Электрическое оборудование и эксплуатационные свойства установок подстанции
Введение
Электрическая подстанция - электроустановка,
которая предназначена для приема электроэнергии, преобразования и распределения
электрической энергии, состоит из трансформаторов или других преобразователей
электрической энергии, специальных устройств управления, а также
распределительных и вспомогательных устройств.
Подстанция, в которой находятся и работают
повышающие трансформаторы, повышает электрическое напряжение при снижении
значения силы тока соответственно, в то время как понижающая подстанция
уменьшает выходное напряжение при пропорциональном увеличении силы тока.
Необходимость в повышении передаваемого
напряжения возникает в целях того, чтобы многократно сэкономить металл,
используемый в проводах ЛЭП, и уменьшить потери на активном сопротивлении.
Необходимая площадь сечения проводов можно определить только с помощью силы
проходящего тока и отсутствием возникновения коронного разряда. Уменьшение силы
проходящего тока повлечет уменьшение потери энергии, находящейся в прямой
квадратичной зависимости от значения силы тока. Чтобы минимизировать
возможность высоковольтного электрического пробоя, применяем специальные меры:
используем специальные изоляторы, провода располагаются на достаточное
расстояние и т.д. Основной причина повышения напряжения является то, что чем
выше напряжение, тем большую мощность и на большее расстояние можно передать по
линии электропередачи, при меньших потерях.
Требования, к самой подстанции, предъявляют к
электрической схеме, так как схема определяет электрическое оборудование и
эксплуатационные свойства установки. Данные требования выдвигаются на стадии
проектирования и сформулированы в НТП (нормы технического проектирования):
Соответствие электрической схемы условиям работы
подстанции в энергосистеме ожидаемым режимам;
Удобная эксплуатация: простота и наглядность
схемы; минимальный объем переключений, связанных с изменением режима; легкая
доступность электрического оборудования для ремонта без нарушений режима
установки;
Удобное сооружение электрической части с учетом
очередности ввода в эксплуатацию трансформаторов, РП и линий;
Возможность автоматизации установки в
экономически целесообразном объеме;
Достаточная, оправданная степень надежности с
экономической точки зрения.
. Выбор вариантов структурной схемы подстанции
Проектируемая главная схема подстанции,
основывается на основании разработанной схемы развития электрической сети
системы.
Она обеспечивает:
а) Потребителей подстанции надежностью
электроснабжения в нормальном и послеаварийном режимах в соответствии с их
категориями;
б) через РУ высшего напряжения подстанции по
межсистемным и магистральным линиям надежный транзит мощности;
в) возможность расширения подстанции;
г) требования противоаварийной автоматики;
д) удобство и простота в эксплуатации.
Выбор мощности и числа трансформаторов
производится с анализом требований к надежности электроснабжения, характером
графика нагрузки, а также допустимых систематических и аварийных перегрузок
трансформаторов по ГОСТ 14209-85. Структурные схемы подстанций определяем количеством
трансформаторов.
Для обеспечения надежного электроснабжения
потребителей, I, II, III категорий нужно устанавливать как минимум два
трансформатора (автотрансформатора). Из некоторого количества структурных схем
выбирается, лучшая по технико-экономическому расчету.
Для осуществления выбора технико-экономическим
критериям выбираются схема с двумя трехобмоточными трансформаторами (рис. 1 а)
и схема, состоящая из четырех трансформаторов (рис. 1 б).
.1 Выбор типа и мощности трансформаторов
Силовые трансформаторы проектируют на
номинальный режим работы (нормальный), это означает то, что трансформатор
работает неограниченно долго, без перерывов, в течение всего нормального срока
службы при номинальных значениях напряжения, мощности, частоты, а также при номинальных
условиях охлаждающей среды и места установки. Указанный номинальным режим
является расчетным, он не отражает полностью способность трансформатора нести в
условиях эксплуатации реальную нагрузку, которая отличается от его номинальной
мощности. Реальные режимы трансформаторов, работающих на большинстве понижающих
подстанций, отличаются от номинального.
а)
РУ ВН - 550 кВ
РУ СН - 220 кВ
РУ НН - 10 кВ
б)
РУ ВН - 550 кВ
РУ СН - 220 кВ
РУ НН - 10 кв
Рис. 1. Структурные схемы подстанции
Непрерывность, неизменность по величине и
равность номинальной мощности трансформатора, нагрузка не встречается, а если
встречается, то очень редко;
Суточный график обычно характеризуем максимумами
и спадами;
Максимальную нагрузку в разрезе года определенно
имеет место зимой.
