Автоматизированные теплофикационные системы управления турбины с отопительными отборами
Федеральное
агентство по образованию
ПЕНЗЕНСКАЯ ГОСУДАРСТВЕННАЯ
ТЕХНОЛОГИЧЕСКАЯ АКАДЕМИЯ
КУРСОВОЙ
ПРОЕКТ
по
дисциплине:
«Автоматизация
технологических процессов и производств»
Тема
работы:
«Автоматизированные
теплофикационные системы управления турбины с отопительными отборами»
Выполнил: студент
гр. 03А1
Поляков С.В.
Проверил: Прошин
И.А.
Пенза
2007 г
Введение
Повышение
эффективности работы теплоэнергетического оборудования всегда являлось
приоритетным направлением в развитии энергетической науки.
Появление
современных научно-технических разработок, новых материалов и технологий должно
найти свое отражение в энергетике. Необходимо учитывать также возможности
современных мощных компьютеров, позволяющих моделировать, проектировать и
производить различные расчеты для энергетических задач в большем объеме и с
большей скоростью.
Провал в
развитии энергетики в нашей стране с начала 90-х годов XX века до сих пор дает
о себе знать, это отражается в низком потребления энергии во многих регионах.
Выход из
строя старого оборудования из-за его старения и практически единичные вводы
новых энергетических мощностей - все это заставляет более серьезно подойти к работе
существующих станций.
При
наметившемся в последние годы экономическом росте может возникнуть дефицит
энергетических мощностей. Строительство новых станций требует больших
капитальных вложений, при этом на многих станциях имеются внутренние энергетические
резервы, выявление которых возможно при оптимизации работы теплоэлектроцентрали
(ТЭЦ). Кроме того, решение задач по оптимизации работы ТЭЦ позволит повысить
технико-экономические показатели станций, что приведет к повышению их
конкурентоспособности на энергетическом рынке в условиях реструктуризации
энергетической отрасли.
В условиях
реструктуризации энергетической отрасли остро встает вопрос по повышению
конкурентоспособности существующих ТЭЦ. Многие ТЭЦ обладают внутренними
неиспользуемыми тепловыми резервами, использование которых позволило бы
повысить технико-экономические показатели станций. Одними из возможных действий
являются мероприятия по оптимизации работы оборудования ТЭЦ.
Анализ
литературных источников по проблемам совершенствованиям работы ТЭЦ выявил, что
оптимизацию можно условно разделить на оптимизацию тепловой схемы ТЭЦ и
оптимизацию режимов работы теплоэнергетического оборудования.
Оптимизация
тепловой схемы
Под
оптимизацией тепловых схем понимается, наиболее эффективное использование и
перераспределение имеющихся резервов по тепловой энергии и наилучшие изменения,
которые можно внести в схему промышленно-отопительной станции.
При
оптимизации действующих тепловых электростанций практически не пригодны такие
традиционные пути, как повышение начальных параметров и увеличение ступеней
перегрева пара, увеличение единичной мощности агрегатов^и т.п. В качестве
основного направления работ по повышению эффективности тепловой электрической
станции (ТЭС) принято совершенствование тепловых схем и режимов работы
оборудования.
Оптимизацию
тепловых схем можно условно разделить на две группы:
- изменение
параметров тепловой схемы и режимов работы турбоуста-новки;
-
перераспределение источников теплоты и использование резервов тепловой схемы.
1.1.1. Изменение
параметров тепловой схемы и * * режимов работы турбоустановки
В данную
группу входят такие широко освещенные в научно-технической литературе изменения
параметров и режимов работы тепловой схемы, как:
- отключение
подогревателей высокого давления (ПВД);
- скользящее
противодавление;
- скользящее
давление свежего пара.
Описание
исследований отключения ПВД, технико-экономическая целесообразность
представлены во многих источниках
Впервые в
широком объеме исследования характеристик энергоблоков 1% : (как
конденсационных, так и теплофикационных установок) при отключении
V ,* части
регенеративных подогревателей были проведены ЦКТИ.
