Расчет железнодорожного пути на прочность
Федеральное
агентство железнодорожного транспорта
федеральное
государственное бюджетное образовательное учреждение высшего профессионального
образования
Уральский
государственный университет путей сообщения
Кафедра «Путь
и железнодорожное строительство»
Курсовая
работа
по
дисциплине: «Железнодорожный путь»
на тему:
«Расчет пути на прочность»
Екатеринбург
2015
Содержание
Введение
. Исходные
данные
. Исходные
предпосылки расчета
. Определение
динамической нагрузки от колеса на рельс
. Определение
эквивалентной нагрузки на путь
. Определение
показателей напряженно-деформированного состояния элементов конструкции
верхнего строения пути
. Оценочные
критерии прочности пути
. Расчет
условий укладки безстыкового пути
Список
литературы
Введение
Конструкция верхнего строения пути по прочности, устойчивости и состоянию
должна обеспечивать безопасное и плавное движение поездов с наибольшими
скоростями, установленными для данного участка. Это требование ПТЭ необходимо
выполнять в условиях непрерывного действия различных динамических нагрузок и
природных воздействий, а также с учетом накопления остаточных деформаций всех
элементов пути.
В основе требований, предъявляемых к конструкции верхнего строения пути,
лежат условия обеспечения его прочности, устойчивости и экономичности.
Расчетами на прочность определяется минимально необходимый тип строения пути в
заданных условиях эксплуатации, а целесообразный тип верхнего строения пути
определяется технико-экономическими расчетами. Далее приведены расчеты пути на
прочность и устойчивость.
Методика расчетов верхнего строения пути на прочность и устойчивость
позволяет решать ряд задач:
определение напряжений и деформаций в элементах верхнего строения пути в
заданных условиях эксплуатации;
оценка возможности повышения осевых нагрузок и скоростей движения при
заданной конструкции пути;
определение возможности работоспособности конструкции пути до очередного
капитального ремонта;
анализ причин потери прочности и устойчивости пути;
проектирование новых конструкций.
1. Исходные данные
Расчетные характеристики пути:
. Тип подвижного состава: Электровоз пассажирский, ЧС 200;
. Скорость: υконстр. = 200 км/ч;
. Характеристика конструкции пути: Р75(6)1840(ЖБ)Щ;
. Модуль упругости рельсового основания U = 1500 кг/см2;
. Коэффициент относительной жесткости рельсового основания и
рельса k = 0,01438 см-1;
. Расстояние между осями шпал lш = 55 см;
. Коэффициент, учитывающий влияние на образование динамической
неровности типа рельса и шпал, масс пути и колеса, участвующих во
взаимодействии L = 0,246;
. Момент сопротивления рельса по низу подошвы при износе головки 0
мм W(0) = 509 см3;
. Момент сопротивления рельса по низу подошвы при износе головки 6
мм W(6) = 492 см3;
. Коэффициент, учитывающий отношение необрессоренной массы колеса
и участвующей во взаимодействии массы пути α0 = 0,403;
. Площадь рельсовой подкладки ω = 518 см2;
. Площадь полушпалы с учетом поправки на изгиб Ωα = 3092 см2;
. Ширина нижней постели шпалы b = 27,6 см;
. Коэффициент, учитывающий неравномерность распределения вдоль
шпалы и пространственность приложения нагрузки
= 0,7;
. Толщина балластного слоя под шпалой h = 60 см.
Расчетные характеристики локомотива:
. Статическая нагрузка от колеса на рельс Рст. = 9750
кг;
. Отнесенный к колесу вес необрессоренных частей q = 1625 кг;
. Приведенная к колесу жесткость рессорного подвешивания ж =91
кг/мм;
. Статический прогиб рессорного подвешивания fст. = 197
мм;
. Диаметр колеса по кругу катания d = 125 см;
. Количество осей тележки п = 2;
. Расстояние между центрами осей колесных пар тележки экипажа l1
= 320 см;
. Расстояние между последней осью первой тележки и первой осью
второй тележки l0 = 480 см;
. Исходные предпосылки расчета
Конструкция верхнего строения пути и экипажной части подвижного состава
должны находиться в исправном состоянии, соответствующем требованиям «Правилам
технической эксплуатации железных дорог Российской Федерации» и действующим
техническим нормам.
