|
Алфавит
источника
|
Вероятность
символа
|
Комбинация
кодовых символов
|
Длина
к.с.
|
Число
единиц
|
|
αk
|
p(αk)
|
1
|
2
|
3
|
4
|
5
|
Mk
|
|
|
ж
|
0.122
|
0
|
0
|
0
|
|
|
3
|
0
|
|
в
|
0.089
|
0
|
0
|
1
|
|
|
3
|
1
|
|
и
|
0.089
|
0
|
1
|
0
|
0
|
|
4
|
1
|
|
п
|
0.086
|
0
|
1
|
0
|
1
|
|
4
|
2
|
|
е
|
0.085
|
0
|
1
|
1
|
|
|
3
|
2
|
|
р
|
0.083
|
1
|
0
|
0
|
|
|
3
|
1
|
|
к
|
0.081
|
1
|
0
|
1
|
0
|
|
4
|
2
|
|
н
|
0.079
|
1
|
0
|
1
|
1
|
|
4
|
3
|
|
с
|
0.071
|
1
|
1
|
0
|
0
|
|
4
|
2
|
|
д
|
0.064
|
1
|
1
|
0
|
1
|
|
4
|
3
|
|
б
|
0.058
|
1
|
1
|
1
|
0
|
0
|
5
|
3
|
|
о
|
0.035
|
1
|
1
|
1
|
0
|
1
|
5
|
4
|
|
а
|
0.032
|
1
|
1
|
1
|
1
|
0
|
5
|
4
|
|
м
|
0.026
|
1
|
1
|
1
|
1
|
1
|
5
|
5
|
Построенное дерево кодирования кода Шеннона-Фано
на рис. 2.
3.3 Кодирование построенным кодом фамилии и
имени исполнителя курсовой работы
Закодируем фразу: Саханов
Абылайхан. Отсутствующие в алфавите источника буквы
пропускаются: Саанов Абаан.
Получившийся код:
11100 1011 0100 1011 11110 11111 11110 100 0100
Первым двум буквам сообщения соответствует код:
01111100
Рис. 2. Дерево кодирования кода Шеннона-Фано.
Изобразим качественные временные диаграммы
сигналов во всех промежуточных точках структурной схемы (рис.3). Возьмём
фрагмент сигнала, отвечающего двум первым буквам сообщения «е» - 011 и «б» -
11100.
Рис. 3. а) Фрагмент сигнала на входе модулятора.
На вход модулятора поступает последовательность
кодовых символов в виде прямоугольных радиоимпульсов. Наличие импульса - «1»,
его отсутствие - «0».
Рис. 3. б) Фрагмент сигнала на выходе модулятора
Последовательность импульсов непригодна для
передачи по линии связи, поэтому она поступает на модулятор, где используется
для модуляции другого колебания s(t)
- переносчика. Вид модуляции - амплитудная телеграфия с пассивной паузой.
Модулированное колебание U(t) поступает в линию связи.
В линии связи сигнал взаимодействует с помехой,
поэтому на вход демодулятора поступает их сумма. Также сигнал в линии связи
подвергается искажениям, но мы этого не рассматриваем для простоты.
Рис. 3. в) Фрагмент сигнала на входе
демодулятора.
Таким образом, на входе демодулятора
присутствуют случайные колебания двух видов - реализация шума или сумма
детерминированного сигнала и шума, что соответствует двум гипотезам.
Рис. 3. г) Фрагмент сигнала на выходе
демодулятора.
Задача демодулятора - принять на основе
наблюдения решение о том, какая именно гипотеза выполняется на данном
интервале, и на основании этого сформировать последовательность двоичных
символов, которая затем подвергается декодированию. Эта последовательность
может отличаться от исходной bц(t).
Для уменьшения вероятности ошибки мы и будем использовать кодирование.
4. Расчёт характеристик системы согласно заданию
№2
Расчет энтропии и избыточности источника:
Энтропия - среднее количество информации,
приходящееся на один символ, которое определяется как математическое ожидание.
Энтропия характеризует производительность дискретного источника. Рассматривая
источник без памяти, запишем энтропию дискретного источника А в виде:
где K -
количество символов в алфавите, p(αk) -
вероятность k-того
символа.
Основные свойства энтропии:
.) Энтропия любого источника
неотрицательна
. Это
следует из того, что вероятность любого события неотрицательна и не превосходит
единицы. Равенство нулю энтропии источника имеет место в том случае, если один
из символов имеет вероятность 1, а остальные - 0.
.) При заданном объеме
алфавита
энтропия
максимальна, если все символы равновероятны
.
Значение энтропии равно
. В
частности, при
энтропия
максимальна при
и равна 1
биту. Таким образом, 1 бит - это количество информации, доставляемое одним из
двух равновероятных символов, вырабатываемых источником без памяти.
Реальные источники редко обладают максимальной
энтропией, поэтому их принято характеризовать так называемой избыточностью,
определяемой выражением:
Рассчитаем энтропию источника:
В нашем случае
=
=
= 3.707 (бит)
Следовательно, энтропия источника:
бит.