При работе
ТЭЦ в отопительный период в соответствии с температурным графиком теплосети
отпуск теплоты из теплофикационных отборов турбин достигает своего
максимального расчетного значения в момент включения пиковых источников теплоты
и сохраняется неизменным при дальнейшем снижении температуры наружного воздуха.
При этом регулирующая диафрагма части низкого давления (ЧНД) турбины находится
в большинстве случаев в полностью закрытом положении, пропуск пара через ЧНД в
конденсатор на этих режимах минимален.
Между тем
выявлена возможность увеличения тепловой нагрузки турбин
сверх
номинальной за счет отключения ПВД либо при неизменном расходе свежего пара
турбиной либо при неизменной величине подвода теплоты к турбоустановке. Однако
в обоих этих случаях одновременно с ростом тепловой нагрузки происходит
изменение электрической мощности турбоагрегата: в первом случае она увеличивается,
во втором - снижается. Между тем в условиях диспетчерского задания
электрической мощности ТЭЦ требуется обеспечение поддержания ее на заданном
уровне предпринята попытка исследования возможностей увеличения тепловой
нагрузки теплофикационных отборов турбин сверх номинальных значений в период
работы ТЭЦ с включенными пиковыми водогрейными котлами (ПВК) в условиях
поддержания заданной диспетчерским графиком постоянной электрической мощности.
Это возможно,
следующими способами:
- отключением
ПВД; при этом поддержание заданной электрической мощности осуществляется
некоторым снижением расхода свежего пара;
-
искусственным повышением давления пара в теплофикационных отборах до предельно
допустимого, частичным обводом сетевых подогревателей (ПСГ) по воде. В этом случае
для поддержания заданной неизменной электрической мощности необходимо несколько
повысить расход свежего пара турбиной с целью компенсации снижения
располагаемого перепада энтальпий на турбину;
- сочетанием
отключения ПВД и повышения давления пара в отборах турбины.
Регенеративный
подогрев питательной воды в теплофикационных установках уменьшает потери тепла
в конденсаторе и повышает выработку электроэнергии на теплопотребление, тем
самым обеспечивая экономию топлива. Однако, в отличие от конденсационных
установок, у которых потери тепла в конденсаторе имеют место на всех режимах,
теплофикационные установки на определенных режимах могут работать без потерь
тепла в конденсаторе или с минимальными потерями в нем.
Выполненные
исследования упомянутых режимов работы теплофикационных турбин и анализ
полученного материала позволили установить следующее. Так как при работе
теплофикационных турбоустановок по тепловому графику, с противодавлением или
ухудшенным вакуумом потери тепла в конденсаторе минимальны или полностью
отсутствуют, то эффективность регенерации в этих условиях в значительной мере
утрачивается. Следовательно, на таких режимах регенеративные отборы пара могут
быть отключены без заметного снижения тепловой экономичности установки.
В современных
теплофикационных паротурбинных установках приблизительно 15% электрической
мощности вырабатывается паром регенеративных отборов. Следовательно, отключение
их может дать значительное изменение электрической мощности таких турбин.
Практическое
осуществление режима работы с полностью отключенной регенерацией на большинстве
современных паротурбинных установок невозможно. Так, принятые в настоящее время
тепловые схемы не позволяют отключать деаэратор из-за необходимости постоянной
дегазации питательной воды, а также (при отключенных остальных регенеративных
подогревателях) для поддержания температуры питательной воды в пределах
допустимых значений по условиям работы котла. Отключение регенеративных отборов
пара на подогреватели низкого давления (ПНД) с целью снижения электрической
мощности турбины при работающем деаэраторе малоэффективно, так как подача в
деаэратор холодного конденсата вызывает значительное увеличение расхода
греющего пара на него и вырабатываемой этим паром электрической мощности.
Достаточно
просто реализуется на практике вариант с частичным отключением регенеративных
отборов пара, а именно - отключение подогревателей высокого давления.
Отключение
ПВД вызывает снижение электрической мощности теплофикационных турбин в меньших
размерах, чем при отключении всей регенерации. Так, например, отключение всех
регенеративных отборов турбины Т-100-130 приводит к снижению ее электрической
мощности на 15,5%, а отключение только ПВД - на 5,3%.
