|
С направления
|
Категория поездов
|
На направление
|
На станцию Д
|
Итого
|
|
|
А
|
Б
|
В
|
|
|
|
А
|
пассажир
|
|
3
|
1
|
0/5
|
9
|
|
Б
|
пассажир
|
3
|
|
3
|
0/0
|
6
|
|
В
|
пассажир
|
0
|
4
|
|
0/0
|
4
|
|
Пассажирские со станции Д
|
Сборные
|
0
|
0
|
0
|
|
0
|
|
Участковые
|
5
|
0
|
0
|
|
5
|
Примечание: 4/ - пассажирские поезда направлением на станцию «Д»
/8 - пригородные пассажирские поезда назначением на станцию «Д»
Грузовые поезда на станцию «Д» - это поезда в расформирование, которыми
для участковых станций являются в основном сборные и участковые. Всего на
станцию в расформирование приходит 4 сборных поездов и 6 участковых.
Пассажирские поезда на станцию «Д» - это местные и
пригородные поезда. Всего на станцию «Д» приходит 5 пригородных поездов.
2. Разработка принципиальной схемы станции
По взаимному расположению основных парков различают участковые станции
следующих типов: поперечного, продольного, полупродольного и с последовательным
расположением пассажирских устройств и приёмо-отправочных парков для грузового
движения.
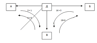
.1 Выбор направления примыкания боковой линии
Основным условием для выбора направления примыкания боковой линии
является минимальный угловой поток транзитных грузовых и пассажирских поездов.
На рис. 2.1. приведена схема взаимной корреспонденции поездопотоков между
основной и боковой линиями.
Минимальный угловой грузовой поток с четного
направления, примыкание ст В с четной стороны.
2.2 Определение полезной длины приемо-отправочных путей
Полезная длина приемо-отправочных путей
устанавливается в зависимости от длины обращающихся поездов.
Длина грузового поезда определяется по формуле:
Ln= Qn/q4* l4g4 + Qn/q8* l8g8 + lл , м (2.1)
Где Qn -
масса поезда, т = 4500
q4, q8 -
масса брутто соответственно четырех- и восьмиосных вагонов, т
g4,g8 - доля соответственно четырех - и восьмиосных
вагонов (по заданию);( g4=0,95,g8=0,05);
l4,l8 - длина соответственно четырех- и
восьмиосного вагонов, м (l4=14,73,l8=20,24);
lл -
длина локомотива, м (33).
Вес брутто вагонов определяется:
qбр = qн + qт (2.2)
где
qн
- масса
груза, т (qн4=45, qн8=110 );
qт - масса тары,
т (qт4=22, qт8=43,4)
qбр4= 45+22=67
qбр8=
110+43,4=153,4
Ln=
4500/67*14,73*0,95+4500/153,4*20,24*0,05+33=1002,42,м
По
длине грузового поезда принимается стандартная ближайшая длина
приемо-отправочных путей станции (1250 м, 1050 м или 850 м). В нашем случае
длина приемоотправочных путей ровна 1050м
.3
Разработка вариантных схем станции
Прежде
чем приступить к проектированию плана станции, необходимо выбрать ее принципиальную
схему. В зависимости от заданной длины станционной площадки нужно рассмотреть
не менее двух схем станции разных типов.
Потребные
длины станционных площадок при принятой после расчета полезной длине
приемо-отправочных путей Lпо равны:
Для
продольной схемы станции 2 * Lпо +1900 м = 2*1050+1900 = 4000
Для
полупродольной схемы станции 2 * Lпо +750 м = 2*1050+750=2850
Для
поперечной схемы станции Lпо + 1350 м = 1050 + 1350 = 2400
Т.к.
длина площадки Lc = 3350 м, то видно, что вышеописанному условию удовлетворяет
только Lст = 2850 м и Lст = 2400 м,
что соответствует станциям полупродольного и поперечного типа.
Участковые станции имеют собственное водоснабжение, обеспечивающее
производственные и хозяйственные потребности.
Расположение основных устройств должно обеспечивать потребную пропускную
способность, безопасность поездного и маневрового движения, удобное
обслуживание пассажиров, отправителей и получателей грузов, наименьшие пробеги
подвижного состава.
Схема узловой станции участковой станции поперечного типа в пункте
пересечения однопутной линии с двухпутной.
ПО-1 обработка транзитных поездов (тех. Осмотр, коммерческий осмотр при
необходимости, смена поездного локомотива на станциях с основным и оборотным
депо)
СП - сортировочный парк
ГР - грузовой район
ЛХ - локомотивное хозяйство
3. Расчет основных устройств станции
.1 Проектирование пассажирских устройств
Для приема и отправления пассажирских поездов используются главные
специальные приемоотправочные пути.
Число пассажирских приёмоотправочных путей, включая главные, должно быть
не менее числа главных путей. При этом для обеспечения возможности пропуска
пассажирских поездов пачками и пакетами необходимо иметь дополнительный путь.
Для обслуживания пассажиров проектируется пассажирское здание, платформы
и переходы между ними, а также вспомогательные пассажирские устройства
(багажные отделения и др.).
Пассажирское здание проектируется со стороны населенного пункта и
строится по типовым проектам на 25, 50, 100,200 и 300 человек.
Размеры пассажирского здания:
· На 25 человек - 6х18 м;
· На 50 человек - 12х18 м;
· На 100 человек - 12х42 м;
· На 200 человек - 18х50 м.
У пассажирского здания проектируется основная пассажирская платформа
шириной не менее 6 м. Промежуточные пассажирские платформы нежелательно
проектировать между главными путями. Устройство пассажирской платформы между
главными путями ведёт к искривлению одного из путей и, как следствие, к
снижению скорости пропуска по нему пассажирских поездов.
