Разработка системы автоматической стабилизации мощности генератора

  • Вид работы:
    Дипломная (ВКР)
  • Предмет:
    Информатика, ВТ, телекоммуникации
  • Язык:
    Русский
    ,
    Формат файла:
    MS Word
    106,42 Кб
  • Опубликовано:
    2015-03-24
Вы можете узнать стоимость помощи в написании студенческой работы.
Помощь в написании работы, которую точно примут!

Разработка системы автоматической стабилизации мощности генератора

Министерство образования и науки Российской Федерации

Федеральное государственное бюджетное образовательное учреждение Высшего профессионального образования

"КУБАНСКИЙ ГОСУДАРСТВЕННЫЙ УНИВЕРСИТЕТ"

(ФГБОУ ВПО "КубГУ")

Физико-технический факультет

Кафедра оптоэлектроники




ДИПЛОМНАЯ РАБОТА

РАЗРАБОТКА СИСТЕМЫ АВТОМАТИЧЕСКОЙ СТАБИЛИЗАЦИИ МОЩНОСТИ ГЕНЕРАТОРА


Работу выполнил Руснак Глеб Витальевич

Курс 5

Специальность 210302 - Радиотехника

Научный руководитель

д-р техн. наук, профессор К.С. Коротков

Нормоконтролер инженер И.А. Прохорова



Краснодар 2013 г.

Реферат

Дипломная работа:___ с., 35 рис., 1 табл., 18 источников

АВТОМАТИЧЕСКАЯ РЕГУЛИРОВКА УСИЛЕНИЯ, ОПЕРАЦИОННЫЙ УСИЛИТЕЛЬ, УПРАВЛЯЕМЫЙ АТТЕНЮАТОР ГЕНЕРАТОР КАЧАЮЩЕЙСЯ ЧАСТОТЫ, ФИЛЬТР НИЖНИХ ЧАСТОТ, ШИРОКОПОЛОСНЫЙ УСИЛИТЕЛЬ, НЕРАВНОМЕРНОСТЬ АМПЛИТУДНО-ЧАСТОТНОЙ ХАРАКТЕРИСТИКИ, ЭЛЕКТРОННО-РЕГУЛИРУЕМОЕ СОПРОТИВЛЕНИЕ

Объектом разработки данной дипломной работы является система стабилизации мощности генератора сигналов. Данная система должна войти в состав генератора когерентных сигналов качающейся частоты и работать в диапазоне частот 20-100 МГц.

Цель данной работы - разработка системы стабилизации мощности генератора.

В результате выполнения данной работы разработана и собрана схема усилителя с автоподстройкой усиления, в выходном каскаде которой был использован эмиттерный повторитель с использованием биполярного транзистора. В качестве устройства влияющего на усиление (электронно перестраиваемого сопротивления) был применён полевой транзистор включенный в обратную связь операционного усилителя.

Были проведены измерения характеристик выходных сигналов разработанного усилителя, получены АЧХ различных узлов усилителя. На основе анализа проведенных измерений даны рекомендации по улучшению работы усилителя.

Содержание

 

Введение

1. Упрощенная блок-схема генератора качающейся частоты

2. Структурная схема системы АРУ

3. Теория операционного усилителя

3.1 Некоторые особенности схем включения операционных усилителей

3.2 ОУ с однополярным источником питания

3.3 Уравнение обратной связи

3.4 Математический анализ работы усилителя

3.5 Диаграммы Боде и стабильность усилителей с ОС

4. Эмиттерный повторитель в усилительном каскаде

5. Методы построения систем автоматической регулировки усиления

6. Принципиальная схема системы АРУ

6.1 Усилительные свойства ОУ в системе АРУ

6.2 Полевой транзистор в цепи ОС ОУ

6.3 Эмиттерный повторитель в системе АРУ

7. Изготовление печатной платы для АРУ

Заключение

Список использованых источников

Обозначения и сокращения

ГКЧ

Генератор качающейся частоты

ГУН

Генератор управляемый напряжением

ГПН

Генератор пилообразного напряжения

У

Усилитель

АЧХ

Амплитудно-частотная характеристика

ФД

Фазовый детектор

УПТ

Усилитель постоянного тока

ОУ

Операционный усилитель

ОГ

Опорный генератор

СУМ

Сумматор

ПЧ

Промежуточная частота

ВЧ

Высокая частота

СВЧ

Сверхвысокая частота

Гет.

Д

Делитель

СМ

Смеситель

БПЧ

Блок перестройки частоты

АРУ

Автоматическая регулировка усиления

ЭП

Эмиттерный повторитель

ПТ

Полевой транзистор

ЛС

Линия связи

ОС

Обратная связь

Н

Нагрузка



Введение


Усилители с автоматической регулировкой усиления и мощности находят широкое применение в различных радиоэлектронных устройствах. Они применяются в радиоизмерительных системах, которые проводят измерение электрических характеристик. К таким устройствам относятся анализаторы спектра, измерители коэффициента стоячей волны по напряжению (КСВН), измерители амплитудно- и фазочастотных характеристик. Автоматическую регулировку усиления применяют в аппаратуре, использующейся для прослушивания радиовещательного эфира, в импульсных приёмниках (радиолокационных и других), учитывающие особенности работы в импульсном режиме. Автоматическая регулировка усиления применяется для исключения перегрузки выходных каскадов приёмников <#"804700.files/image001.gif"> и . Схема работает следующим образом - в неинвертирующем усилителе входной сигнал подаётся на неинвертирующий вход ОУ. При этом источник сигнала "видит" бесконечное входное сопротивление ОУ. Напряжение смещения нуля равно нулю, и поэтому инвертирующий вход ОУ должен иметь тот же потенциал, что и инвертирующий. Ток с выхода ОУ создаёт падение напряжения на резисторе , которое должно быть равно входному напряжению .

Рисунок - 3 Неинвертирующий усилитель

Выражение (1) для расчёта коэффициента усиления. В этом выражении присутствуют только номиналы пассивных элементов.

 (1)

Инвертирующий операционный усилитель. На рисунке 4 показана схема инвертирующего усилителя. Схема состоит из операционного усилителя и резисторов  и . Схема работает следующим образом - Неинвертирующий вход ОУ в схеме инвертирующего усилителя должен быть заземлён. В предположении, что разность напряжений между входами ОУ равна нулю, цепь обратной связи должна работать так, что бы поддерживать потенциал инвертирующего входа так же равным нулю (этот потенциал также иногда называют виртуальной землёй). Так как ток через вывод инвертирующего входа предполагается равным нулю, токи через резисторы  и  равны между собой по величине и противоположны по направлению.

Выражение (2) служит для расчёта коэффициента усиления.

Рисунок - 4 Инвертирующий усилитель

Коэффициент усиления инвертирующего усилителя зависит только от номиналов пассивных элементов, а параметры собственно ОУ на него не влияют. Значение номиналов резисторов зависят от уровней импедансов, которые необходимо получить в ОУ. Значение сопротивлений резисторов, используемых в цепи ОС, определяют входной ток схемы, влияют на чувствительность схемы к паразитным ёмкостям. Однако коэффициент усиление определяется только отношением .

 (2)

Входной сигнал такого усилителя инвертирован по отношению к входному. Входное сопротивление этого усилителя равно .

Дифференциальный операционный усилитель. Схема дифференциального усилителя изображена на рисунке 5. Схема состоит из операционного усилителя и резисторов и . Дифференциальный усилитель служит для усиления разности между сигналами, поступающими на его входы.

Рисунок - 5 дифференциальный усилитель

Для определения выходного напряжения дифференциального усилителя при подаче сигнала на его входы можно воспользоваться выражением (3). Недостатком этой схемы дифференциального усилителя является принципиальная невозможность обеспечить идентичность его входных сопротивлений.

 (3)

В данной работе в качестве усилителя будет использоваться ОУ по неинверсной схеме включения. Потому что в неинверсной схеме включения операционного усилителя цепь обратной связи включена относительно земли что крайне удобно для подключения вместе с резистором  (рисунок 3) или вместо него полевого транзистора.

3.2 ОУ с однополярным источником питания


В выше рассмотренных схемах подключения ОУ, усилители имеют два напряжения питания - положительный и отрицательной полярности. При этом напряжение питания обычно выбирается равным по величине, а их средняя точка является землёй. Сигналы на входе и на выходе при этом подаются и снимаются относительно земли. Однако в современной портативной аппаратуре с батарейным питанием это неудобно.

При однополярном питании ОУ необходимо использовать цепь смещения выходного напряжения так, что бы выходные сигналы могли изменятся в максимально широком диапазоне, ограниченном нулём (землёй) и напряжением питания. Кроме того, входные сигналы изменяются относительно потенциала земли, что эквивалентно подаче входных сигналов относительно шины отрицательного питания в схеме применения ОУ с двуполярным питанием. Необходимость преодоления этих проблем влечёт за собой некоторое усложнение схем применения ОУ с однополярным питанием такие как применение дополнительных резисторов задающих напряжение смещения и развязывающих конденсаторов отсекающих постоянную составляющую.

Когда входной сигнал имеет постоянное смещение относительно земли как показано на рисунке 6, напряжение смещения усиливается вместе с напряжением входного сигнала. За исключением случая, когда это напряжение смещения используется для установления нужного постоянного напряжения на выходе ОУ, его приходится исключать из усиливаемого сигнала.

Рисунок - 6 Схема включения ОУ с двуполярным питанием и источником постоянного смещения на входе усилителя

На рисунке 7 приведена одна из схем, применяемых для исключения постоянного смещения из усиливаемых сигналов за счёт использования дифференциального усилителя. Схема состоит из операционного усилителя и резисторов  и . Схема работает следующим образом - одинаковые постоянные напряжения от источников  являются синфазными и вычитаются друг из друга благодаря свойствам дифференциального усилителя.

Когда сигнал подаётся относительно земли, при однополярном питании ОУ, как правило, не удаётся использовать схему включения ОУ с двуполярным питанием. В схеме изображённой на рисунке 8 усилитель совсем не может работать при положительной фазе входного сигнала, так ка выходное напряжение при этом должно быть отрицательнее потенциала земли.

