|
Интервалы
|
Средства связи при движении
поездов
|
|
Автоблокировка, управление
стрелками
|
Полуавтоблокировка,
управление стрелками
|
Электрожезловая, телефонная
связь
|
|
ручное
|
централизованное
|
ручное
|
централизованное
|
Ручное управление стрелками
|
|
Скрещения
|
2
|
0,5
|
3
|
2
|
8
|
|
Неодновременного прибытия
|
5
|
3,5
|
5,5
|
4
|
6
|
|
Попутного следования
|
-
|
-
|
1,5
|
7
|
|
Интервал между поездами в
пакете
|
10
|
tх + τпс
|
tх + τпс
|
Существуют четыре схемы прокладки линий хода пары поездов противоположных
направлений по ограничивающему перегону:
а) сходу на ограничивающий перегон;
б) сходу с ограничивающего перегона;
в) сходу через ограничивающий перегон следует нечетные поезда, четные
останавливаются на обеих станциях;
г) сходу через ограничивающий перегон следует четные поезда, нечетные
останавливаются на обеих станциях.
Рис. 2. Варианты пропуска поездов через раздельные пункты
ограничивающего перегона.
При выборе схемы преодоления ограничивающего перегона необходимо учесть,
что при выборе оптимальной схемы для одного перегона ограничивающим может стать
другой. Поэтому период графика на ограничивающем перегоне не должен быть меньше
периодов графика на соседних перегонах.
(1) Тпер= Тнп +t”+ t з+ Тнп+t’ +t з=4+20+1+4+22+1=52 мин
(2) Тпер= Тск +t”+ t р+ Тск+t’ +t р=2+20+2+2+22+2=50 мин
(3,4) Тпер= Тнп+t”+ t р+ Тск+t’ +t з = 4+20+2+2+22+1=51 мин
Для преодоления ограничивающего перегона необходимо выбрать схему 2:
«сходу с ограничивающего перегона». Однако следует учесть, как эта схема
повлияет на соседние перегоны.
И ЗСС 1 схема Тпер= 4+4+1+1+14+12=36 мин
ИК 2схема Тпер= 2+13+2+2+17+2= 38 мин
КЛ 1схема Тпер= 4+4+1+1+14+11=35 мин
ЛМ 2схема Тпер= 2+2+2+2+13+15=36 мин
МН 1схема Тпер= 4+4+1+1+18+17=45 мин
НО 2схема Тпер= 2+2+2+2+22+20=50 мин
ОП 1схема Тпер=4+4+1+1+20+20=50 мин
ПР 1схема Тпер=2+2+2+2+18+16=42 мин
Выбранная схема преодоления ограничивающего перегона используется при
прокладке поездов и на остальных перегонах участка с чередованием остановок
поездов противоположных направлений через один - два перегона. Для каждого
перегона определяется период и наличная пропускная способность. Используя
полученные данные, строится поперегонная диаграмма наличной пропускной
способности. По диаграмме определяются резервы пропускной способности перегонов
и наименьшая пропускная способность, определяющая пропускную способность
участка в целом.
Так как однопутный участок не оборудован автоблокировкой, а размеры
движения по направлениям неодинаковы, применяется непарный пачечный график
движения поездов.
При этом пропускную способность рассчитывают для каждого направления
отдельно. Исходными данными являются количество поездов преимущественного
направления Nпрпотр и количество поездов обратного направления Nобрпотр.
, (5)
, (6)
, (7)
где
ΔN
- разность в размерах движения по преимущественному и обратному направлениям
поездов;
tпр, tобр - время движения поезда по ограничивающему перегону в
преимущественном и обратном направлениях, мин;
τп.с.- -
интервал попутного следования, мин.
, (8)
где
Nгр - размеры движения грузовых поездов, исключая сборные,
пар поездов в сутки;
Nск, Nсб,
Nпас-
число пар скорых, сборных и пассажирских поездов в сутки;
εск, εсб, εпас -
коэффициенты съема пропускной способности скорым, сборным и пассажирским
поездами.
