Зв'язок законів збереження з геометричною та динамічною симетріями
Міністерство
освіти і науки України
Тернопільський
національний педагогічний університет
імені
В. Гнатюка
Кафедра
фізики та методики її викладання
Курсова
робота
на
тему:
"Зв’язок
законів збереження з геометричною та динамічною симетріями"
Виконала:
студентка
групи Ф-41
Гринишин
М.П.
Науковий
керівник:
Дідора Т.Д.
Тернопіль
- 2014
Зміст
Вступ
Розділ 1. Симетрія: геометрична
та динамічна
Розділ 2. Закони збереження та
їх зв'язок з симетрією простору і часу
.1 Закон збереження імпульсу
.2 Закон збереження моменту
кількості руху
.3 Закон збереження енергії
Висновки
Список використаної літератури
Вступ
Ніколи ще в своєму пізнанні світу
людський розум не проникав до рівня атомів - це сталося лише у двадцятому
столітті. Тому тільки в наші дні стало можливим штучне отримання ядерної
енергії , створення транзисторів, лазерних джерел світла і цілий ряд інших
технічних розробок.
Захоплюючись досягненнями древніх і
середньовікових цивілізацій, ми рідко задумуємося над питанням, чому люди не
прийшли ще тисячоліття тому до пізнання тих законів природи, які дозволили
сучасному суспільству здійснити науково - технічну революцію , домогтися
стрімкого розвитку продуктивних сил, небувалого кількісного і якісного
зростання виробництва.
Відповісти на це питання не просто.
Пояснень можна навести безліч, але головне, безперечно, полягає в наступному: у
минулі часи при спостереженні природних явищ люди були в основному обмежені
дарованими їм природою п'ятьма органами почуттів. Осягнути будову атомів і їх
незвичайні властивості людина змогла , лише побудувавши надзвичайно складні і
тонкі прилади, а для цього необхідний був досить високий рівень технічного
розвитку суспільства.
Сучасна фізика не просто відкрила
безліч нових явищ, частинок і закономірностей - вона виявила багаточисленні,
часом несподівані зв'язки між різними явищами, встановивши їх єдину, спільну
основу. Завдяки цьому сформувалися нові уявлення про будову Всесвіту в цілому.
Також потрібно зауважити, що нові
взаємозв’язки між явищами знаходила і фізика минулих століть. Наприклад ,
фізика минулого століття ознаменувалася створенням математично досконалих і
строгих теорій: класичної механіки і класичної теорії електромагнітного поля.
Ці теорії давали повне кількісне пояснення явищ, на основі спостереження яких
вони були розроблені, і узагальнювали відомості про них в декількох
диференціальних рівняннях, за допомогою яких відповідні явища можна
передбачити, виходячи з відносно малого числа даних.
Відшукання взаємозв'язків між
явищами і розробка відповідних фізичних теорій спираються на експериментально
встановлені факти і ними ж перевіряються. Успішне опис досить широкої
сукупності явищ в рамках однієї теорії можливо завдяки об'єктивному характеру
цих явищ, який не залежить від уяви фізика - теоретика. Крім того, цей опис
завжди обмежена як щодо точності, так і в відношенні меж його застосування.
Різниця в взаємодій і властивостях елементарних частинок і макроскопічних тіл,
що складаються з них не дозволяє нам дати повне і наочний опис частинок. У
дійсності частинка і створюване нею поле ( яке характеризує її взаємодію з
іншими частками ) представляють собою різні прояви єдиної фізичної реальності.
З підвищенням точності вимірювань і чутливості приладів уточнюються і
розширюються наші знання про властивості частинок і полів, їх структурах та рух
і одночасно, як правило, ставляться нові завдання перед теорією. Такий
безперервний розвиток фізики і наших знань необхідно мати на увазі, говорячи
про її сучасний стан. Незважаючи на всю широту і глибину сучасних фізичних
уявлень, наше знання про світ, будуть змінюватися і надалі.
Актуальність проблеми зв’язку
законів збереження з геометричними та динамічними симетріями полягає в тому, що
закони збереження лежать в основі майже всіх фізичних і природних явищ.
Враховуючи актуальність проблеми
темою курсової роботи обрано: "Зв’язок законів збереження з геометричними
та динамічними симетріями".
Об’єкт дослідження: закони
збереження.
Предмет дослідження: закони
збереження енергії, імпульсу та моменту кількості руху.
Мета курсової роботи полягає в
теоретичному аналізі проблеми зв’язку законів збереження з геометричними та
динамічними симетріями.
Для досягнення поставленої мети
визначено такі завдання:
) Розкрити сутність, властивості
законів збереження та їх роль у сучасній механіці.
) Охарактеризувати особливості
кожного закону та їхній зв'язок з симетрією простору і часу.
Методи дослідження. У ході
дослідження розроблено і застосовано комплексний підхід, який полягає у
поєднанні теоретичного аналізу наукових джерел, порівнянні, систематизації,
узагальненні здобутої інформації.
Структура курсової роботи. Курсова
робота складається зі вступу, двох розділів, висновків, списку використаної
літератури ( 9 найменувань). Основний зміст роботи викладений на 24 сторінках.
симетрія збереження
механіка енергія
Розділ 1. Симетрія: геометрична та
динамічна
Фізика, як відомо, складається з
двох наук: фізики експериментальної і фізики теоретичної. Велика кількість
відомих нам фізичних законів може бути виведено з дуже невеликого числа досить
загальних співвідношень; однак таке виведення, так само як і встановлення самих
основних законів, вимагає своєрідних методів і тому становить завдання
особливої науки
- теоретичної фізики.
