Расчет системы передачи дискретных сообщений
Содержание
Содержание
Задание
на курсовую работу:
.
Источник сообщений.
.
Дискретизатор.
.
Кодер.
.
Модулятор.
.
Канал связи
.
Демодулятор
.
Декодер
.
Фильтр - восстановитель
Задание на
курсовую работу
Рассчитать основные характеристики системы передачи сообщений,
структурная схема которой имеет следующий вид:
ИС - источник сообщения;
Д - дискретизатор;
К - кодер;
ЛС - линия связи;
ДМ - демодулятор;
ДК - декодер;
Ф - фильтр-восстановитель.
Исходные данные:
amin =
-1,6 B;
amax =
1,6 B;
Fc =
15*103 Гц;
j = 9;
Вид модуляции ЧМ;
N0 =
2,9∙10-7 B2/Гц;
Способ приема когерентный.
1. Источник
сообщений
Источник сообщений выдает сообщение a(t), представляющее
собой непрерывный стационарный случайный процесс, мгновенные значения которого
в интервале [amin; amax] распределены по заданному закону, а мощность
сосредоточена в полосе частот от 0 до Fc.
Требуется:
) Записать аналитическое выражение и построить график одномерной
плотности вероятности мгновенных значений сообщения a(t).
) Найти математическое ожидание, дисперсию и СКО.
) Построить график случайного процесса и на графике обозначить
максимальное и минимальное значения сигнала, математическое ожидание и
среднеквадратичное отклонение.
Решение:
-площадь
равнобедренной трапеции.
Из
условия нормировки 
.
,
Н=0.4167.
Одномерная
плотность вероятности мгновенных значений сообщения a(t)
описывается системой вида:
P(a)=
Для
P(a)= K1*a+b по графику берем две точки (a;p(a)):
(-1,6;0) и (-0,8;0,4167).
из
системы уравнений находим k1 и b :

;
.
В
результате получаем Р(а)=0,52*a+0.8334.
Аналогично,
находим Р(а)= k2*a+b=-0,52*а+0,8334, т.к. трапеция - равнобедренная, k2=-k1. В
результате получим:
Рис.1.1.Распределение одномерной плотности вероятности
Найдем математическое ожидание:
.
Найдем дисперсию:
Найдем СКО:
.
< 0,6442 < 1,6
а,
В
Рис.1.2. График случайного процесса а(t)
. Дискретизатор
Передача непрерывного процесса осуществляется дискретными методами. Для
этого сообщение а(t)
дискретизируется по времени и квантуется по уровню с равномерным шагом. Шаг
квантования по уровню Dа=
0,1В.
Требуется:
1) Определить шаг дискретизации по времени (Dt).
2) Определить число уровней квантования (L).
) Рассчитать среднюю мощность шума квантования.
) Рассматривая дискретизатор как источник дискретного сообщения с объемом
алфавита L, определить его энтропию и
производительность (Н, Н’). Отсчеты, взятые через интервал Dt считать независимыми.
Решение:
Найдем
шаг дискретизации по времени. Для этого воспользуемся теоремой Котельникова
, тогда iаг дискретизации по времени:
,
≈33,3мкс.
Число
уровней квантования L при равномерном шаге определяется как частное от деления
размаха сигнала на шаг квантования Dа. Т.к. шаг квантования
по уровню Dа задан, то число уровней квантования:
L=32.
Шум квантования представляет собой стационарный случайный процесс с
независимыми значениями отдельных отсчетов e = aд - a (эпсилон). Если в качестве
квантованного значения a принимается
ближайший дискретный уровень, то шум квантования e (ошибка дискретизатора, возникающая из-за того, что
не происходит переход на другой уровень) при равномерном квантовании с шагом Da находится в пределах
,
здесь
e - шум квантования.
, где ωш = 1/Δa.
Найдем среднюю мощность (дисперсия шума квантования):
,
шk
.
Энтропия - средняя информативность источника на один символ, определяющая
неожиданность выдаваемых сообщений для источника без памяти энтропия
определяется по формуле:
,где i=1…n
Определим
вероятность на интервале [-0,8;0,8]:
,
.
Определим
производительность источника, как энтропию в единицу времени:
.
3. Кодер
передача сообщение модуляция декодер
Кодирование осуществляется в два этапа.
Первый этап: производится примитивное кодирование каждого уровня
квантованного сообщения k-
разрядным двоичным кодом.