Рисунок - 7 Схема включения ОУ с двуполярным питанием и синфазным напряжением на входах

Рисунок - 8 Схема включения ОУ с однополярным питанием и входным сигналом, подаваемым относительно земли

Главную сложность при конструировании схем на ОУ с однополярным питанием представляет необходимость учёта того обстоятельства, что входные сигналы, как правило, подаются относительно земли или содержат различную постоянную составляющую. С землёй может быть соединён как положительный так и отрицательный полюс источника питания [1].

Использование одного напряжения питания ограничивает полярность выходных напряжений ОУ. Например, при напряжении питания 10 В выходное напряжение может быть только в диапазоне 0 <  < 10 В. Это обстоятельство не позволяет получать выходные напряжения отрицательной полярности. Вместе с тем инвертирующий усилитель может работать с отрицательными входными сигналами, когда выходные сигналы имеют положительную полярность.

3.3 Уравнение обратной связи


На рисунке 9 показаны канонические структурные схемы системы управления и электронной системы с обратными связями. Вид этих обозначений не имеет значения, так как в обоих случаях используется один и тот же матаппарат.

Рисунок 9 Сравнение структурных схем системы управления и электронной системы с обратными связями

Выражение 4 есть классическое уравнение обратной связи.

 (4)

Когда значение Aβ>>1, выражение 4 сводится к уравнению идеальной обратной связи выражения 5.

 (5)

При Aβ>>1 коэффициент усиления определяется коэффициентом обратной связи β. Если в цепи ОС используется стабильные пассивные компаненты, то при замкнутой цепи ОС коэффициент усиления системы становится стабильным.

Произведение Aβ называют глубиной обратной связи. На рисунке 9 (б) показана схема, используемая для расчёта глубины ОС. Используемые при расчёте глубины ОС числа являются комплексными, в форме модуля аргумента (фазового угла). Если глубина ОС равна минус еденице, или математически │m│=1, а φ=180 градусов, уравнение 4 даёт результат 1/0 равный бесконечности. Сигнал на выходе идеальной системы при этом возрастал бы до бесконечности.

Активные приборы, применяемые в электронных схемах, проявляют нелинейность передаточной характеристики при приближении выходного напряжения к напряжению источника питания. При этом уменьшается коэффициен усиления прибора, а условия │m│=1, φ=180ْ перестают выполнятся. Далее возможны два варианта поведения схемы. В первом случае выходное напряжение остаётся стабильным и равным напряжению питания. Во втором случае выходное напряжение может колебатся между напряжениями питания. Глубина ОС Aβ является единственным фактором, определяющим стабильность системы. Заземлённость входов на стабильность влияние не оказывает [1].

 

.4 Ìàòåìàòè÷åñêèé àíàëèç ðàáîòû óñèëèòåëÿ


Õåíäðèê Â. Áîäå (H.W. Bode) â 1945 ãîäó îïóáëèêîâàë ðàáîòó, â êîòîðîé ïðåäëîæèë áûñòðûé, òî÷íûé è ë¸ãêèé ìåòîä àíàëèçà óñèëèòåëåé ñ îáðàòíûìè ñâÿçÿìè.  òî âðåìÿ îïåðàöèîííûå óñèëèòåëè áûëè åù¸ ìàëî ðàñïðîñòðàíåíû, íî îíè ïîïàëè â îáùóþ êëàññèôèêàöèþ óñèëèòåëåé ñ îáðàòíîé ñâÿçüþ, ïîýòîìó ëåãêî ïîääàâàëèñü àíàëèçó Áîäå. Ñëîæíûå è òðóäî¸ìêèå îïåðàöèè óìíîæåíèÿ è äåëåíèÿ, ïðèìåíÿâøèåñÿ äëÿ àíàëèçà ñõåì ñ ÎÑ, Áîäå çàìåíèë ïðîñòîé ãðàôè÷åñêîé òåõíèêîé.

Óðàâíåíèÿ Áîäå ÿâëÿþòñÿ ëîãàðèôìè÷åñêèìè óðàâíåíèÿìè âèäà 20lg [F (t)] = 20lg [|F (t) |] + ôàçîâûé óãîë.

Âåëè÷èíû, êîòîðûå ðàíüøå íàäî áûëî óìíîæàòü è äåëèòü, ïîñëå èõ ëîãàðèôìèðîâàíèÿ ìîæíî ñêëàäûâàòü è âû÷èòàòü. Ïðè ýòîì ñêëàäûâàíèå è âû÷èòàíèå âûïîëíÿåòñÿ â ãðàôè÷åñêîé ôîðìå. Ýòî äà¸ò íàãëÿäíîå ïðåäñòàâëåíèå î ïîëó÷àåìûõ õàðàêòåðèñòèêàõ.

Íà ðèñóíêå 10 ïðèâåäåíà ñõåìà ïðîñòåéøåãî ôèëüòðà íèæíèõ ÷àñòîò, à âûðàæåíèå (6) îïèñûâàåò çàâèñèìîñòü åãî ïåðåäàòî÷íîé õàðàêòåðèñòèêè îò ÷àñòîòû.

Ðèñóíîê 10 Ôèëüòð íèæíèõ ÷àñòîò

 (6)

Ãäå â âûðàæåíèè (6) s=jω (êîìïëåêñíàÿ ÷àñòîòà), j=√-1, RC = τ, τ - ïåðèîä êîëåáàíèé ïðè êîòîðîì íàáëþäàåòñÿ íà ãðàôèêå ïîëþñ èëè íóëü.

Ìîäóëü ïåðåäàòî÷íîé ôóíêöèè îïèñûâàåòñÿ âûðàæåíèåì 7.

 (7)

Ýòîò ìîäóëü ðàâåí 1 ïðè ω=0,1/τ, à ïðè ω=1/τ îí ðàâåí 0,707. Ýòè òî÷êè óêàçàíû íà ãðàôèêå èçîáðàæ¸ííîì íà ðèñóíêå 11.

Ðèñóíîê 11 Äèàãðàììà Áîäå äëÿ ôèëüòðà íèæíèõ ÷àñòîò

Ôàçîâûé ñäâèã îïèñûâàåòñÿ âûðàæåíèåì 8.

 (8)

Èç çà ñèëüíîé íåëèíåéíîñòè ôàçà÷àñòîòíóþ õàðàêòåðèñòèêó òðóäíî àïðîêñèìèðîâàòü. Îäíàêî èíòåðåñ ïðåäñòàâëÿåò å¸ ïîâåäåíèå âáëèçè òî÷êè èçëîìà àìïëèòóäíî ÷àñòîòíîé õàðàêòåðèñòèêè, ãäå ñäâàèã ôàçû áëòçîê ê 45 ãðàäóñàì (âûðàæåíèå 8).

Òî÷êà èçëîìà, âûøå êîòîðîé À×Õ ñïàäàåò, íàçûâàåòñÿ ïîëþñîì. Òî÷êà èçëîìà, ïîñëå êîòîðîé À×Õ âîçðàñòàåò, íàçûâàåòñÿ íóë¸ì. Êîãäà À×Õ èìååò ìíîãî ïîëþñîâ è íóëåé, êàæäûé íóëü è ïîëþñ ðèñóåòñÿ íåçàâèñèìî îò äðóãèõ, à çàòåì ðåçóëüòàò ãðàôè÷åñêè ñêëàäûâàåòñÿ. Åñëè íåñêîëüêî ïîëþñîâ è íóëåé èìåþò îäèíàêîâûå òî÷êè èçëîìà, îíè èçîáðàæàþòñÿ ïîâåðõ äðóã äðóãà. Ââåäåíèå êàæäîãî íóëÿ èëè ïîëþñà óâèëè÷èâàåò êðóòèçíó èçìåíåíèÿ À×Õ íà 20 äÁ.

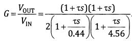
Íà ðèñóíêå 12 ïðèâåäåíà ñõåìà ðåæåêòîðíîãî ôèëüòðà, èìåþùåãî À×Õ ñ íåñêîëüêèìè ïîëþñàìè (âûðàæåíèå 9).

Ðèñóíîê 12 Ðåæåêòîðíûé ôèëüòð

 (9)

Ðèñóíîê 13 Äèàãðàììû Áîäå äëÿ êàæäîãî ïîëþñà è íóëÿ â îòäåëüíîñòè äëÿ ñõåìû ðåæåêòîðíîãî ôèëüòðà

Ðèñóíîê 14 Ñóììàðíàÿ äèàãðàììà Áîäå äëÿ ñõåìû ðåæåêòîðíîãî ôèëüòðà

Ãðàôèê À×Õ ðåæåêòîðíîãî ôèëüòðà, ïðèâåä¸ííûé íà ðèñóíêå 14, äåìîíñòðèðóåò êîýôôèöèåíò ïåðåäà÷è, ðàâíûé 1/2 (ìèíóñ 6äÁ) íà ó÷àñòêå îò ïîñòîÿííîãî òîêà äî ÷àñòîòû ïåðâîãî ïîëþñà ω=0,44/τ. Çàòåì îí ñïàäàåò ñ êðóòèçíîé 20 äÁ íà äåêàäó äî ÷àñòîòû, íà êîòîðîé íàõîäèòñÿ ñðàçó äâà íóëÿ ω=1/τ. Âëèÿíèå ýòèõ íóëåé ïðåîäîëåâàåò âëèÿíèå îäíîãî ïîëþñà, è, íà÷èíàÿ ñ ýòîé ÷àñòîòû, ãðàôèê À×Õ íà÷èíàåò ðàñòè ñ êðóòèçíîé 20 äÁ íà äåêàäó. Íà ÷àñòîòå ω=4,56/τ ðàñïîëîæåí åù¸ îäèí ïîëþñ, ïîä âîçäåéñòâèåì êîòîðîãî ãðàôèê À×Õ ñòàíîâèòñÿ ãîðèçîíòàëüíîé ëèíèåé, ñîîòâåòñòâóþùåé êîýôôèöèåíòó ïåðåäà÷è ìèíóñ 6äÁ.

Äèàãðàììó Áîäå ëåãêî èçîáðàçèòü ïðè áîëüøîì ðàçëè÷èè ÷àñòîò ðàñïîëîæåíèå íóëåé è ïîëþñîâ - íà äåêàäó èëè áîëåå. Ïðè ýòîì äîñòèãàåòñÿ ïðèåìëåìàÿ òî÷íîñòü. Òî÷íîñòü ñíèæàåòñÿ ïðè èõ áëèçêîì ðàñïîëîæåíèè. Èñïîëüçîâàíèå äèàãðàìì Áîäå íàãëÿäíî ïîêàçûâàåò ðàñïîëîæåíèå íóëåé è ïîëþñîâ íà À×Õ è ïîçâîëÿåò áûñòðî îïðåäåëèòü ïóòè îáåñïå÷åíèÿ ñòàáèëüíîñòè ñèñòåìû.