Геометрические параметры рельсовой колеи должны соответствовать при
расчетных характеристиках пути удовлетворительному состоянию. Изменения
конструкции пути и экипажной части подвижного состава должны учитываться
соответствующими изменениями расчетных физико-механических характеристик. Все
многообразие сил, действующих на путь, сводится к следующим основным расчетным
схемам их приложения:
- вертикальные силы;
- горизонтальные поперечные (боковые) силы.
Определение горизонтальных продольных сил в плетях бесстыкового пути
производится согласно «Технических указаний по устройству, укладке, содержанию
и ремонту бесстыкового пути»
Принимается условие, что силы, действующие на путь, независимы друг от
друга Горизонтальные поперечные (боковые) силы, а также крутящие моменты из-за
эксцентриситета приложения вертикальных сил, в расчетах учитываются
коэффициентом f, определенным по результатам испытаний.
3. Определение динамической нагрузки от колеса на рельс
Динамическая максимальная нагрузка от колеса на рельс определяется по
формуле:
где
- среднее значение вертикальной нагрузки колеса на рельс,
кг,
- среднеквадратическое отклонение динамической вертикальной
нагрузки колеса на рельс, кг,
- нормирующий множитель, определяющий вероятность события,
т.е. появления максимальной динамической вертикальной нагрузки.
Результаты многочисленных испытаний различных типов подвижного состава
показали, что распределение среднего квадратичного отклонения динамической
вертикальной нагрузки колеса на рельс S подчиняется закону Гаусса.
Из
1000 случаев прохода колеса в расчетном сечении только в 6 случаях превышение
, при этом значении λ=2,5.
Среднее значение вертикальной нагрузки колеса на рельс определяется по
формуле:
,
где
- статическая нагрузка колеса на рельс (кг),
- среднее значение динамической нагрузки колеса на рельс от
вертикальных колебаний надрессорного строения экипажа:
где
- динамическая максимальная нагрузка колеса на рельс от
вертикальных колебаний надрессорного строения, кг.
При известных экспериментальных значениях
- коэффициента динамических добавок
от вертикальных колебаний надрессорного строения ( называемого также
коэффициентом вертикальной динамики экипажа)
определяется по формуле:
где
- отнесенный к колесу вес
необрессоренных частей, кг.
Этот способ позволяет учитывать различное конкретное состояние пути и
ходовых частей подвижного состава через применение соответствующих
экспериментальных значений
.
При отсутствии экспериментальных данных значение
определяется по формуле:
где
- скорость движения, км/ч;
- статический прогиб рессорного подвешивания, мм;
при 2х-ступенчатом рессорном подвешивании за величину
принимается сумма статических
прогибов обеих ступеней.
Динамическая нагрузка колеса на рельс
с использованием эмпирических
зависимостей динамических прогибов рессорного подвешивания
от скоростей движения
определяется по формуле:
где ж - приведенная к колесу жесткость рессорного подвешивания, кг/мм;
- динамический прогиб рессорного подвешивания, мм.
Т.к конструкционная скорость
берем
Среднее значение вертикальной нагрузки колеса на рельс:
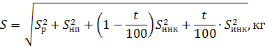
Среднее квадратическое отклонение динамической вертикальной нагрузки
колеса на рельс
определяется по формуле композиции законов распределения его
составляющих:
где
- среднее квадратическое отклонение динамической нагрузки
колеса на рельс от вертикальных колебаний надрессорного строения, кг;
- среднее квадратическое отклонение динамической нагрузки
колеса на рельс от действия сил инерции необрессоренных масс при прохождении
колесом изолированной неровности пути, кг;
- среднее квадратическое отклонение динамической нагрузки
колеса на рельс от действия сил инерции необрессоренных масс из-за наличия
непрерывных неровностей на поверхности катания колес, кг;
- среднее квадратическое отклонение
динамической нагрузки колеса на рельс от сил инерции необрессоренной массы,
возникающих из-за наличия изолированных неровностей на поверхности катания
колес, кг;
- количество колёс рассчитываемого типа, имеющих
изолированные плавные неровности на поверхности катания, отнесённое к общему
числу таких колёс (в %), эксплуатируемых на участке;
- количество колёс (в %), имеющих непрерывную плавную
неровность на поверхности катания.
Обычно, при отсутствии конкретной информации принимается средний процент
осей, имеющих изолированную плавную неровность, равный 5%, соответственно -
непрерывную плавную неровность 95%. С учётом этого допущения формула 7
приобретает вид.