Для побудови своїх висновків і
висновків теоретична фізика користується прийомами і методами математики. Однак
від останньої вона, різко відрізняється безпосереднім зв’язком з результатами
експерименту. Не кажучи вже про те, що встановлення загальних законів можливе
тільки на основі експериментальних даних, навіть знаходження наслідків із
загальних законів потребує попередньому експериментальному вивченні явищ. Без
такого вивчення часто неможливо встановити, які з величезного числа що беруть
участь факторів істотні, а якими можна знехтувати.
Теоретична фізика ставить собі метою
знаходження фізичних законів, тобто встановлення залежності між фізичними
величинами. Визначення ж чисельних значень фізичних величин , взагалі кажучи, в
її завдання не входить. Експеримент справляється з цим колом питань щодо
настільки легко, що у величезній більшості випадків відсутня сама необхідність
подібних обчислень. Виняток становлять найпростіші випадки, коли чисельні
значення величин безпосередньо випливають із теорії .
Слід зазначити, що оскільки завдання
теорії полягає завжди у встановленні залежностей між різними величинами ,
характеризує дане явище, теорія явища може бути побудована тільки в тому
випадку, коли в природі такий зв'язок дійсно існує.
Велику роль в теоретичній фізиці
відіграє наближений розгляд. Перш за все цілком точні закони природи нам ще
невідомі. Всі відомі нам загальні закони є наближеними , хоча у величезній
більшості випадків дана ними точність є досить високою. Більше того, вимога
абсолютної точності до фізичних законів і не подається.
Завдяки цьому в теоретичній фізиці
поряд з більш точними теоріями прекрасно уживаються теорії, неточність яких
давно встановлена ,
- оскільки вони цілком зберігають свою цінність для певної галузі явищ (такі
теорії зазвичай називаються класичними) . Всяка логічно замкнута теорія, вірність
якої була з відомої степінню точності експериментально доведено, ніколи не
втрачає свого значення, і всяка більш точна подальша теорія охоплює її як
наближений результат, справедливий до деяких випадках.
Визначення ступеня наближення, з
якою дане явище має розглядатися, надзвичайно істотно при його теоретичному
дослідженні. Особливо грубою помилкою є ретельне обчислення з урахуванням
усіляких дрібних поправок і застосуванням занадто точних загальних теорій у
випадках, коли одночасно з цим нехтують набагато більшими величинами.
Серед цілої групи принципів сучасної
фізики найважливішим, мабуть, є принцип симетрії, або інваріантність, на основі
якого діють закони збереження фізичних величин.
В тій чи іншій мірі уявлення про
симетрії є у всіх людей, тому що цим властивістю володіють самі різні предмети,
які відіграють важливу роль у повсякденному житті. Більш того, в силу різних
причин і міркувань багатьом творіння людських рук навмисне надається симетрична
форма. Можливо, найбільш симетричним продуктом діяльності людини є м'яч, який
виглядає завжди однаково, як би його не повертали.
У природі симетрія також
зустрічається в достатку. Сніжинка має найдивовижнішим гексагональної
симетрією. Кристали також мають характерні геометричні форми. Падаюча дощова краплина
має форму ідеальної сфери і, замерзаючи, перетворюється у крижаній кульку -
градини.
Інший вид симетрії, що найчастіше
спостерігається в природі й у створених людиною речі, - так звана дзеркальна
симетрія. Людське тіло наближено володіє дзеркальною симетрією відносно
вертикальної осі. Багато архітектурних споруд, наприклад, арки або собори,
володіють дзеркальної симетрією.
Симетрії, відповідні обертанню або
відображенню, наочні і радують око, але вони не вичерпують весь запас симетрій,
що існують у природі. Досліджуючи математичний опис тієї чи іншої системи,
фізики відкривають час від часу нові та несподівані форми симетрії. Вони досить
тонко "заховані" у математичному апараті і зовсім не видно того, хто
спостерігає саму фізичну систему.
Сьогодні математичне дослідження,
засноване на аналізі симетрії, також може стати джерелом видатних досягнень у
фізиці. Навіть якщо закладені в математичному описі симетрії важко або
неможливо уявити собі наочно фізично, вони можуть вказати шлях до виявлення
нових фундаментальних принципів природи. Пошук нових симетрій став головним
засобом, що допомагає фізику в наші дні просуватися до більш глибокому
розумінню світу.
Симетрія (від грецького symmetria -
домірність), в широкому сенсі - інваріантність (незмінність) структури,
властивостей, форми (напрям в геометрії, кристалографії) матеріального об'єкта
щодо його перетворень (тобто змін ряду фізичних властивостей). Симетрія лежить
в основі збереження законів. У "Короткому Оксфордському словнику"
симетрія визначається як "краса, обумовлена пропорційністю частин тіла або
будь-якого цілого, рівновагою, подобою, гармонією, узгодженістю"
Закони збереження, найбільш загальні
фізичні закони, згідно з якими чисельні значення деяких фізичних величин, що
характеризують фізичну систему за певних умов, не змінюються з плином часу при
різних процесах в цій системі. Найважливіші збереження закони - закони
збереження енергії, імпульсу, моменту кількості руху, електричного заряду.
Існування збереження законів, як
правило, пов'язано з наявністю в цій системі тієї чи іншої симетрії. Наприклад,
однорідність часу призводить до збереження законів енергії, а однорідність
простору призводить до збереження законів імпульсу.
