Розробка системи автоматичного керування буферного насоса

  • Вид работы:
    Дипломная (ВКР)
  • Предмет:
    Другое
  • Язык:
    Украинский
    ,
    Формат файла:
    MS Word
    591,13 Кб
  • Опубликовано:
    2014-02-08
Вы можете узнать стоимость помощи в написании студенческой работы.
Помощь в написании работы, которую точно примут!

Розробка системи автоматичного керування буферного насоса















Розробка системи автоматичного керування буферного насоса

ЗМІСТ

Вступ

Розділ 1. Короткий опис технологічного процесу

.1 Класифікація насосних станцій водопостачання

.2 Насосні станції І підйому

.3 Конструкція насосів та особливості регулювання подачі, основні параметри та характеристики насосів

.4 Насосна станція І підйому м. Чернівці

Розділ 2. Обгрунтування та вибір електроприводу (двигун та перетворювач частоти)

.1 Вимоги до електроприводу та вибору двигуна

.2 Паспортні дані вибраного двигуна

.3 Вибір перетворювача частоти. Опис його функціональних можливостей

Розділ 3. Розробка та опис системи автоматичного керування

.1 Керування електроприводом насоса

.2 Розробка схеми керування та взаємодії електроприводу насоса з електроприводом засувки

.3 Конфігурування та параметрування перетворювача частоти для реалізації поставленої задачі

.4 Короткий опис роботи системи

Розділ 4. Питання охорони праці

.1 Загальні положення

.2 Технічна документація

.3 Заходи техніки безпеки в забірних спорудах

.4 Протипожежний захист

.5 Розрахунок заземлення

Розділ 5. Техніко-економічна ефективність

Висновки

Перелік використаної літератури

ВСТУП

Швидкий ріст цін на енергоносії і ресурси привів до того, що їх вартість в сумарних витратах на виробництво стала занадто великою. В результаті перед багатьма підприємствами гостро постала задача зменшення енерго- і ресурсозатратності для випуску продукції, тобто задача енергозбереження. Аналіз витрат енергоресурсів на багатьох підприємствах показує, що вирішення поставленої задачі має два напрямки - організаційно-технічні заходи, направлені на виключення безкорисних витрат енергоресурсів, та введення енергоефективних технологій і енергозберігаючого обладнання, що дозволяє виконувати той же обсяг роботи при менших затратах енергії. Електропривод є основним енергоспоживачем сучасного виробництва. Серед промислових електроприводів переважають електроприводи з асинхронними короткозамкнутими двигунами. Ці електроприводи завдяки своїй простоті, налагодженості та автоматизації виробництва і, завдяки цьому, відносно невисокій вартості, знайшли широке застосування в різних механізмах. Загальновідомими є і їх недоліки - важкий пуск при прямому підключенні до мережі, що супроводжується 6-7 кратним кидком струму, і, як наслідок, невисокій експлуатаційній надійності, та складність регулювання швидкості.

Характерним прикладом використання асинхронних двигунів є насосні станції водопостачання міст. В переважній більшості ці електроприводи проектовані ще до появи на ринку відносно дешевих та надійних перетворювачів частоти. Тому використовувались нерегульовані електроприводи, що не дозволяли регулювати подачу води залежно від її споживання шляхом зменшення обертів насосу. Регулювання подачі відбувалося шляхом дроселювання потоку рідини за допомогою засувки.

Засувка регулює тиск в трубопроводі при зміні споживання води, але електропривід працює з постійною швидкістю. Вибрані, виходячи з максимальної продуктивності, ці механізми значний час працюють з меншою подачею, яка визначається зміною споживання води в різний час доби. Також такі системи подачі води створюють значний тиск в трубопроводі, що приводить до витоків води та зносу технологічного обладнання та мереж водопостачання.

Впровадження регульованих електроприводів в насосних станціях, як свідчить світовий досвід, дозволяє:

·        економити електроенергію (20-60%);

·        знизити пускові струми двигуна;

·        економити воду (до 15%);

·        уникнути гідравлічних ударів у системі і як наслідок: мінімізувати витрат на обслуговування; продовжити термін роботи устаткування; знизити ймовірність аварійних ситуацій;

·        точно налаштувати режим роботи насосної станції;

·        підвищити виробничу безпеку;

Сьогодні на ринку є доволі широкий вибір перетворювачів частоти, які дозволяють використовувати асинхронні двигуни в короткочасних режимах роботи, без великих кидків струму при пусках, та плавно регулювати їхню швидкість обертання. Тому більшість насосних станцій модернізуючи обладнання впроваджують регульовані електроприводи з використанням перетворювачів частоти.

РОЗДІЛ 1

КОРОТКИЙ ОПИС ТЕХНОЛОГІЧНОГО ПРОЦЕСУ

1.1     Класифікація насосних станцій водопостачання

насосний станція автоматичний керування

Насосні станції систем водопостачання представляють собою комплекс споруд та обладнання, що забезпечує подачу води згідно з потребами споживачів. Склад споруд, їх конструктивні особливості, тип і кількість основного та допоміжного обладнання визначається виходячи з принципів комплексного використання водних ресурсів і охорони природи з врахуванням призначення насосної станції і пред’явленими до неї технологічними вимогами.

За своїм призначенням і розташуванням в загальній схемі водопостачання насосні станції поділяються на станції І підйому, ІІ підйому, підвищувальні і циркуляційні.

Насосні станції І підйому забирають воду з джерела водопостачання і подають її на очисні споруди або, якщо це не потрібно, безпосередньо в резервуари, розподільну мережу, водонапірну вежу або іншу споруду залежно від прийнятої схеми водопостачання. На промислових підприємствах, що ставлять різні вимоги до якості води, можуть бути встановлені насоси, які подають воду як на очисні споруди, так і безпосередньо на підприємства без очищення.

Насосні станції ІІ підйому подають очищену воду споживачам з резервуарів чистої води.

В деяких випадках насоси І і ІІ підйому можуть бути розташовані в одній станції, що дозволяє зменшити витрати на будівництво і експлуатацію. Однак таке рішення не завжди можливе і залежить від типу джерела води, наявності і типу очисних споруд, від рельєфу місцевості і т.д.

Підвищувальні насосні станції (станції підкачки) призначені для підвищення напору в водопровідній мережі. В цьому випадку вода забирається з однієї мережі (ділянки водопроводу) і з підвищеним напором подається в іншу мережу (району міста, окремого цеху промислового підприємства) або в наступну ділянку довгого водопроводу.

На рівні з забезпеченням напору і подачі, передбачених графіком водоподачі для нормальних і аварійних умов, при будівництві і оснащенні насосних станцій необхідно при найменших витратах на їх будівництво і експлуатацію забезпечувати: потрібну ступінь надійності і, відповідно, визначену ступінь безперебійності в роботі; максимальну довговічність; достатню зручність експлуатації і широке застосування автоматики та телемеханіки.