Ëîãàðèôìèðîâàíèå îáåèõ ÷àñòåé âûðàæåíèÿ 4 äà¸ò âûðàæåíèå 10.

 (10)

Åñëè À è β íå ñîäåðæàò íè íóëåé, íè ïîëþñîâ, òî íà À×Õ ñèñòåìû íå áóäåò èçëîìîâ è äèàãðàììà Áîäå áóäåò ïðåäñòàâëÿòü ñîáîé ïðÿìóþ ãîðèçîíòàëüíóþ ëèíèþ êàê ïîêàçàíî íà ðèñóíêå 15. Ïðè ýòîì â ñèñòåìå íå âîçíèêíóò îñöèëÿöèè, è îíà áóäåò óñòîé÷èâà.

Ðèñóíîê 15 Äèàãðàììû Áîäå äëÿ óñèëèòåëÿ áåç ÎÑ (ââåðõó) è ÎÑ (âíèçó) ïðè îòñóòñòâèè íóëåé è ïîëþñîâ

Àìïëèòóäíî-÷àñòîòíàÿ õàðàêòåðèñòèêà âñåõ ðåàëüíûõ óñèëèòåëåé èìåþò ìíîæåñòâî ïîëþñîâ, íî îíè îáû÷íî ñêîìïåíñèðîâàíû íóëÿìè âíóòðè ñõåìû, òàê ÷òî ïðîÿâëÿåò ñåáÿ òîëüêî îäèí ïîëþñ. Ïåðåäàòî÷íàÿ õàðàêòåðèñòèêà òàêîãî óñèëèòåëÿ îïèñûâàåòñÿ óðàâíåíèåì 11.

 (11)

Íà ðèñóíêå 16 ïðèâåäåíà äèàãðàììà Áîäå äëÿ óñèëèòåëÿ ñ îäíèì ïîëþñîì íà À×Õ.

Ðèñóíîê 16 Äèàãðàììû Áîäå äëÿ óñèëèòåëÿ áåç ÎÑ (ââåðõó) è ñ ÎÑ (âíèçó) ïðè îäíîì ïîëþñå íà À×Õ

Ãðàôèê çàâèñèìîñòè êîýôôèöèåíòà ïåðåäà÷è óñèëèòåëÿ À ïåðåñåêàåò îñü îðäèíàò â òî÷êå 20 lg (À), à íà ÷àñòîòå ω=ω (à) íà÷èíàåò ñïàäàòü ñ êðóòèçíîé ìèíóñ 20äÁ/äåê. Ãðàôèê çàâèñèìîñòè êîýôôèöèåíòà ïåðåäà÷è óñèëèòåëÿ, îõâà÷åííîãî îòðèöàòåëüíîé ÎÑ, ïåðåñèêàåò îñü îðäèíàò â òî÷êå 20lg (Vout/Vin), è, òàê êàê À×Õ öåïè ÎÑ íå èìååò íè íóëåé, íè ïîëþñîâ, ýòîò ãðàôèê ïðåäñòàâëÿåò ñîáîé ïðÿìóþ ëèíèþ äî ïåðåñå÷åíèÿ ñ ãðàôèêîì çàâèñèìîñòè êîýôôèöèåíòà ïåðåäà÷è óñèëèòåëÿ À â òî÷êå Õ. Ïîñëå ýòîãî ãðàôèê çàâèñèìîñòè êîýôôèöèåíòà ïåðåäà÷è óñèëèòåëÿ, îõâà÷åííîãî öåïüþ îòðèöàòåëüíîé ÎÑ, ñîâïàäàåò ñ ãðàôèêîì çàâèñèìîñòè êîýôôèöèåíòà ïåðåäà÷è óñèëèòåëÿ áåç ÎÑ, òàê êàê íà ýòèõ ÷àñòîòàõ èìåííî îí îïðåäåëÿåò ïîâåäåíèå ñèñòåìû.

 äåéñòâèòåëüíîñòè â ñèñòåìå ñ çàìêíóòîé öåïüþ ÎÑ êîýôôèöèåíò ïåðåäà÷è íà÷èíàåò ñïàäàòü ðàíüøå, ÷åì áóäåò äîñòèíóòà ÷àñòîòà, ñîîòâåòñòâóþùàÿ àáöèññå òî÷êè Õ, àíà ýòîé ÷àñòîòå ñïàä óæå ñîñòàâëÿåò ìèíóñ3äÁ [1].

3.5 Äèàãðàììû Áîäå è ñòàáèëüíîñòü óñèëèòåëåé ñ ÎÑ


Îáû÷íî àâòîãåíåðàòîð ñòðîèòñÿ íà îñíîâå óñèëèòåëÿ ñ ïîëîæèòåëüíîé îáðàòíîé ñâÿçüþ. Ïðè ýòîì äîëæíî âûïîëíÿòñÿ äâà óñëîâèÿ ñàìîâîçáóæäåíèÿ. Ïåðâîå óñëîâèå ñîñòîèò â òîì, ÷òî ïðîèçâåäåíèå êîýôôèöèåíòà óñèëåíèÿ óñèëèòåëÿ À íà êîýôôèöèåíò îáðàòíîé ñâÿçè β äîëæíî áûòü ðàâíî åäèíèöå, òî åñòü äîëæåí ñîáëþäàòüñÿ áàëàíñ ôàç è áàëàíñ àìïëèòóä. Âòîðîå óñëîâèå ýòî ñèãíàë îáðàòíîé ñâÿçè äîëæåí ïðèõîäèòü íà âõîä â òàêîé ôàçå, ÷òî áû åãî íàðàñòàíèå ïðèâîäèëî ê íàðàñòàíèþ âûõîäíîãî ñèãíàëà ñ òîé æå ïîëÿðíîñòüþ. ×òî áû ãåíåðàöèÿ ïðîèñõîäèëà íà çàäíåé ÷àñòîòå, â óñèëèòåëü èëè öåïü ÎÑ ââîäÿò ÷àñòîòíî çàâèñèìûå ôàçîñäâèãàþùèå óçëû. Òîãäà ãåíåðàöèÿ âîçíèêàåò íà òîé ÷àñòîòå, ñäâèã ôàçû ïðè êîòîðîé ìåæäó âõîäíûì è âûõîäíûì ñèãíàëîì òî÷íî ðàâåí íóëþ ãðàäóñîâ.

 ñèñòåìàõ ñ îòðèöàòåëüíîé îáðàòíîé ñâÿçüþ ïðåäïîëàãàåòñÿ, ÷òî ñèãíàë, ïîñòóïàþùèé íà âõîä óñèëèòåëÿ ÷åðåç öåïü ÎÑ, íàõîäèòñÿ â ïðîòèâîôàçå ñ âûõîäíûì ñèãíàëîì. Íî íà ïðàêòèêå, õîòÿ áû èç çà ïàðàçèòíûõ ¸ìêîñòåé è èíäóêòèâíîñòåé â ñõåìå, â öåïè ÎÑ è óñèëèòåëå ìîæåò íàáðàòüñÿ äîïîëíèòåëüíûé ñäâèã ôàçû, ïðè êîòîðîì ôîðìàëüíî îòðèöàòåëüíàÿ ÎÑ ìîæåò íà êàêèõ òî ÷àñòîòàõ ñòàòü ïîëîæèòåëüíîé, è òîãäà ñõåìà ïåðåéä¸ò â ðåæèì àâòîãåíåðàöèè. Äàæå åñëè íå áóäåò óñëîâèé äëÿ àâòî ãåíåðàöèè, ñäâèã ôàçû â öåïè ÎÑ, çàìåòíî îòëè÷àþùåéñÿ îò 180 ãðàäóñîâ, ìîæåò ïðèâåñòè ê âîçíèêíîâåíèþ âûáðîñîâ è êðàòêîâðåìåííûõ îñöèëëÿöèé (çâîíà) íà ôðîíòàõ èìïóëüñíûõ ñèãíàëîâ, ÷òî êðàéíå íåæåëàòåëüíî.

Íà ðèñóíêå 17 ïðèâåäåíà äèàãðàììà Áîäå äëÿ ñëó÷àÿ, êîãäà ïîëþñû ðàñïîëîæåíû áëèçêî äðóã îò äðóãà. Ðåçóëüòàòîì ýòîãî ÿâëÿåòñÿ áûñòðîå óâåëè÷åíèå ñóììàðíîãî ôàçîâîãî ñäâèãà, è çàïàñ óñòîé÷èâîñòè ïî ôàçå ñòàíîâèòñÿ íóëåâûì äî òîãî, êàê êîýôôèöèåíò óñèëåíèÿ ñïàäàåò äî íóëÿ äÁ. Ïîëó÷àåòñÿ ñõåìà ãåíåðàòîðà, íî íèçêî ñòàáèëüíàÿ ïî ÷àñòîòå, òàê êàê âáëèçè òî÷êè 180 ãðàäóñîâ ôàçî÷àñòîòíàÿ õàðàêòåðèñòèêà èçìåíÿåòñÿ î÷åíü ïëàâíî, è âíåøíèå âîçäåéñòâèÿ ëåãêî ìîãóò èçìåíèòü ÷àñòîòó, ïðè êîòîðîé ñäâèã ôàçû ðàâåí òî÷íî 180 ãðàäóñîâ.

Ðèñóíîê 17 Äèàãðàììû Áîäå äëÿ ïåðåäàòî÷íîé õàðàêòåðèñòèêè ñ áëèçêîðàñïîëîæåííûìè ïîëþñàìè

Êîãäà êîýôôèöèåíò óñèëåíèÿ â ñõåìå ñ ÎÑ óâåëè÷èâàåòñÿ, êîýôôèöèåíò îáðàòíîé ñâÿçè β óìåíüøàåòñÿ, òàê êàê â èäåàëüíîì ñëó÷àå Vout/Vin=1/β. Ýòî óìåíüøàåò ãëóáèíó ÎÑ (Àβ), è ñòàáèëüíîñòü âîçðàñòàåò. Ñòàáèëüíîñòü íå òàê âàæíà, çà èñêëþ÷åíèåì ñëó÷àåâ ïîñòðîåíèÿ ãåíåðàòîðîâ, ïîòîìó ÷òî ðàíüøå, ÷åì âîçíèêàåò ñàìîâîçáóæäåíèå, âûáðîñû è çâîí íà ôðîíòàõ ñèãíàëîâ äåëàþò ïðèìåíåíèå ñõåìû ñ ÎÑ íåâîçìîæíûìè.

