Проект реконструкции ООО 'Автоцентр 'Северный' с разработкой кузовного участка
МИНИСТЕРСТВО ОБРАЗОВАНИЯ И НАУКИ
РОССИЙСКОЙ ФЕДЕРАЦИИ
САНКТ-ПЕТЕРБУРГСКИЙ ГОСУДАРСТВЕННЫЙ
АРХИТЕКТУРНО-СТРОИТЕЛЬНЫЙ УНИВЕРСИТЕТ
Факультет автомобильно-дорожный
Кафедра ТЭТС
Курсовой проект
"Проект реконструкции ООО
"Автоцентр "Северный"" с разработкой кузовного
участка"
Работу выполнил студент группы СТ-5
Ефимов А.В.
Руководитель
доцент Давыдов Н.А.
Санкт-Петербург 2013
Содержание
Перечень графического материала
Введение
1. Проект реконструкции ООО "Автоцентр
"Северный"" с разработкой кузовного участка
1.1 Определение основных показателей, характеризующих потребность в
услугах автосервиса
1.1.1 Расчет количества автомобилей в области
1.1.2 Расчет динамики изменения насыщенности населения района
автомобилями
1.1.3 Расчет показателей годовых пробегов автомобилей, наработки на
автомобиле-заезд и годового количества обращений на СТО
1.2 Оценка спроса на услуги автосервиса в регионе
1.2.1 Общие принципы спроса на услуги
1.2.2 Оценка спроса на текущий период
1.3 Прогнозирование динамики изменения спроса на услуги
1.3.1 Прогнозируемый спрос на услуги автосервиса
1.4 Расчета годового объема работ
1.4.1 Расчет производственной программы по ТР легковых автомобилей
1.4.2 Расчет годового объема работ по ТО и ТР
1.4.3 Расчет годового объема уборочно-моечных работ
1.4.4 Расчет годового объема работ по приемке и выдаче автомобилей
1.4.5 Расчет годового объема работ по предпродажной подготовке
1.4.6 Расчет объема вспомогательных работ и общего объема работ на
СТО
1.5 Распределение годового объема работ по видам и месту выполнения
1.5.1 Распределение годового объема работ по ТО и ТР
1.5.2 Распределение годового объема вспомогательных работ
1.6. Расчет численности производственных и вспомогательных рабочих
1.6.1 Расчет численности производственных рабочих
1.6.2 Расчет численности вспомогательных рабочих
1.7 Расчет числа постов
1.8 Расчет производственных площадей
1.9 Расчет площадей складских и вспомогательных помещений
1.10 Обоснование схемы генерального плана
1.11 Технологическая планировка главного производственного корпуса
1.12 Расчет кузовного участка
1.12.1 Выбор и определение количества технологического оборудования
1.12.2 Уточненный расчет производственной площади кузовного участка
1.12.3 Обоснование технологической планировки кузовного участка
1.13. Расчет технико-экономических показателей кузовного участка
1.13.1 Исходные данные для расчета
1.13.2 Расчет стоимости основных производственных средств
1.13.3 Расчет амортизации
1.13.4 Расчет заработной платы
1.13.5 Расчет отчислений по заработной плате
1.13.6 Расчет хозяйственно-цеховых расходов и расходов, связанных с
эксплуатацией оборудования
1.13.7 Общие цеховые расходы (накладные цеховые расходы)
1.13.7 Смета затрат и калькуляция себестоимости
1.13.8 Технико-экономические показатели участка
1.13.9 Определение денежного потока от операционной деятельности
(хозяйственной деятельности)
1.13.10 Оценка эффективности инвестиционного проекта
1.13.11 Экономические и финансовые показатели работы участка
1.13.12 Определение критического объема работ
1.14 Безопасность жизнедеятельности
1.14.1 Пожарная безопасность на участке
1.15. Охрана труда
1.15.1 Производственная санитария и гигиена
1.15.2 Техническая безопасность монтажа стапеля для ремонта кузовов
1.15.3 Техническая безопасность при работе на стапеле для правки кузовов
1.15.4 Экологические мероприятия
2. Разработка конструкции стенда-кантователя для ремонта кузовов
автомобилей
2.1 Анализ существующих аналогичных конструкций стендов
2.2 Предлагаемая конструкция стенда
2.2.1 Устройство и принцип действия
2.2.2 Прочностные расчеты элементов стенда
2.2.2.1 Проверочный расчет колонны
2.2.2.2 Проверочный расчет рамы
2.2.3 Инструкция по эксплуатации стенда
2.2.3.1 Принцип работы
22.2.3.2 Требования безопасности
2.2.3.3 Подготовка к работе
2.2.3.4 Порядок работы
2.2.3.5 Техническое обслуживание
2.3 Разработка технологического процесса изготовления детали
2.3.1 Оценка и обеспечение технологичности конструкции детали
2.3.2 Обоснование выбора вида заготовки
2.3.3 Расчет режимов резания
2.3.4 Выбор оборудования
2.3.5 Нормирование затрат времени на изготовление детали
Заключение
Список литературы
Перечень
графического материала
Генеральный план ООО "Автоцентр
"Северный"" 1 лист
План первого этажа ООО "Автоцентр
"Северный"" 1 лист
План кузовного участка 1 лист
Итоговые технико-экономические показатели реконструкции
кузовного участка 1 лист
Стенд-кантователь для ремонта кузовов автомобилей. Общий
вид...1 лист
Каток. Сборочный чертеж 1 лист
Рама поворотная. Сборочный чертеж 1 лист
Колонна левая. Сборочный чертеж 1 лист
Рабочие чертежи деталей 1 лист
Карта технологического процесса изготовления детали 1 лист
Введение
Автомобильный транспорт в отличие от других видов
транспортных средств является наиболее массовым и удобным для перевозки грузов
и пассажиров на относительно небольшие расстояния. Он обладает большой
маневренностью, хорошей приспособленностью и проходимостью в различных
климатических и географических условиях.
Автомобильный транспорт играет важную роль в транспортной
системе страны. За последнее десятилетие количество транспортных средств в
России увеличилось в несколько раз, особенно в области легковых автомобилей,
принадлежащих гражданам. Поддержание этого парка в работоспособном и технически
исправном состоянии осуществляется сервисной системой, спрос на услуги которой
резко возрос.
Главными задачами станций технического обслуживания являются
полное, качественное и своевременное удовлетворение потребностей клиентов при
минимальных затратах материальных и трудовых ресурсов; поддержание
конкурентоспособности в условиях рынка; формирования определенного имиджа
предприятия.
Таким образом, в условиях увеличивающегося спроса и жесткой
конкуренции на рынке сервисных услуг, требуется непрерывное развитие
производственно-технической базы станций технического обслуживания, которое
неразрывно связано со строительством новых, расширением, реконструкцией и
техническим перевооружением существующих.
Успех проектирования и реконструкции
станции зависит от тщательности проведения различных предварительных
исследований (маркетинговые расчеты, установление предполагаемого объема услуг,
исследование спроса на услуги в аналогичных организациях) и наиболее точного
прогноза ближайших и отдаленных перспектив развития.
Стоит отметить, что СТО, в свою очередь, подразделяются на:
реконструкция кузов ремонт автомобиль
элитарные СТО, которые обеспечивают абсолютные гарантии на
выполняемые услуги, и так же имеющие повышенные требования к рабочему
персоналу;
обычные СТО, обеспечивающие достаточно высокий уровень
обслуживания клиентов и выполняемых работ;
станции технического обслуживания ориентированные на
самообслуживание.
Данный дипломный проект посвящен
реконструкции станции послегарантийного обслуживания ООО "Автоцентр
"Северный"" с разработкой кузовного участка. Проект состоит из
двух частей.
В первой части проекта производится анализ
показателей, характеризующий потребность в услугах автосервиса в Новгородской
области; проводится прогнозирование динамики изменения спроса. Проводится
расчет годового объема работ станции, числа производственных и вспомогательных
рабочих, рассчитываются площади производственных, складских и бытовых
помещений. Так же производится технико-экономический расчет кузовного участка,
и рассматриваются вопросы, связанные с обеспечением безопасности
жизнедеятельности и гражданской защиты в условиях чрезвычайных ситуациях.
Во второй части разрабатывается конструкция
стенда-кантователя для ремонта кузовов автомобилей. Приводится анализ
конструкций существующих аналогов и описывается устройство и принцип действия
предлагаемой конструкции с указанием отличий от выбранного прототипа. Все
материалы и технические характеристики составлены по рабочим чертежам,
паспортам, проспектам, альбомам и другим материалам. Место для монтажа стенда
предусматривается на кузовном участке данного СТО. Производятся прочностные
расчеты элементов стенда, и разрабатывается технологический процесс
изготовления детали стенда.
1. Проект
реконструкции ООО "Автоцентр "Северный"" с разработкой
кузовного участка
1.1
Определение основных показателей, характеризующих потребность в услугах
автосервиса
Таблица 1.1
Исходные данные
|
Параметр
|
Ед. изм.
|
Значение
|
|
Количество
жителей региона в 2014г
|
тыс. чел.
|
490
|
|
Количество
жителей региона в 2017г
|
тыс. чел.
|
494
|
|
Максимальная
насыщенность автомобилей
|
Ед/1000 чел
|
350
|
|
Доля
владельцев, пользующихся услугами СТО в регионе в 2014 г.
|
%
|
76
|
|
Доля
владельцев, пользующихся услугами СТО в регионе в 2017 г.
|
%
|
76
|
|
Доля
автомобилей Lifan и Great Wall в регионе
|
%
|
3
|
1.1.1 Расчет
количества автомобилей в области
Общее количество автомобилей в регионе на 2014 г [1]:
N=n∙Ж/1000=250 ∙ 0,49 ∙ 106/1000 =
122500 (1.1)
Где: n - насыщенность автомобилей (количество автомобилей на 1000
жителей); Ж - количество жителей.
Количество автомобилей, водители которых пользуются услугами
СТО на 2014 г:
Nсто=β ∙n∙Ж/1000=0,76 ∙
250 ∙ 0,49 ∙ 106/1000 = 93100 (1.2)
Где: β - доля владельцев,
пользующихся услугами СТО на 2014 г
Количество автомобилей данной марки (Lifan и Great Wall) пользующихся услугами
СТО в данном регионе:
Njсто=β∙mj∙n∙Ж/1000=0,76 ∙
0,03 ∙ 250 ∙ 0,49 ∙ 106/1000 = 2793 (1.3)
Где: mj доля автомобилей данной
марки
Коэффициент пропорциональности:

(1.4)
Подставив исходные данные получаем: q= - 0,000843
1.1.2 Расчет
динамики изменения насыщенности населения района автомобилями
Расчет насыщенности автомобилями на последующие годы
производится по формуле:

(1.5)
Результаты вычислений записываются в таблицу 1.2
Количество автомобилей в регионе на 2017 г:
N=n∙Ж/1000=300 ∙ 0,494 ∙ 106/1000
= 148100
Количество автомобилей, водители которых пользуются услугами СТО
на 2017 г:
Nсто=β ∙n∙Ж/1000=0,76 ∙ 300 ∙ 0,494 ∙ 106/1000
= 112556
Количество автомобилей данной марки (Lifan и Great Wall) пользующихся услугами СТО в данном регионе:
Njсто=β∙mj∙n∙Ж/1000=0,76 ∙ 0,03 ∙ 300 ∙ 0,494 ∙
106/1000 = 3377
Таблица 1.2
Динамика изменения насыщенности населения региона автомобилями
|
год
|
t
|
nt
|
∆nt
|
|
Ретроспектива
|
|
2008
|
1
|
90
|
0
|
|
2009
|
2
|
111
|
21
|
|
2010
|
3
|
137
|
26
|
|
2011
|
4
|
170
|
33
|
|
2012
|
5
|
196
|
26
|
|
2013
|
6
|
220
|
24
|
|
2014
|
7
|
250
|
30
|
|
Перспектива
|
|
2015
|
8
|
270
|
20
|
|
2016
|
9
|
286
|
17
|
|
2017
|
10
|
300
|
14
|
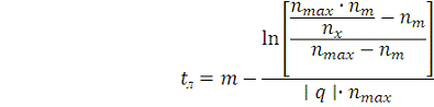
Продолжительность лага (периода насыщения) рассчитывается по
формуле:
(1.6)
Таким образом, полное насыщение рынка произойдет в течение 23
лет.
Рис 1.1 Зависимость насыщения рынка автомобилями от времени
1.1.3 Расчет
показателей годовых пробегов автомобилей, наработки на автомобиле-заезд и
годового количества обращений на СТО
Рис 1.2 Гистограмма распределения годовых пробегов
автомобилей
Средневзвешенный годовой пробег автомобилей рассчитывается по
формуле:
(1.7)
Рис 1.3 Гистограмма распределения по наработкам на заезд
автомобилей
Средневзвешенная наработка на один автомобиле-заезд на СТО:
(1.8)
Годовое количество обращений автомобилей региона на СТО в
2014 г:
Nг=N∙β∙ (Lг/L) =122500∙0,76∙
(21,6/14,5) = 138687
Годовое количество обращений автомобилей Lifan и Great Wall региона на СТО в 2014 г:
Nг=N ∙ mj ∙ β ∙ (Lг/L) =122500∙0,03∙0,76∙ (21,6/14,5) = 4160
Годовое количество обращений автомобилей региона на СТО в
2017 г:
Nг=N∙β∙ (Lг/L) =148100∙0,76∙
(21,6/14,5) = 167670
Годовое количество обращений автомобилей Lifan и Great Wall региона на СТО в 2017 г:
Nг=N ∙ mj ∙ β ∙ (Lг/L) =148100∙0,03∙0,76∙ (21,6/14,5) = 5030
1.2 Оценка
спроса на услуги автосервиса в регионе
1.2.1 Общие
принципы спроса на услуги
Оценка удовлетворённого и неудовлетворённого спроса
проводится на основе данных, характеризующих фактическое годовое число
обращений Мk, и процент удовлетворения спроса k-й СТО Wk.
В данном случае под удовлетворённым спросом понимается число обслуженных на СТО
автомобилей (число k обслуженных заездов). Причём необходимо иметь в
виду, что общий годовой спрос М, т.е. фактическое число заездов на
рассматриваемые СТО, может превышать годовое число заездов автомобилей
рассматриваемого региона, поскольку данные СТО могут обслуживать автовладельцев
других районов.
