Проект организации движения пассажирских поездов

  • Вид работы:
    Курсовая работа (т)
  • Предмет:
    Транспорт, грузоперевозки
  • Язык:
    Русский
    ,
    Формат файла:
    MS Word
    1,87 Мб
  • Опубликовано:
    2014-08-09
Вы можете узнать стоимость помощи в написании студенческой работы.
Помощь в написании работы, которую точно примут!

Проект организации движения пассажирских поездов

ВВЕДЕНИЕ

Пассажирский транспорт имеет большое социально-экономическое значение, так как играет важную роль в жизнеобеспечении общества. Пассажирские перевозки выполняют многие виды транспорта: железнодорожный, автомобильный, воздушный, морской, речной и др.

Пассажиры, исходя из своих соображений, по-разному оценивают достоинства и недостатки того или иного вида транспорта. В первую очередь это касается безопасности, регулярности и стоимости проезда, условий передвижения (удобство, комфорт), затрат времени на доставку пассажиров к месту назначения, в связи с чем в условиях жесткой конкуренции возникает необходимость в постоянном совершенствовании транспортных средств.

Железнодорожный пассажирский транспорт играет важную роль в жизни общества. Его значение и преимущества определяются такими факторами, как:

безопасность и надежность движения (в снегопад, пургу, в тумане и при других плохих погодных условиях поезда идут по графику);

наибольшая провозная способность (двухпутные железнодорожные линии способны перевозить по 300 - 500 тыс. пассажиров за сутки, занимая при этом небольшую территорию);

сравнительно низкая себестоимость железнодорожных перевозок;

самая быстрая доставка пассажиров на расстояние до 700 км (с учетом отсутствия потерь времени на дорогу к аэропорту и предвзлетные операции) при реальных скоростях движения поездов 120-160 км/ч и более;

минимальный вред для экологии окружающей среды;

лучшие условия для полной автоматизации перевозок;

способность использовать любые виды энергии;

широкий диапазон комфорта и сервиса.

Приведенные преимущества железных дорог, а также массовость и стабильность осуществляемых по ним перевозок делают их базой для координации и взаимодействия всех видов транспорта, оптимизации всех составляющих перевозочного процесса. В этих целях обеспечивается согласование расписания движения поездов, автобусов, самолетов и т.д. При вокзалах железных дорог размещаются круглосуточно работающие автовокзалы, гостиницы, предприятия торговли, узлы связи, рестораны, банки, бизнес-центры, что позволяет обеспечить минимальные потери времени пассажиров и создает наибольшие удобства при поездках и пересадках.

Развитие и состояние пассажирского железнодорожного транспорта отражают благосостояние народа, достижения науки и техники. Специалисты железных дорог и эксперты по транспорту предполагают, что в будущем высокоскоростные железные дороги станут основой пассажирских систем.

В настоящее время постоянное внимание уделяется совершенствованию пассажирских перевозок. Основными задачами, стоящими перед железнодорожниками является повышение прибыльности пассажирских перевозок за счет повышения производительности труда и снижения их себестоимости при условии улучшения организации и функционирования всех подразделений. Это даст возможность большему числу пассажиров пользоваться железнодорожным транспортом при достойном качестве перевозок, а железным дорогам обеспечит конкурентоспособное положение на рынке транспортных услуг.Усилия работников пассажирского железнодорожного транспорта должны быть направлены на стимулирование сбыта своей продукции и услуг, увеличение числа потребителей и их платежеспособного спроса.

Пассажирский комплекс играет одну из ключевых ролей в деятельности ОАО «Российские железные дороги», он во многом определяет имидж ОАО «РЖД» в глазах населения страны.Поэтому одним из основных принципов развития пассажирских перевозок как бизнеса, который строится на рыночной основе, становится ориентация на клиента.Проведение структурной реформы на железнодорожном транспорте предусматривает введение новых дополнительных видов деятельности, связанных с обслуживанием пассажиров.


. ОПРЕДЕЛЕНИЕ ПОТРЕБНОГО КОЛИЧЕСТВА ПОЕЗДОВ

План формирования пассажирских поездов по каждому направлению определяет пункты формирования и назначения поездов всех категорий. План формирования пассажирских поездов должен обеспечивать максимальный охват пассажиропотоков беспересадочным сообщением при наиболее эффективном использовании подвижного состава (локомотивов и вагонов).

