Проектирование оснований и фундаментов зданий
Введение
При проектировании зданий и сооружений одним из
сложных вопросов является решение задач по устройству оснований и фундаментов.
Проектируя конструкции, инженер сам решает вопрос выбора строительных
материалов, а при проектировании оснований и фундаментов инженер должен
считаться с имеющими на площадке строительства напластованиями грунтов и
использовать их строительные качества для принятия наиболее рациональных
решений.
Более сложной задачей является оценка
возможности использования существующих фундаментов при необходимости увеличения
нагрузки на них в условиях реконструкции. Возникают вопросы учета следующих
факторов:
изменений свойств грунтов в основной зоне
основания;
характера развития и конечных величин деформаций
основания, которые произошли за период эксплуатации;
технического состояния фундаментов и
надфундаментных конструкций и степень его влияния на условия реконструкции и
др.
1. Анализ инженерно-геологических условий
Грунты и их свойства
В строительной практике верхний слой горных пород,
слагающих кору выветривания, которые используют в качестве оснований инженерных
сооружений, принято называть грунтами. Грунты могут быть также использованы как
среда для некоторых инженерных сооружений, в частности тоннелей, метро, шахт и
т.п.
В зависимости от степени разрушения горной
породы и некоторых других свойств, важных в строительном отношении грунты
залегающие в основании или используемые как строительных материал, можно
разделить на:
скальные и полускальными - магматические,
метаморфические и осадочные горные породы с жесткой связью между минералами или
агрегатами в виде сплошного или трещиноватого массива;
дисперсные - состоящие из минеральных частиц,
воды, газа к которым относятся; - сыпучие - несцементированные грунты, не
обладающие пластичностью и связностью в сухом состоянии;
глинистые - связные в сухом состоянии
тонкозернистые грунты, обладающие свойствами пластичности;
особые грунты, имеющие малую несущую способность
и неустойчивые структурные связи.
Характеристика физико-механических свойств
грунтов
Физические характеристики позволяют дать оценку
свойствам грунта как физического тела с его особенностями, а механические -
поведению грунта при механических воздействий на него.
Характеристики физических свойств дисперсных
грунтов
Содержание воды и газов для грунтов,
представляющих собой дисперсную систему, в одном и том же объеме количественно
может изменяться под влиянием различных факторов. Для таких грунтов различают
несколько показателей массы. Характеристики грунта определяются двумя путями:
опытным, в основном в лаборатории
расчетным.
Опытным путем определяют основные и
классификационные характеристики, а расчетом - производные.
Основные характеристики грунта
ρ - плотность грунта
(т/м3)
ρs
-
плотность частиц грунта (т/м3)
ω - природная
влажность (доли единицы)
Классификационные характеристики грунта
ωp
-
влажность на границе раскатывания;
ωL
-
влажность на границе текучести
Расчетные характеристики грунта
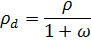
ρd
-
плотность сухого грунта (т/м3)
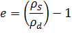
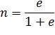
n - пористость (%) e
- коэффициент пористости
Sr
-
степень влажности
Ip
-
число пластичности
IL
-
показатель текучести
Расчетные физические характеристики определяются
из выражений приведенных ниже.
Число пластичности - разность влажностей,
соответствующих двумя состояниями глинистого грунта на границе текучести и на
границе раскатывания:
Показатель текучести - характеристика состояния
глинистого грунта:
Плотность грунта в сухом состоянии - отношение
массы сухого грунта к занимаемому этим грунтом объему:
Коэффициент пористости - отношение объема пор к
объему твердых частиц грунта:
Степень влажности - степень заполнения объема
пор водой:
где:
= 1 т/м3 -
плотность воды.
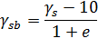
Удельный вес грунта:
ρ - плотность
грунта
Требуется определить размер фундамента под
колонну здания с подвалом при величине допустимой деформации основания равной Su=12см.
Исходные данные:
крайний: N=270
кН; М=3.0 кН; Q=0.3 кН/п.м.; dn
=0.6
м
средний: N=290
кН; М=2.5 кН; Q=0.2 кН/п.м.; dn
=0.6
м
Определяем дополнительные характеристики грунта
основания по формулам:
плотность сухого грунта:
коэффициент пористости:
пористость грунта:
степень влажности:
удельный вес:
- удельный вес с учетом взвешивающего действия
воды:
Результаты расчета сводим в табл.
|
Наименование
грунта
|
|
|
e
|
Sr
|
γ
|
|
|
Суглинок
лессовидный желто-бурый
|
0.11
|
0.18
|
1.4695
|
0.8231
|
0.4902
|
16.9
|
3.78
|
|
Лесс
светлопалевый
|
0.06
|
0.16
|
1.4529
|
0.8414
|
0.5404
|
17
|
3.8
|
|
Суглинок
лессовидный желто-бурый
|
0.1
|
0.4
|
1.4552
|
0.8425
|
0.7365
|
17.9
|
4.29
|
Суглинок лессовидный желто-бурый:
маловлажный, полутвердый, рыхлый.