1.2.2 Оценка
спроса на текущий период
Таблица 1.3
Оценка удовлетворенного спроса на текущий период
|
СТО k
|
Годовой спрос,
Мk
|
Удовлетворение
спроса, Wk
|
Удовлетворенный
спрос, Муk
|
|
1
|
2450
|
99
|
2425,5
|
|
2
|
2580
|
98
|
2528,4
|
|
Итого:
|
5030
|
|
4953,9
|
Удовлетворенный спрос по k-ой СТО:
Муk = MkWk/100, (1.9)
где: Wk - удовлетворенный спрос, %. Общий годовой
спрос:
М = ΣМk = 5030 обращений. (1.10)
Общий удовлетворённый годовой спрос на всех СТО:
Му = ΣМуk = 4954 обращений. (1.11)
Неудовлетворённый спрос по всем СТО для автомобилей Lifan и Great Wall:
Мну = М - Му = 5030 - 4954 = 76
обращений. (1.12)
По данной оценке можно увидеть, что в данном регионе спрос на
обслуживание автомобилей Lifan и Great Wall удовлетворен, что говорит о хорошо
организованной работе с клиентами, либо о насыщенности рынка тяжелого
коммерческого транспорта.
1.3
Прогнозирование динамики изменения спроса на услуги
1.3.1
Прогнозируемый спрос на услуги автосервиса
Оценка спроса базируется на результатах экспертной оценки
текущего состояния спроса и перспектив развития для рассматриваемой
совокупности СТО региона.
При этом экспертиза проводится по показателям, оценивающим
возможность увеличения числа обращений после развития конкретного СТО, что
определяется:
как правило, сложившейся конъюнктурой рынка услуг по ремонту
автомобилей в регионе и динамикой её изменения выявляемой на основе опыта
компетентных представителей (экспертов) рассматриваемых СТО;
финансовыми возможностями развития СТО;
наличием земельного участка, его достаточной площадью,
производственными площадями и их резервом, технической возможностью
реконструкции и расширения СТО.
Экспертами в выбранных организациях выступают компетентные
специалисты, занимающиеся вопросами менеджмента, маркетинга, управления
производством (технический директор, коммерческий директор, его заместители,
специалисты планирующих подразделений, сервис-менеджер и менеджер по приёмке и
выдаче автомобилей, мастера, начальник производства, начальники смен и др.).
Таблица 1.4
Экспертная оценка прогнозирования спроса по СТО автомобилей Lifan и Great Wall
|
СТО k
|
Муk
|
αij ЭКСПЕРТЫ
|
Mi
|
Mср
|
σ
|
|
|
1
|
2
|
3
|
4
|
5
|
6
|
7
|
|
|
|
|
1
|
2425
|
1,1
|
1,1
|
1,05
|
1,1
|
1,05
|
1,1
|
1,05
|
2616
|
2671
|
307
|
|
2
|
2528
|
1,05
|
1,1
|
1,1
|
1,1
|
1,05
|
1,05
|
1,05
|
2708
|
|
|
Возрастание спроса по каждой СТО на ближайшие 3 года:
Mi = ΣMуk∙αij/7 (1.13)
Среднее возрастание спроса каждой СТО:
Mср = ΣMi/2 = (2616+2726) /2 =
2671 обращений. (1.14)
Границы доверительного интервала (среднее квадратическое
отклонение):
σ = 
= 
= 63 (1.15)
обращения.
Коэффициент вариации:
v = σ/Мср
(1.16), v =63/2671== 0,023,
следовательно, нормальный закон распределения возможен.
Тогда при доверительной вероятности - 90%, доверительный интервал:
Мср±zα σ =2671±1,28∙63 = 2671±80 (1.17)
обращений, где: zα =
1,28 - нормированная случайная величина для задаваемой доверительной
вероятности.
- Пессимистический прогноз; 2751 - Оптимистический прогноз.
Таким образом, для данных условий гарантируемый спрос на услуги
может быть принят по нижней границе в размере до Мmin = 2591 обращений (заездов).
Условно прикрепляемое количество автомобилей модели Lifan и Great Wall:
Аj = Мmax∙L/ (Lг∙β) = 2751∙14,5/
(21,6∙0,76) = 2430 ед. (1.18)
Среднее число заездов одного автомобиля Lifan и Great Wall:
d = Мmax/Аj = 2751/2430 = 1,13 заездов. (1.19)
1.4 Расчета
годового объема работ
Расчет производится по методике источника [4].
Исходные данные приведены в таблице 1.5.
Таблица 1.5
Исходные данные для расчета годового объема работ
|
№ п/п
|
Наименование
|
Обозначение
|
Един. измерения
|
Lifan
|
Great Wall
|
|
1
|
Годовое
количество обслуживаемых автомобилей
|
NСТО
|
ед
|
1580
|
850
|
|
2
|
Годовое
количество автомобиле-заездов
|
d
|
ед
|
1785
|
966
|
|
3
|
Среднегодовой
пробег
|
Lг
|
Тыс. км
|
20000
|
25000
|
|
4
|
LH1
|
Тыс. км
|
10000
|
10000
|
|
5
|
Нормативная
периодичность ТО-2
|
LH2
|
Тыс. км
|
20000
|
20000
|
|
6
|
Нормативная
трудоемкость ЕО
|
tHEO
|
Чел. - ч
|
0,2
|
0,2
|
|
7
|
Нормативная
трудоемкость ТО-1
|
tH1
|
Чел. - ч
|
2,7
|
2,8
|
|
8
|
Нормативная
трудоемкость ТО-2
|
tH2
|
Чел. - ч
|
3,5
|
3,7
|
|
9
|
Нормативная
трудоемкость ТР
|
tHTP
|
Чел. - ч
|
2
|
2
|
|
10
|
Коэффициенты
корректирования периодичности, ТО
|
K1п K2п K3п
|
|
|
|
|
11
|
Коэффициенты
корректирования трудоемкости ЕО, ТО и ТР:
|
K1 K2 K3 K4 K5
|
|
1 1
|
1 1
|
|
12
|
Количество
рабочих дней в году
|
DРГ
|
дней
|
364
|
364
|
|
13
|
Количество смен
|
С
|
|
1,5
|
1,5
|
|
14
|
Продолжительность
смены
|
Tсм
|
ч
|
8
|
8
|
|
|
|
|
|
|
|
1.4.1 Расчет
производственной программы по ТР легковых автомобилей
Производственная программа ООО "Автоцентр
"Северный"" включает в себя выполнение технических обслуживаний,
периодичность и перечень работ по которым указаны в нормативно-технической
документации на автомобиль, а также текущие ремонты, осуществляемые по
потребности. Также СТО располагает автосалоном, поэтому на ней проводится
предпродажная подготовка и гарантийное обслуживание автомобилей.
Перечень выполняемых работ отделом сервиса:
· компьютерная диагностика,
регулировка (профилактика) и ремонт двигателей автомобилей;
· диагностика и ремонт
ходовой части автомобилей;
· компьютерная диагностика
и ремонт автоматических и механических коробок передач;
· диагностика и ремонт
электрических систем автомобилей;
· весь комплекс по
профилактике топливной системы;
· частичная и полная замена
масла в АКПП
· диагностика систем
кондиционирования.
1.4.2 Расчет
годового объема работ по ТО и ТР
Годовой объем работ по ТО и ТР в чел. - ч [4]:
, (1.20)
где
- количество условно обслуживаемых на
станции автомобилей;
- среднегодовой пробег автомобиля, км;
- удельная трудоемкость по ТО и ТР, чел. - ч /1000 км.
В связи с тем, что в доступной литературе значение удельной
нормативной трудоемкости ТО и ТР сравнительно новых автомобилей Lifan и Great Wall
отсутствует, значение
принимается согласно данным, полученным с
предприятия (а именно: нормативным трудоемкостям ТО-1 и ТО-2,
среднестатистической трудоемкости ТР, среднестатистическому процентому
распределению этих видов работ) равным
Скорректированная трудоемкость ТО и ТР [4]:
, (1.21)
где
- нормативная удельная трудоемкость;
- коэффициент, учитывающий число рабочих постов станции;
- коэффициент, учитывающий климатический район.
Значения
и
принимаются:
;
[4].
чел. - ч/1000 км;
Данная трудоемкость предусматривает выполнение всех работ (100%)
по ТО и ТР на предприятии автосервиса. Реально же на СТО выполняется 90-95% для
а/м Lifan и Great Wall,
остальная часть работ может выполняться самим владельцем.
Мы принимаем, что на реконструируемой СТО выполняется 95% от всего
объема работ ТО и ТР, т.е.
Подставим эти данные в формулу 1.20
Годовой объем работ по ТО и ТР:
чел. - ч.
1.4.3 Расчет
годового объема уборочно-моечных работ
Годовой объем уборочно-моечных работ в чел. - ч. [4]:
, (1.22)
где
- число заездов в год на уборочно-моечные
работы;
- трудоемкость уборочно-моечных работ, чел. - ч.
чел. - ч. [4]
Уборочно-моечные работы на рассматриваемой СТО выполняются
непосредственно перед ТО и ремонтом, и как самостоятельный вид услуг для 15%
условно обслуживаемых автомобилей с периодичностью 1000 км
; (1.23)
заездов;
чел. - ч.
1.4.4 Расчет
годового объема работ по приемке и выдаче автомобилей
Годовой объем работ по приемке и выдаче автомобилей в чел. -
ч. [4]:
, (1.24)
где
- средняя трудоемкость работ по приемке и
выдаче автомобилей, чел. - ч. принимается
чел. - ч. [4]
чел. - ч.
1.4.5 Расчет
годового объема работ по предпродажной подготовке
Годовой объем работ по приемке и выдаче автомобилей в чел. -
ч. [4]:
, (1.25)
где
- количество продаваемых автомобилей,
ед.;
- трудоемкость предпродажной подготовки, чел. - ч.
чел. - ч.
1.4.6 Расчет
объема вспомогательных работ и общего объема работ на СТО
Суммарный годовой объем работ на СТО [4]:
; (1.26)
Учитывая уровень технического оснащения ООО "Автоцентр
"Северный"", годовой объём вспомогательных работ принимается в
размере 10% от суммарного объёма работ за год на СТО.
Объем вспомогательных работ за год [4]:
=0,1
(
) (1.27)
=0,1
(36572+2262+972+1080) =4087 чел. - ч.
= 36572+2262+972+1080+4087= 44975 чел. - ч.
1.5
Распределение годового объема работ по видам и месту выполнения
1.5.1
Распределение годового объема работ по ТО и ТР
Для определения объёма работ каждого участка полученный общий
годовой объём работ по ТО и ТР распределяется по видам работ и месту
выполнения. Распределение объёма работ в зависимости от числа рабочих постов
принимается для числа постов от 11 до 20 [4].
Таблица 1.6
Распределение годового объема работ ТО и ТР по виду и месту
выполнения
|
Виды работ
|
Распределение
объема работ ТО и ТР
|
|
По видам
|
По месту
выполнения
|
|
%
|
Чел. - ч.
|
на постах
|
на участках
|
|
|
|
%
|
Чел. - ч.
|
%
|
Чел. - ч.
|
|
1
|
2
|
3
|
4
|
5
|
6
|
7
|
|
Диагностические
|
4
|
1463
|
100
|
1463
|
-
|
-
|
|
ТО
|
15
|
5486
|
100
|
5486
|
-
|
-
|
|
Смазочные
работы
|
3
|
1097
|
100
|
1097
|
-
|
-
|
|
Развал и
схождение колес
|
4
|
1463
|
100
|
1463
|
-
|
-
|
|
Ремонт и
регулировка тормозов
|
3
|
1097
|
100
|
1097
|
-
|
-
|
|
Электротехнические
работы
|
4
|
1463
|
80
|
1170
|
20
|
293
|
|
Работы по
приборам системы питания
|
4
|
1463
|
70
|
1024
|
30
|
439
|
|
Аккумуляторные
работы
|
2
|
732
|
10
|
73
|
90
|
659
|
|
Шиномонтажные
работы
|
2
|
732
|
30
|
220
|
70
|
512
|
|
Ремонт
агрегатов и узлов
|
10
|
3658
|
50
|
1829
|
50
|
1829
|
|
Кузовные и
арматурные работы
|
25
|
9136
|
75
|
6852
|
25
|
2284
|
|
Противокоррозионные
и окрасочные работы
|
16
|
5851
|
100
|
5851
|
-
|
-
|
|
Слесарно-механические
работы
|
8
|
2925
|
-
|
-
|
100
|
2925
|
|
Итого
|
100
|
36572
|
75
|
27631
|
25
|
8941
|
На основании данных таблиц 1.6 и 1.7 производится расчёт
численности производственных и вспомогательных рабочих.
1.5.2
Распределение годового объема вспомогательных работ
Распределение объёма вспомогательных работ показано в таблице
1.7
Таблица 1.7
Распределение годового объема вспомогательных работ на СТО
|
Вид работ
|
%
|
Чел. - ч.
|
|
Обслуживание
оборудования, оснастки, инструмента
|
25
|
1020
|
|
Ремонт и
обслуживание инженерного оборудования, сетей, коммуникаций
|
20
|
818
|
|
Перегон
автомобилей
|
10
|
409
|
|
Приёмка,
хранение, выдача материальных ценностей
|
20
|
818
|
|
Уборка помещений
и территории
|
15
|
613
|
|
Обслуживание
компрессорного оборудования
|
10
|
409
|
|
Итого
|
100
|
4087
|
1.6. Расчет
численности производственных и вспомогательных рабочих
Расчет производится по методике [4]:
1.6.1 Расчет
численности производственных рабочих
К производственным рабочим относятся рабочие, непосредственно
выполняющие работы по ТО и Р автомобилей. Различают явочное (технологически
необходимое) и штатное число рабочих.
Годовой фонд времени явочного рабочего [4]:
, (1.28)
Где Фт - годовой фонд времени явочного рабочего, час;
Дрг - количество рабочих дней в году,СМ -
продолжительность смены, ч.
Количество рабочих дней в году [4]:
(1.29)
Где Дкг - число календарных дней в году
Дпр - число нерабочих дней СТО
Дв - число выходных дней в году
Годовой фонд времени "штатного" рабочего определяет
фактическое время, отработанное исполнителем непосредственно на рабочем месте.
