Расчет системы передачи дискретных сообщений
Содержание
Введение
. Постановка задачи курсового
проекта
. Требование к выполнению задания
. Расчетная часть
.1 Структурная схема системы
передачи сообщения
.2 Расчет параметров АЦП и ЦАП
.3 Расчет информационных
характеристик источника сообщений и первичных сигналов
.4 Расчет помехоустойчивости
демодулятора сигнала аналоговой модуляции
.5 Выбор корректирующего кода и
расчет помехоустойчивости системы связи с кодированием
.6 Расчет эффективности системы
связи
Заключение
Библиографический список
Введение
Понятия информации и сообщения употребляются
довольно часто. Эти близкие по смыслу понятия сложны и дать их точное
определение через более простые нелегко. Слово информация происходит от
латинского informatio
- разъяснение, ознакомление, осведомлённость. Обычно под информацией понимают
совокупность сведений, данных о каких-либо событиях, явлениях или предметах.
Для передачи или хранения информации используют
различные знаки (символы), позволяющие выразить (представить) её в некоторой
форме. Этими знаками могут быть слова и фразы в человеческой речи, жесты и
рисунки, формы колебаний, математические знаки и т.п. Совокупность знаков,
отображающих ту или иную информацию, называют сообщением.
Физический процесс, отображающий (несущий)
передаваемое сообщение, называется сигналом.
В качестве сигнала можно использовать любой
физический процесс, изменяющийся в соответствии с переносимым сообщением. В
современных системах управления и связи чаще всего используют электрические
сигналы. Физической величиной, определяющей такой сигнал, является ток или
напряжение. Сигналы формируются путём изменения тех или иных параметров
физического носителя в соответствии с передаваемым сообщением. Этот процесс
(изменения параметров носителя) принято называть модуляцией.
Сигнал передаёт (развёртывает) сообщение во
времени. Если сигнал представляет собой функцию x(t),
принимающую только определённые дискретные значения х (например, 1 и 0), то его
называют дискретным или дискретным по уровню (амплитуде). Точно так же и
сообщение, принимающее только некоторые определённые уровни, называют
дискретным. Если же сигнал (или сообщение) может принимать любые уровни в
некотором интервале, то они называются непрерывными или аналоговыми.
Случайный характер сообщений, сигналов, а также
помех обусловил важнейшее значение теории вероятностей в построении теории
связи.
1. Постановка задачи курсового
проекта
Сообщение непрерывного источника передается по
каналу связи методом ИКМ. В канале связи с постоянными параметрами и аддитивным
белым гауссовым шумом используется помехоустойчивое кодирование и модуляция
гармонического переносчика.
В табл. 1 приведены исходные данные:
Таблица 1
|
Номер
варианта
|
Источник
сообщения
|
ρвых, дБ
|
ρкв, дБ
|
Метод
модуляции
|
Способ
приема
|
ЭВК,
дБ
|
|
Распр.
вер
|
Pb, Вт
|
Ka
|
Fmax, кГц
|
|
|
|
|
|
|
Ц-30
|
НР
|
0,5
|
3,5
|
2,5
|
39
|
42
|
ФМ-2
|
Когер.
|
3,4
|
. Источник сообщений задан первичным сигналом b(t)
с нулевым средним значением и следующими параметрами:
плотностью вероятности мгновенных значений p(b)
- нормальным распределением (НР), двусторонним экспоненциальным распределением
(ДЭР), либо равномерным распределением на интервале (-bmax,
bmax) (PP);
средней мощностью сигнала Pb;
коэффициентом амплитуды (пик-фактором) Ka;
максимальной частотой спектра Fmax.
. Допустимое отношение сигнал/шум на входе
получателя ρвых.
3. ИКМ преобразование непрерывного сигнала в
цифровой производится с использованием равномерного квантования, отношение
сигнал/шум квантования ρкв.
4. Метод модуляции гармонического переносчика.
. Способ приема: когерентный либо некогерентный.
. Энергетический выигрыш кодирования (ЭВК).
2. Требование к выполнению задания
1. Структурная схема ЦСП. Изобразить
структурную схему цифровой системы передачи непрерывных сообщений Пояснить
назначение каждого блока, дать определение основных параметров, характеризующих
каждый блок.
2. Расчет параметров АЦП и
ЦАП.
. Расчет информационных характеристик
источника сообщений и первичных сигналов. Сформулировать требования к
пропускной способности канала связи.
