|
Показники динамічної характеристики об’єкта
|
Збурення
|
|
     K1zK2zK3zK12K21K23K32 
|
|
|
|
|
|
|
|
|
|
|
|
|
|
|
|
|
10
|
20
|
15
|
0,8
|
0
|
0
|
0,4
|
0
|
0,4
|
0,9
|
0,2
|
0,9
|
0
|
20
|
0
|
30
|
Після підстановки значень отримаємо
наступне:
Приймемо
, і після
перетворень (зведення подібних, винесення за дужки і Лаплас - перетворення)
маємо систему в операторному вигляді:
Визначимо передаточні функції
різних ємностей:
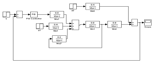
Вихідна структурна схема
об’єкта має вигляд:
Мал. 1 Структурна схема об’єкта
Після перетворень (згідно з
правилами) структурної схеми отримаємо:
Мал. 2 Перетворена структурна схема
об’єкта
Запишемо за виглядом
структурної схеми еквівалентні передаточні функції об’єкта за каналом
управління
та збурень
. Аналіз властивостей об’єкта
Статичні характеристики
об’єкта
Статичні характеристики об'єкта
визначаються за відповідними передаточними функціями або за диференціальним
рівнянням об'єкта з урахуванням початкових умов (якщо не задані у вихідних
даних, приймаються рівними нулю). Оскільки в статичному стані об'єкта всі
похідні вхідних діянь та вихідних величин дорівнюють нулю, зображення
відповідних похідних у передаточних функціях (р3, р2, р і
т.д.) також прирівнюються до нуля.
Визначаємо статичні
характеристики об’єкта за визначеними передаточними функціями і заданим
значенням
.
Статична характеристика за
каналом управління має вигляд:

.
Статичні характеристики за
каналами збурень мають вигляд:
Мал. 3 Статичні
характеристики об’єкта за каналами
;
.
Динамічні характеристики
об’єкта
Для побудови АЧХ, ФЧХ і АФХ
визначимо значення амплітуди
і фази
в
залежності від частоти
.
і
визначаються
за формулами:
Для побудови АФХ в кожній із відповідних
передаточних функцій виконується формальна підстановка:
, де
- уявна
одиниця.
Запишемо частотну
характеристику об’єкта за каналом збурення
на основі передаточної функції:
Умовою перетину дійсної осі є
виконання рівності:
Єдиним
дійсним розв’язком цього рівняння є значення:
, тобто лише за цього значення
частоти існує перетин із дійсною віссю.
Уявну вісь АФХ не перетинає,
оскільки дійсних розв’язків рівність
не має.
Значення кроку
і кінцевого
значення
візьмемо з процесу визначення частотних характеристик за іншими каналами.
Табл. 1 Зведена таблиця
значень для визначення частотних характеристик об’єкта за каналом збурення
Аналогічно отримуємо частотні
характеристики за каналом управління
:

Умовою перетину дійсної осі є
виконання рівності:
Звідки:
Уявна вісь перетинається АФХ
за умови виконання рівності:
Шукане значення:
.
Табл. 2 Зведена таблиця
значень для визначення частотних характеристик об’єкта за каналом управління
Частотна характеристику
об’єкта за другим каналом збурення
на основі передаточної функції:
Умовою перетину дійсної осі є
виконання рівності:
Звідки:
Уявна вісь перетинається АФХ
за умови виконання рівності:
Шукане значення:
.
За крайнє значення і значення
кроку візьмемо значення з процесу визначення частотних характеристик за каналом
управління.
Значення проміжних частот і
відповідних їм значень
та ін. можна
побачити в табл. 3.
Графічне зображення частотних
характеристик див. у відповідних додатках:
за каналом збурення
: у додатку
1;
за каналом збурення
: у додатку
2;
за каналом
управління
: у додатку
3.
Табл. 3 Зведена таблиця
значень для визначення частотних характеристик об’єкта за каналом збурення
3. Розроблення та дослідження
системи автоматичного регулювання
Вибір закону регулювання
Перевіримо відповідність
статичної похибки системи її допустимому значенню:
.