Величина ФШ всегда меньше ФT за счёт
предоставления рабочим отпусков и невыходов по уважительным причинам
(выполнение государственных обязанностей, по болезни и прочее).
Величина ФШ [4]:
, (1.30)
где
- количество дней отпуска;
- количество дней пропущенных по уважительной причине.
Расчет численности производственных рабочих осуществляется по
каждому из видов технических воздействий по производственным участкам, зонам.
Технологически необходимое (явочное) PT и штатное
(списочное) PШ число рабочих [4]:
(1.31)
Где PT - численность явочных рабочих, чел;
ТГ - годовой объем работ по данной зоне, участку, чел.
- ч.
Согласно ОНТП - 01-91 при проектировании для расчёта
технологически необходимого числа рабочих годовой фонд времени ФT
принимают равным 2070 ч для производств с нормальными условиями труда и 1830 ч
для производств с вредными условиями. Годовой (эффективный) фонд времени Фш
рабочего для маляров составляет 1610 ч, а для всех других профессий рабочих
- 1820 часов.
РT = 40878/2070 = 20 чел.
РШ =40878/1820 = 23 чел.
Таблица 1.8
Результаты расчета общей численности рабочих СТО
|
Вид работ
|
Годовой объем
работ, чел. - ч.
|
Рт, чел
|
Рш, чел
|
|
|
расчетное
|
принятое
|
расчетное
|
принятое
|
|
ТО-ТР
|
36572
|
17,66
|
18
|
20,09
|
20
|
|
УМР
|
2262
|
1,09
|
1
|
1,24
|
1
|
|
Приемка и
выдача
|
972
|
0,46
|
1
|
0,53
|
1
|
|
ПСО
|
1080
|
0,52
|
1
|
0,59
|
1
|
|
Итого
|
40878
|
19,74
|
21
|
22,46
|
23
|
Результаты расчета числа производственных рабочих,
выполняющих определенный вид работ, приведены в табл.1.9
Численность производственных явочных и списочных рабочих
Таблица 1.9
|
Виды работ
|
Численность
производственных рабочих, чел
|
|
|
На рабочих
постах
|
На
производственных участках
|
|
|
Явочных
|
Списочных
|
Явочных
|
Списочных
|
|
|
Расчет
|
Принят
|
Расчет
|
Принят
|
Расчет
|
Принят
|
Расчет
|
Принят
|
|
Диагностические
|
0,7
|
1
|
0,8
|
1
|
-
|
-
|
-
|
|
ТО
|
2,65
|
3
|
3,01
|
3
|
-
|
-
|
-
|
-
|
|
Смазочные
работы
|
0,53
|
2
|
0,6
|
2
|
-
|
-
|
-
|
-
|
|
Развал и
схождение колес
|
0,7
|
|
0,8
|
|
-
|
-
|
-
|
-
|
|
Ремонт и
регулировка тормозов
|
0,53
|
|
0,6
|
|
-
|
-
|
-
|
-
|
|
Электротехнические
работы
|
0,56
|
1
|
0,64
|
1
|
0,14
|
1
|
0,16
|
1
|
|
Работы по
приборам системы питания
|
0,5
|
|
0.56
|
|
0,21
|
|
0,24
|
|
|
Аккумуляторные
работы
|
0,04
|
|
0,05
|
|
0,32
|
|
0,36
|
|
|
Шиномонтажные
работы
|
0,1
|
1
|
0,12
|
1
|
0,25
|
1
|
0,28
|
1
|
|
Ремонт
агрегатов и узлов
|
0,88
|
|
1
|
|
0,88
|
|
1
|
|
|
Кузовные и
арматурные работы
|
3,31
|
3
|
3,77
|
4
|
1,1
|
1
|
1,26
|
1
|
|
Противокоррозионные
и окрасочные работы
|
3, 19
|
3
|
3,63
|
4
|
-
|
-
|
-
|
-
|
|
Слесарно-механические
работы
|
-
|
-
|
-
|
-
|
1,73
|
2
|
1,97
|
2
|
|
Итого
|
13,69
|
14
|
15,58
|
16
|
4,63
|
5
|
5,27
|
5
|
Общая
численность явочных и списочных рабочих составляет соответственно 19 и 21
человек. Отличие числа явочных рабочих от значения, полученного в таблице общей
численности ранее, объясняется меньшим фондом рабочего времени для работников,
производящих окрасочные работы.
1.6.2 Расчет
численности вспомогательных рабочих
Нормативная численность вспомогательных рабочих
составляет 30% от списочной численности
производственных рабочих:
, (1.32)
чел.
Распределение вспомогательных рабочих по видам работ согласно
ОНТП-01-91 представлено в табл. 1.10
Таблица 1.10
Распределение численности вспомогательных рабочих
|
Вид работ
|
Численность
вспомогательных рабочих
|
|
%
|
человек
|
|
Обслуживание и
ремонт технологического оборудования, оснастки, инструмента
|
16
|
1
|
|
Содержание
инженерных сетей
|
16
|
1
|
|
Приемка,
хранение, выдача материальных ценностей
|
16
|
1
|
|
Уборка
помещений и территории
|
33
|
2
|
|
Обслуживание
компрессорного оборудования
|
16
|
1
|
|
Итого
|
100
|
6
|
1.7 Расчет
числа постов
Число постов ТО и ТР определяется по формуле [4]:
, (1.33)
где
- число постов;
- годовой объем постовых работ, чел. - ч;
- коэффициент неравномерности поступления автомобилей на пост;
- число рабочих дней в году;
- число смен;
- коэффициент использования поста;
- среднее число рабочих, одновременно работающих на посту, чел.
- коэффициент неравномерности поступления автомобилей на пост -
принимается равным 1,15 [4];
- коэффициент использования поста - принимается равным 0,9 [4];
- среднее число рабочих, одновременно
работающих на посту - принимается равным 1 человек [4], для постов
уборочно-моечных работ и предпродажной подготовки - 1 человек.
Число постов ТО и ТР при трудоемкости постовых работ:
постов.
Число постов уборочно-моечных работ:
пост.
Число постов Приемки и выдачи + постов ПСО (целесообразно
объединить):
пост.
Всего рабочих постов 10.
Таблица 1.11
Результаты расчетов числа постов на СТО
|
Вид работ
|
Годовой объем
работ, чел. - ч.
|
Число рабочих
постов, ед.
|
|
|
Расчетное
|
Принятое
|
|
Диагностические
|
1463
|
0,43
|
2
|
|
ТО
|
5486
|
1,6
|
|
|
Смазочные
работы
|
1097
|
0,32
|
|
|
Развал и схождение
колес
|
1463
|
0,43
|
1
|
|
Ремонт и
регулировка тормозов
|
1097
|
0,32
|
|
|
Электротехнические
работы
|
1170
|
0,34
|
|
|
Работы по
приборам системы питания
|
1024
|
0,3
|
1
|
|
Аккумуляторные
работы
|
73
|
0,02
|
|
|
Шиномонтажные
работы
|
220
|
0,06
|
|
|
Ремонт
агрегатов и узлов
|
1829
|
0,53
|
|
|
Кузовные и
арматурные работы
|
6852
|
2
|
2
|
|
Противокоррозионные
и окрасочные работы
|
5851
|
1,71
|
2
|
|
Итого
|
27631
|
8,06
|
8
|
В зависимости от конкретных условий могут быть
запроектированы автомобиле-места ожидания и хранения, размещаемые как в
закрытых помещениях, так и на открытых площадках. Автомобиле-места ожидания
- это места, занимаемые автомобилями, ожидающими постановки их на посты ТО
и ТР. При необходимости автомобиле-места ожидания могут использоваться для
выполнения определенных видов работ ТО и ТР, поэтому расстояния на этих
автомобиле-местах между автомобилями и элементами зданий должны быть такие же,
как и для рабочих постов.
Автомобиле-места хранения предусматриваются для
готовых к выдаче автомобилей и автомобилей, принятых в ТО и ТР.
Общее число автомобиле-мест хранения автомобилей, ожидающих
обслуживания и готовых к выдаче, принимается из расчета 3 места на один рабочий
пост.
Число автомобиле-мест хранения:
мест.
1.8 Расчет
производственных площадей
Площадь зоны ТО и ТР (без малярно-кузовного цеха)
рассчитываем по удельным площадям [4]:
, (1.34)
Где
- площадь, занимаемая автомобилем в плане, м2;
- число постов;
- коэффициент плотности расстановки
постов, принимаем
характерный для двустороннего
расположения постов [4].
м2.
Площадь участков рассчитываем по площади, занимаемой оборудованием
и коэффициенту плотности его расстановки:
, (1.35)
где
- суммарная площадь горизонтальной
поверхности по габаритным размерам оборудования, м2;
- коэффициент плотности расстановки оборудования.
Значение коэффициента плотности расстановки оборудования для
соответствующих производственных участков принимаем согласно ОНТП-01-91.
Поскольку в рассчитываемых помещениях имеются рабочие посты, то к
расчетной площади прибавляется площадь, занимаемая постами.
В настоящее время на СТО существует 5 специализированных участков
(шиномонтажный, моечный, по предпродажной подготовке, диагностический, стенд
развал-схождения).
Площадь шиномонтажного участка:
м2.
Площадь моечного участка принимается из расчета 40 м2
на один пост (для легковых автомобилей) [4]:
м2.
Площадь участка по предпродажной подготовке рассчитываем по
формуле:
м2.
Площадь диагностического участка:
м2.
Площадь участка развал-схождения:
м2.
Площадь малярно-кузовного цеха, ввиду сложности производства и
невозможности точно установить необходимую площадь лишь из числа постов и специализированных
участков, а также из числа рабочих, принимаем по данным, полученным с
предприятия, а именно:
400 м2. Суммарная площадь всех
производственных площадей составит:
(1.34)
м2
1.9 Расчет
площадей складских и вспомогательных помещений
Площадь технических помещений может быть принята из расчета
5-10%, а складских 4-10% от площади производственных помещений. Таким образом,
площадь технических помещений принимаем из расчета 10% от общей
производственной площади равной 783 м2:

м2.
Площадь складских помещений принимаем из расчета 10% от общей
производственной площади равной:

м2
Площадь помещений для обслуживания клиентов определяется из
расчета 9 м2 на один рабочий пост [4]:
,
где Х - количество постов.
м2.
1.10
Обоснование схемы генерального плана
Данная станция технического обслуживания расположена в городе
Великий Новгород на улице Северная д15. Въезд и выезд на территорию
осуществляется непосредственно с Северной улицы. На территории располагается
производственный корпус с расположенными в нем сервисной станцией, автосалоном
и административными помещениями, кафе. Помимо этого предусматриваются стоянки
для автомобилей ожидающих обслуживание, прошедших обслуживание, автомобилей
работников станции и для новых автомобилей. Так же на территории еще имеется
отдельные помещения охраны.
Отдельное место отведено для размещения мусорных контейнеров.
Территория станции благоустраивается, проезды и площадки
имеют твердое покрытие с организацией отвода поверхностных стоков на очистные
сооружения.
Основными показателями генерального плана являются площадь и
плотность застройки.
Площадь застройки определяется как сумма площадей, занятых
зданиями и сооружениями всех видов, включая навесы, открытые стоянки
автомобилей и складов, резервные участки, намеченные в соответствии с заданием
на проектирование. В площадь застройки не включаются площади занятые
отмостками, тротуарами, автомобильными дорогами, зелёными насаждениями,
открытыми стоянками автомобилей индивидуального пользования. Плотность
застройки предприятия определяется отношением площади застройки к плотности
застройки предприятия. Плотность застройки предприятия определяется в
соответствии с требованиями СНиП П-89-80. Коэффициент использования территории
определяется отношением площади, занятой зданиями, открытыми площадками,
автомобильными дорогами, тротуарами и озеленением, к общей площади предприятия.
Территория СТО изолирована от проезжей части и пешеходов,
территория огорожена
Производственный корпус СТО одноэтажный. Производственная,
складская и административная части СТО составляют одно здание, но при этом
чётко разделены. Движение автомобилей по территории станции организовано без
пересечения сплошных транспортных потоков.
Генеральный план реконструируемого предприятия
"Автоцентр "Северный"" представлен в графическом материале.
1.11
Технологическая планировка главного производственного корпуса
Разработка планировки главного производственного корпуса
(плана первого этажа) предприятия выполняется по следующей последовательности:
уточняется состав производственных зон, участков и складов;
определяется общая площадь здания;
выбирается сетка колонн, строительная схема и габаритные
размеры зданий с учётом требований по унификации объёмно - планировочных
решений;
при принятой строительной схеме прорабатываются варианты
компоновочных решений производственного корпуса.
Разрабатывая строительные конструкции производственных
зданий, следует анализировать материалы и состояние полов, отделки стен,
потолков и панелей помещений, которые должны отвечать требованиям ОНТП.
При размещении производственно-складских помещений необходимо
учитывать, что некоторые производственные и складские помещения согласно
требованиям ведомственных строительных норм (ВСН) должны располагаться в
отдельных изолированных помещениях. Там где находятся постоянные рабочие места,
следует иметь естественное освещение и эвакуационные выходы. Надо иметь в виду,
что санитарно-бытовые помещения должны иметь входы непосредственно из
производственно-складских зон, а не с территории предприятия.
При размещении постов ТО и ТР необходимо обратить внимание на
устройство и удобство въездов и выездов ПС на посты, соблюдение нормируемых на
постах расстояний, технологической связи постов с соответствующими участками и
между собой.
План главного производственного корпуса представлен в
графическом материале.
1.12 Расчет
кузовного участка
1.12.1 Выбор
и определение количества технологического оборудования
Перечень и состав технологического оборудования
устанавливается на основе номенклатуры и трудоёмкости выполняемых на участке
работ с учётом выполнения сертификационных требований.
При выборе технологического оборудования учитывается
следующее:
· технические характеристики и область
применения данного вида оборудования;
· приспособленность оборудования для
автомобилей, обслуживаемых на данной СТО;
· организацию и соблюдение технологии работ
на СТО;
· экономические и экологические показатели.
Поступающие на станцию автомобили требуют проведения самых
различных по наименованию и объёму работ ТО и ТР, и поэтому технологический
процесс должен обладать достаточной гибкостью.
Для данного предприятия кузовной участок будет включать в
себя жестяницкие и сопутствующие сварочные работы.