В большинстве
пиковых режимов отключение ПВД теплофикационных турбин, работающих по тепловому
графику, оказывается экономически целесообразным, поскольку при этом
увеличивается выработка электроэнергии на тепловом потреблении и одновременно
снижается нагрузка пиковых источников теплоты. В период работы с частичными
тепловыми нагрузками (когда водогрейные котлы отключены) эффективность режимов
с отключенными ПВД неочевидна и зависит от заданных внешних условий (прежде
всего, графиков тепловой и электрической нагрузок, располагаемого расхода
топлива на ТЭЦ и т.д.).
В то же время
отключение ПВД приводит к снижению температуры уходящих газов котлов и
повышению их коэффициента полезного действия (КПД) [9, 10]. В соответствии с
проведенными ВТИ детальными расчетами переменных режимов котла снижение
температуры питательной воды при отключений ПВД повышает их КПД на 0,1...0,3%
[11]. В результате суммарные потери теплоты в цикле энергоблока снижаются на
0,1...0,25% от величины всего расхода теплоты. Полученные данные показывают,
что в условиях работы с ограниченным расходом топлива отключение ПВД позволяет
увеличить тепловую нагрузку отборов на 1...3 %.
При заданной
тепловой нагрузке отборов отключение ПВД наряду с уменьшением электрической
мощности приводит к снижению расхода теплоты на турбину на 1...2,5% и
соответствующему уменьшению расхода топлива на котел.
В условиях,
когда не предъявляется требование к увеличению электрической мощности (и тем
более при вынужденной разгрузке), эксплуатация теплофикационных турбин в
режимах по тепловому графику с отключенными ПВД повышает коэффициент полезного
использования теплоты топлива за счет уменьшения общих потерь теплоты в
холодном источнике. При этом появляется возможность либо снизить расход
сжигаемого в энергетических котлах топлива для получения заданного отпуска
теплоты из отборов, либо увеличить тепловую нагрузку турбин (при неизменном
расходе топлива) и, тем самым, уменьшить продолжительность использования
пиковых водогрейных котлов.
11. Предложенные
способы обеспечивают возможность увеличения тепловой нагрузки теплофикационных
отборов турбин сверх номинального значения в течение всего периода работы ТЭЦ с
пиковыми источниками теплоты. Увеличение отпуска теплоты из отборов турбины
позволяет:
- сократить
время работы ТЭЦ с включенными пиковыми водогрейными котлами;
- увеличить
долю тепловой нагрузки ТЭЦ, покрываемую из отборов турбины, и соответственно
снизить долю нагрузки, приходящуюся на ПВК;
- увеличить
общий отпуск тепла с ТЭЦ сверх максимального расчетного значения в случае
длительного стояния температуры наружного воздуха ниже минимальной расчетной;
- обеспечить
частичное резервирование пиковых источников теплоты в случае выхода последних
из строя.
Применение
способа работы турбины с отключенными ПВД позволяет поднять уровень температуры
сетевой воды при выходе из турбоустановки на 3-3,5 °С по сравнению с расчетной,
а сочетание отключения ПВД с повышением давления пара в отборах путем обвода
ПСГ - на 5-9°С в течение всего периода нахождения температуры наружного воздуха
ниже расчетной температуры включения ПВК [6]. При отключении ПВД пиковые
источники теплоты включаются при температуре наружного воздуха.
Период работы
ТЭЦ с включенными ПВК сокращается при этом на 800 -900 ч в год, а время работы
с включенными ПВК нагрузка последних сокращается.
Увеличение
тепловой нагрузки турбоустановок и перераспределение нагрузок между последними
и ПВК приводит к экономии топлива и ТЭЦ на выработку теплоты. Это обусловлено
во-первых, тем, что энергетические котлы имеют КПД в среднем на 1,0 -1,5% выше,
чем ПВК, во-вторых, повышением КПД самих энергетических котлов на 0,9 - 1,0%
при отключении ПВД турбоустановки.