В табл. 1приведены перевезенные пассажиропотоки за средние сутки максимального месяца.

Таблица 1

             на от

Е

А

Б

В

Г

Д

И

Е

х

2700






А


х

1900

630



350

Б

300


х





В




х




Г





х



Д






х


И







х


Схема направления приведена на рис. 1.

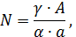
Потребное количество поездов на участке определяется по формуле, поездов/сут.:


где    А - пассажиропоток за средние сутки максимального месяца, пасс./сут;

а - число мест в поезде, ед.;

γ, α - коэффициенты неравномерности (в данном проекте не учитываются).

В расчетах ориентировочно принимаем число мест (при составе поездов локомотивной тяги 14÷16 вагонов, электропоездов повышенной комфортности 6÷10 вагонов):

в ночных поездах местных и в дальних поездах - 500÷700 мест;

в дневных поездах местного сообщения - 600÷800 мест;

в электропоездах повышенной комфортности - 400÷800 мест в зависимости от классов вагонов в составе.

Рис. 1. Схема направления

Определяем потребное количество поездов по назначениям.

) УчастокЕ - Б

Расстояние перевозки 480 км - сообщение местное.

Пассажиропоток - 300 пасс./сут.

Данный пассажиропоток целесообразно перевозить ночным пассажирским поездом.


Назначаем один поезд периодичностью через день, вместимостью 600 мест.

) УчастокА - В

Расстояние перевозки 520 км - сообщение местное.

Пассажиропоток - 630 пасс./сут.

Данный пассажиропоток целесообразно перевозить ночным пассажирским поездом.


Назначаем один поезд периодичностью через день, вместимостью 630 мест.

) УчастокА - И

Расстояние перевозки 800 км - сообщение дальнее.

Пассажиропоток - 350 пасс./сут.

Данный пассажиропоток целесообразно перевозить скорым поездом.


Назначаем один поезд периодичностью через день, вместимостью 700 мест.

) Участок А - Б

Расстояние перевозки 180 км - сообщение пригородное.

Пассажиропоток - 1900 пасс./сут.

Данный пассажиропоток целесообразно перевозить ускоренными электропоездами повышенной комфортности.


Назначаем три поезда в сутки вместимостью 634 места.

) Участок Е - А

Расстояние перевозки 300 км - сообщение местное.

Пассажиропоток - 2700 пасс./сут.

Данный пассажиропоток целесообразно перевозить ускоренными электропоездами повышенной комфортности.

Электропоезда, работающие на участках Е - А и А - Б целесообразно использовать в общем обороте.


Назначаем 3 поезда в суткивместимостью 634 места, обслуживаемые составами в общем обороте с поездами на участке А - Б.


Для перевозки оставшихся 2700 - 1900 = 800 пассажиров назначаем еще 2 поезда в сутки вместимостью 400 мест.



2. ОПРЕДЕЛЕНИЕ КОМПОЗИЦИИ ПОЕЗДОВ

Композиция составов пассажирских поездов составляется на основании плановых пассажиропотоков за средние сутки максимального месяца с учетом потребностей пассажиров.

Категории пассажирских вагонов в поездах локомотивной тяги:

СВ - мягкий с двухместными купе - 18 мест;

К - купейный с четырехместными купе - 36 мест;

ПЛ - некупейный со спальными местами (плацкартный) - 54 места;

О - некупейный с местами для сидения (общий) - 81 место;

С - межобластной с местами для сидения - 60 мест;

Р - вагон-ресторан;

П - почтовый;

Б - багажный.

Количество мест для сидения в вагонах электропоездов повышенной комфортности серии ЭД4МК (без учета мест для проводников):

Г1 (головной вагон 1-го класса) - 28;

М1 (моторный вагон 1-го класса) - 60;

П1 (прицепной вагон 1-го класса) - 52;

М2 (моторный вагон 2-го класса) - 86;

Г2 (головной вагон 2-го класса) - 42;

П2 (прицепной вагон 2-го класса) - 77;

П2Б (прицепной вагон 2-го класса с баром) - 36;

М3 (моторный вагон 3-го класса) - 114;

П3 (прицепной вагон 3-го класса) - 102;

Г3 (головной вагон 3-го класса) - 56.