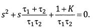
Ïî÷òè âñå ðåàëüíûå ñõåìû â ñâîèõ ïðèäàòî÷íûõ õàðàêòåðèñòèêàõ èìåþò áîëüøå äâóõ ïîëþñîâ, íî, çà èñêëþ÷åíèåì íåçíà÷èòåëüíîé èõ ÷àñòè, îñòà¸òñÿ âîçìîæíûì èñïîëüçîâàòü äëÿ èõ îïèñàíèÿ àïïðîêñèìàöèþ â âèäå óðàâíåíèé âòîðîãî ïîðÿäêà. τ - ïåðèîä êîëåáàíèé ïðè êîòîðîì íàáëþäàåòñÿ íà ãðàôèêå ïîëþñ èëè íóëü, à s=jω (êîìïëåêñíàÿ ÷àñòîòà).

 (12)  (13)

Ñðàâíåíèå âûðàæåíèÿ 12 ñ óðàâíåíèåì âòîðîãî ïîðÿäêà 13, â êîòîðîå ââåäåíû êîýôôèöèåíò çàòóõàíèÿ ζ è ÷àñòîòà ñîáñòâåííûõ êàëåáàíèé ω (n) äà¸ò âîçìîæíîñòü çàòåì îïðåäåëèòü ýòè âåëå÷èíû èç âûðàæåíèé 14 è 15.

 (14)  (15)

Êîãäà äâà ïîëþñíèêà äîñòàòî÷íî ðàçíåñåíû äðóã îò äðóãà, ñïðàâåäëèâî âûðàæåíèå 16.

 (16)

Íà ðèñóíêå 18 ãðàôè÷åñêè ïðåäñòàâëåíû çàâèñèìîñòè çàïàñà óñòîé÷èâîñòè ïî ôàçå è àìïëèòóäû âûáðîñà îò êîýôôèöèåíòà óñèëåíèÿ è ðàñïîëîæåíèÿ ïîëþñîâ.

Íà ýòîì ðèñóíêå ìîæíî óâèäåòü ÷òî ïðè êîýôôèöèåíòå çàòóõàíèÿ 0,4 àìïëèòóäà âûáðîñà ðàâíî 25%, à çàïàñ óñòîé÷èâîñòè ïî ôàçå ðàâåí 45 ãðàäóñîâ [1].

Ðèñóíîê 18 Çàâèñèìîñòü çàïàñà óñòîé÷èâîñòè ïî ôàçå è àìïëèòóäû âûáðîñà îò êîýôôèöèåíòà çàòóõàíèÿ

Äèàãðàììû Áîäå áûëè èçëîæåíû ñ öåëüþ èçó÷åíèÿ è àíàëèçà ðàáîòû îïåðàöèîííîãî óñèëèòåëÿ. Òàê êàê ñ ïîìîùüþ ìåòîäà Áîäå òðóäî¸ìêèå è ñëîæíûå îïåðàöèè êîòîðûå ïðèìåíÿþòñÿ äëÿ àíàëèçà ñõåì ñ ÎÑ ìîæíî çàìåíèòü ïðîñòîé ãðàôè÷åñêîé òåõíèêîé. Ñ ïîìîùüþ ìåòîäà Áîäà áóäóò ðàññ÷èòàíû íîìèíàëû ðåçèñòîðîâ èñïîëüçóþùèåñÿ â öåïè îáðàòíîé ñâÿçè îïåðàöèîííîãî óñèëèòåëÿ.

4. Ýìèòòåðíûé ïîâòîðèòåëü â óñèëèòåëüíîì êàñêàäå


 óñèëèòåëÿõ íà áèïîëÿðíûõ òðàíçèñòîðàõ èñïîëüçóåòñÿ òðè ñõåìû ïîäêëþ÷åíèÿ òðàíçèñòîðà: ñ îáùåé áàçîé, ñ îáùèì ýìèòòåðîì, ñ îáùèì êîëëåêòîðîì.

Óñèëèòåëü ïî ñõåìå âêëþ÷åíèÿ òðàíçèñòîðà ñ îáùåé áàçîé èçîáðàæåí íà ðèñóíêå 19. Ýòîò óñèëèòåëü õàðàêòåðèçóþòñÿ óñèëåíèåì ïî íàïðÿæåíèþ, îòñóòñòâèåì óñèëåíèÿ ïî òîêó, ìàëûì âõîäíûì ñîïðîòèâëåíèåì è áîëüøèì âûõîäíûì ñîïðîòèâëåíèåì.

Ðèñóíîê 19 Ñõåìå âêëþ÷åíèÿ òðàíçèñòîðà ñ îáùåé áàçîé

Óñèëèòåëü ïî ñõåìå âêëþ÷åíèÿ åãî òðàíçèñòîðà ñ îáùèì êîëëåêòîðîì èçîáðàæ¸í íà ðèñóíêå 20. Îí õàðàêòåðèçóþòñÿ óñèëåíèåì ïî òîêó, îòñóòñòâèåì óñèëåíèÿ ïî íàïðÿæåíèþ, áîëüøèì âõîäíûì ñîïðîòèâëåíèåì è ìàëûì âûõîäíûì ñîïðîòèâëåíèåì.

Ðèñóíîê 20 Ñõåìå âêëþ÷åíèÿ òðàíçèñòîðà ñ îáùèì êîëëåêòîðîì

Íàèáîëüøåå ðàñïðîñòðàíåíèå ïîëó÷èëà ñõåìà âêëþ÷åíèÿ òðàíçèñòîðà ñ îáùèì ýìèòòåðîì. Ñõåìà òàêîãî âêëþ÷åíèÿ èçîáðàæåíà íà ðèñóíêå 21.  ñõåìå âêëþ÷åíèÿ òðàíçèñòîðà ñ îáùèì ýìèòòåðîì óñèëèòåëü îáåñïå÷èâàåò óñèëåíèå ïî íàïðÿæåíèþ, ïî òîêó, ïî ìîùíîñòè. Òàêîé óñèëèòåëü èìååò ñðåäíèå çíà÷åíèÿ âõîäíîãî è âûõîäíîãî ñîïðîòèâëåíèÿ ïî ñðàâíåíèþ ñî ñõåìàìè âêëþ÷åíèÿ ñ îáùåé áàçîé è îáùèì êîëëåêòîðîì [3].

Ðèñóíîê 21 Ñõåìå âêëþ÷åíèÿ òðàíçèñòîðà ñ îáùèì ýìèòòåðîì

Ñðàâíèòåëüíûå õàðàêòåðèñòèêè óñèëèòåëåé ïðèâåäåíû â òàáëèöå 1 [3].

Òàáëèöà 1 - Õàðàêòåðèñòèêè óñèëèòåëåé

Ïàðàìåòð

Ñõåìà ÎÝ

Ñõåìà ÎÁ

Ñõåìà ÎÊ

êîýôôèöèåíò óñèëåíèÿ ïî òîêó

Äåñÿòêè-ñîòíè

Íåìíîãî ìåíüøå åäèíèöû

Äåñÿòêè-ñîòíè

êîýôôèöèåíò óñèëåíèÿ ïî íàïðÿæåíèþ

Äåñÿòêè-ñîòíè

Äåñÿòêè-ñîòíè

Íåìíîãî ìåíüøå åäèíèöû

êîýôôèöèåíò óñèëåíèÿ ïî ìîùíîñòè

Ñîòíè- äåñÿòêè òûñÿ÷

Äåñÿòêè-ñîòíè

Äåñÿòêè-ñîòíè

Âõîäíîå ñîïðîòèâëåíèå

Ñîòíè îì - åäèíèöû êèëîîì

Åäèíèöû- äåñÿòêè îì

Äåñÿòêè -  ñîòíè êèëîîì

Âûõîäíîå ñîïðîòèâëåíèå

Åäèíèöû - äåñÿòêè êèëîîì

Ñîòíè êèëîîì - åäèíèöû ìåãàîì

Ñîòíè îì -  åäèíèöû êèëîîì


Ïàðàìåòðû òðàíçèñòîðà â çíà÷èòåëüíîé ñòåïåíè çàâèñÿò îò òåìïåðàòóðû. Èçìåíåíèå òåìïåðàòóðû îêðóæàþùåé ñðåäû ïðèâîäèò ê èçìåíåíèþ ðàáî÷åãî ðåæèìà òðàíçèñòîðà â ïðîñòîé ñõåìå óñèëèòåëÿ ïðè âêëþ÷åíèè òðàíçèñòîðà ñ îáùèì ýìèòòåðîì (ðèñóíîê 21). Òàêàÿ ïðîñòàÿ ñõåìà óñèëèòåëÿ èñïîëüçóåòñÿ î÷åíü ðåäêî. Äëÿ ñòàáèëèçàöèè ðåæèìà ðàáîòû òðàíçèñòîðà ïðè èçìåíåíèè òåìïåðàòóðû èñïîëüçóþò ñõåìû êîëëåêòîðíîé è ýìèòòåðíîé ñòàáèëèçàöèè ðåæèìà ðàáîòû òðàíçèñòîðà.

Êîëëåêòîðíàÿ òåìïåðàòóðíàÿ ñòàáèëèçàöèÿ ðåæèìà ðàáîòû òðàíçèñòîðà èñïîëüçóåòñÿ ðåäêî, òàê êàê êðîìå òåìïåðàòóðíîé ñòàáèëèçàöèè ïðîèñõîäèò óìåíüøåíèå êîýôôèöèåíòà óñèëåíèÿ çà ñ÷åò îòðèöàòåëüíîé îáðàòíîé ñâÿçè ïî ïåðåìåííîìó òîêó. Òàêàÿ ñòàáèëèçàöèÿ èñïîëüçóåòñÿ, íàïðèìåð, â àíòåííûõ óñèëèòåëÿõ äëÿ òåëåâèçèîííîãî ïðèåìà.