Сварочные работы служат для заварки трещин, поломок, а также
креплению кронштейнов, уголков. На СТО применяют 2 вида сварки: электродуговую
и газовую. Электрической сваркой ремонтируют массивные детали: рама, кузов.
Газовой сваркой тонкостенные детали.
Жестяницкие работы представляют из себя восстановление
геометрии автомобилей, а также монтаж стекла, которое может быть лобовым, а
также задним и боковым.
Прежде чем рассчитать количество оборудования, необходимо его
выбрать в соответствии с предназначением.
Все технологическое оборудование можно разделить на два вида:
основное оборудование (разборочно-сборочное, станочное,
специальное);
вспомогательное оборудование (подъёмно-транспортное,
складское, подъёмно-смотровое, общего назначения).
Для получения качественного результата работ и сравнения
технических показателей выбираем оборудование различных фирм производителей.
Технические характеристики взяты из каталогов профессионального оборудования.
Необходимое количество основного оборудования определяется
расчётом по трудоёмкости работ по формуле [1]:
QОБ = TОБ / (ДРГ TСМ С
h ОБPОБ), (1.35)
где TОБ - годовой объем постовых работ, чел-ч;
ДРГ - число рабочих дней в году;СМ -
продолжительность смены, ч;
С - число смен;
hОБ - коэффициент использования оборудования по
времени;ОБ - среднее число рабочих, одновременно работающих на
данном виде оборудования, чел;
h - коэффициент использования оборудования по
времени - принимается равным 0,75 [1].
Например, число напольных передвиж. станков для обдир. -
шлиф. работ, стапелей для исправления геометрии кузова, точечных сварочных
аппаратов, сварочных полуавтоматов принимаем по 1 каждого.
Количество производственного инвентаря (верстаков, стеллажей
и так далее), который используется в течение всей рабочей смены, определяется
по числу работающих в наиболее загруженную смену.
Кузовной участок, исходя из его назначения и перечня
выполняемых работ, оснащается следующим технологическим оборудованием,
инструментом и приспособлениями (см. табл.1.12):
Таблица 1.12.
Сводная ведомость оборудования кузовного участка
|
№ п/п
|
Наименование
|
Количество
|
Модель (тип)
|
Краткая технич.
хар-ка
|
Завод-изготовитель
|
Габаритные
размеры, мм
|
Занимаемая
площадь, м2
|
Потребл.
мощность, кВт
|
Примечание
|
|
1
|
2
|
3
|
4
|
5
|
6
|
7
|
8
|
9
|
10
|
|
1
|
Верстак
слесарный
|
2
|
ШП-17
|
двухтумбовый,
12 ящиков
|
ГАРО
|
1500×1000×950
|
1,5
|
-
|
-
|
|
2
|
Стол для
контроля и сортировки деталей
|
1
|
СТ-5
|
-
|
-
|
2100×1500×1000
|
3,15
|
-
|
-
|
|
3
|
Стеллаж
полочный (для деталей)
|
3
|
FZM
Stoker
|
6 полок
|
-
|
3000×450×3000
|
1,35
|
-
|
-
|
|
4
|
Эл. ножницы
ручные
|
1
|
ИЗ-5403
|
макс. толщина
стального листа - 2,5 мм
|
ГАРО
|
270×105×250
|
0,03
|
1,5
|
устанавл. на
стол
|
|
5
|
Пост газовой
сварки и резки
|
1
|
-
|
кислород. и
ацэтилен. баллоны, редукторы, рукава, горелка ГС-53, резак "Маяк-1"
|
ГАРО
|
1,17
|
-
|
-
|
|
6
|
Штатив для
баллона с кислородом и ацетиленом
|
3
|
-
|
-
|
самодел.
|
300×300×1700
|
0,27
|
-
|
-
|
|
7
|
Точечный
сварочный аппарат
|
1
|
МТ-601
|
толщ. св. листа
до 4 мм
|
|
700×700×300
|
0,49
|
16,9
|
-
|
|
8
|
Электросварочный
пост
|
1
|
Комбинированная
сварочная установка
|
Сварочный
выпрямитель ПСО-500, электроды, провода, механизм подачи проволоки, баллон с защитным
газом
|
-
|
1980×700×1700
|
1,39
|
20,9
|
-
|
|
9
|
Передвиж.
станок для обдир. - шлиф. работ
|
1
|
ОШ-1
|
Æ круга
350 мм, 1500 об/мин
|
ГАРО
|
420×535×х1075
|
0,22
|
3
|
-
|
|
10
|
Устройство
местной вытяжки
|
2
|
SERF/SP
|
рукав длиной 10
метров
|
ГАРО
|
1000×1000
|
1,0
|
1,1
|
-
|
|
11
|
Плита правочная
|
1
|
-
|
комплект
инструмента
|
-
|
2000×1500×150
|
3,0
|
-
|
-
|
|
12
|
Стеллаж для
стекол
|
1
|
-
|
СТ - 032 - 1800
|
-
|
1592×825×1500
|
1,38
|
-
|
-
|
|
13 1
|
Сварочный
полуавтомат
|
1 3
|
У - 200 П
|
Тип -
передвижной. Напряжение питания, В - 380. Потребляемая мощность, кВт - 8,0.
Количество режимов сварки, шт. - 4. Диапазон тока сварки, А - 30-200. Масса,
кг - 93
|
-
|
900×380×550
|
0,34
|
2,8
|
-
|
|
11
|
2
|
33
|
4
|
5
|
6
|
7
|
8
|
9
|
10
|
|
14
|
Стенд-кантователь
для ремонта кузовов а/м
|
1
|
-
|
рама, силовая
балка, комплект инструмента
|
-
|
4600×1500×1700
|
6,9
|
1,1
|
-
|
|
15
|
Станция силовая
гидравлическая
|
1
|
СВ1-40
|
давл.30 кгс/см3,
подача 10л/мин.
|
ГАРО
|
650×350×790
|
0,23
|
1
|
-
|
|
16
|
Измерительная
система для стапеля
|
1
|
EMS 1 A - Light
|
тип -
передвижной
|
TROMMELBERG
|
600×600×1400
|
0,36
|
1,15
|
электронная
диагональная измерительная система
|
|
17
|
Станция
рихтовочная со споттером
|
1
|
Spot Power 230 Evolution
|
Напр.220В, 380
В Станции включают сервисную тележку с инструментальной доской и полками,
сварочные аппараты Spot power Classic/Evolution и различные приспособления
для рихтовки
|
STANZANI
|
1150 ×750 ×1190
|
0,86
|
13,2
|
-
|
|
18
|
Стапель для
исправления геометрии кузовов а/м
|
1
|
B 19
G
|
Платформа-рама
с односторонним гидравлическим подъемником, 2 силовые стойки, комплект
инструмента
|
ТROMME LBERG
|
5500×2100×560
|
11,55
|
2
|
-
|
|
19
|
Кран балка
подвесная
|
1
|
Р. Болгария
|
Кран мостовой
подвесной однобалочный г/п 2 т
|
Болгария
|
7800×1600×1200
|
12,48
|
2,54
|
-
|
|
20
|
Набор
приспособлений и инструмента для правки кузовов
|
1
|
Охта - 10
|
Набор
гидравлического инструмента
|
-
|
-
|
-
|
-
|
-
|
|
21
|
Набор
электроинструмента
|
1
|
Makita
|
шлифовальная
машинка, угло шлифовальная машинка, электрозубило с комплектом насадок,
шуруповерт, электродрель.
|
-
|
-
|
-
|
-
|
-
|
|
22
|
Набор для
мелкого кузовного ремонта
|
1
|
DS 20
|
-
|
-
|
-
|
-
|
-
|
-
|
|
11
|
2
|
33
|
4
|
5
|
6
|
7
|
8
|
9
|
10
|
|
23
|
Тележка
инструментальная
|
1
|
TBR
104007
|
-
|
TROMMELBERG
|
458×680×995
|
0,31
|
-
|
-
|
|
24
|
Тиски слесарные
|
1
|
ТСМ - 180
|
-
|
-
|
-
|
|
-
|
устанавливаются
на верстак
|
|
25
|
Набор
рихтовочных молотков 10пр
|
1
|
Toya
34000
|
-
|
-
|
-
|
-
|
-
|
-
|
|
26
|
Пила
электрическая
|
1
|
Toya
79340
|
Мощность 1200
Вт
|
-
|
-
|
-
|
1,2
|
-
|
|
27
|
Набор
автомеханика (большой)
|
1
|
И - 148
|
Содержит 44
предмета, масса 12 кг.
|
-
|
-
|
-
|
-
|
-
|
|
28
|
Ящик для песка
|
1
|
5133
|
-
|
ГАРО
|
500х500х1000
|
0,25
|
-
|
на стене над
ящиком с песком размещается противопожарный щит
|
|
Суммарное
значение:
|
36,55
|
67,45
|
|
|
|
|
|
|
|
|
|
|
|
|
1.12.2
Уточненный расчет производственной площади кузовного участка
Площадь участка [4]:
(1.36)
где fob - суммарная площадь горизонтальной проекции по габаритным размерам
оборудования, м2 (см. табл.1.20);п - коэффициент
плотности расстановки оборудования, для кузовного участка принимается равным Kп
= 4 [1].
Тогда площадь, занимаемая участком равна:
Принимается
так как территория предприятия может
позволить такое пространство и при этом расположение оборудования будет более
удобным.
1.12.3
Обоснование технологической планировки кузовного участка
Расстановка оборудования на участках должна выполняться с
учетом необходимых условий техники безопасности, удобства обслуживания и
монтажа оборудования при соблюдении нормативных расстояний между оборудованием,
между оборудованием и элементами зданий.
Кузовной участок относится к группе "горячих цехов"
и может размещаться отдельно или в общем блоке помещений, располагаемых в
основном производственном корпусе или вспомогательном (специальном) здании.
Участок допускается отделять от помещений ТО и ТР перегородкой из негорючих
материалов высотой не менее 4м для обеспечения пропуска подъемно-транспортных
средств. Располагать этот участок следует с подветренной стороны здания.
Планировка кузовного участка представлена в графическом
материале. Разработка планировочных решений участка производится в соответствии
с технологией работ, требованиями научной организации труда, ОНТП, СНиП и ВСН.
.13. Расчет
технико-экономических показателей кузовного участка
.13.1
Исходные данные для расчета
Завершающей стадией реконструкции является анализ
технико-экономических показателей, который проводится с целью выявления степени
технического совершенства и экономической целесообразности разработанных
проектных решений СТО.
Номенклатура показателей для оценки проектов СТО достаточно
большая. Наряду с технологическими показателями (число производственных
рабочих, число рабочих постов, уровень механизации процессов ТО и ТР и пр.) и
строительно-планировочными (общая площадь участка, площадь застройки, плотность
застройки, площадь производственно-складских помещений, площадь
административно-бытовых помещений и пр.) она включает показатели стоимости
строительства, уровня рентабельности, сроков окупаемости капитальных вложений и
ряд других.
Исходные данные для расчета определены на основании
вышеизложенных расчетов и сведены в табл.1.13. Дальнейший расчет производится
по методике источника [5].
Таблица 1.13
Исходные данные
|
№
|
Показатели
|
Условные
обозначения
|
Значения
|
|
1
|
Площадь участка
|
S
|
200
|
|
2
|
Стоимость 1 м2,
руб.
|
P
|
15000
|
|
3
|
Количество
рабочих, чел
|
N
|
5
|
|
4
|
Годовой объем
работ на участке
|
Туч
|
9136
|
|
5
|
Часовая ставка
|
Сr
|
150
|
|
6
|
Коэффициент
инфляции
|
Kи
|
1,07
|
1.13.2
Расчет стоимости основных производственных средств
Стоимость основных производственных фондов рассчитывается по
формуле [5]:
(1.36)
где Сзд - стоимость зданий, руб;
Соб - стоимость оборудования, руб;
Си - стоимость инвентаря, руб;
Стр - стоимость транспортных расходов, руб.
Стоимость зданий вычисляется по формуле [5]:
(1.37)
Тогда
Стоимость оборудования, которое необходимо приобрести на участок,
приведена в таблице 1.14.
Таблица 1.14
Списочный состав оборудования
|
Наименование
оборудования
|
Марка
|
Кол-во, ед.
|
Цена за ед.
Руб.
|
Стоимость
оборудования, руб.
|
Срок полезного
использования, лет
|
Норма
амортизации
|
Сумма
амортизации, руб.
|
|
1
|
2
|
3
|
4
|
5
|
6
|
7
|
8
|
|
Верстак
слесарный
|
ШП-17
|
2
|
7400
|
14800
|
10
|
0.1
|
1480
|
|
Стол для
контроля и сортировки деталей (разделочный)
|
СТ-5
|
1
|
10100
|
10100
|
10
|
0,1
|
1010
|
|
Стеллаж
полочный (для деталей)
|
3135
|
3
|
6500
|
19500
|
10
|
0.1
|
1950
|
|
Эл. ножницы
ручные
|
ИЗ-5403
|
10900
|
10900
|
10
|
0.1
|
1090
|
|
Пост газовой
сварки и резки
|
-
|
1
|
10650
|
10650
|
10
|
0.1
|
1065
|
|
Точечный
сварочный аппарат
|
МТ-601
|
1
|
11750
|
11750
|
10
|
0,1
|
1175
|
|
Сварочный
трансформатор
|
ПСО-500
|
1
|
10200
|
10200
|
10
|
0,1
|
1020
|
|
Передвиж.