Среднеквадратичное отклонение динамической нагрузки колеса на рельс
, от вертикальных колебаний
надрессорного строения
определяется по формуле:
Среднеквадратическое отклонение динамической нагрузки колеса на рельс
от сил инерции необрессоренных масс
, возникающих при проходе
изолированной неровности пути, определяется по формуле:
где
- максимальное значение силы
инерции, кг.
или после подстановки получим
где
- коэффициент, учитывающий
соотношение коэффициентов
для пути с железобетонными и деревянными шпалами,
определяется по формуле:
В свою очередь
определяется как
Для железобетонных шпал
, для деревянных шпал
. Для пути на железобетонных шпалах
;на деревянных
.
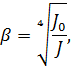
- коэффициент, учитывающий влияние типа рельса на
возникновение динамической неровности, определяется соотношением:
где
- момент инерции рельса типа Р50
относительно нейтральной оси, равны 2018
(при износе 0 мм).
- момент инерции других рассматриваемых типов рельсов,
равный для рельсов типов Р65 и Р75 соответственно 3547
и 4490
(при износе 0 мм)
Для рельса типа Р65 принимаем
.
- коэффициент, учитывающий влияние материала и конструкции
шпалы на образование динамической неровности пути принимается для деревянных
шпал
,для железобетонных
.
- коэффициент, учитывающий влияние рода балласта на
образование динамической неровности пути, принимается для:
щебня, асбеста и сортированного гравия равным - 1,0
карьерного гравия и ракушечника - 1,1
песка - 1,5
- расстояние между осями шпал, см;
- коэффициент относительной жесткости рельсового основания и
рельса, см-1;
Для упрощения вычислений произведение коэффициентов
приведено в таблице 2, в зависимости
от типа конструкции верхнего строения пути. В этом случае формула 12 получает
вид:
Среднеквадратическое отклонение динамической нагрузки колеса на рельс
от сил инерции необрессоренной массы
при движении колеса с плавной
непрерывной неровностью на поверхности катания, определяется по формуле:
,
где
- коэффициент, характеризующий
отношение необрессоренной массы колеса и участвующей во взаимодействии массы
пути;
- коэффициент, характеризующий степень неравномерности
образования проката поверхности катания колес, принимаемый для электровозов,
тепловозов, мотор-вагонного подвижного состава и вагонов равным 0,23;
- диаметр колеса, см;
отнесенный к колесу вес необрессоренных частей;
- коэффициент относительной жесткости рельсового основания и
рельса,
.
- модуль упругости рельсовой стали, равный
Расчетная формула (14) после подстановки известных численных значений
приобретает вид:
Среднее квадратическое отклонение динамической нагрузки колеса на рельс
от сил инерции необрессоренной массы
, возникающих из-за наличия на
поверхности катания плавных изолированных неровностей,определяется по формуле:
где
- наибольший дополнительный прогиб
рельса при вынужденных колебаниях катящегося по ровному рельсу колеса с
изолированной неровностью на поверхности катания, см.
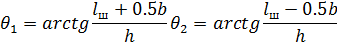
Для подавляющего числа расчётных случаев, при скорости движения
,
где
- расчётная глубина плавной изолированной неровности на
поверхности катания колеса, принимается равной 2/3 от предельной допускаемой
глубины неровности, для локомотива ЧС200
.
Окончательно формула для определения
приобретает вид:
Таким образом, среднее квадратическое отклонение динамической
вертикальной нагрузки колеса на рельс
будет равно:
Динамическая максимальная нагрузка от колеса на рельс:
. Определение эквивалентной нагрузки на путь
железнодорожный
путь нагрузка прочность
При расчете рельса как балки на сплошном упругом основании система
сосредоточенных колесных нагрузок (рисунок 1) заменяется эквивалентными
одиночными нагрузками, соответственно при определении изгибающих моментов и
напряжений в рельсах с помощью функций μ и при определении нагрузок и прогибов
с помощью функции η. Поскольку в силу случайной природы вероятный максимум
динамической нагрузки расчетного колеса не совпадает в вероятным максимумом
нагрузок соседних колес, то при определении эквивалентных нагрузок принимается
максимальная вероятная нагрузка расчетного колеса и среднее значение нагрузок
соседних колес.