Однак поняття симетрії можна
розширити, включивши в нього більш абстрактні поняття, ніяк не пов'язані з
геометрією. Наприклад, одна з симетрій пов'язана з роботою, досконалої при
підйомі тіла. Витрачається енергія залежить від різниці висот, яку потрібно
подолати при цьому. Але енергія не залежить від абсолютної висоти: байдуже,
вимірюються висоти від рівня моря або від рівня суші - важлива тільки різниця
висот. Цей прийме - ілюстрація того, що фізики називають калібрувальними
симетріями, пов'язаними зі змінами масштабу. Всі симетрії, які пов'язані з
законами мікросвіту, є калібрувальними.
Саме симетрія, щодо перестановки
однакових частинок, обґрунтовує принцип нерозрізненості однакових частинок,
тобто приводить до повної їх тотожності. Зв'язок спіна і статистики є наслідком
релятивістської інваріантності теорії і тісно пов'язана з СРТ-теоремою. Під
внутрішніми симетріями розуміють симетрії між частинками і полями з різними
квантовими числами. При цьому розрізняють глобальні та локальні симетрії.
Симетрія називається глобальною,
якщо параметр перетворення не залежить від просторово-часових координат точки,
в якій розглядається полі. Її прикладом є інваріантність лагранжіану щодо
каліброваних перетворень входять до нього полів. Ця інваріантність призводить
до адитивного закону збереження заряду, причому не тільки електричного, але і баріонів
і т. д.
Локальні симетрії існують, коли
параметри перетворень для глобальних симетрії можна розглядати як довільні
функції просторово-часових координат. Вони дозволяють побудувати теорію, в якій
зберігаються величини (заряди) виступають в якості джерел особливих
калібрувальних полів, що переносять взаємодія між частинками, що володіють
відповідними зарядами.
Динамічна симетрія системи виникає,
коли розглядається перетворення, що включає переходи між станами симетрії з
різними енергіями.
В основі визначення симетрії лежить
поняття рівності при перетворенні. Однак фізично (і математично) об'єкт може
бути рівний собі за одними ознаками і не дорівнює за іншим. Наприклад, розподіл
ядер і електронів в кристалі антиферомагнетиках можна описати за допомогою
звичайної просторової симетрії, але якщо врахувати розподіл у ньому магнітних
моментів, то звичайною, класичної симетрії вже недостатньо.
Наведені описи різних типів симетрії
дають нам достатньо підстав говорити про величезну роль принципу симетрії в
сучасній фізиці. Така роль симетрії вимагає суворо її визначення.
Симетрія у фізиці - це властивість
фізичних величин, що детально описують поведінку систем, залишатися незмінними
(інваріантними) при певних перетвореннях, яким можуть бути піддані входять до
них величини.
Поняття симетрії відіграє в житті
людини важливу роль. Природа красива і вимагає для свого опису красивих
рівнянь. Можливість записати закони природи.
Простір і час як форми існування
матерії для фізичної науки являються вихідними поняттями. Основні властивості
реального або фізичного простору відображаються в його геометричної моделі,
застосовної у всіх фундаментальних фізичних теоріях. Фізичне простір
моделюється геометричною множиною точок. Воно безперервне, однорідне,
ізотропне, однозв'язне, має три виміри, і в ньому справедлива геометрія
Евкліда.
Аналогічно простору моделюється і
час. Приймається, що він безперервний, однорідний, одновимірний ,
однонаправленний, тобто змінюється в одному напрямку. Однонаправленність часу
означає, що в будь-якій системі відліку показання всіх годинників монотонно
зростають.
Обговоримо однорідність і
ізотропності простору і однорідність часу. Однорідність - це рівноправність
усіх точок, а ізотропність - рівноправність усіх напрямків у просторі. Ці
властивості називають також симетріями простору. Однорідність часу призводить
до закону збереження енергії, однорідність простору - до збереження імпульсу, а
ізотропність - до збереження моменту імпульсу. Вся величезна сукупність
експериментальних фактів сучасної фізики знаходиться у згоді з названими
законами збереження, що і говорить про однорідності простору і часу,
ізотропності простору. Але дуже важливо відзначити , що однорідність і
ізотропності простору і часу мають місце не у всіх системах відліку, а тільки в
частині з них, званих інерційних. Для
інерціальних систем відліку справедливий принцип відносності, згідно з яким всі
інерціальні системи по своїх механічних властивостях еквівалентні один одному.
Це означає, що ніякими механічними дослідами, які проводяться
"всередині" даної інерціальній системи, неможливо встановити, чи
система відліку знаходиться в стані спокою чи рухається. У всіх інерційних
системах відліку властивості простору і часу однакові, однакові також і всі
закони механіки.
Дане твердження становить зміст
принципу відносності Галілея - одного з найважливіших принципів ньютонівської
механіки. Цей принцип є узагальненням досвіду і підтверджується усім
різноманіттям додатків ньютонівської механіки до руху тіл, швидкості яких
значно менші швидкості світла. Детальніше
про принцип відносності Галілея. Рухома система координат (див. рис. 1) у
кожний момент часу займає певне положення відносно нерухомої. Якщо початок двох
систем координат збігаються в момент t
= 0, тоді в момент t
початок рухомої системи координат знаходиться в
точці x = vt нерухомої системи. Перетворення Галілея припускають, що для
координат і часу систем (х, у, z)
і (х’, у’, z’)
у кожний момент існує таке співвідношення , яке існувало б між ними, якби ці
системи в даний момент були в стані спокою одна відносно одної, тобто
перетворення координат зводяться до геометричних перетворень, які були вже
розглянуті, а час є одним і тим же, тобто
Ці формули називаються
перетвореннями Галілея. Очевидно, що в якості нерухомої системи можна було б
взяти систему К'. У системі координат К' система К рухається зі швидкістю і в
напрямку від’ємних значень х', тобто з від’ємною швидкістю. Тому формули
перетворення в цьому випадку можуть бути отримані з (1) заміною штрихованих
величин на нештрихованих і заміною
,
тобто мають вигляд:
(2)
Корисно помітити, що формули (2)
зараз були отримані з (1) не шляхом обчислення, тобто не розв’язком рівнянь (1)
щодо нештрихованних величин, а шляхом застосування до перетворень (1) принципу
відносності. Звичайно, ті ж формули (2) виходять з (1) просто розв’язком їх як
системи рівнянь щодо нештрихованних величин. Збіг двох результатів означає, що
рівняння (1) і (2) не суперечать принципу відносності.