Ширина промежуточных платформ зависит от пассажиропотоков, размеров сооружений,
размещаемых на платформах, и может быть определена по формуле:
bпл= 2*
+ bт,
м (2.3)
где

-
расстояние от края платформы до стенки схода с пешеходного моста или выхода из
тоннеля, 2 м;
bт- - ширина
схода с пешеходного моста или выхода из тоннеля, 2 - 3 м.
Ширина
промежуточной платформы должна быть не менее 6 - 7 м при наличии пешеходного
моста и не менее 7 м при наличии тоннеля.
Ширина
междупутья с промежуточной пассажирской платформой определяется по формуле:
e = 2*l1 + bпл
(2.4)
где

- габарит
приближения строения - 1,745 м;
bпл - ширина
промежуточной платформы(7 м).
e = 2*1,745 + 7=
10,49 = 10,5 м
Устройство
переходов для пассажиров в разных уровнях обязательно на станциях двухпутных
линий продольного и полупродольного типов. На участковых станциях,
обслуживающих пригородное и пассажирское движение, проектируют пути для
технического осмотра, экипировки, стоянки составов и ремонта вагонов
(технический парк). Эти пути следует укладывать в виде парка - параллелограмма
со стороны, противоположной наибольшему подходу конечных пассажирских и
пригородных поездов, заканчивающих своё следование на станции.
В
курсовом проекте мы запроектируем в техническом парке 5 путей.
.2
Расчет числа путей в приемо-отправочном парке
Количество
приёмоотправочных путей для грузового движения зависит от размеров движения,
устройств автоматики и телемеханики на прилегающих перегонах, а также от
технологических норм обработки поездов на станции. Число путей определяется
отдельно в каждом приемо-отправочном парке по формуле:
m = tзан/Ip+1
(2.5)
где
tзан - время занятия пути поездом, мин; Ip -
расчетный интервал прибытия поездом в парк, мин; 1 - путь обгона
На
узловых участковых станциях в приемо-отправочный парк поезда принимаются с двух
подходов. В этом случае число путей определяется по формуле:
m = tзан/Ipср.
вз +1 (2.6)
где
Ipср. вз средневзвешанный интервал приема поездов в
парк, мин
Ipср. вз = I’p * I”p / I’p + I”p (2.7)
Где
I’p , I”p - расчетные интервалы прибытия поездов соответственно
с первого и второго подходов, мин
Расчетный
интервал прибытия определяется по формуле:
Ip = Imin
+ Iср / 2 , мин (2.8)
Где
Imin - минимальный интервал следования грузовых поездов на
участке (можно принять равным 8 или 10 мин при автоблокировке и 20 мин при
полуавтоматической блокировке);
Iср - средний
интервал прибытия поездов на станцию
Iср = 1400/ 
* Nгр +
* Nпас , мин (2.9)
Где
Nгр, Nпас - соответственно число грузовых и пассажирских
поездов, прибывающих с рассчитываемого подхода;

-
коэффициент, учитывающий неравномерность прибытия поездов на станцию, 1,1 -
1,15;
-
коэффициент съёма грузовых поездов пассажирскими, 
.
Таким образом, если в парк принимаются поезда с двух подходов, то Iср и Ip интервалы прибытия поездов определяются для каждого подхода,
а затем определяется средневзвешенный расчетный интервал приема поездов в парк.
Время занятия пути одним поездом определяется по формуле:
tзан =
tпр + tоп + tож + tот , (2.10)
где tпр - время занятия поездом маршрута
приема на станцию, мин
tоп -
время выполнения операций на приемо-отправочных путях по типовому
технологическому процессу - 30 мин;
tож -
время простоя поезда в ожидании отправления, мин
tот -
время занятия поездом маршрута отправления с момента трогания до момента
освобождения путевой секции, мин
В курсовом проекте принимаем:
tпр -
от 4 до 6 мин
tож
(чет/нечет) =1/2* Јmaxр (2.11)
tот -
от 3 до 5 мин
Для однопутных линий
IВp = 1440/ Nmaxгр = 1440/48=30 мин
Где Nmaxгр - max грузоспособность однопутной линии с учетом 20%
резерва по условиям полуавтоблокировке (48п/сут)
IАср =
1440/1,1*48+1,5*9 = 21,72 мин
IБср =
1440/1,1*59+1,5*6 = 19,48 мин
IАp = 10+21,72/2 = 15,86 мин
IБp = 10+19,48/2 = 14,74 мин
Ipср.
вз = IАp * IВp / IАp + IВp = 15,86*30/15,86+30 = 10,37 мин
tож
чет = Ѕ * 30 = 15 мин
tожнеч
= Ѕ*14,74 = 7,37 мин
tчетзан
= 5+30+15+5 = 55 мин
tнечзан
= 5+30+7,37+5 = 47,37 мин
mчет =
tчетзан / Ipср. вз + 1 = 55/10,37 + 1 = 6,3 = 7+2 = 9
mнет =
tнечзан / IБp + 1 =
47,37/14,74 + 1 = 4,21 = 5
.3 Расчет числа сортировочных и вытяжных путей
Количество сортировочных путей на участковой станции зависит от
количества назначений по плану формирования и числа перерабатываемых вагонов.
Полезная длина сортировочных путей должна быть на 10…12 % больше длины
формируемого состава.