1.2     Насосні станції І підйому

До складу насосної станції І-го підйому входить:

·        водозабірна споруда, призначена для забору потрібного об’єму води з водойми;

·        всмоктуючи труби;

споруда насосної станції з усім необхідним гідромеханічним,

енергетичним і допоміжним обладнанням;

·        напірні труби;

·        резервуар для прийому води з напірних труб, та подальшої передачі на очисні споруди.

При наявності біля берегу річки або водосховища глибин, що забезпечують нормальні умови для відбору води, при відносно невеликих коливаннях рівня води (до 5-8 м) зазвичай споруджують берегові насосні станції суміщеного типу. В залежності від форми берегів і геологічних умов споруда станції може бути розташована безпосередньо на березі або на деякій відстані від берега в кінці водопідвідного каналу.

За характером основного обладнання насосні станції можуть бути:

·        з центр обіжними горизонтальними або вертикальними насосами

·        з осьовими і діагональними горизонтальними, похилими або вертикальними насосами;

·        з об’ємними насосами;

·        з водопідйомниками різних типів.

За розташуванням насосів відносно рівня води в приймальному резервуарі або підвідному колекторі насосні станції поділяються:

·        на станції, де насоси розташовані з додатною висотою всмоктування;

·        на станції, де насоси наповнюються водою самопливом.

За розташуванням відносно поверхні землі насосні станції можуть бути:

·        заглибленими (шахтного типу);

·        частково заглибленими;

·        наземними.

За характером керування насосні станції можуть бути:

·        автоматичними - всі керуючі операції виконуються відповідними приладами і пристроями;

·        з ручним керуванням - всі операції включення і виключення агрегатів виконує обслуговуючий персонал;

·        дистанційними - включення і виключення агрегатів проводиться з диспетчерського пункту, значно віддаленого від станції.

Для здійснення головної функції насосної станції - подачі води - призначено різне обладнання, від якого залежить ефективність та надійність експлуатації станції. Його можна розділити:

·        основне енергетичне обладнання: насоси, приводні двигуни

·        механічне обладнання: засувки, грязеутримувачі, підйомно-транспорті механізми;

·        допоміжне обладнання: дренажна система, контрольно-вимірювальні прилади і системи автоматизації, труби та фасонні частини, що забезпечують під’єднання насосів до всмоктуючих та напірних трубопроводів;

·        електричне обладнання: силові трансформатори, виводи високої і низької напруги, розподільчі щити, струмопроводи до електродвигунів, системи контролю і особистих потреб;

·        протипожежні та санітарно-технічні засоби: системи опалення, постачання питної води, вентиляції і кондиціювання повітря, а також засоби гасіння пожежі (можлива окрема система протипожежного водопостачання).

.3       Конструкція насосів та особливості регулювання подачі, основні параметри та характеристики насосів

Насоси двохстороннього входу типу Д призначені для перекачування води і чистих рідин (схожих на воду за густиною та хімічною активністю) з температурою 85°С і твердими речовинами розміром до 0,2 мм, не перевищуючих 0,05% по масі. Ці насоси використовуються на станціях І і ІІ підйому міських, сільськогосподарських і промислових систем водопостачання, в системах меліорації і іригації та інших галузях господарства.

Відцентрові насоси типу Д (рис.1.2) - горизонтальні з осьовим горизонтальним роз’ємом корпусу, з напівспіральним підведенням рідини до робочого колеса двостороннього ходу мають ряд переваг в порівнянні з іншими типами насосів. Насоси Д мають високу всмоктуючу здатність. Вал цих насосів не навантажений осьовими гідравлічними силами завдяки роздвоєнню загального потоку на вході в насос і симетричності конструкції робочого колеса. Робоче колесо з двостороннім підведенням рідини має в порівнянні з колесом одностороннього підведення (при однакових значеннях напору, подачі і частоти обертання) суттєво кращі кавітаційні властивості; одночасно досягається врівноваження осьових сил на опорний ведучий диск колеса.

Лопатеве робоче колесо складається з трьох дисків - ведучого (опорного) і двох ведених, з’єднаних просторовими або циліндричними лопатками, загнутими в напрямку, оберненому обертанню вала.

Ущільнення і захист робочого колеса від спрацювання здійснюється змінними захисними кільцями. Для уникнення можливих осьових зміщень робоче колесо закріплюється на валу захисними втулками з різьбою.

Корпус насоса представляє собою складну чавунну відливку з вхідним патрубком і спіральним дифузор ним відвідним каналом, що переходить в напірний патрубок. Вхідний і вихідний патрубки насосів розташовані в нижній частині корпусу і направлені в протилежні сторони під кутом 90° до осі насоса. Таке розташування патрубків, а також роз’єм корпусу по осі насоса забезпечує можливість розкручення, огляду, ремонту та заміни різних деталей без демонтажу насоса і трубопроводів.

Для збільшення ресурсу роботи насоса корпус і кришка корпусу захищені змінними ущільнюючими кільцями.

Привід насосів типу Д здійснюється електродвигуном за допомогою пружної муфти. В нормальному виконанні вал обертається проти годинникової стрілки, якщо дивитись на двигун зі сторони електродвигуна; вхідний патрубок розташований з лівого боку насоса.

Особливістю насосів типу Д є високий ККД (73-88%), який зберігається на протязі всього терміну експлуатації насоса, гарантійний ресурс 20 тисяч годин - без ремонту робочих органів. Працюють ці насоси плавно, без вібрацій; вони зручні і надійні в використанні.

Насоси типу Д мають подачу 100-12 500 м3/год, напір 14-125 м і для робочої частини характеристики 3-7,5 м.

Перед пуском відцентровий насос потрібно заповнити рідиною. Насос може знаходитися як нижче, так і вище рівня рідини. Якщо він розташований нижче рівня, то для його заповнення достатньо відкрити вентиль засувки. Якщо ж насос знаходиться вище рівня рідини, що перекачується, то для заповнення потрібно створити розрідження всередині корпусу за допомогою спеціального вакуум-насоса, в якості якого зазвичай приймають поршневі насоси. Після заповнення насоса можна ввімкнути привідний двигун.

Рис.1.2. Насос типу Д

а - повздовжній переріз; б - поперечний переріз, 1 - кронштейн; 2 - кульковий підшипник; 3 - сальники; 4 - трубки; 5,10 - захисні і герметизуючи кільця; 6 - корпус насоса; 7 - спіральний канал; 8,9 - ведучий і ведений диски; 11 - захисна втулка; 12 - кришка сальника; 13 - вал робочого колеса; 14 - муфта; 15 - кільце гідроущільнення; 16 - отвір для стоку води; 17 - вхідний патрубок; 18 - вихідний патрубок

Застосовуються три способи пуску:

.        Пуск при закритій напірній заслінці, при якому плавно підвищується тиск в напірному трубопроводі і виключається гідравлічний удар в системі. Від двигуна не вимагається підвищеного пускового моменту, так як пуск проводиться практично вхолосту, але додатково втрачається час на відкривання заслінки.