При перетворенні координат різні
фізичні та геометричні величини, взагалі кажучи, змінюють свої числові
значення. Наприклад, положення деякої точки характеризується трьома числами (x1,
y1,
z1).
При зміні системи координат ці числа змінюються. Ясно, що вони характеризують
не яку-небудь об'єктивну властивість точки, а
лише положення точки відносно конкретної системи координат.
Якщо
величина не змінює свого числового значення при перетворенні координат, то це
означає, що вона має об'єктивне значення, незалежно від вибору тієї чи іншої
системи координат. Такі величини відтворюють властивості найбільш досліджуваних
явищ і предметів, а не відношення явищ і предметів до системи координат, в якій
вони розглядаються.
Величини, числові значення яких не
змінюються при перетворенні координат, називаються інваріантами перетворень.
Вони мають першорядне значення у фізичній теорії.
Тепер
нам належить вирішити фундаментальне питання про формули перетворення координат
і часу (маються на увазі формули, що зв'язують координати і моменти часу одного
і того ж події в різних інерційних системах відліку). Виникає завдання
відшукання таких формул перетворення, які, по-перше, враховували б уповільнення
часу і лоренцеве скорочення (тобто були б у кінцевому рахунку наслідками
постулатів Ейнштейна) , і, по-друге, переходили б в граничному випадку малих
швидкостей в перетвореннях Галілея. Перейдемо до вирішення цієї задачі.
Розглянемо
дві інерціальні системи відліку К і К'. Нехай К' - система рухається щодо К -
системи зі швидкістю v.
Направимо координатні осі обох систем відліку та , як показано на рис.2: осі х
і х' збігаються і спрямовані паралельно вектору v,
а осі у і у' паралельні один одному.
Встановимо в різних точках обох
систем відліку однакові годинник і синхронізуємо їх - окремо годинник К -
системи і окремо годинник К' - системи. І нарешті, візьмемо за початок відліку
часу в обох системах момент, коли почала координат О і О' співпадають (t
= t'= 0).
Припустимо
тепер , що в момент часу t
в точці з координатами x,
y відбулася деяка
подія А, наприклад спалахнула лампочка. Наше завдання - знайти координати х',
у' і момент часу t'
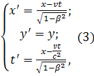
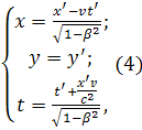
цієї події в К' - системі. Ці координати можна знайти за формулами:
а якщо потрібно знайти координати
при переході від К' до К - системи -
де
,
v - швидкість
К' - системи відносно К - системи.
Слід відразу ж звернути увагу на
симетрію (однаковий вигляд) формул (3) і (4), що є наслідком повної
рівноправності обох систем відліку (різний знак при v
в цих формулах обумовлений лише протилежним
напрямком руху систем К і К' відносно один одного).
Перетворення Лоренца сильно
відрізняються від перетворень Галілея (1), однак останні можуть бути отримані з
(3) і (4), якщо в них формально покласти с =
.
В основі перетворень Галілея лежить припущення про синхронізацію годинника за
допомогою миттєво поширюючих сигналів. З цієї обставини випливає, що величина с
в перетвореннях Лоренца грає роль швидкості тих сигналів, які використовують
для синхронізації годинника. Якщо ця швидкість нескінченно велика, то виходять
перетворення Галілея; якщо ж вона рівна швидкості світла, то - перетворення
Лоренца. Таким чином , в основі перетворень Лоренца лежить припущення про
синхронізацію годинника за допомогою світлових сигналів, що мають граничну
швидкість.
Чудовою особливістю перетворень
Лоренца є те, що при
вони переходять в
перетворення Галілея (1). Таким чином, в граничному випадку
закони
перетворення теорії відносності та ньютонівської механіки збігаються. Це
означає, що теорія відносності не цурається, перетворень Галілея як
неправильну, але включає їх в істинні закони перетворення як окремий випадок,
справедливий при
.
Далі , з перетворень Лоренца видно,
що при
підкореневий
вираз стає негативним і формули втрачають фізичний зміст. Це відповідає тому
факту, що рух тіл зі швидкістю, більшою за швидкість світла у вакуумі,
неможливо. Не можна навіть користуватися системою відліку, що рухається зі
швидкістю
; при цьому
підкореневий вираз буде дорівнювати нулю і формули також втрачають фізичний
зміст. Це означає, що, наприклад, з фотоном, що рухаються зі швидкістю с,
принципово не може бути пов'язана система відліку. Або інакше: не існує такої
системи відліку, в якій фотон був би нерухомим.
І
нарешті , необхідно звернути увагу на те, що у формули перетворення часу
входить просторова координата. Це важлива обставина вказує на нерозривний
зв'язок між простором і часом. Іншими словами, мова повинна йти не окремо про
простір і час, а про єдиний простір - час, в якому протікають всі фізичні
явища.