Второй этап: к полученной k-разрядной
двоичной кодовой комбинации добавляются проверочные символы, формируемые в
соответствии с правилами кодирования по коду Хэмминга.
В результате этих преобразований на выходе кодера образуется синхронная
двоичная случайная последовательность b(t) (синхронный случайный телеграфный
сигнал), состоящая из последовательности биполярных импульсов единичной высоты,
причем положительные импульсы в ней соответствуют символу «0», а отрицательные
- символу «1» кодовой комбинации.
Требуется:
1) Определить число разрядов кодовой комбинации примитивного кода k, необходимое для кодирования всех L уровней квантованного сообщения.
2) Определить избыточность кода при использовании кодирования
Хэмминга.
3) Записать двоичную кодовую комбинацию, соответствующую передаче j-го уровня, считая, что при
примитивном кодировании на первом этапе j-му уровню ставится в соответствии двоичная кодовая
комбинация, представляющая собой запись числа j в двоичной системе счисления. В полученной кодовой
комбинации указать информационные и проверочные разряды.
4) Определить число двоичных символов, выдаваемых кодером в единицу
времени Vn и длительность двоичного символа T.
Решение:
Для кодирования L уровней квантованного сообщения число разрядов двоичной
кодовой комбинации:
.
Определим
полную длину кодовой последовательности. Для этого найдем количество
проверочных символов кода Хэмминга из условия
.
Первое
целое число, удовлетворяющее этому условию, r = 4.
Тогда
полная длина всей кодовой комбинации:
=
k + r,
=
5+4= 9.
Вычислим
избыточность кода при использовании кодирования Хэмминга:
j = 9, его
двоичная комбинация, занимающая k =5 разрядов:
·24+1·23+0·22+0·21+1·20
Т.е.
1010 = 010102.
Передаём 5-битовый код 01010. Для контроля целостности блока данных такой
длины, нам необходимо 4 бита кода Хэмминга, которые располагаются на позициях с
номерами 2γ, γ=0, 1, 2, 3, …:
Таблица 1. Расположение битов кода Хэмминга (отмечены '*').
|
Позиция бита
|
9
|
8
|
7
|
6
|
5
|
4
|
3
|
2
|
1
|
|
Значение бита
|
0
|
*
|
1
|
0
|
0
|
*
|
1
|
*
|
Контрольная сумма формируется путем выполнения операции "исключающее
ИЛИ" над кодами позиций ненулевых битов. В данном случае это 7, 5.
Таблица 2. Нахождение контрольной суммы.
|
8
|
4
|
2
|
1
|
|
3
|
0
|
0
|
1
|
1
|
|
7
|
0
|
1
|
1
|
1
|
|
r
|
0
|
1
|
0
|
0
|
Полученная контрольная сумма записывается в соответствующие разряды блока
данных - младший бит в младший разряд. Таким образом, формируется следующий
блок данных:
Таблица 3. Результирующий блок данных.
|
Позиция бита
|
9
|
8
|
7
|
6
|
5
|
4
|
3
|
2
|
1
|
|
Значение бита
|
0
|
0
|
1
|
0
|
0
|
1
|
1
|
0
|
0
|
Просуммировав коды позиций с ненулевыми битами, получаем 0, что является
признаком корректного блока данных.
Таблица 4. Проверка корректности блока данных.
|
8
|
4
|
2
|
1
|
|
3
|
0
|
0
|
1
|
1
|
|
4
|
0
|
1
|
0
|
0
|
|
7
|
0
|
1
|
1
|
1
|
|
0
|
0
|
0
|
0
|
Число двоичных символов, выдаваемых кодером в единицу времени Vn и длительность двоичного символа T.
= 9*30*103= 2.7·105 бит/с;
= 1/Vn,
= 1/2.7*105 ≈3,7·10-6 с=3.7 мкс.
4. Модулятор
В модуляторе синхронная двоичная случайная последовательность биполярных
импульсов b(t) осуществляет модуляцию гармонического переносчика
e(t)=Um cos(2πft), Um=1В, f = 100 V’n)
Для частотной модуляции (ЧМ):
«0» − U0(t) = Um cos(2π(f-
f)t);
«1» − U1(t) = Um cos(2π(f+
f)t).
Требуется:
1) Записать аналитическое выражение для модулированного сигнала.
2) Изобразить временные диаграммы модулирующего b(t) и модулированного u(t) = u(b(t)) сигналов, соответствующие передачt j-го уровня сообщения a(t).
) Привести выражение и начертить график корреляционной функции
модулирующего сигнала В(τ).
4) Привести выражение и начертить график спектральной плотности
мощности модулирующего сигнала GВ(ω).
5) Определить ширину энергетического спектра модулирующего сигнала ∆FB из условия ∆FB=αVk (где α выбирается в пределах от 1 до 3).
Отложить полученное значение ∆FB на графике GВ(f).
) Привести выражение и построить график энергетического спектра Gu(ω)
модулированного сигнала.
) Определить ширину энергетического спектра ∆Fu модулированного сигнала и отложить
значение ∆Fu на графике Gu(f).
Решение:
При частотной модуляции модулированный сигнал:
.
Um = 1 B,
f=
=
=270000Гц,
Гц.
Получим:
Рис.4.1. Временные диаграммы модулирующего b(t) и
модулированного U(t) сигналов, соответствующие передаче
9-го уровня сообщения a(t).
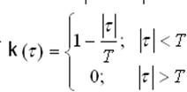
Корреляционная функция модулирующего сигнала k(τ):
,
где Т =3,7·10-6 с.
Рис.4.2.График корреляционной функции модулирующего сигнала k(τ)
Cпектральная
плотность мощности модулирующего сигнала GВ(ω).

=2πf,

График
спектральной плотности мощности модулирующего сигнала GВ(f):
Рис.4.3.График
спектральной плотности мощности модулирующего сигнала GВ(f)
Ширина
энергетического спектра модулирующего сигнала:
где α=1.
Энергетический спектр Gu(ω) ЧМ сигнала представляет собой сумму энергетических
спектров АМ сигналов с несущими частотами f1= f0 -∆f и
2= f0 -∆f.
1= 2,7∙107 - 2,7∙105 =2,43∙107 Гц,
f2=
2,7∙107 + 2,7∙105 =2,727∙107 Гц.
Gu(f) =
GB(f-f1)+
GB(f-f2),
Gu(f) =
GB(f-2,43∙107)+
GB(f-2,727∙107).
Рис.4.4.Энергетический
спектр Gu(ω) ЧМ сигнала
Ширина энергетического спектра ∆Fu модулированного сигнала:
=
,
∆Fu
=10,8∙105 Гц.
5. Канал
связи
Передача сигнала U(t) осуществляется по каналу с
постоянными параметрами и аддитивным флуктуационным шумом n(t) с равномерным энергетическим спектром N0/2 (белый шум).
Сигнал на выходе такого канала можно записать следующем образом:
(t) = U(t) + n(t).
Требуется:
1) Определить мощность шума в полосе частот Fk = ∆Fu ;
2) Найти отношение сигнал - шум Рс /Рш;
) Найти пропускную способность канала С;
) Определить эффективность использования пропускной способности
канала Кс, определив ее как отношение производительности источника Н’ к
пропускной способности канала С.
Решение:
Мощность шума в полосе частот Fk = ∆Fu =10,8∙105
Гц :
,
Найдем
отношение сигнал-шум:
где
E0=E1.

Тогда
.
Отношение сигнал - шум Рс /Рш:
Пропускная
способность канала:
С
= ∆FU·log2(1+Pc/PШ),
С
= 10,8∙105·log2(1+ 3,19285),
С=22,3344·105
бит/с.
Эффективность
использования пропускной способности канала Кс определяется как отношение
производительности источника Н’ к пропускной способности канала С.
. Демодулятор
В демодуляторе осуществляется оптимальная когерентная или некогерентная
(в зависимости от варианта) обработка принимаемого сигнала z(t) = U(t) + n(t).
Требуется:
1) Записать алгоритм оптимального приема по критерию минимума
средней вероятности ошибки при равновероятных символах в детерминированном
канале с белым гауссовским шумом.
2) Нарисовать структурную схему оптимального демодулятора для
заданного вида модуляции и способа приема.
) Вычислить вероятность ошибки ρ оптимального демодулятора.
) Определить, как нужно изменить энергию сигнала, чтобы при других
видах модуляции и заданном способе приема обеспечить найденное значение
вероятности ошибки ρ.
Решение:
Алгоритм оптимального приема по критерию минимума средней вероятности
ошибки при равновероятных символах в детерминированном канале с белым
гауссовским шумом:
при
выполнении неравенства
регистрируется
символ «1»;
Если
, то регистрируется символ «0». При частотной
модуляции:
Е0/2 = Е1/2,
U1(t) = cos(167864400t),(t) = cos(171255600t).
Следовательно:
при
,
при
.
Рис.6.1.Структурная
схема оптимального демодулятора для частотной модуляции и когерентного способа
приема.
Здесь
блоки «C» - перемножители;
-
интеграторы; РУ - решающие устройства, определяющее в моменты времени, кратные T,
номер k-й ветви с максимальным сигналом (k =
0, 1).
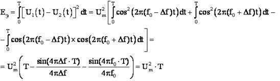
Вероятность ошибки ρ оптимального демодулятора:
ρ = 1/2 (1-Ф(х)),
где Ф(х) - функция Крампа
где
.
При частотной модуляции энергетический выигрыш по пиковой мощности
составляет в два раза по сравнению с АМ и проигрывает два раза по сравнению с
ФМ.
По средней мощности: проигрывает два раза по сравнению к ФМ и равен по
сравнению АМ.
7. Декодер
В декодере декодирование осуществляется в два этапа. На первом этапе
производится обнаружение и исправление ошибки в кодовой комбинации. Считать,
что ошибка произошла в i-ом
разряде. На втором этапе из нее выделяются информационные символы, а затем k - разрядная двоичная кодовая
комбинация преобразуется в элемент квантованного сообщения.
Требуется:
1) Оценить обнаруживающую способность q0 кода Хэмминга.
2) Записать алгоритм обнаружения ошибок.
) Определить вероятность необнаружения ошибки.
Наименьшее расстояние по Хеммингу между кодовыми комбинациями:
;
Наш
код исправляет одну ошибку
и
обнаруживает
ошибки.
Алгоритм
обнаружения ошибок.
Пусть
был отправлен код 001001100.
И произошла ошибка в 3-ем разряде, т.е. i=3, в результате чего было получено:
Складываем по модулю 2 номера позиций ненулевых символов:
|
8
|
4
|
2
|
1
|
|
4
|
0
|
1
|
0
|
0
|
|
7
|
0
|
1
|
1
|
1
|
|
r
|
0
|
0
|
1
|
r=00112
= 3.
Значит, ошибка произошла в 3-м разряде - 3-ий разряд инвертируем и
получаем 001001100.
Вероятность необнаружения ошибки:
,
где
n - число разрядов кодовой последовательности, n =
9;
q -
обнаруживающая способность кода Хэмминга;
р - вероятность ошибки в одном разряде, p = 0,006.
- общее
число различных выборок (сочетаний) объема a.
но=1,766*10-5.
. Фильтр -
восстановитель
Фильтр-восстановитель - фильтр нижних частот с частотой среза Fcр.
Требуется:
1) Указать величину Fcр.
2) Изобразить идеальные АЧХ и ФЧХ фильтра - восстановителя.
) Найти импульсную характеристику g(t) идеального
фильтра- восстановителя и начертить ее график.
Частота среза
,
р
=
Гц.
Идеальная
АЧХ фильтра - восстановителя описывается системой:
, где
.
=
с-1.
АЧХ
имеет вид:
Рис.8.1.Идеальная АЧХ фильтра - восстановителя
Идеальная
ФЧХ описывается уравнением
, где
− время задержки (маленькая величина порядка
10-4 − 10-5 с) и имеет вид:
Рис.8.2.Идеальная
ФЧХ фильтра - восстановителя
Найдём
импульсную характеристику g(t) идеального фильтра - восстановителя и начертим её
график.
,
Вывод
В
ходе данного проекта были приобретены навыки расчета основных характеристик
системы передачи сообщений, включающей в себя источник сообщений,
дискретизатор, кодирующее устройство, модулятор, линия связи, демодулятор,
декодер и фильтр-восстановитель. Также уяснили, что наименее помехоустойчивый
тип модуляции - амплитудный, а наиболее помехоустойчивый - фазовый.
Литература
. Клюев Л.Л.
“Теория электрической связи». Минск, «Дизайн ПРО», 1998 г.
. Шувалов
Б.П., Захарченко Н.Б., Шварцман В.О. и др ”Передача дискретных сообщений”: Под
ред. Шувалова -М.; Радио и связь 1990 г.