2.       Пуск при відкритій напірній заслінці зручний, якщо насос розташований нижче рівня рідини в забірному резервуарі і присутній зворотній клапан. В цьому випадку не витрачається час на відкриття заслінки, і загальний час агрегату менший, хоч пуск самого двигуна довший через збільшення пускового моменту.

3.       Пуск з одночасним ввімкненням приводу і відкривання напірної заслінки насоса можна розглядати як часткові випадки першого і другого способів в залежності від відношення часу відкривання заслінки і пуску насоса.

.4       Насосна станція І підйому м. Чернівці

Насосна станція І підйому м. Чернівці розташована на березі р. Дністер та подає воду насосній станції ІІ підйому. Це насосна станція берегового роздільного типу, оскільки коливання рівня води в руслі ріки перевищує 5 м. Водозабірною спорудою слугує колодязь, викопаний біля русла, а насосна станція знаходиться на березі, щоб при піднятті рівня води в річці її не затоплювало. За розташуванням відносно поверхні землі вона частково заглиблена. Будівля насосної станції має форму циліндра. Між насосною станцією і водозабірним колодязем прокладені самопливні труби, через які вода заповнює насоси. Станція оснащена трьома потужними синхронними двигунами, потужністю кожний 630 кВт. Насоси працюють цілодобово. Кількість насосів, що перебувають в роботі визначає диспетчер.

Велика дискрета коливання потужності насосів, що перебувають в роботі, обумовлює їх неекономічну роботу. Для згладжування коливань потужності, мінімізації подачі у нічні години та покращення енергоефективності керівництвом комунального підприємства «Водоканал» було прийнято рішення про встановлення та інтеграцію в систему керування буферного насоса Д630-90, характеристики якого показані на рис.1. З метою плавного регулювання подачі насоса запропоновано використати частотне регулювання швидкості привідного двигуна за допомогою перетворювача частоти.

Для реалізації процесу пуску та підключення насоса на паралельну роботу у напірному трубопроводі насоса встановлена засувка з електроприводом. Взаємодія процесу відкриття засувки під час пуску насоса запобігає виникненню гідравлічних ударів та можливості обертання насоса в протилежному напрямку.

Рис.1.3. Характеристики насоса Д630-90

РОЗДІЛ 2

ОБГРУНТУВАННЯ ТА ВИБІР ЕЛЕКТРОПРИВОДУ

.1 Вимоги до електроприводу та критерії вибору двигуна

Завдяки компактності конструкції, простоті з’єднання з насосом, легкій автоматизації керування і відносно низьких експлуатаційних витратах електродвигуни змінного струму широко використовуються в якості приводу для насосів систем водопостачання.

До приводних електродвигунів насосних агрегатів крім їх великої потужності ставлять ряд специфічних вимог. Однією з основних є необхідність пуску двигуна з присутнім навантаженням. Конструкція електродвигунів повинна також допускати доволі довготривале обертання ротора в зворотній бік (з максимальною швидкістю, визначеною характеристикою насоса), внаслідок зливу води після відключення електродвигуна від мережі при плановій або аварійній зупинці агрегату.

Дуже бажаною є можливість частих повторних пусків, що, в свою чергу, ставить підвищені вимоги до конструкцій обмотки статора і пускової обмотки електродвигуна, нагрівання яких визначає тривалість потрібної паузи між пусками і допустиму кількість пусків за вибраний період.

 В якості електроприводу насосів використовуються асинхронні та синхронні двигуни.

При роботі асинхронного двигуна частота обертання магнітного поля статора залежить від частоти мережі живлення і від кількості пар полюсів, а частота обертання ротора відрізняється на величину ковзання, яка складає 0,012-0,06 від швидкості магнітного поля статора. Причиною використання асинхронних двигунів є їх простота конструкції і порівняно невисока вартість.

Асинхронні двигуни залежно від типу обмотки ротора поділяють на короткозамкнені і з фазним ротором.

Короткозамкнені асинхронні двигуни є найкращим варіантом для невеликих насосів. Вони значно дешевші за електродвигуни інших типів і простіші в обслуговуванні. Але при прямому включенні таких двигунів пусковий струм в 5- 7 разів перевищує номінальний.

Асинхронні двигуни з фазним ротором мають більш складну конструкцію та вищу вартість, так як обмотки ротора в них виводяться на клеми і, завдяки цьому, є можливість під’єднання пускових реостатів через три ковзаючи кільця з ковзаючими по них щітками. Перед пуском таких двигунів в коло ротора вводять пускові опори, завдяки чому зменшується сила пускового струму. При досягненні двигуном швидкості близької до номінальної опори відмикаються, обмотку ротора закорочується і двигун продовжує працювати як короткозамкнений.

Асинхронні двигуни основного виконання мають різні модифікації, наприклад: з підвищеним пусковим моментом; з підвищеними енергетичними показниками для насосів, цілодобовою роботою, для яких особливе значення має підвищення ККД; з фазним ротором, що полегшує умови пуску; багато швидкісні асинхронні двигуни.

Синхронні двигуни змінного струму застосовуються для приводу потужних насосів, які характеризуються довготривалими режимами роботи. Частота обертання ротора синхронного двигуна дорівнює частоті обертання магнітного поля. Ротор синхронної машини відрізняється від ротора асинхронної наявністю робочої обмотки для створення постійного магнітного поля, яке взаємодіє з обертовим магнітним полем статора. Робоча обмотка ротора живиться постійним струмом від збудника, яким, як правило, є тиристорний збудник.

Основним недоліком синхронних машин є те, що момент на їх валу при пуску рівний нулю, тому їх необхідно розкручувати до швидкості, близької до синхронної. З цією метою більшість електродвигунів має в роторі додаткову пускову короткозамкнену обмотку, аналогічну обмотці ротора асинхронного двигуна.

Перевагою синхронного двигуна у порівнянні з асинхронним є те, що момент синхронного двигуна більш стійкий до коливань напруги мережі та допускає короткочасні зниження до 0,6 від номінальної.

З появою перетворювачів частоти, які дозволили уникати великих кидків пускового струму в асинхронних короткозамкнених двигунах та плавно змінювати їх швидкість, зміною частоти мережі живлення електродвигуна, даний тип двигунів найбільш широко застосовується для невеликих насосів.

Напруга привідного двигуна приймається в залежності від його потужності та напруги мережі енергосистеми, до якої під’єднана насосна станція. Двигуни потужністю більше 250-400 кВт живлять напругою 3,6 або 10 кВ, двигуни - до 250-4000 кВт приймають низьковольтними і живлять від мережі 380, 600 В.