Все сказане досить ясно свідчить про
винятковість властивостей інерційних систем відліку, і силу яких саме ці
системи повинні, як правило, використовуватися при вивченні механічних явищ.
Розділ 2. Закони збереження та їх
зв'язок з симетрією простору і часу
2.1
Закон
збереження імпульсу
Спокій і рух тіла відносні,
швидкість руху залежить від вибору системи відліку. За другим законом Ньютона,
незалежно від того, чи знаходилася тіло в спокої, або рухалося рівномірно і
прямолінійно, зміна його швидкості руху може відбуватися тільки під дією сили,
тобто в результаті взаємодії з іншими тілами. Є фізична величина, однаково
змінюється у всіх тіл під дією однакових сил, якщо час дії сили однаково, що
дорівнює добутку маси тіла на його швидкість і звана імпульсом тіла.
Імпульс - величина векторна, що
збігається по напрямку зі швидкістю. Зміна імпульсу одно імпульсу прикладеної
сили. Імпульс тіла є кількісною характеристикою поступального руху тіл.
.Для замкнутої механічної системи
поряд з енергією зберігається векторна величина Р=Σ
mivi,
яка називається імпульсом; закон збереження-наслідок однорідності простору.
В силу однорідності потенціальна
енергія замкнутої системи
залежить лише від відстані між
частинками системи |ri-rj|
Паралельний перенос системи
представляє собою таке перетворення (рис), при якому всі частинки зміщуються на
один і той же відрізок, а їх радіус вектор перетворюється за законом:
(1)
Зміну потенціальної енергії
замкнутої системи при її паралельному переносі на нескінченно малий вектор ε
формально можна записати:
(2)
Однак, насправді внаслідок
однорідності простору ніякої зміни потенціальної енергії системи не
відбувається. Звідси враховуючи, що ε ¹
0, приходимо до висновку: для замкнутої механічної
системи:
(3)
Тепер знову звернемося до системи
диференціальних рівнянь:
(4)
враховуючи, що маса постійна
перепишемо:
(5)
Сумуючи і використовуючи (3),
одержимо
(6)
(7)
Отже, імпульс замкнутої системи
зберігається.
Оскільки векторна рівність(7)
еквівалентна трьом скалярним
(8)
то, можна сказати , що з
однорідністю простору пов’язані три перших інтеграли руху замкнутої механічної
системи (8)
Вектор імпульсу величина адитивна,
імпульс системи дорівнює сумі імпульсів
(9)
окремих частинок незалежно від того,
можна чи не можна знехтувати взаємодією між частинками в системі.
Закон збереження імпульсу замкнутої
механічної системи (7) зв’язаний з III законом Ньютона. Для замкнутої
механічної системи градієнт від потенціальної енергії
(10)
дорівнює геометричній сумі сил, що
діють на і-ту частинку з боку всіх інших частинок ,що входять в систему.
Таким чином рівність (3) означає, що геометрична сума всіх внутрішніх сил , які
діють в механічні системі дорівнюють нулю;
(11)
У випадку системи, що складається з
2-х частинок , ми одержуємо ,що F12=-F21
тобто закон рівності дії і протидії. Тому (11) треба розглядати як узагальнення
третього закону механіки на випадок системи , які складаються з багатьох
частинок.
Закон збереження імпульсу (7) -
частинний випадок загального закону збереження і перетворення кількості
руху матерії, який стверджує, що кількість руху (імпульс) будь-якої форми
матерії не виникає з нічого і не зникає, а переходить в кількість руху інших
форм або видів матерії.
Імпульс не замкнутої механічної
системи не зберігаються і його зміна з часом визначається законом
(12)
де вектор
(13)
називається головним вектором
зовнішніх сил .
Геометричну суму зовнішніх сил в
загальному випадку не можна звести до рівнодіючої сили, оскільки сили F(e)i
мають різні точки прикладання і якщо їх переносити в одну точку, то виникає
додатковий момент сил, відносно точки куди переносяться сили
Щоб отримати теорему про зміну
вектора імпульсу незамкнутої системи(12) продиференціюємо Р по t:
(14)
або, використовуючи рівняння руху
незамкнутої механічної системи у формі
(15)
можна переписати
(16)
Звідси, враховуючи, що внутрішні
сили системи задовольняють рівняння (11), ми і одержимо теорему про зміну
імпульсу незамкнутої механічної системи (12).
Таким
чином, досвід показує, що закон збереження імпульсу, належним чином
узагальнений, являє собою фундаментальний закон природи, який не знає жодних
винятків. Але в такому широкому розумінні він вже не є наслідком законів
Ньютона, а повинен розглядатися як самостійний загальний принцип, що є
узагальненням дослідних фактів.
.2 Закон збереження моменту
кількості руху
Закон збереження моменту імпульсу
для замкнутих механічних систем є наслідком ізотропності простору - механічні
властивості замкнутої системи і, зокрема, її потенціальна енергія не міняється
при повороті системи як єдиного цілого відносно довільного напрямку в просторі
на довільний кут.