Максимальная эквивалентная нагрузка для расчетов напряжений в рельсах от
изгиба и кручения определяется по формуле:
,
где
- ординаты линии влияния изгибающих моментов рельса в
сечениях пути, расположенных под колесными нагрузками от осей тележки, смежных
с расчетной осью.
Величина ординаты
может быть определена по формуле:
где
- коэффициент относительной
жесткости рельсового основания и рельса, см-1;
- расстояние между центром оси
расчётного колеса и колеса i-ой оси, смежной с расчётной;
- основание натуральных логарифмов (e = 2,71828…)
Рисунок 1 - Линия влияния прогибов η(x) и моментов μ(x)
от действия нагрузки Р2.
Максимальная эквивалентная нагрузка для расчетов напряжений и сил в
элементах и сил в элементах подрельсового основания определяется по формуле:
где
- ординаты линии влияния прогибов
рельса в сечениях пути, расположенных под колесными нагрузками от осей тележки,
смежных с расчетной осью. Абсцисса x принимается равной
, при определении влияния соседних
колес через вычисление эквивалентных нагрузок и равной
при определении влияния соседних
шпал на напряжения в балласте на глубине h.
При
>5,5 влиянием средних нагрузок от осей смежных с расчетной
осью можно пренебречь ввиду его незначительности.
Для каждой из установок необходимо определить значение эквивалентной
нагрузки и выбрать наиболее опасную (максимальную) из них.
В силу симметричности линий влияния прогибов
и моментов
от действия колёсной нагрузки, можем
приравнять общие эквивалентные нагрузки (
) от действия максимальной
динамической нагрузки (
) на первую ось колёсной пары четырёхосной тележки локомотива
и на третью.На основании полученных данных делаем вывод, что дальнейший расчёт
необходимо производить по данным, полученным свторой схемы, так как именно эти
нагрузки являются наиболее опасными (максимальными).
5. Определение показателей напряженно-деформированного
состояния элементов конструкции верхнего строения пути
Изгибающий момент в рельсах от воздействия эквивалентной нагрузки:
Максимальная нагрузка на шпалу:
Максимальный прогиб рельса:
Максимальные напряжения в элементах верхнего строения пути определяются
по формулам:
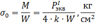
в подошве рельса от его изгиба под действием момента М:
где
- момент сопротивления рельса относительно его подошвы, см3;
в кромках подошвы рельса определяется по формуле, кг/см2:
где
- коэффициент перехода к кромочным напряжениям, зависящий от
типа экипажа, радиуса кривой. Для прямых участков

Для кривых участков приR=300 м:
Рисунок 2 - схема приложения сил на рельс
Вертикальная нагрузка от колеса на рельс имеет смещения (эксцентриситет)
относительно оси симметрии сечения рельса. Со стороны гребня колеса на головку
рельса действует горизонтальная сила. Вследствие этого в наиболее удаленных
точках от центральных осей поперечного сечения рельса (наружная кромка подошвы
и внутренняя кромка головки рельса) возникает сложное напряженное состояние от
совместного действия 2-х изгибающих моментов и крутящего усилия.
в шпале на смятие под подкладкой (при деревянной шпале) и в
прокладке при железобетонной шпале:
где
- площадь подкладки см2,
в балласте под шпалой определяется по формуле (кг/см2):
где
- площадь полушпалы с учетом поправки на изгиб, см2.
Определение напряжений в балласте на глубине h
Расчетная формула для определения нормальных напряжений
в балласте (в том числе и на
основной площадке земляного полотна) на глубине h от подошвы шпалы по расчетной
вертикали имеет вид:
где
- напряжения от воздействия
соответственно 1-й и 3-й шпал, лежащих по обе стороны от расчётной шпалы,
- напряжение от воздействия 2-й шпалы (расчётной) в сечении
пути под расчётным колесом.
Рисунок 3 - Схема передачи давления
на земляное полотно от трёх смежных шпал
Нормальные вертикальные напряжения
под расчётной шпалой определяются на основе решения плоской задачи теории
упругости при рассмотрении шпального основания, как однородной изотропной
среды, по формуле:
где
- напряжение под расчётной шпалой на
балласте, осреднённое по ширине шпалы, кг/см2;
- ширина нижней пастели шпалы, см;
- глубина балластного слоя от подошвы шпалы, см;
- переходный коэффициент от осреднённого по ширине шпалы
давления на балласт к давлению под осью шпалы, при
<1 принимается
=1;
- коэффициент, учитывающий неравномерность распределения
давления вдоль шпалы и пространственность приложения нагрузки.