Так образом нормальный срок службы
трансформатора определяется механическими износами изоляции. В свою очередь это
зависит главным образом от температуры, при которой работает изоляция, об
использования мощности трансформатора систематически его перегружать. За счет
запаса износа изоляции допустимы и редкие аварийные перегрузки.
Согласно существующей практике мощность каждого
из двух трансформаторов выбирается такой, чтобы при отказе одного из них другой
с длительно допустимой перегрузкой мог полностью обеспечить питание
максимальной нагрузки не превышая 40% перегрузки, это позволит производить
работу в течение 5 суток по 6 часов.
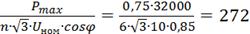
Выбор типа трансформаторов
Так как на проектируемой подстанции имеется в
наличии три номинальных напряжения, то необходимо установить два трехобмоточных
трансформатора с напряжениями 500/220/10 кВ. Для данной схемы, состоящей из
четырех трансформаторов, применяются понижающие трансформаторы. Система
охлаждения зависит от номинальной мощности и определяется после выбора
трансформатора по параметру.
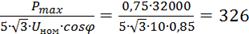
Выбор номинальной мощности силовых
трансформаторов
.2 Расчеты для схемы подстанции, состоящей из
двух трехобмоточных трансформаторов
Выбор номинальной мощности трансформаторов,
оценка допустимости возникающего при эксплуатации режимов перегрузок
осуществляется с учетом нагрузочной способности трансформаторов.
Условие выбора мощности трансформатора имеет
вид:
где
-передаваемая
через трансформатор мощность,
;
- номинальная
мощность трансформатора,
;
- допустимый
коэффициент перегрузки.
Передаваемая (расчетная) через трансформатор
мощность
находится
по формуле:
где
-
максимальная мощность нагрузки по сети среднего напряжения (под нагрузкой по
сети среднего напряжения понимается нагрузка, питаемая по все трем линиям),
;
- максимальная
мощность нагрузки по сети низкого напряжения,
;
- мощность,
затрачивая для собственные нужды подстанции,
Передаваемая (расчетная) через трансформатор
мощность:
Принимая допустимый коэффициент перегрузки
предварительно
выбираемая мощность трансформатора должна удовлетворять условию:
Наиболее подходящим трехобмоточным
трансформатором для условия 1. а, является АОДЦТН-167000/500/220/11, мощностью
167 МВА по таблице 3-6
.
Систематические перегрузки не приведут к
сокращению срока службы изоляции трансформатора. Перегрузки допустимы в течении
всего срока службы, следовательно, могут быть отнесены к нормальному режиму
работы. Они имеют место при неравномерном суточном графике нагрузки
трансформатора или в условиях изменения температуры охлаждающей среды при
постоянной нагрузке.
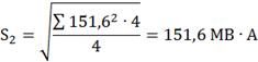
Суточный график потребления полной мощности по
сети низкого напряжения (а), среднего напряжения (б) (в %от
)
А)
Б)
Рис. 2
По суточным графикам потребления полной мощности
сетей среднего и низкого напряжения определяем суммарным суточным графиком
потребления полной суммарной мощности. Для построения графика применяется
формула:
где
-
суммарная передаваемая мощность во вторичные цепи,
,
-
полная мощность, передаваемая в сеть среднего и низкого напряжения,
;
процентное
значение потребляемое сетью мощности, %.
Рассчитанные данные заносим в таблицу 1
Таблица
1
|
Часы
|
0-8
|
8-12
|
12-16
|
16-20
|
20-24
|
|
МВА
|
102,89
|
151,6
|
102,89
|
122,64
|
102,89
|
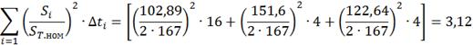
Построили суточный график потребления полной
суммарной мощности (рис. 3) по таблице 1
Рис. 3
Преобразование исходного графика нагрузки к
эквивалентному двухступенчатому графику осуществляется в соответствии с ГОСТ
14209-85.
На исходном графике проводятся линия ном.
нагрузки
Местом
пересечения этой линии с исходным графиком выделяется участок наибольшей
перегрузки продолжительностью 4 часа.