станок для обдир. - шлиф. работ
|
ОШ-1
|
1
|
19850
|
19850
|
10
|
0,1
|
1985
|
|
Устройство
местной вытяжки
|
SERF/SP
|
1
|
18420
|
18420
|
10
|
0,1
|
1842
|
|
Стеллаж для
стекол
|
СТ - 032 - 1800
|
1
|
12500
|
12500
|
10
|
0,1
|
1250
|
|
Сварочный
полуавтомат
|
У - 200 П
|
1
|
29100
|
29100
|
10
|
0,1
|
2910
|
|
Стенд для
ремонта кузовов а/м
|
|
1
|
135600
|
135600
|
10
|
0,1
|
13560
|
|
Станция силовая
гидравлическая
|
СВ1-40
|
1
|
22170
|
22170
|
10
|
0,1
|
2217
|
|
Измерительная
система для стенда
|
EMS 1 A - Light
|
1
|
184700
|
204700
|
10
|
0,1
|
2047
|
|
Станция
рихтовочная со споттером
|
Spot Power 230 Evolution
|
1
|
225500
|
225500
|
10
|
0,1
|
22550
|
|
Кран балка
|
Р. Болгария
|
1
|
140370
|
140370
|
10
|
0,1
|
14037
|
|
Стапель для
исправления геометрии кузовов а/м
|
B 19
G
|
1
|
367500
|
367500
|
10
|
0,1
|
36750
|
|
Набор
приспособлений и инструмента для правки кузовов
|
Охта - 10
|
1
|
10300
|
10300
|
10
|
0,1
|
1030
|
|
Наборэлектроинструмента
|
Makita
|
1
|
18750
|
18750
|
10
|
0,1
|
1875
|
|
Набор для
мелкого кузовного ремонта
|
DS 20
|
1
|
18150
|
18150
|
10
|
0,1
|
1815
|
|
Тележка
инструментальная
|
|
1
|
10130
|
10130
|
10
|
0,1
|
1013
|
|
Итого:
|
|
|
|
1320940
|
10
|
0,1
|
132094
|
Стоимость инвентаря принимается по упрошенной схеме 20 процентов
от стоимости оборудования [5].
(1.38)
Стоимость транспортных расходов принимается равной 1% от стоимости
оборудования
(1.39),
Тогда стоимость основных производственных фондов равна:
1.13.3 Расчет
амортизации
Амортизация зданий [5]:
(1.40)
- норма амортизационных отчислений по зданиям и сооружениям,
принимаем
.
Тогда
Амортизация оборудования [5]:
(1.41)
- средняя норма амортизационных отчислений по оборудованию (см.
табл. 1.22),
Тогда
Общая сумма амортизационных отчислений [5]:
(1.42)
Тогда
1.13.4 Расчет
заработной платы
Исходные данные для расчета заработной платы приведены в
табл. 1.15.
Таблица 1.15. Исходные данные для расчета заработной платы
|
Показатели
|
Условное
обозначении
|
Единица
измерения
|
Числовое
значение
|
|
Годовой объем
работ
|
Туч
|
Чел. - ч.
|
9136
|
|
Часовая
тарифная ставка
|
Сr
|
Руб/час
|
150
|
|
Число рабочих
на участке
|
Nраб
|
чел
|
5
|
|
Коэффициент
премии
|
Кпр
|
-
|
1,3
|
|
Коэффициент
надбавок и доплат
|
Кдопл
|
-
|
1,25
|
Основной фонд заработной платы [5]:
(1.43)
Дополнительный фонд заработной платы для отпуска и для выплат за
неотработанное время принимается в размере 10% от основного фонда [5]:
(1.44)
Общий фонд заработной платы [5]:
(1.45)
Среднемесячная заработная плата одного рабочего [5]:
(1.46)
1.13.5
Расчет отчислений по заработной плате
Отчисления в пенсионный фонд составляет 22% от общего фонда
[10]:
(1.47),
Отчисления в фонд социального страхования составляют 2,9% от
общего фонда заработной платы [5]:
(1.48)
Отчисления в фонд медицинского страхования составляют 5,1 % от
общего фонда заработной платы [5]:
(1.49)
Отчисления в фонд социального страхования от несчастных случаев и
пожара составляют 1% от общего фонда заработной платы [5]:
(1.50)
Общая сумма отчислений (ЕСН) [5]:
(1.51)
Подоходный налог составляет 13% от налогооблагаемого фонда заработной
платы [5]:

(1.52)
Годовая заработная плата к выдаче [5]:
(1.53),
1.13.6 Расчет
хозяйственно-цеховых расходов и расходов, связанных с эксплуатацией
оборудования
Стоимость потребляемой энергии [10]
(1.54)
Где
- стоимость силовых затрат
- затраты на освещение
Стоимость затрат на освещение [5]:
(1.55)
Где
- количество осветительных приборов
- потребляемая мощность осветительного прибора
- время работы в сутки
- количество рабочих дней в году
- тарифная ставка на электричество
Тарифная ставка на электроэнергию на 2014 год составляет 3 р.40
коп за 1 кВт/час.
Для освещения помещения участка используется 17 светильников по 72
вата каждый. Освещение включено 12 часов в сутки.
Тогда
Стоимость силовых затрат [5]:
(1.56)
Приблизительная работа оборудования составляет:
Где
- суммарная мощность установленного оборудования
(см. табл.1.20)
- продолжительность смены
- коэффициент сменности
- коэффициент использования по мощности
- коэффициент использования по времени
Тогда
Суммарные затраты за электроэнергию составляют:
Затраты на текущий ремонт оборудования принимаем 7 процентов от
стоимости оборудования на участке [5]:
(1.57)
Прочие расходы, обычно, на предприятиях автосервиса составляют
примерно 5-10 процентов от расходов на электроэнергию и текущий ремонт
оборудования. В расчете принимается 5 процентов
(1.58)
1.13.7 Общие
цеховые расходы (накладные цеховые расходы)
Расходы на охрану труда, технику
безопасности и спецодежду принимаются в размере 4800 руб. на каждого
производственного рабочего участка [5]:
(1.59)
Расходы на содержания производственных площадей принимаются 3
процента от стоимости здания [5]:
(1.60)
Расходов на текущий ремонт помещений принимаются 5 процентов от
стоимости здания [5]:
(1.61)
Затраты на содержание, восстановление и ремонт инвентаря
принимаются в размере 6 процентов от стоимости инвентаря [5]:
(1.62),
Прочие затраты принимаются 10 процентов от суммы общегодовых
расходов [10]:
(1.63)
Результаты расчета хозяйственно - цеховых расходов сведены в таблицу
1.16.
Таблица 1.16
Смета цеховых и хозяйственных расходов на участке
|
№
|
Показатели
|
Обозначение
|
Ед. измерения
|
Числовое
значение
|
|
1. Расходы,
связанные с эксплуатацией оборудования
|
|
1
|
Стоимость
электроэнергии
|
СЭ
|
руб.
|
258587
|
|
2
|
Затраты на
техническое обслуживание и текущий ремонт оборудования
|
Стр. об
|
руб.
|
92466
|
|
3
|
Амортизация
оборудования
|
. Аоб
|
руб.
|
292594
|
|
4
|
Прочие расходы
|
Cпр
|
руб.
|
17552
|
|
Итого
|
руб.
|
661199
|
|
2. Общецеховые
расходы.
|
|
1
|
Содержание
производственных площадей
|
Спр. пл
|
руб.
|
96300
|
|
2
|
Расходы на
текущий ремонт помещений
|
Стр. зд
|
руб.
|
160500
|
|
3
|
Расходы на
содержание, восстановление и ремонт инвентаря
|
Ср. и
|
руб.
|
15851
|
|
4
|
Амортизация
зданий
|
Азд
|
руб.
|
160500
|
|
5
|
Прочие затраты
|
Спр
|
руб.
|
29665
|
|
6
|
Расходы на
охрану труда
|
Сохр. тр
|
руб.
|
24000
|
|
Итого
|
руб.
|
486816
|
|
Всего
|
руб.
|
1148015
|
1.13.7
Смета затрат и калькуляция себестоимости
Общехозяйственные расходы принимаются в размере 150% от
общего фонда оплаты труда [5]:
(1.64),
После получения значений всех расходов и затрат составляется смета
затрат и калькуляция себестоимости, представленная в табл.1.17.
Таблица 1.17
Смета затрат и калькуляция себестоимости
|
№
|
Статьи затрат
|
Условное
обозначение
|
Сумма затрат,
руб.
|
|
|
|
на год
|
на 1 чел. - ч
|
%
|
|
1
|
Зарплата
производственных рабочих
|
2621061
|
286,9
|
34,4
|
|
2
|
Отчисления во
внебюджетный фонд
|
ЕСН
|
812527
|
88,9
|
10,7
|
|
3
|
Материалы
|
См
|
304103
|
33,3
|
4
|
|
электроэнергия
|
Сэл. эн
|
258587
|
|
|
|
содержание и
ремонт инвентаря
|
Ср. и
|
15851
|
|
|
|
прочие расходы
|
Cпр
|
29665
|
|
|
|
4
|
Накладные
расходы
|
Рцех
|
310465
|
33,98
|
4,1
|
|
содержание
производственных помещений
|
Спр. пл
|
96300
|
|
|
|
текущий ремонт
зданий и оборудования
|
Стр. зд
|
160500
|
|
|
|
охрана труда,
техника безопасности
|
Сохр. тр
|
24000
|
|
|
|
прочие
|
Спр
|
29665
|
|
|
|
5
|
Амортизация
зданий и оборудования
|
Аобщ
|
160500
|
17,56
|
2,1
|
|
6
|
Общехозяйственные
расходы
|
Собщ. хоз
|
3407379
|
372,96
|
44,7
|
|
ИТОГО ЗАТРАТ Зобщ
|
7616035
|
833,63
|
100
|
1.13.8
Технико-экономические показатели участка
Цена единицы продукции [5]:
(1.65)
Где
- себестоимость работ, руб/чел. - ч (см.
табл.1.25)
- коэффициент учитывающий рентабельность предприятия
Себестоимость работ:
(1.66)
руб/чел. - ч
Выручка от производства работ (услуг) [5]:
(1.67)
Сумма кредитов [5]:
(1.68) При k=0,7
Прибыль от реализации [5]:
(1.69),
Балансовая прибыль [5]:
(1.70),
Налогооблагаемая прибыль [5]:
(1.71)
Налог на имущество
(1.72)
Где
- остаточная стоимость имущества
Остаточная стоимость имущества рассчитывается [5]:
(1.73)
где Кизн - коэффициент износа, принятый 0,8
Налог на прибыль взимается в размере 20% от балансовой прибыли
[5]:
(1.74)
Чистая прибыль [5]:
(1.75),
1.13.9
Определение денежного потока от операционной деятельности (хозяйственной
деятельности)
Таблица 1.18
Определение денежного потока от операционной деятельности
|
Показатели
|
2014
|
2015
|
2016
|
2017
|
2018
|
|
1. Трудоемкость
ч-ч
|
9136
|
9136
|
9867
|
10853
|
12373
|
|
2. Коэффициент
роста объема работ
|
1,00
|
1,00
|
1,08
|
1,1
|
1,14
|
|
3. Коэффициент
инфляции
|
1,07
|
1,08
|
1,10
|
1,07
|
1,06
|
|
4. Цена
человека часа, руб.
|
1167
|
1248
|
1348
|
1483
|
1587
|
|
5. Выручка
|
10661715
|
11401728
|
13300716
|
16094999
|
19635951
|
|
6.
Себестоимость человека часа
|
833,63
|
891,98
|
963,34
|
1059,67
|
1133,85
|
|
7. Затраты на
производство
|
7616043
|
8149129
|
9505275
|
11500598
|
14029126
|
|
8. выплаты по
кредиту (14%)
|
1213103
|
1116200
|
1013297
|
913395
|
813492
|
|
9. Прибыль
|
1833223
|
2136399
|
2782144
|
3681006
|
4793333
|
|
10. Сумма
налогов
|
430440
|
490762
|
620191
|
801430
|
1023575
|
|
10.1.
Остаточная стоимость имущества
|
3624752
|
3606990
|
3622860
|
3706185
|
3688024
|
|
10.2. Налог на
имущество
|
79744
|
79353
|
79703
|
81536
|
81136
|
|
10.3. Налог на
прибыль
|
350696
|
411409
|
540488
|
719894
|
924439
|
|
11. Чистая
прибыль
|
1402783
|
1645637
|
2161953
|
2879576
|
3769757
|
|
12. Амортизация
|
160500
|
253732
|
253600
|
259423
|
258161
|
|
13. Чистый
доход
|
1563283
|
1899369
|
2425553
|
3138999
|
4027918
|
1.13.10
Оценка эффективности инвестиционного проекта
Таблица 1.19
Оценка эффективности инвестиционного проекта
|
Показатели
|
2014
|
2015
|
2016
|
2017
|
2018
|
|
1.
Эффективность от инвестиционной деятельности (Ф1 (t))
|
-3567949
|
0
|
0
|
0
|
0
|
|
2.
Эффективность от операционной деятельности (Ф2 (t))
|
1563283
|
1899369
|
2425553
|
3138999
|
4027918
|
|
3.
Эффективность от финансовой деятельности (Ф3 (t))
|
0
|
0
|
0
|
0
|
0
|
|
4. Денежный
поток
|
-2004666
|
1899369
|
2425553
|
3138999
|
4027918
|
|
5. Коэффициент
дисконтирования (d)
|
0,88
|
0,77
|
0,67
|
0,59
|
0,52
|
|
6. Чистый
дисконтированный доход (ЧДД)
|
-1764106
|
1462514
|
1625120
|
1757839
|
2094517
|
В таблице учитывается перерасчет суммы кредита на 5 лет.
Индекс доходности:
(1.77)
> 0, проект эффективен
1.13.11
Экономические и финансовые показатели работы участка
I Показатели эффективности использования труда
. Коэффициент прибыльности труда по балансовой и чистой
прибылям [5]:
(1.78)
(1.79)
. Производительность труда [5]:
(1.80),
II Показатели эффективности производства
. Коэффициент эффективности производства [5]:
(1.81)
. Коэффициент прибыльности производства по балансовой и чистой
прибылям [5]:
(1.82)
(1.83)
. Рентабельность затрат по балансовой и чистой прибылям [5]:
(1.84)
(1.85)
. Рентабельность производства (продаж) по балансовой и чистой
прибыли [5]:
(1.86)
(1.87)
Показатели использования основных и оборотных средств
1. Коэффициент фондоотдачи [5]:
(1.88)
2. Коэффициент фондоемкости [5]:
(1.89)
3. Коэффициент фондовооруженности [5]:
(1.90)
. Рентабельность использования основных производственных фондов по
балансовой и чистой прибылям [5]:
(1.91)
(1.92)
1.13.12
Определение критического объема работ
Критический объем работ [5]:
(1.93)
где Зпост - сумма постоянных затрат, руб;
Цч-ч - цена единицы продукции (человека - часа);пер
- сумма переменных затрат, руб.
Постоянные затраты [5]:
(1.94)
Переменные затраты [5]:
(1.95)
Критический объем работ
чел. - ч
Критический объем работ, выраженный в процентах, [5]:
(1.96)
Коэффициент оборачиваемости [5]:
(1.97)
Оборотные фонды, равные 3,5 % от основных производственных фондов
Рис. 1.4 График зависимости выручки и затрат от объема работы.