Принимаем
следующие значения коэффициентов съема пропускной способности поездами: скорыми
-1,3; сборными -1,5…2,0; пассажирскими -1,2.
Потребная
пропускная способность:
N’=18+1*1,3+1*1,8+2*1,2=23,5
пар
N”=20+1*1,3+1*1,8+2*1,2=25,5
пар
ΔN=N”-N’=25,5-23,5=2
N’’рез=26*1,15
= 29
Наличная
пропускная способность
Nобрнал ЗСС И=

=
=37,6 пар
Nобрнал ИК =
=36,5 пар
Nобрнал КЛ=
=39,3 пар
Nобрнал ЛМ=
=38,6 пар
Nобрнал МН=
=30,5 пар
Nобрнал НО=
=27,2 пар
Nобрнал ОП=
=27,4 пар
Nобрнал ПР=
=32,7 пар
Определив
величину потребной пропускной способности с учетом резерва , накл
Рис.
4 диаграмма пропускной способности однопутного участка в нечетном направлении
.
Определение показателей графика движения
Участковую
скорость движения поезда определяют делением расстояния на время хода поезда с
учетом времени на разгон, замедление и остановки на промежуточных раздельных
пунктах. Средняя для четного и нечетного направления на однопутном и двухпутном
участке участковая скорость определится по формуле
, (9)
где
∑NL - поездо - километры на участке,
∑NТобщ
- общие поездо-часы на участке с
учетом стоянок на раздельных пунктах и времени на разгон и замедление.
, (10)
где
∑hn - сумма моментов времени (в часах и минутах) прибытия
всех
поездов
на конечную станцию участка;
∑hо - сумма моментов
времени (в часах и минутах) отправления
всех
поездов с начальной станции участка;
Nо - число
поездов рассматриваемого направления, отправляющихся до 24 часов и прибывающих
на последующую техническую станцию после 0 часов.
Техническая
скорость на участке определяется делением расстояния, пройденного поездом, на
время его хода с учетом разгонов и замедлений
, (11)
где
∑NТбс
- общие поездо-часы на участке без учета времени стоянок
на
станциях.
Для
определения где ∑NТбс
необходимо из ∑NТобщ
вычесть суммарную продолжительность остановок ∑Тс всех
поездов на раздельных пунктах участка.
, (12)
Аналогично
ведутся расчеты для двухпутного участка.
Результаты
сведены в таблицу 5.
Нумерация
поездов в курсовом проекте обозначается номерами:
,
21… - скорые поезда;
,
6001… - пассажирские пригородные поезда;
,
2051… - маршруты с рудой;
,
2001… - поезда в разборку;
,
2071… - маршруты с флюсами;
,
2091… - маршруты угля;
,
3011… - маршруты с окатышами;
,
2081… - маршруты порожнего специализированного состава для перевозки рулонов и
слябов;
,
3001… - сборные участковые поезда.