Лесс светлопалевый:
влажный, полутвердый, рыхлый.
Суглинок лессовидный желто-бурый:
влажный, тугопластичный, рыхлый.
Определяем ширину подошвы ленточного фундамента
крайний:
кН/м3
Уточняем расчетное сопротивление грунта:
где:
K - коэффициент ,
равный 1
Kz
-
коэффициент, равный 1, при b<10
м;
- коэффициенты,
определяемые по табл. в зависимости от угла внутреннего трения грунта;
b - принятая ширина
подошвы фундамента, м;
d1 -
глубина заложения фундамента
db
-
глубина подвала, м;
- среднее значение
удельного веса грунтов, залегающих ниже подошвы, кН/м3;
- среднее значение
удельного веса грунтов, залегающих выше подошвы, кН/м3;
С - удельное сцепление грунта, кПа.
Определяем среднее давление под подошвой
фундамента:
Определяем краевые давления и выполняем
необходимые проверки:
где:
Проверяем экономичность фундамента для принятых
его размеров:
Размеры крайних фундаментов приняты экономически
обоснованными.
Определяем ширину подошвы ленточного фундамента
средний:
кН/м3
Уточняем расчетное сопротивление грунта:
Определяем среднее давление под подошвой
фундамента:
Определяем краевые давления и выполняем
необходимые проверки:
2
Проверяем экономичность фундамента для принятых
его размеров:
Принимаем ширину средних фундаментов 1,3м
2. Расчет осадки фундамента до реконструкции
крайний:
Определяем вертикальное напряжение от
собственного веса грунта на уровне подошвы фундамента:
- Для
следующих слоев:
Определяем толщину элементарного слоя:
Определяем дополнительное вертикальное
напряжение от внешней нагрузки:
на уровне подошвы фундамента:
для след. слоев:
деформация (осадка) слоев грунта толщиной
,
прилегающего к подошве фундамента:
Результаты расчета осадки фундамента до
реконструкции.

Сравниваем полученную осадку с величиной
предельно-допустимой:
Принимаем предельно-допустимую
осадку (в соответствии с ДБН В.2.1-10-2009, табл.
И.1 - "Граничні деформації основи", п.3)
.
Требование норм выполнено.
Принятые размеры фундаментов обеспечат надежную эксплуатацию сооружения.
3. Расчет осадки фундамента до реконструкции
средний:
Определяем вертикальное напряжение от
собственного веса грунта на уровне подошвы фундамента:
Определяем толщину элементарного слоя:
Определяем дополнительное вертикальное
напряжение от внешней нагрузки:
на уровне подошвы фундамента:
для следующих слоев:
Деформация (осадка) слоев грунта толщиной
,
прилегающего к подошве фундамента:
Результаты расчета осадки фундамента до
реконструкции.
Сравниваем полученную осадку с величиной
предельно-допустимой:
Требование норм выполнено.
Принятые размеры фундаментов обеспечат надежную эксплуатацию сооружения.
4. Проектирование оснований и
фундаментов при реконструкции
- фактическое
давление по подошве фундамента после реконструкции (восстановления);
- расчетное
сопротивление грунта основания с учетом его уплотнения в процессе эксплуатации.
Значение расчетного
сопротивления уплотненного грунта основания определяем из выражения:
- расчетное сопротивление
грунта основания;
mp
-
коэффициент, зависящий от отношения величины давления по подошве фундамента до
увеличения нагрузки при реконструкции
к
расчетному сопротивлению R:
при
при
при
- коэффициент,
принимаемый по табл. в зависимости от соотношения осадки фундамента здания до
реконструкции S, к
предельно-допустимой осадки для существующего здания
.
5. Расчет осадки фундамента при реконструкции
Увеличиваем нагрузку:
976
877
- крайний:
Определяем вертикальное напряжение от
собственного веса грунта на уровне подошвы фундамента:
Определяем толщину элементарного слоя:
Определяем дополнительное вертикальное
напряжение от внешней нагрузки:
Результаты расчета осадки фундамента при
реконструкции.