Определение критического объема работ
Таблица 1.20
Итоговые технико-экономические показатели реконструкции
кузовного участка
|
Показатели
|
Ед. измерения
|
Численное
значение
|
|
1. Годовой
объем работ
|
чел. - ч.
|
9136
|
|
2. Количество
производственных рабочих
|
чел.
|
5
|
|
3. Площадь
участка
|
кв. м.
|
200
|
|
4. Средняя
заработная плата
|
руб.
|
43684
|
|
5.
Производительность труда
|
руб.
|
10661715
|
|
6.
Себестоимость работ
|
руб. /чел. - ч
|
833
|
|
7. Цена единицы
продукции
|
руб.
|
1167
|
|
8. Стоимость
производственных фондов
|
руб.
|
4927222
|
|
9.
Рентабельность основных производственных фондов по балансовой/чистой прибыли
|
-
|
0,59/0,45
|
|
10.
Рентабельность затрат по балансовой/ чистой прибыли
|
-
|
0,24/0,18
|
|
11.
Рентабельность производства (продаж) по балансовой/ чистой прибыли
|
-
|
0,17/0,13
|
|
12. Коэффициент
эффективности производства
|
-
|
|
13. Коэффициент
прибыльности труда по балансовой/чистой прибыли
|
-
|
0,37/0,28
|
|
14. Коэффициент
оборачиваемости основных и оборотных средств
|
-
|
2,09
|
|
15. Критический
объем работ
|
%
|
57,1
|
|
16. ЧДД
|
руб.
|
5175884
|
|
17. Индекс
доходности
|
-
|
1,45
|
1.14
Безопасность жизнедеятельности
1.14.1
Пожарная безопасность на участке
Cогласно СП 12.13130.2012 для определения категории помещения
по взрывопожарной и пожарной опасности нужно рассчитать избыточное давление ∆P для индивидуальных
горючих веществ, состоящих из атомов C, H, O, N, Cl, Br, I, F по
формуле:
(1.98)
Где Pmax -
максимальное давление, развиваемое при сгорании стехиометрической газовоздушной
или паровоздушной смеси в замкнутом объеме, определяемое экспериментально или
по справочным данным в соответствии с требованиями 4.3 При отсутствии данных
допускается принимать P равным 900 кПа; P0 - начальное
давление, кПа (допускается принимать равным 101 кПа); m - масса горючего
газа (ГГ.) или паров легковоспламеняющихся (ЛВЖ) и горючих жидкостей (ГЖ),
вышедших в результате расчетной аварии в помещение, вычисляемая для паров ЛВЖ и
ГЖ по формуле (1.173), кг;
(1.99)
где mр - масса жидкости, испарившейся с
поверхности разлива, кг;
mемк - масса жидкости, испарившейся с поверхностей открытых емкостей,
кг;
mсв. окр. - масса жидкости, испарившейся с поверхностей, на которые нанесен
применяемый состав, кг.
При этом каждое из слагаемых в формуле (1.172) определяется по
формуле (1.173):
(1.100)
За отсутствием данных примем к расчету самый худший вариант
развития событий, при котором загорится весь запас топлива m = 70 кг. - коэффициент участия горючих газов и паров в
горении, который может быть рассчитан на основе характера распределения газов и
паров в объеме помещения согласно приложению Д. Допускается принимать значение
Z по таблице. Примем Z = 0,3.
VСВ
- свободный объем помещения, м3. Согласно А.1.4 свободный
объем помещения определяется как разность между объемом помещения и объемом,
занимаемым технологическим оборудованием. Если свободный объем помещения
определить невозможно, то его допускается принимать условно, равным 80 %
геометрического объема помещения, то есть 640м3.
ρ0г, п - плотность вещества при температуре
помещения 200С. Для дизельного топлива примем равным 850 кг/м3.
Сст
- стехиометрическая концентрация ГГ или паров ЛВЖ и ГЖ, % (об.), вычисляемая по
формуле:
(1.101)
β - стехиометрический коэффициент сгорания
в реакции с кислородом:
(1.102)
nС, nH, nО, nX - число атомов С, Н, О и галоидов
в молекуле горючего,
для дизельного топлива с формулой С10H22.
(1.103)
Кн
- коэффициент, учитывающий негерметичность помещения и неадиабатичность
процесса горения. Допускается принимать Кн равным трем.
(1.104)
Учитывая данные, которые мы определили исходя из СП 12.13130.2012:
кПа (1.105)
Что не превышает 5кПа, а, следовательно, помещение
относится к категории Б.
Согласно таблице 6.1 СП 2.13130.2012 относим помещение кузовного
участка "Автоцентр "Северный"" к IV степени огнестойкости.
Согласно СП 1.13130.2012:
Эвакуационные выходы должны находиться на расстоянии друг от
друга, которое рассчитывается по формуле:
(1.106)
где P - периметр помещения, м;
n - количество работающих в помещении, чел.
(1.107)
(1.108)
Что не противоречит 13 м расстояния между эвакуационными
выходами на моторном участке.
Высота эвакуационных выходов в свету составляет 2 м, ширина 0,8 м,
что превышает минимально допустимые значения и позволяет беспрепятственно
пронести через эвакуационный выход носилки с лежащим н них человеком.
Выходы из ремонтной зоны оборудованы дверьми, открывающимися
наружу.
Система оповещения и управления эвакуацией людей (СОУЭ) должна
обеспечивать безопасную эвакуацию людей при пожаре. Информация, передаваемая
системами оповещения людей о пожаре и управления эвакуацией людей, должна
соответствовать информации, содержащейся в разработанных и размещенных на
каждом этаже зданий планах эвакуации людей. СОУЭ должна включаться автоматически
от командного сигнала, формируемого автоматической установкой пожарной
сигнализации или пожаротушения. Кабели, провода СОУЭ и способы прокладки должны
обеспечивать работоспособность соединительных линий в условиях пожара в течение
времени, необходимого для полной эвакуации людей в безопасную зону.
На предприятии ООО "Автоцентр "Северный""
используется СОУЭ 2-го типа, включает световые оповещатели "выход" и
звуковую сирену. Периодически проводятся противопожарные учения.
Расстояние от наиболее удаленной точки помещения без постоянных
рабочих мест с инженерным оборудованием, предназначенным для обслуживания
помещения категорий А и Б и имеющим один эвакуационный выход через помещение
категорий А и Б, не должно превышать 25м, в то время как расстояние от наиболее
удаленной точки до эвакуационного выхода на кузовном участке не превышает 12м.
Ремонтная зона оснащена водопроводом, через каждые 2 поста
установлены пожарные шкафы, один находится непосредственно на кузовном участке.
Согласно таблице А.3 приложения А СП 5.13130.2009 здание не
имеющее выхода непосредственно наружу должно быть оборудовано автоматической
установкой пожарной сигнализации при площади помещения менее 300 м2.
На кузовном участке используется спринклерная водная система пожаротушения, так
как, из-за специфики кузовного ремонта, негативное влияние от ее использования
на автомобили будет минимальным.
Огнетушители для устранения или локализации пожара должны
соответствовать пожару класса В, горение нерастворимых в воде веществ (бензин, дизельное
топливо). Согласно "Нормы оснащения помещений ручными порошковыми и
углекислотными огнетушителями" рекомендуется разместить на площади в 200 м2
два порошковых огнетушителя вместимостью 4 кг.
1.15. Охрана
труда
1.15.1
Производственная санитария и гигиена
Вредные газы и пыль
Опасность: в воздух помещения кузовного участка попадают
вредные вещества (пыль, окись углерода и др.) Такой воздух вредно действует на
здоровье работающих, ухудшает их самочувствие и снижает производительность
труда, а в некоторых случаях может привести к серьезным заболеваниям и
отравлениям организма человека. Поэтому важно поддерживать воздух в чистом
состоянии.
Воздух, насыщенный данными веществами вредно действует на
здоровье работающих, ухудшает их самочувствие и снижает производительность
труда, а в некоторых случаях может привести к серьезным заболеваниям и
отравлениям организма человека.
Освещённость
Опасность: освещенность действует как вредный фактор при
избытке или недостатке освещения, что сказывается на ухудшении зрения и
состояния центральной нервной системы.
Меры защиты: для исключения этого необходимо применить
искусственное освещение с использованием люминесцентных ламп (СНиП 23-05-95),
Освещение в помещении оказывает существенное влияние на качество ремонта и обслуживание
карданных валов. Хорошее освещение повышает производительность труда, снижает
производственный травматизм и усталость рабочего. Важно учитывать при установке
освещения правильное направление света, чтобы источники света не оказывали
ослепляющего действия и не создавали теней. Для поддержания уровня освещенности
необходимо регулярно выполнять чистку и мойку окон и светильников.
Шум
Опасность: влияние на сердечно-сосудистую и центральную
нервную систему, сильные головные боли, повышение артериального давления,
снижение концентрации внимания, затормаживание психической реакции.
Меры защиты: наушники (ГОСТ 12.1.003-83*).
1.15.2
Техническая безопасность монтажа стапеля для ремонта кузовов
Реконструкция кузовного участка заключается в установке нового
современного оборудования. А именно будет произведен монтаж стапеля для ремонта
кузовов.
При монтаже стапеля для ремонта кузовов необходимо соблюдать
требования ГОСТ 12.2.003-91 "Оборудование производственное. Общие
требования безопасности".
Помещение, внутри которого монтируется стапель, должно иметь
контур защитного заземления, выполненный в соответствии с "Правилами
устройства электроустановок"
Стапель заглубляется в бетонный пол. Вокруг него должна быть
произведена гидроизоляция, исключающая попадание грунтовых вод под опорное
устройство. Для установки применяют электрифицированный инструмент (перфоратор,
электродрель, электрогайковёрт) при работе с которым необходимо соблюдать
следующие меры безопасности: инструмент должен иметь рукоятки из изолирующего
материала; контроль исправности электрифицированного инструмента; контроль за
состоянием электропроводки; рабочим предоставлять токонепроводящюю спецодежду
(резиновая обувь, резиновые перчатки). Соблюдать инструкции, составленные
изготовителем устройства.
Для прокладки кабелей необходимо забетонировать на уровень
две стальные трубы внутренним диаметром, не менее 40 мм.
Подключение стапеля к силовым линиям осуществляется с
применением инструмента с рукояткой из изолирующего материала.
В процессе размещения, монтажа и подключения стапеля на
территории участка, есть вероятность получения физических травм и повреждения
оборудования. Связаны эти травмы с возможным падением установки (переломы,
ушибы), с пробоем изоляции (поражение электрическим током). Для перемещения
стапеля к месту установки применяют специализированный для предприятия
кран-балки, при работе с которыми необходимо соблюдать следующие меры
безопасности: установка предупреждающих ограждений (рабочих не должно быть под
пролётом с перемещаемым грузом), перемещать грузы определённой весовой
категории, указанной в инструкции по эксплуатации крана, рабочие должны
обеспечиваться необходимой спецодеждой и защитными принадлежностями (каска,
перчатки).
Во избежание электротравм, электрооборудование стапеля
расположено в специальном электрошкафу с закрывающимися дверцами.
1.15.3
Техническая безопасность при работе на стапеле для правки кузовов
Для обеспечения безопасности работы слесаря-кузовщика
необходимо соблюдать следующие требования:
. Все станки и стенды должны быть обязательно
заземлены, во избежание вероятности поражения током.
2. При работе с кран-балкой запрещается находиться
непосредственно под грузом и балкой.
. При работе на стапелях для ремонта кузовов
необходимо надежно закреплять кузов в нужном положении.
. Запрещается загромождать проходы между оборудованием
и выходом из помещения.
. Ждать полной остановки движущихся элементов и не
тормозить их руками.
1.15.4
Экологические мероприятия
Порядок утилизации отработанных ГСМ и технических
жидкостей на кузовном участке.
Сбор, хранение, погрузка и транспортировка промышленных
отходов должны исключать возможность их россыпи или разлива и самовозгорания, а
также любого загрязнения окружающей сред: почвы, поверхности вод, атмосферного
воздуха.
Отработанные горюче-смазочные масла собираются в герметически
закрываемую емкость и хранятся в специально-отведенном для этого месте - под
навесом или в закрытом помещении, обеспеченном противопожарным инвентарем. Слив
отработанных масел производится на площадке с твердым покрытием (асфальт либо
бетон). Если твердого покрытия нет, емкость устанавливается в металлический
поддон. Поддон должен обеспечивать удерживание масла в случае перелива не менее
5% объема ГСМ.
Для ликвидации возможных разливов должен быть ящик с песком и
деревянная лопата. Место разлива засыпают песком.
При транспортировке отработки пробки бочек необходимо плотно
затягивать. Чтобы предотвратить течь или деформацию тары во время перевозки, в
бочке оставляется достаточное пространство с учетом коэффициента расширения
жидкости.
Промасленную ветошь собирают в отдельную цельную
металлическую емкость, которая имеет крышку и промаркирована. Не допускается
смешивание ее с твердыми бытовыми отходами. Нельзя оставлять промасленную
ветошь в открытом контейнере и на солнце.
Мероприятия и средства защиты окружающей среды на
кузовном участке.
Для защиты окружающей среды от вредных факторов, возникающих
в результате деятельности кузовного участка, предлагаю ввести следующие
мероприятия:
. Мусор и другие отходы предприятия сортируются и
увозят с территории в специально отведенные для этого места;
2. Горюче-смазочные материалы собираются в отдельные
емкости-накопители и утилизируются;
. Следить за своевременным обслуживанием двигателей и
тем самым снизить масштабы их ремонта.
. Персонал обучается основам экологической
безопасности.
Для защиты людей должны соблюдаться предельно допустимые
концентрации вредных веществ выбрасываемых в атмосферу. Загрязнение воздушной
среды регламентируются ГОСТ 12.1.007-76 "Вредные вещества”.
На станции целесообразно применять следующие средства защиты:
. Вентиляционные системы - определение вентиляции для
моторного участка приведено ранее;
2. Очистные сооружения по очистке производственных
сточных вод;
. Другие средства защиты от вредных и опасных
производственных факторов.