Таблица
5. Время хода и продолжительность стоянок поездов
|
№ поезда
|
Время отправления
|
Время прибытия
|
Время хода (мин)
|
Продолжительность стоянок
(мин)
|
|
Однопутный участок, чётное
направление
|
|
2122
|
18:25
|
23:31
|
146
|
160
|
|
2000
|
18:25
|
21:24
|
143
|
36
|
|
6004
|
20:19
|
22:45
|
118
|
28
|
|
2002
|
21:08
|
02:09
|
151
|
150
|
|
2980
|
21:08
|
00:43
|
156
|
59
|
|
3000
|
22:01
|
01:30
|
147
|
62
|
|
2662
|
22:53
|
03:26
|
142
|
131
|
|
2664
|
23:50
|
04:12
|
144
|
118
|
|
2004
|
01:46
|
05:02
|
144
|
52
|
|
3002
|
02:46
|
05:45
|
140
|
39
|
|
2982
|
03:36
|
06:42
|
154
|
32
|
|
3004
|
04:26
|
07:05
|
136
|
33
|
|
2666
|
05:16
|
08:26
|
141
|
49
|
|
2668
|
06:06
|
08:58
|
137
|
35
|
|
2120
|
06:55
|
11:13
|
141
|
115
|
|
2006
|
08:12
|
11:52
|
137
|
107
|
|
2340
|
09:06
|
20:10
|
155
|
509
|
|
2984
|
09:24
|
12:55
|
147
|
64
|
|
2110
|
09:24
|
13:37
|
149
|
98
|
|
2330
|
11:00
|
17:18
|
142
|
236
|
|
2672
|
11:00
|
17:50
|
146
|
264
|
|
2660
|
17:04
|
20:40
|
137
|
79
|
|
20
|
17:40
|
19:22
|
92
|
10
|
|
6002
|
07:19
|
09:45
|
118
|
28
|
|
3363
|
2494
|
|
Однопутный участок,
нечётное направление
|
|
9007
|
18:18
|
21:52
|
147
|
67
|
|
6505
|
19:14
|
22:41
|
148
|
59
|
|
3007
|
19:22
|
23:33
|
159
|
92
|
|
5005
|
20:51
|
00:33
|
148
|
74
|
|
9001
|
21:41
|
01:46
|
140
|
105
|
|
6003
|
22:02
|
00:58
|
144
|
32
|
|
7001
|
22:57
|
02:30
|
151
|
61
|
|
7501
|
23:40
|
02:30
|
143
|
27
|
|
5001
|
00:26
|
03:26
|
144
|
36
|
|
9003
|
01:05
|
04:16
|
140
|
51
|
|
7003
|
01:35
|
05:06
|
148
|
63
|
|
8003
|
02:23
|
05:56
|
144
|
69
|
|
6501
|
02:52
|
06:46
|
148
|
86
|
|
7503
|
03:38
|
08:01
|
148
|
116
|
|
5003
|
04:28
|
08:53
|
152
|
113
|
|
7505
|
05:12
|
10:07
|
148
|
147
|
|
8001
|
06:51
|
10:49
|
148
|
90
|
|
6503
|
07:31
|
12:09
|
144
|
134
|
|
7005
|
07:51
|
12:39
|
149
|
139
|
|
9005
|
09:38
|
12:39
|
145
|
36
|
|
6001
|
08:54
|
11:49
|
144
|
31
|
|
2341
|
08:08
|
20:11
|
159
|
564
|
|
29
|
11:51
|
13:32
|
91
|
10
|
|
3001
|
11:24
|
20:11
|
148
|
379
|
|
3003
|
14:41
|
21:06
|
157
|
238
|
|
3005
|
14:56
|
21:06
|
161
|
209
|
|
3798
|
3028
|
|
Двухпутный участок, чётное
направление
|
|
5002
|
18:30
|
21:07
|
115
|
42
|
|
6500
|
19:49
|
21:59
|
115
|
15
|
|
7002
|
21:01
|
23:15
|
115
|
19
|
|
6004
|
22:49
|
00:42
|
113
|
24
|
|
2340
|
20:40
|
02:22
|
122
|
220
|
|
7004
|
23:00
|
01:10
|
115
|
15
|
|
8000
|
23:10
|
01:20
|
115
|
15
|
|
7500
|
01:37
|
115
|
15
|
|
3000
|
01:30
|
03:35
|
105
|
20
|
|
7502
|
02:21
|
04:35
|
115
|
19
|
|
6502
|
03:24
|
05:34
|
115
|
15