) Участок Е - Б

Назначен ночной пассажирский поезд местного сообщения.

Потребное количество мест - 600.

Тип вагона

Число вагонов

Число мест

СВ

1

18

К

6

216

П

7

378

Р

1

-

Итого

15

612


2) Участок А - В

Назначен ночной пассажирский поезд местного сообщения.

Потребное количество мест - 630.

Тип вагона

Число вагонов

Число мест

СВ

1

18

К

7

252

П

7

378

Р

1

-

Итого

16

648


) Участок А - И

Назначен скорый поезд дальнего сообщения.

Потребное количество мест - 700.

Тип вагона

Число вагонов

Число мест

СВ

1

18

К

4

144

П

10

540

Р

1

-

Итого

16

702


) Участки Е - А и А - Б

Назначены ускоренные электропоезда повышенной комфортности.

Потребное количество мест - 634 и 400 мест.

Композиция поезда с вагонами 2 и 3 класса для обращения на участках Е-А и А-Б вместимостью 638 мест:

Тип вагона

Число вагонов

Число мест

Г2

1

42

М2

2

87

П2Б

1

36

М3

2

114

П3

1

102

Г3

1

56

Итого

8

638

в т.ч.:



2 класс

4

252

3 класс

4

386


Композиция поезда с вагонами 1 и 2 класса для обращения на участке «Е - А» вместимостью 403 места:

Тип вагона

Число вагонов

Число мест

Г1

2

28

М1

1

60

П2

1

77

П2Б

1

36

М2

2

87

Итого

7

403

в т.ч.:



1 класс

3

116

2 класс

4

287



3. ОПРЕДЕЛЕНИЕ ВРЕМЕНИ В ПУТИ И ПОТРЕБНОГО КОЛИЧЕСТВА СОСТАВОВ

Время в пути определяется по формуле:


где    L- расстояние перевозки, км.;м - маршрутная скорость поезда, км/ч.

В расчете ориентировочно принимаем маршрутные скорости поездов:

скорых в местном и дальнем сообщении - 55 км/ч;

пассажирских в местном и дальнем сообщении - 50 км/ч;

ускоренных в пригородном и местном сообщении, обслуживаемых составами электропоездов - 60 км/ч.

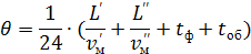
Время оборота состава определяется по формуле, сут.:


где    L’, L’’- расстояние прямого и обратного рейса, км.;

,  - маршрутная скорость поезда, км/ч;ф - время нахождения состава в пункте формирования, ч;об - время нахождения состава в пункте оборота, ч.

Потребное число составов определяется по формуле:


где    - периодичность движения.

) Участок Е - Б

Расстояние 480 км.

Пассажирский поезд местного сообщения.

Периодичность - через день.

Время в пути:



657

658

Е

22-20

-

Б

8-00

22-20

Е

-

8-00


Время нахождения состава в пункте формирования (ст. Е) - 14,2 ч.

Время нахождения состава в пункте оборота (ст. Б) - 14,2 ч.


Требуется 1 состав.

) Участок А - В

Расстояние 520 км.

Скорый фирменный поезд местного сообщения.

Периодичность - ежедневно.

Время в пути:




77

78

А

22-30

-

В

8-00

22-30

А

-

8-00


Время нахождения состава в пункте формирования (ст. А) - 14,3 ч.

Время нахождения состава в пункте оборота (ст. В) - 14,3 ч.


Требуется 2 состава.

) Участок А - И

Расстояние 800 км.

Пассажирский поезд дальнего сообщения.

Периодичность - через день.

Время в пути:



349

350

А

14-30

-

И

6-30

14-30

А

-

6-30


Время нахождения состава в пункте формирования (ст. А) - 8 ч.

Время нахождения состава в пункте оборота (ст. И) - 8 ч.


Требуется 1 состав.

) Участки Е - А и А - Б

Расстояние от ст. Е до ст. А - 300 км.