 ïðîìûøëåííûõ êîíñòðóêöèÿõ øèðîêî ïðèìåíÿåòñÿ ýìèòòåðíàÿ òåìïåðàòóðíàÿ ñòàáèëèçàöèÿ ðåæèìà ðàáîòû òðàíçèñòîðà. Íà ðèñóíêå 22 ïðèâåäåíà ñõåìà îäíîêàñêàäíîãî óñèëèòåëÿ íà áèïîëÿðíîì òðàíçèñòîðå. Òàêèå óñèëèòåëè (ðèñóíîê 22) ñ ýìèòòåðíîé òåìïåðàòóðíîé ñòàáèëèçàöèåé ìîãóò áûòü ïîñòðîåíû êàê íà n-p-n òàê è íà p-n-p òèïàõ òðàíçèñòîðîâ [3].

Ðèñóíîê 22 Ñõåìà îäíîêàñêàäíîãî óñèëèòåëÿ íà áèïîëÿðíîì òðàíçèñòîðå ñ ýìèòòåðíîé òåìïåðàòóðíîé ñòàáèëèçàöèåé

Ïðîñëåäèì öåïè, ïî êîòîðûì ïðîòåêàþò ïîñòîÿííûå òîêè â óñèëèòåëå ïî ñõåìå ðèñóíêà 22. Ïîñòîÿííûé òîê äåëèòåëÿ íàïðÿæåíèÿ ïðîòåêàåò ïî öåïè: ïëþñ èñòî÷íèêà ïèòàíèÿ, ðåçèñòîðû R1, R2, ìèíóñ èñòî÷íèêà ïèòàíèÿ. Ïîñòîÿííûé òîê áàçû òðàíçèñòîðà VT1 ïðîòåêàåò ïî öåïè: ïëþñ èñòî÷íèêà ïèòàíèÿ, ðåçèñòîð R1, ïåðåõîä áàçà-ýìèòòåð òðàíçèñòîðà VT1, ðåçèñòîð Rý, ìèíóñ èñòî÷íèêà ïèòàíèÿ. Ïîñòîÿííûé òîê êîëëåêòîðà òðàíçèñòîðà VT1 ïðîòåêàåò ïî öåïè: ïëþñ èñòî÷íèêà ïèòàíèÿ, ðåçèñòîð RÊ, âûâîäû êîëëåêòîð-ýìèòòåð òðàíçèñòîðà, ðåçèñòîð Rý, ìèíóñ èñòî÷íèêà ïèòàíèÿ. Áèïîëÿðíûé òðàíçèñòîð â ñîñòàâå óñèëèòåëÿ ðàáîòàåò â ðåæèìå, êîãäà ïåðåõîä áàçà-ýìèòòåð ñìåùåí â ïðÿìîì íàïðàâëåíèè, à ïåðåõîä áàçà-êîëëåêòîð - â îáðàòíîì. Ïîýòîìó ïîñòîÿííîå íàïðÿæåíèå íà ðåçèñòîðå R2 áóäåò ðàâíî ñóììå íàïðÿæåíèÿ íà ïåðåõîäå áàçà-ýìèòòåð òðàíçèñòîðà VT1 è íàïðÿæåíèÿ íà ðåçèñòîðå Rý: UR2=Uáý+U. Îòñþäà ñëåäóåò, ÷òî ïîñòîÿííîå íàïðÿæåíèå íà ïåðåõîäå áàçà-ýìèòòåð áóäåò ðàâíî Uáý= UR2 - U.

Ïóñòü òåìïåðàòóðà îêðóæàþùåé ñðåäû óâåëè÷èâàåòñÿ.  ðåçóëüòàòå ýòîãî óâåëè÷èâàþòñÿ ïîñòîÿííûå òîêè áàçû, êîëëåêòîðà è ýìèòòåðà, ò.å. èçìåíÿåòñÿ ðàáî÷àÿ òî÷êà òðàíçèñòîðà. Òîê äåëèòåëÿ íàïðÿæåíèÿ íà ðåçèñòîðàõ R1, R2 âûáèðàþò çíà÷èòåëüíî áîëüøå òîêà áàçû òðàíçèñòîðà. Ïîýòîìó íàïðÿæåíèå íà ðåçèñòîðå R2 ïðè èçìåíåíèè òåìïåðàòóðû îñòàåòñÿ ïðàêòè÷åñêè íåèçìåííûì (ñîïðîòèâëåíèå ðåçèñòîðà îò òåìïåðàòóðû íå çàâèñèò), à íàïðÿæåíèå íà ðåçèñòîðå Rý ñ óâåëè÷åíèåì òåìïåðàòóðû óâåëè÷èâàåòñÿ çà ñ÷åò óâåëè÷åíèÿ òîêà ýìèòòåðà ïðè íåèçìåííîì ñîïðîòèâëåíèè ðåçèñòîðà â öåïè ýìèòòåðà.  ðåçóëüòàòå ýòîãî íàïðÿæåíèå áàçà-ýìèòòåð óìåíüøèòñÿ, ÷òî ïðèâåäåò ê óìåíüøåíèþ òîêà áàçû, à, ñëåäîâàòåëüíî, è ñèëû òîêà êîëëåêòîðà. Òàêèì îáðàçîì, ðàáî÷àÿ òî÷êà òðàíçèñòîðà áóäåò ñòðåìèòüñÿ ê èñõîäíîìó ñîñòîÿíèþ. Íàëè÷èå ðåçèñòîðà â öåïè ýìèòòåðà ïðèâîäèò ê ïîÿâëåíèþ îòðèöàòåëüíîé îáðàòíîé ñâÿçè êàê ïî ïîñòîÿííîìó, òàê è ïî ïåðåìåííîìó òîêàì. Äëÿ óñòðàíåíèÿ îòðèöàòåëüíîé îáðàòíîé ñâÿçè ïî ïåðåìåííîìó òîêó ïàðàëëåëüíî ðåçèñòîðó Rý ïîäêëþ÷àþò êîíäåíñàòîð. Åìêîñòü êîíäåíñàòîðà Ñý âûáèðàþò òàê, ÷òîáû åãî ñîïðîòèâëåíèå ïåðåìåííîìó òîêó íà ñàìîé íèçêîé ÷àñòîòå óñèëèâàåìîãî ñèãíàëà áûëî çíà÷èòåëüíî (ïðèìåðíî â äåñÿòü ðàç) ìåíüøå ñîïðîòèâëåíèÿ ðåçèñòîðà â öåïè ýìèòòåðà.

 óñèëèòåëÿõ áèïîëÿðíûõ òðàíçèñòîðàõ ïðèìåíÿþòñÿ ðàçäåëèòåëüíûå êîíäåíñàòîðû. Ýòî, êàê ïðàâèëî, ýëåêòðîëèòè÷åñêèå êîíäåíñàòîðû, ïðè ïîäêëþ÷åíèè êîòîðûõ â ýëåêòðè÷åñêóþ öåïü íåîáõîäèìî ñîáëþäàòü ïîëÿðíîñòü. Åñëè èñòî÷íèê óñèëèâàåìîãî ñèãíàëà íå èìååò ïîñòîÿííîé ñîñòàâëÿþùåé è ê âûõîäó óñèëèòåëÿ ïîäêëþ÷àåòñÿ íàãðóçêà, íå èìåþùàÿ ïîñòîÿííîãî íàïðÿæåíèÿ íà ñâîèõ çàæèìàõ, òî ïîëÿðíîñòü êîíäåíñàòîðîâ ïðè èñïîëüçîâàíèè òðàíçèñòîðîâ n-ð-n òèïà äîëæíà áûòü òàêîé, êàê ïîêàçàíî íà ðèñóíêå 22, à äëÿ òðàíçèñòîðà ð-n-ð òèïà - íàîáîðîò (èçìåíÿåòñÿ ïîëÿðíîñòü âêëþ÷åíèÿ èñòî÷íèêà ïèòàíèÿ è ïîëÿðíîñòü ïîäêëþ÷åíèÿ êîíäåíñàòîðîâ). Åìêîñòü ðàçäåëèòåëüíîãî êîíäåíñàòîðà (êîíäåíñàòîð íà âûõîäå óñèëèòåëüíîãî êàñêàäà) âûáèðàþò òàêîé, ÷òîáû åãî ñîïðîòèâëåíèå áûëî ìíîãî ìåíüøå âõîäíîãî ñîïðîòèâëåíèÿ ñëåäóþùåãî óñèëèòåëüíîãî êàñêàäà, èëè ìíîãî ìåíüøå ñîïðîòèâëåíèÿ íàãðóçêè íà ñàìîé íèçêîé ÷àñòîòå óñèëèâàåìîãî ñèãíàëà.

 ïîñëåäíåå âðåìÿ øèðîêî ïðèìåíÿþòñÿ äâóõêàñêàäíûå óñèëèòåëè ñ íåïîñðåäñòâåííîé ñâÿçüþ ìåæäó òðàíçèñòîðàìè. Òàêèå óñèëèòåëè ïðèìåíÿþòñÿ â êà÷åñòâå âõîäíûõ óñèëèòåëåé íèçêîé ÷àñòîòû, â êà÷åñòâå àíòåííûõ óñèëèòåëåé è äð.  ýòèõ óñèëèòåëÿõ îáåñïå÷èâàåòñÿ òåìïåðàòóðíàÿ ñòàáèëèçàöèÿ ðåæèìà îáîèõ òðàíçèñòîðîâ [3].


Ðèñóíîê 23 Ðåãóëèðîâêà óñèëåíèÿ ñ ïîìîùüþ ïîòåíöèîìåòðà

Íåäîñòàòêîì ìåòîäà ÿâëÿåòñÿ òî, ÷òî ïðè èçìåíåíèè ïîëîæåíèÿ äâèæêà ïîòåíöèîìåòðà èçìåíÿåòñÿ ñîïðîòèâëåíèå íàãðóçêè ïðåäûäóùåãî êàñêàäà è ñîïðîòèâëåíèå èñòî÷íèêà ïîñëåäóþùåãî êàñêàäà. Äîñòîèíñòâî òàêîãî ìåòîäà çàêëþ÷àåòñÿ â åãî ïðîñòîòå ïîñòðîåíèÿ.