12. В описано
использование отключения ПВД для увеличения регулировочного диапазона ТЭС: при
повышении электрической нагрузки отключают ПВД и направляют пар регенеративных
отборов в конденсатор и отопительные отборы. Способ позволяет увеличить
мощность ряда серийных паротурбинных установок на 10-15 % при умеренном
снижении тепловой экономичности. Регулировочный диапазон установки также
увеличивается на 10-15 %. При полностью отключенных регенеративных
подогревателях расход пара цилиндра низкого давления (ЦНД) возрастает больше
чем в 1,5 раза, а значение предельной мощности энергоблока достигает почти 20%.
Этот способ был достаточно полно исследован и прошел промышленную проверку на
ТЭС.
Одна из причин
уменьшения экономичности мощных энергоблоков - снижение средней температуры
подвода теплоты в течение цикла. Критерием, лимитирующим дальнейшее повышение
мощности блока, является ограничение по максимальной производительности
дымососов Характер изменения КПД энергоблока и перерасход топлива оказывается
такими же, как и для энергоблоков, рассчитанных на сверхкритическое давление,
но абсолютное значение перерасхода теплоты несколько меньше
ПВД, в которые направляется менее 30% отбираемого пара, обеспечивают около 70%
дополнительной мощности. Снижение экономичности энергоблока для выработки этой
части мощности невелико (5% перерасхода топлива), а технические мероприятия,
связанные с возможностью ее реализации, не слишком сложны. Отключение одного
ПВД на паротурбинных блоках обеспечивает 3 - 3,5% дополнительной мощности, двух
ПВД - 7 - 10% и трех ПВД - 10 - 14%. Экономичность-снижается на 20-25%.
Применение такого метода эффективно для энергосистем с резко выраженными и
кратковременными пиками нагрузок. Отключение ПВД и направление вытесненного
пара в сетевые подогреватели питательной воды повышают мощность турбины
Т-175-180 на 6%.
При условии
компенсации недогрева питательной воды путем использования теплоты уходящих
газов газотурбинной установкой (ГТУ) располагаемая мощность турбоустановки
возрастает при отключенном ПВД не на 6, а на 4,5% из-за снижения мощности ГТУ
на 3%, а также необходимости установки газоводяного экономайзера для подогрева
питательной воды и потерь давления в газовом тракте. Для турбин типа
Т-175-210-130 и Т-130-215-130 предусмотрена возможность длительного отключения
ПВД при максимальном расходе свежего пара (вытесненный пар может быть направлен
не в сетевые подогреватели, а в конденсатор). Относительные прирост мощности
достигает 10%.
Для
компенсации возросших тепловых нагрузок и улучшения технико-экономических
показателей электрических станций необходимо использование мощных
конденсационных энергоблоков, для чего модернизируются конденсационные
турбоустановки с организацией теплофикационного отбора пара. Осуществлена такая
реконструкция турбоагрегата К-200-130-3. При увеличении расхода пара до
максимума мощность турбин 300-500 МВт возрастает на 6-7%, а турбин 800 МВт -
приблизительно на 4%.
Применение
метода отключения ПВД в паротурбинных энергоблоках дает возможность при
небольших капиталовложениях использовать значительные мощности в качестве
аварийного резерва, необходимого для компенсации экстренного дефицита мощности.
Наивысший экономический эффект может быть получен при комбинированной выработке
пиковой мощности паросиловыми энергоблоками и ГТУ. Отключение ПВД связаны с
усложнением конструкции установки и необходимостью дополнительной защиты
подогревателя от повышения давления при наборах нагрузки, установкой
блока-аккумулятора большой емкости, так как паровые котлы ТЭЦ не рассчитаны на
работу с пониженной температурой питательной воды при сохранении номинальной
производительности
В описаны
возможности расширение регулировочного диапазона нагрузок. Удельную выработку
электроэнергии теплофикационной турбоустановкой на тепловом потреблении можно
снизить следующими способами:
- снижением
температуры отвода тепла от цикла. Это достигается увеличением давления в
регулируемом отборе до максимально допустимого путем обвода бойлеров по сетевой
воде. Такой способ называют способом скользящего противодавления;
- уменьшением
температуры подвода тепла к циклу, т.е. температуры свежего пара и пара после
промперегрева.