(2.12)
Lпол. сп = 1003
* 1,1 = 1103,3 = 1104
Расчет
числа путей в сортировочном парке для удобства сводится в таблицу
|
Назначение путей
|
Кол-во перерабатываемых поездов
|
Кол-во сортировочных путей
|
Необходимая длина путей, м
|
|
Участковых поездов
|
На А
|
2
|
1
|
1104
|
|
На Б
|
2
|
1
|
|
|
На В
|
1
|
1
|
|
|
Сборных поездов
|
На А
|
1
|
1
|
|
|
На Б
|
2
|
1
|
|
|
На В
|
1
|
1
|
|
|
Для вагонов на грузовой район
|
1
|
1
|
500
|
|
Для вагонов на подъездные пути
|
1
|
1
|
500
|
|
Для неисправных вагонов
|
1
|
1
|
300
|
|
Для отсевных
|
1
|
1
|
200
|
|
Итого
|
|
∑10
|
|
На участковых станциях для обеспечения одновременной сортировочной работы
в обеих горловинах парка проектируется два вытяжных пути.
При этом путь в горловине, противоположной локомотивному хозяйству,
проектируется как основной на полную длину состава, а путь в центральной
горловине - как вспомогательный полезной длиной на половину состава.
В курсовом проекте приняли 2 вытяжных пути для схемы станции поперечного
типа и 3 вытяжных пути для схемы станции полупродольного типа.
.4 Расчет устройств грузового района
Грузовые районы участковой станции обычно имеют погрузочно-выгрузочные
пути, складские устройства, механизмы для погрузки- выгрузки грузов,
автоподъезды с твёрдым покрытием и другие устройства, соответствующие
выполняемой работе.
Крытые склады для тарно-штучных грузов проектируются с внешним и
внутренним расположением погрузочно-выгрузочных путей по типовым проектам,
ширина крытых грузовых складов с внешним расположением путей принимается 18 м.
Рампы крытых складов - не менее 3 м. со стороны пути и не менее 1,5 м. со
стороны подъезда автомобилей. Ширина крытых складов ангарного типа принимается:
при вводе одного пути - 24 м. Для перегрузки тарно-штучных грузов по прямому
варианту из вагонов на автотранспорт и наоборот проектируют крытые высокие
платформы на 4…6 вагонов.
Для переработки контейнерных и тяжеловесных грузов предусматриваются
специальные площадки, оборудованные козловыми кранами пролётом не менее 16 м
или мостовыми кранами пролетом 30 м.
Навалочные грузы выгружаются из саморазгружающегося подвижного состава на
повышенных путях высотой 1,5 м или 2,4 - 2,5 м, а при большом объёме
переработки этих грузов - на разгрузочных эстакадах высотой до 4,0 м;
оборудованными козловыми кранами с устройствами для открытия и закрытия люков.
Длина повышенного пути определяется по числу выгружаемых за сутки вагонов
по формуле:
Lпп= nв * lв / nпод ,
м (2.13)
Где nв - число вагонов, выгружаемых за
сутки; (37)
lв -
длина вагона, м; (14,73)
nпод -
число подач за сутки; (3-4)
Lпп =
37*14,73/4 = 136,25
Длина повышенного пути должна быть кратной 6 м - длине панелей
железобетонных элементов , поэтому Lпп =138
При выгрузке на станции навалочных грузов не менее 20 вагонов за сутки
вблизи грузового района в районе вытяжного пути размещают вагонные весы и
габаритные ворота. Одиночные вагонные весы грузоподъёмностью до 150 т имеют
длину 15,5 м, грузоподъёмностью 250 т с двумя платформами - 19,2 м. Путь, на
котором располагаются весы, проектируется прямым и горизонтальным. Прямой
участок с каждой стороны весов должен быть не менее 20 м.
Расстояния между осями весового и соседнего пути принимается 5,3 м при
размещении весовой будки снаружи и 8,5 м при расположении её в междупутье.
На крупных грузовых фронтах у выезда с территории устанавливают не
мешающие проезду автомобильные весы грузоподъёмностью до 25 т для взвешивания
навалочных грузов.
Длина склада определяется по формуле:
Lскл =
Fскл / Bфакт (2.14)
где
- площадь склада = 2520 м;
- ширина
склада, используемая для размещения груза, м.
Рассчитанная
длина принимается кратной 6 м. для крытого склада и кратной 5м. для открытой
площадки и не должна превышать 300 м.
Потребная
длина фронта для складов определяется по формуле:
Lфр = ∑ Nфр *
lфр /nпод , м (2.15)
Где
∑ Nфр - число учетных вагонов, подаваемых к фронту за
сутки
lфр - длина
фронта, приходящаяся на один учетный вагон (с учетом промежутков между вагонами
при их расстановке у дверей склада) - 8 м;
nпод - число
подач на грузовой двор за сутки, зависящее от числа смен и числа подач за смену
(в каждую смену можно принимать две подачи).
При
этом должно выполняться условие:
.
Грузовые
районы могут устраиваться тупикового или комбинированного типа с
последовательным или параллельным расположением выставочных путей. суммарная
полезная выставочных путей должны бать не менее двойной длины единовременно
подаваемой группы вагонов.
∑
Lвыст = 2 * ∑ Nпв * lв / nпод
, м (2.16)
где
ƩNсут
- общее количество вагонов, подаваемых на грузовой район за сутки.
Параметры
склада для тарно - упаковочных и штучных грузов
Для хранения тарно - упаковочных и штучных грузов выбираем крытый склад
ангарного типа с внутренним вводом железнодорожных путей соответственно приняв
длину склада 24 м.
Фактическая ширина склада для тарно-штучных грузов определяется следующим
образом:
Bфакт
= Lпр - (3,05+ 1,92 + 3,6), м
(2.17)
Где Lпр - величина пролёта крытого склада,
м (рекомендуется принимать стандартные значения - 24 или 30 м);
,05; 1,92 - габаритные расстояния, м;
,6 - расстояние, необходимое для разворота погрузчика, м.
Bфакт
= 24- (3,05+1,92+3,6) = 15,43
Рис.