Èçâåñòåí ìåòîä ðåãóëèðîâêè óñèëåíèÿ ñ ïîìîùüþ Ï - è Ò-îáðàçíûõ ðåçèñòèâíûõ àòòåíþàòîðîâ ñòðóêòóðíàÿ ñõåìà êîòîðîãî ïðèâåäåíà íà ðèñóíêå 24. Ï - è Ò-îáðàçíûå ðåçèñòèâíûå àòòåíþàòîðû, øèðîêî èñïîëüçóþòñÿ â ñîãëàñîâàííûõ, ðàäèî÷àñòîòíûõ òðàêòàõ. Äîñòîèíñòâà Ï - è Ò-îáðàçíûõ ðåçèñòèâíûõ àòòåíþàòîðîâ çàêëþ÷àåòñÿ â òîì ÷òî îíè ïîçâîëÿþò ïðè èçìåíåíèè âíîñèìîãî çàòóõàíèÿ îáåñïå÷èòü ïîñòîÿíñòâî âõîäíûõ è âûõîäíûõ ñîïðîòèâëåíèé.

Ðèñóíîê 24 Ðåãóëèðîâêà óñèëåíèÿ â ñîãëàñîâàííîì òðàêòå

Îäíàêî íåäîñòàòîê ýòîãî ìåòîäà çàêëþ÷àåòñÿ â òîì ÷òî, äëÿ ïëàâíîé ðåãóëèðîâêè óñèëåíèÿ, â ýòîì ñëó÷àå íåîáõîäèìî îáåñïå÷èòü îäíîâðåìåííîå èçìåíåíèå ñîïðîòèâëåíèé. Ïîýòîìó, òàêèå ñõåìû ÷àùå èñïîëüçóþòñÿ äëÿ äèñêðåòíîé ðåãóëèðîâêè.

Èçâåñòåí ìåòîä ðåãóëèðîâêè óñèëåíèÿ ñ èñïîëüçîâàíèåì ïîëåâûõ òðàíçèñòîðîâ â êà÷åñòâå óïðàâëÿåìûõ ñîïðîòèâëåíèé, ñòðóêòóðíàÿ ñõåìà êîòîðîãî ïðèâåäåíà íà ðèñóíêå 25. Ðàáîòàåò ñëåäóþùèì îáðàçîì: ïîëåâûå òðàíçèñòîðû îáðàçóþò Ï-îáðàçíûé àòòåíþàòîð, äëÿ îäíîâðåìåííîé ðåãóëèðîâêè ñîïðîòèâëåíèÿ êàíàëîâ òðåõ òðàíçèñòîðîâ èñïîëüçóåòñÿ ñïåöèàëüíàÿ ñõåìà óïðàâëåíèÿ. Âìåñòî ïîëåâûõ òðàíçèñòîðîâ ÷àñòî èñïîëüçóþòñÿ p-i-n-äèîäû, äèôôåðåíöèàëüíîå ñîïðîòèâëåíèå êîòîðûõ çàâèñèò îò ïðÿìîãî òîêà è ìîæåò ìåíÿòüñÿ â øèðîêèõ ïðåäåëàõ. Äîñòîèíñòâà ýòîãî ìåòîäà ýòî âîçìîæíîñòü îðãàíèçîâàòü ýëåêòðîííóþ ðåãóëèðîâêó óñèëåíèÿ. Íåäîñòàòêîì ÿâëÿåòñÿ ñëîæíîñòü ïîñòðîåíèÿ è íàñòðîéêà ñõåìû óïðàâëåíèÿ.

Ðèñóíîê 25 Ðåãóëèðîâêà óñèëåíèÿ ñ ïðèìåíåíèåì ïîëåâûõ òðàíçèñòîðîâ

Èçâåñòåí ìåòîä ðåãóëèðîâêè óñèëåíèÿ ñ ïîìîùüþ öåïåé îáðàòíîé ñâÿçè â ñõåìàõ ñ ãëóáîêîé îòðèöàòåëüíîé îáðàòíîé ñâÿçüþ. Ïðèìåðû òàêèõ ñõåì ïðèâåäåíû íà ðèñóíêå 26 è 27. Óñèëåíèå ïðàêòè÷åñêè ïîëíîñòüþ îïðåäåëÿåòñÿ öåïüþ îáðàòíîé ñâÿçè è íå çàâèñèò îò ñâîéñòâ óñèëèòåëÿ.  ýòîì ñëó÷àå óñèëåíèå ðåãóëèðóåòñÿ èçìåíåíèåì ïàðàìåòðîâ öåïè îáðàòíîé ñâÿçè. [5].

Ðèñóíîê 26 Ðåãóëèðîâêà óñèëåíèÿ ñ ïðèìåíåíèåì îáðàòíîé ñâÿçè

Ðèñóíîê 27 Ðåãóëèðîâêà óñèëåíèÿ ñ ïðèìåíåíèåì îáðàòíîé ñâÿçè

Íà ðèñóíêå 26 èçîáðàæåíû êëàññè÷åñêèå ñõåìû èíâåðòèðóþùåãî è íåèíâåðòèðóþùåãî êàñêàäîâ íà îïåðàöèîííûõ óñèëèòåëÿõ, ãäå â öåïÿõ îáðàòíîé ñâÿçè óñòàíîâëåíû ïîòåíöèîìåòðû. Ñõåìû íà ðèñóíêå 27 äåìîíñòðèðóþò âîçìîæíîñòü îðãàíèçàöèè ýëåêòðîííîé ðåãóëèðîâêè óñèëåíèÿ ñ òð¸õ ïîëåñíèêîì â öåïè îáðàòíîé ñâÿçè. Ïîìèìî ïîëåâûõ òðàíçèñòîðîâ äëÿ ýëåêòðîííîãî óïðàâëåíèÿ ñîïðîòèâëåíèåì ìîæíî èñïîëüçîâàòü ðåçèñòîðíî-äèîäíûå èëè äðóãèå îïòîïàðû. Ïðèìåð òàêîé ñõåìû ïðèâåäåí íà ðèñóíêå 28.  äàííîé ñõåìå ñîïðîòèâëåíèå ôîòîðåçèñòîðà, âõîäÿùåãî â ñîñòàâ îïòîïàðû è îäíîâðåìåííî âêëþ÷åííîãî â öåïü îáðàòíîé ñâÿçè çàâèñèò îò ñèëû ïàäàþùåãî íà íåãî ñâåòà, êîòîðàÿ â ñâîþ î÷åðåäü îïðåäåëÿåòñÿ ïðÿìûì òîêîì ñâåòîäèîäà. Áèïîëÿðíûé òðàíçèñòîð îáðàçóåò ãåíåðàòîð ñòàáèëüíîãî òîêà [5].

Ðèñóíîê 28 Ðåãóëèðîâêà óñèëåíèÿ ñ ïîìîùüþ îïòîïàðû

Äîñòîèíñòâîì ýòîãî ìåòîäà ÿâëÿåòñÿ òî ÷òî óñèëåíèå ïðàêòè÷åñêè ïîëíîñòüþ îïðåäåëÿåòñÿ öåïüþ îáðàòíîé ñâÿçè è íå çàâèñèò îò ñâîéñòâ óñèëèòåëÿ. Ñ ïðèìåíåíèåì îïòîïàðû ýòî ðàçâÿçêà óïðàâëÿþùåãî ñèãíàëà îò óñèëèòåëüíîãî êàñêàäà. Íåäîñòàòêè ýòî ñëîæíîñòü ïîñòðîåíèÿ è íàñòðîéêà ñõåì.

6. Ïðèíöèïèàëüíàÿ ñõåìà ñèñòåìû ÀÐÓ

6.1 Óñèëèòåëüíûå ñâîéñòâà ÎÓ â ñèñòåìå ÀÐÓ


 êà÷åñòâå ïðåäóñèëèòåëüíîé ÷àñòè ñèñòåìû ÀÐÓ çà îñíîâó áûë âçÿò îïåðàöèîííûé óñèëèòåëü ïî íåèíâåðñíîé ñõåìå âêëþ÷åíèÿ ñõåìà êîòîðîãî óæå ðàññìàòðèâàëàñü â ðàçäåëå 3.1 è ïðèâåäåíà íà ðèñóíêå 29. Óñèëèòåëüíûé êàñêàä áûë èçãîòîâëåí íà ìàêåòíîé ïëàòå è äîðàáîòàí.  êà÷åñòâå ÎÓ áûëà èñïîëüçîâàíà ìèêðîñõåìà OPA657. Çàâèñèìîñòü êîýôôèöèåíòà óñèëåíèÿ ñ ðàçîìêíóòîé ïåòë¸é îáðàòíîé ñâÿçè è çàâèñèìîñòü ôàçû îò ÷àñòîòû ïðèâåäåíû íà ðèñóíêå 30.

Ðèñóíîê - 29 Íåèíâåðòèðóþùèé óñèëèòåëü

Ðèñóíîê - 30 Çàâèñèìîñòü êîýôôèöèåíòà óñèëåíèÿ ñ ðàçîìêíóòîé ïåòë¸é îáðàòíîé ñâÿçè

Äëÿ ïðàâèëüíîé è êîððåêòíîé ðàáîòû îïåðàöèîííîãî óñèëèòåëÿ íåîáõîäèìî óñèëåíèå ìèíèìóì 3 Äá. Íî ïðè óâåëè÷åíèè ÷àñòîòû êîýôôèöèåíò óñèëåíèÿ îïåðàöèîííîãî óñèëèòåëÿ ñïàäàåò êàê ïîêàçàíî íà ðèñóíêå 30. Ýòà çàâèñèìîñòü îïðåäåëÿåòñÿ òåõíîëîãèåé èçãîòîâëåíèÿ ïðîèçâîäèòåëåé ýòîé ìèêðîñõåìû OPA657. Òî÷êà èçëîìà âûøå êîòîðîé À×Õ ñïàäàåò, íàçûâàåòñÿ ïîëþñîì, à òî÷êà èçëîìà ïîñëå êîòîðîé À×Õ âîçðàñòàåò íàçûâàåòñÿ íóë¸ì. Ó ìèêðîñõåìû OPA657 ñïàä À×Õ íà÷èíàåòñÿ ñ 350 êÃö. È ïëàâíî ñïàäàåò äî 1 ÃÃö. Îòñþäà ìîæíî ïðåäïîëîæèòü ÷òî ïåðâûé ïîëþñ ðàâåí 1/350. Èç ãðàôèêà, èçîáðàæ¸ííîãî íà ðèñóíêå 30 âèäíî, ÷òî íà èíòåðâàëå ÷àñòîò îò 10 äî 100 ÌÃö êîýôôèöèåíò óñèëåíèÿ ïðèìåðíî èçìåíÿåòñÿ â ïðåäåëàõ îò 45 äî 25 äÁ ÷åãî áîëåå ÷åì äîñòàòî÷íî äëÿ äàííîé ñèñòåìû ÀÐÓ. Íîìèíàëû ðåçèñòîðîâ öåïè îáðàòíîé ñâÿçè è áûëè ðàññ÷èòàíû ñ ïîìîùüþ ôîðìóëû 12 â ïðîãðàììå Mathcad è ïîñòðîåí ãðàôèê À×Õ îïåðàöèîííîãî óñèëèòåëÿ äëÿ äàííîé ñõåìû. Ãðàôèê À×Õ óñèëèòåëÿ OPA657 ïîñòðîåííûé â ïðîãðàììå Mathcad èçîáðàæ¸í íà ðèñóíêå 31.

