Организация работы сортировочной станции
Введение
Цель курсового проекта «Организация работы сортировочной
станции» - научить студентов правильно организовать работу сортировочной
станции с минимальным простоем подвижного состава, высокой эффективностью
использования технических средств и низкой себестоимостью переработки вагонов.
Проект состоит из четырех частей: технологической, расчетной,
графической и экономической. В технологической части на основании задания
приводится краткая характеристика станции и разрабатывается технология
переработки вагонопотоков всех категорий. В расчетной части требуется
произвести расчеты по установлению технологических нормативов на маневровую
работу и разложению составов, прибывающих в расформирование поездов.
Графическая часть предусматривает на основании полученных расчетных данных и
технологических нормативов построение графической модели в виде суточного
плана-графика и определение показателей работы станции. В последней,
экономической, части определяется себестоимость переработки вагонов.
Станции являются основными производственными предприятиями
железнодорожного транспорта. На них сосредоточена почти вся техническая работа
с грузовыми поездами, значительная часть грузовой работы. На станциях вагоны
находятся более 70% времени оборота, поэтому главным резервом в его сокращении
является дальнейшее совершенствование технологии работы станций, максимальное
ускорение всех операций с вагонами и поездами. За время оборота вагон в среднем
проходит более 10 технических станций и подвергается переработке до четырех раз.
Сокращение простоя на этих станциях в среднем на 0,5 ч ускоряет оборот вагона
на 6 ч. При этом уменьшается потребность в вагонном парке и сокращается срок
доставки грузов.
В состав эксплуатационных расходов транспорта входят
значительные затраты на маневровую работу на сортировочных станциях. Сокращение
этих затрат - также весьма важная задача для работников станций. Кроме того,
сокращение простоя вагонов, поездов и локомотивов, ускорение маневровой работы
влекут за собой уменьшение капитальных вложений: требуется меньше вагонов,
локомотивов, путей. Чем лучше используется техника, тем выше производительность
труда, перерабатывающая способность, надежность всех элементов станций, ниже
себестоимость перевозок. Дальнейшее совершенствование технологии работы сортировочных
станций - крупнейших производственных предприятий железных дорог имеет важное
экономическое значение.
1.
Краткая характеристика станции
К данным, характеризующим работу каждой станции, относятся:
схема станции, расписание движения поездов всех категорий, план формирования
поездов, объем местной работы и др.
1.1
Техническая оснащенность станции
Станция С является односторонней сортировочной станцией с
последовательным расположением парков прибытия, сортировочного и отправления.
Она расположена в пункте слияния трех линий: однопутных Е - С, И - С и
двухпутной А - С. В парке прибытия имеется шесть путей для приема поездов в
расформировании с направлений А, Е, И. Сортировочный парк состоит из четырех
пучков по четыре пути в каждом. Между парком прибытия и сортировочным
расположена двухпутная механизированная сортировочная горка. Парк отправления
состоит из восьми путей, предназначенных для отправления поездов своего
формирования на все направления и обработки транзитных поездов. Пути отправления
соединены с сортировочным парком двумя вытяжными путями.
На станции расположены локомотивное депо и пункт технического
осмотра и ремонта вагонов, пост военизированной охраны. К парку отправления
примыкает грузовой двор и подъездной путь завода.
Для обслуживания пассажиров станция располагает пассажирским
зданием и двумя пассажирскими платформами. Пассажирское здание расположено со
стороны жилого массива города.
1.2
План формирования поездов
Поезда формируются по назначениям плана формирования, который
задается станции. План формирования для станции С приведен в табл. 1. Согласно
этому плану станция формирует на три направления (А, Е, И) поезда 12
назначений. При среднем составе поезда 68 вагонов имеем 33 поездов в сутки,
причем 27 поездов в направлении А (7 назначений), 4 поезда в направлении Е (3
назначения) и 2 поезда в направлении И (2 назначения).
Таблица 1. План формирования для станции С
|
Станция
назначения
|
Назначение
групп вагонов
|
Род поездов
|
Число
формируемых поездов
|
|
В
направлении А
|
|
А1
|
Станция А1
и далее, одногруппный
|
Сквозной
|
5
|
|
А2
|
Станция А2
и далее, одногруппный
|
Сквозной
|
5
|
|
А
|
Станция А и
далее до А1 и А2 исключительно, одногруппный
|
Сквозной
|
5
|
|
Б
|
Станция Б и
далее до А исключительно, одногруппный
|
Сквозной
|
4
|
|
В
|
Станция В и
далее до Б исключительно, одногруппный
|
Сквозной
|
5
|
|
Г
|
Станция Г и
далее до В исключительно, одногруппный
|
Участковый
|
2
|
|
Г
|
На станции
участка С-Г, исключая Г, многогруппный
|
Сборный
|
1
|
|
Итого
|
27
|
|
В
направлении Е
|
|
Е
|
Станция Е и
далее, одногруппный
|
Сквозной
|
2
|
|
Д
|
Станция Д и
далее до Е, исключительно, одногруппный
|
Участковый
|
1
|
|
Д
|
На станции
участка С-Д, исключая Д, многогруппный
|
Сборный
|
1
|
|
Итого
|
4
|
|
В
направлении И
|
|
И
|
Станция Ии
далее, одногруппный
|
Участковый
|
1
|
|
И
|
На станции
участка С-И, исключая И, многогруппный
|
Сборный
|
1
|
|
Итого
|
2
|
|
Всего
|
33
|
1.3
Расписание движения поездов
В расписании указывается время проследования пассажирских
поездов (табл. 2), прибытия и отправления транзитных без переработки (табл. 3),
прибытия поездов в расформирование (табл. 4) и отправления своего формирования
(табл. 5).
Из табл. 4 и 5 видно, что станция принимает в расформирование
33 поезда (17 - с направления Е, 10 - с направления И, 6 - с направления А). и
пропускает без переработки 21 поезд (13 - в направлении Е, 8 - в направлении
И).
Таблица 2. Пассажирские поезда
Таблица 3. Транзитные грузовые поезда
Таблица 4. Поезда, прибывшие в расформирование

Таблица 5. Поезда своего расформирования

1.4 Объем работы станции
Под объемом работы станции понимается количество вагонов
различных категорий, перерабатываемых и пропускаемых станцией за сутки
(транзитные без переработки, транзитные с переработкой, местные).
На основании плана формирования (см. табл. 1), данных
расписания о количестве транзитных и прибывающих в расформирование поездов
можно составить схему поездопотоков в грузовом движении. Такая схема приведена
на рис. 1.
Рис. 1. Схема поездопотоков
Из рис. 1 видно, что на станцию в расформирование поступает
за сутки 33 поезда, столько же станция формирует и, кроме того, 21 пропускает
транзитом. Суточный объем работы станции с перерабатываемыми и местными
вагонами показан в отдельной таблице (табл. 6).
Таблица 6. Поезда своего расформирования
|
От На
|
В направлении
|
Местные
(выгрузка)
|
Итоги
|
|
А
|
Е
|
И
|
|
|
|
А
|
-
|
272
|
136
|
-
|
408
|
|
Е
|
1132
|
-
|
-
|
24
|
1156
|
|
И
|
654
|
-
|
-
|
26
|
680
|
|
Местные (погр.+
порожн.)
|
50
|
-
|
-
|
-
|
50
|
|
Итого
|
1836
|
272
|
136
|
50
|
2294
|
По данным табл. 5 строится диаграмма перерабатываемых и
местных вагонопотоков станции С.
Вагоны, поступающие на станцию под выгрузку (местные),
распределяются между грузовым двором и подъездным путем завода в соответствии с
заданием. Погрузку осуществляет грузовой двор, подъездной путь сдает порожние
вагоны на станцию.
2.
Технология обработки поездов и вагонов
.1
Специализация путей станции
Специализация должна обеспечивать безопасность движения и
способствовать ускорению операций по приему и отправлению поездов и маневровой
работы. Главные пути специализируются по направлениям движения. Пути парков
прибытия и отправления специализируются по направлениям поездопотоков.
Для транзитных поездов, имеющих смену локомотивов, выделяют
пути, обеспечивающие прямой пропуск локомотивов в депо и обратно под поезда. В
этом случае возможен одновременный прием и отправление других поездов. Для
поездов своего формирования выделяютпути, позволяющие производить прием и
отправление транзитных поездов без прекращения маневровой работы. В необходимых
случаях для пропуска поездных локомотивов можно выделять специальные ходовые
пути.
Пути сортировочного парка специализируются по назначениям
плана формирования и направлениям вагонопотоков. Специализация путей
сортировочного парка должна обеспечивать по возможности равномерную загрузку
вытяжных путей и параллельность операций в хвостовой горловине, где
сосредоточена основная маневровая работа по формированию поездов.
Специализация путей станции С приведена в таблице 6
Таблица 7. Специализация путей станции
|
Наименование
путей и парков
|
Номера путей
|
Специализация
путей
|
Вагонопоток
|
|
Главные пути
|
I
|
Приём и
отправление нечётных пассажирских поездов
|
-
|
|
II
|
Приём и
отправление чётных пассажирских поездов
|
-
|
|
III
|
Для пропуска
поездных локомотивов
|
-
|
|
IV
|
Приём с А в
расформирование и оправление на Е, И транзитных поездов, поездов своего
формирования
|
-
|
|
Парк прибытия
|
1
|
Прием грузовых
поездов с направления Е
|
-
|
|
2
|
Прием грузовых
поездов с направления Е
|
-
|
|
3
|
Ходовой
|
-
|
|
4
|
Прием грузовых
поездов с направления И
|
-
|
|
5
|
Прием грузовых
поездов с направления И
|
-
|
|
6
|
Прием грузовых
поездов с направления А
|
-
|
|
Сортировочный
парк
|
1
|
Для вагонов в
адрес грузового двора
|
20
|
|
2
|
Сборный поезд
на СГ
|
68
|
|
3
|
Участковый
поезд на Г
|
136
|
|
4
|
Сквозной поезд
на А1
|
272
|
|
5
|
Сквозной поезд
на А2
|
204
|
|
6
|
Сквозной поезд
на А
|
340
|
|
7
|
Резервный
|
204
|
|
8
|
Сквозной поезд
на Б
|
204
|
|
9
|
Резервный
|
136
|
|
10
|
Сквозной поезд
наВ
|
272
|
|
11
|
Сквозной поезд
на Е
|
136
|
|
12
|
Участковый
поезд на Д
|
68
|
|
13
|
Сборный поезд
на СД
|
68
|
|
14
|
Участковый поезд
на И
|
68
|
|
15
|
Сборный на СИ
|
68
|
|
16
|
Для вагонов в
адрес подъездного пути
|
30
|
|
Парк
отправления
|
1
|
Отправление
поездов своего формирования на А
|
-
|
|
2
|
Отправление
поездов своего формирования на А
|
-
|
|
3
|
Отправление
поездов своего формирования на А
|
-
|
|
4
|
Отправление
поездов своего формирования на А
|
-
|
|
5
|
Ходовой
|
-
|
|
6
|
Отправление
поездов своего формирования на Е, И
|
-
|
|
7
|
Приём и
отправление транзитных поездов на Е, И
|
-
|
|
8
|
Приём и
отправление транзитных поездов на Е, И
|
-
|
|
Прочие пути
|
19
|
Ходовой
|
-
|
|
20
|
Соединительный
|
-
|
|
21
|
Соединительный
|
-
|
|
22
|
Соединительный
|
-
|
|
23
|
Соединительный
|
-
|
|
24
|
Выгрузочный
|
-
|
|
25
|
Погрузочный
|
-
|
|
26
|
Выставочный
|
-
|
|
27
|
Вытяжной
|
-
|
2.2
Обработка транзитных поездов
Станция С пропускает транзитные поезда без переработки в
четном направлении (с А на Е, И). Эти поезда принимаются на 7-й и 8-й пути
парка отправления, где производиться техническое обслуживание (ТО) и
коммерческий осмотр вагонов, смена локомотивов, проба автотормазов. При смене
локомотивов машинист прибывшего поезда сдает документы оператору СТЦ на
контрольном посту (при уходе локомотива в депо), там же вручаются документы
машинисту, отправляющемуся с данным поездом, к которому подается локомотив,
вышедший из депо. При смене бригад документы остаются на локомотиве.
Техническое обслуживание вагонов производиться бригадой вагонников, состоящей
из четырех групп. Группа осматривает вагоны своей части состава. В каждую
группу входят специалисты по ходовым частям, кузовам вагонов и автотормозам.
Время
на закрепление состава принимаю:
где 
- время на установку тормозных башмаков