Расстояние от ст. Е до ст. А - 180 км.

Ускоренные электропоезда повышенной комфортности.


Пассажиропоток в размере 1900 пассажиров на каждом участке перевозим электропоездами с вагонами 2 и 3 классов вместимостью 638 мест. На каждом участке электропоезда совершают 3 пары рейсов (.

Первый оборот:


1 сутки

2 сутки


801

804

816

811

803

806

Е




7-00



А

6-30



12-00

13-00


Б

9-30

12-30



16-00

А


15-30

16-30



22-00

Е



21-30






Требуется 2 состава.

Второй оборот:


1 сутки

2 сутки


802

814

815

812

813

805

Е



16-30


13-00


А



21-30


18-00

19-00

Б

6-30





22-00

А

9-30

10-30


7-00



Е


15-30


12-00





Требуется 2 состава.

Для перевозки еще 800 пассажиров (2700 - 1900 = 800) на участке «Е - А» назначаем два более комфортных поезда (с вагонами 1 и 2 класса) в наиболее востребованное время (утром и вечером - два рейса по 425 мест - всего 850).

1-ый оборот - 1 сутки

2-ой оборот - 1 сутки


821

824


823

822

Е

8-30

-

Е

18-00

-

А

13-30

18-00

А

23-00

8-30

Е

-

23-00

Е

-

13-30



По одному составу на каждый оборот. Всего требуется 2 состава.

Расписание движения электропоездов в нечетном направлении:


801

811

803

821

813

805

815

823

Е

-

7-00

-

8-30

13-00

-

16-30

18:00

А

6-30

12-00

13-00

13-30

18-00

19-00

21-30

23:00

Б

9-30

-

16-00

-

-

22-00

-

-


Расписание движения электропоездов в четном направлении:


812

822

802

814

804

816

824

806

Б

-

-

6-30

-

12-30

-

-

19-00

А

7-00

8-30

9-30

10-30

15-30

16-30

18-00

22-00

Е

12-00

13-30

-

15-30

-

21-30

23-00

-


Все рейсы ежедневные.

Данные, полученные в п. 1 - 3 сведены в табл. 2.

Таблица 2

Участок

Расстояние

Сообщение

Катего-рия

Номер неч.

Номер четн.

Перио-дичность

Композиция

Число мест

Число составов

Маршрутная скорость

Время в пути

1

2

3

4

5

6

7

8

9

10

11

12

Е-А

300

Местное

Ускор.

811

816

Ежедн.

Г2 + М2 + М2 + П2Б + М3 +П3 + М3 + Г3 (8 ваг.)

638 мест, в т. ч. 2 класс - 252 3 класс - 386

2*

60

5-00




Ускор.

813 815

812 814

Ежедн.



2**

60

5-00




Ускор.

821

824

Ежедн.

Г1 + М1 + П2Б+ М2 + П2 +М2 +Г1 (7 ваг.)

403 места, в т. ч. 1 класс - 116 2 класс - 287

1

60

5-00





823

822

Ежедн.



1

60

5-00

А-Б

180

Пригородное

Ускор.

801 803

804 806

Ежедн.

Г2 + М2 + М2 + П2Б + М3 +П3 + М3 + Г3 (8 ваг.)

638 мест, в т. ч. 2 класс - 252 3 класс - 386

2*

60

3-00




Ускор.

805

802

Ежедн.



2**

60

3-00

Е-Б

480

Местное

Пасс.

657

658

Через день

1СВ + 6К + 7ПЛ + 1Р (15 ваг.)

612 мест, в т. ч. СВ - 18, К - 216,  ПЛ - 378

1

50

9-40

А-В

520

Местное

Скор. Фирм.

77

78

Ежедн.

1СВ + 7К + 7ПЛ + 1Р (16 ваг.)

648 мест, в т. ч. СВ - 18, К - 252,  ПЛ - 378

2

55

9-30

А-И

800

Дальнее

Пасс.

349

350

Через день

1СВ + 4К + 10ПЛ + 1Р (16 ваг.)