Оставшаяся часть исходного графика разбивается
на 4 интервала,
и определяется
значение
,
которая равна:
где
начальная
нагрузка трансформатора,
отпускаемая
мощность за интервалы времени
Определяется начальная нагрузка
эквивалентного
графика из выражения:
где
начальная
нагрузка эквивалентного графика;
номинальная
мощность трансформатора,
.
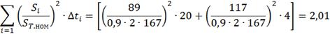
Участок перегрузки на исходном графике разбиваем
на 2 (i) интервала
и по известным
значениям
определяется
мощность перегрузки
. Значения этих
величин находятся по таблице 1.
где
Эквивалентная
мощность перегрузки,
;
мощность
перегрузки i-го интервала,
;
длительность m - го
интервала, ч.
По найденным и известным значениям строится
эквивалентный двухступенчатый график (рис. 4)
Рис. 4
Определяется значение нагрузки
,
эквивалентного графика нагрузки из выражения:
где
предварительное
значение нагрузки;
номинальная
мощность трансформатора,
;
эквивалентная
мощность перегрузки,
.
Определяется максимальное значение нагрузки
исходного
графика нагрузки из выражения:
где
-
максимальное значение мощности по таблице 1,
Сравнивается предварительное значение
с
исходного
графика:
Условие
выполняется,
тогда принимаем
и
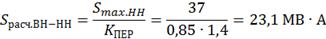
Расчетная перегрузка
продолжительностью
h может быть рассчитана по одним и тем же формулам. Для систематических и для
аварийных перегрузок.
Допустимость данной расчетной перегрузки трансформатора.
Для этого должны выполняться следующие условия:
Эквивалентная температура окружающей среды
выбираем
за
время действия эквивалентного двухступенчатого графика нагрузки. Параметры
и
h рассчитаны система охлаждения трехобмоточного трансформатора и по табл. 1-36
для
максимального допустимого систематических и аварийных перегрузок
трансформаторов определяем значения:
и
Расчетное значение
меньше
максимально допустимого значения систематических перегрузок
.
Для трехобмоточного трансформатора необходимо
выполнить следующих дополнительных условий:
Проверка:
Окончательный выбор пал на трехобмоточный
трансформатор АОДЦТН -167000/500/220/11.
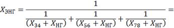
.3 Расчеты для схемы подстанции, состоящей из
четырех трансформаторов
Для схемы рис.1б мощность понижающих
трансформаторов связывающих сторону высокого напряжения со стороной низкого
напряжения по максимальному нагрузки из графика рис. 2 а.
Принимаем номинальную мощность трансформатора
250 МВА.
Номинальные параметры трансформаторов по таблице
3.6
ТДЦ-250000/500/13,8
Потери
Коэффициент начальной нагрузки
и
предварительный коэффициент перегрузки
для
повышающего трансформатора по графику нагрузки рис. 2:
Так как
то
принимаем значение коэффициента перегрузки
.
Продолжительность перегрузки:
Для среднегодовой температуры
,
системы охлаждения, коэффициента начальной нагрузки
и
продолжительности перегрузки 0 часов по табл. 1-36
для
максимального допустимго систематических и аварийных перегрузок трансформаторов
определяются значения:
Расчетное значение
меньше
максимально допустимого значения систематических перегрузок
.
Так как
,
то выбор падает на установку трансформатора ТДЦ-250000/500/13,8.
Для схемы рис.1 б мощность понижающих
трансформаторов, связывающих сторону высокого напряжения со стороной среднего
напряжения по максимуму из графика рис. 2 а
Принимаем номинальную мощность трансформатора
167 МВА.
Номинальные параметры трансформаторов по таблице
3.6
ТДЦ-167000/500/220
Потери
Коэффициент начальной нагрузки
и
предварительный коэффициент перегрузки
для
повышающего трансформатора по графику нагрузки рис.2:
Так как
то принимаем
значение коэффициента перегрузки
.
Продолжительность перегрузки:
Для среднегодовой температуры
,
системы охлаждения, коэффициента начальной нагрузки
и
продолжительности перегрузки 4 часов по табл. 1-36
для
максимального допустимого, систематических и аварийных перегрузок
трансформаторов определяются значения:
Расчетное значение
меньше
максимально допустимого значения систематических перегрузок
.
Так как
,
то выбор пал на установку трансформатор АОДЦТН -167000/500/220.
2. Технико-экономический расчет
.1 Сравнение вариантов по технико-экономическим
показателям
Экономическая цель схемы определяется
минимальными приведенными затратами.