Ðèñóíîê 31 À×Õ óñèëèòåëÿ OPA657

Ïðèìåíåíèå ìåòîäà Áîäå ïðè ðàçðàáîòêå ïðåäóñèëèòåëüíîãî êàñêàäà ñèñòåìû ÀÐÓ ïîçâîëèëî ðàññ÷èòàòü íîìèíàëû ðåçèñòîðîâ â öåïè îáðàòíîé ñâÿçè íàèáîëåå îïòèìàëüíûìè.

6.2 Ïîëåâîé òðàíçèñòîð â öåïè ÎÑ ÎÓ


Äëÿ èçìåíåíèÿ êîýôôèöèåíòà óñèëåíèÿ îïåðàöèîííîãî óñèëèòåëÿ íåîáõîäèìî èçìåíÿòü îòíîøåíèå ñîïðîòèâëåíèÿ ðåçèñòîðîâ åãî öåïè îáðàòíîé ñâÿçè.  êà÷åñòâå ýëåêòðîííîãî ïðåîáðàçîâàòåëÿ àêòèâíîãî ñîïðîòèâëåíèÿ â äàííîé ñõåìå èñïîëüçóåòñÿ ïîëåâîé òðàíçèñòîð.  ýòîì ñëó÷àå êîýôôèöèåíò óñèëåíèÿ èçìåíÿåòñÿ â çàâèñèìîñòè îò ïðèêëàäûâàåìîãî íàïðÿæåíèÿ íà çàòâîð òðàíçèñòîðà. Ïðè ðàçðàáîòêå ñèñòåìû àâòîìàòè÷åñêîé ñòàáèëèçàöèè ìîùíîñòè áûëè èçó÷åíû òðàíçèñòîðû ÊÏ303, ÁÔ345À.  äàííîé ñèñòåìå íàèáîëåå ïîäõîäÿùèìè îêàçàëèñü òðàíçèñòîðû ÊÏ303 òàê êàê ó ýòèõ òðàíçèñòîðîâ íàèáîëåå ïëàâíàÿ âîëüò - àìïåðíàÿ õàðàêòåðèñòèêà. Ãðàôèê ÂÀÕ òðàíçèñòîðà ÊÏ303 ïðèâåä¸í íà ðèñóíêå 30.

Ðèñóíîê 30 Çàâèñèìîñòü òîêà ñòîêà îò íàïðÿæåíèÿ çàòâîð-èñòîê

6.3 Ýìèòòåðíûé ïîâòîðèòåëü â ñèñòåìå ÀÐÓ


Ñ ðîñòîì ÷àñòîòû óìåíüøàåòñÿ ¸ìêîñòíîå ñîïðîòèâëåíèå ðåçèñòîðîâ â öåïè îáðàòíîé ñâÿçè.  ñâÿçè ñ ýòèì èçìåíÿåòñÿ êîýôôèöèåíò óñèëåíèÿ. Ïî ýòîé ïðè÷èíå íåîáõîäèìî óìåíüøèòü âëèÿíèå ¸ìêîñòíîãî ñîïðîòèâëåíèÿ íà öåïü îáðàòíîé ñâÿçè. Äëÿ ýòîãî íóæíî ÷òî áû ñîïðîòèâëåíèå ðåçèñòîðîâ â ÎÑ áûëî êàê ìèíèìóì ýêâèâàëåíòíî àêòèâíîìó ñîïðîòèâëåíèþ êàæäîãî èç ðåçèñòîðîâ â îáðàòíîé ñâÿçè. Îäíàêî ñ óìåíüøåíèåì ñîïðîòèâëåíèå öåïè ÎÑ âîçðàñòàåò âûõîäíîé òîê ÎÓ.  ñâÿçè ñ òåì ÷òî ðåçèñòîðû ÎÑ ïîäêëþ÷åíû ïîñëåäîâàòåëüíî ñ çåìë¸é. Äëÿ òîãî ÷òî áû âûõîä ÎÓ íå ïåðåãðóæàëñÿ î÷åíü ìàëåíüêèì ñîïðîòèâëåíèåì îáðàòíîé ñâÿçè â ýòîé ñõåìå áûë ïðèìåí¸í ýìèòòåðíûé ïîâòîðèòåëü íà áèïîëÿðíîì òðàíçèñòîðå. Áëàãîäàðÿ óñèëèòåëüíîìó êàñêàäó íà áèïîëÿðíîì òðàíçèñòîðå óäàëîñü ïåðåíåñòè ÷àñòü ìîùíîñòè íà íåãî, òåì ñàìûì íå íàãðóæàÿ âûõîä ÎÓ.

Ýìèòòåðíûé ïîâòîðèòåëü áûë âûáðàí, ñîáðàí è îòðàáîòàí ïî ñõåìå ñ îáùèì ýìèòòåðîì ïðèâåä¸ííîé íà ðèñóíêå 32.

Ðèñóíîê 32 Ñõåìå âêëþ÷åíèÿ òðàíçèñòîðà ñ îáùèì ýìèòòåðîì

 ñõåìå âêëþ÷åíèÿ òðàíçèñòîðà ñ îáùèì ýìèòòåðîì óñèëèòåëü îáåñïå÷èâàåò óñèëåíèå ïî íàïðÿæåíèþ, ïî òîêó, ïî ìîùíîñòè. Òàêîé óñèëèòåëü èìååò ñðåäíèå çíà÷åíèÿ âõîäíîãî è âûõîäíîãî ñîïðîòèâëåíèÿ ïî ñðàâíåíèþ ñî ñõåìàìè âêëþ÷åíèÿ ñ îáùåé áàçîé è îáùèì êîëëåêòîðîì.  ñèñòåìå àâòîìàòè÷åñêîé ñòàáèëèçàöèè ìîùíîñòè ãåíåðàòîðà áûë èñïîëüçîâàí áèïîëÿðíûé òðàíçèñòîð ñ n-p-n ïðîâîäèìîñòüþ 2SC3357. Ãðàôèê çàâèñèìîñòè êîýôôèöèåíòà óñèëåíèÿ îò ÷àñòîòû ïîêàçàí íà ðèñóíêå 33.

Ðèñóíîê 33 Çàâèñèìîñòè êîýôôèöèåíòà óñèëåíèÿ îò ÷àñòîòû

Òèï êîðïóñà òðàíçèñòîðà 2SC3357 âûáðàí íàèáîëåå ìèíèìàëüíûì SOT-089 òàê êàê ïîëíàÿ ñõåìà ñèñòåìû ÀÐÓ äîëæíà áûòü ðàçìåùåíà íà ïëàòå ñ ðàçìåðàìè 1ñì íà 2ñì.

Ïðèíöèïèàëüíàÿ ñõåìà ÀÐÓ ïðèâåäåíà íà ðèñóíêå 34. Ñõåìà ñòàáèëèçàöèè óñèëåíèÿ ñîñòîèò èç îïåðàöèîííîãî óñèëèòåëÿ, ðåçèñòîðîâ R1-R10, ïîëåâîãî òðàíçèñòîðà VT2, áèïîëÿðíîãî òðàíçèñòîðà VT1, âûñîêî÷àñòîòíîãî äèîäà VD1, è êîíäåíñàòîðîâ Ñ1-Ñ7. Äàííàÿ ñõåìà ðàáîòàåò ñëåäóþùèì îáðàçîì. Âõîäíîé ñèãíàë ïîñòóïàåò íà ðåçèñòîð R1 è íà êîíäåíñàòîð Ñ1. ×åðåç ðàçäåëèòåëüíûé êîíäåíñàòîð Ñ1 ïðèõîäèò íà íåèíâåðòèðóþùèé âõîä îïåðàöèîííîãî óñèëèòåëÿ. Ðåçèñòîðû R2 è R3 ñîçäàþò ñìåùåíèå ïî ïîñòîÿííîìó òîêó äëÿ òîãî ÷òî áû ñõåìà ðàáîòàëà îò îäíîïîëÿðíîãî èñòî÷íèêà ïèòàíèÿ. Ñ âûõîäà îïåðàöèîííîãî óñèëèòåëÿ ÷åðåç äåëèòåëü ñîñòîÿùèé èç R4, R5, C3 è VT2 ïîñòóïàåò îáðàòíàÿ ñâÿçü íà èíâåðòèðóþùèé âõîä ÎÓ. Òðàíçèñòîð VT1 óñèëèâàåò ñèãíàë ñ âûõîäà îïåðàöèîííîãî óñèëèòåëÿ. Óñèëåííûé ñèãíàë ñíèìàåòñÿ ñ ðåçèñòîðà R9 è ÷åðåç ðàçäåëèòåëüíûé êîíäåíñàòîð Ñ6 ïîñòóïàåò íà âûõîä ÀÐÓ è äàëåå íà ðåçèñòîð R10 êîòîðàÿ ÿâëÿåòñÿ íàãðóçêîé ñîïðîòèâëåíèå êîòîðîé 50 Îì. Óñèëåííûé ñèãíàë ïîñëå êîíäåíñàòîðà Ñ6 ïîñòóïàåò íà äåòåêòîð ñîçäàííûé öåïüþ Ñ5, VD1, R8, C4, R6 è R7. Áëàãîäàðÿ ýòîìó äåòåêòîðó â çàâèñèìîñòè îò àìïëèòóäû óñèëåííîãî ñèãíàëà íà çàòâîðå òðàíçèñòîðà VT2 ìåíÿåòñÿ íàïðÿæåíèå. Êàê áûëî îïèñàíî âûøå â ðàáîòå ìåíÿÿ íàïðÿæåíèå íà çàòâîðå ïîëåâîãî òðàíçèñòîðà ìû ìîæåì óìåíüøàòü èëè óâåëè÷èâàòü ñîïðîòèâëåíèå ñòîê-èñòîê. Ñëåäîâàòåëüíî åñëè óâåëè÷èâàòü íàïðÿæåíèå íà çàòâîðå ñîïðîòèâëåíèå ñòîê-èñòîê óìåíüøàåòñÿ è ñîîòâåòñòâåííî óñèëåíèå óìåíüøàåòñÿ. Òàêèì îáðàçîì âîçäåéñòâóÿ íà ñîïðîòèâëåíèÿ îáðàòíîé ñâÿçè îïåðàöèîííîãî óñèëèòåëÿ óñèëåíèå ïîäñòðàèâàåòñÿ àâòîìàòè÷åñêè.