|
|
9000
|
03:41
|
05:51
|
115
|
15
|
|
3002
|
05:45
|
07:57
|
107
|
25
|
|
6504
|
06:31
|
08:50
|
115
|
24
|
|
9002
|
06:41
|
09:03
|
115
|
27
|
|
3004
|
07:05
|
09:15
|
105
|
25
|
|
5004
|
08:26
|
10:53
|
115
|
32
|
|
8002
|
08:49
|
11:03
|
115
|
19
|
|
7504
|
10:13
|
12:31
|
115
|
23
|
|
6506
|
11:48
|
13:59
|
115
|
16
|
|
7006
|
11:58
|
14:09
|
115
|
16
|
|
7506
|
12:08
|
14:35
|
115
|
32
|
|
5006
|
12:28
|
14:45
|
115
|
22
|
|
7008
|
13:48
|
16:40
|
119
|
53
|
|
5008
|
14:01
|
16:52
|
119
|
52
|
|
5000
|
16:18
|
18:50
|
119
|
33
|
|
9004
|
17:32
|
19:42
|
115
|
15
|
|
6508
|
17:42
|
19:52
|
115
|
15
|
|
20
|
19:20
|
20:24
|
64
|
-
|
|
3273
|
863
|
|
Двухпутный участок,
нечётное направление
|
|
2015
|
19:05
|
21:30
|
117
|
28
|
|
6003
|
19:38
|
21:58
|
97
|
43
|
|
2661
|
20:15
|
22:32
|
117
|
20
|
|
2017
|
21:35
|
23:49
|
117
|
17
|
|
2019
|
21:45
|
01:49
|
117
|
127
|
|
2021
|
21:55
|
03:07
|
117
|
195
|
|
2335
|
22:12
|
00:39
|
117
|
20
|
|
2331
|
01:56
|
06:24
|
117
|
151
|
|
2341
|
02:35
|
07:38
|
122
|
181
|
|
2981
|
02:46
|
04:46
|
105
|
15
|
|
2001
|
02:56
|
05:08
|
117
|
15
|
|
2003
|
03:56
|
06:59
|
117
|
66
|
|
2005
|
06:16
|
08:31
|
117
|
18
|
|
6001
|
06:49
|
08:50
|
97
|
24
|
|
2111
|
07:05
|
09:18
|
117
|
16
|
|
2121
|
07:15
|
09:38
|
117
|
26
|
|
3001
|
09:05
|
11:24
|
104
|
35
|
|
2007
|
09:15
|
11:27
|
117
|
15
|
|
29
|
10:40
|
11:51
|
71
|
-
|
|
2333
|
10:53
|
13:07
|
117
|
17
|
|
3003
|
12:10
|
14:40
|
104
|
46
|
|
2123
|
12:20
|
15:51
|
117
|
94
|
|
3005
|
12:44
|
14:51
|
105
|
22
|
|
2009
|
13:03
|
15:15
|
117
|
15
|
|
2011
|
14:53
|
17:15
|
117
|
25
|
|
3007
|
17:01
|
19:07
|
105
|
21
|
|
2013
|
17:14
|
19:27
|
117
|
16
|
|
|
|
3016
|
1268
|
Коэффициент скорости β определяется как средняя величина
отдельно по направлениям для однопутного и двухпутного участка.
, (13)
Результаты
расчетов сведены в таблицу 6. Расчет коэффициента скорости
Таблица
6
|
Участок и направл.
|
Поездо-килом
|
Поездо-часы
|
Время стоянок
|
Поездо-часы в движении
|
Участков скорость
|
Технич скорость
|
Коэф скорости
|
|
Однопутн, чётное
|
3250
|
91,6
|
41,6
|
56
|
35,4
|
58
|
0,6
|
|
Однопутн, нечётное
|
3736
|
113,8
|
50,5
|
63,3
|
32,8
|
59
|
0,55
|
|
Двухпутн, чётное
|
3320
|
68,9
|
14,4
|
54,5
|
48,2
|
60,9
|
0,79
|
|
Двухпутн, нечётное
|
2971
|
71,4
|
21,1
|
50,3
|
41,6
|
59
|
0,7
|
. Расчет коэффициентов неравномерности для разборки и маршрутов руды
Определим коэффициент неравномерности для поездов в разборку, при подходе
к ПТС, количество которых в сутки составляет 15 поездов.