Определяется по следующей формуле:
У,
где
нормативный
коэффициент экономической эффективности 1/год, для расчетов в энергетике
И - годовые эксплуатационные издержки
производства складываются из трех составляющих, тыс. руб/год;
У - ущерб от недоотпуска электроэнергии, тыс. руб./год;
К - капитальные затраты на сооружения, тыс.
руб./год;
Годовые эксплуатационные издержки определяются
по седующей формуле:
где
отчисления
на амортизацию, % (
отчисления на
обслуживание, % (
капиталовложения,
тыс. руб.;
стоимость 1
потерь
электроэнергии, коп/
сумарные годовые
потери электроэнергии во всех трансформаторах подстанции,
Для силового электротехнического оборудования и
распределительных устройств установлены следующие нормы отчислений, где
при
до
150 кВ и
при
Ущерб У определяется только в тех случаях, если
сравниваемые варианты различаются по надежности и в случае применения
трансформаторов с заниженной номинальной мощностью, когда при выходе из строя
одного из них требуется отключение части потребителей третьей категории.
Величина ущерба от недоотпущенной электроэнергии
во время аварийного перерыва электроснабжения оценивается:
где
удельная
составляющая ущерба аварийной недоотпущенной электроэнергии, руб./
среднегодовая
недоотпущенная электроэнергия,
.
Параметр
определяется
по формуле:
где
максимальная
мощность потребителя,
параметр потока
отказов силовых трансформаторов;
среднее время
восстановления после отказа трансформатора, ч.
Для второго варианта схемы подстанции
рассчитываем У. Максимальная мощность потребителя
,
по сети СН равна 117 МВт. Параметр потока отказов силовых трансформаторов
.
Среднее время восстановления после отказа трансформатора
=
100 часам.
Определить параметр
:
Удельная составляющая ущерба аварийной
недоотпущенной электроэнергии равна 1,65 руб. за 1 кВт
ч.
Определим параметр У:
.2 Подсчет годовых потерь электроэнергии в
трансформаторах
Годовые потери электроэнергии в трансформаторах
можно вычислить следующей формулой:
где
потери
мощности холостого хода, кВт;
потери мощности
короткого замыкания, кВт;
количество зимних
дней в году, дн;
количество летних
дней в году, дн;
нагрузка в момент
времени
,
нагрузка в момент
времени
,
номинальная
мощность трансформатора,
Потери электроэнергии в нескольких параллельно
работающих трансформаторах:
где
количество
трансформаторов.
2.3 Расчеты для схемы ПС, состоящей из двух
трехобмоточных трансформаторов
Для расчета потерь электроэнергии необходимо
начальные данные по таблице 3.6
:
АОДЦТН-167000/500/220/11
Нагрузки
,
в
момент времени
,
приведены
в таблице 1. Эти нагрузки распределяютсямежду собой двумя трансформаторами условно
пополам, соответственно в формуле это указывается в виде деления
соответствующего параметра на число два. Для упрощения формулы суммы
определяются отдельно.
Суммарные потери электроэнергии составят:
.3 Расчеты для схемы ПС, состоящей из четырех
трансформаторов
Начальные данные по таблице 3.6
для
двухобмоточного трансформатора АТДЦТН - 250000/500/11:
Определим потери электроэнергии для понижающих
трансформаторов 500/10 кВ:
Суммарные потери электроэнергии составят:
Начальные данные по таблице 3.6
для
двухобмоточного трансформатора АОДЦТН-167000/500/230:
Определяем суммы для понижающих трансформаторов:
Определяем потери электроэнергии для понижающих
трансформаторов 500/220 кВ:
Суммарные потери электроэнергии составят:
Общие суммарные потери электроэнергии составят:
Для определения количества капитала для вложения
по приложению 2 составляется таблица стоимости основного оборудования электростанции
(табл. 2)
Таблица
2
Стоимости основного оборудования электростанции
|
Оборудование
|
Стоимость
тыс. руб.
|
Варианты
|
|
|
Первый
|
Второй
|
|
|
Кол-во
|
Стоимость
тыс. руб.
|
Кол-во
|
Стоимость
тыс. руб.