1 - Поперечный разрез крытого склада
По
формулам 3.14 и 3.15 производим расчет длины склада и фронта погрузки:
Lскл =
2520/15,43 = 163, м
Lфр = (13+11) *
8 / 4 =48, м
-
условие выполняется.
Параметры
контейнерной площадки
Ширину
площадки для контейнеров рассчитываем (при пролете козлового крана 16 м.):
Bфакт = Lпр -
(2 * 1,3) = 16 - 2,6 = 13,4 м
По
вышеизложенной методике определяем длину склада и длину фронта:
Lскл = 2280/13,4
= 170 м; Lфр = (10+12) * 8 / 4 =44 м
-
условие выполняется.
Рис.
2 - Поперечный разрез контейнерной площадки
Параметры
площадки для тяжеловесных грузов
Ширину
площадки для тяжеловесных грузов рассчитываем ( при пролете козлового крана 16
м.):
Bфакт = Lпр -
(2 * 1,3) = 16 - 2,6 = 13,4 м
По вышеизложенной методике определяем длину склада и длину фронта: Lскл = 980/13,4 = 73 м; Lфр = (2+5) * 8 / 4 =14 м
- условие
выполняется.
Рис.
3- Поперечный разрез тяжеловесной площадки
Кроме
вышеописанных устройств в грузовом районе участковой станции предусматриваются
следующие устройства:
·
механизмы для
погрузки-выгрузки грузов;
·
автоподъезды с
твердым покрытием;
·
устройства для
промывки и очистки вагонов;
·
ремонтные
мастерские;
·
склады горючих и
смазочных материалов и другие устройства, соответствующие выполняемой работе.
К грузовому району должны быть проложены удобные подъезды из города.
Перед выездом на грузовой район надо предусматривать специальную площадку,
достаточную для размещения автомашин.
Территория грузового района оборудуется средствами связи,
противопожарными средствами и др.
Путевое развитие и расположение устройств грузового района должны
обеспечивать:
·
рациональную
технологию маневровой работы по обслуживанию грузовых пунктов и выполнению
грузовых операций;
·
компактность
расположения погрузочно-выгрузочных путей и складов в целях сокращения территории,
а также сокращения пробегов автотранспорта;
·
свободный подъезд
транспортных средств к складам с наименьшим числом пересечений ж/д путей;
·
удобную стоянку
транспортных средств при выполнении операций по осмотру, приему, погрузке и
выгрузке грузов.
Планировка устройств грузового района выполняется с учётом поточности
движения автомашин, обеспечения достаточной ширины проездов и выделения
специальных мест для стоянки автотранспорта.
Ширина полосы движения автомашин на прямых участках не менее 4-х метров,
а при двустороннем движении - 8 м. При одностороннем расположении складов
расстояние от последних до забора - 16 м. при кольцевом движении и 19 м. при
тупиковом движении ( двустороннем ).
В случае двустороннего расположения складов расстояние между ними должно
быть не менее 28 м при кольцевом движении и 35 м при тупиковом. В конце
тупикового проезда предусматривается площадка для поворота автомобилей в виде
кольца с внешним радиусом не менее 15 м. Для поточности движения автомашин
рекомендуется применять кольцевую схему автопроездов. При этом число
пересечений железнодорожных путей должно быть, возможно, меньшим. Расстояние от
оси железнодорожного пути до края проезжей части дороги проектируется не менее
3,75 м.
Служебно-техническое здание располагается у главного въезда на грузовой
район. Размеры здания принимаются по типовым проектам 42х12 м или 18х30 м. По
периметру грузовой район ограждается забором. Расстояние от оси
железнодорожного пути до забора проектируется не менее 3,1 м от края автопроезда
до забора не менее 1,5 м.
Рис.
4 Пример планировки грузового района:
-административно-бытовой
корпус, 2- гараж, 3- ограда, 4- гараж для автомашин, 5- служебно-техническое
здание для работников открытых складов, 6- автомобильные весы, 7- зарядная
станция для аккумуляторных погрузчиков, 8- трансформаторная подстанция, 9-
склад для тарно-штучных грузов, 10- площадка для перегрузки по прямому
варианту, 11- контейнерная площадка, 12- площадка для тяжеловесных грузов
.5
Расчет устройств локомотивного хозяйства
.5.1
Расчет числа стойл в депо
По заданию серия грузовых локомотивов ВЛ - 80к, локомотивное депо
основное, годовой пробег грузовых локомотивов депо составляет 34 млн.км.
В основном депо выполняют техническое обслуживание ТО-3 локомотивов и их
текущие ремонты ТР-1 (малый периодический), ТР-2 (большой периодический) и ТР-3
(подъёмочный).
Для выполнения указанных видов работы локомотивное хозяйство должно иметь
два комплекса устройств:
. ремонтную базу (РБ) для ремонта и технического обслуживания;
. экипировочные устройства (ЭУ) для осмотра, очистки, снабжения песком,
топливом, обтирочным и смазочными материалами, охлаждающей водой.
Ремонтная база состоит из здания депо, где размещаются цеха с мастерскими
для выполнения плановых ремонтов и технического обслуживания и административно
- бытового корпуса. Размеры депо зависят от количества стойл,
специализированных по видам ремонта и технического обслуживания. Количество
ремонтных стойл в основном депо определяется пробегом между соответствующими
ремонтами и техническими обслуживаниями, времени занятия стойла соответствующим
видом ремонта или обслуживания. Потребное число стойл для каждого вида ремонта
(ТР-2, ТР-1) и технического обслуживания ТО-3 локомотивов можно определить по
формуле:
Ci = S год
*
, штук (3.1)
Где
S год - годовой пробег локомотивов, млн.лок-км.;
-
потребность в стойлах для i-го вида ремонта отнесенная на 1 млн.лок-км в год. (
ТР-2=0,03; ТР-1=0,20; ТО-3=0,04).
