Организация работы сортировочной станции
Федеральное
государственное бюджетное образовательное учреждение
высшего
профессионального образования
Дальневосточный
государственный университет путей сообщения
Кафедра: "Управление
эксплуатационной работой"
Курсовой
проект
"Организация
работы сортировочной станции"
Выполнил: Алексинская А. В.
Группа 231, вариант А57.
Проверил: Ташлыкова А.И.
Хабаровск
Содержание
Введение
. Техническая
и эксплуатационная характеристика станции
.1
Техническая характеристика станции
.2
Характеристика эксплуатационной работы станции
. Определение
объема работы станции
.1 Расчет
количества вагонов
. Расчет
числа поездов
.
Специализация путей станции
.
Технологические графики обработки поездов в парках станции
.1 Транзитные
поезда
.2. Поезда,
поступающие в расформирование
.3 Поезда
своего формирования
. Нормы
времени на выполнение маневровой работы
.1 Расчет
продолжительности элементов горочного цикла
.2 Окончание
формирования составов на вытяжных путях
.3
Перестановка составов и групп вагонов из парка в парк (с пути на путь)
.4 Маневровые
операции с составами транзитных поездов
. Число подач
(уборок) на пункты местной работы
. Число
горочных и маневровых локомотивов
. Суточный
план-график
. Расчет
показателей работы станции
. Расчет
пропускной способности стрелочной горловины
Заключение
Список
литературы
станция
маневровый локомотив пропускной
Введение
Особая роль в обеспечении перевозочного процесса на железных дорогах
отводится сортировочным станциям. На них сосредоточена основная часть
технической работы с грузовыми поездами, а также выполняется грузовая работа.
На сортировочных станциях вагоны находятся более 50% времени оборота. В связи с
этим, основным резервом в его сокращении является совершенствование технологии
ее работы.
Сокращение простоя вагонов, поездов и локомотивов, ускорение маневровой
работы влекут за собой уменьшение капитальных вложений: требуется меньше
вагонов, локомотивов, путей в парках станции и вытяжных. Чем лучше используются
технические устройства на станции и маневровые средства, тем выше
производительность труда, перерабатывающая способность, надежность всех
элементов станций, ниже себестоимость перевозок.
Применение новых видов тяги и внедрение нового технического оснащения, а
также совершенствование информационной базы оказывают также большое влияние на
технологию работы сортировочных станций. С увеличением массы и длины поездов
меняется технология маневровой работы и способы обработки поездов. Изменение
способов обслуживания локомотивов и удлинение участков их обращения требует увеличения
транзитности вагонопотоков.
При этом эффективным является формирование поездов, которые проходили бы
без переработки станции, расположенные в пределах участков обращения
локомотивов.
Выполнение курсового проекта "Организация работы сортировочной
станции" преследует цель научиться правильно организовать работу
сортировочной станции с минимальным простоем подвижного состава, высокой
эффективностью использования технических средств.
1. Техническая и эксплуатационная характеристика станции
.1 Техническая
характеристика станции
Заданная схема является сортировочной станцией.
Станция имеет пять парков:
Транзитный парк 1. Расположен со стороны четного направления, имеет
полезную длину путей 1050 м, в него прибывают поезда с направлений З и Ж, имеет
два пути: 1, 2.
Транзитный парк 2. Расположен со стороны нечетного направления, имеет
полезную длину путей 1050 м, в него прибывают поезда с направления Е, имеет
один путь: 3.
Парк приема. Расположен со стороны четного направления, имеет полезную
длину путей 1050 м, предназначен для приема поездов с четного и нечетного
направлений, имеет 6 путей:1, 2, 3, 4, 5, 6.
Парк отправления. Расположен со стороны нечетного направления, имеет
полезную длину путей 1050 м, в нем выставляются составы для отправления в четном
и нечетном направлениях, имеет 7 путей:1, 2, 3, 4, 5, 6, 7.
Сортировочный парк. Расположен в центре станции, имеет полезную длину
путей 1250 м, предназначен для сортировочной работы со сборными поездами и
вагонами с пунктов местной работы, имеет 26 путей: 1, 2, 3, 4, 5, 6, 7, 8, 9,
10, 11, 12, 13, 14, 15, 16, 17, 18, 19, 20, 21, 22, 23, 24, 25, 26.
На станции имеется механизированная сортировочная горка с двумя путями
надвига.
На станции имеется грузовой двор, подъездной путь на завод, локомотивное
и вагонное хозяйства с примыкающим к ним складом топлива, сортировочная
платформа. Станция имеет вытяжные и соединительные пути.
Управление стрелками и сигналами осуществляется с помощью ЭЦ.
К станции примыкают три перегона. Направление Н-Е - двухпутный участок,
оборудованный автоблокировкой; Н-Ж - однопутный участок, оборудованный
автоблокировкой; Н-З - однопутный участок, оборудованный автоблокировкой.
Схема железнодорожного направления, где расположена станция
"Н", показана на рис. 1.1.
Рис. 1.1 Схема железнодорожного направления
.2
Характеристика эксплуатационной работы станции
Перечень видов работ, выполняемых станцией: прием и отправление поездов,
расформирование и формирование составов поездов, работа с транзитными поездами
и др.
Размеры вагонопотока:
транзитного с переработкой - 1875 вагонов;
транзитного без переработки - 873 вагона;
местного - 63 вагона.
2. Определение объема работы станции
Объем работы станции установлен на основании плана формирования поездов,
данных о составах транзитных поездов и поездов, поступающих в расформирование.
.1 Расчет
количества вагонов
Расчет количества груженых вагонов (транзитных без переработки,
транзитных с переработкой, местных) проведен на основании расписания прибытия
поездов и разложения составов поездов по назначениям. Расчет груженых вагонов
сведен в таблице 2.1.
Таблица 2.1
Расчет груженых вагонов
|
Время прибытия
|
Откуда прибыл
|
Интервал прибытия
|
Номер поезда
|
Назначение вагонов и их
количество по назначениям
|
Итого, ваг.