Максимальная энтропия для данного
источника:
бит.
Найдём избыточность источника:
Средняя длина кодовой комбинации:
Для построенного кода средняя длина
кодовой комбинации:
Теорема Шеннона о кодировании в
отсутствие шумов. Среднюю длину кодовых слов для передачи символов источника
при помощи
кода с основанием
можно как
угодно приблизить к величине
.
Смысл теоремы состоит в том, что она
определяет нижнюю границу длины кодовых слов и устанавливает принципиальную
возможность достичь этой границы, однако она не указывает способов достижения.
Согласно теореме Шеннона при
оптимальном кодировании можно достичь средней длины:
μmin=H(A)/log22=
H(A)=3.707 (символа)
То есть, μср≠μmin.
Таким
образом, построенный код не является оптимальным, потому что на каждом шаге
процедуры построения кода не удавалось разделить символы на группы с равными
вероятностями.
Расчет энтропии, избыточности кода, вероятности
двоичных символов, передаваемых по каналу, скорость передачи информации:
Определим вероятность появления определенного
символа в кодовой комбинации (пусть это будет символ 1). Она находится, как
сумма количеств единиц во всех кодовых словах с весами, равными вероятностям
кодовых слов, отнесенная к средней длине кодового слова:
В таком случае, вероятность
появления символа 0:
- априорная
вероятность 0.
Определим энтропию кода :
Т.к. алфавит кода состоит из двух
символов 0 и 1, поэтому энтропия кода равна:
Рассчитаем избыточность кода:
Только будем учитывать, что при
передаче бинарного кода, его максимальная энтропия: Нк мах=1
Таким образом, получим:
Скорость передачи информации по
каналу без помех:
Поскольку НК =0.999 (бит)
и τ
= 0.9 (мкс),
получаем:
бит/сек.
или
бит/сек.
где τ - длительность
посылки.
5. Описание процесса принятия
приёмником решения при приёме сигнала
Пусть при передаче дискретных
сообщений используются реализации сигнала Si(t),
соответствующие кодовым символам. В течение интервала времени от 0 до Т на вход
приемного устройства поступает некоторое колебание, которое вследствие
искажений и помех (x(t)) в канале
не совпадает в точности ни с одним из передаваемых сигналов. Следовательно, в
этом случае приемное устройство должно выбрать одну из n возможных
взаимоисключающих гипотез. Решение о том, какой символ был передан на входе,
принимается в демодуляторе. В случае, когда код бинарный демодулятор решает:
был сигнал на входе или его не было («1» и «0» соответственно).
Для выполнения данной задачи
устанавливается порог: если сигнал превышает установленный пороговый уровень,
то передана «1» (сумма сигнала с шумом), если порогового уровня - «0» (только
шум). Этот алгоритм легко реализуется в современной электронике с помощью
микросхем - компараторов, сравнивающих два сигнала, один из которых поступает
из линии, а другой является эталонным, он и играет роль порога.
В качестве помехи - стационарный
квазибелый гауссовский шум с нулевым средним, известной дисперсией и спектральной
плотностью мощности N0/2,
постоянной в полосе частот, в которой сосредоточено 99% энергии сигнала, и
равной 0 вне этой полосы.
Мы будем использовать способ приема,
заключающийся во взятии однократного (мгновенного) значения наблюдаемого
процесса z(t) в
некоторый момент времени t0 и сравнивании его с порогом yп.
Точно зная сигнал, следует выбрать в
качестве t0 такой
момент, когда сигнал принимает максимальное значение. Но шум в это время может
принять отрицательное значение, так что сумма сигнала с шумом может оказаться
ниже порога (ошибка второго рода - пропуск сигнала). При отсутствии сигнала
шумовая реализация может превысить порог (ошибка первого рода - ложная
тревога).
Чтобы найти порог и вероятности
ошибок первого и второго рода, необходимо рассмотреть условные плотности
распределения вероятностей шума w(y|H0) и суммы
сигнала и шума w(y|H1) в момент
времени t0.
Критерий минимума суммарной условной
вероятности ошибки.
Для получения минимума суммарной
условной вероятности ошибки нужно выбрать порог, равный точке пересечения
плотностей.
Тогда решение принимается в пользу
той гипотезы, для которой значение условной плотности вероятности выше, то есть
более правдоподобной гипотезы.
Отношение правдоподобия для критерия
минимума суммарной условной вероятности ошибки:
Λ=
> (<) 1
Для того, чтобы вероятность ошибки
была как можно меньше, необходимо установить оптимальный порог.
При передаче дискретных сообщений в
качестве критерия обычно принимают среднюю вероятность ошибки приёма одного
элемента двоичной последовательности. Этот критерий называется критерием
идеального наблюдателя (Котельникова), согласно которому порог выбирается так,
чтобы обеспечить минимум средней вероятности ошибки:
рош = р0р01+р1р10,
где р0 - априорная
вероятность гипотезы H0 (сигнала нет),
р1 - априорная
вероятность гипотезы H1 (сигнал
есть).