702 места, в т. ч. СВ - 18, К - 144,  ПЛ - 540

1

50

16-00

* - 2 состава в общем обороте с п. 812, 813, 814, 815 по ст. А

** - 2 состава в общем обороте с п. 811, 816 по ст. А

4. ГРАФИК ДВИЖЕНИЯ ПАССАЖИРСКИХ ПОЕЗДОВ

Рис. 2. График движения пассажирских поездов по участку Е-А-Б-В

Рис. 3. График движения пассажирских поездов по участку А-И

5. ОПРЕДЕЛЕНИЕ ЦЕН НА БИЛЕТЫ ФИРМЕННОГО ПОЕЗДА

На участке А-В курсирует фирменный поезд № 77/78 «Экспресс». Протяжённость маршрута следования составляет 520 км. Фирменные поезда формируются из пассажирских вагонов, находящихся в эксплуатации не более 12 лет после постройки или капитально-восстановительного ремонта. В составе фирменного поезда «Экспресс» курсирует вагон СВ, купейные, плацкартные вагоны и вагон-ресторан. Вагоны поезда оснащены системой кондиционирования воздуха, комбинированным электроотоплением, экологически чистыми туалетами.

Для работы на фирменном поезде подбираются проводники со стажем работы не менее трех лет, успешно сдавшие экзамены. Руководители бригад и начальники поездов имеют высшее образование и большой стаж работы. В любое время суток проводники приготовят для пассажиров чай, кофе, предложат кондитерские изделия. У проводников вагонов можно получить настольные игры: шашки, домино, шахматы, а также свежую прессу. Все составы фирменного поезда "Экспресс" сопровождаются сотрудниками правоохранительных органов.

Цены на проезд в фирменном поезде определяются по «Сборнику тарифов на перевозку пассажиров,а также арендованных (собственных) вагонов при следовании с пассажирами и в порожнем состоянии, во внутригосударственном сообщении, вводимых в действие с 01 октября 2010 года».

Коэффициент гибкого регулирования 1,00.

Коэффициент фирменности 1,5.

Номер тарифного пояса - 27 (500 - 550 км).

Стоимость проезда, руб.:



Плацкартный вагон

Купейный вагон

Вагон СВ

Билет

384,2

975,5

1955,7

Плацкарта

245,6

498,1

916,7

Проезд

629,8

1473,6

2872,4


Общая выручка с проданных билетов рассчитывается по формуле:


где    - коэффициент неравномерности (0,92 ÷ 0,95).



6. УСЛУГИ ДЛЯ ПАССАЖИРОВ НА ВОКЗАЛАХ

Дирекция железнодорожных вокзалов начала свою работу 1 апреля 2007 года.Создание функционального филиала ОАО «РЖД» - Дирекции железнодорожных вокзалов - предусмотрено в рамках перспективного развития пассажирского комплекса дальнего следования, осуществляемого в соответствии с Программой структурной реформы на железнодорожном транспорте и Стратегической программой развития ОАО «РЖД».

Дирекция железнодорожных вокзалов является структурной бизнес-единицей компании, специализированной по виду деятельности. Профильная специализация Дирекции - оказание услуг пассажирам и продажа услуг вокзальной инфраструктуры перевозчикам пассажиров, багажа и грузобагажа.

Миссия Дирекции железнодорожных вокзалов состоит в эффективном управлении вокзальным комплексом и увеличении прибыли вокзальных комплексов за счёт роста и развития дополнительных услуг, предоставляемых всем категориям потребителей.

Главные цели:

повышение качества обслуживания потребителей за счёт расширения номенклатуры и конкурентоспособности предоставляемых на вокзалах услуг;

безубыточность вокзального комплекса;

развитие вокзальной инфраструктуры до уровня современных стандартов;

эффективное использование вокзального имущества для предоставления услуг операторам на недискриминационной основе.

Деятельность ДЖВ направлена на взаимовыгодное сотрудничество компании и пассажиров. Создание ДЖВ предусматривает принципиально новый подход к сфере организации обслуживания пассажиров на вокзалах. Только предоставление качественных и доступных услуг привлечет потенциального клиента на железную дорогу и сделает вокзал рентабельным. Поэтому задача дирекции - предоставить разным категориям пассажиров максимум услуг. Пассажиру важно, в каких условиях он будет приобретать билет и проведет свое время в ожидании поезда, как и чем его на вокзале накормят, какие дополнительные услуги предложат, насколько полно он будет удовлетворен своим пребыванием на вокзале.