Это приводит
к значительному изменению температуры проточной части турбины, поэтому скорость
изменения температуры пара должна быть выбрана таким образом, чтобы
относительный сдвиг ротора не превысил аварийных значений. Следует отметить,
что снижение температуры свежего пара и пара после промежуточного перегревателя
способствует увеличению влажности в последних ступенях турбины, в результате
чего происходят уменьшение внутреннего относительного КПД этих ступеней и
дополнительное снижение электрической мощности при постоянном отпуске тепла из
отборов. Однако для обеспечения надежной работы турбины влажность пара в ее
последних ступенях не должна превышать предельно допустимых значений. В
промежуточном отсеке (здесь она достигает максимальных значений) этот
показатель в значительной мере зависит от давления в нижнем сетевом
подогревателе, поэтому данный способ целесообразно использовать со скользящим
противодавлением.
Следует отметить, что отключение ПВД и уменьшение температуры свежего пара на
турбоустановке ТЭЦ, работающей с полной загрузкой отопительных отборов, не
влекут за собой, в отличие от конденсационной электри-ческой станции (КЭС),
снижения ее экономичности, так как в этом случае потери тепла в холодном
источнике постоянны (при условии постоянства начальных значений давления и
температуры и конечного давления). При использовании скользящего
противодавления происходит увеличение давления в нижнем отопительном отборе,
что приводит к повышению расхода пара в конденсатор и соответственно к снижению
экономичности. Сказанное относится к турбоустановке, работающей в режиме
двухступенчатого подогрева сетевой воды. При использовании трехступенчатого
подогрева сетевой воды потери в конденсаторе отсутствуют, и применение
описанных способов не вызывает снижения экономичности их работы.
Способ
скользящего давления пара в регулируемых отборах теплофикационных турбин,
позволяет изменять электрическую мощность теплофикационных турбин, работающих
по тепловому графику с заданным отпуском теплоты. Это изменение получают
обводом сетевых подогревателей по воде, что приводит к изменению давления пара
в сетевых подогревателях и регулируемых отборах турбины. Изменение давления
пара вызывает изменение используемого теплоперепада и развиваемой турбиной
электрической мощности. Сохранение примерно постоянного расхода пара в сетевых
подогревателях позволяет обеспечить заданную тепловую нагрузку. Исследованиями
ЛИИ установлено, что с помощью этого способа электрическая мощность ТЭЦ,
работающих по тепловому графику с заданным отпуском теплоты, может быть снижена
на 20-25%. Рассматриваемый способ также имеет ряд недостатков. Основным из них
является практическая невозможность его использования в период зимнего
максимума нагрузки, когда давление пара в регулируемых отборах близко к
максимально допустимому. Использование для регулирования расхода сетевой воды
серийных задвижек больших диаметров, установленных на обводе сетевых
подогревателей, в ряде случаев вызывает значительные трудности. Способ может
быть реализован только на турбинах с регулируемыми отопительными отборами пара.
Совместное
применение способов отключения ПВД и скользящего противодавления обеспечивает в
течение всего отопительного сезона гарантированное снижение электрической
мощности турбоустановки Т-100-130 примерно на 20 МВт. Более глубокая разгрузка
турбоагрегатов ТЭЦ может быть осуществлена путем снижения расхода острого пара,
что повлечет за собой уменьшение отпуска тепла отопительными отборами, которое
необходимо компенсировать из других источников тепла.
Обобщая
результаты о применении скользящего давления на ТЭЦ с поперечными связями,
можно констатировать следующее.
-
исследования подтвердили наличие значительного дросселирования давления пара на
клапанах при больших нагрузках и перекрытии клапанов;
- при малых
нагрузках;
-
экономичность работы турбоустановки в пределах точности измерений при
постоянном и скользящем регулировании примерно одинакова, хотя в большинстве
случаев эффективность при постоянном давлении несколько выше;
- по значению
КПД регулирующей ступени и эффективности работы турбоустановки в целом
оптимальной является комбинированное регулирование давления пара, а именно:
разгрузка на постоянном давлении до закрытия третьего клапана и дальнейшая
разгрузка на полностью открытых первом и втором клапанах.