Залежно від особливості середовища приміщення насосних станцій використовують різні конструктивні виконання. Двигуни, що встановлюють в приміщеннях з нормальним середовищем, зазвичай вибирають звичайним захисним виконанням. Двигуни, що працюють на відкритому повітрі, встановлюють закритого виконання, а для низьких температур - з вологоморозостійким виконанням.

.2 Паспортні дані вибраного двигуна

Для насоса Д630-90 вибрано двигун 5АМН315М4. Електродвигун призначений для експлуатації в закритих приміщеннях без штучного регулювання клімату при температурі навколишнього середовища від -45°С до +50°С і відносній вологості до 98% при 25°С. Двигун виготовляється на номінальну напругу 380 В при частоті мережі 50 Гц. Монтажне виконання двигуна ІМ1001 (на лапах). Ступінь захисту двигуна: ІР23 (захист від дотикання пальцями і попадання предметів діаметром до 52,2 мм, але не менше 12,5 мм, а також від дощу під кутом не більше 60° до вертикалі ). Клас наргівостійкості - F (допустима температура до 155°С).


де γ - питома маса рідини;

q - прискорення вільного падіння;

Q - номінальна подача насоса;

Н - номінальний напір насоса;

Ргід - гідравлічна потужність;

Рдвигуна - мінімальна потужність приводу насоса.

Таблиця 2.1

Технічні характеристики двигуна

Потужність, кВт

Частота, об/хв

ККД, %

cos φ

Габаритні розміри, мм

Маса, кг

250

1500

96

0,87

1440х680х765

1145


2.3 Вибір перетворювача частоти. Опис його функціональних можливостей

Обрано перетворювач частоти компанії Schneider Electric серії Altivar 61. Перетворювачі даної серії призначені для трифазних двигунів потужністю від 0,75 до 800 кВт та використовується для електроприводів турбомашин та інших сучасних промислових механізмів.

Перетворювач частоти Altivar 61 може зменшити експлуатаційні затрати шляхом оптимізації споживання енергії.

Різні вбудовані функції дозволяють адаптувати перетворювач для використання в електричних установках, складних керуючих системах і системах диспетчеризації інженерного обладнання будівель.

Багатофункціональність перетворювача частости Altivar 61 збільшена за рахунок розширення мережевого живлення до 690 В.

При розробці перетворювача враховувалась необхідність електромагнітної сумісності і зменшення гармонічних складових струму.

В залежності від характеристик, кожен тип перетворювача частости серії Altivar 61 (UL типу 1/IP20 і/або UL типу 12/IP54) або має вбудовані фільтри ЕМС класу А або В і дроселі ділянки постійного струму, або ці елементи доступні в якості додаткового обладнання.

Макроконфігурації і меню прискореного запуску перетворювача частоти Altivar 61 можуть використовуватися для швидкого запуску установок і моментального налаштування в доступних користувачу діалогових середовищах.

Перетворювачі серії Altivar 61 мають ряд функцій розроблених спеціально для насосних і вентиляторних агрегатів:

§  енергозбереження, квадратичний закон по 2 або 5 точках;

§  автоматичне підхоплення обертового навантаження з пошуком швидкості;

§  адаптація обмеження струму в залежності від швидкості;

§  подавлення шуму і резонансу шляхом частоти комутації, яка, в залежності від номінального навантаження, може бути виставлена до 16 кГц під час роботи, та випадкової модуляції;

§  встановлення наперед заданих швидкостей;

§  вбудований ПІД-регулятор з програмованими значеннями ПІД і автоматичним та ручним режимами роботи (Auto/Man);

§  лічильник напрацювання та енергоспоживання;

§  визначення відсутності рідини, визначення нульової швидкості потоку, обмеження швидкості потоку;

§  функція «сон», функція «пробудження»;

§  клієнтські налаштування з відображенням фізичних значень: бар, к.с., °С і т.д.

Функції захисту, що реалізує ПЧ:

§  тепловий захист перетворювача і двигуна, терморезистори РТС;

§  захист від перевантаження і перевищення струму при довготривалій роботі;

§  механічний захист за допомогою функції пропуску частот, чергування фаз;

§  захист установки за допомогою визначення недостатнього навантаження, перевантаження і відсутності потоку;

§  захист шляхом керування неполадками настроюваних груп попереджень.

Функції безпеки:

§  забезпечення безпеки механізму за допомогою вбудованої захисної функції блокування перетворювача Power Removal. Ця функція запобігає випадковому пуску двигуна. Вона відповідає вимогам стандарту EN 954-1, категорії 3, і стандарту МЕК/ EN 61508, SIL2 (контроль безпеки/сигналізація для процесів і систем).

§  забезпечення безпеки установки за допомогою функції форсованої роботи з забороною неполадок, команд направлення роботи і конфігурації завдання.

З серії Altivar 61 обрано перетворювач частоти ATV61EXC5C25N4 шафного виконання. Ця модель працює з асинхронними трифазними електродвигунами потужністю 250 кВт та джерелом живлення 380 - 415 В.

До комплекту входить:

·        вимикач-роз’єднувач і швидкодіючі запобіжники;

·        перетворювач частоти Altivar 61;

·        дроссель постійного струму;

·        виносний комплект для графічного терміналу;

·        укомплектована та змонтована шафа Sarel Spacial 6000;

·        клемники для підйлючення двигуна та мережі.

Ступінь захисту данного комплекту ІР54 (пилозахищені, захист від вертикального попадання крапель під кутом 60° з усіх сторін), його вага 485 кг, обсяг охолоджуючого повітря 1200м3/год, колір світло-сірий.

Забезпечуються такі захисти:

·        тепловий захист двигуна;

·        захист від пропадання фази двигуна;

·        захист пропадання живлення двигуна;

·        захист приводу від перегріву;

·        тепловий захист приводу;

·        коротке замикання між фазами двигуна;

·        пропадання фази на вході приводу;

·        надструми між вихідною фазою та землею;

·        перенапруга на шині постійного струму;

·        відключення кола керування;

·        захист приводу від перевищення максимальної швидкості;

·        захист приводу від перевищення напруги живлення;

·        захист приводу від пропадання фази на вході;

·        захист приводу при відключенні живлення.

Для нормальної роботи комплекту ATV61EXC5C25N4 відносна вологість повітря не повинна перевищувати 95%, температура навколишнього середовища повинна бути в межах від 0°С до 40°С.

РОЗДІЛ 3

РОЗРОБКА ТА ОПИС СИСТЕМИ АВТОМАТИЧНОГО КЕРУВАННЯ

.1 Керування електроприводом насоса

Керування електроприводом насоса можливе дистанційне та місцеве. Дистанційне керування здійснюється за допомогою операторської панелі, на якій розміщені:

· кнопка переключення керування місцеве/дистанційне;

·        кнопка «Більше», яка збільшує швидкість обертання насоса;

·        кнопка «Менше» - зменшує швидкість;

·        дисплей, що відображає тиск в трубопроводі;

·        дисплей, що відображає частоту електроприводу насоса;

·        дисплей, що відображає момент вала двигуна.