Напряжения на глубине h под расчётной шпалой, обусловленные воздействием
смежных (соседних с расчётной) шпал, определяются по формуле:
где i=1;3
Учитывая, что расчетная ось находится над второй (расчетной) шпалой №2,
получаем соответственно под первой и третьей шпалами:
где
- среднее значение напряжений по
подошве соседних с расчётной шпал, кг/см2;
- коэффициент, учитывающий расстояние
между шпалами
, ширину шпалы
и глубину
. Индексы у
означают: 1 и 3 - номера шпал, под
которыми определяются напряжения, 2 - номер шпалы, над которой находится
расчетная ось.
)
Углы
и
(в радианах) между вертикальной осью и направлением от кромки
шпалы до расчетной точки определяются по формулам:
Напряжение в балласте под расчётной шпалой определяется по формуле:
при этом нагрузка расчетного колеса, расположенного над расчетной шпалой,
вычисляется по формуле (1), а нагрузка от соседних колес по формуле (2), т.е.
, кг
где
- для двухосной тележки
Тогда нормальное вертикальное напряжение под расчётной шпалой:
Напряжения в балласте под соседними с расчетной шпалами определяются из
условия максимальной динамической нагрузки расчетного колеса, расположенного на
расчетной шпалой и средних нагрузок от остальных колес (рисунок 3).
Рисунок 6 - Учет нагрузок от осей экипажа при определении напряжений на
основной площадке земляного полотна (для примера показаны расстояния от шпалы №
1, соседей с расчетной шпалой №2, до колес двухосной тележки).
где для двухосных тележек:
под шпалой № 1;
под шпалой № 3;
Тогда напряжения от воздействия 1-й и 3-й шпал, лежащих по обе стороны от
расчётной шпалы:
Таким образом, имея все необходимые значения напряжений
, нормальное напряжение
в балласте (в том числе и на
основной площадке земляного полотна) на глубине h от подошвы шпалы по расчетной
вертикали равно:
В редакции Правил 1954 г. [1] предписывалось определять напряжения в
балласте на глубине h (в том числе и на основной площадке земляного полотна)
как среднее от совокупного воздействия всех осей в поезде. Поскольку по пути
движутся самые разнообразные поезда с различными сочетаниями осевых нагрузок,
разными типами вагонов, неодинаковыми скоростями, то определение среднего
воздействия поездных нагрузок представляет достаточно неопределенную задачу.
Поэтому рекомендуется для расчета напряжений в балласте на глубине h принимать
либо наиболее массовый тип грузового подвижного состава - четырехосный грузовой
вагон, либо конкретный экипаж, для которого необходимо определить его
воздействие на земляное полотно.
При необходимости определения напряжений в балласте на глубине h (в том
числе и на основной площадке земляного полотна) от воздействия поездной
нагрузки (например, при технико-экономических расчетах) в формулы (32) и (33,
34) вместо значений
,
и
подставляются соответственно
,
σбсп, т.е. напряжения от расчетной шпалы
и напряжения от смежных (соседних) шпал при поездной нагрузке.
В этих формулах индексом i обозначаются однотипные по воздействию на путь
оси экипажа; ηi
- число однотипных по воздействию на путь осей в поезде; ∑ηi - общее число осей в поезде.
Средние значения и средние квадратические отклонения напряжений в
балласте под подошвой шпалы для каждого i-того колеса в поезде вычисляются по
формулам:- под расчетной шпалой
- под соседней (смежной) с расчетной шпалой
Ординаты линии влияния прогибов рельсов η в формулах (39) и (40) определяются
из выражения (23) в зависимости от числа осей в тележках экипажей: для
двухосных тележек
=0,89
= 2
0,6418 +
+
= 1,315
Среднее
напряжение под расчетной шпалой:
Среднее
квадратическое отклонение напряжений под расчетной шпалой:
Среднее
напряжение под смежной с расчетной шпалой:
Среднее
квадратическое отклонение напряжений под смежной шпалой:
Максимальное
вероятностное напряжение под подошвой расчетной
и
соседних (смежных) с ней
шпал от поездной нагрузки:
6. Оценочные критерии прочности пути
Расчет рельсов и других элементов пути на прочность ведется по
допускаемым напряжениям, которые ограничивают максимальные расчетные напряжения
от поездной нагрузки:
В соответствии с характером работы каждого из элементов пути
регламентируются следующие виды допускаемых напряжений (оценочные критерии
прочности пути), обеспечивающих прочность и надежность железнодорожного пути:
[
] - допускаемые напряжения растяжения
в кромке подошвы рельса, обусловленные его изгибом и кручением от вертикального
и горизонтального воздействия колёс подвижного состава;
[
] - допускаемые напряжения на смятие
в деревянных шпалах (прокладках на железобетонных) под подкладками, осреднённые
по площади подкладки; [
] - допускаемые напряжения сжатия в балласте под шпалой в
подрельсовой зоне;
[
] - допускаемые напряжения сжатия на
основной площадке земляного полотна.