Якщо здійснити поворот системи на
нескінченно малий кут Δφ, радіус
-вектори її точок одержать приріст
(1)
При цьому зміну потенціальної
енергії механічної системи можна записати у вигляді
Реально ніякої зміни потенціальної
енергії замкнутої системи при її повороті не відбувається і щоб виконалась
умова ΔU(i)=0
при довільному Δφ, необхідно
вибрати
(3)
Знову звернемося до системи
диференціальних рівнянь
(4)
Домножуючи векторно ліву і праву
частину (4) на ri
одержимо векторний добуток
(5)
Врахуємо, що
(6)
тоді одержимо (6) у вигляді:
(7)
Сумуючи почленно (7), одержимо
Звідси, використовуючи (3) одержимо
(8)
(8): в процесі руху замкнутої
механічної системи зберігається векторна величина
(9)
- момент імпульсу (або момент
кількості руху) системи.(L
в механіці інколи називають кінетичним моментом , а в атомній фізиці - кутовим
моментом)
Векторна рівність (9) рівносильна
скалярним
(10)
Т.ч., замкнута механічна система має
ще три перші інтеграли руху (10), які випливають з ізотропності простору. Отже
у замкнутої механічної системи є 7 інтегралів руху, пов’язаних з симетрією
простору і часу(енергія, імпульс та момент кількості руху).
Вектор L
довільної механічної системи складається з моментів Li
окремих її частинок:
;
(11)
і, значить для довільної механічної
системи є адитивною величиною.
Закон збереження (9) механічного
моменту замкнутої механічної системи можна розглядати як наслідок ІІІ закону
Ньютона.
Використаємо співвідношення
перепишемо (3) у вигляді
(12)
Векторні величини виду [riFij]-
називаються моментами сил
Тому (12) означає, що геометрична
сума моментів всіх внутрішніх сил, що діють в механічні системі дорівнює нулю.
Це твердження є прямим наслідком ІІІ закону Ньютона. Дійсно, в рівність (12)
моменти внутрішніх сил входять лише парами, типу
Але ми знаємо, що внутрішні сили ,
що діють в системі, задовільняють ІІІ закон Ньютона, Fij=-Fji
і Fij↑↑(ri-rj),
тому кожна така пара моментів сил перетворюється в нуль:
Т.ч. рівність (12) і закон
збереження моменту імпульсу для замкнутих механічних систем можна розглядати як
наслідки, що випливають з ІІІ закону Ньютона.
У визначенні L
входять радіус-вектори частинок; тому на відміну від імпульсу системи, значення
L в загальному
випадку залежить від вибору початку координат. Припустимо , що початок
координат зміщений з точки О в точку О′ на відстань a
При цьому радіус вектори ri
і r'i
однієї і тієї ж точки пов’язані співвідношенням:
ri=r'i+a
(13)
(13)→(11):
(14)
(14): лише у випадку, коли механічна
система нерухома (P=0)
її момент не залежить від вибору початку координат.
Зауважимо, що така невизначеність L
не відбивається на законі його збереження. Це пояснюється тим, що в замкнутій
механічні системі P
також зберігаються, тому, якщо зберігається L0'
, то зберігається і L0.
Дослідимо, як перетворюється
механічний момент L при переході від К до К', яка пов’язана з центром мас. Як
ми показували, імпульси окремих частинок системи при такому переході
перетворюється за законом:
ri=r'i+RC
pi=p'i+miVC
Використовуючи означення моменту
імпульсу, отримаємо:
Враховуючи, що:
(15)
Останнє співвідношення є наслідком
того, що початок координат системи K'C
співпадає з центром мас.
Отримаємо кінцевий результат:
(16) ,
де вектор
(17)
називають власним механічним
моментом МС.
Цим самим ми довели теорему,
аналогічну теоремі Кьоніга:
Момент імпульсу МС складається з її
власного моменту відносно системи відліку, в якій вона нерухома, як ціле і
моменту [RCP],
який зв’язаний з її поступальним рухом.
Зауважимо, що збереження у замкнутій
МС повного моменту L
означає і збереження кожного з векторів LC
і [RCP],
зокрема.
Збереження LC
очевидно з принципу відносності Галілея: якщо момент імпульсу зберігається в
одній ІСВ, то він повинен зберігатися і в іншій ІСВ; збереження вектора [RC
P],
також очевидно, бо:
(18).
Розглянемо тепер незамкнуті МС. Для
таких МС має місце теорема:
момент імпульсу незамкнутої МС, який
визначається співвідношеннями
(19)
або
(20)
не зберігається і його зміна з часом
визначається законом:
(21)
де вектор
(22)
Для доведення продиференціюємо L
по t і використаємо рівняння руху МС у вигляді:
,
В результаті отримаємо:
(23)
Використовуючи властивість
внутрішніх сил:
,
отримаємо теорему про зміну механічного
моменту незамкнутої МС.:
≡(21)
У формулюванні теореми
використовується два нових поняття механіки:
) момент сили відносно точки (або
початку координат);
) головний вектор моментів зовнішніх
сил.
1) Моментом сили відносно точки
називають векторний добуток r
точки прикладання сили на вектор сили F:
(24)
В шкільному курсі фізики вводиться
поняття "момент сили відносно осі обертання" - як добуток модуля
вектора сили на відповідне плече:
(25)
z−
проекція сили F
на площину Оху;
hz−
плече сили Fвідносно
осі Oz.
Плечем сили F
відносно деякої осі координат в загальному випадку, коли вектор F
орієнтований в просторі довільним чином, називають найкоротшу віддаль від
початку координат до прямої, вздовж якої напрямлена проекція вектора F
на координатну площину, перпендикулярну до даної осі. Зв’язок між вказаними
поняттями про моменти сили відносно точки і осей обертання встановлюється
теоремою:
(26)
(27)
де Fz, Fy,
Fx -- проекції вектора F
відповідно на координатні площини yoz, xoz, xoy. Це дійсно так,
тому що:
Термін "головний вектор
моментів зовнішніх сил" в теоремі (21) підкреслює, що геометричну суму
моментів зовнішніх сил, що діють на
МС, неможливо в загальному випадку звести до моменту деякої результуючої сили.