Для відображення тиску в трубопроводі використано давач тиску, який з’єднаний з АЦП на панелі оператора. Аналогові сигнали струм та момент двигуна поступають на АЦП панелі оператора з перетворювача частоти (виходи карти розширення АО2, АО3). Кнопка переключення керування місцеве/дистанційне зєднана з входом ПЧ LI5, кнопка «Більше» - з LI3, «Менше» - LI4.

Місцеве керування здійснюється безпосередньо біля перетворювача частоти за допомогою виносного графічного терміналу. Кнопки RUN/STOP для пуску/зупинки відповідно, кнопка F1- «Більше», F2- «Менше». Також на терміналі відображається струм та момент електроприводу насоса.

Перетворювач частоти забезпечує тепловий захист двигуна, захист від пропадання фази двигуна, захист від пропадання живлення двигуна, захист від короткого замикання між фазами двигуна, надструми між вихідною фазою та землею, відключення кола керування, перевищення максимальної швидкості, перевищення напруги живлення.

.2  Розробка схеми керування та взаємодії електроприводу насоса з електроприводом засувки

Пуск електроприводу насоса відбувається на закриту засувку, при цьому плавно підвищується тиск в напірному трубопроводі. Коли тиск стає рівним тиску при fмін, перетворювач частоти подає сигнал засувці на відкривання. Засувка відкривається і насос досягає заданої швидкості. При зменшенні частоти нижче fмін, сигнал з перетворювача зникає, і засувка закривається. Стан засувки індикується лампочками «Відкрита», «Закрита». Якщо засувка при команді відкрити/закрити не повністю відкрилася/закрилася на перетворювач частоти поступає сигнал «Аварія».


де Нмін - напір насоса при частоті fмін;

H - номінальний напір насоса;

f - номінальна частота електроприводу.

Для керування приводом засувки використано програмований логічний контролер (ПЛК) Zelio серії R2 (компактна конструкція з дисплеєм) моделі SR2A201FU (живлення 100-240 В, номінальний струм споживання 100 мА).

Релейний вихід перетворювача частоти R2 з’єднаний з входом ПЛК І1 (рис.3.1). При досягненні двигуном частоти fмін, контакт R2 замикається і на вхід І1 поступає сигнал логічної «1». Контролер замикає вихідний контакт Q2, подаючи живлення на реле відкривання засувки КВ. При повністю відкритій засувці спрацьовує вимикач кінцевий ВК1, який зв’язаний з входом І2. Реле КВ втрачає живлення, і засвічується сигнальна лампа «Відкрито», яка отримує живлення через замкнутий вихід Q1.

Таблиця 3.1

Технічні характеристики реле Zelio моделі SR2A201FU

Дискретні входи

Дискретні виходи

Наявність дисплея

Наявність годинника

Мова програмування

12

8

так

ні

Ladder Diagram


Якщо частоти стає нижче fмін, контакт R2 розмикається, на вхід І1 поступає сигнал логічного «0». Реле закривання засувки КЗ, отримує живлення через вихід ПЛК Q3. Коли засувка починає закриватися ВК1 розмикається, а при повному закриванні засувки спрацьовує кінцевий вимикач ВК2, який з’єднаний з входом І3. КЗ втрачає живлення і засвічується сигнальна лампочка «Закрито», що отримує живлення через вихід Q4.

Рис.3.1. Схема керування електроприводом засувки

Якщо на протязі п’яти секунд після поступлення на вхід сигналу «1» чи «0» засувка відкрилась/закрилась неповністю, то на виході Q5 з’являється сигнал «Аварія». Вихід Q5 з’єднаний з входом ПЧ LI5. Перетворювач частоти відпрацьовує аварійну ситуацію.

Для ПЛК складена программа (рис.3.2), в результаті виконання якої сигнали будуть подаватися наступним чином:

якщо на вході І1 логічна «1», тобто R2 - замкнутий, то на виході Q2 сигнал «1»;

якщо на вході І1 логічна «1» та спрацював кінцевий вимикач ВК1 (на вхід І2 - «1»), то на виході Q2 - «0», а на виході Q1 - «1»;

якщо на вході І1 логічний «0», то на виході Q3 сигнал «1»;

якщо на вході І1 логічний «0» та спрацював кінцевий вимикач ВК2 (на вхід І - «1»), то на виході Q3 - «0», а на виході Q4 сигнал «1»;

якщо напротязі п’яти секунд після появи сигналу «0» чи «1» на вході І1, не спрацювали кінцевики ВК1 чи ВК2, то на виході Q5 з’являється сигнал «Аварія».

Рис.3.1. Програма для ПЛК Zelio.

3.3 Конфігурування та параметрування перетворювача частоти для реалізації поставленої задачі

ПЧ ATV 61 містить:

·        аналогові входи АІ1-, АІ1+, АІ2;

·        аналогові виходи АО1;

·        дискретні входи LI1-LI5, LI6 - можливе перемикання на дискретний вхід, або для підключення терморезисторів.

Використовуючи дистанційне керування потрібно відобразити три параметри на електронних біжучих рядках. Тиск відображається від давача тиску, струм і момент двигуна від ПЧ. Altivar 61 має лише один аналоговий вихід, тому використано карту розширення вводів/виводів VW3 A3202.

Карта розширення вводу/виводу містить:

·        аналогові входи АІ3+/АІ3-, АІ4;

·        аналогові виходи АО2, АО3;

·        дискретні входи LI11-LI14;

·        дискретні виходи LO3, LO4.