Таблица 2 Оценочные критерии прочности пути
|
Критерии
|
Напряжения расчетные, (кг/см2)
|
Допускаемые напряжения, (кг/см2)
|
|
[ ]
|
|
2000
|
|
[ ]
|
|
16
|
|
[ ]
|
|
4,2
|
|
[ ]
|
|
1,0
|
Значения этих допускаемых напряжений приведены в таблице 2 при
грузонапряженности 50-25 млн т км бр/км в год.
Превышения между расчетными напряжениями над рекомендуемыми в качестве
допускаемых нет, следовательно, меры по усилению основной площадки земляного
полотна не требуются.
7. Расчет условий укладки бесстыкового пути
Расчет повышений и понижений температуры рельсовых плетей, допустимых по
условиям их прочности и устойчивости
Возможность укладки бесстыкового пути в конкретных условиях
устанавливается сравнением допускаемой температурной амплитуды
для данных условий с фактически
наблюдавшейся в данной местности амплитудой колебаний температуры
. Если
, то бесстыковой путь можно
укладывать. Значение
определяется как алгебраическая разность наивысшей
и наинизшей
температур рельса, наблюдавшихся в
данной местности (при этом учитывается, что наибольшая температура рельса на
открытых участках превышает на 20 °С наибольшую температуру воздуха):
(4.1)
где
- наибольшая температура рельса для
данной местности (Инструкция по устройству, укладке, содержанию и ремонту
бесстыкового пути,ТУ-2000);
- наименьшая температура рельса для данной местности
(Инструкция по устройству, укладке, содержанию и ремонту бесстыкового пути,
ТУ-2000).
Я взял станцию Орск:
Амплитуда допускаемых изменений температур рельсов:
где
- допускаемое повышение температуры рельсов по сравнению с
температурой их закрепления, определяемое устойчивостью пути против выброса при
действии сжимающих продольных сил;
- допускаемое понижение температуры рельсовых плетей по
сравнению с температурой закрепления, определяемое их прочностью при действии
растягивающих продольных сил;
- минимальный интервал температур, в котором окончательно
закрепляются плети; по условиям производства работ для расчетов он обычно
принимается равным 10°С, но при необходимости его можно уменьшить до 5 °С, если
предусматривать закрепление плетей осенью, в пасмурную погоду, в ранние
утренние или вечерние часы, когда температура рельсов в процессе закрепления
изменяется медленно, или когда плети планируется вводить в расчетный интервал
температур с применением принудительных средств (растягивающие приборы,
нагревательные установки).
Допускаемое повышение температуры рельсовых плетей
устанавливается на основании
теоретических и экспериментальных исследований устойчивости пути. Данные для
уложенных вновь или переложенных повторно с переборкой рельсошпальной решетки
рельсовых плетей при различных конструкциях верхнего строения пути приведены в
табл. П.2.1. ТУ-2000.
Допускаемое понижение температуры рельсовых плетей определяют расчетом
прочности рельсов, основанным на условии, что сумма растягивающих напряжений,
возникающих от воздействия подвижного состава и от изменений температуры, не
должна превышать допускаемое напряжение материала рельсов:
где
- коэффициент запаса прочности (
= 1,3 для рельсов первого срока
службы и старогодных рельсовых плетей, прошедших диагностирование и ремонт в
стационарных условиях или профильное шлифование и диагностирование в пути;
для рельсов, пропустивших
нормативный тоннаж или переложенных без шлифования);
- напряжения в поперечном сечении рельса от действия
растягивающих температурных сил, возникающих при понижении температуры рельса
по сравнению с его температурой при закреплении, МПа;
-допускаемое напряжение (для термоупрочненных рельсов
- 400 МПа, для незакаленных - 350
МПа).