РЖД привлекает на инфраструктуру вокзалов:

сетевых операторов услуг федерального уровня -для создания на вокзалах России единых по уровню качества услуг;

региональных операторов услуг - для развития услуг на вокзалах в рамках одного региона;

розничных операторов услуг - для развития услуг на отдельных вокзалах.

Привлечение сетевых операторов федерального уровняпроизводится в рамках реализации Сетевого проекта развития услуг на инфраструктуре вокзалов.

Привлечение операторов регионального и локального (местного) уровня производится в рамках проводимой политики поддержки малого и среднего бизнеса.

.1 РОЗНИЧНАЯ ТОРГОВЛЯ

Для удобства пассажиров на железнодорожных вокзалах Дирекции действует 820 предприятий розничной торговли различных форматов - от павильонов до мини-маркетов. Здесь можно приобрести качественные продукты, товары народного потребления и все необходимое как в дороге, так и дома.

Дирекция предоставляет под мини- и супермаркеты 35 000 м2 . на своей инфраструктуре. В 2010-2011 году на вокзалах Москвы, Санкт-Петербурга, Волгограда, Воронежа, Екатеринбурга, Краснодара, Новосибирска, Омска, Перми будет открыто более 60 новых мини-маркетов.

.2 ОБЩЕСТВЕННОЕ ПИТАНИЕ

а) Вендинговые аппараты

Аппараты автоматизированной торговли - альтернатива разносной и лоточной торговли, размещаются в зданиях железнодорожных вокзалов, на привокзальных площадях и перронах.

Аппараты автоматизированной торговли по продаже горячих и холодных напитков, готовых продуктов питания - для тех пассажиров, кто экономит время, но не экономит на качестве.

В настоящий момент установлено более 3 000 аппаратов на всех железнодорожных вокзалах Дирекции.

б) Предприятия общественного питания

В зданиях железнодорожных вокзалов Дирекции действуют 170 предприятия общественного питания различных форматов.

Для улучшения качества обслуживания пассажиров Дирекция планирует предоставить на вокзалах 65 000 м2под открытие точек фаст-фудов, кафе, ресторанов.

В 2010-2013 гг. планируется открыть на 130 вокзалах более 100 новых точек общественного питания различных видов:

малоформатные фаст-фуды;

кафе;

столовые с большим ассортиментом блюд;

рестораны русской, восточной и европейской кухни.

в) Контроль качества общественного питания

Контроль и повышение качества услуг, предоставляемых на вокзалах, является одной из приоритетных задач Дирекции. Для контроля качества услуг предоставляемых пассажирам предприятиями общественного питания создана специальная компания - ООО «Питание на вокзалах».В ее задачи входит постоянный мониторинг качества продуктов и сервиса кафе, ресторанов и бистро на вокзалах Дирекции и выработка предложений по их улучшению.

.3 ФИНАНСОВЫЕ УСЛУГИ

а) Банкоматы и отделения российских банков

Нажелезнодорожных вокзалов Дирекцией действуют отделения, информационные киоски и банкоматов российских банков. Сейчас развитием услуги на сети занимается «ТрансКредитБанк».

б) Платежные терминалы

Для удобства пассажиров на железнодорожных вокзалов, а также на привокзальных площадях и перронах размещаются платежные терминалы, позволяющие оказывать более 10 видов услуг:

оплаты мобильной связи и интернета;

погашение банковских кредитов;

оплата коммунальных платежей и т.п.

В настоящий момент установлено более 3 000 аппаратов на всех железнодорожных вокзалах Дирекции.

.4 САЛОНЫ СОТОВОЙ СВЯЗИ И МЕДИЙНОЙ ПРОДУКЦИИ

На железнодорожных вокзалах Дирекции открыто более 30 салонов сотовой связи.Для развития данных услуг Дирекция предоставляет 8 000 м2на своей инфраструктуре.