Таблиця 3.2

Параметри перетворювача частоти Altivar 61

Керування електроприводом (СtL-)

Fr1 LCC

Канал завдання 1: графічний термінал;

rln YES

Заборона обертання назад: так;

CHCF SIM

Профіль: завдання і керування з одного джерела;

Cd1 LCC

Канал керування 1: графічний термінал;

Cd2 tEr

Канал керування 2: клемник;

rFC LI4

Переключення завдання 2: якщо на вході LI4 «1», то активний канал завдання Fr1, якщо «0», то - Fr2 ;

COP ALL

Копіювання каналу 1<>2 копіює завдання і керування;

Fr2 LCC

Канал завдання 2: керування за допомогою функції «Більше/менше»;

+Speed

Призначення клавіші F1: натиснення клавіші запускає ПЧ і збільшує швидкість

-Speed

Призначення клавіші F2: натиснення клавіші зменшує швидкість

Т/К

Призначення клавіші F3: керування за допомогою терміналу: має пріоритет над параметром переключення завдання і керування

Привод (drC-)

bFr 50

Стандартна частота напруги живлення двигуна 50 Гц

nPr 250

Номінальна потужність двигуна 250 кВт

UnS 380

Номінальна напруга двигуна 380 В

nCr 1.1

Номінальний струм двигуна 1.1 Ін

FrS 50

Номінальна частота двигуна 50 Гц

nSP 1500

Номінальна швидкість двигуна об/хв

Сtt UFq

Закон керування двигуном: U/F - квадратичний (змінний момент для насосів і вентиляторів)

Входи/виходи (І-О-)

tCC 2С

2/3-провідне керування: 2-провідне керування

tCt LEL

Тип 2-провідного керування: стан 0 або 1 враховується для пуску (1) або зупинки (0)

rrS nO

Призначення реверсу: не призначений

r1- r1 FLt

Конфігурація R1: призначення R1 ПЧ без несправностей (реле заживлене в нормальному стані і обезживлено при несправностях)

r2- r2 F2A

Конфігурація R2: призначення R2 реле замикається, якщо завдана частота перевищує уставку

AO1- AO1 OFr

Конфігурація AO1: призначення AO1 вихідна частота в діапазоні 0 - максимальна частота (tFr)

AO2- AO2 OFr

Конфігурація AO2: призначення AO2 струм двигуна в діапазоні 0-2Ін (Ін - номінальний струм ПЧ)

Реакція ПЧ при несправностях (FLt-)

tHt- tht АCL OLL rMP

Тепловий захист двигуна: тип теплового захисту двигун з природною вентиляцією; керування при перевантаженні зупинка з заданим темпом;

FLr- FLr YES

Підхоплення на ходу: підхоплення на ходу функція активна;

OHL- OHL rMP

Перегрів ПЧ: керування при перегріві зупинка з заданим темпом;

EtF EtF LI5 EPL rMP

Зовнішня неполадка: призначення зовнішньої неполадки LI5 (0 - несправностей немає); керування при зовнішній несправності зупинка з заданим темпом;

CLL CLL rMP

Керування при неполадках зв’язку: управління при несправності мережі зупинка з заданим темпом;

tld SSb rMP

Контроль обмеження І/М: зупинка при обмеженні струму/моменту зупинка з заданим темпом;

Налаштування (Set-)

Inr 0.01

Приріст темпу 0.01 с;

ACC 10.0

Час розгону 10.0 c;

dEC 10.0

Час гальмування 10.0 c;

LSP 22

Мінімальна швидкість 22 Гц;

HSP 50

Максимальна швидкість 50 Гц;

F2d 22

Уставка частоти 2 22 Гц;

Прикладні функції (FUn-)

rEF LI4

Переключення завдання: якщо на вході LI4 «0», то канал завдання Fr1, якщо «1», то - Fr2;

Fr1b LСС

Канал завдання 1В: графічний термінал;

Stt- Stt rMP

Спосіб зупинки: спосіб зупинки зупинка з заданим темпом;

UPd- USI LI2 dSI LI3

Більше/менше навколо завдання: призначення більше/менше LI2; призначення менше LI3;

nFS- nFS LI11 nFFt 0 nFSt

Контроль нульових витрат: датчик сухого ходу LI11 (0 - відсутність рідини) уставка активації датчика 0 Гц; затримка контролю сухого ходу (10 с);

Екран контролю

 Output frequencу Motor current

 Цифрове значення

Тип дисплея відображення: відображення на екрані двох цифрових значень

 вихідна частота струм двигуна

Вибір параметрів: Гц;  А;


3.4. Короткий опис роботи системи

Напруга живлення перетворювача частоти 380/415 В. Живлення забезпечується від трансформатора сухого виконання 6,9/0,4 кВ. Трансформатор розміщується у приміщенні трансформаторної підстанції.

Захист силового кабелю від низьковольтної обмотки трансформатора до перетворювача частоти забезпечується автоматичним вимикачем QF1.

Керування електроприводом насоса (пуск, стоп, регулювання частоти) передбачено із двох місць. Основне (дистанційне) керування відбувається з допомогою операторської панелі, резервне (місцеве) керування - із шафи перетворювача частоти. На панелі оператора розміщені кнопки «Більше», «Менше», перемикач «Д/М» та три біжучі рядки, що відображають частоту та струм двигуна і тиск у трубопроводі (вимірюється давачем тиску Р). При натисненні кнопки «Більше» перетворювач частоти запускає електропривід насоса та розганяє його до мінімальної частоти 22 Гц. При цій частоті насос дає напір, який перевищує напір вертикального трубопроводу висотою 16 м. ПЛК Zelio отримавши сигнал з виходу R2 дає команду на відкривання засувки. Коли засувка повністю відкрилась засвічується сигнальна лампочка «Відкрито». Натискання клавіш «Більше», «Менше» регулює частоту напруги живлення двигуна, тим самим регулюючи його подачу. Якщо завдання частоти буде меншим за 22 Гц, то ПЧ зупинить електропривід з заданим темпом. При цьому ПЛК ввімкне привід засувки на закривання, а при повному закриванні засувки засвітиться сигнальна лампочка «Закрито».

Якщо засувка неповністю закрилася / відкрилася на протязі 5 секунд, то така ситуація є аварійною. Отримує живлення реле LI5, яке своїм контактом подає сигнал на вхід ПЧ LI5, відпрацьовується зупинка з заданим темпом і запуск приводу блокується до усунення неполадки.

За допомогою датчика сухого ходу РТ, реалізований захист від роботи насоса, коли в трубопроводі немає води. Якщо на протязі 10 с насоса не закачає воду ПЧ зупинить електропривід.

Коли перемикач «М/Д» замкнутий, то керування відбувається з операторської панелі, якщо розімкнутий - з графічного терміналу, винесеного на шафу перетворювача частоти.

На графічному терміналі використовуються кнопки «RUN», «STOP», F1, F2, F3. Клавіша F1 збільшує частоту, F2 - зменшує. Натиснення клавіші F3 надає пріоритет керування графічному терміналу.

РОЗДІЛ 4

ПИТАННЯ ОХОРОНИ ПРАЦІ

.1 Загальні положення

Надійність роботи систем водопостачання багато в чому залежать від правильної експлуатації насосних станцій, що обслуговують ці системи.

Розташування внутрішніх комунікаційних трубопроводів станції повинно бути зручним для експлуатації, догляду та ремонту, а їх пропускна спроможність розрахована на можливість подачі насосними агрегатами заданої витрати рідини, як у нормальних, так і в аварійних режимах роботи станції.

Насоси, їхні двигуни і трубопроводи повинні бути обладнані необхідною арматурою, регулювальними пристроями та контрольно-вимірювальною апаратурою.