2. Разработка
конструкции стенда-кантователя для ремонта кузовов автомобилей
2.1 Анализ
существующих аналогичных конструкций стендов
Отечественной и зарубежной промышленностью выпускается
разнообразное оборудование для правки кузовов: начиная от универсальных наборов
приспособлений и инструмента для правки поврежденных участков непосредственно
на автомобиле и кончая сложными системами, оснащенными устройствами для
фиксации автомобиля и позволяющими создавать одновременно несколько
разнонаправленных усилий правки.
Переносное оборудование для правки кузовов, устанавливаемое
непосредственно на кузове ремонтируемого автомобиля, выпускается
преимущественно с гидравлическим приводом и в зависимости от конструкций и
назначения может развивать усилие рабочего органа от 4000 до 20000 кгс.
Основными недостатками переносного оборудования является
невозможность устранения сложных перекосов кузовов и, в частности, нарушений
геометрических параметров их оснований из-за отсутствия возможности надежно
крепить силовые элементы и ремонтируемые автомобили. Этот недостаток
устраняется с применением метода наружного вытягивания, заключающегося в
закреплении автомобиля и приложении силы, направленной в сторону,
противоположную силе, вызвавшей повреждение. Для осуществления этого метода
создано специальное оборудование, которое может быть разделено на следующие
основные группы:
· оборудование, не требующее специального
рабочего места;
· оборудование, применяемое со специальными
анкерными устройствами или требующее фундаментных работ;
· оборудование, в основе которого лежит
рама, к которой крепится автомобиль и силовое устройство правки.
К первой группе оборудования можно отнести недорогие
мобильные установки, которые благодаря конструктивным особенностям не требуют
специально оборудованного рабочего места, например устройство БС-71.
Это устройство состоит из передвижной балки 7 (рис.2.1),
прямоугольного сечения, на одном из концов которой шарнирно закреплен
качающийся рычаг 1. Усилие растяжения до 100 кН на рычаге создается
гидроцилиндром 2 от ручного гидравлического насоса 9, обеспечивающего
наибольшее давление 27 МПа. Легкость перемещения устройства и установки под
аварийный автомобиль обеспечивают колеса 5 и 8, закрепленные на балке на кронштейнах.
Устройство работает по векторному принципу приложения сил. Для правки кузова
необходимо: выставить аварийный кузов на козлы-подставки; закрепить силовую
поперечину 4 в нужном месте за ребра жесткости порогов кузова; установить
устройство под кузов автомобиля в направлении полученного удара; опереть упором
3 в силовую поперечину 4; править деформированные элементы кузова с
использованием цепных строп 10-12 и зажимных приспособлений 13-16.
Рис. 2.1. Схема устройства БС-71: 1 - рычаг; 2 -
гидроцилиндр; 3 - упор; 4 - силовая поперечина; 5,8 - колесо; 6 - кронштейн; 7
- балка; 9 - насос; 10-12 - цепные стропы; 13-16 - зажимные приспособления.
В зависимости от характера работ упор 3, закрепленный на
кронштейне 6, можно устанавливать на основной балке на различной длине.
Устройство имеет следующие достоинства: универсальность
применения для правки кузовов различных марок легковых автомобилей; возможность
приложения растягивающей силы, вызвавшей повреждения в любом из направлений в
пределах 360о; небольшие габаритные размеры и отсутствие
необходимости закрепления за специальным рабочим местом.
Однако данное устройство имеет и недостатки: ненадежность
фиксации простым упором силового устройства, его не всегда можно установить в
требуемое положение, нет доступа к днищу кузова, невозможно реализовать
вертикальные усилия правки, не предусмотрена система контроля размеров
выправляемого кузова, данное устройство рассчитано только на правку кузовов
легковых автомобилей.
Ко второй группе устройств, требующих фундаментных работ,
относятся стенды, основу которых составляет рама, изготовленная из
профилированной стали и забетонированная в полу. Пазы рамы служат для закрепления
кронштейнов, цепей и силовых цилиндров. Цепи могут также крепиться к анкерным
устройствам, забетонированным в полу и выполняющим роль рамы. Рама может иметь
не только плоскую, но и пространственную конструкцию. К данной группе
оборудования может быть отнесена рама БС-167 для восстановления аварийных
кузовов.
Она представляет собой пространственную конструкцию
(рис.2.2), состоящую из вертикальных опор 1 прямоугольного сечения и
горизонтальных связок, выполненных из швеллера и уголка. С четырех сторон рамы
на вертикальных опорах имеются продольные и поперечные траверсы с ползунами.
Свободные перемещения ползунов в горизонтальном направлении
по длине траверсы на 2-2,5 м, а также возможность изменения расположения
траверс по высоте до 1,5 м позволяют изменять направление усилия правки в
широком диапазоне. Закрепляется рама за колонны четырехстоечного подъемника,
находящегося внутри рамы. Поврежденный кузов автомобиля закрепляется на
платформе 3 подъемника с помощью подставок, расчалочных цепей 5 и захватывающих
приспособлений 4 за элементы буксирных устройств, домкратных гнезд или ребра
жесткости порогов кузова.
Рис. 2.2 Схема устройства БС-167: 1 - опора; 2 -
гидроцилиндр; 3 - платформа подъемника; 4 - захват; 5 - цепь.
Правка выполняется с помощью гидравлических цилиндров 2,
обеспечивающих усилие до 10 тс, и может одновременно осуществляться несколькими
силовыми органами в различных направлениях. Для создания тяговых усилий могут
быть использованы различные гидравлические устройства.
Рама БС-167 в комплекте с подъемником обеспечивает
возможность свободного перемещения рабочих вокруг автомобиля, закрепления
правочных устройств в любой точке траверс с четырех сторон автомобиля и
приложения правочного усилия под любым углом, одновременного выполнения работ
на различных уровнях и несколькими силовыми органами с механическим или
гидравлическим приводом, быстрой переналадки силовых и зажимных устройств с
минимальными трудозатратами, выполнения всего комплекса работ на одном посту (разборка,
правка, рихтовка, сварка и сборка).
Однако данное устройство требует предварительного монтажа
подъемника определенного типа и тоже рассчитано на восстановление кузовов
легковых автомобилей, не предусмотрена система контроля геометрии кузова. Также
увеличивается трудоемкость работ за счет подбора закрепления автомобиля с
учетом направления прилагаемого усилия.
Третья группа стендов получила в настоящее время наибольшее
распространение. В качестве примера можно назвать стенд MARK-5, выпускаемый шведской
фирмой Car-o-liner. Общий вид стенда
представлен на рисунке 2.3.
Рис. 2.3 Стенд MARK-5: 1 - рама; 2 - зажимы; 3 - фиксаторы; 4
- подъемник; 5 - колеса с тормозом; 6 - тяговый выпрямитель; 7,8,11 - наборы
захватов; 9 - цепь; 10 - укоротитель; 12 - скаты; 13 - шкаф для инвентаря; 14 -
измерительные приспособления; 15 - линейка; 16 - шкаф для измерит. приспособ.;
17 - измерительная система верхней части кузова.
В основу конструкции этого стенда и стендов подобных модификаций
положен модульный принцип - простую базовую комплектацию можно дополнять
совместимыми устройствами и приспособлениями, позволяющими расширить
возможности стенда и сформировать оптимальную комплектацию, соответствующую
выполняемым видам работ. Основой стенда является прочная прямоугольная рама 1.
Она может перемещаться по полу на колесах 5, или может быть стационарно
установлена на подъемнике 4, что обеспечивает проведение работ на любой высоте.
Автомобиль крепится к раме набором зажимов 2 на весь период работ. Можно
использовать зажимы разнообразных конструкций для крепления кузовов разных
типов. для удобства установки автомобиля на раму служат скаты 12. Силовыми
органами являются тяговые выпрямители 6 с гидроцилиндрами усилиями 10 тонн. Они
крепятся к раме в любом месте и могут наклоняться вокруг оси, перпендикулярной
раме. Для передачи усилия служат цепи 9 с крюками. Для подбора нужной длины
цепи в комплекте предусмотрены укоротители 10. Фиксация цепи на кузова
автомобиля осуществляется специальными захватами 7,8,11. Для проверки геометрии
кузова предусмотрены измерительная линейка 15, комплекты специальных
приспособлений 14, 17 и карты данных с размерами между контрольными точками и
способами проверки по нескольким тысячам автомобилей. Комплектация может
включать в себя любые сочетания перечисленных компонентов. Таким образом в
данном стенде предусмотрено максимальное количество особенностей ремонта.
Однако не реализована возможность создания вертикальных усилий. Стенд
предназначен для ремонта автомобилей легковых марок. Существенным недостатком в
сложившейся экономической обстановке является его высокая стоимость.
2.2
Предлагаемая конструкция стенда
2.2.1
Устройство и принцип действия
При разработке данного стенда учитываются следующие условия:
· конструкция стенда должна быть проста и
надежна;
· стенд должен обеспечивать правку кузовов
высотой 2,3 м;
· должен быть обеспечен доступ к днищу
кузова;
· должна быть реализована возможность
приложения вертикальных усилий;
· должна быть реализована возможность
проверки геометрии кузова;
· так как кузов не является несущим, то к
геометрии восстановленного кузова применяются нежесткие требования;
· конструкция должна быть дешева в
изготовлении.
В качестве прототипа для разрабатываемого стенда взята рама
БС-167.
Конструкция предлагаемого стенда состоит из тележки, рамы
поворотной, колонны левой, колоны правой, механизма поворота, пультов
управления и привода. Для доступа к днищу кузова служит поворотная рама. Кузов
автомобиля фиксируется от перемещения с помощью зажимов, крепящихся к
поворотной раме.
Отличительной особенностью предлагаемой конструкции является
возможность поворота кузова вокруг оси. В качестве силовых устройств могут быть
использованы устройства с механическим или гидравлическим приводом, например
комплекты И-305М, И-305ГМ, БС-142, БС-173, другие рихтовочные наборы. Они могут
быть использованы самостоятельно в качестве переносного оборудования для правки
кузовов.
Так как к контролю геометрии кузова предъявляются нежесткие
требования, то он осуществляется визуально, с помощью шаблонов и линеек. Могут
быть использованы самоцентрирующися линейки. В комплект измерительных
приспособлений входят универсальные приспособления, которые приобретаются.
Шаблоны могут быть изготовлены на предприятии на основе геометрических
параметров неповрежденных кузовов.
Таким образом, можно выделить следующие отличия предлагаемой
конструкции стенда:
· стенд не имеет стационарной конструкции,
по окончании работ правки кузова силовой каркас может быть демонтирован и
площадь участка освобождена для других работ;
· для доступа к днищу автомобиля служит
поворотная рама;
· измерительный инструмент включает
универсальные приспособления и шаблоны;
· на данном стенде могут выполняться работы
по правке кузовов не только автомобилей малого класса, но и других марок
автомобилей.
Более подробно предлагаемая конструкция разрабатываемого
стенда представлена в графической части проекта.
2.2.2
Прочностные расчеты элементов стенда
.2.2.1
Проверочный расчет колонны
Колонна представляет собой консольно закрепленную балку. При
работе на нее действует сила, возникающая за счет приложения усилия растяжки,
которая в общем случае может быть направлена под некоторым углом к оси стойки и
приложена в любой ее точке. Для проверочного расчета выбирается режим, при
котором создается максимально возможная нагрузка: сила приложена в самой
верхней из возможных точек и направлена перпендикулярно оси колонны.
На рис.2.4 (а) представлена расчетная схема колонны при
выбранном режиме нагружения. Высота точки приложения силы соответствует высоте
последней точки фиксации рамы (1,4 м). Величина силы соответствует
максимальному усилию, которое может создать применяемый комплект силового
оборудования (10т или 100 кН).
На рис.2.4 (б) представлены эпюры усилий в стойке при ее
нагружении - поперечной силы Q и изгибающего момента M. Для расчета выбирается
точка, в которой усилия в стойке имеют максимальные значения - точка А.
Величина нормального напряжения в сечении определяется по
формуле [13]:
, (2.1)
где s -
нормальное напряжение в сечении, Па;
М -
изгибающий момент в сечении, Н·м;
Wизг - момент сечения сопротивления изгибу, м3.
Согласно эпюре, изгибающий момент в сечении составляет 140 кН·м.
Момент сечения сопротивления изгибу определяется по форме сечения. Как сказано
в пункте 2.2.1, стойки изготавливаются из сортового проката. В предлагаемой
конструкции для этих целей используется швеллер №10, свариваемый по кромкам
боковых площадок для получения квадратного сечения. Согласно сортаменту, момент
сопротивления изгибу данного сечения составит 45,2 см3.
Подставляя численные значения в формулу 2.1, получаем
.
Величина касательного напряжения в сечении определяется по формуле
[13]:
, (2.2)
где t - касательное напряжение в сечении, Па;
Q - поперечная сила в сечении, Н;
S - площадь сечения, м2.
Согласно эпюре, поперечная сила в сечении составляет 100 кН.
Согласно сортаменту, площадь сечения составляет 21,8 см2.
Подставляя численные значения в формулу 2.2, получаем
.
Проверка работоспособности сечения осуществляется путем сравнения
эквивалентного напряжения, рассчитанного на основе действующих нормального и
касательного напряжения, с допустимым напряжением. Для обеспечение
работоспособности сечения должно выполняться условие [5]:
sэкв < [s] (2.3)
Так как материалом стойки является сталь, для расчета
эквивалентного напряжения применяется теория энергии формоизменения
сопротивления материалов (4ая теория прочности). Эквивалентное напряжение по
этой теории определяется по формуле [5]:
(2.4)
Подставляя в формулу численные значения, получаем:
.
Согласно [5], допустимое напряжение [s] = 160 МПа. Как видно, условие 2.3
выполняется. Работоспособность колонны обеспечена.
Рис. 2.4. Расчетная схема стойки и эпюры внутренних усилий:
а) расчетная схема; б) эпюры внутренних усилий.
2.2.2.2
Проверочный расчет рамы
Рама представляет собой двухопорную балку. При работе на нее
действует сила, возникающая за счет приложения усилия растяжки, которая в общем
случае может быть направлена под некоторым углом к оси рамы и приложена в любой
ее точке. Для проверочного расчета выбирается режим, при котором создается
максимально возможная нагрузка: сила приложена посередине рамы и направлена
перпендикулярно к ее оси.