- время затрачиваемое на проход, при установке тормозных башмаков

- время на доклад о закреплении состава

- время на установку одного тормозного башмака, принимаем 0,29
мин.

- число тормозных башмаков, из условия 8.

- длина прохода, принимаем 10.
Продолжительность технического обслуживания tПТО, мин, зависит от
количества вагонов в составе:
, (1)
где mс - состав поезда, ваг; mс=68 ваг;
tось -
затраты времени, приходящиеся на одну ось вагона, мин; (в парке П для
поездов поступающих в расформирование tось=0,2
мин; в парке О для
транзитных поездов и своего формирования tось=0,3
мин)
nПТО -
число групп в бригаде ПТО; nПТО=3.
Таким образом:
мин
Коммерческое обслуживание, выполняемое за время
:
мин
По окончании ТО снимается ограждение и к составу подаётся поездной
локомотив. После прицепки локомотива снимается закрепление состава и машинист
производит пробу тормозов, получает от осмотрщика-автоматчика справку о
тормозах и ожидает отправления по расписанию. Технологический график операций
по обработке транзитного поезда в парке отправления со сменой локомотива
приведён на рис. 3.
|
Операции
|
Время, мин
|
Исполнители
|
|
До прибытия
поезда
|
После прибытия
поезда
|
|
|
|
0 10 20 30 40
|
|
|
1. Получение от
поездного диспетчера сообщение о номере, времени прибытия и назначении поезда
|
|
|
|
|
|
|
ДСП
|
|
2. Извещение
работников СТЦ, ПТО, ПКО о номере, времени прибытия и пути приема поезда
|
|
|
|
|
|
|
ДСП
|
|
3. Выход к пути
приема работников, участвующих в обработке поезда
|
|
|
|
|
|
|
Работники СТЦ,
ПТО, ПКО, сигналист
|
|
4. Закрепление
состава и отцепка поездного локомотива
|
|
|
|
|
|
|
ДСП,
локомотивная бригада, сигналист
|
|
5. Ввод и ИВЦ
сообщений о прибытии поезда
|
|
1
|
|
|
|
|
Оператор СТЦ
|
|
6. Ограждение и
техническое обслуживание состава, ремонт вагонов
|
|
|
|
|
|
|
ДСП, работники
ПТО
|
|
7. Коммерческий
осмотр вагонов и устранение неисправностей
|
|
|
28
|
|
|
|
Работники ПКО
|
|
8. Снятие
ограждения, прицепка к составу поездного локомотива, снятие закрепления
|
|
|
|
|
|
|
Работники ПТО,
локомотивная бригада, ДСП, специалист
|
|
9. Вручение
машинисту перевозочных документов
|
|
|
|
|
|
|
Оператор СТЦ
|
|
10. Проба
автотормозов и отправление поезда
|
|
|
|
|
10
|
|
Работники ПТО,
локомотивная бригада, ДСП
|
|
Общая
продолжительность обработки поезда
|
|
|
|
47
|
|
|
|
Рис. 3. Технологический график обработки транзитного поезда
2.3 Обработка составов в парке прибытия
Поезда, поступающие в расформирование на станцию С со всех
направлений, принимаются в парк прибытия. В соответствии со специализацией
путей поезда со стороны Е принимаются на 1-й, 2-й и 3-й пути парка, со стороны
И - на 4-й и 5-й пути парка, а со стороны А - на 6-й путь.
Локомотивы нечётных поездов (со стороны Е и И) уходят по
путям 21, 23, 27 в парк отправления под составы своего формирования без захода
в депо. Локомотивы чётных поездов после отцепки и обгона по 4-му ходовому.
При входе поезда в парк производится списывание вагонов на
ходу. Для этого в обеих горловинах парка прибытия имеются посты списывания, на
которых работают операторы ЭВМ. Номера вагонов одновременно передаются в СТЦ и
в информационно-вычислительный центр (ИВЦ). В парке прибытия производится ТО и
коммерческий осмотр, снятие хвостовых сигналов, разъединение рукавов автотормозной
магистрали. В парке работает одна бригада ПТО, состоящая из трёх групп.
Продолжительность ТО составляет 19 минут.
мин
Параллельно с обработкой состава в парке производится обработка
документов в СТЦ.
При входе поезда в парк машинист отпускает документы в приёмный
бункер, откуда они по пневмопочте пересылаются в СТЦ. В СТЦ документы сверяют с
номерами вагонов, полученными с постов списывания, и размечают в соответствии с
планом формирования и специализацией путей сортировочного парка. После
окончания технического и коммерческого осмотров при необходимости в ИВЦ водится
корректировка сортировочного листка, после чего последний поступает работникам,
участвующим в роспуске (дежурному по горке, горочным операторам, на ПТО).
Технологический график операций по обработке состава в парке
прибытия приведён на рис. 4.
|
Операции
|
Время, мин
|
Исполнители
|
|
До прибытия
поезда
|
После прибытия
поезда
|
|
|
|
5 10 15 20 25
|
|
|
1. Получение
извещения о номере поезда и времени прибытия
|
|
|
|
|
|
|
|
ДСП
|
|
2. Оповещение
работников, участвующих в обработке состава о времени и пути прибытия поезда
|
|
|
|
|
|
|
|
ДСП
|
|
3. Выход
работников к пути приема поезда
|
|
|
|
|
|
|
|
Работники ИТО,
ПКО, ВОХР, сигналист
|
|
4. Списывание
вагонов
|
|
|
|
|
|
|
|
Оператор поста
списывания
|
|
5. Ввод в ИВЦ
сообщения о прибытии поезда
|
|
1
|
|
|
|
|
|
Оператор поста
списывания
|
|
6. Пересылка
перевозочных документов в СТЦ
|
|
|
|
|
|
Оператор поста
списывания
|
|
7. Проверка ТНЛ
и перевозочных документов
|
|
|
|
18
|
|
|
|
Оператор СТЦ по
прибытию
|
|
8. Закрепление
состава и отцепка локомотива
|
|
4
|
|
|
|
|
|
ДСП, сигналист,
лок-я бригада
|
|
9. Ограждение
состава и техническое обслуживание вагонов
|
|
|
|
19
|
|
|
|
ДСП, работники
ПТО
|
|
10.
Коммерческий осмотр состава
|
|
|
|
19
|
|
|
|
Работники ПКО
|
|
11. Подготовка
и ввод в ИВЦ сообщения о результатах обработки состава
|
|
|
|
|
|
|
|
Оператор СТЦ
|
|
12. Выдача
сортировочного листка на ПТО, ДСПГ, составителям
|
|
|
|
|
|
|
|
ИВЦ
|
|
Общая
продолжительность
|
|
|
|
28
|
|
|
|
|
Рис. 4. Технологический график обработки состава в парке
прибытия
2.4. Организация работы механизированной горки
Расформирование составов производится на сортировочной горке.
Горка оборудована техническими средствами для управления роспуском составов:
ü горочной автоматической централизацией
(ГАЦ);
ü электрической централизацией
ü тремя позициями вагонных замедлителей;
ü радиосвязью с маневровыми локомотивами;
ü громкоговорящей радиосвязью;
ü телетайпной связью;
Работой горки руководит дежурный по горке (ДСПГ). Роспуском
управляет головной оператор. Пол его контролем находятся горочные светофоры,
замедлители первых двух (интервальных) тормозных позиций и все разделительные
стрелки. Второй оператор управляет замедлителями третьей (прицельной) тормозной
позиции.
В случае оборудования горки системой АРС обеспечивается
автоматическое регулирование скорости скатывания отцепов в зависимости от их
веса, начальной скорости отрыва и дальности следования на путях сортировочного
парка. При этом обеспечивается автоматическое тормозное нажатие шинами вагонных
замедлителей на скаты вагонов. сила нажатия обеспечивает снижение скорости
скатывания отцепов до необходимой величины. Такая горка называется
автоматизированной. За роспуском следит один горочный оператор.
Горочный локомотив выполняет при расформировании состава
следующие операции:
заезд;
надвиг;
роспуск;
осаживание.
lнад =400 м 1250 м lз»= 300 м
П
C М8
lз’=1950 м
Рис. 5. Схема парка приема
Из продолжительности этих элементов складывается горочный
цикл. Время на каждую из них, в соответствии рассчитывается следующим образом:
Заезд: Под заездом понимается следование
локомотива от горба горки по сигналам МГ-1, МГ-2 в тупик за сигнал М-8, а затем
по этому сигналу на соответствующий путь под состав. Продолжительность заезда:
, (2)
где tз - расстояние от горба горки за сигнал обгонного тупика в нечетной
горловине
парке прибытия, 1950 м;
lг - длина
нечетной горловины парка прибытия, 300 м;
υз - средняя скорость заезда, км/ч (принимаем υз=25 км/ч);
tпд - время
на передвижение маневрового локомотива, мин (tпд = 0,15
мин);
Надвиг-это процесс
передвижения состава вагонами вперед с пути приема на путь надвига до горочного
сигнала на горбу горки. Реальная скорость при этом колеблется в пределах от
6…12 км/ч. Продолжительность надвига:
, (3)
где lнад - расстояние от предельного столбика в горочной
горловине парка прибытия до
горба горки, 400 м;
υнад - средняя скорость
надвига, км/ч (υнд=10 км/ч);
,
Роспуск-это процесс
сортировки вагонов с горки. Продолжительность роспуска:

(4)
где 
- время роспуска с горки разрешённых вагонов;

- время вагонов запрещённых к роспуску
(5)
где mс - число вагонов в составе 68;
g - среднее количество отцепов в составе 27,2;
lв - средняя длина вагона (15 м);
υр - средняя скорость
роспуска состава, которая принимается в зависимости от
среднего количества вагонов в отцепеυр=6,1 км/ч;
g = 
= 27,2 отцепа, где 
- число вагонов в отцепе 2,5.
,

(6)
где
- среднее число вагонов в составе не подлежащих роспуску, 

- время занятия горки вагонами, запрещёнными к роспуску, 
Осаживание. При роспуске состава отцепы с разными ходовыми свойствами
останавливаются на путях сортировочного парка в разных местах, так как
прицельное торможение не обладает абсолютной точностью. Поэтому периодически
необходимо осаживать вагоны в сторону хвостовой горловины сортировочного парка
со стороны горки или подтягивать с противоположной стороны. Продолжительность
осаживания:
(7)
Суммируя найденные элементы, округлённые до минуты в большую
сторону, получим продолжительность занятия горочного локомотива по
расформированию одного состава:
tлок= tз + tнад + tр + tос; (8)
tлок=6+3+12+5=26 мин;
Используя полученные данные, составляется график работы горки
в интенсивный период подхода поездов в расформирование (рис. 6.).
|
Операции
|
Прод-ть, мин
|
Время, мин 0 10
20 30 40 50 60 70
|
|
Заезд
|
6
|
|
|
Надвиг
|
3
|
|
|
Роспуск
|
12
|
|
|
Осаживание
|
5·3=15
|
|
|
Горочный цикл
|
78
|
|
Рис. 6. График работы горки
Как видно из рис. 6, продолжительность горочного цикла
(период между двумя осаживаниями через три состава) равна в данном случае 78
мин. За этот период расформировано три состава, следовательно, горочный интервал
равен:
, (9)
Зная горочный интервал, можно установить перерабатывающую
способность горки:
(10)
где Твр - перерыв в работе горки из-за
враждебности маршрутов (120 мин);
tсм - смена маневровой бригады (20 мин);
,
Фактически на горке перерабатывается 2294 вагонов. Следовательно,
расформированием составов горка занята около 69% всего резерва времени за
сутки.
2.5 Формирование составов
Составы формируются на вытяжных путях в хвостовой горловине
сортировочного парка. В парке два вытяжных пути, к которым примыкает по девять
сортировочных путей. На каждой вытяжке может работать один локомотив. Стрелками
управляет дежурный по парку (ДСПП) с поста электрической централизации.
После накопления вагонов какого-либо назначения на состав составитель
через ДСПП получает команду от маневрового диспетчера (ДСЦ) на формирование
поезда. Для формирования состава управление стрелками передается на маневровые
колонки, расположенные у каждого вытяжного пути. Управление при этом берет на
себя составитель. После завершения формирования управление стрелками передается
на пост ДСПП и состав переставляется в парк отправления. В процессе
перестановки производится списывание вагонов оператором ЭВМ. После перестановки
локомотив возвращается на вытяжку и направляется для очередной работы.
Продолжительность формирования поездов всех категорий рассчитана ниже.
В процессе работы по формированию поездов составитель и
машинист поддерживают связь с помощью радиостанций.
2.6 Обработка поездов местного формирования
Поезда своего формирования обрабатываются в парке
отправления. Составы готовых поездов поступают из сортировочного парка на пути
отправления согласно специализации. В парке отправления с составами этих
поездов производятся следующие операции:
ü ТО, КО и устранение неисправностей;
ü полная проба тормозов от воздушной
магистрали;
ü навешивание хвостовых сигналов;
ü прицепка локомотива и сокращенная проба
тормозов;
ü получение документов и отправление.
Параллельно с этими операциями обрабатываются грузовые документы
в СТЦ. К моменту окончания обработки состава документы должны быть в парке
отправления.
В процессе перестановки состава из сортировочного парка ДСП
предъявляет вагоны к осмотру, передавая оператору ПТО по громкоговорящей связи
номер пути, номер поезда, количество вагона, номера первого и хвостового
вагонов, время отправления поезда по расписанию и его назначение.
Грузовые документы, полученные по пневмопочте из СТЦ,
вручаются машинисту под расписку. Документы на сборный поезд передаются
главному кондуктору в распечатанном виде.
Продолжительность технического обслуживания в парке
отправления:
мин
Технологический график операций при подготовке состава поезда
своего формирования к отправлению приведен на рис. 7.
|
Операции
|
Время, мин
|
Исполнители
|
|
До обработки
|
В процессе
обработки
|
|
|
|
10 20 30 40
|
|
|
1. Согласование
времени и пути перестановки состава
|
|
|
|
|
|
|
ДСПП, ДСП, ДСЦ
|
|
2. Извещение
работников парка отправления о перестановке состава
|
|
|
|
|
|
|
ДСП
|
|
3. Выход к пути
перестановки работников, участвующих в обработке состава
|
|
|
|
|
|
|
Работники ПТО,
ПКО, ВОХР, сигналисты
|
|
4. Перестановка
и списывание вагонов с передачей информации в СТЦ и в ИВЦ
|
|
|
|
|
|
|
Оператор ЭВМ
|
|
5. Закрепление
состава, отцепка и уход маневрового локомотива
|
|
4
|
|
|
|
|
Сигналист, ДСП,
машинист
|
|
6. Ограждение и
техническое обслуживание состава
|
|
|
|
|
|
|
Работники ПТО,
ДСП
|
|
7. Коммерческий
осмотр вагонов и устранение неисправностей
|
|
|
|
|
|
|
Работники ПКО
|
|
8. Подборка
перевозочных документов по результатам списывания
|
|
5
|
|
|
|
|
Оператор СТЦ
|
|
9. Ввод в ИВЦ
корректировочного сообщения и получение натурного листа
|
|
|
|
|
|
|
Оператор СТЦ
|
|
10.
Пакетирование документов и пересылка пакета в парк отправления
|
|
|
8
|
|
|
|
Оператор СТЦ
|
|
11. Снятие
ограждения и ввод в ИВЦ сообщения об окончании обработки состава
|
|
|
|
|
|
|
ДСП, оператор
ПТО, оператор СТЦ
|
|
12. Прицепка
поездного локомотива, снятие закрепления состава
|
|
|
|
|
|
|
ДСП, сигналист,
локомотивная бригада
|
|
13. Вручение
машинисту перевозочных документов
|
|
|
|
|
|
|
Оператор СТЦ
парка отправления
|
|
14. Проба
тормозов, вручение машинисту справки ВУ-45, отправление
|
|
|
|
|
|
|
Локомотивная
бригада, работники ПТО, оператор СТЦ, ДСП
|
|
Общая
продолжительность обработки
|
|
|
|
51
|
|
|
|
Рис. 7. Технологический график обработки состава формирования
в парке отправления
2.7 Обработка местных вагонов
Под обработкой местных вагонов понимаются операции по подаче
груженых на пути выгрузки, перестановке на грузовых фронтах, уборке груженых
или порожних вагонов с грузовых фронтов.
В адрес местных пунктов станции С, как видно из табл. 5,
поступает 50. согласно заданию, 24 приходит со стороны Е и 26 со стороны И.
2.8 Работа СТЦ
Производственный процесс переработки вагонов на сортировочной
станции протекает по двум технологическим линиям: обработка вагонов
непосредственно на путях и обработка грузовых документов и информации в СТЦ.
По прибытии поезда на станцию СТЦ получает номера вагонов с
поста списывания в порядке из расположения в составе, которые сверяются с
раннее полученными в телеграмме - натурке. Получив документы по пневмопочте,
старший оператор размещает их согласно плану формирования и специализации
сортировочных путей. Одновременно документы сверяют со списком номеров вагонов,
полученным с поста списывания. Если по результатам технического и коммерческого
осмотров в составе не обнаружено неисправностей, которые могли бы привести к
изменению в назначении вагонов (в депо, на перегруз), то в ИВЦ передается
корректирующее сообщение, после чего на ЭВМ поступает сортировочный листок.
Если в результате осмотра хотя бы один вагон потребует отцепочного ремонта или
исправления крепления груза вне состава, сортировочный листок подлежит
корректировке. После этого документы раскладывают по ячейкам в порядке
поступления вагонов на специализированные пути сортировочного парка. Каждому
пути соответствует своя ячейка. Таким образом, параллельно с накоплением
вагонов на сортировочных путях происходит накопление документов в ячейках.
В течении смены оператор СТЦ следит за накоплением вагонов на
путях сортировочного парка, ведет учет веса и длины состава, используя данные
из АСУСС. Обо всех изменениях порядка поступления вагонов на путь накопления
дежурный по горке и составитель информирует оператора СТЦ. Об окончании
накопления вагонов оператор СТЦ сообщает маневровому диспетчеру, который через
ДСПП передает указание составителю формировать состав данного назначения.
В процессе перестановки сформированного состава в парке
отправления производится списывание вагонов оператором поста списывания в
хвостовой горловине сортировочного парка. При этом в СТЦ и в ИВЦ передается
номера вагонов порядке их расположения в составе. Оператор СТЦ сверяет вагонов
с номерами в накопительной ведомости из АСУСС, вводит корректирующие сообщения
и получает из ИВЦ натурный лист поезда.
2.9 Планирование поездообразования
Планирование работы станции по переработке вагонопотоков
производится в ИВЦ. План рассчитывается по четырехосным периодам. Расчет
поездообразования основывается на информации о подходе поездов и вагонов, а
также о наличии поездов, вагонов и локомотивов на станции. В ИВЦ постоянно
передается информация в виде телеграмм - натурок о поступающих на дорогу
поездах в адрес соответствующих станции.
За два часа до планируемого периода в ИВЦ передается
следующая информация:
ü из АСОУП - о подходе поездов и
локомотивов;
ü со станции С из АСУСС - о положении парков
прибытия, сортировочного, отправления;
ü из депо - о наличии поездных локомотивов.
На базе этой информации и технологических нормативов работы
станции в ИВЦ рассчитывается план поездообразования на станции. В плане