Интервалы: 121, 18, 120, 20, 58, 115, 6, 112, 92, 176, 25, 193, 130, 132,
127 .
Вариационный
размах R=imax-imin=193-6=187
.
Разобьем
выборку на интервалы, величина которых определяется формулой Старджесса:
Принимаем
Iв =19,
подсчитаем частоту попадания случайной величины в каждый интервал. Оценим
значения математического ожидания, дисперсии, среднеквадратичного отклонения и
коэффициента вариации.
Таблица
7
|
Интервал
|
Среднее значение на
интервале
|
Число попаданий в интервал
|
|
6-25
|
15
|
3
|
|
25-44
|
34
|
1
|
|
44-63
|
53
|
1
|
|
63-82
|
72
|
0
|
|
82-101
|
91
|
1
|
|
101-120
|
110
|
3
|
|
120-139
|
129
|
4
|
|
139-158
|
148
|
0
|
|
158-177
|
167
|
1
|
|
177-196
|
186
|
1
|
Оценка математического ожидания:
Оценка дисперсии:
Оценка среднеквадратичного отклонения:

=57,6.
Оценка
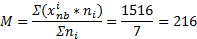
коэффициента вариации:

.
Коэффициент
неравномерности:
Kнер=1+Kвар=1+0,6=1,6.
Определим коэффициент неравномерности для поездов в разборку, при подходе
к станциям А и Р, количество которых в сутки составляет 15 поездов.
Интервалы: 45, 110, 33, 11, 8, 234, 70, 60, 140, 116, 63, 222, 116,
141,71.
Вариационный
размах R=imax-imin=234-8=226
.
Принимаем
Iв =23
|
ИнтервалСреднее значение на
интервалеЧисло попаданий в интервал
|
|
|
|
8-31
|
19
|
2
|
|
31-54
|
42
|
2
|
|
54-77
|
65
|
4
|
|
77-100
|
88
|
0
|
|
100-123
|
111
|
3
|
|
123-146
|
134
|
2
|
|
146-169
|
157
|
0
|
|
169-192
|
180
|
0
|
|
192-215
|
203
|
0
|
|
215-238
|
226
|
2
|
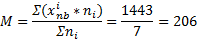
Оценка математического ожидания:
Оценка дисперсии:
Оценка среднеквадратичного отклонения:

=62,6.
Оценка
коэффициента вариации:

.
Коэффициент
неравномерности:
Kнер=1+Kвар=1+0,65=1,65.
По
расчетам коэффициент неравномерности на станциях А и Р равен 1,65 , но при
подходе к ПТС он снизился до 1,6.
Определим коэффициент неравномерности для маршрутов с рудой, приходящих
на ЗСС, количество которых в сутки составляет 7 поездов.
Интервалы: 112, 294, 46, 254, 32, 532, 170
Вариационный
размах R=imax-imin=532-32=500
.
Принимаем. Iв
=69
Таблица
9
|
ИнтервалСреднее значение на
интервалеЧисло попаданий в интервал
|
|
|
|
32-101
|
66
|
2
|
|
101-170
|
135
|
1
|
|
170-239
|
204
|
1
|
|
239-308
|
273
|
2
|
|
308-377
|
342
|
0
|
|
377-466
|
411
|
0
|
|
466-532
|
499
|
1
|
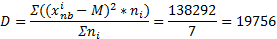
Оценка математического ожидания:
Оценка дисперсии:
Оценка среднеквадратичного отклонения:

=140.
Оценка
коэффициента вариации:

.
Коэффициент
неравномерности:
Kнер=1+Kвар=1+0,65=1,65
.
.
Определим
коэффициент неравномерности для маршрутов с рудой , при подходе к станциям А и
Р, количество которых в сутки составляет 7 поездов.