На рис.2.5 (а) представлена расчетная схема поперечины при
выбранном режиме нагружения. Длина поперечины составляет 3,2 м. Величина силы
соответствует максимальному усилию, которое может создать применяемый комплект
силового оборудования (10т или 100 кН).
На рис.2.5 (б) представлены эпюры усилий в раме при ее
нагружении - поперечной силы Q и изгибающего момента M. Для расчета выбирается
точка, в которой усилия в раме имеют максимальные значения - точка А. В этом
сечении значение поперечной силы составляет 50 кН, изгибающего момента - 80
кН·м.
Для изготовления рам используются цельнокатаные трубы
диаметром 8 см. Согласно сортаменту, момент сопротивления изгибу данной трубы
составляет 8,93 см3, площадь сечения - 15,7 см2.
Расчет рамы аналогичен расчету стойки. Подставляя численные
значения, по формуле 3.1 получаем величину нормального напряжения
Подставляя численные значения, по формуле 2.2 получаем величину
касательного напряжения:
Рис. 2.5. Расчетная схема рамы и эпюры внутренних усилий
а) расчетная схема; б) эпюры внутренних усилий:
Эквивалентное напряжение по формуле 2.4:
.
Допустимое напряжение [s] = 160 МПа. Как видно, условие 2.3 выполняется.
Работоспособность рамы обеспечена.
2.2.3
Инструкция по эксплуатации стенда
2.2.3.1 Принцип
работы
Кузов автомобиля устанавливается отверстиями, расположенными
в днище, на установочные пальцы поворотной рамы и закрепляется прижимами,
устанавливаемыми по днищу кузова на те же пальцы.
Подъем или опускание поворотной рамы с кузовом производится
посредством передачи крутящего момента от электродвигателя через клиноременную
передачу к винту подъема, с последующим преобразованием крутящего момента в
паре винт-гайка в осевое усилие, приложенное к гайке с ползуном и кронштейном.
Вращение рамы поворотной с кузовом вокруг горизонтальной оси
осуществляется вращением рукоятки механизма поворота.
22.2.3.2
Требования безопасности
К работе на стенде допускаются лица, изучившие устройство,
правила эксплуатации стенда и правила техники безопасности. Перед началом
работы проверьте надежность закрепления заземляющих проводов.
Запрещается работать на стенде:
· при отсутствии более одного из болтов,
соединяющих фланец кронштейна колонны с фланцем рамы поворотной;
· при отсутствии более одного из болтов,
соединяющих колонну с тележкой;
· при неполной затяжке гаек захватов после
установки кузова на поперечины;
· при заклинивании винтовой пары;
· при неполной затяжке гаек любого болтового
соединения.
2.2.3.3
Подготовка к работе
1. Снять консервационную смазку с деталей стенда.
2. Произвести подключение электрической системы стенда.
. Выполнить электрические соединения между путевыми
выключателями, двигателями управления и пультами управления согласно схемы.
. Подключить стенд к системе участка.
. Выполнить заземление стенда.
. Подключение стенда и заземление выполнить в
соответствии с действующими "Правилами технической эксплуатации
электроустановок и потребителей" и "Правилами техники безопасности
при эксплуатации электроустановок потребителей".
. Проверить работу приводов.
. Нажать кнопку "Вверх" на одном из пультов
управления. Двигатели приводов должны включиться, при этом рама поворотная
должна подниматься.
. Нажать кнопку "Вниз" на одном из пультов
управления. Двигатели должны включиться и рама должна опуститься.
. Проверить работу конечных выключателей.
. Смазать все трущиеся поверхности.
2.2.3.4
Порядок работы
1.
Установить
кузов автомобиля.
2.
Нажать
кнопку "Вверх" на одном из пультов управления, при этом двигатели
приводов должны включиться и рама поворотная с кузовом должна переместиться
вверх.
3.
Повернуть
раму поворотную с кузовом на требуемый угол вокруг горизонтальной оси,
вращением рукоятки редуктора, установленного на кронштейне правой опоры.
4.
Провести
восстановительные работы с кузовом.
5.
Вращением
рукоятки редуктора установить раму поворотную с кузовом в горизонтальное
положение с размещением кузова над поперечинами.
6.
Нажать
кнопку "Вниз" на одном из пультов управления, двигатели приводов
должны включиться и поворотная рама с кузовом должна переместиться вниз.
7.
Отвернуть
гайки прижимов и снять прижимы.
8.
Снять
кузов автомобиля с поперечины рамы поворотной и установить на подставку.
2.2.3.5
Техническое обслуживание
1.
После
окончания работ очистить стенд от масла и грязи и отключить от электросети.
2.
Один
раз в неделю смазать винты передачи винт-гайка.
3.
Один
раз в месяц смазать все трущиеся поверхности.
4.
Не
реже одного раза в месяц проверить целостность пломб на конечных выключателях.
2.3
Разработка технологического процесса изготовления детали
Исходными данными для разработки технологического процесса
являются:
1.
Чертеж
детали.
2.
Годовая
программа выпуска деталей - 3 штуки (единичное производство).
2.3.1 Оценка
и обеспечение технологичности конструкции детали
Технологичность конструкции изделия - это приспособленность к
производству данного типа.
Анализ технологичности конструкции детали производится с
учетом условий ее производства.
Стандарт предусматривает два вида технологичности:
производственную и эксплуатационную. Производственная технологичность
проявляется в сокращении затрат средств и времени на конструкторскую и
технологическую подготовку производства, а также на процесс изготовления.
Эксплуатационная технологичность конструкции изделия проявляется в сокращении
затрат времени и средств на техническое обслуживание и ремонт изделия.
Стандарт предусматривает возможность применения качественного
и количественного методов оценок. Качественная оценка характеризует конструкцию
обобщенно, на основе научно-производственного опыта и предшествует
количественной. Количественная оценка основана на использовании показателей,
численное значение которых характеризует технологичность конструкции.
Стандарт устанавливает следующие требования к технологичности
конструкции деталей:
1.
Конструкция
детали должна состоять из стандартных или унифицированных элементов.
2.
Детали
должны изготовляться из стандартных или унифицированных заготовок.
3.
Точность
и шероховатость поверхности должны обеспечиваться точностью установки,
обработки и контроля.
4.
Точность
и шероховатость сопрягаемых поверхностей должны соответствовать возможностям
применяемых методов обработки.
Технологичность конструкции детали в дипломном проектировании
следует оценивать качественно, по уровню выполнения перечисленных требований. Материал
по качественной оценке и обеспечению технологичности представляется в
расчетно-пояснительной записке в виде таблицы 2.1.
Таблица 2.1.
Качественная оценка обеспечения технологичности детали
|
Требования
|
Качественная
оценка удовлетворения требований
|
|
Полное
выполнение
|
Частичное
выполнение
|
Невыполнение
|
|
Отсутствие
участков концентрации напряжений
|
+
|
-
|
-
|
|
Отсутствие
острых углов
|
+
|
-
|
-
|
|
Отсутствие
глубоких глухих отверстий
|
+
|
-
|
-
|
|
Отсутствие
тонких ребер
|
+
|
-
|
-
|
2.3.2
Обоснование выбора вида заготовки
Заготовку выбирают исходя из минимальной себестоимости
готовой детали для заданного годового выпуска. Научно-производственный опыт
показывает, что в условиях единичного производства для деталей, представляющих
собой тела вращения, наиболее экономичной является заготовка из проката. В
нашем случае это
-В ГОСТ 2590-88
Круг
ГОСТ 1050 - 92
2.3.3 Расчет
режимов резания
Токарно-винторезная операция
Элементы режима резания обосновываем для каждого
технологического перехода, исходя из свойств материала заготовки и вида
перехода (операции) - черновой, получистовой, чистовой и т.п. При обработке
заготовки резанием вначале выбираем материал режущей части инструмента на
основе данных ГОСТ 3884-88, ГОСТ 4872-88 и научно-производственного опыта
[9,11].
Оптимальную скорость резания определяется по эмпирической
зависимости [9]:
(2.5)
(2.6)
Где
- оптимальная скорость резания
- глубина резания
- подача
- период стойкости инструмента
- эмпирический коэффициент
- поправочный коэффициент на скорость резания
- поправочный коэффициент, учитывающий качество обрабатываемого
материала
- поправочный коэффициент, отражающий состояние поверхности
заготовки
- поправочный коэффициент, учитывающий качество материала
инструмента
Режимы резания устанавливаем по табличным данным [9]:
Коэффициент Cv=350,
Стойкость инструмента T=60мин,
Режимы резания устанавливаем по табличным данным [11]:
Глубина резания t = 2,5 мм,
Продольная подача s=0.3мм/об
Vопт = 241
м/мин
Определяем оптимальную частоту вращения шпинделя:
nопт=1000 Vопт/ 3.14 Dдет = 307 об/мин
Корректируем оптимальную частоту вращения шпинделя по паспортным
данным станка 16К20:
nдейств=
315 об/мин
Корректируем скорость резания
Vдейств=3.14
Dдет nдейств/1000= 247 м/мин
Определяем силу резания
P=10Cptxsy vn kp
Коэффициент Cp=300,
Коэффициент kp=1
Глубина резания t = 2,5 мм,
Продольная подача s=0.3мм/об, P=1360 Н
Определяем мощность резания
N= Vдейств P/1020×60= 5.5 кВт
Режимы резания на остальные операции и переходы сведены в таблицу
2.2
Таблица 2.2
Режимы резания для операций и переходов
2.3.4 Выбор
оборудования
Для каждой операции производим выбор станка и приспособлений
на основании ранее полученных результатов проектирования: метода обработки и
габаритных размеров заготовки, типа производства, величины предшествующего
припуска и допусков на размеры.
Методы обработки (токарная обработка, фрезерование,
шлифование и т.п.) позволяют определить классификационную группу станка; тип
производства обуславливает выбор подгруппы станка (универсальный станок,
токарно-револьверный, токарный автомат или специальный станок).
Сопоставляя габаритные размеры заготовки с характеристиками
станков и значения элементов режимов резания с возможностями станка по
паспортным данным, выбираем типоразмер станка.
Выбрав типоразмер станка, производим расчет достаточности его
мощности для обработки заготовки на рассчитанных режимах. Необходимым условием
является равенство или превышение паспортных значений мощности станка по
сравнению с потребными значениями, т.е.
Nдв>Nрез
В нашем случае Nрез= 5.5 кВт, а мощность двигателя для
токарно-винторезного станка 16К20 равна 10 кВт, т.е. условие выполняется.
2.3.5
Нормирование затрат времени на изготовление детали
Процесс нормирования включает расчет составных частей штучной
нормы времени. Норма времени рассчитывается на каждую операцию и весь
технологический процесс обработки заготовки в целом.
Технически обоснованная норма времени на операцию
представляет собой штучно-калькуляционное время Тшт [10]
Тшт= То+ Тв +Тоб
+ Тот + Тп. з. /n, (2.7)
где То - основное время, которое рабочий
затрачивает на изменение размера, формы или качественного состояния предметов
труда;
Тв - вспомогательное время (на подвод и отвод
суппорта, включение и выключение подачи, измерение, установку и снятие
заготовки, замену инструмента и т.п.);
Тоб - время на обслуживание рабочего места (смена
и заточка инструмента, уборка стружки, смазка станка и т.д.);
Тот - время на удовлетворение естественных
надобностей, а на тяжелых работах - для отдыха;
Тп. з - подготовительно-заключительное время на
партию деталей (ознакомление с чертежом и технологической картой, переналадка
станка на партию деталей и т.п.);- количество деталей в партии.
Время обслуживания рабочего места и время перерывов в карте
указывается как дополнительное Тдоп [10]:
Тдоп= Тоб + Тот (2.8)
Определение Тв, Тот, Тдоп, Тп.
з. производится по зависимостям и справочным данным [10,12,13].
Заключение
Дипломный проект ставил задачей увеличить
эффективность работы ООО "Автоцентр "Северный"" за счет
реконструкции кузовного участка. С этой целью были выполнены расчеты
производственной программы, объема работ, численности производственных рабочих,
числа постов, произведен перерасчет площадей производственных, складских и
вспомогательных помещений. По их результатам сделано технико-экономическое
обоснование реконструкции. Так же отражены вопросы безопасности
жизнедеятельности и гражданской защиты.
Материалы дипломного проекта целесообразно
использовать для практической реконструкции СТО и родственных предприятий, как
в реальном режиме времени, так и на перспективу, что позволит увеличить
эффективность производства, его культуру, поднять качество выполняемых работ,
уменьшить удельные затраты.
Список
литературы
1. Мешечко
Т.А. Конспект лекций по менеджменту СТО.
2. Г.М.
Напольский "Технологическое проектирование автотранспортных предприятий и
станций технического обслуживания": учебник для вузов. - 2-е изд.,
перераб. и доп. - М.: Транспорт, 1993. - 271 с.
. Общесоюзные
нормы технологического проектирования предприятий автомобильного транспорта
ОНТП 01-91.
. Напольский
Г.М., Солнцев А.А. "Технологический расчет и планировка станций
технического обслуживания автомобилей": учебное пособие к курсовому
проектированию по дисциплине "Производственно-техническая инфраструктура
предприятий автомобильного сервиса". МАДИ (ГТУ) - М., 2003. - 53 с.
. Клюева
В.В. Конспект лекций по экономике СТО.
. Строительные
нормы и правила. Генеральные планы промышленных предприятий СНиП II-89-80.
. К.П.
Карпунина "Гражданская оборона на объектах автомобильного
транспорта". Волгоград, 1987 г.
. Зверева
М.В. Конспект лекций по безопасности жизнедеятельности на предприятиях
автомобильного транспорта.
. Справочник
технолога-машиностроителя. Под ред.А.Г. Косиловой. - М.: Машиностроение, 1980.
. Обработка
металлов резанием: Справочник технолога. Под ред.А. А. Панова. - М.:
Машиностроение, 1988. - 736 с.
. Общемашиностроительные
нормативы времени вспомогательного, на обслуживание рабочего места и
подготовительно-заключительного для технического нормирования станочных работ.
Изд.2-е. - М.: Машиностроение, 1974. - 421с.
. Общемашиностроительные
нормативы времени на обслуживание рабочего места и
подготовительно-заключительного. - М: Машиностроение, 1974. - 136 с.
. Курсовое
проектирование деталей машин: учебное пособие. С.А. Чернавский 2-е изд.,
перераб. и доп. - М.: Машиностроение, 1988. - 416 с.