|
|
|
|
|
Направление Е
|
Направление З
|
Направление Ж
|
Станция "Н"
|
|
|
|
|
|
Н-Е
|
Е
|
Д
|
Г
|
В
|
Б
|
А
|
Н-З
|
З
|
И
|
Л
|
Р
|
Н-Ж
|
Ж
|
К
|
М
|
О
|
ГД
|
Завод
|
СТ
|
СП
|
|
|
0-25
|
Е
|
40
|
2001
|
-
|
-
|
-
|
-
|
-
|
-
|
-
|
1
|
5
|
8
|
9
|
5
|
-
|
3
|
8
|
11
|
5
|
4
|
1
|
-
|
-
|
60
|
|
1-05
|
Ж
|
20
|
2004
|
-
|
10
|
5
|
10
|
5
|
5
|
10
|
3
|
-
|
3
|
3
|
-
|
-
|
-
|
-
|
-
|
-
|
3
|
-
|
-
|
-
|
57
|
|
1-25
|
З
|
65
|
2020
|
-
|
5
|
3
|
8
|
5
|
13
|
10
|
-
|
-
|
-
|
-
|
-
|
-
|
5
|
3
|
-
|
-
|
-
|
-
|
3
|
2
|
57
|
|
2-30
|
Е
|
100
|
2005
|
-
|
-
|
-
|
-
|
-
|
-
|
-
|
-
|
10
|
6
|
8
|
-
|
5
|
8
|
10
|
5
|
5
|
-
|
-
|
2
|
1
|
60
|
|
4-10
|
З
|
65
|
3008
|
5
|
-
|
5
|
8
|
10
|
16
|
8
|
-
|
-
|
-
|
-
|
-
|
3
|
-
|
-
|
-
|
-
|
-
|
-
|
2
|
-
|
57
|
|
5-15
|
Е
|
45
|
2017
|
-
|
-
|
-
|
-
|
-
|
-
|
-
|
8
|
2
|
2
|
8
|
8
|
2
|
8
|
3
|
5
|
8
|
-
|
-
|
5
|
1
|
60
|
|
6-00
|
Е
|
20
|
2019
|
-
|
-
|
-
|
-
|
-
|
-
|
-
|
-
|
5
|
8
|
10
|
5
|
-
|
5
|
8
|
8
|
8
|
1
|
2
|
-
|
-
|
60
|
|
6-20
|
Ж
|
35
|
2006
|
3
|
-
|
8
|
5
|
16
|
10
|
5
|
-
|
-
|
-
|
8
|
-
|
-
|
-
|
-
|
-
|
-
|
-
|
2
|
-
|
-
|
57
|
|
6-55
|
Е
|
115
|
2021
|
-
|
-
|
-
|
-
|
-
|
-
|
-
|
5
|
3
|
8
|
3
|
10
|
3
|
4
|
4
|
8
|
5
|
-
|
-
|
5
|
2
|
60
|
|
8-50
|
Е
|
45
|
2027
|
-
|
-
|
-
|
-
|
-
|
-
|
-
|
-
|
5
|
13
|
5
|
8
|
4
|
5
|
4
|
8
|
2
|
3
|
-
|
-
|
60
|
|
9-35
|
Е
|
0
|
2029
|
-
|
-
|
-
|
-
|
-
|
-
|
-
|
8
|
-
|
8
|
14
|
8
|
6
|
3
|
2
|
3
|
5
|
-
|
-
|
-
|
3
|
60
|
|
9-35
|
З
|
60
|
3010
|
5
|
-
|
13
|
5
|
13
|
3
|
5
|
-
|
-
|
-
|
-
|
-
|
-
|
3
|
-
|
8
|
-
|
-
|
-
|
-
|
2
|
57
|
|
10-35
|
Е
|
5
|
2031
|
-
|
-
|
-
|
-
|
-
|
-
|
-
|
2
|
8
|
5
|
8
|
11
|
2
|
5
|
2
|
8
|
5
|
-
|
3
|
1
|
-
|
60
|
|
10-40
|
З
|
55
|
2026
|
-
|
8
|
3
|
3
|
10
|
13
|
10
|
-
|
-
|
-
|
-
|
-
|
-
|
8
|
-
|
-
|
2
|
-
|
-
|
-
|
-
|
57
|
|
11-35
|
Е
|
45
|
3005
|
-
|
-
|
-
|
-
|
-
|
-
|
-
|
-
|
8
|
3
|
10
|
8
|
6
|
-
|
5
|
8
|
5
|
-
|
-
|
2
|
5
|
60
|
|
12-20
|
З
|
80
|
3404
|
-
|
3
|
5
|
5
|
13
|
8
|
8
|
-
|
-
|
-
|
-
|
-
|
-
|
-
|
8
|
3
|
-
|
2
|
2
|
-
|
-
|
57
|
|
13-40
|
Е
|
40
|
2037
|
-
|
-
|
-
|
-
|
-
|
-
|
-
|
-
|
8
|
7
|
10
|
5
|
6
|
3
|
5
|
5
|
5
|
3
|
3
|
-
|
-
|
60
|
|
14-20
|
Ж
|
100
|
2042
|
2
|
8
|
5
|
8
|
10
|
3
|
8
|
-
|
2
|
-
|
5
|
-
|
-
|
-
|
-
|
-
|
-
|
-
|
3
|
-
|
3
|
57
|
|
16-00
|
З
|
5
|
2028
|
-
|
5
|
10
|
5
|
8
|
5
|
10
|
-
|
-
|
-
|
-
|
-
|
-
|
-
|
-
|
8
|
-
|
-
|
-
|
3
|
3
|
57
|
|
16-05
|
Ж
|
20
|
2012
|
10
|
3
|
5
|
13
|
10
|
-
|
-
|
3
|
-
|
5
|
3
|
-
|
-
|
-
|
-
|
-
|
-
|
-
|
-
|
5
|
-
|
57
|
|
16-25
|
Е
|
40
|
2045
|
-
|
-
|
-
|
-
|
-
|
-
|
-
|
-
|
8
|
2
|
5
|
10
|
-
|
8
|
8
|
8
|
5
|
-
|
-
|
3
|
3
|
60
|
|
17-05
|
Е
|
20
|
2047
|
-
|
-
|
-
|
-
|
-
|
-
|
-
|
3
|
3
|
8
|
10
|
8
|
2
|
5
|
5
|
3
|
10
|
1
|
2
|
-
|
-
|
60
|
|
17-25
|
З
|
75
|
3012
|
5
|
-
|
5
|
-
|
13
|
10
|
8
|
-
|
-
|
-
|
-
|
-
|
3
|
-
|
3
|
5
|
-
|
3
|
2
|
-
|
-
|
57
|
|
18-40
|
Е
|
60
|
2049
|
-
|
-
|
-
|
-
|
-
|
-
|
8
|
3
|
8
|
10
|
5
|
-
|
5
|
5
|
8
|
5
|
-
|
-
|
2
|
1
|
60
|
|
19-40
|
З
|
20
|
3032
|
3
|
-
|
10
|
3
|
13
|
10
|
5
|
-
|
-
|
-
|
-
|
-
|
-
|
-
|
-
|
8
|
-
|
-
|
-
|
3
|
2
|
57
|
|
20-00
|
Е
|
25
|
2051
|
-
|
-
|
-
|
-
|
-
|
-
|
-
|
-
|
10
|
8
|
16
|
8
|
5
|
-
|
6
|
-
|
5
|
1
|
1
|
-
|
-
|
60
|
|
20-25
|
Ж
|
25
|
3402
|
2
|
5
|
-
|
3
|
10
|
8
|
10
|
-
|
3
|
-
|
11
|
-
|
-
|
-
|
-
|
-
|
-
|
-
|
-
|
3
|
2
|
57
|
|
20-50
|
Е
|
35
|
2053
|
-
|
-
|
-
|
-
|
-
|
-
|
-
|
-
|
8
|
-
|
5
|
16
|
-
|
-
|
5
|
10
|
10
|
-
|
-
|
3
|
3
|
60
|
|
21-25
|
Е
|
45
|
2055
|
-
|
-
|
-
|
-
|
-
|
-
|
-
|
-
|
5
|
5
|
10
|
8
|
6
|
-
|
8
|
8
|
5
|
-
|
-
|
2
|
3
|
60
|
|
22-10
|
З
|
35
|
3014
|
3
|
-
|
5
|
8
|
5
|
13
|
13
|
-
|
-
|
-
|
-
|
-
|
-
|
-
|
3
|
5
|
-
|
-
|
2
|
-
|
-
|
57
|
|
22-45
|
Ж
|
5
|
2018
|
3
|
5
|
5
|
16
|
10
|
3
|
8
|
-
|
-
|
-
|
-
|
3
|
-
|
-
|
-
|
-
|
-
|
-
|
-
|
2
|
2
|
57
|
|
22-50
|
Е
|
|
2057
|
-
|
-
|
-
|
-
|
-
|
-
|
-
|
3
|
-
|
10
|
-
|
11
|
-
|
8
|
10
|
5
|
10
|
3
|
-
|
-
|
-
|
60
|
|
Итого транзитные с
переработкой
|
С Е
|
-
|
-
|
-
|
-
|
-
|
-
|
-
|
38
|
91
|
109
|
141
|
134
|
47
|
70
|
98
|
111
|
103
|
16
|
15
|
25
|
22
|
|
|
С Ж
|
20
|
31
|
28
|
55
|
61
|
29
|
41
|
6
|
5
|
8
|
30
|
3
|
-
|
-
|
-
|
-
|
-
|
3
|
5
|
10
|
7
|
|
|
С З
|
21
|
21
|
59
|
45
|
90
|
91
|
77
|
-
|
-
|
-
|
-
|
-
|
6
|
16
|
17
|
37
|
2
|
5
|
6
|
11
|
9
|
|
|
Всего
|
669
|
565
|
507
|
Всего выгрузка:134
|
|
0-15
|
Ж
|
105
|
2102
|
-
|
-
|
-
|
-
|
-
|
-
|
-
|
-
|
57
|
-
|
-
|
-
|
-
|
-
|
-
|
-
|
-
|
-
|
-
|
-
|
-
|
57
|
|
2-00
|
Ж
|
40