|
|
АОДЦТН-167000/500/230/11
|
206
|
2
|
412
|
2
|
412
|
|
ТДЦ-250000/500/13,8
|
335
|
-
|
-
|
2
|
670
|
|
Ячейки
ОРУ
|
|
|
500
кВ
|
249
|
2
|
498
|
2
|
498
|
|
220
кВ
|
78
|
3
|
234
|
3
|
234
|
|
Итого
|
-
|
-
|
1144
|
-
|
1814
|
3. Определение годовых издержек
Определим годовые эксплуатационные издержки для
схемы подстанции, состоящей из двух трехобмоточных трансформаторов (рис.1 а)
Определим годовые эксплуатационные издержки для
схемы подстанции, состоящей из четырех трансформаторов (рис. 1 б)
Определение приведенных затрат
Определим приведенные затраты для схемы
подстанции, состоящей из двух трехобмоточных трансформаторов:
Определим приведенные затраты для схемы
подстанции, состоящей из четырех трансформаторов:
На основе рассчитанных значений приведенных
затрат выбирается схема подстанции, состоящая из двух трехобмоточных
трансформаторов (рис. 1а)
4. Выбор отходящих линий
.1 Выбор отходящих линий на стороне СН
Исходные данные:
Потребляемая мощность каждой линией
Угол сдвига фаз
Всего отходящих двухцепных линий 3;
Длина линии L1/L2/L3 = 90/140/40 км.
Продолжительность использования максимальной
нагрузки согласно (рис. 2 б) определяется по формуле:
где
продолжительность
использования максимальной нагрузки, ч;
число зимних дней
в году, дн.;
мощность, потребляемая
в зимние времена года,
время, в течение
которого потребляется мощность
число летних дней
в году, дн;
мощность,
потребляемая в летнее время года,
время, в течение
которого потребляемая мощность,
максимальная
мощность потребляемая сетью СН,
Для алюминиевых неизолированных проводов
экономическая плотность тока по таблице 1.3.36
Номинальный расчетный ток определяется по
формуле:
где
нормальный
расчетный ток;
максимальная
отпускаемая мощность на одну линию сети СН, МВт;
номинальное
напряжение сети СН, кВ;
угол сдвига фаз.
Экономическое сечение:
где
экономическое
сечение,
;
экономическая
плотность тока,
Принимаем стандартное ближайшее сечение 240
и
предварительно выбирается провод (приложение 3, табл.1) АС 240/32, допустимая
длительная токовая нагрузка по ГОСТ 839-80 равна 605 А.
Проверка осуществляется по допустимому току в
режиме обрыва одной из цепей линии. Протекающий по оставшейся цепи ток равен:
где
протекающий
по оставшейся цепи ток, А;
максимальная
отпускаемая мощность на одну линию сети СН, МВт;
номинальное
напряжение сети СН, кВ;
угол сдвига фаз.
так как
,
то окончательно принимаем провод АС 240/32
.2 Выбор отходящих линий на стороне ВН
Предварительные данные:
Максимальная отпускаемая мощность линией
Всего отходящих линий 2;
Длина линии L1/L2/ = 190/140 км.
Продолжительность использования максимальной
нагрузки согласно рис.3 и табл.1 определяется по формуле:
где
максимальная
мощность, потребляемая сетью ВН,

Для алюминиевых поводов экономическая плотность
тока по таблице 1.3.36
Номинальный расчетный ток определяется по
формуле:
где
нормальный
расчетный ток;
максимальная
отпускаемая мощность на одну линию сети ВН, МВт;
номинальное
напряжение сети ВН, кВ.
Экономическое сечение:
где
эконмическое
сечение,
экономическая
плотность тока, А/
Принимается стандартно ближайшее сечение 300
и
предварительно выбирается провод (приложение 3, табл.1) АС 300/56, допустимая
длительная токовая нагрузка по ГОСТ 839-80 равна 680 А.
Проверка осуществляется по допустимому току в
режиме обрыва одной из цепей линии. Протекающий по оставшейся цепи ток равен:
так как
то
окончательно принимаем провод АС 300/56.
5. Расчет токов короткого замыкания
Рис. 5
Рис. 6
Параметры схемы замещения
Примем следующие базисные условия:
Определим базисные токи:
Параметры системы:
ЭДС системы:
где
номинальное
напряжение системы, кВ;
базисное
напряжение первой ступени, кВ.
Сопротивление системы:
где
сопротивление
системы, Ом.
Параметры линии ВН
Индуктивное сопротивлении линии:
где
удельное
сопротивление провода, Ом/км;
длина линии, км.