. Расчет помехоустойчивости демодулятора. Для
заданных вида модуляции и способа приема рассчитать и построить график
зависимости вероятности ошибки двоичного символа на выходе демодулятора от
отношения сигнал/шум p=f(h2);
определить требуемые отношения сигнал/шум h2σ1
и (Ps/N0)ц1,
при
которых обеспечивается допустимая вероятность ошибки символа на входе ЦАП рσ.
5. Выбор корректирующего кода и расчет
помехоустойчивости системы связи с кодированием. Для заданных вида
модуляции, способа приема и энергетического выигрыша кодирования выбрать
корректирующий код, вероятность ошибки символа на выходе декодера рД
≤ Рσ.
Рассчитать
и построить зависимость вероятности ошибки символа на выходе декодера от
отношения сигнал/шум на входе демодулятора pД=f1(hσ2).
Определить полученный ЭВК. Определить требуемое отношение сигнал/шум на входе
демодулятора (Ps
/ N0)ц2,
при котором (Ps
/ N0)a.
. Расчет и сравнение эффективности систем
передачи непрерывных сообщений. Произвести расчеты и сравнения
информационной, энергетической и частотной эффективности рассчитываемой системы
связи для двух вариантов передачи - с помехоустойчивым кодированием и без него.
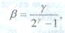
Построить график предельной зависимости β=f(γ).
На
этом рисунке точками отразить эффективность двух вариантов передачи. Сравнить
показатели эффективности двух вариантов передачи между собой и с предельной
эффективностью. Сделать выводы по результатам сравнения.
. Заключение. Сделать выводы по курсовой
работе в целом.
3. Расчетная часть
.1 Структурная схема системы
передачи сообщения
Рис. 1. Структурная схема системы передачи
сообщений вариант 1.
.2 Расчет параметров АЦП и ЦАП
Исходные данные:
максимальная частота спектра первичного сигнала Fmax;
средняя мощность первичного сигнала Pb;
пик-фактор первичного сигнала Ka;
допустимое отношение сигнал/шум на входе
получателя ρвых;
допустимое значение сигнал/шум квантования ρкв;
в АЦП производится равномерное квантование.
Требуется:
составить и описать структурные схемы АЦП и ЦАП;
определить интервал дискретизации ТД
и частоту дискретизации fД;
определить число уровней квантования L
и значность двоичного кода n;
рассчитать длительность двоичного символа Tσ;
рассчитать отношение сигнал/шум квантования ρкв
при выбранных параметрах АЦП;
рассчитать допустимую вероятность ошибки символа
рσ
в канале связи (на входе ЦАП).
Частота дискретизации выбирается из условия: fД
≥
2 Fmax.
Выберем fД
=
6 кГц;
Интервал дискретизации равен: ТД =
1/6=0,16
Для того, чтобы ФНЧ не вносили линейных
искажений в непрерывный сигнал, граничные частоты полос пропускания ФНЧ должны
удовлетворять условию: f1
≥
Fmax.
Выберем f1
= 2,6 кГц;
Для того, чтобы исключить наложение спектров Sb(f)
и Sb(f
- fД),
а также обеспечить ослабление восстанавливающим ФНЧ составляющих Sb(f
- fД),
граничные частоты полос задерживания ФНЧ должны удовлетворять условию: f1≤(fД
- Fmax).
Выберем f2
= 3,6 кГц;
Чтобы ФНЧ не были слишком сложными, отношение
граничных частот выбирают из условия: f2/
f1=1,3…1,4.
,6/2,6=1,38 - условие выполняется.
При проведении расчетов заданные в децибелах
отношения сигнал/помеха необходимо представить в разах:
Помехоустойчивость системы передачи
непрерывных сообщений определяется величиной:
Из этой формулы найдем мощность помехи на выходе
ЦАП:
Вт
В системе цифровой передачи методом
ИКМ мощность помехи на выходе ЦАП определяется:
Где
- средняя мощность шума квантования;
- средняя
мощность шумов ложных импульсов.
Если задано отношение сигнал/шум
квантования ρкв, то
Вт
Из формулы
найдем среднюю мощность шумов ложных
импульсов:
Вт
Мощность шума квантования выражается
через величину шага квантования ∆b:
Из формулы найдем ∆b:
∆b=0,019
Первичный сигнал b(t),
подлежащий преобразованию в цифровой сигнал, принимает значения от bmin до bmax и интервал
(bmin, bmax) подлежит
квантованию. Если значение bmax не задано,
то оно определяется с помощью соотношения:
У сигналов со средним значением
равным нулю bmin = -bmax, т.е
Минимально возможное число уровней
квантования определяется:
Число уровней квантования:
Число уровней квантования L выбирается
как такая целая степень числа 2, при которой L ≥ Lmin .