указываются:
ü прибытие поездов в расформирование;
ü прибытие резервных локомотивов;
ü порядок роспуска и накопления поездов
своего формирования с указанием номеров поездов и локомотивов;
ü время уборки местных вагонов.
3. Ведомость разложения составов поездов,
прибывающих в расформирование
Для построения суточного плана-графика работы станции
необходимо знать количество вагонов по назначениям плана формирования в каждом
составе, прибывающем в расформирование. Вследствие неравномерности
вагонопотоков число вагонов и их расположение в составах поездов не бывают
одинаковыми. Поэтому для построения суточного плана-графика разрабатывается
модель разложения вагонов в составах, близких к средним условиям, основанная на
математической статистике.
4.
Расчетные нормативы на маневровую работу
.1 Норма времени на расформирование составов на
горке
Продолжительность расформирования состава на сортировочной
горке складывается из суммы двух затрат времени - надвига и роспуска, которые
определены во втором разделе настоящего пособия:
4.2 Норма времени на формирование одногруппного
поезда
Формирование - это комплекс маневровых операций по
расстановке вагонов в составе согласно ПТЭ (устранение неподхода центров
автосцепки, постановка прикрытия, сцепление вагонов и подтягивание их к
предельному столбику соответствующего пути). Поэтому продолжительность
формирования зависит от среднего количества расцепок в составе, а также от величины
состава, мин:
, (11)
где В, Е - нормативные параметры, зависящие от числа расцепок
, мин;
при
, В = 2,56; Е = 0,16;
tсц -
технологическое время на сцепление и подтягивание вагонов, мин;
; (12)
.
4.3 Формирование сборных поездов
Формирование сборного поезда заключается в выполнении двух
основных операций: сортировки вагонов, накопленных на одном пути, для подборки
их по группам и сборки групп в соответствии с географическим расположением
промежуточных станций на участке. Продолжительность формирования сборного
поезда состоит из затрат времени на сортировку и сборку вагонов, мин:
(13)
Эти элементы равны:
где
- число групп объединения состава.
А, Б - нормативные параметры, зависящие от способа сортировки
(осаживание или толчки), вида маневровой работы (расформирование или
формирование), уклона вытяжки и типа локомотива (тепловоз, электровоз,);
g - среднее число отцепов в составе 27,2;
k - число станций, на которых производится работа сборного
поезда на участке, т.е. число групп формирования, 6.
Если принять, что формирование сборного поезда производится
на вытяжном пути с уклоном менее 1,5 ‰ тепловозом ТЭМ-7 способом толчков, то
нормативные параметры будут А = 0,73 мин; Б = 0,34 мин. При условии, что число
промежуточных станций k = 6, а количество отцепов при сортировке вагонов на вытяжном
пути g
=27,2, продолжительность формирования сборного поезда, согласно формуле (3),
будет равна:
4.4 Норма времени на перестановку составов
После окончания формирования состав переставляется в парк
отправления для дальнейшей обработки и снаряжения в путь. Продолжительность
операций по перестановке зависит от расстояния перестанови числа вагонов в
составе и состоит из затрат времени на следующие элементы:
следование состава в парк отправления;
отцепку локомотива и обгон;
возвращение локомотива на вытяжной путь парка формирования.
Расчёт продолжительности перестановки приведен в таблице 7.
Таблица 7. продолжительности перестановки составов
|
Наименование
полурейсов
|
Маршрут
следования
|
Длина полурейса,
м
|
Продолжительность
полурейса, мин
|
Примечание
|
|
От
|
До
|
|
|
|
|
Следование с
пути сортировочного парка в парк отправления
|
Предельный
столбик парка С
|
Сигнал Н-1
|
2210
|
10,31
|
(Прил.2.4)
Рабочий полурейс
|
|
Отцепка
локомотива и следование в обгонный тупик
|
Сигнал Н-1
|
Сигнал М-9
|
300
|
1,41
|
Холостой
полурейс
|
|
Следование
локомотива на вытяжной путь
|
Сигнал М-9
|
Сигнал М-22
|
2125
|
8,71 -
|
Тоже
|
|
Итого
|
-
|
-
|
-
|
21
|
-
|
4.5 Обработка грузового двора
Под обработкой грузового двора понимается ряд операций
связанных с обслуживанием погрузочно-разгрузочных фронтов на грузовом дворе. К
таким операциям относятся: подача вагонов под выгрузку или погрузку,
перестановка порожних от фронта выгрузки к фронтам погрузки уборка груженых или
порожних от фронтов погрузки, выгрузки. Продолжительность каждой из этих
операций складывается из затрат времени на отдельные передвижения (полурейсы) и
элементы.
Подача вагонов под выгрузку. Вагоны в адрес
грузового двора по. ступают в процессе роспуска на первый путь сортировочного
парка согласно специализации путей. С этого пути они подлежат подаче на 24-й
путь, где имеется три фронта выгрузки, крытый пакгауз, платформа для навалочных
грузов и платформа для выгрузки техники. Поэтому перед подачей вагоны нужно
подформировывать в порядке расположения грузовых фронтов.
Продолжительность подачи складываетсяиз затрат времени на
следующие элементы:
подформирование на вытяжке;
следование на путь 27 (рис. 8);
следование на путь выгрузки;
расстановка вагонов по фронтам выгрузки;
следование локомотива обратно на 27-й путь;
следование локомотива на вытяжной путь.
Рис. 8. Район грузового двора
Продолжительность подформирования определяется, мин:
(14)
где А, Б - нормативные параметры;
- число грузовых фронтов на данном грузовомпункте,
;
g - среднее число отцепов при подформировании группы вагонов
(дается в задании на проект);
- среднее число вагонов в одной подаче, ваг.
(15)
где
- суточный размер вагонопотока,
поступающего на грузовой двор;
- среднее число подач за сутки: по готовности и наличию вагонов к
подаче, 4.
вагонов
Нормативные параметры при подформировании вагонов на вытяжном пути
тепловозом, равны: А = 0,73 мин; Б= 0,34 мин. При среднем числе отцепов в
процессе подформирования (g= 4,67)
продолжительность подформирования:
На расстановку вагонов к местам выгрузки отводится по одной минуте
на один вагон. В это время входят операции по осмотру места выгрузки, подкладка
тормозного башмака под вагоны, расцепка вагонов. Поэтому затрата времени в
минутах на расстановку вагонов под выгрузку или погрузку будет численно равна
количеству физических вагонов в одной подаче.
Затраты времени на передвижения вагонов в процессе подачи
определяются по специальным таблицам, где в зависимости от длины полурейса и
числа вагонов приводятся затраты времени на операцию.
Расчет общей продолжительности подачи вагонов на грузовой двор
сводится в таблице 8
Таблица 8. продолжительности подачи вагонов на грузовой двор
|
Наименование
операций и полурейсов
|
Длина
полурейса, м
|
Число вагонов
|
Продолжительность,
мин
|
Примечание
|
|
Подформирование
на вытяжке
|
-
|
7
|
9
|
По формуле (4)
|
|
Следование за
сигнал М-11
|
210+350+
400+130= 1090
|
7
|
4,8
|
Табл. П. 2.4
|
|
Следование на
ГД
|
400
|
7
|
2,27
|
Табл. П. 2.6
|
|
Следование по
пути 24
|
200
|
7
|
2,9
|
Табл. П. 2.7
|
|
Расстановка
вагонов
|
-
|
7
|
7,00
|
1 мин на вагон
|
|
Следование
локомотива за сигнал М-11
|
400
|
-
|
1,66
|
Табл. П. 2.6
|
|
Следование
локомотива в сортировочный парк на вытяжку
|
400+350= 750
|
-
|
3,31
|
Табл. П. 2.4
|
|
Общая затрата
времени
|
-
|
-
|
30,94
|
-
|
Таким образом, продолжительность подачи груженых вагонов на
ГД составляет около 31 мин; ее можно округленно подразделить на следующие
элементы, мин:
|
Подформирование
|
9
|
|
Следование на
ГД
|
10
|
|
Расстановка
вагонов
|
7
|
|
Холостой рейс
локомотива
|
5
|
|
Итого
|
31
|
Перестановка порожних вагонов. После выгрузки на 24-м
пути вагоны подлежат перестановке на 25-й путь под погрузку. Продолжительность
этой операции рассчитывается в таблице 9.
Таблица 9. Перестановка порожних вагонов
|
Наименование
операций и полурейсов
|
Длина
полурейса, м
|
Число вагонов
|
Продолжительность,
мин
|
Примечание
|
|
Следование
локомотива за сигнал М-11
|
400+350= 750
|
-
|
3,31
|
Табл. П. 2.4
|
|
Следование
локомотива на 24-й путь
|
400
|
-
|
1,66
|
Табл. П. 2.6
|
|
Осмотр и
сцепление вагонов
|
-
|
7
|
7,00
|
1 мин на вагон
|
|
Следование за
сигнал М-11
|
400+130= 530
|
2,63
|
Табл. П. 2.6
|
|
Следование на
ГД
|
400
|
7
|
2,27
|
Табл. П. 2.6
|
|
Следование по
пути 25
|
200
|
7
|
2,9
|
Табл. П. 2.7
|
|
Расстановка
вагонов под погрузку
|
-
|
7
|
7,00
|
1 мин на вагон
|
|
Следование
локомотива за сигнал М-11
|
400
|
-
|
1,66
|
Табл. П. 2.6
|
|
Следование
локомотива на вытяжной путь
|
400+350= 750
|
-
|
3,31
|
Табл. П. 2.4
|
|
Общая затрата
времени
|
-
|
-
|
31,74
|
-
|
Как видно из таблицы9, продолжительность перестановки
составляет около 32 мин, которые распределяются следующим образом, мин:
|
Следование на
ГД
|
5
|
|
Расстановка
вагонов с 24 на 25 путь
|
22
|
|
Холостой рейс
|
5
|
|
ИТОГО
|
32
|
Уборка вагонов с грузового двора. После окончания грузовых
операций на ГД по запросу старшего приемосдатчика вагоны выводятся с путей
погрузки (выгрузки) и направляются на путь сортировочного парка согласно
специализации. Среднее число вагонов в одной уборке принимается равным числу
поданных согласно заданию, вагоны, выгруженные на ГД, тут же подлежат погрузке.
Количество уборок будет: 20:7=3. Продолжительность уборки вагонов рассчитана в
таблице 10.
Таблица 10. Уборка вагонов с грузового двора
|
Наименование
операций и полурейсов
|
Длина
полурейса, м
|
Число вагонов
|
Продолжительность,
мин
|
Примечание
|
|
Следование
локомотива за М-11
|
400+350= 750
|
-
|
3,31
|
Табл. П. 2.4
|
|
Следование
локомотива на 25-й путь
|
400
|
-
|
1,66
|
Табл. П. 2.6
|
|
Осмотр и
сцепление вагонов на 25-м пути
|
-
|
7
|
7,00
|
1 мин на вагон
|
|
Следование