Ðèñóíîê 34 Ïðèíöèïèàëüíàÿ ñõåìà ÀÐÓ

7. Èçãîòîâëåíèå ïå÷àòíîé ïëàòû äëÿ ÀÐÓ


Ïå÷àòíàÿ ïëàòà äëÿ óñèëèòåëÿ ñ àâòîìàòè÷åñêîé ðåãóëèðîâêîé óñèëåíèÿ áûëà ñïðîåêòèðîâàíà â ïðîãðàììå Sprint-Layout50R. Ïå÷àòíàÿ ïëàòà áàëà ðàçðàáîòàíà ñ ìèíèìàëüíûìè ðàçìåðàìè. Ÿ ðàçìåðû 1ñì íà 2ñì. Îò ïðàâèëüíîñòè ðàçâîäêè ïëàòû çàâèñèò å¸ ðàáîòîñïîñîáíîñòü, óñòîé÷èâîñòü ê ïîìåõàì è ñàìîâîçáóæäåíèþ. Ìèíèìàëüíûå ðàçìåðû òàê æå íå îáõîäèìû äëÿ òîãî ÷òî áû ïîìåñòèòü å¸ â ãåíåðàòîð êà÷àþùåéñÿ ÷àñòîòû. Ïëàòà áûëà èçãîòîâëåíà èç äâóõñòîðîííåãî ôîëüãèðîâàííîãî ñòåêëîòåêñòîëèòà, smd ìîíòàæîì. Âòîðàÿ ñòîðîíà ñ ôîëüãîé áûëà ñîõðàíåíà äëÿ äîïîëíèòåëüíîé ýêðàíèçàöèè. Ïðè îòëàäêå ìàêåò ïëàòû áûë ïîìåù¸í â ìåòàëëè÷åñêèé êîðïóñ äëÿ òîãî ÷òî áû ïîìåõè è âñåâîçìîæíûå íàâîäêè íå ìåøàëè äîðàáîòêå è îòëàäêå ñõåìû.

Çàêëþ÷åíèå


Ïîñòàâëåííûå çàäà÷è ðàáîòû âûïîëíåíû ïîëíîñòüþ. Ðàçðàáîòàíà ñõåìà àâòîìàòè÷åñêîé ðåãóëèðîâêè óñèëåíèÿ ãåíåðàòîðà êîãåðåíòíûõ ñèãíàëîâ. Ïðîâåäåíû èñïûòàíèÿ ñîâìåñòíî ñ òð¸õ÷àñòîòíûì ãåíåðàòîðîì êîãåðåíòíûì ñèãíàëîì íà äèàïàçîíå ÷àñòîò 20-100 ÌÃö è 20,278-100,278 ÌÃö. Ðàçðàáîòàííàÿ ñõåìà îñóùåñòâëÿåò ðåãóëèðîâêó óñèëåíèÿ â äèàïàçîíå 20-100 ÌÃö. Ðàçðàáîòàííàÿ ñèñòåìà àâòîìàòè÷åñêîé ðåãóëèðîâêè ìîùíîñòè îñóùåñòâëÿåò å¸ ïîääåðæèâàíèå îòíîñèòåëüíî ýòàëîííîãî óðîâíÿ çàâèñÿùåãî îò òåìïåðàòóðû îêðóæàþùåé ñðåäû ñâÿçàííîå ñ òåì, ÷òî óðîâåíü ñèãíàëà íà âûõîäå ïîëóïðîâîäíèêîâîãî äåòåêòîðà ñèëüíî çàâèñèò îò òåìïåðàòóðû. Òåìïåðàòóðíàÿ ñòàáèëèçàöèÿ äîñòèãíóòà áëàãîäàðÿ èñïîëüçîâàíèþ ñîâðåìåííûõ ïîëóïðîâîäíèêîâûõ ïðèáîðîâ ó êîòîðûõ ïðèíÿòû ìåðû ïî óìåíüøåíèþ çàâèñèìîñòè âûõîäíîãî ñèãíàëà îò îêðóæàþùåé òåìïåðàòóðû. Òàê æå ðàçðàáîòàííàÿ ñõåìà àâòîìàòè÷åñêîé ñòàáèëèçàöèè ìîùíîñòè ãåíåðàòîðà îñóùåñòâëÿåò ïîääåðæèâàíèå îïðåäåë¸ííîãî óðîâíÿ âûõîäíîãî ñèãíàëà. Âñå óçëû ñèñòåìû ÀÐÓ ðàáîòàþò íà䏿íî è ïîëíîñòüþ óäîâëåòâîðÿþò âñåì ïàðàìåòðàì. À äàííîé äèïëîìíîé ðàáîòå ïðè ðàçðàáîòêå ñèñòåìû ÀÐÓ áûëè èçó÷åíû è ïðîàíàëèçèðîâàíû ìåòîäû Áîäå ñ ïîìîùüþ êîòîðûõ ïðîèçâîäèëèñü ðàñ÷¸òû íîìèíàëîâ ðåçèñòîðîâ. Òàê æå ïðèâåäåíû À×Õ ìèêðîñõåì è òðàíçèñòîðîâ êîòîðûå áûëè ïðèìåíåíû ñ ñèñòåìå ÀÐÓ. Áûëè èçó÷åíû è ïðîàíàëèçèðîâàíû â õîäå ðàçðàáîòêè ñèñòåìû àâòîìàòè÷åñêîé ñòàáèëèçàöèè ìîùíîñòè îñíîâíûå ìåòîäû ðåãóëèðîâêè óñèëåíèÿ, îñíîâíûå ñõåìû âêëþ÷åíèÿ îïåðàöèîííûõ óñèëèòåëåé à òàê æå òðàíçèñòîðîâ. Áûëà ñïðîåêòèðîâàíà è èçãîòîâëåíà ïëàòà ñèñòåìû ÀÐÓ êîòîðàÿ â äâóõ ýêçåìïëÿðàõ êîòîðûå ìîæíî ïîìåñòèòü â ãåíåðàòîð êà÷àþùèéñÿ ÷àñòîòû èëè ïîìåñòèòü â îòäåëüíûé êîðïóñ íà êîòîðîì ïðåäóñìîòðåíû ðàçú¸ìû äëÿ ïîäêëþ÷åíèÿ âõîäà è âûõîäà à òàê æå íàïðÿæåíèÿ ïèòàíèÿ ïëþñ 5 âîëüò.  õîäå ðàáîòû áûëî âûÿñíåíî ÷òî óñòîé÷èâîñòü ê ïîìåõàì è ñàìîâîçáóæäåíèÿ âî ìíîãîì çàâèñèò îò ðàçìåùåíèÿ ýëåìåíòîâ íà ïëàòå, îò òîëùåíû äîðîæåê à òàê æå îò íîìèíàëîâ ðåçèñòîðîâ öåïè îáðàòíîé ñâÿçè îïåðàöèîííîãî óñèëèòåëÿ.

Ñïèñîê èñïîëüçîâàíûõ èñòî÷íèêîâ


1. Êàðòåð Á. Ìàí÷èíè Ð. Îïåðàöèîííûå óñèëèòåëè / Á. Êàðòåð. - Ì.: Äîäåêà-XXI, 2011. - 509 ñ.

. Îïïåéãåéì À. Öèôðîâàÿ îáðàáîòêà ñèãíàëîâ / À. Îïïåíãåéì, Ð. Øàôåð. - Ì.: Òåõíîñôåðà, 2009. - 855 ñ.

. Èíîçåìöåâ Â.À. Èçó÷åíèå ýëåìåíòíîé áàçû öèôðîâîé òåõíèêè / Èíîçåìöåâ Â. À - Áðÿíñê: Èçäàòåëüñòâî ÁÃÓ, 2002. - 110ñ.

4. Ýëåêòðîííûå óñòðîéñòâà // (Ðóñ.). - URL: http://ivatv. narod.ru/vvedenie_v_elektroniku/5_05. htm <http://ivatv.narod.ru/vvedenie_v_elektroniku/5_05.htm> [19 àïðåëÿ 2013].

5. Îïåðàöèîííûå óñèëèòåëè // (Ðóñ.). - URL: http://zpostbox.ru/operatsionny_usilitel.html [22 àïðåëÿ 2013].

6. Õîðîâèö Ï. Õèëë Ó. Èñêóññòâî ñõåìîòåõíèêè / Ó. Õèëë - Ì.: Ìèð, 1986. - 598 ñ.

. Çàÿâêà 2013106594 Ðîññèéñêàÿ Ôåäåðàöèÿ, ÌÏÊ G 01 R 27/28. Óñòðîéñòâî äëÿ èçìåðåíèÿ àáñîëþòíûõ êîìïëåêñíûõ êîýôôèöèåíòîâ ïåðåäà÷è è îòðàæåíèÿ ÑÂ×-óñòðîéñòâ ñ ïðåîáðàçîâàíèåì ÷àñòîòû / Êîðîòêîâ Ê.Ñ. (Ðîññèÿ), Ëåâ÷åíêî À.Ñ. (Ðîññèÿ), Ìèëü÷åíêî Ä.Í. (Ðîññèÿ), Ôðîëîâ Ä.Ð. (Ðîññèÿ). - çàðåã. 14.02.2013.

Ðàçìåùåíî íà Allbest.ru


Не нашли материал для своей работы?
Поможем написать уникальную работу
Без плагиата!
Без нейросетей!