По блоку
котел - турбина:
- для
повышения эффективности работы блока возможно повышение температуры свежего
пара без снижения надежности работы поверхностей нагрева котла и паропроводов
свежего пара, что позволяет значительно улучшить экономические показатели
установки;
- при
отсутствии возможности регулирования мощности электродвигателей питательных
насосов рекомендуется при переводе электростанции в целом или отдельных ее
секций в режим скользящего давления регулирование мощности производить имеющимися
работающими насосами.
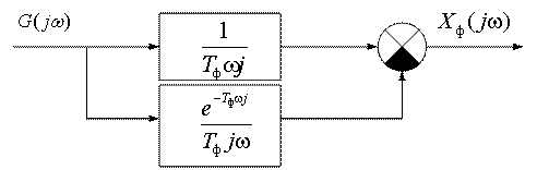
В аналоговом варианте фильтра реализуют
вычисление среднего значения функции g(t) на интервале времени от t –
до t (рис. 1)
Рисунок 1 Фильтр скользящего среднего. Схема
фильтрации
, (1)
где
– параметр настройки фильтра (время
усреднения)
Правую часть выражения (1) преобразуем к виду
. (2)
По формуле (2) видно, что фильтр скользящего
среднего представляет собой параллельное соединение двух интегрирующих звеньев,
одно из которых последовательно соединено со звеном запаздывания
Рисунок 2. Структурная схема фильтра
скользящего среднего
Поэтому амплитудно-фазовая характеристика фильтра описывается
выражением
, (3)
которое может быть преобразовано к виду
(4)
Решая совместно, можно получить выражение для дисперсии
погрешности фильтра
скользящего среднего и определить оптимальное значение
параметра настройки из необходимого условия
минимума функции
(
). Получаемое при этом
выражение очень громоздко и неудобно для практического использования. (На его
основе рассчитаны номограммы, по которым для заданных значений a, m и k можно определить
).
При программной реализации фильтра скользящего среднего расчет
сглаженного значения
в
очередном i-том
цикле проводится по формуле
(5)
где
—
параметр настройки фильтра.
Для расчета по формуле (5) требуется хранить в памяти УВМ (N + l) значение функции
.
Следует заметить, что в данном методе увеличение циклов
сглаживания в подавляющем большинстве случаев ведет к уменьшению погрешности,
однако, это всегда ведет к потере крайних точек – чем больше циклов, тем больше
точек мы теряем.
Пример расчета указан в таблице 1
Таблица 1
Пример расчета методом скользящего среднего
|
Исходные данные
|
6,00
|
8,00
|
3,00
|
9,00
|
5,00
|
11,00
|
5,00
|
12,00
|
15,00
|
7,00
|
|
1-ый цикл
|
|
5,67
|
6,67
|
5,67
|
8,33
|
7,00
|
9,33
|
10,67
|
11,33
|
|
|
2-ой цикл
|
|
|
6,00
|
6,89
|
7,00
|
8,22
|
9,00
|
10,44
|
|
|
|
3-й цикл
|
|
|
|
6,63
|
7,37
|
8,07
|
9,22
|
|
|
|
Практическая реализация данного метода изложена в приложении 1.
Полученный результат представлен на рисунке 3.
В аналоговом
варианте экспоненциальный фильтр представляет собой апериодическое звено и
описывается дифференциальным уравнением
, (6)
где
и
– параметры настройки фильтра.
Уравнению (6)
соответствует амплитудно-фазовая характеристика (АФХ)
, (7)
Из условия
(математическое ожидание)
для статического режима определяют оптимальное значение параметра
. Коэффициент усиления
. (8)
Определение
оптимального значения параметра
производится из условия (4)
(среднеквадратичная погрешность
оценки).
Для этого
предварительно рассчитывают спектральную плотность
погрешности экспоненциального фильтра.