Отношение
кПа
Требование норм не выполнено.
Требуется усиление фундамента, выполняем путем уширения подошвы фундаментов на
величину кратную 0,3 м. Принимаем ширину подошвы крайних фундаментов равную 2,4
м.
6. Расчет осадки фундамента при реконструкции
средний:
Определяем вертикальное напряжение от
собственного веса грунта на уровне подошвы фундамента:
Определяем толщину элементарного слоя:
Определяем дополнительное вертикальное
напряжение от внешней нагрузки:
Результаты расчета осадки фундамента при
реконструкции.
Отношение
Требование норм не выполнено.
Требуется усиление фундамента, выполняем путем уширения подошвы фундаментов на
величину кратную 0,3м. Принимаем ширину подошвы средних фундаментов равную 2,6
м.
7. Расчет осадки реконструированного фундамента
фундамент грунт реконструкция осадка
- крайний:
Определяем вертикальное напряжение от
собственного веса грунта на уровне подошвы фундамента:
Определяем толщину элементарного слоя:
Определяем среднее давление под подошвой
реконструированного фундамента:
Определяем дополнительное вертикальное
напряжение от внешней нагрузки:
Результаты расчета осадки реконструированного
фундамента.
Отношение
Требование норм выполнено.
Принятые размеры уширения крайних фундаментов обеспечат надежную эксплуатацию
сооружения.
8. Расчет осадки реконструированного фундамента
- средний
Определяем вертикальное напряжение от
собственного веса грунта на уровне подошвы фундамента:
Определяем толщину элементарного слоя:
Определяем среднее давление под подошвой
реконструированного фундамента:
Определяем дополнительное вертикальное
напряжение от внешней нагрузки:
Результаты расчета осадки реконструированного
фундамента.
Отношение
Требование норм выполнено.
Принятые размеры уширения средних фундаментов обеспечат надежную эксплуатацию
сооружения.
При реконструкции, после
надстройки двух этажей, выполняется усиление фундаментов. Оно выполняется путем
уширения подошв крайних на 1.2 м и средних на 1.3 м. Конструктивно уширение
выполняется банкетами.
Список литературы
1. Веселов В. А.
Проектирование оснований и фундаментов: Учеб. пособие для студентов строит,
специальностей вузов. - 2-е изд., перераб. и доп. - М.: Стройиздат, 1978.
-215с.
2. Инженерная
геология. Механика грунтов, оснований и фундаментов: Учебник / М.Л. Зоценко,
В.И. Коваленко, А.В.Яковлев, A.A. Петраков, В.Б. Швец, A.B. Школа, C.B. Беда,
Ю.Л. Винников. - Полтава: ЛНТУ, 2004.- 568с.
3. Коновалов П.А.
Основания и фундаменты реконструируемых зданий. - 4- е изд., перераб. и доп. -
М.: ВНИИНТПИ, 2000. - 318с.
4. Полищук А.И. Основы
проектирования и устройства фундаментов реконструируемых зданий. - Нортхэмптон:
SIT; Томск: S TT, 2004. - 476с.
5. Пособие по
проектированию оснований зданий и сооружений (к СНиП 2.02.01-83) / НИИОСП им.
Герсеванова. - М.: Стройиздат, 1986. - 415 с.
6. Проектирование
фундаментов зданий и подземных сооружений: Учеб. пособие / Под ред. Б.И. Дал
матова; 3-е изд. - М.; Изд-во АСВ; СПб.: СПбГАСУ. 2006. -428с.
7. Современные методы
обследования зданий / Н.Г. Смоленская, А.Г. Ройтмаи, В.Д. Кириллов и др. - 2-е
изд., кспр. и доп. - М.: Стройиздат, 1979.- 148с.
8. Улицкий В.М.
Геотехническое обоснование реконструкции . зданий на слабых грунтах. - С. -
Пб.: Изд-во СПбГАСУ, 1995. - 146с.
9. Усиление несущих
железобетонных конструкций производственных зданий и просадочных оснований /
А.Б.Голышез, П М. Козелецкий и др. - К.: Логос, 2004. -219с.
10. Рыбин В. С.
Проектирование фундаментов реконструируемых зданий. - М: Стройиздат, 1990.-
296с.
11. ВинниковЮ. Л., Муха
А. В., Яковлев А. В., Андр1евська О. В., Б да С. В., Фундамента буд1вель i
спору д. - К/ Урожай, 2.002.- 432с.