Новозбудовані насосні станції включають в постійну експлуатацію після приймання їх приймальними комісіями, перевіряючи якість виконаних робіт та відповідність усіх елементів споруд станції затвердженим проектом.

Управління роботою насосної станції організується у відповідності з інструкціями, затвердженими тим міністерством у віданні якого знаходиться організація, керівна експлуатацією даної системи. Режими роботи насосної станції розробляються, а оперативне керівництво її експлуатацією здійснюється диспетчерською службою, начальником насосної станції і затверджується головним інженером підприємства.

.2 Технічна документація

На насосній станції повинні бути в оригіналах або копіях:

·        генплан ділянки з нанесенням усіх споруд підземного господарства;

·        виконавчі креслення будівель і розміщення обладнання та трубопроводів всередині їх;

·        паспорти насосного, електротехнічного і допоміжного обладнання;

·        креслення кожного насоса і його електродвигуна, номенклатура запасних частин;

·        заводські характеристики насосів, електродвигунів, акти їх випробовувань;

·        технічна інструкція з обслуговування і ремонту обладнання станції;

·        посадові інструкції для обслуговуючого і керівного персоналу;

·        інструкція з техніки безпеки і охорони праці.

.3 Заходи техніки безпеки в забірних спорудах

1. На всіх водопроводах господарсько-питного водопостачання та їх джерелах встановлюються зони санітарної охорони (ЗСО).

2. На джерелах водопостачання - водозаборах - розробляється проект ЗСО згідно з чинними будівельними нормами і правилами та санітарними вимогами.

3. Зони санітарної охорони на водозаборі включають три пояси:

• перший пояс - суворого санітарного режиму, охоплює територію власне водозабору і всіх споруд розміщених на ній, де забороняється знаходження по сторонніх осіб, усі види будівництва, проживання людей, випуск стічних вод, купання, водопій і випасання худоби, застосування отрутохімікатів, органічних і мінеральних добрив;

• другий і третій пояси обмежень охоплює територію, на якій здійснюються заходи з охорони джерел водопостачання від забруднень, де забороняється використання території чи джерел водопостачання, яке може призвести до якісного або кількісного погіршення джерел водопостачання.

. Санітарна охорона водоводів забезпечується санітарно-захисною смугою вздовж осі водогонів.

. На територію водозабірних споруд сторонні особи не допускаються.

. Всі працівники водопроводу один раз у рік проходять медичний огляд.

. Всі працівники, які поступають на роботу, повинні пройти ввідний інструктаж з техніки безпеки, первинний інструктаж на робочому місці, ознайомитись з посадовими інструкціями.

. Всі працівники повинні знати посадові інструкції і інструкції з техніки безпеки при виконанні своїх обов'язків, а також надання першої долі карської медичної допомоги.

При експлуатації водозабірних споруд:

. Не допускати захаращення оглядового майданчика над оголовком водозабірного ковша. У зимовий період - очищати від снігу і льоду.

. Слідкувати за рівнем наповнення басейнів. Не допускати перевищення максимально-допустимого, з метою запобігання розмиву обвалування.

. Дотримуватись вимог безпеки при роботах у колодці з регулюючою запірною арматурою.

При експлуатації насосних станцій:

. Вимкнення із роботи, ввімкнення або виведення з резерву насосних агрегатів без дозволу диспетчера і старшого по зміні забороняється, за винятком випадків, що загрожують здоров'ю обслуговуючого персоналу або пошкодженню обладнання.

. При змінній роботі машиніст має право закінчити свою роботу не швидше, як змінюючий його робітник прийме у нього обслуговування агрегатів. Самовільне залишення робочого місця категорично забороняється. При невиході змінника повідомити адміністрацію і диспетчера для прийняття рішення про підміну.

. Категорично забороняється знімати захисні кожухи на муфтах вала та інших захищених пристроях під час роботи насосного агрегату.

. Перед ремонтом насосного агрегату необхідно знеструмити електродвигун і прийняти необхідні міри його самовільного запуску.

. Аварійна зупинка насосного агрегату проводиться при:

• загрозі небезпеки життя обслуговуючого персоналу;

• відчутті запаху горіння або появи диму електродвигуна;

• перевищенні температури нагріву підшипників електродвигуна чи насоса;

• появі різкого, відмінного від звичайного, металічного звуку при роботі агрегату;

• появі сильної вібрації агрегату.

Після аварійної зупинки провести запуск резервного агрегату і про свої дії повідомити диспетчера і адміністрацію.

.4 Протипожежний захист

Основними причинами пожеж в насосних станціях є:

·   недотримання вимог по улаштуванню і експлуатації основного і допоміжного обладнання;

·   несправність електрообладнання, електропроводів (виникнення коротких замикань), освітлювальних приладів і порушення правил їх експлуатації;

·   самозагорання промасленого спецодягу, сміття, загорання мастил, та інших легкогорючих матеріалів при порушенню правил їх зберігання;

·   порушення правил проведення зварювальних і вогневих робіт в місцях зберігання горючих матеріалів і речовин;

·   поломка приладів автоматики;

·   куріння і викидання недопалків і сірників;

·   неправильне розміщення технічних засобів захисту від статичної електрики і атмосферних розрядів.

При експлуатації і ремонті обладнання насосної станції необхідно дотримуватись :

·   “Типові правила пожежної безпеки для промислових підприємств”;

·   “Пожежна безпека. Загальні вимоги”;

·   “Правила влаштування електроустановок”;

·   “Правила технічної експлуатації електроустановок споживачів”;

·   “Правила техніки безпеки при експлуатації електроустановок споживачів ”;

·   “Правила безпеки в газовому господарстві”;

·   “Типова інструкція по організації безпечного проведення вогневих робіт на вибухонебезпечних і вибухопожежонебезпечних об’єктах”.

В приміщеннях НС необхідно дотримуватись чистоти, не допускати захаращення проходів і робочих місць. Легкозаймисті матеріали (бензин, керосин, мастила) зберігати в приміщеннях НС не дозволяється. Невелика кількість цих матеріалів в межах не більше тижневого постійного експлуатаційного розходу дозволяється зберігати в приміщенні НС в спеціальних коморах в міцній металевій тарі. Мастила в кількості добової потреби можуть зберігатись біля робочих місць в спеціальних металевих бачках, ящиках.

.5 Розрахунок заземлення

Необхідно розраховувати заземлюючий пристрій для заземлення електродвигуна 5АМН315М4 напругою U = 380 В в трьохфазній мережі із ізольованою нейтраллю при наступних вихідних даних:

грунт - суглинок з питомим електричним опором

ρ = 100

в якості заземлювачів прийнято сталеві труби діаметром d = 0,025м і довжиною l=2м, що розміщуються вертикально.