состава за сигнал М-11
|
400+100= 500
|
7
|
2,51
|
Табл. П. 2.6
|
|
Следование
состава вагонами вперед на соответствующий путь парка С
|
400+350+
210+130 =1090
|
7
|
4,8
|
Табл. П. 2.4
|
|
Следование
локомотива на вытяжной путь
|
210
|
-
|
1,21
|
Табл. П. 2.4
|
|
Общая затрата
времени
|
-
|
-
|
20,49
|
-
|
Продолжительность уборки, согласно табл. 10, равна 21 мин;
это время можно разделить на элементы, мин:
|
Следование
локомотива на ГД
|
5
|
|
Работа на ГД
|
10
|
|
Следование в
парк
|
6
|
|
Итого
|
21
|
Таким образом, при обработке грузового двора время
затрачивается на следующие операции, мин:
|
Подачу груженых
вагонов
|
|
|
Перестановку
порожних
|
|
|
Уборку груженых
|
|
При совмещении подачи и уборки холостые рейсы из
сортировочного парка на ГД и обратно отсутствуют.
4.6
Обработка подъездного пути
Станция С работает с подъездным путем завода на основе ЕТП
(единого технологического процесса). Порядок уборки и подачи вагонов в адрес
завода определяется договором на эксплуатацию подъездного пути. В данном
примере принят вариант обработки вагонов по наличию, т.е. по мере прибытия и
поступления на путь накопления. Если учесть, что в адрес подъездного пути
ежесуточно поступает 20 вагонов, то в каждой подаче будет:
вагонов
Подача осуществляется через парк отправления с осмотром вагонов и
включением автотормозов. Продолжительность обработки группы вагонов
определяется технологическим процессом ПТО и принимается не менее 10 мин.
Локомотив станции подает груженые и убирает порожние вагоны. Маневровые
операции внутри цехов осуществляет собственный локомотив завода.
Таблица 11. Обработка подъездного пути
|
Наименование
операций и полурейсов
|
Длина
полурейса, м
|
Число вагонов
|
Скорость
следования, км/ч
|
Продолжитель-ность,
мин
|
Примечание
|
|
Сцепление
вагонов на 16-м пути
|
-
|
15
|
-
|
15,00
|
1 мин. на вагон
|
|
Перестановка в
парк отправления
|
210+350+400
+1250=2210
|
15
|
-
|
9,69
|
Табл. П. 2.4
|
|
Осмотр вагонов,
проба тормозов, получение документации
|
-
|
15
|
-
|
10,00
|
По нормам ПТО
|
|
Обгон и заезд
локомотива
|
300+300+
1250+400+ 400=2650
|
-
|
-
|
11,11
|
Табл. П. 2.4
|
|
Следование на
п/п
|
1250+400+350+210+1500+
450+400+1250+300+2500=8610
|
15
|
30
|
17,22
|
По расчёту
|
|
Прием и сдача
вагонов
|
-
|
30
|
-
|
30,00
|
1 мин. на вагон
|
|
Следование из
п/п в парк прибытия
|
2500+300+
1250=4050
|
15
|
30
|
8,1
|
По расчету
|
|
Следование
состава по свободному пути С на вытяжной путь за М22
|
400+450+1500+210+350/2+
+250= 2985
|
15
|
-
|
12,09
|
Табл. П. 2.4
|
|
Осаживание
порожних вагонов на путь С
|
210+250+
+350/2=635
|
15
|
-
|
3,09
|
Табл. П. 2.4
|
|
Следование
локомотива по свободному пути на вытяжку М22
|
210+350/2= 385
|
-
|
-
|
1,81
|
Табл. П. 2.4
|
|
Общая
продолжительность
|
|
|
|
118,11
|
-
|
Продолжительность обработки подъездного пути рассчитана в
табл. 11. Таким образом, продолжительность обработки подъездного пути
округленно можно принять равной 104 мин и подразделить на следующие элементы,
мин:
|
Сцепление и
перестановка в парк отправления, проба тормозов, обгон и заезд локомотива
|
46
|
|
Следование на
п/п
|
18
|
|
Приемосдаточные
операции на п/п
|
30
|
|
Уборка вагонов
с п/п
|
25
|
|
Итог
|
119
|
4.7
Расчетная потребность в маневровых средствах
Ориентировочная потребность в маневровых локомотивах, занятых
на формировании поездов и обслуживании пунктов местной работы станции,
определяется по формуле:
(16)
где
- суммарная затрата локомотиво-минут в
течение суток;
- продолжительность экипировки маневрового локомотива, мин;
- затрата времени на смену бригад, мин;
- технологические перерывы, мин.
Продолжительность экипировки принята 120 мин, смена бригад
производится два раза в сутки, продолжительность смены - 20 мин,
технологические перерывы - 90 мин.
Подсчет суммарной затраты локомотиво-минут приводится в табл. 12.
Таблица 12. Суммарной затраты локомотиво-минут
|
Наименование
маневровых работ
|
Продолжительность,
мин
|
Число операций
|
Итого
локомативами
|
|
Формирование
одногруппных поездов
|
19
|
30
|
570
|
|
Формирование
сборных поездов
|
69
|
3
|
207
|
|
Перестановка
составов
|
21
|
33
|
693
|
|
Обработка
грузового двора:
|
|
|
|
|
Подача груженых
вагонов
|
31
|
3
|
93
|
|
Перестановка
порожних
|
32
|
3
|
96
|
|
Уборка груженых
|
21
|
3
|
63
|
|
Обработка
подъездного пути
|
119
|
2
|
238
|
|
Итого
|
-
|
-
|
1960
|
Потребное число маневровых локомотивов:
Принимается для работы по формированию поездов и обработке пунктов
местной работы два локомотива. Всего на станции в данном мере должны работать
три локомотива: один на горке и два в хвост горловине сортировочного парка.
5.
Суточный план-график
.1
Исходные данные
Суточный план-график является технологическим документом,
определяющим основные параметры работы станции. На плане-графике показываются:
занятие путей парков прибытия и отправления;
работа горки, вытяжных путей, маневровых локомотивов;
график подхода поездов в расформирование, отправления поездов
своего формирования, транзитных и пассажирских поездов;
накопление вагонов на путях сортировочного парка;
работа с местными вагонами.
Суточный план-график работы станции должен быть замкнутым,
число поездов и вагонов на 18 ч (остаток) должно быть переходящим. Для этого
расчетные вагонопотоки должны быть кратными целому числу поездов. На основании
суточного плана-графика определяются основные технические показатели и
нормативы работы станции.
Суточный план-график составляется на основе следующих данных:
а) графика движения поездов (расписания движения
пассажирских, проследования транзитных, прибытия поездов в расформирование,
отправления поездов своего формирования);
б) разложения составов поездов, поступающих в
расформирование;
в) технологических норм на обработку составов и вагонов;
г) нормативов на маневровую работу (расформирование на горке,
формирование одногруппных, сборных, перестановка готовых составов, обслуживание
пунктов местной работы).
Для построения суточного плана-графика затраты временина
отдельные маневровые элементы округляются до величин, удобных для изображения
на графике. Округление производится в большую или меньшую сторону в пределах
общей продолжительности данной операции. С учетом этого затраты времени для
данного примера даны в таблице 13.
При осмотре состава в парке отправления бригадами ПКО
требуется введение дополнительной третьей бригады с 20 до 23 часов, чтобы
отправлять поезда согласно расписанию.
Таблица 13. Общие затраты времени
|
Наименование
операций и элементов
|
Норма времени,
мин
|
|
Расформирование
на горке:
|
|
|
заезд
|
6
|
|
надвиг и
роспуск
|
15
|
|
осаживание
после трех составов
|
15
|
|
Формирование
составов:
|
|
|
одногруппных
|
19
|
|
сборных
|
69
|
|
перестановка в
парк отправления
|
21
|
|
Подача на
грузовой двор:
|
|
|
подформирование
|
9
|
|
следование на
путь выгрузки
|
10
|
|
расстановка
вагонов
|
7
|
|
холостой рейс
обратно
|
5
|
|
Перестановка на
грузовом дворе:
|
|
|
холостой рейс
на ГД
|
5
|
|
перестановка
порожних
|
22
|
|
холостой рейс
обратно
|
5
|
|
Уборка вагонов
с грузового двора:
|
|
|
холостой рейс
на ГД
|
5
|
|
сборка вагонов
на ГД
|
8
|
|
следование в
парк
|
6
|
|
Обслуживание
подъездного пути:
|
|
|
сцепление и
перестановка вагонов в парк отправления
|
46
|
|
подача на завод
|
18
|
|
приемосдаточные
операции на заводе
|
30
|
|
уборка с завода
|
25
|
6.
Показатели работы станции
.1
Перечень основных показателей
По данным суточного плана-графика определяются следующие
основные технические показатели работы станции:
простой транзитного вагона без переработки tтр;
простой транзитного вагона с переработкой tпер;
простой местного вагона tм;
грузовой простой (простой на одну грузовую операцию) tгр;
коэффициент сдвоенных операций kсд;
норма рабочего парка вагонов п;
вагонооборот Uоб;
коэффициент загрузки маневровых средств α.
Порядок перечисленных показателей приводится далее.
6.2
Простой транзитного вагона без переработки
Расчет простоя этой категории вагонопотока приведен в таблице
14.
ч. (17)
Таблица 14. Простой транзитного вагона без переработки
|
№ поезда
|
Время, ч, мин
|
Число вагонов в
составе
|
Продолжи-тельность
обработки, ч
|
Вагоно-часы
простоя
|
|
прибытия
|
отправления
|
|
|
|
|
2002
|
00-10
|
00-40
|
68
|
0,5
|
34
|
|
2004
|
01-05
|
01-35
|
68
|
0,5
|
34
|
|
2702
|
02-45
|
03-15
|
68
|
0,5
|
34
|
|
2704
|
05-15
|
05-45
|
68
|
0,5
|
34
|
|
2706
|
06-50
|
07-25
|
68
|
0,58
|
39,44
|
|
2006
|
07-20
|
07-50
|
0,5
|
34
|
|
2708
|
09-25
|
10-00
|
68
|
0,58
|
39,44
|
|
2008
|
10-25
|
10-55
|
68
|
0,5
|
34
|
|
2010
|
10-55
|
11-25
|
68
|
0,5
|
34
|
|
2012
|
11-50
|
12-25
|
68
|
0,58
|
39,44
|
|
2014
|
12-40
|
13-10
|
68
|
0,5
|
34
|
|
2016
|
13-10
|
13-40
|
68
|
0,5
|
34
|
|
2710
|
15-50
|
16-25
|
68
|
0,58
|
39,44
|
|
2018
|
16-10
|
16-40
|
68
|
0,5
|
34
|
|
2020
|
17-15
|
17-45
|
68
|
0,5
|
34
|
|
2712
|
18-55
|
19-25
|
68
|
0,5
|
34
|
|
2022
|
19-25
|
19-55
|
68
|
0,5
|
34
|
|
2024
|
20-10
|
20-40
|
68
|
0,5
|
34
|
|
2714
|
20-30
|
21-05
|
68
|
0,58
|
39,44
|
|
2716
|
22-15
|
22-50
|
68
|
0,58
|
34,44
|
|
2026
|
22-30
|
23-00
|
68
|
0,5
|
34
|
|
Итого
|
──
|
──
|
1428
|
──
|
741,6
|
6.3
Простой транзитного вагона с переработкой
Простой транзитного вагона с переработкой состоит из
следующих элементов:
- ожидание обработки
;
обработка по прибытию tпр;
ожидание расформирования
;
расформирование на горке tрасф;
накопление tнак;
ожидание формирования
;
формирование и перестановка tф;
ожидание обработки по отправлению
;
обработка по отправлению tот;
ожидание отправления
.