Оскільки, як і для механічного моменту L,
знаходження вектора М істотно залежить від вибору початку координат. При
перенесенні О → О' на вектор a,
головний вектор моментів зовнішніх сил перетворюють за формулою:
(28),
де
−
головний вектор зовнішніх сил.
З (28): Момент сил МO=МO',
якщо:
) R(e)=0,
тобто МС нерухома, або рухається рівномірно і прямолінійно.
2) R(e)
↑↑a
Інваріантністю головного вектора
моментів зовнішніх сил відносно переносу початку координат користуються при
розв’язуванні задач статики оскільки при запису одного з рівнянь рівноваги тіла
Точку О, відносно якої рахують
момент сил, вибирають так, щоб частина моментів = 0. Рівняння (3) повністю
описує довільне обертання МС, як єдиного цілого.
Розглянемо проекцію (3) на вісь oz:
(29)
і розглянемо обертання відносно
вказаної осі деякого АТТ.
Припустимо, що на тіло діє одна сила
F, момент якої
відносно осі Oz
(30)
Перейдемо від декартових координат
до полярних:
(xi,yi)®(ri,φ)
в площині ^ до осі Oz.
I-момент інерції тіла відносно осі
Oz. З (12), (13)→(11):
(32)
диференціальне рівняння обертання
АТТ відносно осі Oz.
Такий розширений закон збереження
моменту імпульсу вже не є наслідком законів Ньютона, а являє собою самостійний
загальний принцип, що є узагальненням дослідних фактів. Поряд із законами
збереження енергії та імпульсу закон збереження моменту імпульсу є одним з
фундаментальних законів природи.
2.3 Закон збереження енергії
Закон збереження механічної енергії
можна сформулювати:
Механічна енергія зберігається в
процесі руху у замкнутих механічних системах і системах, що знаходяться в
стаціонарних потенціальних силових полях; даний закон є наслідком однорідності
часу.
Дійсно для вказаних механічних
систем можна ввести поняття потенціальної енергії.
. У замкнутих механічних системах
вона складається з внутрішньої потенціальної енергії парної взаємодії частинок:
(1)
Внаслідок однорідності часу
(фізичної еквівалентності різних його моментів по відношенню до замкнутої
системи) потенціальна енергія (1) не може бути явною функцією часу t.
. Повна потенціальна енергія
системи, що знаходиться в зовнішньому стаціонарному полі, складається з її
внутрішньої частини U(i) та зовнішньої частини U(e), яка
описує взаємодію системи з зовнішнім силовим полем. Але оскільки таке зовнішнє
поле стаціонарне, то повна потенціальна енергія такої системи не буде явною
функцією часу:
(2)
з (1) і (2) видно, що повну похідну
по часу від потенціальної енергії як замкнутої системи, так і системи, що
знаходиться в стаціонарному потенціальному силовому полі, можна записати у
вигляді:
(3)
Якщо б час не був однорідний, то це
привело б до явної залежності U
від t;
при цьому в повну похідну (3) прийшлося б додатково включити частинну похідну ¶U/¶
t.
Розглянемо
тепер систему диференціальних рівнянь руху, яку запишемо, враховуючи
потенціальний характер всіх зовнішніх і внутрішніх сил:
(4)
Домножимо (4) на viі
врахуємо, що
(5)
Одержимо систему рівнянь:

(6)
(6)≡(4) Просумуємо всі
рівняння (6) по частинках системи і міняючи порядок диференціювання і
сумування, одержимо
(7)
Використовуючи (3), (7) перепишеться
(8): в процесі руху у замкнутої
механічної системи або системи, що знаходиться у зовнішньому стаціонарному
потенціальному полі, зберігається величина
(9)
E- називають повною механічною
енергією системи; вона складається з двох частин: кінетичної енергії
(10)
яка залежить від швидкості частинок
і потенціальної енергії U, що залежить від їх координат.
Видно, що повна енергія має
властивість адитивності: якщо знехтувати взаємодією частинок, то повну енергію
замкнутої системи і системи, яка знаходиться в зовнішньому потенціальному полі
можна представити у вигляді:
(11)
Ei- повна енергія окремої
частинки. Механічні системи в яких повна енергія зберігається, називаються консервативними.
Закон збереження (9) для
консервативної системи - це закон збереження і перетворення механічної енергії
(U→T) або (U←T).
Для механічних систем, що
знаходяться в нестаціонарних потенціальних силових полях, також можна ввести
поняття повної потенціальної енергії як суму потенціальної енергії системи у
зовнішньому силовому полі, що явно залежить від часу і енергії взаємодії
частинок, які входять в систему:
(12)
і поняття про повну механічну
енергію: E=T+U, яка на відміну від консервативних систем не зберігається. Можна
показати , що повна механічна енергія таких систем змінюється за законом
(13)
Щоб отримати цей закон треба
використати більш загальний вираз для похідної
(14)
Розглянемо випадок, коли зовнішні
сили, що діють на механічну систему, не будуть потенціальними. Для дослідження
енергетичних перетворень у таких системах використовують теорему про зміну
кінетичної енергії.
Щоб отримати цю теорему,
продиференціюємо по часу вираз для кінетичної енергії T.