Выберем L=256
Значность двоичного кода АЦП:
бит
После выбора величины L рассчитаем
отношение сигнал/шум квантования:
Длительность двоичного символа на
выходе АЦП:
Допустимая вероятность ошибки
символа рσ на входе
ЦАП:
.3 Расчет информационных
характеристик источника сообщений и первичных сигналов
связь помехоустойчивость
аналоговый модуляция
Исходные данные для расчета:
плотность вероятности мгновенных
значений первичного сигнала p(b);
максимальная частота спектра
первичного сигнала Fmax;
отношение средней мощности
первичного сигнала к средней мощности ошибки воспроизведения на выходе системы
передачи ρвых.
Подлежат расчету:
эпсилон-энтропия источника Нε(B);
производительность источника Ru.
Дифференциальная энтропия сигнала
зависит от вида распределения вероятностей p(b) и дисперсии
сигнала
, и
соответствующая расчетная формула для её вычислений приведена в табл. 2. У
сигналов со средним значением равным нулю
, т.е.
Таблица 2. Дифференциальная энтропия
для некоторых законов распределения случайных величин
|
Распределение
вероятности
|
Дифференциальная
энтропия, бит/отсчет
|
|
Нормальное
распределение 
|
|
Находим дифференциальную
энтропию:
Эпсилон-энтропия источника
вычисляется по формуле:
Максимально возможное значение Hεmax(B),
достигаемое при нормальном распределении вероятности сигнала вычисляется по
формуле:
Коэффициент избыточности источника χ вычисляется
по формуле:
Производительность источника:
Ru=1,95
.4 Расчет помехоустойчивости
демодулятора сигнала аналоговой модуляции
Исходные данные:
допустимое отношение сигнал/помеха
на выходе демодулятора ρвых;
вид модуляции;
канал связи с постоянными
параметрами и аддитивным белым гауссовым шумом со спектральной плотностью
мощности N0;
параметры первичного сигнала -
пик-фактор Ka и
максимальная частота спектра Fmax.
Требуется рассчитать:
зависимость ρвых= f(ρвх);
требуемое отношение средней мощности
сигнала к удельной мощности шума Ps/N0 на входе
демодулятора.
При фазовой модуляции выигрыш
определяется:
Где mфм
-
индекс фазовой модуляции;
Определим ориентировочное значение mфм,
при котором демодулятор будет работать в области порога:
Найдем коэффициент расширения полосы
частот при ФМ:
Найдем выигрыш:
Выражение, описывающее зависимость ρвых= f(ρвх) при любых ρвх можно
получить на основе импульсной теории порога:
Входящая в выражение величина mфм неизвестна и
подлежит выбору. Также недопустимо, чтобы ρвх были меньше ρпр. Поэтому
значение индекса mфм ограничено
сверху условием работы демодулятора выше порога.
Используя выражение, описывающее
зависимость ρвых= f(ρвх), построим
графики 4-ёх зависимостей ρвых= f(ρвх) для
значения mфм,
полученного выше, и значений mфм= ±2 и mфм= ±4. По
полученным зависимостям определяют значение mфм, при
котором ρвых равно
допустимому, а ρвх находится в
области или несколько выше порога.
Рис. 2
Индекс mфм= 2; ρвх= 7,1 дБ.
Рис. 3
Индекс mфм= 4; ρвх= 7,75 дБ.
Рис. 4
Индекс mфм= 6; ρвх= 8,15 дБ.
Рис. 5
Индекс mфм= 8; ρвх= 8,3 дБ.
Выберем наибольшее ρвх =8,3 дБ, при
mфм= 8.
Найдем ширину спектра
модулированного сигнала для ФМ:
кГц.
Требуемое отношение:
дБ.
.5 Выбор корректирующего кода и
расчет помехоустойчивости системы связи с кодированием
Исходные данные:
требуемый ЭВК;
вид модуляции в канале связи и
способ приема;
тип непрерывного канала связи;
допустимая вероятность ошибки
двоичного символа на выходе декодера рσ;
отношение сигнал/шум на выходе
демодулятора h2σ1,
обеспечивающее допустимую вероятность ошибки рσ в канале
кодирования;
длительность двоичного символа на
входе кодера корректирующего кода Tσ .
Требуется:
рассчитать зависимость вероятности
ошибки символа на выходе декодера от отношения сигнал/шум на входе демодулятора
ρД=
f1(h2σ)
при использовании выбранного кода;
определить полученный ЭВК;
вычислить требуемое отношение Ps/N0
на
входе демодулятора.
Согласно заданию на курсовую работу выбрали код
Хемминга (120,127) как самый оптимальный с параметрами:
n
=127;
k
=120;
qu
=4;
dmin
=9.