Общее сопротивление линии ВН определится
(рис.5):
Параметры линии СН
Индуктивное сопротивления (рис. 6) определяется
аналогично по выше приведенной формуле для ВЛ:
Результирующее сопротивление линии СН
определяется:
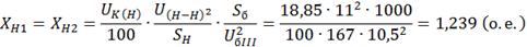
Параметры трансформаторов
Данные для трехобмоточных трансформаторов типа
АОДЦТН - 167000/500/220/11 по таблице 3.6
Напряжение короткого замыкания трансформатора
определится по формулам:
где
напряжение
КЗ обмотки ВН, %;
напряжение КЗ
обмотки СН, %;
напряжение КЗ
обмотки НН, %
напряжение КЗ
обмотки ВН-СН, %;
напряжение КЗ
обмотки ВН-НН, %;
напряжение КЗ
обмотки СН-НН, %.
Определим:
Сопротивление обмоток трансформатора:
Примем постоянные времени по таблице 7-13
На шинах ВН:
На шинах СН:
На шинах НН:
Параметры обобщенно нагрузки
Примем для обобщенной нагрузки:
Базисное сопротивление нагрузки определяем по
формуле:
ЭДС нагрузки определяется по формуле:
.1 Упрощение схемы замещения
Преобразуем два параллельных трансформатора. По
выше определенным параметрам схемы замещения трансформатора видно, что
сопротивление
Получим схему
(рис. 7; рис. 8).
Рис. 7
На рисунке показано, что соответствующие обмотки
трансформатора соединены параллельно, а также преобразуем линии СН, т.е.
преобразуем далее, как показано на рис. 6.
Рис. 8
Соответственно эквивалентные сопротивления
будут:
Эквивалентная ЭДС СН:
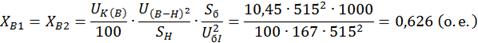
.2 Расчет токов КЗ на шинах ВН
Определим значение периодической составляющей
тока КЗ от действия системы в начальный момент времени:
где
ЭДС
системы, о.е.;
сопротивление
системы, о.е.;
эквивалентное
сопротивление линии, о.е.;
базисный ток, кА.
Для определения периодической составляющей тока
КЗ от действия обобщенно нагрузки преобразуем схему рис. 8 в схему рис. 9:
К определению тока КЗ на шинах ВН
Рис. 9
Данные эквивалентные значения определяются:
Тогда:
Общая периодическая составляющая тока КЗ на
шинах ВН:
Так как КЗ электрически удалено, то можно
приближенно принять, что периодическая составляющая удалено, то можно
приближенно принять, что периодическая составляющая тока КЗ не затухает и
Значение апериодической составляющей тока КЗ в
начальный момент времени:
Ударный коэффициент определяется по формуле:
где
постоянная
времени на шинах ВН подстанции, с;
1,85 по таблице
3.8.
.
Отсюда ударное значение тока КЗ:
.3 Расчет токов КЗ на шинах СН
СВ на шинах СН разомкнут
В данном случае схема показана на рис.8. Каждый
трансформатор работает на свою секцию шин СН и параллельно соединения между
трансформаторами нет (СВ на рис. 8 не показан).
Тогда значение периодической составляющей тока
КЗ от действия системы в начальный момент времени определяется:
Значение периодической составляющей тока КЗ от
действия нагрузки СН в начальный момент времени определяется:
Значение периодической составляющей тока КЗ от
действия нагрузки НН в начальный момент времени определяется:
Общая периодическая составляющая тока КЗ на
шинах СН:
Так как КЗ электрически удалено, то можно
приближенно принять, что периодическая составляющая тока КЗ не затухает и
.
Значение апериодической составляющей тока КЗ в
начальный момент времени по формуле:
Ударный коэффициент определяется по формуле:
где
постоянная
времени на шинах СН подстанции, с;
1,72 по таблице
3.8.
.
Ударное значение тока КЗ:
СВ на шинах СН замкнут
Схема показана на рис.8. В этом случае
трансформаторы работают параллельно.
Тогда значение периодической составляющей тока
КЗ от действия системы в начальный момент времени определяется:
Значение периодической составляющей тока КЗ от
действия нагрузки СН в начальный момент времени определяется:
Значение периодической составляющей тока КЗ от
действия нагрузки НН в начальный момент времени определяется:
Общая периодическая составляющая тока КЗ на
шинах СН:
Так как КЗ электрически удалено, то можно
приближенно принять, что периодическая составляющая тока КЗ не затухает и
.