В зданиях железнодорожных вокзалов Дирекции открыто более 30 торговых точек, где можно купить современную медийную продукцию на различных носителях. Дирекция предоставляет под данный сегмент 7 000 м2 на своей инфраструктуре

6.5 РАСПРОСТРАНЕНИЕ ПЕЧАТНОЙ ПРОДУКЦИИ

На сегодняшний момент для удобства пассажиров нажелезнодорожных вокзалов Дирекцией действуют более 200 точек по реализации печатной продукции - книг, газет, журналов.

На настоящий момент развитием услуги на сети занимается     ООО «АРП «Гудок» под брендом «Пресс-лайн». В ближайшее время планируется довести количество точек по реализации печатной продукции до 340.

.6 АПТЕКИ

Для обеспечения качественного сервиса пассажирам на железнодорожных вокзалов Дирекции действуют аптеки и аптечные пункты.По итогам первого открытого аукциона по сегменту «аптеки» на 3 300 кв. м на вокзалах России ОАО «Трансфарма» с торговой маркой «100 дорог» открывает аптеки и аптечные киоски

В 2010 - 2012 гг. планируется открыть новые аптечные точки на 42 вокзалах, в том числена вокзалах Москвы, Красноярска, Мурманска, Смоленска, Челябинска, Читы.Дирекция предоставляет под сегмент «аптеки» 16 000 м2на своей инфраструктуре.

.7 ДОПОЛНИТЕЛЬНЫЕ СЕРВИСНЫЕ УСЛУГИ

В зданиях железнодорожных вокзалов Дирекцией действуют более 100фирменных «РЖД-сервис» центров, где пассажирам могут быть оказаны более 30 видов услуг. Среди них:

Продажа и бронирование авиабилетов;

продажа и бронирование ж/д проездных документов;

информационно-справочные услуги;

бронирование номеров в гостиницах любой категории

в городах России, стран СНГ и Балтии;

грузоперевозки: воздушным, морским, железнодорожным и автомобильным транспортом по всему миру;

таможенные услуги;

организация деловых переговоров и встреч;

туристические услуги (поездки в различные страны мира, отдых в пансионатах и санаториях России и СНГ);

экскурсии по городам России;

дизайн, изготовление, регистрация наружной рекламы, вывесок, указателей;

изготовление визиток;

фотоуслуги (мгновенное фото);

услуги телефонных переговорных пунктов;

услуги переводчика.

«РЖД-сервис» развивает сеть сервисных центров, как собственными силами, так и на условиях франчайзинга.

.8 ТРАНСПОРТНЫЕ УСЛУГИ

В настоящий момент Дирекция в рамках реорганизации вокзальных комплексов в многофункциональные транспортно-пересадочные узлы организует комплекс дополнительных услуг по доставке пассажиров от места проживания до вокзала и далее, до конечного пункта назначения, с использованием услуг таксомоторов и автобусов.

а) Проект «РЖД-Трансфер»

Реализация проекта «РЖД-трансфер» подразумевает создание Единого центра обслуживания пассажиров, разработку программного обеспечения для формирования единого информационного пространства, предусматривающего бронирование билетов на междугородние автобусы во всех направлениях,предоставление услуги «РЖД-такси» (доставка до вокзала / встреча на вокзале)

В Москве проект реализован с 1 сентября 2009 года совместно с городским правительством: на Ленинградском, Павелецком, Казанском и Белорусском вокзалах Москвы можно купить билеты на междугородние автобусы, отправляемые с городских автовокзалов. От Казанского и Белорусского вокзалов курсируют бесплатные трансферные автобусы до городских автовокзалов.

б) Проект «РЖД-Такси»

Проект «РЖД-такси» предусматривает возможность воспользоваться комфортабельной и безопасной услугой такси и доехать от вокзала до любого места назначения в городе или пригороде.

На настоящий момент услуга предоставляется на Ленинградском и Курском вокзалах Москвы и Московском вокзале Санкт-Петербурга. В 2010 - 2012 гг. планируется начать оказание услуги на всех вокзалах Москвы и Санкт-Петербурга, в Нижнем Новгороде, вокзалах Сочинского транспортного узла.