Температурное напряжение, возникающее в рельсе в связи с несостоявшимся
изменением его длины при изменении температуры:
где
- коэффициент линейного расширения
рельсовой стали (
);
- модуль упругости рельсовой стали (
);
- разность между температурой, при которой определяется
напряжение, и температурой закрепления плети на шпалах,
.
Наибольшее допускаемое по условию прочности рельса понижение температуры
рельсовой плети по сравнению с ее температурой при закреплении:
В соответствии с указанным порядком расчета определены и приведены в
табл. П.2.2 допускаемые по условию прочности понижения
температуры рельсовых плетей по
сравнению с температурой их закрепления.
Расчет температурных интервалов закрепления плетей
Тип рельсов Р75 с железобетонными шпалами и щебеночным балластом. Станция
Орск относится к Орскому отделению Южно-Уральской железной дороге. Расчет
температурных интервалов закрепления плетей включает:
−прямой участок;
−кривые с радиусами 2000 м, 1200, 1000, 800, 650, 400, 350, 250.
ЭлектровозпассажирскийЧС200движется с максимальной скоростью равной 200
км/ч. Так как в Инструкции по укладке, содержанию и ремонту бесстыкового пути
отсутствует скорость 200 км/ч, то наибольшую скорость 160 км/ч.я Наибольшая
температура рельсов
, наименьшая
, наибольшая температурная амплитуда
По таблицам П.2.1 и П.2.2 (Инструкция по укладке, содержанию и ремонту
бесстыкового пути) определяем допускаемое повышение [
] и понижение [
] температуры рельсов и их амплитуды
для каждого из элементов:
для прямых участков
𝒱=160 км/ч,
,
для кривой радиусом 2000 м
𝒱=160 км/ч,
,
для кривой радиусом 1200 м
𝒱=160 км/ч,
,
Далее расчет невозможен, необходимо снизить скорость до 140 км/ч.
для кривой радиусом 1000 м.
𝒱=140 км/ч,
,
Далее расчет невозможен, необходимо снизить скорость до 120 км/ч.
для кривой радиусом 800 м
𝒱=120 км/ч,
,
Табличных значений для кривой радиусом 650 нет, применяем линейную
интерполяцию чисел:
для кривой радиусом 650 м
𝒱= 100км/ч,
для кривой радиусом 400 м
𝒱=80 км/ч,
,
для кривой радиусом 350 м
𝒱=80 км/ч,
,
Укладка бесстыковой плети для кривой радиусом 250 м невозможна.
Для всех элементов плана
т.е. укладка названной выше конструкции бесстыкового пути
возможна.
Расчетный интервал закрепления рельсовых плетей:
Границы расчетного интервала закреплении, то есть самую низкую (
и самую высокую (
) температуры закрепления, определяют
по формулам:
для прямых участков
C
для кривой радиусом 2000 м
C
для кривой радиусом 1200 м
C
для кривой радиусом 1000 м.
C
для кривой радиусом 800 м
C
для кривой радиусом 650 м
C
для кривой радиусом 400 м
C
для кривой радиусом 350 м
C
Плеть на всем протяжении должна быть закреплена в одном интервале
температур, границы которого определяются наиболее высокой из рассчитанных
и наиболее низкой из рассчитанных
. Отсюда
и
. В соответствии с таблицей 3.1
(Инструкция по устройству, укладке, содержанию и ремонту бесстыкового пути) для
Южно-Уральской железной дороги оптимальный интервал температуры закрепления для
плети составляет 30±5.
Вывод
заданная конструкция пути может эксплуатироваться районе Орска в прямых и
кривых участках при R=350 и более без разрядки температурных напряжений.
закрепление бесстыковых рельсовых плетей необходимо проводить в соответствии
с Инструкцией по устройству, содержанию и ремонту бесстыкового в интервале
температур рельсов 25…
C.
Список литературы
1.Методика
оценки воздействия подвижного состава на путь по условиям обеспечения его надежности,
МПС России. Г.Г.Желнин от 16 июня 2000 г., 38 стр.
.Расчет и
проектирование железнодорожного пути В.В.Виноградов, А.М.Никонов, Т.Г.Яковлева.
.Инструкция
по устройству, содержанию и ремонту бесстыкового пути , ТУ 2000, Москва 2012,
142 стр.