|
2104
|
-
|
-
|
-
|
-
|
-
|
47
|
-
|
-
|
-
|
-
|
-
|
10
|
-
|
-
|
-
|
-
|
-
|
-
|
-
|
-
|
-
|
57
|
|
2-40
|
Е
|
75
|
-
|
-
|
-
|
-
|
-
|
-
|
-
|
-
|
-
|
-
|
-
|
-
|
-
|
-
|
-
|
60
|
-
|
-
|
-
|
-
|
-
|
60
|
|
3-55
|
Ж
|
220
|
2106
|
-
|
-
|
-
|
-
|
-
|
-
|
-
|
-
|
57
|
-
|
-
|
-
|
-
|
-
|
-
|
-
|
-
|
-
|
-
|
-
|
-
|
57
|
|
7-35
|
Ж
|
100
|
2110
|
-
|
-
|
-
|
-
|
-
|
-
|
57
|
-
|
-
|
-
|
-
|
-
|
-
|
-
|
-
|
-
|
-
|
-
|
-
|
-
|
-
|
57
|
|
9-15
|
Е
|
150
|
2109
|
-
|
-
|
-
|
-
|
-
|
-
|
-
|
-
|
-
|
-
|
-
|
-
|
-
|
-
|
60
|
-
|
-
|
-
|
-
|
-
|
-
|
60
|
|
11-45
|
З
|
85
|
1006
|
-
|
-
|
-
|
-
|
57
|
-
|
-
|
-
|
-
|
-
|
-
|
-
|
-
|
-
|
-
|
-
|
-
|
-
|
-
|
-
|
-
|
57
|
|
13-10
|
Ж
|
75
|
2114
|
-
|
-
|
-
|
-
|
-
|
-
|
-
|
-
|
-
|
-
|
-
|
57
|
-
|
-
|
-
|
-
|
-
|
-
|
-
|
-
|
-
|
57
|
|
14-25
|
Е
|
140
|
2041
|
-
|
-
|
-
|
-
|
-
|
-
|
-
|
-
|
-
|
45
|
-
|
-
|
-
|
-
|
-
|
15
|
-
|
-
|
-
|
-
|
-
|
60
|
|
16-45
|
Ж
|
90
|
2116
|
-
|
-
|
-
|
-
|
57
|
-
|
-
|
-
|
-
|
-
|
-
|
-
|
-
|
-
|
-
|
-
|
-
|
-
|
-
|
-
|
-
|
57
|
|
18-15
|
Е
|
55
|
2115
|
-
|
-
|
-
|
-
|
-
|
-
|
-
|
-
|
-
|
-
|
-
|
-
|
-
|
-
|
60
|
-
|
-
|
-
|
-
|
-
|
-
|
60
|
|
19-10
|
Е
|
125
|
2117
|
-
|
-
|
-
|
-
|
-
|
-
|
-
|
-
|
-
|
-
|
-
|
-
|
-
|
-
|
-
|
-
|
60
|
-
|
-
|
-
|
-
|
60
|
|
21-15
|
З
|
15
|
2216
|
-
|
-
|
-
|
-
|
-
|
-
|
-
|
-
|
-
|
-
|
-
|
-
|
-
|
-
|
-
|
57
|
-
|
-
|
-
|
-
|
-
|
57
|
|
21-30
|
Ж
|
30
|
2118
|
-
|
-
|
-
|
57
|
-
|
-
|
-
|
-
|
-
|
-
|
-
|
-
|
-
|
-
|
-
|
-
|
-
|
-
|
-
|
-
|
-
|
57
|
|
22-00
|
Е
|
|
2121
|
-
|
-
|
-
|
-
|
-
|
-
|
-
|
-
|
-
|
-
|
60
|
-
|
-
|
-
|
-
|
-
|
-
|
-
|
-
|
-
|
-
|
60
|
|
Итого транзитные без
переработки
|
С Е
|
-
|
-
|
-
|
-
|
-
|
-
|
-
|
-
|
-
|
45
|
60
|
-
|
-
|
-
|
120
|
60
|
-
|
-
|
-
|
-
|
|
|
с Ж
|
-
|
-
|
-
|
57
|
57
|
47
|
57
|
-
|
114
|
-
|
-
|
67
|
-
|
-
|
-
|
-
|
-
|
-
|
-
|
-
|
-
|
|
|
с З
|
-
|
-
|
-
|
-
|
57
|
-
|
-
|
-
|
-
|
-
|
-
|
-
|
-
|
-
|
-
|
57
|
-
|
-
|
-
|
-
|
-
|
|
|
Всего
|
275
|
286
|
312
|
|
|
Погрузка станции
|
Груз. двор
|
-
|
-
|
-
|
-
|
2
|
-
|
5
|
-
|
-
|
-
|
2
|
3
|
-
|
-
|
2
|
-
|
3
|
17
|
|
Завод
|
-
|
-
|
-
|
-
|
5
|
-
|
2
|
-
|
-
|
-
|
2
|
4
|
-
|
-
|
2
|
-
|
4
|
19
|
|
Скл. топл.
|
-
|
-
|
-
|
-
|
-
|
-
|
-
|
-
|
-
|
-
|
-
|
-
|
-
|
-
|
-
|
-
|
-
|
-
|
|
Сорт. плат.
|
-
|
-
|
-
|
-
|
3
|
-
|
5
|
-
|
-
|
-
|
8
|
3
|
-
|
-
|
8
|
-
|
-
|
27
|
|
Итого погрузка
|
-
|
-
|
-
|
-
|
10
|
-
|
12
|
-
|
-
|
-
|
12
|
10
|
-
|
-
|
12
|
-
|
7
|
Всего погрузка: 63
|
|
Всего вагонов по назначению
|
41
|
52
|
87
|
100
|
161
|
120
|
130
|
44
|
96
|
117
|
183
|
147
|
53
|
86
|
127
|
148
|
112
|
41
|
45
|
46
|
65
|
|
|
Всего
|
966
|
873
|
838
|
2811
|
|
|
|
|
|
|
|
|
|
|
|
|
|
|
|
|
|
|
|
|
|
|
|
|
|
|
|
|
|
Таблица 2.2
Груженые вагонопотоки станции "Н"
Таблица 2.3
Баланс порожних вагонов
|
Станция (направление)
|
Погрузка
|
Выгрузка
|
Баланс порожних вагонов
|
|
|
|
избыток
|
недостаток
|
|
Е
|
1380
|
966
|
-
|
414
|
|
Ж
|
741
|
838
|
97
|
-
|
|
З
|
627
|
873
|
246
|
-
|
|
Станция "Н":
|
63
|
134
|
71
|
-
|
|
грузовой двор
|
17
|
24
|
7
|
-
|
|
Завод
|
19
|
26
|
7
|
-
|
|
склад топлива
|
-
|
46
|
46
|
-
|
|
сортировочная платформа
|
27
|
38
|
11
|
-
|
|
ИТОГО
|
2811
|
2811
|
414
|
414
|
3. Расчет
числа поездов
Количество транзитных поездов определяется по формуле:
(3.1)
где
- суточный транзитный без переработки вагонопоток, ваг;
- состав поезда (соответственно груженого или порожнего),
ваг.
Число поездов, поступающих в расформирование, определяется для каждого
направления по формуле:
(3.2)
, (3.3)
где
- суточный транзитный вагонопоток с переработкой, ваг;
- вагоны, поступающие на станцию под выгрузку, ваг;
- порожние вагоны, поступающие на станцию под погрузку.
Число поездов своего формирования определяется по формуле
(3.4)
где
- вагоны, погруженные на данной станции;
- порожние вагоны, отправляемые со станции после выгрузки.
Кроме того, число поездов своего формирования определено по числу групп
(одногруппные, двухгруппные, многогруппные);
Расчет велся с использованием таблицы 1.1 и плана формирования для
станции "Н".
Многогруппные - сборные поезда, следующие на участки Н-Е, Н-Ж, Н-З. Число
групп вагонов в составах этих поездов определяется количеством промежуточных
станций на участке.
Двухгруппные - поезда, имеющие в своем составе подобранные вагоны двух
назначений (Д+Е, К+М и Л+Р).
Одногруппные - поезда, следующие в одно назначение без подборки групп
вагонов (А,Б,В,Г,Ж,О,З,И).
Расчет числа поездов сведен в таблицы 3.1,3.2.