Пассажиры поездов «Сапсан» смогут заказывать услугу «РЖД-такси», находясь в пути.Для того чтобы воспользоваться новой услугой, пассажирам поездов «Сапсан» на маршрутах Москва-Санкт-Петербург и Санкт-Петербург-Москва необходимо:

заполнить бланк заказа, данные которого передаются персоналом поезда в единый центр приема и обработки заказов оператора «РЖД-такси»;

по прибытии поезда подойти к встречающему у вагона водителю с табличкой с номером заказа.

Автомобили такси подаются на специально выделенные у Ленинградского и Московского вокзалах парковки «РЖД-такси» за 15 минут до прибытия поезда. Оплата услуг «РЖД-такси» осуществляется в соответствии с фиксированным тарифным планом. Для оказания услуг пассажирам поездов «Сапсан» на Московском вокзале оператор «РЖД-такси» заключил партнерский договор с официальным оператором такси в Санкт-Петербурге. В дальнейшем услуга «РЖД-такси» будет организована на всех вокзалах прибытия/отправления поездов «Сапсан».

.9 БЫТОВЫЕ УСЛУГИ И ПАРИКМАХЕРСКИЕ

В зданиях железнодорожных вокзалов Дирекцией действуют более 20 точек бытовых услуг, где пассажирам могут быть оказаны такие услуги как химчистка одежды, прачечная, ремонт обуви, ремонт часов и др.

На Курском вокзале Москвы открыт Центр бытового обслуживания под торговой маркой «Платформа чистоты», где оказываются услуги по стирке, химической чистке, ремонту обуви и одежды.

На железнодорожных вокзалов Дирекцией действуют более 30 парикмахерских.

.10 ГОСТИНИЦЫ И КОМНАТЫ ДЛИТЕЛЬНОГО ОТДЫХА

На 220 железнодорожных вокзалах Дирекции действуют комнаты длительного отдыха.Услугам пассажиров предлагаются более 2000 номеров от уровня «эконом» до «люксов».Общее количество мест на настоящий момент - 5000. Для улучшения качества обслуживания пассажиров Дирекция модернизирует имеющиеся комнаты длительного отдыха и планирует перепозиционировать их из мест остановки транзитных пассажиров в мини-гостиницы эконом-класса. Дирекция планирует развивать сеть комнат длительного отдыха и мини-гостиниц как собственными силами, так и на условиях аутсорсинга.


ЗАКЛЮЧЕНИЕ

В данном курсовой работе разработан проект организации движения пассажирских поездов в местном дальнем сообщении на заданном направлении:

ежедневно между станциями А и В курсирует скорый фирменный поезд;

через день назначены поезда между станциями Е и Б, А и И;

организовано движение ускоренных электропоездов с вагонами повышенной комфортности на участках Е - А и А - Б в размере 3 и 5 пар поездов в сутки соответственно;

на примере фирменного скорого поезда «Экспресс» подсчитана выручка от продажи билетов, составившая 479, 1 тыс. руб.

План формирования пассажирских поездов создан с учетом следующих требований: пассажирский поезд выручка маршрут

наиболее полное использование вместимости состава;

подбор композиции состава в соответствии с потребностями пассажиров;

наиболее удобное для пассажиров время прибытия и отправления поездов;

сокращение простоя составов.

На основе плана формирования построен график движения поездов и оборота пассажирских составов.

СПИСОК ИСПОЛЬЗОВАННЫХ ИСТОЧНИКОВ И ЛИТЕРАТУРЫ

Кудрявцев В.А. Организация железнодорожных пассажирских перевозок. М.: Академия, 2008.

СергееваТ.Г., ФедороваН.Б., Шутов И.Н. Условия перевозок и тарифы в пассажирских сообщениях, СПб: ПГУПС, 2009.

Шутов И.Н.Организация пассажирского движения. Учебное пособие по курсовому проектированию, СПб: ПГУПС, 2009.

Выписка из прейскуранта № 10-02-16 «Тарифы на пассажирские железнодорожные перевозки во внутреннем сообщении» с 01 октября 2010 года.

Похожие работы на - Проект организации движения пассажирских поездов

 

Не нашли материал для своей работы?
Поможем написать уникальную работу
Без плагиата!
Без нейросетей!