. (9)
Дисперсия
погрешности экспоненциального фильтра, равна
. (10)
При вычислении
этого интеграла оба слагаемых подынтегрального выражения раскладывают на
простые дроби, каждая из которых сводится к табличному интегралу вида
. (11)
После
выполнения соответствующих преобразований получают следующее выражение для
дисперсии погрешности фильтрации:
. (12)
Оптимальное
значение параметра настройки
получают из необходимого условия экстремума
функции
:
.
(13)
Откуда
оптимальное значение параметра
. (14)
Таким
образом, функция
имеет
единственную точку стационарности, тип которой зависит от знака второй
производной при
.
Можно
показать, что при выполнении условия
, (15)
особая точка
является минимумом функции
, а при выполнении условия
(16)
в точке
, функция
достигает максимума.
Если это
условие не выполняется, то оптимальным является наибольшее допустимое значение
параметра
.
При
программной реализации экспоненциального фильтра дифференциальное уравнение (6)
заменяют разностным уравнением вида
(17)
где i – номер цикла расчёта
Отсюда
получают следующее рекуррентное соотношение для вычисления сглаженного значения
в очередном i-том
цикле расчёта:
(18)
К
достоинствам алгоритма экспоненциальной фильтрации относятся: малая
трудоёмкость расчётов и малый объём памяти ЭВМ, в которой должны храниться
величина
и обновляемая
в каждом цикле расчёта величина
.
.
За начало
отсчёта примем следующие допущения:
Расчёт произведем для трёх значений g:
g
= 0,4; 0,5; 0,6
Реализация этого метода представлена в приложении 2.
Как видно из приложения, в данном методе, применительно к нашему
случаю, самая малая погрешность при
после первого цикла сглаживания (см. рисунки
4, 5 и 6).
Рисунок 4. Графики при
Рисунок 5. Графики при
Рисунок 6. Графики при
Существует несколько стандартных видов функций, из которых легко
можно получить линейную функцию путем преобразования координат. Эти функции
указаны в таблице 2.
Таблица 2 Базисные функции с однократным и двойным
преобразованиями координат
|
№
|
Вид ММ
|
Исходное уравнение
|
Преобразованные
переменные
|
Преобразованное
уравнение
|
Параметры ММ
|
|
X
|
Y
|
|
|
|
1
|
Линейная
|
|
x
|
y
|
|
|
|
|
2
|
Степенная
|
|
|
|
|
|

|
Показательная
|
|
x
|
|
|
|
|
|
4
|
Показательно-гиперболическая
|
|
|
|
|
|
|
|
5
|
Гиперболическая
|
|
|
y
|
|
|
|
|
6
|
Обратная линейная
|
|
x
|
|
|
|
|
|
7
|
Обратная
гиперболическая
|
|
|
|
|
|
|
|
8
|
Логарифмическая
|
|
|
y
|
|
|
|
|
9
|
Обратная
логарифмическая
|
|
|
|
|
|
|
|
10
|
Гиперболическо-логарифмическая
|
|
|
y
|
|
|
|
|
11
|
Обратная
гиперболическо-логарифмическая
|
|
|
|
|

|
|
12
|
Показательно
гиперболическо-логарифмическая
|
|
|
|
|
|
|
|
13
|
Обратная
показательно гиперболическо-логарифмическая
|
|
|
|
|
|
|
|
14
|
Обратная
показательная
|
|
x
|
|
|
|
|
|
15
|
Обратная
показательно-гиперболическая
|
|
|
|
|
|
|
|
16
|
Обратная
показательно-логарифмическая
|
|
|
|
|
|
|
К процедуре выбора вида математической модели
предъявляются противоречивые требования с одной стороны процедура выбора должна
включать множество возможных вариантов ММ, с другой – должна быть выбрана одна
иди ограниченное количество ММ, удовлетворяющих заданным условиям, выбор должен
быть ограничен определенным набором функций, что позволяло бы проводить анализ этих ММ.
Удовлетворение
этих требований в предлагаемой методике достигается за счет использования в
качестве базовых ограниченного набора наиболее часто применяемых видов
преобразований прямо и обратно пропорционального и логарифмического, что
сводит процесс выбора к сравнению ограниченного набора функций, обеспечивает
эффективность сравнительного анализа этих моделей, и применением
многоуровневого преобразования координат, позволяющего выбирать практически
любой вид ММ при использовании ограниченного стандартного набора функций,
введением во внешнем контуре выбора итерационных процедур и процедур
оптимизации, обеспечивающих определение неизвестных параметров ММ, входящих как
в левую, так и в правую части уравнений, а также нахождение необходимого
количества ко эффициентов ММ.
Выбор вида математической модели – уравнения
регрессии основан на физической сущности исследуемого процесса, опыте решения
аналогичных задач, анализе исходной информации. В настоящее время отсутствуют
общие формализованные методы выбора вида модели Однако доя наиболее часто
встречающихся зависимостей с двумя параметрами такой предварительный выбор
возможен на основе сравнительного анализа абсолютных погрешностей каждого вида
математических моделей для определенных значений хi, вычисляемых с
использованием массива экспериментальных данных х и у.
Если в основу систематизации и приведения ММ к
линейному виду положить прямо пропорциональное X=х, логарифмическое
и обратно пропорциональное
преобразования, то для двух
переменных при однократном их преобразовании можно получить девять видов ММ
(табл. 3.2), при двукратном преобразовании – еще семь видов ММ (табл. 2)
Существенное расширение типов ММ достигается
введением многоуровнего преобразования переменных х и у путём использования в
качестве х и у. различных функций Например, если принять
,
, то зависимость 1 (см. табл. 2) примет вид
, а шестая и седьмая
функции перейдут, соответственно в уравнения
или
и
или
.
При необходимости получения квадратичной
зависимости достаточно принять
, или
, или
в уравнении 1.
В результате получим ММ
, или
, или
.
Уравнение вида
, описывающее переходные процессы в
технологических объектах управления, получается, если вместо у в математической
модели 3 Принять величину
, а уравнение
, подстановкой в уравнение 1 переменной
.
Уравнение вида
может быть получено при
, если для седьмой функции провести
дополнительно двойное преобразование координаты
(сначала
, затем
), а уравнение вида
, если для той же функции провести двойное
преобразование координаты
(сначала
, затем
).
Таким образом, проводя последовательно многоуровневое
преобразование координат х и у в соответствии с одними и теми же известными
функциями, можно получить практически любой вид ММ при использовании
ограниченного набора стандартных функций.
Реализация данного метода представлена в приложении 3.
График полученной ММ проиллюстрирован на рисунке 7.
Рисунок 7 График полученной ММ
Как видно из приложения мы уменьшили среднеквадратическое
отклонение от реальной кривой этим методом более, чем в три раза. Графики
практически совпали.
Данный не требует особого описания. Мы здесь просто методом
подбора выбираем оптимальные параметры ММ, с которыми отклонение от реальной
кривой будет минимально (см. приложение 4).
Результат представлен на рисунке 8.
Рисунок 8 График полученной ММ
Как видно из графика, полученная ММ заметно отличается от реальной
кривой, не смотря на то, что среднеквадратическое отклонение уменьшилось более,
чем в три раза.
Результаты таковы, что наилучший эффект был получен при
использовании идентификации экспериментальных данных с помощью преобразования
координат, а также при использовании экспоненциального фильтра. Хотя
среднеквадратической отклонение там не минимальное, зато графики полученной
модели и реальной кривой практически совпадают.
1.
В.В. Усманов. Автоматизированная обработка экспериментальной
информации с использованием методов дисперсионного и
корреляционно-регрессионного анализа: Учебное пособие / Под ред. И.А. Прошина.
– Пенза: ПТИ, 1999. – 104 с.
2.
Справочник по математике (для научных работников и инженеров). Г.
Корн./ Под ред. И.Г. Арамановича – М.: Наука, 1978. – 832 с.
3.
Прошин И.А., Прошин Д.И., Прошин А.И., Усманов В.В. Методика
обработки результатов моделирования и эксперимента // Техническое управление в
региональной энергетике.
4.
Прошин И.А., Прошин Д.И., Прошин А.И., Усманов В.В. Система
обработки экспериментально-статистической информации // Техническое управление
в региональной энергетике.