Таблица 3.1.
Расчет числа транзитных поездов и поездов, поступающих в расформирование
Примечание: числитель - груженый, знаменатель - порожний вагоно- и
поездопотоки.
Таблица 3.2.
Расчет числа поездов своего формирования
|
на из
|
Е
|
Ж
|
З
|
Итого
|
|
|
|
|
|
|
|
|
|
|
|
|
Ст."Н"
(одногруп)
|
390
|
10/71
|
8
|
253
|
7
|
5
|
308
|
22
|
5
|
18
|
|
Двугруп.
|
238
|
12
|
5
|
201
|
12
|
5
|
213
|
-
|
5
|
15
|
|
Многогруп.
|
41
|
-
|
1
|
53
|
-
|
1
|
44
|
-
|
1
|
3
|
|
итого
|
669
|
22/71
|
14
|
507
|
19
|
11
|
565
|
22
|
11
|
36
|
Для правильной организации работы станции разработаны рациональные
маршруты следования по станционным путям и паркам поездов, отдельных групп
вагонов и локомотивов. Маршруты следования разработаны для транзитных
вагонопотоков без переработки, с переработкой и местных вагонов.
4.
Специализация путей станции
Специализация путей станции устанавливается исходя из следующих условий:
обеспечение безопасности следования поездов и производства маневровой
работы;
максимального сокращения враждебности пересечений при пропуске по станции
вагонопотоков разных направлений;
выбор наилучшего варианта использования путей парков, обеспечения
выполнения местной работы и равномерного распределения маневровой работы между
маневровыми районами.
Главные пути специализированы по направлениям движения. Пути парков
прибытия и отправления специализированы по направлениям поездопотоков.
Для пропуска поездных локомотивов выделены специальные ходовые пути.
Пути сортировочного парка специализированы по назначениям плана
формирования и направлениям вагонопотоков. Для внутристанционных назначений
выделены пути с таким расчетом, чтобы при обработке местных вагонов было меньше
враждебных передвижений.
Потребное количество сортировочных путей на каждое назначение установлено
в соответствии с размерами вагонопотока. Если число вагонов на одно назначение
200 и более, то выделены два пути. Для уменьшения повторной сортировки вагонов
применена скользящая специализация части путей.
При специализации путей сортировочного парка учитаны следующие условия:
. Для назначений более 200 вагонов в сутки выделены по 2 пути.
. Наиболее крупные назначения выделены в разных половинах
сортировочного парка.
. Для местных назначений (грузовой двор, завод, склад топлива,
сортировочная платформа), а также для одиночного ремонта вагонов в
вагоноремонтном депо и для порожних вагонов выделено по 1 пути.
. Выделен один ходовой путь.
Таблица 4.1
Специализация путей сортировочного парка
|
Назначение вагонов или путей
|
Количество вагонов
|
Требуется при Жесткой
специализации
|
Номера выделенных путей
|
|
А+Б
|
130+120
|
2
|
1,2
|
161
|
1
|
3
|
|
Г
|
100
|
1
|
4
|
|
Д
|
87
|
1
|
5
|
|
Е
|
52
|
1
|
6
|
|
Н-Е
|
41
|
1
|
7
|
|
Ж+К
|
86+127
|
2
|
8,9
|
|
М
|
148
|
1
|
10
|
|
О
|
112
|
1
|
11
|
|
Н-Ж
|
53
|
1
|
12
|
|
З+И
|
96+117
|
2
|
13,14
|
|
Л
|
187
|
2
|
15,16
|
|
Р
|
147
|
1
|
17
|
|
Н-З
|
44
|
1
|
18
|
|
Грузовой двор
|
41
|
1
|
19
|
|
Завод
|
45
|
1
|
20
|
|
Склад топлива
|
46
|
1
|
21
|
|
Сорт. платформа
|
65
|
1
|
22
|
|
ВРД
|
4
|
1
|
23
|
|
Спец.пути
|
18
|
1
|
24
|
|
Порожн.
|
|
1
|
25
|
|
Ходовой
|
|
1
|
26
|
|
Итого
|
|
26
|
26
|
Таблица 4.2
Специализация путей парка приема
|
Номера путей
|
Специализация путей
|
|
1
|
Ходовой
|
|
2
|
Для приема нечетных поездов
с Е
|
|
3
|
Для приема нечетных поездов
с Е
|
|
4
|
Для приема четных поездов с
З
|
|
5
|
Для приема четных поездов с
З
|
|
6
|
Для приема четных поездов с
Ж
|
Таблица 4.3
Специализация путей парка отравления
|
Номера путей
|
Специализация путей
|
|
1
|
Для отправления на Е
|
|
2
|
Для отправления на Е
|
|
3
|
Для отправления на З
|
|
4
|
Для отправления на З
|
|
5
|
Для отправления на Ж
|
|
6
|
Для отправления на Ж
|
|
7
|
Ходовой
|
Таблица 4.4
Специализация путей транзитных парков
|
Парки
|
Номера путей
|
Специализация путей
|
|
Т1
|
1
|
Прием и отправление поездов
на З и Ж
|
|
2
|
|
|
Т2
|
3
|
Прием и отправление поездов
на Е
|
5. Технологические графики обработки поездов в парках станции
.1 Транзитные
поезда
Транзитные поезда принимаются в транзитный (приемоотправочный) парк, где
производится их закрепление, ограждение, технический и коммерческий осмотры,
смена локомотивных бригад и локомотивов, проба автотормозов.
Осмотр вагонов в техническом отношении производится бригадой вагонников,
состоящей из нескольких групп (2 - 4). Группа осматривает вагоны своей части
состава. В каждую группу входят специалисты по ходовым частям, автотормозам и
обшивке вагонов. Порядок прохода работников ПТО при осмотре состава четырьмя
группами показан на рис. 5.1.
Рис. 5.1. Порядок прохода работников ПТО 4-мя группами.
Продолжительность осмотра зависит от количества вагонов в составе и
рассчитана по формуле:
, мин (5.1)
где τ - среднее время осмотра одного вагона (в транзитном
парке и парке отправления 1,5 - 2,0 мин, в парке приема 0,75 - 1,0 мин);
- состав поезда, ваг.;
- число групп осмотрщиков в бригаде;
- доля составов (от общего числа), требующих трудоемкого
безотцепочного ремонта (подъемка вагонов, растяжка состава и т.д.), принимается
в курсовом проекте 0,1 - 0,2;
tрем - продолжительность выполнения безотцепочного ремонта, 20 - 30 мин;
- время на подготовительно-заключительные операции, 1 -
2 мин.
Для транзитных поездов без переработки:
Для сокращения продолжительности обработки составов бригада ПТО
комплектуется из нескольких групп, которые одновременно осматривают разные
части состава.
Общее время обработки состава зависит от продолжительности технического и
коммерческого осмотра, остальные операции выполняются параллельно.
Параллельно с техническим осмотром проводится осмотр вагонов в
коммерческом отношении группой приемщиков поездов, состоящей не менее чем из
двух человек.
По результатам расчетов построены технологические графики обработки
поездов.
Рисунок 5.2.
Технологический график обработки транзитного поезда без изменения массы и
длины и без смены локомотива
Рисунок 5.3
Технологический график обработки транзитного поезда с изменением массы и
длины
5.2. Поезда,
поступающие в расформирование
Поезда, поступающие в расформирование на станцию "Н" со всех
направлений, принимаются в парк приема согласно установленной специализации
путей.
В парке прибытия производится технический и коммерческий осмотры вагонов,
снятие хвостовых сигналов, разъединение рукавов автотормозной магистрали между
отцепами.
Общая продолжительность обработки состава (по технологическому графику) в
парке прибытия определяется временем его технического обслуживания и
коммерческого осмотра, так как остальные операции в основном выполняются
параллельно. Продолжительность технического обслуживания определено, мин,
(5.4)
мин
Рисунок 5.4
Технологический график обработки поезда, прибывшего в расформирование
5.3 Поезда
своего формирования
Поезда своего формирования обрабатываются в парке отправления. Готовые
составы поездов переставляются из сортировочного парка на пути отправления
согласно установленной специализации. В парке отправления с составами поездов
производятся следующие операции: закрепление и ограждение, технический и
коммерческий осмотры и устранение технических и коммерческих неисправностей,
полная проба тормозов от воздушной магистрали, навешивание хвостовых сигналов,
прицепка локомотива и сокращенная проба тормозов, получение документов и
отправление. Параллельно этим операциям готовятся грузовые документы в СТЦ. К
моменту окончания осмотра они должны быть в парке отправления.
Рисунок 5.5
Технологический график обработки поезда своего формирования
6. Нормы
времени на выполнение маневровой работы
.1 Расчет
продолжительности элементов горочного цикла
Расформирование-формирование составов с горки - единый процесс, в
результате которого вагоны поступают на пути сортировочного парка согласно их
назначениям в соответствии с планом формирования.
После обработки в парке приема прибывшего в расформирование поезда
горочный локомотив заезжает в хвост (голову) состава, надвигает состав до горба
горки и производит его роспуск. Для ликвидации образующихся во время роспуска
"окон" между группами вагонов на сортировочных путях горочный
локомотив после роспуска каждых трех - четырех составов заезжает в
сортировочный парк и производит осаживание вагонов.
Таким образом, элементами горочного цикла при расформировании составов на
горке являются: заезд, надвиг, роспуск и осаживание.
При последовательном расположении парков приема и сортировки время,
затрачиваемое на расформирование состава, определяется по формуле
, мин (6.1)
где
- время на заезд локомотива в хвост (голову) состава,
затрачиваемое на полурейсы (следование локомотива от горба горки после
предыдущего роспуска за входную горловину парка приема.
, мин (6.2)
где
- расстояние от вершины горки за горловину парка приема, м;
- расстояние от горловины парка приема до хвостовой
(головной) части состава, который должен надвигаться на горку (рис.6.1), м;
Рис. 6.1. Расстояния заезда и надвига
- средняя скорость заезда, км/ч
tз =
Надвиг выполняется горочным локомотивом до того момента, когда первый
вагон достигнет горба сортировочной горки или горочного светофора в случае
невозможности выполнять операцию роспуска.
Продолжительность надвига, мин, определяется по формуле
, мин , (6.3)
где
- расстояние надвига от предельного столбика парка приема до
горба горки, м;
- скорость надвига, км/ч.
Роспуск составов выполняется с переменной скоростью в зависимости от
величины отцепов и чередования отцепов различной длины.
Продолжительность роспуска, мин, нормируется по формуле
, мин (6.4)
где
- расчетная длина вагона, м (
=15м);
- число вагонов в составе;
- средняя скорость роспуска в зависимости от места вагонов в
отцепе.
- число отцепов в составе.
Осаживание вагонов производится на путях сортировочного парка с целью
создания необходимой их вместимости для роспуска очередных составов. Из-за
различных ходовых качеств отцепов и неточностей целевого торможения в первой
трети пути СП (со стороны горки) возникают свободные пространства, так
называемые "окна", между отцепами, что производит к невозможности
роспуска составов на эти пути.
Осаживание позволяет подготовить фронт работы по роспуску очередных
составов; сцепить вагоны, стоящие на путях сортировочного парка с
последовательным расположением их на пути.
Время на осаживание вагонов со стороны горки, мин, определено по формуле
, мин. (6.5)
Время на окончание формирования определено по формуле
tоф = 1,73+(0,18∙m) (6.6)
После выполненных расчетов построен график работы горки (рис.6.2) и
рассчитаны ее показатели
Рис. 6.2 Технологический график работы горки с одним локомотивом
Показатели работы горки
К показателям работы горки относятся: горочный интервал, перерабатывающая
способность горки, темп работы горки, коэффициент использования горочных
локомотивов.
Горочный интервал представляет собой время с момента начала роспуска
одного состава до момента возможного начала роспуска следующего состава.
Горочный интервал, мин/сост, определен по формуле:
(6.7)
Перерабатывающая способность горки определена по формуле
, (6.8)
где
- время на технологические перерывы в работе горки из-за
враждебности маршрутов(
=120 мин).
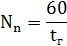
Темп работы горки - максимальное число поездов, которое может быть
расформировано горкой в течение часа
Определено по формуле
(6.9)
Коэффициент использования горочных локомотивов
(6.10)
6.2 Окончание
формирования составов на вытяжных путях
Объем и содержание маневровой работы по окончанию формирования составов
определяются как характером перерабатываемого вагонопотока, так и условиями
накопления вагонов на сортировочных путях.
Если путь накопления специализирован для одного назначения групп вагонов
то, операции, связанные с окончанием формирования состава или части его
(устранение несовпадения продольных осей автосцепки, постановка вагонов
прикрытия), выполняются только в случае, если они не были совмещены с
расформированием - формированием.
Если путь специализирован для накопления двух или более назначений групп
вагонов, то для формирования состава вагоны образовавшихся групп (групп
формирования) сортируют по свободным путям или концам путей парка для подборки
по поездным группам, которые затем собирают на один путь в порядке,
установленном планом формирования и ПТЭ.
Норма времени на окончание формирования одногруппного состава при
накоплении вагонов на одном пути определяется по формуле:
, мин (6.11)
где Тптэ - технологическое время на выполнение
операций, связанных с расстановкой вагонов по ПТЭ, мин., а именно устранение
несовпадений продольных осей автосцепки у смежных вагонов при разнице высот
более чем 100 мм и постановка вагонов прикрытия:
, мин (6.12)
где В,Е - нормативные коэффициенты, значения которых зависят от
среднего числа операций р0 (расцепок вагонов), подлежащих формированию,
в местах несовпадения продольных осей автосцепок и постановки вагонов
прикрытия;
nф - среднее число вагонов, включаемых в формируемый состав в соответствии
с установленной весовой нормой или длиной состава (в курсовом проекте nф=m=62
Тподт - технологическое время на подтягивание вагонов со стороны
вытяжных путей для ликвидации "окон" на путях сортировочного парка:
, мин (6.13)
,08 - коэффициент, выражающий затрату локомотиво-минут на подтягивание
одного вагона на количество вагонов в сформированных составах.
Для одногруппных составов
Норма времени на окончание формирования одногруппного или двухгруппного состава
с использованием двух путей для накопления вагонов (головная группа
накапливается на одном пути, а хвостовая - на другом) определено по формуле:
, мин (6.14)
Время расстановки вагонов по ПТЭ для части состава, которая после
выполнения операции размещается на том же пути накопления нормировано по
формуле.
, мин (6.15)
Время расстановки вагонов по ПТЭ части состава, которая переставляется на
путь сборки, нормировано по формуле:
, мин (6.16)
где Ж, И - нормативные коэффициенты, значения которых зависят от
числа операций расцепки вагонов и затрат времени на перестановку хвостовой
части состава на путь сборки.
Для двухгруппных составов
Норма времени на окончание формирования многогруппного состава определена
по формуле:
, мин (6.17)
Норма времени на сортировку вагонов определена по формуле:
, мин (6.18)
где n - среднесуточное количество сортируемых вагонов,
приходящееся на один сформированный состав, принимается равным среднему
составу, т.е. n = mФ. .
Норма времени на сборку вагонов
сб. , мин (6.19)
где Р - число путей, с которых переставляются вагоны:
, (6.20)
nсб. - количество вагонов, переставляемых на путь сборки
формируемого состава:
nсб. =
n( g - 1 ) / g
(6.21)
где g - среднее количество групп в одном составе. Для сборного
поезда число групп равно числу промежуточных станций на участке.
Для многогруппных составов:
Тсб на Е = 1,8∙8+0,3∙60=32,4 мин
Тсб на Ж =1,8∙6+0,3∙58=28,2 мин
Тсб на З =1,8∙7+0,3∙59=30,3 мин
Рна Е = 9-1 = 8 путей
Рна Ж = 7-1 = 6 путей
Рна З = 8-1 = 7 путей
nсб
на Е = 67∙8/9
= 60 ваг
nсб
на Ж = 67∙6/7
= 58 ваг
nсб
на З = 67∙7/8
= 59 ваг
Тоф на Е = 13,79+32,4 = 46,19 мин
Тоф на Ж = 13,79+28,2 = 41,99 мин
Тоф на З = 13,79+30,3 = 44,09 мин
6.3
Перестановка составов и групп вагонов из парка в парк (с пути на путь)
Технологическое время на перестановку состава из парка в парк (с пути на
путь) определено по формуле, мин:
(6.22)
где Апер, Впер - нормативные коэффициенты, значения
которых рассчитывают суммированием отдельных нормативов времени a и b соответствующих длине полурейсов, выполняемых при
перестановке; n - среднее число вагонов в
переставляемом составе.
С пути на путь:
Из парка в парк:
.4 Маневровые
операции с составами транзитных поездов
Технологическая норма времени на выполнение маневровых операций с составами
транзитных поездов складывается из норм времени на выполнение основной и
дополнительной работы.
Технологическая норма времени на отцепку от транзитных составов вагонов с
техническими или коммерческими неисправностями определена, мин,
Ттр = Л+У∙g+ Тд
(6.23)
Ттр = 8,97+1,17∙1+6 = 16,14 мин
где Л, У - нормативные коэффициенты, зависящие от числа вагонов,
переставляемых при отцепке вагонов с техническими или коммерческими
неисправностями; g - количество
групп вагонов, отцепляемых от транзитного состава; Тд -
дополнительное время на выполнение маневровых операций с учетом конкретных
местных условий.
Технологическая норма времени на выполнение маневровой работы в случае
прицепки вагонов к составу транзитного поезда, мин,
Ттр = 3,6+0,07∙nприц + Тд
(6.24)
Ттр = 3,6+0,07∙2+6= 9,74 мин
Технологическая норма времени на выполнение маневровых операций для смены
групп вагонов в составе транзитного поезда, мин
Ттр = 8,2+0,24∙nприц + 0,4∙nотц + Тд (6.25)
Ттр = 8,2+0,24∙15 + 0,4∙15+ 6 = 23,8 мин
7. Число
подач (уборок) на пункты местной работы
Под обработкой местных вагонов понимаются операции, связанные с подачей
груженых вагонов на пути выгрузки, перестановке их на грузовых фронтах, уборке
груженых и порожних вагонов с грузовых фронтов на пути станции.
Продолжительность подачи на пункт местной работы складывается из затрат
времени на выполнения операций: подформирования вагонов для пункта местной
работы на вытяжном пути; следования маневрового состава на ПМР; расстановки
вагонов по фронтам выгрузки и погрузки; следования одиночного локомотива
обратно на станцию.
Продолжительность подформирования, мин, определена по формуле
(7.1)
где А, Б - нормативные коэффициенты; к - число грузовых фронтов на данном
пункте местной работы; mпод - среднее число вагонов в одной
подаче; g - среднее число отцепов при
подформировании группы вагонов
Среднее число вагонов в подаче определено по формуле
mпод = nсут / кпод (7.2)
где nсут - суточный вагонопоток, поступающий
на данный пункт местной работы; кпод - среднее число подач на пункт
местной работы за сутки.
mпод ГД = 24/ 2 =12 ваг.
mпод Зав = 26/ 2 =13 ваг.
mпод СТ = 46/ 3 = 16 ваг.
mпод СП = 38/ 2 = 19 ваг.
Расчет нормы времени на следование маневрового состава с путей станции до
ПМР, мин, произведен по формуле
(7.3)
где А п-р , В п-р - нормативные коэффициенты ,
соответствующие длине полурейсов, выполняемых при маневрах.
Время на расстановку вагонов, мин, у грузовых мест определено по формуле
(7.4)
где
- время, необходимое на расстановку одного вагона (1 мин).
Время, необходимое для выполнения дополнительных операций, включает
проход составителя к вагонам, укладку или уборку тормозных башмаков, соединение
или разъединение тормозных рукавов, открытие или закрытие концевых кранов и тд.
Число подач (уборок) может быть определено по следующим условиям:
) По технико-экономической целесообразности
(7.5)
) По длине фронта погрузки-выгрузки (минимальное число подач)
К П-У = (nсут∙lваг) /Lфр
(7.6)

) По норме времени на выполнение грузовых операций
К П-У = 24 /Тгр.оп (7.7)
) По силе тяги маневрового локомотива
К П-У = (nсут∙qбр )/Qман (7.8)
где nсут - суточное количество местных вагонов
для данного грузового пункта; св-ч - стоимость одного вагоно-часа; см
- параметр накопления местных вагонов (5-6 ч) ; tп-у - время на подачу и уборку вагонов;
- стоимость одного локомотиво-часа;
Тгр.оп - время на выполнение грузовых операций; Lфр - длина фронта погрузки-выгрузки; lваг -количество вагонов; Qман - масса маневрового состава для
конкретного пункта местной работы, тонн.
Вывод: количество подач на грузовой двор принято 2, на завод - 2, на
склад топлива - 3 и на сортировочную платформу - 2.
8. Число горочных и маневровых локомотивов
Загрузка сортировочных устройств, на которых выполняется расформирование
составов поездов, для горочной станции при наличии маневровых локомотивов
вычислена по формуле
(8.1)
Загрузка локомотивов формирования определена по формуле
(8.2)
где nпер - среднесуточный вагонопоток; mр и mф - средний состав расформированных и сформированных поездов,
ваг;
- коэффициент, учитывающий
надежность технических устройств (0,08);
- коэффициент, учитывающий возможные
перерывы в использовании сортировочного устройства из-за враждебных
передвижений (0,97);
- суммарное за сутки время занятия горки постоянными
операциями;
- относительные потери перерабатывающей способности
сортировочного устройства из-за недостатка количества и вместимости
сортировочных путей;
- время на окончание формирования одного состава, мин;
и
- время на перестановку сформированного
состава в парк отправления и возвращение маневрового локомотива в район
формирования, мин;
- коэффициент, учитывающий возможные перерывы в
использовании вытяжного пути из-за враждебных передвижений (0,93);
локомотив горочный и 1 локомотив маневровый:
,73 ≤ 0,85 - 1 горочный локомотив учитывается
,14 > 0,78 - 1 маневровый локомотив не учитывается
горочных и 2 маневровых локомотива:
,64 ≤ 0,85 - 2 горочных локомотива учитываются
,57 ≤ 0,78 - 2 маневровых локомотива учитываются
локомотива горочных и 3 локомотива маневровых:
,49≤0,85 - 3 горочных локомотива учитываются
,38≤0,78 - 3 маневровых локомотива учитываются
Вагоно-часы простоя вагонов, которые зависят от количества маневровых
локомотивов, определены по формуле:
(8.3)
Вагоно-часы работы маневровых локомотивов за сутки
(8.4)
Суммарные среднесуточные эксплуатационные расходы:
(8.5)
Таблица 8.1
Расчет числа локомотивов на сортировочной станции
|
Вариант
|
М гор
|
М ф
|
γ
гор
|
γ
ф
|
t ож расф
|
t ож оф
|
nHман ваг-ч
|
МНман лок-ч
|
Есутруб
|
|
1
|
1
|
2
|
0,73
|
0,57
|
11
|
12
|
718,75
|
72
|
122321,22
|
|
2
|
1
|
3
|
0,73
|
0,38
|
11
|
8
|
593,75
|
96
|
157549,65
|
|
3
|
2
|
2
|
0,64
|
0,57
|
6
|
12
|
562,50
|
96
|
157074,34
|
|
4
|
2
|
3
|
0,64
|
0,38
|
6
|
8
|
437,50
|
120
|
192302,77
|
|
5
|
3
|
2
|
0,49
|
0,57
|
2
|
12
|
437,50
|
120
|
192302,77
|
|
6
|
3
|
3
|
0,49
|
0,38
|
2
|
8
|
312,50
|
144
|
227531,20
|
Наиболее оптимальный вариант: 1 горочный локомотив и 2 маневровых.
9. Суточный
план-график
Суточный план-график является технологическим документом, который
определяет основные параметры работы станции. В нем показываются: занятие
входных стрелочных горловин; занятие путей парков прибытия и отправления;
работа горки, вытяжных путей, маневровых и горочных локомотивов; график подхода
поездов всех категорий; накопление вагонов на путях сортировочного парка;
работа с местными вагонами.
Суточный план-график составлен на основе следующих данных: графика
движения поездов; разложения составов поездов, поступающих в расформирование;
технологических норм времени на обработку составов и вагонов; нормативов на
маневровую работу (расформирования на горке, формирование составов,
перестановка готовых составов, обслуживания пунктов местной работы).
Суточный план-график работы станции представляет собой координатную
сетку. По оси абсцисс в масштабе откладывается время (24 часа) с разбивкой на
десятиминутные интервалы, по оси ординат наносятся пути, вытяжки, горка,
маневровые и горочные локомотивы, пункты местной работы, стрелочные горловины и
т.д.
Используя условные обозначения на плане-графике, отображается вся работа
станции с поездами, вагонами и локомотивами.
На основании разработанного суточного плана-графика определены основные
показатели и нормативы работы станции.
Для построения суточного плана-графика затраты времени на отдельные
технологические и маневровые операции округлены до целого числа и сведены в
таблицу 8.1.
Таблица 9.1
Затраты времени на технологические и маневровые операции
|
Наименование операций
|
Норма времени, мин
|
|
Обработка состава в парке
приема поезда, прибывшего в расформирование
|
27
|
|
Обработка состава в парке
отправления поезда своего формирования
|
57
|
|
Обработка транзитных
поездов
|
37
|
|
Расформирование на горке
Заезд Надвиг и роспуск
|
7 4 + 10= 14
|
|
Формирование составов
Одногруппных Двухгруппных Сборных Н-Е Н-Ж Н-З
|
9 24 47 42 45
|
|
Перестановка составов в
четный парк отправления нечетный парк отправления
|
7 7
|
|
Подача на грузовой двор
подформирование следование локомотива с вагонами на грузовой двор расстановка
вагонов холостой рейс обратно
|
6 19 7 12 4
|
|
Подача вагонов на склад
топлива подформирование следование локомотива с вагонами на путь выгрузки
расстановка вагонов холостой рейс на склад топлива уборка вагонов со склада
топлива
|
6 12 7 16 4 6
|
|
Подача вагонов на завод
подформирование следование локомотива с вагонами на путь выгрузки расстановка
вагонов холостой рейс обратно
|
6 15 7 13 4
|
|
Подача вагонов на
сортировочную платформу подформирование следование на путь выгрузки
расстановка вагонов на пути выгрузки холостой рейс обратно
|
6 17 7 19 4
|
При разработке суточного плана-графика работы станции была учтена
возможность одновременного выполнения следующих операций:
– заезд горочного локомотива под состав и прием поезда в парк приема;
– заезд горочного локомотива под состав и надвиг состава на горку;
– уборка поездного локомотива из-под прибывшего поезда и надвиг
состава на горку;
– формирование двух составов с одного пучка путей сортировочного
парка на вытяжке;
– перестановка сформированного состава в парк отправления и
формирование другого состава;
– формирование состава на вытяжном пути и подача (уборка) местных
вагонов;
– перестановка вагонов с одного пункта местной работы на другой.
В случае невозможности параллельного выполнения перечисленных операций на
плане-графике показан процесс ожидания освобождения технических устройств.
Кроме этого, при формировании составов поездов двухгруппных назначений,
соблюдена установленная технология (формирование "головы" и
"хвоста" поезда).
10. Расчет
показателей работы станции
По данным суточного плана-графика определены следующие показатели работы
станции:
простой транзитного вагона без переработки, tтр;
простой транзитного вагона с переработкой, tпер;
простой местного вагона, tм;
простой, приходящийся на одну грузовую операцию, tгр. оп;
коэффициент сдвоенных операций, Ксдв;
норма рабочего парка вагонов, nраб;
вагонооборот, nоб;
коэффициент загрузки маневровых средств, α.
Таблица 10.1
Расчет простоя транзитного вагона без переработки
|
Номер поезда
|
Время, ч - мин
|
Число вагонов в составе
|
Время обработки, час
|
Вагоно-часы простоя
|
|
прибытия
|
отправления
|
|
|
|
|
2102
|
0-15
|
0-52
|
57
|
0,6
|
34,2
|
|
2104
|
2-00
|
3-39
|
57
|
1,48
|
84,36
|
|
2103
|
2-40
|
3-17
|
60
|
0,6
|
36,0
|
|
2106
|
3-55
|
4-32
|
57
|
0,6
|
34,2
|
|
2110
|
7-35
|
8-12
|
57
|
0,6
|
34,2
|
|
2109
|
9-15
|
9-52
|
60
|
0,6
|
36,0
|
|
1006
|
11-45
|
11-22
|
57
|
0,6
|
34,2
|
|
2114
|
13-10
|
13-47
|
57
|
0,6
|
34,2
|
|
2041
|
14-25
|
16-04
|
60
|
1,48
|
88,8
|
|
2116
|
16-45
|
17-22
|
57
|
0,6
|
34,2
|
|
2115
|
18-15
|
18-52
|
60
|
0,6
|
36,0
|
|
2117
|
19-10
|
19-47
|
60
|
0,6
|
36,0
|
|
2216
|
21-15
|
21-52
|
57
|
0,6
|
34,2
|
|
2118
|
21-30
|
22-29
|
57
|
0,6
|
34,2
|
|
2121
|
22-00
|
22-37
|
60
|
0,6
|
36,0
|
|
Итого
|
|
|
873
|
|
626,76
|
Таблица 10.2
Расчет простоя от прибытия до расформирования
|
Номер поезда
|
Число вагонов в составе
|
Время, ч
|
Вагоно-часы
|
|
|
Обработки
|
В ожидании роспуска
|
Расформирования
|
Обработки
|
В ожидании роспуска
|
Расформирования
|
|
2001
|
60
|
0,45
|
0,00
|
0,23
|
27,00
|
0,00
|
13,80
|
|
2004
|
57
|
0,45
|
0,00
|
0,23
|
25,65
|
0,00
|
13,11
|
|
2020
|
57
|
045
|
0,30
|
0,23
|
25,65
|
17,10
|
13,11
|
|
2005
|
60
|
0,45
|
0,00
|
0,23
|
27,00
|
0,00
|
13,80
|
|
3008
|
57
|
0,45
|
0,00
|
0,23
|
25,65
|
0,00
|
13,11
|
|
2017
|
60
|
0,45
|
0,00
|
0,23
|
27,00
|
0,00
|
13,80
|
|
2019
|
60
|
0,45
|
0,00
|
0,23
|
27,00
|
0,00
|
13,80
|
|
2006
|
57
|
0,45
|
0,00
|
0,23
|
25,65
|
0,00
|
13,11
|
|
2021
|
60
|
0,45
|
0,00
|
0,23
|
0,00
|
13,80
|
|
2027
|
60
|
0,45
|
0,00
|
0,23
|
27,00
|
0,00
|
13,80
|
|
2029
|
60
|
0,45
|
0,00
|
0,23
|
27,00
|
0,00
|
13,80
|
|
3010
|
57
|
0,45
|
0,43
|
0,23
|
25,65
|
24,51
|
13,11
|
|
2031
|
60
|
0,45
|
0,50
|
0,23
|
27,00
|
30,00
|
13,80
|
|
2026
|
57
|
0,45
|
0,48
|
0,23
|
25,65
|
27,36
|
13,11
|
|
3005
|
60
|
0,45
|
0,10
|
0,23
|
27,00
|
6,00
|
13,80
|
|
3404
|
57
|
0,45
|
0,00
|
0,23
|
25,65
|
0,00
|
13,11
|
|
2037
|
60
|
0,45
|
0,00
|
0,23
|
27,00
|
0,00
|
13,80
|
|
2042
|
57
|
0,45
|
0,00
|
0,23
|
25,65
|
0,00
|
13,11
|
|
2028
|
57
|
0,45
|
0,08
|
0,23
|
25,65
|
4,56
|
13,11
|
|
2012
|
57
|
0,45
|
0,00
|
0,23
|
25,65
|
0,00
|
13,11
|
|
2045
|
60
|
0,45
|
0,25
|
0,23
|
27,00
|
15,00
|
13,80
|
|
2047
|
60
|
0,45
|
0,30
|
0,23
|
27,00
|
18,00
|
13,80
|
|
3012
|
57
|
0,45
|
0,17
|
0,23
|
25,65
|
9,69
|
13,11
|
|
2049
|
60
|
0,45
|
0,00
|
0,23
|
27,00
|
0,00
|
13,80
|
|
2032
|
57
|
0,45
|
0,00
|
0,23
|
25,65
|
0,00
|
13,11
|
|
2051
|
60
|
0,45
|
0,00
|
0,23
|
27,00
|
0,00
|
13,80
|
|
3402
|
57
|
0,45
|
0,53
|
0,23
|
25,65
|
30,21
|
13,11
|
|
2053
|
60
|
0,45
|
0,48
|
0,23
|
27,00
|
28,80
|
13,80
|
|
2055
|
60
|
0,45
|
0,32
|
0,23
|
27,00
|
19,20
|
13,80
|
|
3014
|
57
|
0,45
|
0,00
|
0,23
|
25,65
|
0,00
|
13,11
|
|
2018
|
57
|
0,45
|
0,00
|
0,23
|
25,65
|
0,00
|
13,11
|
|
2057
|
60
|
0,45
|
0,00
|
0,23
|
27,00
|
0,00
|
13,80
|
|
Итого
|
1875
|
|
|
|
843,75
|
230,43
|
431,25
|
Простой транзитного вагона с переработкой:
Простой местного вагона:
Простой, приходящийся на одну грузовую операцию:
Коэффициент сдвоенных операций:
Норма рабочего парка вагонов:
Вагонооборот:
Коэффициент загрузки маневровых средств:
11. Расчет
пропускной способности стрелочной горловины
. Установление максимально возможного числа одновременно совершаемых в
горловине маршрутных передвижений, которое равно максимальному числу
параллельно выполняемых операций Кперmax.