Щоб знайти
у відомих
відповідних передаточних функціях прирівнюємо p до нуля: p=0, і виконуємо
відповідні перетворення, після чого маємо наступний вираз:
Для значення
маємо
наступний перехідний процес:
Мал. 4 Перехідний процес з П
- регулятором
Статична похибка для даного
перехідного процесу:
, що більше
допустимого значення.
Отже, систему необхідно
замкнути регулятором з астатичною складовою.
Аналіз стійкості системи
Для перевірки системи на
стійкість скористаємося критерієм Рауса - Гурвіца.
Треба скласти визначник
Гурвіца за характеристичним рівнянням замкненої системи, для чого спочатку
визначимо передаточну функцію замкненої системи за каналом управління:
Складаємо визначник Гурвіца:
Звідси діагональні мінори:
Робимо висновок, що система є
стійкою.
При цьому структурна схема
замкненої САР з регулятором має вигляд:
Мал. 5 Структурна схема
замкненої САР з регулятором
Параметрична оптимізація
системи
Параметрична оптимізація розробленої
стійкої CAP
полягає
в знаходженні оптимальних параметрів настройки регулятора (регуляторів), що
забезпечує найкраще (мінімальне чи максимальне) значення критерій якості
перехідного процесу при додержанні відповідних обмежень.
Залежно від поставленої перед CAP
мети
критеріями якості можуть бути: час регулювання, інтегральні (поліпшені
інтегральні) оцінки, ступінь фільтрації збурень на процес тощо. Обмеженнями, як
правило, є такі показники: динамічна похибка, ступінь затухання процесу та ін.,
які визначають запас стійкості CAP.
Параметрична оптимізація CAP може
виконуватися математичним моделюванням на ПЕОМ з використанням частотних або
розширених частотних характеристик системи тощо.
Якщо в найпростішій стійкій САР не
вдається досягти потрібної якості процесу регулювання при всіх допустимих
значеннях параметрів її настройки, переходять до більш складних CAP.
Робота завершується після
розроблення CAP, що повністю задовольняє поставленим вимогам.
Початкові значення параметрів
настройки регулятора потрібно вибрати такими, щоб система була стійкою.
Для цього побудуємо АФХ
розімкненої системи з ПІ - регулятором за умови
Частоти
відомі, тому
є можливість добудувати вектор l - складової закону
регулювання.
Для цього до кожної точки
АФХ, якій відповідає певне конкретне значення частоти, проводиться вектор під
кутом
, довжина
якого визначається за формулою:
.
Значення 
обираємо з діапазону
, а в нашому
конкретному випадку це значення:
.
Після з 'єднання кінців
векторів
годограф
АФХ розімкненої системи побудовано (див. у додатку 6).
Значення довжин векторів
для
конкретних значень частоти
і складової
можна
побачити в табл. 4.
Табл. 4. Значення довжин
векторів
Для отримання параметрів
і 
системи із заданим запасом
стійкості (ступенем затухання) з початку координат проведемо промінь OF під
кутом
:
,
де M - показник
коливальності, однозначно пов'язаний із ступенем затухання і запасом стійкості.
Зазвичай M вибирають рівним
M=1.62, що відповідає куту
і показнику ступеню затухання
. При
зменшенні або збільшенні показника коливальності можуть дещо погіршуватися інші
показники якості перехідного процесу.
Провівши з центру координат
промінь OF під кутом
, далі
необхідно на від'ємній дійсній піввісі знайти центр такого кола, яке б
одночасно дотикалося і до променя OF, і до годографа АФХ системи з ПІ -
регулятором. Визначивши графічно радіус цього кола R, ми можемо визначити
пропорційну складову регулятора за формулою:
. Відповідну інтегральну складову
визначаємо за формулою:
.
Після виконання всіх описаних
дій до всіх АФХ системи з ПІ - регулятором маємо ряд даних, які можна побачити
в табл. 5.
Табл. 5. Зведена таблиця
настройок регулятора, радіусів дотичних кіл і складових
|
Значення складової Радіус
відповідного дотичного кола RПропорційна складова регулятора Інтегральна
складова регулятора 
|
|
|
|
|
0.4134662.418580.07248
|
|
|
|
|
0.3800662.631120.07168
|
|
|
|
|
0.3559082.809710.07017
|
|
|
|
|
0.3224263.101490.06639
|
|
|
|
|
0.3016223.315410.06210
|
|
|
|
|
0.2743963.644370.05748
|
|
|
|
Далі знаходимо оптимальні настройки
ПІ - регулятора.