(15)
Розглянемо повний диференціал:
Тепер знову звернемось до
диференціальних рівнянь руху системи, які, враховуючи не потенціальний характер
діючих на неї зовнішніх сил, треба записати у вигляді:
(16)
(16)→(15), одержимо
диференціальне формулювання теореми про зміну кінетичної енергії
(17)
Таким чином, повний диференціал
кінетичної енергії системи дорівнює сумі елементарних робіт всіх зовнішніх і
внутрішніх сил, що діють на частинки системи:
(17')
Можна привести і інтегральне
формулювання теореми (17). Припустимо, що система за час t2-t1
переміщується з області А в область В, а кожна з частинок переміщується вздовж
лінії AiBi відповідної траєкторії
Інтегруючи (17) і (17') по інтервалу
часу t2-t1, одержимо:
Зміна кінетичної енергії системи
дорівнює сумі робіт, що їх виконують всі зовнішні і внутрішні сили, які діють
на дану систему.
(18)
(18')
Якщо взаємодія між частинками
системи має потенціальний характер, то роботу внутрішніх сил A(i)
можна виразити через зміну потенціальної енергії взаємодії частинок
(19)
і переписати рівність (18) у вигляді
(20)
Звідси видно, що робота A(e),
яка виконується над системою зовнішніми силами , іде на зміну кінетичної енергії
системи і енергії взаємодії частинок.
Робота A(e) може бути
>0; <0 (додатньою і від’ємною; <0, коли на систему діють дисипативні
сили (наприклад, тертя) з боку оточуючого середовища. В цьому випадку ΔT+U(i)<0
і значення механічної енергії системи зменшується. Однак це не означає , що
енергія взагалі зникає: наявність сил тертя приводить до перетворення
механічної енергії в енергію теплового руху середовища.
Висновки
У природі існує кілька законів збереження.
Зазвичай вони є наслідком
властивостей симетрії у Всесвіті. Існують закони збереження енергії, імпульсу,
моменту імпульсу, заряду, числа баріонів (протонів, нейтронів, і важких
елементарних частинок), старанність і різних інших величин.
Ми розглянули закони збереження енергії, закони
збереження імпульсу і моменту імпульсу. Причому зараз ми розглянули ці закони
для нерелятивистской області, в якій справедливі перетворення Галілея,
швидкості дуже малі в порівнянні з швидкістю світла і маса не залежить від
швидкості.
Симетрія
- це категорія, що позначає процес існування та становлення тотожних об'єктів,
в певних умовах і в певних відносинах між різними і протилежними станами явищ
світу.
Це визначення накладає методологічні
вимоги: при вивченні явища, події, стану рухомої матерії, перш за все необхідно
встановити властиві їм відмінності і протилежності, потім вже розкрити, що в
ньому є тотожного і за яких умов і в яких відносинах це тотожне виникає, існує
і зникає . Звідси загальні правила формування гіпотез: якщо встановлено
існування якогось явища, стану або якихось їхніх властивостей і параметрів, то
необхідно припускати й існування протилежних явищ, протилежних властивостей і
параметрів; у свою чергу, необхідно далі постулювати, що між протилежними
умовами в якихось відносинах і умовах виникають і існують тотожні моменти. У
цих двох правилах виражається застосування поняття симетрії в конкретних
дослідженнях.
Асиметрія
- категорія, що означає існування і становлення в певних умовах і відносинах
відмінностей і протилежностей всередині єдності, тотожності, цілісності явищ
світу.
Симетрія і асиметрія доповнюють один
одного, і шукати їх потрібно одночасно. Історія науки показує, що симетрія
дозволяє пояснити багато явищ і передбачити існування нових властивостей
природи. У природознавстві переважають визначення категорій симетрії і
асиметрії на підставі перерахування певних ознак. Наприклад, симетрія
визначається як сукупність властивості симетрії простору і часу пов'язують,
визначають і закони збереження: з однорідністю часу пов'язаний закон збереження
енергії; з однорідністю простору - збереження імпульсу, з ізотропності простору
- збереження моменту імпульсу.
Список використаної літератури
1. Вигнер Е. Этюды
о симметрии// под ред. Я.В. Смородинского, 1970.- 318 с.
2. Иродов И.Е. Основные законы
механики: учеб. пособие для физ. спец. вузов. - 3-е изд., перераб. и доп. - М.:
Высш. шк., 1985. - 248 с., ил.
3. Киттель Ч., Найт В.,
Рудерман М. Механика: Учебное руководство: Пер. с англ./ Под ред. А.И.
Шальникова и А. С. Ахматова. - 3-е изд., испр. - М.: Наука, 1983. - 448 с.
4. Крейчи В. Мир глазами
современной физики: Пер. с чешск./ Под ред. И с предисл. Ю. Г. Рудого. - М.:
Мир, 1984. - 311 с., ил.
5. Ландау Л., П’ятигорский
Л. Механика// Под ред. Л.Д. Ландау, том 1. - М.: Государственное издательство технико-теоретической
литературы, 1940. - 200 с.
6. Ландау Л. Д., Лифшиц Е.М.
Механика. Электродинамика кн 1 . - М.: Наука, 1969. - 272 с.
7. Матвеев А. Н. Механика и
теория относительности: учеб. пособие для физ. спец. вузов. - 2-е изд.,
перераб. и доп. - М.: Высш. шк., 1986. - 320 с., ил.
8. Мутановский В. В. Курс
теоритической физики: Классическая механика. Основы специальной теории
относительности. Релятивистская механика: учеб. пособие для студентов физ.-мат
фак. пед. ин-тов. - М.: Просвещение, 1988. - 304 с., ил.
9. Савельев И. В. Основы
теоретической физики, т 1. - . - М.: Наука, 1975. - 416 с., ил.