Для этого была составлена табл. 11.1.
Таблица 11.1.
Перечень параллельных операций, выполняемых в рассматриваемой стрелочной
горловине.
|
Операции
|
Стрелки
|
|
1-я группа операций
|
|
1.Прием пассажирских
поездов четного направления
|
2
|
|
2. Прием транзитного поезда
с переработкой на 5 путь
|
20,24
|
|
3. Выезд на вытяжной путь
12 с 3 пути
|
12, 16, 6, 4
|
|
4. Выезд на вытяжной путь с
4 пути
|
22, 18, 8
|
|
2-я группа операций
|
|
1. Отцепка поездного
локомотива
|
12, 16, 6, 4, 8, 18, 20
|
|
2. Прием транзитного поезда
с переработкой
|
2, 10, 14
|
|
3-я группа операций
|
|
1. Отправление поезда
своего формирования
|
20
|
|
2. Прием транзитного поезда
с переработкой
|
2, 10, 12
|
Таким образом, Кперmax=4.
. Деление стрелочной горловины на элементы.
В состав каждого элемента включена группа совместно работающих стрелочных
переводов, при занятии одного из которых каким-либо передвижением невозможно
одновременное использование остальных стрелочных переводов этого же элемента
для других передвижений.
секция А: 20,24.
секция В: 2, 10, 14.
секция С: 12, 16, 6, 4.
секция D: 22, 18, 8.
Таблица 11.2.
Таблица маршрутных передвижений, совершаемых в рассматриваемой стрелочной
горловине.
|
Маршруты
|
№ стрелочных переводов
|
Продолжительность занятия
маршрута 1-й операцией
|
Число операций по маршруту
|
Продолжительность занятия
маршрута всеми операциями
|
№ маршрутов
|
Элементы, в которые входят
стрелки
|
|
|
|
|
изменяющимися
|
постоянными
|
расчетного элемента
|
остальных элементов
|
|
|
1
|
2
|
3
|
4
|
5
|
6
|
7
|
8
|
9
|
|
Прием тр поезда с/п на 1 ПП
с Р
|
2, 10, 14
|
8
|
9
|
72
|
-
|
1
|
|
В
|
|
Прием тр поезда с/п на 2 ПП
с Р
|
2, 10, 14
|
8
|
9
|
72
|
-
|
2
|
|
В
|
|
Прием тр поезда с/п на 3 ПП
с Р
|
2, 10, 12
|
8
|
9
|
72
|
-
|
3
|
|
В, С
|
|
Прием тр поезда с/п на 4 ПП
с Р
|
2, 10, 12, 22
|
8
|
9
|
72
|
-
|
4
|
|
В, С, D
|
|
Прием тр поезда с/п на 5 ПП
с Р
|
2, 10, 12, 22, 24
|
8
|
9
|
72
|
-
|
5
|
|
А, В, С, D
|
|
Прием тр поезда с/п на 6 ПП
с Р
|
2, 10, 12, 22, 24
|
8
|
9
|
72
|
-
|
6
|
|
А, В, С, D
|
|
Прием тр поезда с/п на 5 ПП
с О
|
20, 24
|
8
|
6
|
48
|
-
|
|
8
|
А
|
|
Прием тр поезда с/п на 6 ПП
с О
|
20, 24
|
8
|
6
|
48
|
-
|
|
9
|
А
|
|
Прием пассажирского поезда
на 1 путь с Р
|
2
|
6
|
5
|
-
|
30
|
7
|
|
В
|
|
Уборка поездного локомотива
в ЛХ
|
12, 16, 6, 4, 8, 18, 20
|
5
|
17
|
85
|
-
|
|
10
|
А, С, D
|
|
Отправление тр поезда б/п
на О
|
20
|
5
|
1
|
-
|
|
11
|
А
|
|
Всего
|
|
|
|
618
|
30
|
|
|
|
|
Итого по элементам:
|
|
|
|
|
|
|
|
|
|
А
|
|
|
|
330
|
-
|
|
|
|
|
В
|
|
|
|
432
|
30
|
|
|
|
|
С
|
|
|
|
373
|
-
|
|
|
|
|
D
|
|
|
|
216
|
-
|
|
|
|
. Установление, какой из полученных элементов оказался наиболее
загруженным, используя итоговые значения граф 5 и 6 табл. 10.2.
Для каждого элемента определено отношение (Ко) по формуле:
, (11.1)
Для А:
Для В:
Для С:
Для D:
Таким образом, наиболее загруженный элемент - В, который далее принят за
расчетный.
. Определение влияния возможных перерывов в использовании стрелок
расчетного элемента из-за наличия враждебных передвижений по остальным
элементам горловины.
Коэффициент ω определен по формуле:
, (11.2)
. Определение коэффициента использования пропускной способности
стрелочной горловины.
Коэффициент определен по формуле:
, (11.3)
αг=0,93.
. Определение пропускной способности. Для маршрутов, связанных с
выполнением операций, зависящих от размеров движения, пропускная способность
определена по формуле:
, (11.4)
где Ni’ - принятые к расчету размеры движения грузовых
поездов.
Для рассматриваемого примера наличная пропускная способность горловины
составила:
) по приему транзитных поездов с переработкой из Р
Ni=9/0,34=26 поездов;
) по приему транзитных поездов с переработкой из О
Ni=6/0,34=17 поездов;
) по отправлению транзитного поезда без переработки на О
Ni=1/0,34=2 поезда.
Таким образом, пропускная способность горловины в грузовых поездах
составила N=26+17+2=45 поездов.
Заключение
По разработанному суточному плану-графику были посчитаны показатели
работы станции: простой транзитного вагона без переработки, равный 0,72ч;
простой транзитного вагона с переработкой, равный 5,994ч; простой местного
вагона, равный 0,09ч; простой, приходящийся на одну грузовую операцию, равный
0,07ч; коэффициент сдвоенных операций, равный 1,22; норма рабочего парка
вагонов, равная 453 вагона; вагонооборот, равный 5478 вагонов; коэффициент
загрузки маневровых средств, равный 0,51.
Список
литературы
1.
Организация работы сортировочной станции. Учебное пособие/ В. В. Широкова, Е.
А. Несветова - Хабаровск: Изд-во ДВГУПС, 2006.-97с.
. Типовой
технологический процесс работы сортировочной станции. - М.: Транспорт, 2003.
. Нормы
времени на маневровые работы, выполняемые на железнодорожных станциях ОАО
"РЖД", нормативы численности бригад маневровых локомотивов - М.: ОАО
"РЖД", 2006.-99с.
станция маневровый локомотив пропускной