Для цього побудуємо в площині (y=Kp;
x=Ti)
область заданого
запасу стійкості
САР з ПІ - регулятором. При побудові використаємо дані
з табл. 5.
Далі проведемо із центру
координат до отриманої кривої області запасу стійкості дотичну. З точки дотику
опустимо перпендикуляри на вісі, отримаємо оптимальні настройки регулятора:
Графік із заданим запасом
стійкості дивіться у додатку 7.
За даних оптимальних
настройок маємо наступний перехідний процес з наступними характеристиками:
мал.6.
Мал. 6 Перехідний процес з
оптимальними настройками ПІ - регулятора
(
)
Показники якості перехідного
процесу з оптимальними настройками:
Динамічна похибка:
;
Степінь затухання:
;
Перерегулювання:
;
Час регулювання:
с.
Інтегральний квадратичний
критерій:
.
Подивимось на динаміку змін
перехідного процесу та його характеристик за зміни настройок регулятора +20%
-20% від
початкових (оптимальних). Перехідний процес за +20% від початкових настройок
регулятора має вигляд: мал. 7.
Мал. 7 Перехідний процес з
настройками ПІ - регулятора +20% від початкових (оптимальних)
Показники якості перехідного
процесу (+20%):
Динамічна похибка:
;
Степінь затухання:
;
Перерегулювання:
;
Час регулювання:
с;
Інтегральний квадратичний
критерій:
.
Перехідний процес за -20% від
початкових (оптимальних) настройок регулятора має вигляд: мал. 8.
Мал. 8 Перехідний процес за
настройками ПІ - регулятора -20% від початкових (оптимальних)
Показники якості перехідного
процесу (-20%):
Динамічна похибка:
;
Степінь затухання:
;
Перерегулювання:
;
Час регулювання:
с.
Інтегральний квадратичний
критерій:
автоматичний регулювання
передаточний
Висновки
В даній курсовій роботі за вихідними
даними складено систему диференціальних рівнянь, виведено передаточні функції
об’єкта за різними каналами, побудовано на основі системи і передаточних
функцій структурну схему об'єкта.
Проведено аналіз властивостей
об’єкта, було визначено статичні і динамічні характеристики об’єкта, виведено
їх графічні зображення для наочності і кращого аналізу властивостей.
При виборі закону регулювання
виявлено необхідність охоплення САР астатичною складовою - інтегральним
регулятором, оскільки перехідний процес за роботи П - регулятора є розбіжним -
статична похибка більша за допустиму.
Замкнена система проаналізована
стійкість, проведена параметрична параметризація об’єкта і визначені оптимальні
настройки використовуваного ПІ - регулятора для даної системи:
;
.
Цим настройкам відповідають
найкращі показники якості процесу.
Література
1. А.П. Ладанюк. Теорія
автоматичного керування. - К.: НУХТ, 2004. - 184с.
. Методичні вказівки до
виконання курсового проекту з теорії автоматичного керування.
. Папушин Ю.Л., Білецький В.С.
- Основи автоматизації гірничого виробництва. - Донецьк: Східний видавничий
дім, 2007. - 168 с.
4. Сенигов П.Н. Теория
автоматического управления: Конспект лекций. - Челябинск: ЮУрГУ, 2000 - 93с.
Додаток 1
Частотні характеристики за
каналом збурення
:
АЧХ за каналом збурення
ФЧХ за каналом збурення
АФХ за каналом збурення
Додаток 2
Частотні характеристики за
каналом збурення
:
АЧХ каналом збурення
ФЧХ за каналом збурення
АФХ за каналом збурення
Додаток 3
Частотні характеристики за
каналом управління
:
АЧХ за каналом управління
ФЧХ за каналом управління
АФХ за каналом управління
Додаток 4
Крива розгону об'єкта за
каналом збурення
:
Додаток 5
Крива розгону об’єкта за
каналом збурення
: