располагаемую мощность, учтенную Федеральной службой по тарифам России в
прогнозном балансе на соответствующий период регулирования. Покупатели обязаны
оплатить всю мощность, отобранную на КОМ в их ценовой зоне. Поставщики в каждой
ценовой зоне несут солидарную ответственность за исполнение обязательств по
предоставлению мощности. Переходный рынок мощности обеспечил возможность
реализации части мощности по нерегулируемым ценам, в рамках договоров
купли-продажи электроэнергии и мощности (СДЭМ), в том числе на бирже, и
купли-продажи мощности по результатам конкурентного отбора. Постановлением Правительства
РФ №89 от 24 февраля 2010 года утверждены изменения в Правила оптового рынка,
обеспечивающие запуск модели долгосрочного рынка мощности (ДРМ).
Как и в части торговли электроэнергией, с 2011
года по регулируемым договорам поставляется мощность только в объемах,
необходимых для поставки населению и приравненным категориям потребителей.
Основные отличия ДРМ от переходного рынка
мощности:
В рамках КОМ мощность отбирается на не год
вперед, а на 4 года (начиная с 2016 года), что гарантирует оплату мощности
поставщику на период строительства новых мощностей;
Ценообразование осуществляется в рамках зон
свободного перетока (ЗСП), а не ценовых зон, что позволяет формировать
локальные ценовые сигналы для покупателей и поставщиков мощности;
В рамках конкурентного отбора отбирается и
оплачивается не вся располагаемая мощность, что способствует усилению
конкуренции среди поставщиков мощности.
В долгосрочный рынок мощности включены договоры
о предоставлении мощности, позволяющие обеспечить финансирование инвестиций в
новую генерацию.
теплоэлектроцентраль котел нагрузка
интегратор
8. Розничный рынок
На розничном рынке электроэнергии и мощности
могут осуществлять деятельность следующие субъекты (участники рынка
электроэнергии):
потребители электрической энергии;
исполнители коммунальных услуг, которые
приобретают электрическую энергию для дальнейшей продажи ее гражданам, т.е.
оказанию им коммунальных услуг;
гарантирующие поставщики;
независимые энергосбытовые компании,
энергоснабжающие организации;
сетевые организации, а также владельцы объектов
электросетевого хозяйства;
системный оператор.
Производители электроэнергии независимо от
величины установленной мощности с одновременным выполнением условий, что такие
производители не должны продавать всю электроэнергию на оптовом рынке, имеют
право реализовать произведенную электроэнергию на розничном рынке. Такие
производители электроэнергии называются производители электрической энергии
розничного рынка. Они имеют право продавать выработанную электроэнергию как
потребителям, которые находятся в том же субъекте РФ, что и производитель
электроэнергии, так и производителю электроэнергии.
Сетевая организация - организация, которая имеет
на праве собственности или ином законном основании объекты электросетевого
хозяйства (подстанции, линии электропередач и пр.) с использованием которых
оказывает услуги по передаче электроэнергии потребителям (оказывает услуги
транспорта электроэнергии от производителей до потребителей).
Системный оператор - организация, в основную
задачу которого входит управление техническими режимами. Энергосистемы и
обеспечение требуемых параметров надежности в энергосистеме, и многое другое.
Ценообразование на рынках электроэнергии
достаточно сложный и многогранный вопрос. Его особенности заключаются в
следующем: Потребителям, относящимся к категории «население и приравненное к
населению» электроэнергия на розничном рынке отпускается только по регулируемым
ценам (тарифам). Остальным потребителям электроэнергия отпускается следующим
образом:
В ценовых зонах (большая часть субъектов РФ) -
продажа осуществляется по нерегулируемым ценам.
Неценовые зоны - продажа осуществляется по
регулируемым тарифам.
Регулируемые цены (тарифы) на рынке
электроэнергии и мощности устанавливаются на основании разработанного
Министерством экономического развития и одобренного Правительством РФ прогноза
социально-экономического развития Российской Федерации на очередной год.