Отношение правдоподобия для критерия
идеального наблюдателя:
Λ=
> (<) 
Априорные вероятности гипотез - это
вероятности присутствия в кодовой последовательности нулей и единиц соответственно.
6. Расчёт характеристик системы
согласно заданию №3
.1 Когерентный прием
Когерентный прием - прием сигнала
при условии, что форма сигнала на интервале наблюдения точно известна,
неизвестен лишь сам факт наличия или отсутствия сигнала в наблюдаемом
колебании. (Эта ситуация наиболее близка к реальности в кабельных линиях связи,
где условия распространения сигналов известны и практически неизменны.)
Если в линии только шум с нулевым
средним (гипотеза Н0), то на выходе канала связи есть сигнал с
Гауссовой плотностью распределения:
, [1/В]
Если в линии сумма сигнала и шума
(гипотеза Н1), то на выходе канала связи есть сигнал с Гауссовой
плотностью распределения:
, [1/В]
Вычислим плотности распределения
вероятностей мгновенных значений колебания на входе демодулятора при приеме
посылки и паузы:
.1.1 Выбор оптимального по критерию идеального
наблюдателя порога для принятия решения о принимаемом символе
Для определения оптимального по критерию
идеального наблюдателя порога высчитаем условные плотности распределения
вероятностей, умноженные на априорные вероятности гипотез H0 и H1.
Рис.5. Плотности распределения вероятностей при
когерентном приёме: сплошная линия - смесь сигнала и шума, пунктир - шум.
0=0,494
p1=0,506
, [1/В]
, [1/В]
Вычислим плотности распределения
вероятностей при когерентном приёме на входе демодулятора в отсутствии сигнала
и при наличии сигнала, результат представим в виде графика:
Оптимальный порог по критерию идеального
наблюдателя для принятия решения о принимаемом символе найдём как абсциссу
пересечения условных плотностей распределения вероятностей, умноженных на
априорные вероятности гипотез.
С помощью Mathcad
найдём yП:
Рис.5. Выбор порогового значения yП
при когерентном приёме.
Т.е. yП
= 1.4 В
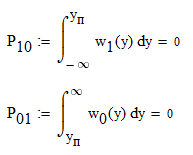
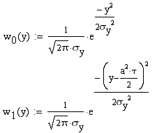
.1.2 Определение условных вероятностей ошибок
первого и второго рода и средней вероятности ошибки
Вероятности ошибок первого и второго рода
определяются как площади фигур, ограниченных осью у, вертикальной прямой,
проходящей через точку ylim на оси абсцисс и графиком плотности W0p(y)
и W1p(y)
соответственно.
Условная вероятность ошибки первого рода -
ложной тревоги (передавалась единица, а принят - ноль):
Условная вероятность ошибки второго рода -
пропуск сигнала (передался ноль, а принята единица):
Рис. 6. Определение условных вероятностей ошибок
первого и второго рода при когерентном приеме.
Таким образом, средняя вероятность ошибки:
где p01
- вероятность «1» при передачи «0»; p10
- вероятность «0» при передачи «1»
.1.3 Определение скорости передачи информации
при наличии помех
Наличие помех в канале (в данном случае
гауссовского шума) вызывает ошибки при демодуляции и тем самым ограничивает
скорость передачи информации: если ошибки следуют слишком часто, скорость
передачи информации снижается. Расчет скорости информации в цифровом канале с
помехами основывается на понятии совместной энтропии входа и выхода канала.
Для определения среднего количества передаваемой
по каналу информации (приходящееся на один символ) Ikog
нужно найти совместные вероятности всех сочетаний входных и выходных символов,
а для этого записать условные вероятности для входных символов при заданных
входных. Эти условные вероятности, определяются в свою очередь, условными
вероятностями ошибок первого и второго рода.
p(1) = 0.506; p(0) = 0.494
Безусловные вероятности выходных символов для
нахождения энтропии источника:
p1’=
p(0)p00s
+
p(1)p10s
= 0.475
p0’ = 1 - p1’
= 0.525
Нs
= −р1’∙log2(р1’)
− р0’ ∙log2(р0’)
Нs
= 0.998 бит
Энтропия источника, рассчитанная ранее: Нk
= 0.999 бит
Совместная энтропия входа и выхода канала:
Среднее количество передаваемой информации по
каналу:
Скорость передачи информации при наличии помех:
.2 Некогерентный приём
На практике иногда не удается обеспечить условия
для когерентного приема сигналов, так как один или несколько параметров
принимаемого сигнала оказываются неизвестными. Такая ситуация типична,
например, в системах спутниковой связи, радиосвязи с подвижными объектами, и
т.п., поскольку расстояние между передатчиком и приемником изменяется случайным
образом. Это приводит, в частности, к тому, что меняется начальная фаза
несущего колебания. Если изменение происходит настолько медленно, что соседние
посылки имеют практически одинаковую начальную фазу, то ее можно оценить и
оценку использовать вместо точного значения при организации приема. Такой прием
называют квазикогерентным. Если же начальная фаза изменяется (флюктуирует)
быстро или устройство оценивания оказывается слишком сложным, тогда
рассматривается задача приема сигнала со случайной начальной фазой или
некогерентного приема.
В нашем случае некогерентный прием - прием
сигнала, параметры которого известны не полностью, в частности, рассматривается
задача приема сигнала со случайной начальной фазой.
Следовательно, теперь нельзя выбрать момент t0
измерения мгновенного значения так, чтобы значение сигнала s(t0)
было максимальным. Поэтому сначала выполняется выделение огибающей наблюдаемого
процесса, а затем берется ее отсчет V в любой момент в пределах длительности
посылки.
Теперь мгновенное значение имеет негауссово
распределение при обеих гипотезах.
Если сигнала нет (гипотеза Н0),
наблюдаемый процесс представляет собой гауссовский шум с нулевым средним, а его
огибающая V в любой момент времени имеет распределение Рэлея w0(V|H0).
При гипотезе Н0 (сигнал есть) огибающая гауссовского процесса имеет
распределение Рэлея-Райса (обобщенное рэлеевсое) w1(V|H1),
что соответствует ненулевому среднему.
Условная плотность распределения вероятностей
шума:
Условная плотность распределения вероятностей
суммы сигнала и шума:
где I0(*) - модифицированная функция
Бесселя первого рода нулевого порядка.
6.2.1 Определение оптимального порога при
некогерентном приёме
Для определения оптимального по критерию
идеального наблюдателя порога высчитаем условные плотности распределения
вероятностей, умноженные на априорные вероятности гипотез H0 и H1.
p(1) = 0.506; p(0) = 0.494
, [1/B]
,
[1/B]
Таким образом, порог yП
= 2.02 (B)
Рис. 7. Выбор порога при некогерентном приеме.
.2.2 Определение условных вероятностей ошибок
первого и второго рода и средней вероятности ошибки
Условная вероятность ошибки первого рода (ложная
тревога):
Рис.8. Определение условных вероятностей ошибок
первого и второго рода при когерентном приеме.
Условная вероятность ошибки второго рода
(пропуск сигнала):
Таким образом, средняя вероятность ошибки:
6.2.3 Определение скорости передачи информации
при некогерентном приеме
Совместные вероятности сочетаний входных и
выходных символов:
p0n
= p(0)p00n
=
0.431
p001n = p(0)p01n =
0.0631n = p(1)p11n = 0.424110n = p(1)p10n
= 0.082
Безусловные вероятности выходных символов для
нахождения энтропии источника:
p1n’= p(0)p00n +
p(1)p10n = 0.5130n’= 1 - p1n’ = 0.487
Энтропия источника:
Нsn
= − p1n’∙log2(p1n’)
− p0n’
∙log2(p0n’)
= 0.9995 бит
Энтропия источника, рассчитанная ранее: Нk
= 0.999 бит
Совместная энтропия входа и выхода цифрового
канала:
Среднее количество передаваемой информации по
каналу:
Скорость передачи информации при наличии помех:
Вывод:
При когерентном приеме сигнала вероятности
ошибок первого и второго рода меньше, а значит и средняя вероятность ошибки
меньше, чем при некогерентном. Скорость передачи информации выше при
когерентном приеме. Потенциальная (наивысшая) помехоустойчивость реализуется в
том случае, когда в точке приёма известны все параметры сигнала, т.е. форма,
частота, задержка во времени и начальная фаза. Неизвестно только то, какой из
возможных сигналов передаётся на данном интервале наблюдения. Поэтому
когерентный приём лучше, чем некогерентный. Но на практике обеспечить
когерентный прием не всегда удается, так как один или несколько параметров
принимаемого сигнала оказываются неизвестными.
7. Расчёт согласованного фильтра
В случае приёма сигнала известной формы
демодулятор должен вычислить значение корреляционного интеграла, которое
сравнивается с порогом, выбираемым в соответствии с принятым критерием
эффективности. Устройство, вычисляющее корреляционный интеграл, называется
коррелятором.
Рис 9. Структура коррелятора.
Коррелятор является нестационарным (параметрическим)
устройством и включает генератор опорного колебания, совпадающего по форме с
ожидаемым сигналом на интервале наблюдения, и интегратор, на выходе которого в
момент окончания интервала наблюдения формируется значение, сравниваемое с
порогом. В некоторых случаях удобнее использовать ЛИС-цепь, которая вычисляет
значение корреляционного интеграла и называется согласованным фильтром. Он
играет роль детектора и рассчитывается для обнаружения сигнала заранее
известной формы, выходной сигнал фильтра при этом не совпадает по форме ни с
входным, ни с сигналом, для обнаружения которого фильтр предназначен.
Согласованный фильтр обеспечивает максимальное отношение сигнал/шум на выходе,
тем самым максимизируя потенциальную вероятность решений демодулятора.
На вход фильтра поступает смесь гауссова шума с
заданной дисперсией γ2
и радиоимпульса с известными огибающей, длительностью, частотой заполнения и
начальной фазой.
s(t)
= Acos(γ0t+φ0)
Этот фильтр, как и любая ЛИС-цепь, исчерпывающим
образом описывается импульсной характеристикой hсф(t), при этом
выходной сигнал определяется свёрткой (интегралом Дюамеля), которая для момента
t0 сравнения с порогом равна
А с учётом финитности посылки:
Учитывая, что в момент t0 на выходе
согласованного фильтра должно быть выработано значение корреляционного
интеграла, приходим к выводу, что должно выполняться равенство:
где
Исходя из этого, можно сделать вывод, что:
где s(t)
- посылка (прямоугольный радиоимпульс)
Таким образом, импульсная характеристика
согласованного фильтра совпадает по форме с ожидаемым сигналом, обращённым во
времени и задержанным на время t0.
Для выполнения требования каузальности необходимо, чтобы t0
было не меньше, чем τ.
Зная импульсную характеристику фильтра можно
найти КЧХ согласованного фильтра:
где S(ω)
- спектральная плотность посылки.
Таким образом:
Можно видеть, что АЧХ совпадает по форме с
модулем спектральной плотности сигнала. Следовательно, фильтр подчеркивает сильные
и подавляет слабые частотные компоненты сигнала.
ФЧХ состоит из двух слагаемых. Первое
обеспечивает суммирование всех частотных компонент сигнала «в фазе», благодаря
чему в момент времени t0,
обусловленный множителем e-jwt0,
имеет
место максимальное значение отклика, численно равное энергии сигнала.
Действие согласованного фильтра на аддитивную
смесь сигнала с шумом можно рассматривать по отдельности в силу линейности
фильтра.
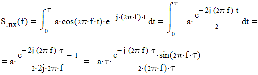
Сигнальная составляющая выходного процесса:
Шумовая составляющая:
Дисперсию шума на выходе можно найти следующим
образом:
W(ω)
- спектральная плотность мощности шума
Отношение сигнал/шум (ОСШ) по мощности на выходе
СФ будет максимальным при условии t0
= τ. Оно равно
Принимая ψ=1, имеем
Еh
= E, тогда:
Выигрыш в отношении сигнал/шум по сравнению со
случаем однократного отсчёта равен:
Учитывая, что шум на входе
согласованного фильтра квазибелый с полосой (-F, F),
содержащей 99% энергии сигнала, 
2df = 0.99
2df = 0.99E, получим F=10.286/τ, тогда СПМ
шума N0/2 = σ2/(2F).
8. Расчёт характеристик системы
согласно заданию № 4
.1 Определение импульсной
характеристики согласованного фильтра для приёма посылки
Рассмотрим фильтр для принятия
элементарной посылки. На вход фильтра поступает смесь гауссова шума, с заданной
дисперсией 2, и
радиоимпульса, с известными огибающей, длительностью, частотой заполнения и
начальной фазой (когерентный приём).
Для нашего радиоимпульса:
где a -
амплитуда, τ
- длительность,
ω0 - частота
заполнения. Заполнение высокочастотное, примем ω0= 2*π*5 MГц.
Рис. 10. Сигнал на входе
согласованного фильтра.
Тогда импульсная характеристика
такого фильтра будет представлять собой зеркальное отображение временной
функции сигнала, задержанное на время, не менее длительности сигнала.
где t0 - величина
не меньше τ.
Рис.11. Импульсная характеристика
согласованного фильтра.
Для нахождения КЧХ фильтра
необходимо определить спектральную плотность посылки. Используем прямое
преобразование Фурье и теорему сдвига:
Комплексно-частотная характеристика
согласованного фильтра:
Амплитудно-частотная характеристика:
Рис. 12. АЧХ согласованного фильтра
.2 Отклик согласованного фильтра на
посылку
Отклик согласованного фильтра на
посылку будет определяться сверткой:
Отклик фильтра будет по форме отличаться от
исходного сигнала. Дело в том, что от фильтра не требуется передать форму
сигнала, а нужно создать максимальный всплеск в момент времени t0.
Можно видеть, что при t=t0=9*10-7
значение отклика максимально и численно равно энергии сигнала.
Рис. 12. Сигнал, полученный на выходе
согласованного фильтра.
Это можно объяснит тем, что отклик представляет
собой АКФ посылки, которая достигает максимума, равного энергии сигнала, при
нулевом значении аргумента.
.3 Определение условных вероятностей ошибки и
средней вероятности ошибки
Для определения условных вероятностей ошибки и
средней вероятности ошибки при когерентном приеме с использованием
согласованного фильтра необходимо найти дисперсию шума на выходе и рассмотреть
гауссовы плотности распределения вероятностей.
Мы можем найти дисперсию по формуле:
О помехе нам известно, что это квазибелый шум с
нулевым средним, а значит имеет следующую СПМ:
Учитывая, что в данной полосе частот содержится
99% энергии сигнала, найдем F:
Решая данное уравнение, получим: F
= 11.4*106 Гц - полоса частот, в которой сосредоточена мощность шума.
Найдём N0:
N0 =
1/(11.4*106) = 8.75*10-8 В2/Гц.
Теперь можем найти СКО на выходе согласованного
фильтра:
Зная СКО на выходе, мы можем определить и
построить ПРВ на выходе согласованного фильтра:
Постоим график и найдем порог согласно критерию
идеального наблюдателя:
Рис. 13. График ПРВ на выходе согласованного
фильтра.
В данном случае порог равен уп =
0.000001764 В. Зная порог, определим условные вероятности ошибок:
Найдем среднюю вероятность ошибки:
Для наглядности сравним полученные средние
вероятности ошибки:
Таблица 8.1
|
При
когерентном приеме
|
При
некогерентном приеме
|
При
использовании согласованного фильтра
|
|
р
=0.0807
|
р
= 0.145
|
р
= 0
|
Можно сделать вывод о том, что использование
согласованного фильтра значительно уменьшает среднюю вероятность ошибки.
.4 Определение выигрыша в отношении сигнал\шум
за счет согласованной фильтрации
Для начала определим отношение сигнал\шум по
напряжению и по мощности на входе согласованного фильтра:
Отношения сигнал\шум по напряжению и по мощности
на выходе согласованного фильтра:
Выигрыш в ОСШ напряжению и по мощности составит:
9. Структурная схема связи согласно пункту 2.5
Если в канале действуют помехи, то при приёме
сигналов возникают ошибки, приводящие к неправильному декодированию сообщений.
В таких случаях выдвигается на передний план задача повышения верности
передачи. Одним из путей ее решения является помехоустойчивое (канальное)
кодирование. Помехоустойчивыми или корректирующими кодами называются коды,
обеспечивающие автоматическое обнаружение и/или исправление ошибок в кодовых
комбинациях. Такая возможность обеспечивается целенаправленным введением
избыточности в передаваемые сообщения.
С учётом сказанного выше, изобразим структурную
схему системы связи для передачи дискретных сообщений, использующую
помехоустойчивое (канальное) кодирование.
Рис.14. Структурная схема системы связи для
передачи дискретных сообщений при помехоустойчивом кодировании.
Эта схема выглядит аналогично структурной схеме
системы связи, рассмотренной в первом пункте курсовой работы. Отличие заключается
в строении кодера. В системе связи для передачи дискретных сообщений с
помехоустойчивым кодированием имеется кодер источника, необходимый для
экономного кодирования, а также канальный кодер и канальный декодер. Канальный
кодер обеспечивает повышение помехоустойчивости путем введения избыточности в
передаваемые сообщения. Канальный декодер проверяет наличие ошибок в коде и
исправляет их.
Декодирование осуществляется в следующем
порядке: вначале производится декодирование помехоустойчивого кода, а затем на
основе полученной двоичной последовательности производится восстановление
символов исходного алфавита.
10. Описание принципов помехоустойчивого
кодирования при передаче дискретных сообщений. Построение - кода Хемминга
В настоящее время известно множество кодов,
которые применяются для канального кодирования, они подразделяются на классы по
различным признакам.
Например, если информационная последовательность
символов источника (после экономного кодирования) разбивается на блоки,
кодируемые независимо друг от друга, то код называется блочным, если же
информационная последовательность кодируется без разбиения, код называют
непрерывным. Блочные коды - равномерны.
Если в кодовом слове можно выделить
информационные символы, служащие для передачи сообщения, и проверочные символы,
предназначенные для обнаружения и исправления ошибок, код называют разделимым;
если такое разбиение осуществить нельзя, код - неразделим. Разделимые коды, в
свою очередь, могут быть линейные и нелинейные.
Линейные блочные коды. Блочный
равномерный код состоит из кодовых слов (комбинаций) одинаковой длины
. Элементы
кодовых слов выбираются из некоторого алфавита (канальных) символов объемом
. Если
, код
называется двоичным. Поскольку все кодовые слова имеют одинаковую длину, удобно
считать их векторами, принадлежащими линейному пространству размерности
.
Всего можно образовать
-мерных
векторов с двоичными компонентами (кодовых комбинаций или слов). Из них только
,
комбинаций
являются разрешенными и составляют код, который называется
-кодом .
Остальные комбинации в кодере образоваться не могут (являются запрещенными), но
могут получиться из разрешенных под воздействием помех в канале. Поэтому если в
приёмнике имеет место запрещенная комбинация, следовательно, при передаче по
каналу произошла ошибка. Разрешенные комбинации, как векторы линейного
пространства, должны отстоять друг от друга достаточно далеко. Чем больше
расстояние между разрешенными комбинациями, тем меньше вероятность
преобразования их друг в друга под действием помех, тем выше способность кода к
обнаружению ошибок.
Более того, при приёме запрещенной
комбинации можно не только обнаруживать, но и исправлять ошибки. Для этого
декодер должен принимать решение о переданной комбинации на основе расстояния
между принятой запрещенной комбинацией и ближайшей разрешенной. Таким образом,
чем дальше друг от друга разрешенные комбинации, тем выше корректирующая
способность кода. Алгоритм работы декодера формально сводится к разбиению всего
пространства на области
,
, каждая из
которых содержит одну разрешенную комбинацию
. Если принятая комбинация
принадлежит
области
, то декодер
принимает решение о том, что передавалась разрешенная комбинация
.
Линейные коды являются разделимыми,
поэтому из
символов
только
являются
информационными, а остальные (
) - проверочными.
Одним из наиболее известных
помехоустойчивых кодов являются коды Хемминга. Они являются
блочными, т.е. информационная последовательность символов источника разбивается
на сегменты (блоки), кодируемые независимо друг от друга. В
помехоустойчивых кодах для передачи сообщения используются не все кодовые
комбинации, а только некоторая их часть (разрешенные кодовые комбинации). Тем
самым создаётся возможность обнаружения и исправления ошибки при неправильном
воспроизведении некоторого числа символов. Корректирующие свойства кодов
обеспечиваются введением в кодовые комбинации дополнительных (избыточных)
символов.
Коды Хемминга представляют собой (n,k)
- коды, удовлетворяющие при некотором целом m
условию
(n,k)=(2m
-
1,2m
-
1 - m), при некотором
целом m.
где n
- количество всех символов,
k - количество
информационных символов,
(n-k)
- количество проверочных символов.
Код (7,4) является кодом Хемминга. Для него
количество информационных символов k=4,
количество проверочных символов - 3.
Этот код порождается матрицей кодирования
(порождающей матрицей):
Кодовые слова имеют структуру:
С = ( х1, х2,
х3, х4, с5, с6, с7 ),
где
с5 = х1 + х2
+ х3
с6 = х2 + х3
+ х4
с7 = х1 + х2
+ х4
(подразумевается сложение по модулю
2).
Реализовать такое кодирование можно
при помощи следующего устройства:
Рис. 15. Структура кодера для систематического
(7,4) - кода.
Устройство включает два сдвиговых регистра
объёмом 4 и 3 разряда, а также три сумматора по модулю 2. Информационная
последовательность поступает на вход первого регистра и записывается в его
разрядах.
На выходах сумматоров по модулю
2 формируются проверочные символы, которые запоминаются в разрядах второго
регистра. Затем происходит считывание вначале четырех информационных символов,
а затем трёх проверочных, при этом на выходе устройства получается
семиразрядное кодовое слово.
Декодирование блочного кода могло бы заключаться
в простом отбрасывании проверочных символов, но это не обеспечивало бы
обнаружению и исправлению ошибок. Для обнаружения ошибок может использоваться
порождающая матрица Н:
Умножая по модулю 2 слева вектор-строку,
соответствующую принятой комбинации, на транспонированную матрицу НТ,
получаем вектор - синдром σ. Если
σ
- нулевой
вектор, то в этом случае символ передался без ошибки, если же σ
- вектор,
совпадающий с одним из столбцов проверочной матрицы, то в этом случае в
символе, номер которого соответствует номеру этого столбца, произошла ошибка.
.1 Построение - кода Хемминга
Для построения кода Хэмминга разобьем фразу,
полученную при кодировании источника, на блоки по четыре символа, это и будут
кодовые слова разрешённых символов.
Исходная фраза: «Саханов
Абылайхан». При этом отсутствующие буквы в алфавите
пропускались.
Код этой фразы:
0111110010110100101111110111111111010001.0000
Разобьём этот код на блоки по 4 символа и недостающие
дополним нулями:
.1100.1011.0100.1011.1111.0111.1111.1101.0001.0000
Эти блоки представим в виде матрицы
информационных (разрешенных) символов:
Запишем порождающую матрицу G:
Каждая строка матрицы С равна до
четвёртого символа соответствующему столбцу матрицы Х. Последующие три символа
в каждой строке матрицы С и есть контрольные символы: С5, С6,
С7 соответственно, где С5=x1+x2+x3;
C6=x2+x3+x4; С7=x1+x2+x4. Тогда
матрица кодирования:
Каждая строка в матрице С будет
являться кодовым символом.
Составленная в коде Хемминга фраза
будет выглядеть так:
.1100111.1011111.0100111.1011111.1111111.0111111.1111111.1101111.0001011.0000000.
Или матрицу кодирования можно найти
с помощью порождающей матрицы:
В результате получаем:
.2 Расчет вероятностей однократной и двукратной
ошибок в пределах одного кодового слова
Расчет вероятностей однократной и двукратной
ошибок в пределах одной кодовой комбинации длины n
можно выполнить по формуле биномиального распределения вероятностей:
P(k)=Cnkpk(1-p)n-k,
где k
следует положить равным соответственно 1 и 2. В качестве p
подставим среднюю вероятность ошибки при приеме одного символа рош =
0.0807.
Вероятность однократной ошибки:
Вероятность двукратной ошибки:
Итак, вероятности ошибок малы.
Охарактеризуем способность кода к выявлению и
исправлению ошибок. Предположим что передавалась разрешенная комбинация
0110001, и при передаче произошла:
А) однократная ошибка 1110001
Б) двукратная ошибка 1110000
Проверить наличие ошибки можно с помощью
проверочной матрицы Н:
Если при умножении вектора-строки на
транспонированную матрицу в результате получится вектор (синдром) являющийся
нулевым, то ошибки нет. В противном случае присутствуют ошибки.
Можно видеть, что наличие ошибок было определено
в обоих случаях. Однако в случае однократной ошибки ошибочный 1-й символ, как
ошибочный, был определен верно, что дает возможность его исправить, а в случае
двукратной ошибки синдром указывает на ошибку в 5-м символе, и подобное решение
не является верным. Из полученных результатов можно сделать вывод, что код
Хемминга (7,4) обнаруживает однократные и двукратные ошибки, но исправляет
только однократные.
кодирование дискретный сигнал
11. Описание процессов декодирования
последовательности, содержащей двукратную ошибку, согласно пункту 2.6
Внесем в кодовую последовательность на выходе демодулятора
двукратную ошибку в пределах одной кодовой комбинации. Пусть матрица Сu - c
введенной двукратной ошибкой.
Определим местонахождение двукратной ошибки.
Из результатов на следующей странице можно
сделать вывод, что ошибка допущена в кодовом слове, третьем элементе. Декодер
может исправить ошибку, прибавив (по модулю 2) к ошибочному символу единицу.
Выполним процедуру декодирования полученной
последовательности в соответствии с кодом Хемминга. Отметим, что кодовые слова
(строки матрицы Су) имеют следующую структуру:
В кодовых словах k
первых символа повторяют символы информационного вектора, а остальные (n-k)
символов формируются из информационных и являются проверочными:
Нетрудно видеть, что для 3-ой строки данные
условия не выполняются, это свидетельствует о наличии ошибки.
Декодирование может заключаться в отбрасывании
проверочных символов, но это не обеспечит обнаружения и исправления ошибок.
Произведем подобную процедуру:
Полученная закодированная фраза будет иметь вид:
.
Зная свойство кода о том что ни одна кодовая
комбинация не является началом какой-либо другой кодовой комбинации, произведем
декодирование статистического кода (полученное сообщение сравним с исходным):
Исходный код:
11100 1011 0100 1011 11110 11111 11110 100 0100
е б н а м а м
а р и
Получившийся код:
11100 1010 0100 1011 11110 11111 11110 100 0100
е б к а м а м
а р и
Сравнивая полученные результаты, можно сделать
вывод, что ошибки в пределах одной кодовой последовательности могут исказить
часть сообщения, и это приводит к выбору ошибочных символов. На принятие
решения влияет то, где была допущена ошибка (среди информационных или
проверочных символов), сколько ошибок было допущено и др.
Заключение
В данной работе рассмотрена простейшая модель
системы передачи информации, которая может быть распространена на любую
реальную систему передачи дискретных сообщений. В дальнейшем, при разработке
более сложных систем связи, возможно использование результатов данной работы.
Анализируя полученные результаты можно сделать
выводы:
1. Когерентный прием обладает рядом
преимуществ перед некогерентным (более высокая скорость передачи информации,
сравнительно малая вероятность средней ошибки). Для данных способов приема
сигнала результаты, полученные при расчете, вполне справедливы, т.к. при
когерентном приеме известна форма сигнала, частота заполнения и начальная фаза,
а значит, и вероятность ошибиться меньше, чем при некогерентном приеме, когда
нам известна лишь форма огибающей сигнала.
2. Согласованная фильтрация применяется для
повышения отношения сигнал/шум на выходе сигнала. Это, в свою очередь, увеличивает
помехоустойчивость системы (вероятность безошибочного решения). Иными словами,
согласованный фильтр нужен для наиболее надежного принятия решения о наличии
или отсутствии сигнала на входе приемника.
. (7,4)-код Хемминга обнаруживает одно- и
двукратные ошибки и исправляет однократные, но в тоже время он увеличивает
избыточность кода, следовательно, уменьшает скорость передачи информации. В
случае если кодовое слово с ошибкой будет схоже с другой разрешенной
комбинацией (кодовым словом), ошибки обнаружено не будет. Код Хемминга также
увеличивает избыточность, что уменьшает скорость передачи информации.
В ходе данной работы были изучены и освоены
основные принципы кодирования и передачи информации.
Список использованной литературы
1. Лекции
по ТЭС. Васюков В.Н.
2. Теория
электрической связи. Учебники НГТУ / В.Н. Васюков-Новосибирск: изд-во НГТУ,
2005. - 392с.
3. Баскаков
С.И. Радиотехнические цепи и сигналы: - М.: Высш. шк., 1988
4. Введение
в теорию электрической связи: Учебное пособие / В.Н. Васюков - Новосибирск:
изд-во НГТУ, 2003 - 96с.