Интервалы:
176, 172, 50, 334, 60, 294, 365.
Вариационный
размах R=imax-imin=365-50=315
.
Разобьем
выборку на интервалы, величина которых определяется формулой Старджесса:
Принимаем
Iв =43 ,
подсчитаем частоту попадания случайной величины в каждый интервал. Оценим
значения математического ожидания, дисперсии, среднеквадратичного отклонения и
коэффициента вариации.
Таблица
10
|
ИнтервалСреднее значение на
интервалеЧисло попаданий в интервал
|
|
|
|
50-93
|
71
|
2
|
|
93-136
|
114
|
0
|
|
136-179
|
157
|
2
|
|
179-222
|
200
|
0
|
|
222-265
|
243
|
0
|
|
265-308
|
286
|
1
|
|
308-351
|
329
|
1
|
|
351-394
|
372
|
1
|
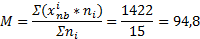
Оценка математического ожидания:
Оценка дисперсии:
Оценка среднеквадратичного отклонения:

=113.
Оценка
коэффициента вариации:

Коэффициент
неравномерности:
Kнер=1+Kвар=1+0,54=1,54
По
расчетам коэффициент неравномерности на станциях А и Р равен 1,54, но при
подходе к ПТС он повысился до 1,65.
6.
Увязка графика движения с оборотом локомотивов
Увязка
локомотивов графически показывается на графике движения. Необходимым условием
является полный законченный оборот движения локомотивов, которые могут работать
как отдельно на однопутном и двухпутном участках, так и комбинированно.
По исходным данным в ходе самостоятельной работы над графиком была
выполнена увязка 25 локомотивов. Оборот локомотивов различен, большая их часть
работает на однопутном и двухпутном участках отдельно, но так же есть
локомотивы работающие комбинированно.
Заключение
Результатом выполнения курсового проекта стал график движения поездов по
железной дороге, состоящей из 2-х участков: двухпутного и однопутного. В данном
курсовом проекте были выполнены следующие требования:
· определение ограничивающего перегона и расчет его пропускной способности;
· выбор оптимальной схемы преодоления ограничивающего перегона;
· определение наличной и потребной пропускной способности
полигона и построение диаграммы пропускной способности по перегонам;
· выбор типа графика на одно- и двухпутном участках;
· построение графика движения поездов;
· выполнение увязки локомотивов;
· расчет показателей графика.
Благодаря правильно выбранной схеме и соблюдения ее во время построения
графика для пропуска заданного количества поездов не потребовалось применять
организационно - технологические мероприятия.
Имеющиеся на станциях локомотивы полностью обеспечивают поездную работу.
В ходе данной работы были получены практические навыки построения графика
движения поездов, были произведены различные расчеты по данной разработке. Для
наилучшего функционирования работы промышленно-транспортной системы желательно
ввести следующие меры:
·
построить
дополнительные пути на станциях Г, Л и М ;
·
осуществить
переход с полуавтоблокировки на автоблокировку.
Библиографический список
1. Методические указания курсовому проекту по дисциплине
“Управление эксплуатационной работой” для студентов специальности 240100
“Организация перевозок на транспорте (железнодорожном)”. /Липецкий государственный
технический университет; Сост. к.т.н., доц. Попов А.Т., Суслова О. А., Либерман
Б. А., Липецк, 2001 г.
. Акулиничев В. М. «Организация перевозок на промышленном
транспорте»: Учебник. - М.: Высш. шк., 1983. - 247 с.
. Технология эксплуатационной работы на железных дорогах:
Учеб. Для техн. Школ ж.-д. трансп./ В.А. Кудрявцев, А.К. Угрюмов. А.П. Романов
и др. - М.: Транспорт, 1994, - 264 с.
. Сотников И. Б. «Эксплуатация железных дорог»: Учеб. пособие
для вузов ж.-д. трансп. - 3-е изд. перераб. и доп. - М.: Транспорт, 1978 - 232
с.