При декодировании с исправлением ошибок
вероятность ошибочного декодирования определяется из условия, что число ошибок
в кодовой комбинации на входе декодера q
превышает кратность исправляемых ошибок:
,
где
.
Вероятность ошибки кратности q:
,
где p -
вероятность ошибки двоичного символа на входе декодера.
Для ФМ-2 и когерентного способа
приема выберем формулу:
,
где отношения сигнал/шум на входе
демодулятора:
,
Переход от вероятности ошибочного
декодирования РОД к вероятности ошибки двоичного символа ρД выполняется
по формуле:
.
Рассчитаем зависимость,
характеризующую помехоустойчивость канала связи с кодированием. Построим график
зависимости ρ= f(h2)для канала
связи без помехоустойчивого кодирования и зависимости
ρД= f1(h2σ)
для канала связи с помехоустойчивым
кодированием.
Зависимость вероятности ошибки
символа на выходе декодера от отношения сигнал/шум на входе демодулятора при
использовании выбранного кода:
По этой зависимости определим
требуемое отношение сигнал/шум h2σ2 на входе
демодулятора, при котором обеспечивается допустимая вероятность ошибки символа
на выходе декодера, т.е. ρД= рσ (пункт 1.2).
Рис. 6. - график зависимости ρ= f(h2)
По найденному значению h2σ2 и полученному
при расчете помехоустойчивости демодулятора значению h2σ1 определяют
ЭВК по формуле:
,
дБ.
ЭВК получилось положительным, а это
в свою очередь говорит нам о том, что код Хемминга (k=120, n=127)
подходит для кодирования модулированного изначального сигнала с фазовой
модуляцией (ФМ-2).
Определим требуемое отношение
сигнал/шум на входе демодулятора в канале связи с кодированием:
,
дБ.
.6 Расчет эффективности системы
связи
Исходные данные для расчета:
тип канала связи - канал с
постоянными параметрами и аддитивным белым гауссовским шумом;
метод модуляции и параметры,
определяющие ширину спектра модулированного сигнала и полосу пропускания канала
связи;
отношение Ps/N0 на выходе
канала связи, при котором обеспечивается заданное качество воспроизведения
сообщения;
скорость передачи информации.
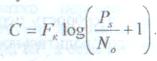
Пропускная способность непрерывного
канала связи определяется формулой Шеннона:
;
С= 117,65*log4,5=76.4[бит/с];
При передаче сигналов дискретной
модуляции минимально возможная ширина спектра сигналов определяется пределом
Найквиста: при AM, ФМ ОФМ и КАМ.
S = 1 /8.5*10-3=117.65[Гц];
где
длительность элемента
модулированного сигнала; Тс длительность двоичною символа на входе
демодулятора:
TS=1.7*10-3*log2(32)=8.5*10-3[сек]
Так как используется
помехоустойчивое кодирование, тогда
Tc =
3*10-3*4/7= 1.7*10-3 [сек];
где n и k - параметры
корректирующего кода.
Пропускную способность непрерывного
канала связи следует рассчитать для всех рассмотренных в курсовой работе
вариантов передачи непрерывных сообщений: вариант аналоговой передачи и 2
варианта цифровой передачи - с помехоустойчивым кодированием и без него.
;
Необходимо рассчитать и построить
график предельной зависимости
(рис.3). Значения β и γ откладывают
в логарифмических единицах.
Рис.3. Коэффициент эффективности для всех
вариантов передачи.
Заключение
В результате выполнения курсовой работы
выяснилось, что система передачи дискретных сообщений без кодирования намного
неэффективнее этой же системы, с кодированием, что видно из результатов
подсчета и рисунка 2 (отношение вероятности ошибки бита на входе декодера без
кодирования p(b)
и с кодированием pd(b)
от отношения сигнал шум.)
. Цифровая связь: учебник для вузов/
Д.Д. Кловский, Б.И. Николаев - М.: Радио и связь, 2000. - 800 с.;
. Теория электрической связи:
учебник для вузов/А.Г. Зюко, Д.Д. Кловский, М.В. Назаров.- М.: Радио и связь,
1999. - 432 с.: 204 ил.;
3. Теория электрической связи:
методические рекомендации по выполнению курсового проекта/ Р.П. Краснов -
Воронеж: МИКТ, 2009. - 44с.
4. Теория передачи сигналов: учебник
для вузов/ А.Г. Зюко, Д.Д. Кловский, М.В. Назаров, Л.М. Финк.- М.: Радио и
связь, 1986. - 302 с.