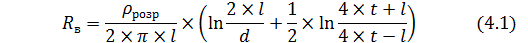
Визначення опіру одиночного вертикального заземлення по формулі:


деt - відстань від середини заземлювача до поверхні ґрунту, м;

де  - коефіцієнт сезонності, що враховує можливість підвищення опору ґрунту за період 1 рік,  = 1,7.

Ом ·м(4.2)



Визначення опіру сталевої полоси, що з’єднує стержні заземлення:


де l' - довжина полоси, м;

t' - відстань від полоси до поверхні землі, м;' - 0,5в, в - ширина полоски рівна 0,05 м.

Визначення розрахункового питомого опіру ґрунту 'розр при використанні з’єднувальної полоски у вигляді горизонтального електроду довжиною 50 м. При довжині полоски 50 м  ' = 5,9. Тоді:

ρ'розр = (4.5)

 Ом.(4.6)

Визначення орієнтовного числа одиночних стержнів заземлювачів по формулі:


де nв - коефіцієнт використання вертикальних заземлювачів.

Прийнято розміщення вертикальних заземлювачів по контуру з відстанями між суміжними заземлювачами рівним 2l-4 м. Визначення значення коефіцієнта використання П6 = 0,66, П7 = 0,39. Тоді необхідне число вертикальних заземлювачів:

. (4.8)

Визначення загального розрахункового опіру заземлюючого пристрою R з врахуванням з’єднувальної полоски:

;(4.9)


Розрахунок заземлюючого пристрою виконано вірно так, як R<10 Ом.

Рис.4.1. План заземлення

РОЗДІЛ 5

ТЕХНІКО-ЕКОНОМІЧНА ЕФЕКТИВНІСТЬ

Станція оснащена 3-ма потужними насосами, потужністю кожен 630 кВт. Насоси працюють цілодобово. Кількість насосів, що перебуває в роботі визначає диспетчер. Велика дискрета коливань потужності насосів, що перебувають в роботі, обумовлює неекономічну їх роботу. Введення буферного насоса Д630-90 дозволяє згладити коливання потужності та мінімізувати подачу в нічні години.

Застосування регульованого електроприводу знижує споживання електроенергії насосом, за рахунок ліквідації надлишкового напору, бо при зменшенні витрат води, можна плавно зменшувати частоту обертання приводу насоса. В нічні години, коли споживання води мінімальне, регульований насос працює самостійно (без додаткових насосів). Вдень насос працює в парі з потужними насосами. Це дозволяє точно регулювати подачу води, в залежності від споживання, не створюючи надлишку. Як наслідок, керування приводом насоса дозволяє знизити витрату перекачуваної води, усунути гідроудари (збільшується термін служби трубопроводів і запірної апаратури), уникнути ударних струмів при прямому пуску (збільшується термін служби електродвигунів), збільшити час між плановим ремонтом обладнання. Економічний ефект застосування частотного приводу буде тим більшим, чим більшими будуть добові зміни витрат в системі, що призводить до зміни тиску в нерегульованому електроприводі. Як свідчить світовий досвід, впровадження регульованих електроприводів в насосних станціях дозволяє економити 20-60% електроенергії, до 15% перекачуваної води. Вартість обладнання обраховано в таблиці 7.1.

Таблиця 5.1

Вартість обладнання

№ п/п

Складові обладнання

К-ть, шт.

Вартість грн./шт.

Сумарна вартість, грн

1

ПЛК Zelio

1

1084

1084

2

Перетворювач частоти ATV61EXC5C25N4

1

179 200

179 200

3

Карта дискретних вводів/виводів VW3 A3202

1

1 310

1 310

4

Насос Д630-90 з електроприводом 5АМН315М4

1

81 725

81 725

5

Контактор QF

3

114

342

6

Контактор S

4

35

140

7

Кнопка

3

25

75

8

Сигнальна лампочка

2

8

16

9

Реле КЗ

3

364

1092

10

Давач тиску

1

1460

1460

11

Датчик сухого ходу

1

24

24

Ʃ

266 468


Термін окупності впровадження частотно-керованого електроприводу насоса складає від 6 місяців до 2,5 років. Це вважається економічно вигідним.

ВИСНОВКИ

В рамках бакалаврської кваліфікаційної роботи розглянута система автоматичного керування буферним насосом насосної станції І підйому. В якості електроприводу насоса використовується частотно-керований короткозамкнений асинхронний двигун. Одним із основних елементів САК є перетворювач частоти Altivar 61. Було проведено поглиблене вивчення його можливостей, а також конфігурація для керування насосом.

Впровадження буферного насоса покращило можливість регулювання подачі води, зменшило її втрати в трубопроводі та дозволило значно економити електроенергію, яка споживається електроприводом. Окупність такого рішення складає від 6 місяців до 2,5 року, що є економічно вигідним.

За рахунок плавного пуску двигуна збільшується термін служби електроприводу та мережі трубопроводу.

На практиці дане рішення впроваджене на насосній станції І підйому м. Чернівці.

ПЕРЕЛІК ВИКОРИСТАНОЇ ЛІТЕРАТУРИ

1.       Карепін В.Я. Насоси і насосні станції: підручник [для студ. вищ. навч. закл.] / Карепін В.Я., Мінаев А.В.; Стройиздат.- Москва: 1986. - 320 с.

2.       Електромеханічні системи автоматичного керування та електроприводи./[Попович М. Г., Лозинський О. Ю., Клепіков В. Б. та ін.]; за редакцією професорів М. Г. Поповича та О. Ю Лозинського - Київ: Либідь, 2005. - 678 с.

.        Тітов Ю.П. Насосні станції водопостачання і водовідведення: навчально-методичний посібник / Тітов Ю.П., Яковенко М.М.; ХНАМГ. - Харків: 2004. - 203 с.

4.       Altivar 61. Інструкція для програмування [Електронний ресурс] : (вказівки по використанню перетворювачів частости компанії Scheider Electric) / Telemecanique - 2011. - Режим доступу до видання: http://www.schneider-electric.ua

.        Перетворювач частоти Altivar 61. Каталог [Електронний ресурс]: (вказівки по використанню перетворювачів частости компанії Scheider Electric) / Telemecanique - 2011. - Режим доступу до видання: <http://www.schneider-electric.ua>

6.       Altivar 61. Інструкція для монтажу 55-630 кВт [Електронний ресурс] : (вказівки по використанню перетворювачів частости компанії Scheider Electric) / Telemecanique - 2011. - Режим доступу до видання: <http://www.schneider-electric.ua>

7.       Altivar 61. Карта керування насосною станцією VW3A3502 [Електронний ресурс] : (вказівки по використанню перетворювачів частости компанії Scheider Electric) / Telemecanique - 2011. - Режим доступу до видання: <http://www.schneider-electric.ua>

Похожие работы на - Розробка системи автоматичного керування буферного насоса

 

Не нашли материал для своей работы?
Поможем написать уникальную работу
Без плагиата!
Без нейросетей!