Расчеты
удобно свести в таблицу
Определение
числа стойл для технического обслуживания и текущих ремонтов локомотивов
|
Тип ремонта
|
Sгод, млн.км
|
г
|
число стойл
|
|
ТР-2(большой периодический)
|
34
|
0,03
|
1,02
|
|
ТР-1 (малый периодический)
|
34
|
0,20
|
|
ТО-3(профилактический осмотр)
|
34
|
0,04
|
1,36
|
По полученному расчетом числу стойл устанавливается тип депо. От типа
депо зависят размеры цехов по видам ремонта, зданий, мастерских и общая
планировка. Тип профиля депо - 1.
Рис 5. Типовые здания экипировочных депо:
- цех экипировки и технического обслуживания локомотивов; 2 -
служебно-технический корпус; 3 - пескораздаточные бункеры.
По полученному расчётом количеству стойл устанавливается число секций
депо, каждая из которых имеет 3 тупиковых или сквозных пути (на сквозном пути
размещаются два ремонтных стойла).
Выбор типа склада зависит от его необходимой ёмкости.
.5.2 Расчет числа мест экипировки
Число позиций для экипировки, технического обслуживания локомотивов,
смены локомотивных бригад и подготовки локомотивов к поездке определяется по
формуле:
Cэк = Nэк *
tэк / 1440 *
(3.2)
Где
Nэк число локомотивов, поступающих на экипировку и ТО-2
в сутки;
tэк -
время на экипировку и техническое обслуживание локомотива.
(50…60 мин.);
-
коэффициент, учитывающий потери в использовании экипировочных устройств от
неравномерности поступления локомотивов (0,7…0,9).
Cэк = 65*50/1440*0,7
= 3,2 = 4 места
Для
экипировки и технического обслуживания локомотивов могут проектироваться
закрытые стойла (экипировочное депо) или экипировочные устройства открытого
типа.
Рис.
5 
Экипировочные
устройства для технического обслуживания ТО-2 и экипировки электровозов:
1-площадка для обдувки тяговых электродвигателей; 2-склад масел;
3.5.3 расчет емкостей складов песка
Выбор типа склада зависит от его необходимой ёмкости.
Вначале определяется суточный расход песка для снабжения песком
локомотивов в данном пункте Есут, а затем необходимая ёмкость склада песка:
Eсут =
Sгод * aр * qn * rn / 365 *103 , м3 (3.2)
Где aр - коэффициент, учитывающий
резервный пробег поездных локомотивов.(0,8…0,9);
- расход
песка на 1000 поездо-км,
;
-
коэффициент, учитывающий, какая часть песка подаётся на локомотивы в данном
пункте, (0,6…0,9).
Емкости складов сырого и сухого песка рассчитываются по
формулам:
м3
(3.3)
где M - период на который должен
содержаться запас песка, для склада сырого песка 4 месяцев, для склада сухого
песка 2 месяца.
Длина склада сырого и сухого песка определяется по формуле:
Lсклсыр(сух)
= Enсыр(сух) / Pскл + Cn , м
(3.4)
где
- емкость склада на 1м длины, (36 при ширине склада
14м) м3.
-
постоянная величина для заданной ширины склада, (11) м.
Eсут =
34*0,8*1,35*0,6/365*103 = 0,060*103 = 60 м3
Есырскл
= 30*60*4 = 7200 м3
Есухскл
= 30*60*2 = 3600 м3
Lсклсыр =
7200/36 + 11= 211 м
Lсклсух =
3600/36 + 11 = 111 м
.5.4
Расчет числа путей для стоянки локомотивов в ожидании работы
В проекте принимаем условно, что в ожидании работы будут простаивать 15 %
от числа локомотивов, заходящих на экипировку.
Суммарную длину путей определим из выражения
SLож.р = 0,15 * Nэк * (lл + 4), м (3.5)
где Nэк - общее число локомотивов,
заходящих на экипировку за сутки;
lл -
длина локомотива.
SLож.р = 0,15 *65 * (33 + 4)= 360,7
Число путей стоянки локомотивов, готовых к работе определяется по
формуле:
сл =SLож.р/170
(3.6)
Длина каждого пути принимается 130 -170 м.сл = 360,7/148 = 2,4 = 3 пути
Полезная длина путей стоянки восстановительного и пожарного поездов
проектируется для поездов I
категории - 300 м, II -категории -
250 м. Эти пункты должны иметь двусторонние выходы на главные пути.
.5.6 Расчет числа путей для стоянки локомотивов резерва
В курсовом проекте принимаем, что в резерве будет находиться 10% от числа
входящих
Число путей для стоянки локомотивов резерва МПС
сл = SLр /
250 (3.7)
где Lрез - потребная длина пути для
размещения локомотивного резерва.
SLр = 0,1 * Nэк * lл , м (3.8)
SLр = 0,1 * 65 * 33 = 214,5сл = 214,5 / 250 = 0,86 = 1 путь
К разработке принимаем 1 пути для стоянки локомотивов резерва МПС.
Общая планировка устройств локомотивного хозяйства
должна обеспечивать:
·
компактность
размещения устройств, чтобы снизить затраты на освоение площадки, укладку
путей, сети водоснабжения, теплофикации, освещения и др.;
·
поточность
операций при проходе локомотивов на пути экипировки, затем на пути стоянки
готовых к работе локомотивов и к выходу на станцию, а также удобный заход
локомотивов в депо;
·
возможность
дальнейшего развития ремонтных средств и экипировочных устройств.