(18)
Расчеты вагоно-часов на обработку вагонов в подсистеме «парк
прибытия - горка» и расчет среднего простоя вагона по элементам
, tпр,
, tрасф.,
входящим в формулу (18), рекомендуется свести в таблице 15.
Таблица 15. Простой транзитного вагона с переработкой
|
№ поезда
|
Число вагонов в
составе
|
Продолжительность,
ч
|
Вагоно-часы
|
|
|
ожидания
прибытия
|
обработки
|
ожидание
роспуска
|
расфор-мирова-ния
|
в ожидании
прибытия
|
под обработ-кой
|
в ожидании
роспуска
|
расфор-мирова-ния
|
|
2423 3451 3421
2513 2425 3402 2427 2429 2515 2401 2302 2501 2403 2405 2407 2503 2409 2304
2411 2413 3201 2415 3002 2505 2507 3101 2417 2509 2419 2306 2421 2511 2308
|
68 68 68 68 68
68 68 68 68 68 68 68 68 68 68 68 68 68 68 68 68 68 68 68 68 68 68 68 68 68 68
68 68
|
──
0,38 ── ── 0,13 ── 0,3 0,02 ──
── 0,47 0,1 0,32 ── ── ── ──
── ── ── ── ── ──
── ── 0,05 ── ── ──
0,47 ── 0,3 ──
|
0,47 0,47 0,47
0,47 0,47 0,47 0,47 0,47 0,47 0,47 0,47 0,47 0,47 0,47 0,47 0,47 0,47 0,47
0,47 0,47 0,47 0,47 0,47 0,47 0,47 0,47 0,47 0,47 0,47 0,47 0,47 0,47 0,47
|
── ──
0,03 ── ── 0,07 ── ── ──
── ── 0,13 0,02 ── ── ──
── ── ── 0,12 0,25 ── ──
── ── ── ── ── ──
0,13 ── ── ──
|
0,35 0,35 0,35
0,35 0,35 0,35 0,35 0,35 0,35 0,35 0,35 0,35 0,35 0,35 0,35 0,35 0,35 0,35
0,35 0,35 0,35 0,35 0,35 0,35 0,35 0,35 0,35 0,35 0,35 0,35 0,35 0,35 0,35
|
──
25,84 ── ── 8,84 ── 20,4 1,36 ──
── 31,96 6,8 21,76 ── ── ── ──
── ── ── ── ── ──
── ── 3,4 ── ── ──
31,96 ── 20,4 ──
|
31,96 31,96
31,96 31,96 31,96 31,96 31,96 31,96 31,96 31,96 31,96 31,96 31,96 31,96 31,96
31,96 31,96 31,96 31,96 31,96 31,96 31,96 31,96 31,96 31,96 31,96 31,96 31,96
31,96 31,96 31,96 31,96 31,96
|
── ──
2,04 ── ── 4,76 ── ── ──
── ── 8,84 1,36 ── ── ──
── ── ── 8,16 17 ── ──
── ── ── ── 1,92 ──
8,84 ── ── ──
|
23,8 23,8 23,8
23,8 23,8 23,8 23,8 23,8 23,8 23,8 23,8 23,8 23,8 23,8 23,8 23,8 23,8 23,8
23,8 23,8 23,8 23,8 23,8 23,8 23,8 23,8 23,8 23,8 23,8 23,8 23,8 23,8 23,8
|
|
Итого
|
2244
|
──
|
──
|
──
|
──
|
172,72
|
1054,68
|
52,92
|
785,4
|
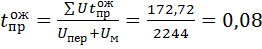
По данным таблицы находим:
а) 
ч;
б) 
ч;
в) 
ч;
г) 
ч.
Затраты вагоно-часов на накопление и средний простой вагонов под
накоплением определяются по безномерному способу, показанному на таблице 16.
Таблица 16. Затраты вагоно-часов на накопление и средний простой
вагонов под накоплением
|
Часы суток
|
Число вагонов
|
Вагоно-часы
|
|
Поступило в
сортировочный парк
|
Закончено
накопление
|
|
|
Остаток
|
-
|
-
|
466
|
|
18-19
|
68
|
68
|
466
|
|
19-20
|
136
|
68
|
534
|
|
20-21
|
68
|
204
|
398
|
|
21-22
|
68
|
-
|
466
|
|
22-23
|
136
|
204
|
398
|
|
23-24
|
136
|
-
|
534
|
|
0-1
|
68
|
136
|
466
|
|
1-2
|
136
|
136
|
466
|
|
2-3
|
136
|
272
|
330
|
|
3-4
|
68
|
-
|
398
|
|
4-5
|
136
|
204
|
330
|
|
5-6
|
68
|
68
|
330
|
|
6-7
|
68
|
-
|
398
|
|
7-8
|
68
|
68
|
398
|
|
8-9
|
68
|
-
|
466
|
|
9-10
|
68
|
-
|
534
|
|
10-11
|
136
|
136
|
534
|
|
11-12
|
68
|
68
|
534
|
|
12-13
|
68
|
136
|
466
|
|
13-14
|
136
|
-
|
602
|
|
14-15
|
68
|
136
|
534
|
|
15-16
|
68
|
68
|
534
|
|
16-17
|
136
|
136
|
534
|
|
17-18
|
68
|
136
|
466
|
|
Итого
|
2244
|
2244
|
11582
|
д)
ч
Затратывагоно-часов на ожидание формирования, формирование и
перестановку, а также среднее время нахождения вагонов под этими операциями
определяется в таблице 17.
Таблица 17. Затратывагоно-часов на ожидание формирования,
формирование и перестановку
|
№ поезда
|
Число вагонов в
составе
|
Продолжительность,
ч
|
Вагоно-часы
|
|
|
Ожидания
формирования
|
Формирования и
перестановки
|
Ожидания
формирования
|
Формирования и
перестановки
|
|
3005 3202 2053
2404 2055 2057 2001 2003 2005 2009 2402 3001 2011 2013 2015 2017 2019 2021
3422 3452 2025 3401 2027 2031 2033 2037 3102 2041 2043 2045 2047 2049 2051
|
68 68 68 68 68
68 68 68 68 68 68 68 68 68 68 68 68 68 68 68 68 68 68 68 68 68 68 68 68 68 68
68 68
|
1,85 0,85 ──
4,65 0,67 1,7 ── 1,18 ── 0,67 2,27 ── ──
0,68 ── 0,18 2,52 ── 3,3 4,8 3,52 ── ──
2,62 ── ── 2,42 ── ── 2,33
0,2 ── 0,3
|
0,67 0,67 0,67
0,67 0,67 0,67 0,67 0,67 0,67 0,67 0,67 0,67 0,67 0,67 0,67 0,67 0,67 0,67
1,47 1,47 0,67 1,47 0,67 0,67 0,67 0,67 0,67 0,67 0,67 0,67 0,67 0,67 0,67
|
125,8 57,8 ──
316,2 45,56 115,6 ── 80,24 ── 45,56 154,36 ──
── 46,24 ── 12,24 171,36 ── 224,4 326,4
239,36 ── ── 178,16 ── ──
164,56 ── ── 158,44 13,6 ── 20,4
|
45,56 45,56
45,56 45,56 45,56 45,56 45,56 45,56 45,56 45,56 45,56 45,56 45,56 45,56 45,56
45,56 45,56 45,56 99,96 99,96 45,56 99,96 45,56 45,56 45,56 45,56 45,56 45,56
45,56 45,56 45,56 45,56 45,56
|
|
Итого
|
2244
|
──
|
──
|
2496,28
|
1666,68
|
е) 
ч;
ж) 
ч.
Аналогично рассчитываются затраты вагоно-часов в ожидании операций
по отправлению, на обработку и в ожидании отправления, а также средний простой
вагона под этими операциями. Расчет сведем в таблице 18.
Таблица 18. затраты вагоно-часов в ожидании операций по
отправлению, на обработку и в ожидании отправления
|
№ поезда
|
Число вагонов в
составе
|
Продолжительность,
ч
|
Вагоно-часы
|
|
|
ожидание
обработки
|
обработка по
отправлению
|
ожидание
отправления
|
в ожидании
обработки
|
в обработке
|
в ожидании
отправления
|
|
2047 3005 3202 2053 2404 2055 2057
2001 2003
2005 2009 2402 3001 2011 2013 2015 2017
2019 2021 3422 3452 2025
3401 2027 2031 2033 2037 3102 2041 2043 2045 2051 2049
|
68 68 68 68 68
68 68 68 68 68 68 68 68 68 68 68 68 68 68 68 68 68 68 68 68 68 68 68 68 68 68 68 68
|
── 0,27 1,07 ── ── ──
0,92 ──
── ── 0,18 ── ──
── 0,18 ── 0,25 0,27 0,15 1,1 ── ── ── ── 0,32 0,12 ──
── ── 0,08 0,68 0,22 ──
|
0,85 0,85 0,85 0,85 0,85 0,85 0,85 0,85 0,85 0,85 0,85
0,85 0,85 0,85 0,85 0,85 0,85 0,85 0,85 0,85
0,85 0,85 0,85 0,85 0,85 0,85 0,85 0,85 0,85 0,85 0,85 0,85 0,85
|
0,58 ──
── 0,13 ── 0,47 ── 0,65 0,1 ── 0,65 ── ── 0,33 0,65
0,33 0,73 1,32 1,1 0,92 0,65 0,4 ── 0,17 0,23 0,13 0,67 ── 0,33 1,75 1,32 4,32 2,17
|
──
18,36 72,76 ── ──
── 62,56 ── ── ── 12,24 ── ── ── 12,24 ── 17 18,36 10,2 74,8 ── ── ── ──
21,76 8,16 ──
── ── 5,44 46,24 14,96 ──
|
57,8 57,8 57,8
57,8 57,8 57,8 57,8 57,8 57,8 57,8 57,8 57,8 57,8 57,8 57,8 57,8 57,8 57,8
57,8 57,8 57,8 57,8 57,8 57,8 57,8 57,8 57,8 57,8 57,8 57,8 57,8 57,8 57,8
|
39,44 ──
── 8,84 ── 31,96 ── 44,2 6,8 ── 44,2 ── ── 22,44 44,2 22,44
49,64 89,76 74,8 62,56 44,2 27,2 ── 11,56 15,64 8,84
45,56 ── 22,44 119 89,76 293,76 147,56
|
|
Итого
|
2244
|
──
|
──
|
──
|
395,08
|
1907,4
|
1366,8
|
з) 
ч;
и) 
ч.
к)
ч.
Подставив найденные величины в формулу (18), получим средний
простой транзитного вагона с переработкой:

ч.
На основании предыдущих расчетов строится график расчлененного
простоя транзитного вагона с переработкой (рис. 9).
|
Элементы
простоя
|
Норма, ч
|
Время, ч
|
|
|
1
|
2
|
3
|
4
|
5
|
6
|
7
|
8
|
9
|
10
|
1. Ожидание прибытия 
.
. Обработка по прибытию tпр.
. Ожидание расформирования 
. Расформирование на горке tрасф.
. Накопление tнак.
. Ожидание формирования 
. Формирование и перестановка tф.
. Ожидание обработки 
.
. Обработка по отправлению tот.
|
10. Ожидание
отправления tоо0,08 0,47 0,02 0,35 5,2 1,1 0,7 0,18 0,85 0,61
|
|
|
|
|
|
|
|
|
|
|
|
|
Общая
продолжительность tпер
|
9,56
|
|
|
|
|
|
|
|
|
|
|
Рис. 9. Расчлененный простой вагона
6.4
Простой местного вагона
Продолжительность нахождения местных вагонов на станции
определяется с момента прибытия до отправления. За этот отрезок времени вагоны
проходят те же операции, что и транзитные, связанные с обработкой их на
грузовых фронтах. Причем часть вагонов может выгружаться и в порожнем состоянии
отправляться со станции. такие вагоны проходят одну грузовую операцию. Другая
часть вагонов может после выгрузки подаваться под погрузку. Эта часть вагонов
проходит сдвоенные операции. Такие вагоны согласно заданию прибывают в адрес
грузового двора.
Простой вагонов с одной грузовой операцией можно определить
по формуле, ч:
, (19)
где tпер - простой транзитного с переработкой;
- ожидание подачи;
tвыгр -
затрата времени на выгрузку;
- ожидание уборки;
t′прсд - затрата времени на приемосдаточные
операции на путях завода;
t′у - продолжительность уборки вагонов с подъездного
пути завода.
Из перечисленных элементов неизвестными являются только два (
и
). Остальные из предыдущих расчетов:
tпер = 9,56
ч;
t′под = 1,07 ч;
tвыгр = 2
ч;
t′у
= 0,42 ч;′прсд = 0,5 ч.
Для определения неизвестных элементов составляется табл. 19 и
заполняется данными из суточного плана-графика, где указана продолжительность
ожидания на 16-ом пути сортировочного парка каждой группы вагонов, прибывших в
адрес завода, а также продолжительность уборки с завода после окончания
выгрузки.
Таблица 19. Продолжительность ожидания группы вагонов,
прибывших в адрес п/п, продолжительность уборки с п/п после окончания выгрузки
|
Число вагонов
|
Продолжительность,
ч
|
Вагоно-часы
|
|
в подаче
|
в группе
|
ожидания подачи
|
ожидания уборки
|
в ожидании
подачи
|
в ожидании
уборки
|
|
15
|
2
|
9,34
|
0,68
|
18,68
|
1,36
|
|
1
|
8,87
|
0,68
|
8,87
|
0,68
|
|
2
|
7,67
|
0,68
|
15,34
|
1,36
|
|
2
|
6,59
|
0,68
|
13,18
|
1,36
|
|
4
|
4,62
|
0,68
|
18,48
|
2,72
|
|
1
|
2,84
|
0,68
|
2,84
|
0,68
|
|
2
|
2,37
|
0,68
|
4,74
|
1,36
|
|
1
|
0,25
|
0,68
|
0,25
|
0,68
|
|
15
|
2
|
11,09
|
0,57
|
22,18
|
1,14
|
|
1
|
9,19
|
0,57
|
9,19
|
0,57
|
|
2
|
8,84
|
0,57
|
17,68
|
1,14
|
|
1
|
8,09
|
0,57
|
8,09
|
0,57
|
|
1
|
6,67
|
0,57
|
6,67
|
0,57
|
|
1
|
5,92
|
0,57
|
5,92
|
0,57
|
|
1
|
3,67
|
0,57
|
3,67
|
0,57
|
|
2
|
2,8
|
0,57
|
5,6
|
1,14
|
|
1
|
2,20
|
0,57
|
2,2
|
0,57
|
|
1
|
1,42
|
0,57
|
1,42
|
0,57
|
|
2
|
-
|
0,57
|
-
|
1,14
|
|
Итого
|
30
|
──
|
──
|
165
|
18,75
|
Из таблицы 19 получаем:
Подставим найденные и известные значения элементов простоя в
формулу (19) и найдем простой местного вагона с одной грузовой операцией:
Простой вагона с двумя грузовыми операциями (прибывающими в адрес
грузового двора) можно найти по формуле, ч:
(20)
Из числа элементов, входящих в формулу (4), известны:
tпер = 9,56
ч;
t″под = 0,52 ч;
tвыгр = 2
ч;
t″перест = 0,53 ч;
tпогр = 2,5
ч;
t″у = 0,35 ч.
Для определения неизвестных элементов - ожидания подачи
, ожидания перестановки
и ожидания уборки
- можно составить табл. 20, заполнив ее
данными из суточного плана-графика.
Таблица 20. Ожидания подачи
, ожидания перестановки
и ожидания уборки
|
Число вагонов
|
Продолжительность
ожидания, ч
|
Вагоно-часы
ожидания
|
|
в подаче
|
в группе
|
подачи
|
перестановки
|
уборки
|
подачи
|
перестановки
|
уборки
|
|
7
|
1
|
7,19
|
0,92
|
0,47
|
7,19
|
0,92
|
0,47
|
|
1
|
6,07
|
0,92
|
0,47
|
6,07
|
0,92
|
0,47
|
|
1
|
5,24
|
0,92
|
0,47
|
5,24
|
0,92
|
0,47
|
|
1
|
4,17
|
0,92
|
0,47
|
4,17
|
0,92
|
0,47
|
|
1
|
3,82
|
0,92
|
0,47
|
3,82
|
0,92
|
0,47
|
|
1
|
3,07
|
0,92
|
0,47
|
3,07
|
0,92
|
0,47
|
|
1
|
2,32
|
0,92
|
0,47
|
2,32
|
0,92
|
0,47
|
|
6
|
1
|
9,07
|
-
|
0,85
|
9,07
|
-
|
0,85
|
|
1
|
8,32
|
-
|
0,85
|
8,32
|
-
|
0,85
|
|
1
|
5,20
|
-
|
0,85
|
5,20
|
-
|
0,85
|
|
1
|
3,82
|
-
|
0,85
|
3,82
|
-
|
0,85
|
|
1
|
1,15
|
-
|
0,85
|
1,15
|
-
|
0,85
|
|
1
|
0,68
|
-
|
0,85
|
0,68
|
-
|
0,85
|
|
7
|
1
|
8,93
|
0,3
|
0,68
|
8,93
|
0,3
|
8,93
|
|
1
|
8,43
|
0,3
|
0,68
|
8,43
|
0,3
|
8,43
|
|
1
|
7,35
|
0,3
|
0,68
|
7,35
|
0,3
|
7,35
|
|
1
|
5,38
|
0,3
|
0,68
|
5,38
|
0,3
|
5,38
|
|
1
|
3,6
|
0,3
|
0,68
|
3,6
|
0,3
|
3,6
|
|
1
|
3,25
|
0,3
|
0,68
|
3,25
|
0,3
|
3,25
|
|
1
|
1,13
|
0,3
|
0,68
|
1,13
|
0,3
|
1,13
|
|
Итого
|
20
|
──
|
──
|
──
|
98,19
|
8,54
|
46,46
|
Из табл. 20 получаем:
ч.
ч.
ч.
Подставляя найденные ранее известные элементы в формулу (20),
находим простой местного вагона со сдвоенными грузовыми операциями:
ч
Простой местного вагона в целом по станции составит, ч:
. (21)
Подставляя имеющиеся данные в формулу (20), находим простой
местного вагона
ч.
Грузовым простоем называется затрата времени, приходящаяся на одну
грузовую операцию, ч:
, (22)
где ∑Utм - суммарные вагоно-часы простоя местных
вагонов;
Uп, Uв - объем погрузки и выгрузки соответственно, вагоны;
6.6
Коэффициент сдвоенных операций
Коэффициентом сдвоенных операций называется отношение
количества грузовых операций к числу местных вагонов:
; (23)
(24)
6.7
Норма рабочего парка вагонов
Норму рабочего парка вагонов определяют по формуле, ваг.-сут:
, (25)
6.8
Вагонооборот
Суммарное количество принятых и отправленных вагонов всех
категорий за сутки называется вагонооборотом станции, ваг.:
; (26)
6.9
Коэффициент загрузки локомотивов
, (27)
где ∑МТманн - суммарная затрата
локомотиво-минут за сутки;
Млок - число маневровых локомотивов;
- горочный локомотив
- 1-й локомотив района формирования
- 2-й локомотив района формирования
7.
Определение себестоимости переработки вагонов
.1
Объем работы станции за месяц
Деятельность станции направляется годовым производственно-финансовым
планом. Финансирует станцию отделение дороги в соответствии с выполненным
объемом работы на основе расчетных цен за единицу продукции, куда входит и
себестоимость как составная часть. Для расчета себестоимости необходимо знать
объем работы за определенный период и расходы по обработке вагонов.
Себестоимость - эксплуатационные затраты на единицу
продукции.

(28)
Где Э - эксплуатационные расходы
U - вагоны
Э=ФО.Т.+ЭМ.Р. (29)
ФО.Т - фонд оплаты труда
ЭМ.Р. - эксплуатационные расходы на манёвровые работы
Э=5594085+2160000=7754085 руб.

Составляющие значения формул (12), (13) рассчитываются далее.
Продукцией сортировочной станции являются отправленные вагоны по
категориям: транзитные без переработки, транзитные с переработкой, местные.
Расчет месячного объема работы по данным категориям вагонопотоков приводится в
табл. 21
Таблица 21. Расчет месячного объема работы по данным категориям
вагонопотоков
|
Категории
вагонопотоков
|
Суточное
отправление
|
Месячный объем
работы
|
|
поездов
|
вагонов
|
21
|
1428
|
42840
|
|
Транзитные с
переработкой
|
33
|
2194
|
67320
|
|
Местные
|
-
|
50
|
1500
|
|
Всего
отправлено
|
54
|
3722
|
111660
|
|
|
|
|
.2
Расходы по обработке вагонопотоков
Определение основного фонда заработной платы станции сведем в
табл. 22.
Таблица 22. Основной фонд заработной платы станции
|
№ п/п
|
Должности
|
Контингент
|
Месячный фонд
зарплаты, руб.
|
|
|
|
на одного
|
на всех
|
|
1 2 3 4 5 6 7 8
9 10 11 12 13 14 15 16 17 18 19 20
|
Маневровый
диспетчер ДСЦ Дежурный по горке ДСПГ Дежурный по станции ДСП Дежурный по
парку ДСПФ Сигналисты Составитель поездов Помощник составителя Старшие
операторы СТЦ Оператор СТЦ Старшие приёмщики ПКО Приёмщики поездов ПКО
Операторы ЭВМ Операторы при ДСПГ Оператор при ДСЦ Операторы при ДСП
Информаторы Рабочие ПКО Старший регулировщик скорости Регулировщик скорости
движения Приемосдатчики грузов
|
1 1 2 1 2 3 3 2
3 2 6 2 2 1 2 1 2 1 6 1
|
5 4 9 5 9 14 13
9 14 9 27 9 9 5 8 4 9 5 27 5
|
27000 22000
22000 18000 10000 20000 16000 14000 10000 18000 12000 10000 12000 10000 10000
10000 10000 20000 16000 12000
|
135000 88000
198000 90000 90000 280000 208000 126000 140000 162000 324000 90000 108000
50000 80000 40000 90000 100000 432000 60000
|
|
Итого
|
-
|
-
|
-
|
2891000
|
Расчет общего фонда зарплаты сведем в табл. 23.
Таблица 23. Расчет общего фонда зарплаты
|
Статья расходов
|
Процент
отчислений
|
Месячный фонд,
руб.
|
|
Основной фонд
зарплаты Накладные расходы На материалы и топливо На соцстрах
|
──
35 20 38,5
|
2891000 1011850
578200 1113035
|
|
Общий фонд
зарплаты
|
-
|
5594085
|
Расчет расходов на маневровую работу сведем в табл. 24.
Таблица 24. Расчет расходов на маневровую работу
|
Локомотивы
|
Число
локомотивов
|
Число часов
работы в сутки
|
Стоимость
локомотиво-ч, руб.
|
Расходы, руб.
|
|
|
|
|
за сутки
|
за месяц
|
|
Горочный
Маневровый Маневровый
|
1 1 1
|
24 24 24
|
1000 1000 1000
|
24000 24000
24000
|
720000 720000
720000
|
|
Итого
|
3
|
72
|
-
|
72000
|
2160000
|
7.3
Калькуляция себестоимости
Зная расходы и объем выполненной работы (продукции), можно
определить себестоимость одного отправленного вагона по видам обработки.
Все основные технические и экономические показатели сводятся
в итоговую таблицу 25.
Таблица 25. Технические и экономические показатели
|
Показатели
|
Единица
измерения
|
Число единиц
|
|
Отправленный
транзитный поезд Принятый в расформирование Поезд своего формирования Отправленный
транзитный вагон без переработки Отправленный транзитный с переработкой
Отправленный местный вагон Вагонооборот Погрузка Выгрузка Простой транзитного
без переработки Простой транзитного с переработкой Простой местного вагона
Грузовой простой Коэффициент сдвоенных операций Норма рабочего парка вагонов
Коэффициент использования маневровых локомотивов Использование
перерабатывающей способности горки Себестоимость отправленного транзитного
вагона Себестоимость отправленного транзитного с переработкой Себестоимость
отправленного местного вагона
|
Поезд » » Вагон
» » » » » ч » » » » Ваг.-сут ── % руб. » »
|
21 33 33 1428
2194 50 7344 20 50 0,52 9,56 21,03 15,02 1,4 949 0,6; 0,82; 0,58 69 19,58
94,33 376,25
|
Заключение
Каждый путь станции С имеет свою специализацию, но из-за
большой загруженности некоторых путей допускается использование более свободных
путей, а иногда используется несколько путей для вагонов одного направления.
Это позволяет избежать дополнительных простоев составов в сортировочном парке (СП),
а также в парке прибытия (ПП) и парке отправления (ПО).
В СП для разгрузки путей предусматривается резервный путь,
который необходим для отстоя вагонов.
В ПО: из-за одновременной перестановки составов из СП в ПО
при возвращении локомотивов на вытяжку используется не только 4-й - ходовой
путь, а также и свободные пути ПО.
Т.к. ГД находится в верхней части станции, а подъездные пути
(П/П) - в нижней, то по специализации путей для вагонов назначением на ГД
целесообразно выделить путь в верхней части СП (например, 1 путь), а для
вагонов в адрес (П/П) - в нижней части СП (например, 16 путь).
На вытяжках работают 2 локомотива. Маневровую работу локомотив №1
осуществляет на вытяжке №1, локомотив №2 - на вытяжке №2
маневровый локомотив №1 осуществляет маневровую работу на путях с
1-8, маневровый локомотив №2 - на путях с 9-16.
На горке работает один горочный локомотив, который использует
поочередно 1-ый или 2-ой путь надвига.
Список литературы
1. Типовой технологический процесс работы сортировочной
станции. - М.: Транспорт, 1988.
2. Кочнев Ф.П., Сотников И.Б. Управление
эксплуатационной работой железных дорог. - М.: Транспорт, 1990.
. Методические указания по расчету норм времени на
маневровые работы, выполняемые на ж.д. транспорте. - М., 1998.
. Акулиничев В.М., Кудрявцев В.А. Математические
методы в эксплуатации железных дорог. - М.: Транспорт, 1981.
. Осьминин А.Т., Стрелков М.В., Раев П.В. Расчет
простоя вагонов на станции и ведомости разложения составов. - СПб, 2002.