Федеральная Служба по тарифам РФ (ФСТ РФ) для каждого субъекта РФ устанавливает
диапазон регулируемых тарифов (коридор) для потребителей, относящихся к группе
«население и приравненные к нему категории». В рамках установленного ФСТ РФ
диапазона, местный орган исполнительной власти в области государственного
регулирования тарифов (региональные службы по тарифам (РСТ) или комитеты по
тарифам и ценам) субъектов РФ устанавливают тарифы на электроэнергию для
потребителей, относящихся к группе «население и приравненные к нему категории».
Также региональные службы по тарифам (РСТ) субъектов РФ утверждают тарифы на
оказание услуг по передаче электроэнергии, с использованием которых
производятся расчеты с сетевыми компаниями.
Для неценовых зон оптового рынка применяются
принципы трансляции цен оптового рынка, которые определены в «Основных
положениях функционирования розничных рынков электрической энергии», которые
утверждены Постановлением Правительства РФ от 04.05.2012 №442 (правила
функционирования розничных рынков электроэнергии).
На розничных рынках, в ценовых зонах
гарантирующие поставщики осуществляют продажу электроэнергии потребителям по
нерегулируемым ценам на электрическую энергию (за исключением населения), но не
выше предельных уровней нерегулируемых цен. Порядок расчета нерегулируемых цен
на электрическую энергию указан в «Основных положениях функционирования розничных
рынков электрической энергии», которые утверждены Постановлением Правительства
РФ от 04.05.2012 №442.
Анализ всех этих рынков, процессов происходящих
в них, а так же прогноз и разработка моделей комплексная и сложная
деятельность. Настолько что существуют компании полностью специализирующиеся на
ней.
9. Системные интеграторы
Такие компании называются системные интеграторы.
В общем случаи они занимаются разработкой комплексных решений по автоматизации
технологических и бизнес-процессов предприятия. Конечная цель - максимально
эффективное управление технологическим процессом, производством, организацией в
целом. В энергетической отрасли основная функция СИ повышение маржинальной
прибыли от производства и сбыта электрической и тепловой энергии за счет оптимизации
режимов работы и состава оборудования.
Процесс их работы заключается в сборе и анализе
данных о конкретной ТЭС; прогнозе поведения рынка электроэнергии; на основе
вышеперечисленного, построение технико-экономических моделей, позволяющих
оптимизировать режимы работы станции.
Раньше, когда энергетика только развивалась,
было достаточно имитационных моделей, по сути позволяющих оптимизировать работу
ТЭС только по техническим параметрам (принципы подобной оптимизации рассмотрены
выше). В условиях же современного рынка задача значительно осложнилось.
Сейчас востребованы технико-экономические модели
учитывающие рыночные отношения продажи электроэнергии, поставки топлива для
станции, плановые ремонты и модернизацию и т.д.
Данная задача осложняется еще и тем, что теперь
это вопрос не столько науки сколько бизнеса и опыт каждой компании остается
только при ней.
Рисунок 2 - Технико-экономическая модель ТЭС
Выводы
За последние десять лет оптимизация работы
генерирующих компаний не только усложнилась, но и в условиях конкуренции стала
еще более важной. Рыночные отношения изменили отрасль, приватизация компаний
поставила во главу угла прибыль. Если раньше главной задачей было покрыть
потребности страны в энергии с наименьшими затратами, то сейчас все крутится
вокруг прибыли. Население и промышленность по-прежнему получают требуемую
электроэнергию, но приоритеты, а значит и методы и условия изменились.
Глобально, однако, поменялось не так много. Проблема оптимизации вечна. Мир
изменчив: появляются новые технологии, виды топлива, меняются условия рынка,
политическое регулирование. Так задача может меняться, усложнятся, но всегда
будет оставаться важной и не решенной до конца.
Список использованных источников и
литературы
1.
«Оптимизация режимов работы ТЭЦ с использованием быстродействующих
математических моделей теплофикационных паровых турбин». Журнал теплофизика и
аэромеханика, 2006, №1,т. 13, с. 159-167.
.
Рыжкин В.Я. Тепловые электрические станции - М: Энергоатомиздат, 1987. - 328 с.
.
http://www.energo-konsultant.ru/
.
http://www.03-ts.ru/
.
«Увеличение маржинальности работы ТЭС. Теория и практика». Профессиональный
журнал «Энергорынок», 2013, №10(115), с. 34-37.
.
«Условное топливо закончилось». Журнал Большой Бизнес, июнь 2012, с. 112-115.