Схемы локомотивного хозяйства могут различаться
взаимным расположением трех элементов: депо, экипировочных устройств и путей
кратковременной стоянки локомотивов в ожидании выхода на станцию. Все другие
пути и устройства размещаются в увязке с расположением указанных трех элементов
(рис. 6).
Рис. 6 Пример схемы локомотивного хозяйства при
электрической тяге:
1 - депо и мастерские; 2 - административно-бытовой
корпус; 3 - площадка наружной обмывки и очистки локомотивов; 4 - депо технического
обслуживания и экипировки; 5 - пескосушилка; 6 - склад сырого песка; 7 - склад
сухого песка шатрового типа; 8 - склад масел; 9 - пути стоянки готовых к работе
локомотивов; 10 - пути пожарного и восстановительного поездов; 11 - котельная.
При масштабной укладке путевого развития и основных
сооружений депо (РБ) локомотивов следует руководствоваться следующими
положениями:
·
в пределах стойл
и на длину локомотива перед воротами здания депо пути должны быть прямыми;
·
соединительные
пути, ведущие в стойла депо, должны проектироваться как можно короче, для этого
следует применять стрелочные улицы под углом 2а и более, а также сокращенные
соединения;
·
при необходимости
устройства обходного пути вокруг здания депо (при стойлах со сквозными путями),
он должен проектироваться со стороны, противоположной расположению
служебно-технического здания.
Пути с экипировочными устройствами (ЭУ) следует
располагать с правой стороны по ходу локомотива со станции, что обеспечивает
поточность движения и наименьшее количество пересечений маршрутов в горловине.
Расстояния от наземных резервуаров дизельного топлива
до оси пути следования организованных поездов должно быть не менее 30 м, до оси
пути с маневровым движением - не менее 20 м, до оси сливного пути - не менее 12
м. Эти расстояния могут быть уменьшены для полуподземных резервуаров на 25 %
для подземных - на 50 %.
Число путей стоянки локомотивов в ожидании работы
принимается из условия нахождения на этих путях 15% локомотивов от числа
прибывающих за сутки. Длина каждого пути принимается 130-170 м.
Вместимость путей стоянки локомотивов резерва в
периоды снижения размеров движения рассчитывают по установленному для депо
проценту от рабочего парка локомотивов (в ориентировочных расчетах принимают
10%) Длина каждого пути принимается 250-300 м.
Полезная длина путей стоянки восстановительного и
пожарного поездов проектируется для поездов I категории - 300 м, II категории -250 м, Ш категории -200 м. Эти пути должны иметь двусторонние
выходы.
3.6 Расчет путепроводной развязки
Путепроводные развязки устраняют пересечение маршрутов следования поездов
в горловинах станции, повышают пропускную способность движения и устраняют
задержки приема поездов с подходов.
В курсовом проекте длина развязки определяется теоретически в зависимости
от принимаемого угла пересечения г, радиуса кривой R, длины прямой вставки do между концами переходных кривых и принимаемых длин
переходных кривых lпер.
Длина тангенса кривой K2
определяется по формуле:
T2 = R * tg y/2, м (3.9)
Где R - радиус кривой в плане -
1500……..4000 м;
Y -
угол пересечения путей = 20
T2 =
1500 * tg 20/2 = 264,5 м
Длина кривой К2 определяется по формуле:
К2 = 0,0175 * R * Y0 , м (3.10)
К2 = 0,0175 * 1500 * 20 = 525 м
Отклонение главного пути определяется по формуле:
U = (100 + Tв + lпер/2 + T2 )* sin y - e , м (3.11)
Где Tв - длина тангенса сопрягающей
вертикальной кривой, м; lпер -
длина переходной кривой, м; e -
ширина междупутья на перегоне - 4,1 м;
Tв = Rв * ∆i / 2000, м (3.12)
Где Rв - радиус вертикальной сопрягающей
кривой - 10000 м ;
∆i - алгебраическая разность
сопрягаемых уклонов 0/00
Tв =
10000*9/2000 = 45 м
U =
(100 + 45 + 100/2 +264.5) * 0.342 - 4.1 = 153.05
Полная вставка d
между концами кривых определяется по формуле:
d = d0 + lпер , м (3.13)
где d0 - прямая вставка - 50, 75 или 150 м
d = 75
+ 100 = 175м
угол µ определяется из выражения:
tg µ =
d / 2* R (3.14)
tg µ =
175 / 2 * 1500 = 0,058 = 30 19’
угол поворота ϐ пути, идущего на путепровод, определяется из зависимости:
cos (ϐ + µ ) = (2*R - U / 2*R) * cos
µ (3.15)
cos (ϐ + µ ) = (2*1500 - 153.05/2*1500) *
0.998 = 0.9470.947 = 180 44’
ϐ = 180 44’ - 30 19’ = 15025’
Зная угол ϐ, найдем T1 :
T1 = R * tg ϐ / 2, м (3.16)
T1 =
1500 * tg 15025’ / 2 = 191.65 м
Длина кривой К1 определяется по формуле:
К1 = 0,01745 * R * ϐ0 , м (3.17)
К1 = 0,01745 * 1500 * 15025’ = 399,16 м
Длина путепроводной развязки в плане от точки отхода пути до середины
путепровода определяется:
Lпл =
2* К1 + d + К2 + Lпер /2 + Tв
+100 , м (3.18)
Lпл =
2*399,16 + 175 + 525 + 100/2 + 45 +100 = 1693,32 м = 1,69 км
Длина путепроводной развязки в плане должна быть равна длине развязки в
профиле или быть больше нее. Длина путепроводной развязки в профиле
определяется по формуле:
Lпр =
1000 * h / iрас , м (3.19)
Где h - необходимая разность отметок
головок рельсов верхнего и нижнего путей в месте сооружения путепровода;
iрас -
расчетный уклон.
h = hг + hс+ hр , м
(3.20)
где hг - габаритное расстояние от головки
рельса до низа конструкции пролетного строения путепровода - 6,3 м, для
путепроводов шириной не более 5 м и 6,5 м при ширине более 5 м;
hс -
конструктивная высота пролетного строения до подошвы рельса верхнего пути -
0,83…….1 м;
hр -
высота рельса верхнего пути - 0,2 м;
h =
6,5 + 1 + 0,2 = 7,7 м
рас = iр - 700/R , 0/00 (3.21)
где iр - руководящий уклон
iрас =
9 - 700/1500 = 8,540/00
Lпр =
1000 * 7,7/8,54 = 900 м = 0,9 км
Если условие Lпр > Lпл не выполняется, трассу развязки в
плане нужно удлинить за счет изменения места сооружения и угла (или только
угла) путепровода.
В нашем курсовом проекте это условие выполняется.
4. Технико-экономическое обоснование принципиальной схемы станции
.1 Расчет капитальных затрат
Схема станции выбирается путем сравнения вариантов по приведенным
расходам. При этом расчет капитальных и эксплуатационных затрат выполняется
лишь по приемо-отправочным паркам, так как затраты по сортировочному парку,
зданиям и сооружениям будут практически одинаковы для всех схем.
При сравнении вариантов учитываются капитальные затраты на укладку
приемо-отправочных путей Kп,
укладку стрелочных переводов Kстр,
электрическую централизацию стрелок Kэц, земляные работы Kз и
дополнительные капитальные затраты ДKпр.
Капитальные затраты определяются по формулам:
Кп= mгр * Ln * ả
* кп (4.1)
Кстр= mгр * ϐ * кстр (4.2)
Кэц = mгр * ϐ * кэц (4.3)
Ккс =(mгр * Ln * ả
+ 0,05 * ϐ * mгр )*ккс (4.4)
Где mгр - число приемо - отправочных и
ходовых путей для грузового движения;
Ln -
нормативная полезная длина приемо-отправочных путей для грузовых поездов, км;
ả
- измеритель, показывающий строительную длину путей, приходящуюся на 1 км
потребной полезной длины;
ϐ - измеритель, показывающий число стрелочных
переводов, приходящихся на один приемо-отправочный путь;
кп , кстр , кэц , ккс - капитальные затраты соответственно на укладку 1
км пути, на укладку одного стрелочного перевода, на включение стрелки в
электрическую централизацию, на устройство 1 км контактной сети. кп = 90000
руб, кстр = 5500 руб, кэц= 15000 , ккс = 26000
В проекте затраты на земляные работы принимаются равными 150000 тыс.
руб., а дополнительные затраты - 30000. руб. Все расчеты по определению
капитальных затрат сведены в таблицу.
Ориентировочные затраты по вариантам
|
Наименование работы
|
Измеритель
|
Стоимость единицы измерителя тыс. руб.
|
Полупродольный тип
|
Поперечный тип
|
|
|
|
Кап. затраты тыс. руб.
|
Кап. затраты тыс. руб
|
|
Укладка станционных путей
|
км
|
90
|
1693,44
|
2010,96
|
|
Укладка стрелочных переводов
|
компл.
|
5,5
|
404,5
|
431,2
|
|
Оборудование ЭЦ стрелок
|
км
|
14
|
1104
|
1176
|
|
Оборудование станционных путей контактной сетью
|
км
|
26
|
584,896
|
682,864
|
|
Дополнительные земляные работы
|
м3
|
|
150
|
150
|
|
Дополнительные кап. затраты
|
|
|
30
|
30
|
|
ВСЕГО
|
|
|
3966,836
|
4481,024
|
.2 Расчет эксплуатационных расходов
Эксплуатационные расходы при сравнении вариантов учитываются на текущее
содержание путей Эп, стрелочных переводов Эстр, контактной сети Экс, на пробег
сменных поездных локомотивов от транзитных поездов одного из направлений Элок,
задержки поездов и локомотивов из-за пересечения маршрутов Эзад, на содержание
дополнительного штата вагонников при продольном и полупродольном типах станции
ДЭшт.
Эп= mгр * Ln * ả
* еп (4.5)
Эстр= mгр * ϐ * естр (4.6)
Экс =(mгр * Ln * ả
+ 0,05 * ϐ * mгр )*екс (4.7)
Где еп , естр , екс - годовые эксплуатационные расходы на текущее
содержание соответственно 1 км пути, 1 стрелочного перевода, 1 км контактной сети
станционных путей. еп = 5140 руб, естр = 2830 руб, екс =1750 руб.
Эксплуатационные расходы для полупродольного типа станции
Эп= 16 * 1,05 * 1,12 * 5,14 = 96,714 тыс. руб
Эстр= 16 * 4,6 * 2,83 = 208,288 тыс. руб
Экс =(16 * 1,05 * 1,12 + 0,05 * 4,6 * 16 )*1,75 = 39,368 тыс. руб
Эксплуатационные расходы для поперечного типа станции
Эп= 16 * 1,05 * 1,33 * 5,14 = 114,848 тыс. руб
Эстр= 16 * 4,9 * 2,83 = 221,872 тыс. руб
Экс =(16 * 1,05 * 1,33 + 0,05 * 4,9 * 16 )*1,75 = 45,962 тыс. руб
Стоимость пробега сменных локомотивов Элок рассчитывается для транзитных
поездов нечетного направления, так как локомотивы четных поездов при всех
схемах пробегают практически одинаковое расстояние. Следовательно, величина
Элок определяется по формуле:
Элок = Lлок * елок (4.8)
где Lлок - годовой пробег сменяемых
локомотивов в пределах станции, локомотиво-км/год;
елок - стоимость 1 км пробега локомотива, руб/км, принимается равным 0,54
Годовой пробег локомотивов зависит от типа станции и определяется по
формулам:
для станции поперечного типа:
Lлок =
2(2l” + Lп + l’) *N * 36 (4.9)
для станции полупродольного типа:
Lп/пр
лок = 2(l” + l’) *N *
36 (4.10)
где l” - длина входной горловины,
нечетного транзитного парка, км, принимается равной 0,2 км;
Lп -
полезная длина приемо-отправочных путей, км;
l’п, l’ппр - длина центральной горловины
станции соответственно продольного и полупродольного типа, принимается равной l’п - 0,6 км, l’ппр - 0,8 км.
Lлок =
2(2*0,2 + 1,05 + 0,6)*59*36=8708,4 км/г
Lп/пр
лок = 2(0,2+0,8)*59*36=4248 км/г
Элок = 8708,4*0,54=4702,54 руб
Эп/пр лок = 4248 *0,54= 2293,9 руб
|
Наименование работы
|
Измеритель
|
Стоимость единицы измерителя тыс. руб.
|
Полупродольный тип
|
Поперечный тип
|
|
|
|
экс. затраты тыс. руб.
|
экс. затраты тыс. руб
|
|
Укладка станционных путей
|
км
|
5,14
|
96,714
|
114,848
|
|
Укладка стрелочных переводов
|
компл.
|
2,83
|
208,288
|
221,872
|
|
Оборудование станционных путей контактной сетью
|
км
|
1,75
|
39,368
|
45,962
|
|
Годовой пробег лок
|
Км/г
|
|
2293,9
|
4702,54
|
|
ВСЕГО
|
|
|
2638,27
|
5082,222
|
4.3 Выбор оптимального варианта
Приведенные годовые расходы по каждому из сравниваемых вариантов схемы
станций определяется по формуле:
, (4.11)
где Ki - капитальные затраты по
рассматриваемому варианту;
Эi - годовые эксплуатационные расходы
по этому же варианту;
Е - нормативный коэффициент эффективности, принимается равным 1,25.
Для полупродольного типа станции
Эпр = 2635,27 + 1,25 * 3966,836 = 7593,815 тыс. руб
Для поперечного типа станции
Эпр = 5082,222 + 1,25 * 4481,024 = 10683,502 тыс. руб
Схема, для которой Эпр минимально, экономически более выгодна и поэтому
принимается для детальной разработки. В нашем варианте станция полупродольного
типа выгодна.
5. Масштабная накладка плана станции
Учитываемые факторы при вычерчивании масштабного плана
1. Тип рельсов на главных путях - Р65, на остальных - Р50.
. Марка СП: на маршрутах отклонения пассажирских поездов - не круче 1/11;
на маршрутах движения грузовых поездов - 1/9; в горловинах парка С - 1/9 или
1/6.
. Радиусы кривых в плане: на главных, приемоотправочных и вытяжных путях
1200 м., в стесненных условиях 600 м.; на прочих путях минимальный радиус - 200
м., а на крайних сортировочных путях - 180 м.
. Радиусы закрестовинных кривых: при марке крестовины 1/18 и 1/22 - 1500
м., 1/11 - 300-400 м., 1/9 - 200-300 м., 1/6 (симм.) - 180-200 м.
. Минимальное расстояние от ЦП до начала закрестовинной кривой должно
быть не менее: при марке крестовины 1/9 - 24 м., а при 1/11 - 26 м.
. Минимальные междупутья (расстояние между осями путей):
с пассажирскими платформами при переходах в разных уровнях -
10,6 м.;
с пассажирскими платформами при переходах - 7,5м.;
между крайними путями парков и пучков сортировочного парка - 6,5
м.;
вприемоотправочных парках - 5,3 и 5,5 ( чередуются через
междупутья );
между ходовыми, вытяжными и смежными путями - 6,5 м.;
в техническом парке чередуются междупутья 5,3 и 7,5 м.;
в депо между стойлами - 7 м.;
от крайнего стойла до стены здания - 5 м;
на экипировочных устройствах, где пескораздаточные бункера - 5,5
м;
на экипировочных устройствах, где нет пескораздаточных бункеров
(одно междупутье) - 7 м;
длины соединительных путей от горловин станции к районам станции
(например, к ЛХ, грузовому району и др.) должны быть как можно короче.
Заключение
В курсовой работе были выполнены расчеты, разработаны варианты станций и
произведены технико-экономические обоснования типа станции.
Получены следующие параметры станции:
Полезная длина приемоотправочных путей - 1050 метров
Схема станции - полупродольного типа
Количество путей в парках:
Нечетном приемоотправочном - 5 путей
Четном приемоотправочном - 9 путей
Сортировочном -10 путей
Длина склада и длина фронта грузовых устройств:
Склад
тарно-упаковочных и штучных грузов
163 /
48м
Контейнерная
площадка
170 / 44 м
Контейнерная
площадка для навалочных грузов 73 / 14 м
Количество мест для экипировки локомотивов - 4
Капитальные
затраты составили
3966,836 тыс. руб
Эксплуатационные
расходы соответственно 2635,27 тыс. руб
Библиографический
список
станция узловой сортировочный путь
1. Л.А. Рыкова «Проектирование участковой станции»: метод.
Указания /Л.А. Рыкова, С.А. Ситников, В.В. Григорьев. - Екатеринбург: УрГУПС,
2010 - 56 с.
2. Методические рекомендации по типовым решениям
сортировочных утройств малой мощности и размещение их на станциях для
формирования многогруппных составов и подач вагонов на грузовые пункты. Москва.
1986 г