Значение апериодической составляющей тока КЗ в
начальный момент времени по формуле:
Ударный коэффициент определяется по формуле:
где
постоянная
времени на шинах СН подстанции, с;
1,72 по таблице
3.8.
.
Ударное значение тока КЗ:
.4 Расчет токов КЗ на шинах НН
СВ на шинах НН разомкнут
В данном случае схема показана на рис.7. Каждый
трансформатор работает на свою секцию шин НН и параллельного соединения между
трансформаторами нет (СВ на рис.7 не показан).
Тогда значение периодической составляющей тока
КЗ от действия системы в начальный момент времени определяется:
Значение периодической составляющей тока КЗ от
действия нагрузки СН в начальный момент времени определяется:
Значение периодической составляющей тока КЗ от
действия нагрузки НН в начальный момент времени определяется:
Общая периодическая составляющая тока КЗ на
шинах НН:
Так как КЗ электрически удалено, то можно
приближенно принять, что периодическая составляющая тока КЗ не затухает и
.
Значение апериодической составляющей тока КЗ в
начальный момент времени по формуле:
1,85 по таблице
3.8.
.
Ударное значение тока КЗ:
СВ на шинах НН замкнут
Схема показана на рис.8. В этом случае
трансформаторы работают параллельно.
Тогда значение периодической составляющей тока
КЗ от действия системы в начальный момент времени определяется:
Значение периодической составляющей тока КЗ от
действия нагрузки СН в начальный момент времени определяется:
Значение периодической составляющей тока КЗ от
действия нагрузки НН в начальный момент времени определяется:
Общая периодическая составляющая тока КЗ на
шинах НН:
Так как КЗ электрически удалено, то можно
приближенно принять, что периодическая составляющая тока КЗ не затухает и
.
Значение апериодической составляющей тока КЗ в
начальный момент времени по формуле:
1,82 по таблице
3.8.
.
Ударное значение тока КЗ:
.5 Расчет токов КЗ в конце линии L2 CH
Предположим, что СВ на шинах СН замкнут. Тогда
получается, что трансформатор работает параллельно (рис.8).
Тогда значение периодической составляющей тока
КЗ от действия системы в начальный момент времени определяется:
Ino
IбII
IбII
=
кА
Так как КЗ электрически удалено, то можно
приближенно принять, что периодическая составляющая тока КЗ не затухает и
In1=Ino.
Значение апериодической составляющей тока КЗ в
начальный момент времени определяется по формуле:
=
Ino=
Ino=
кА
Ударный коэффициент определяется по формуле:
уд=
,
где Та - постоянная времени на шинах СН
подстанции, с;уд - 1,72 по таблице 3.8. [3].
Ударное значение тока КЗ:
уд= kуд
iao
кА.
6. Расчет кабельной сети местной нагрузки
По суточному графику потребления мощности по
сети НН (рис.2а) определяется время максимальных потерь Тmax. Расчетная формула
аналогична формуле:
Тmax
Тmax
ч
Для кабелей с бумажной изоляцией экономическая
плотность тока (при Тmax ) по таблице 1.3.36 [1]ЭК=1,2А/мм2
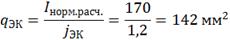
.1 Выбор кабеля для потребителей РП-3
Распределительный пункт РП-3 соединен с РУ НН
двумя кабельными линиями.
Ток нормального рабочего режима кабелей РП-3
определяется по формуле:
норм =
,
где Iнорм - ток нормального рабочего режима, А;-
активная максимальная мощность потребления от РП, кВТ;
сosφ
- угол сдвига фаз в сети НН;- количество параллельных кабелей.норм=
А
Ток аварийного режима при возникновении
неисправности в одном из кабелей:авар=
А
Экономическое сечение:
ЭК=
,
где qЭК - экономическое сечение, мм2;ЭК -
экономическая плотность тока, А/мм2.ЭК=
мм2
максимальное сечение жилы для трехжильных
силовых кабелей 10 кВ - 240 мм2; при этом длительно допустимый ток - 355 А. по
условиям перегрузки (ликвидация аварии в течение 5 суток при длительности
максимума - 8 час. kпер =1,2) следует, что необходимо укладывать в траншее
шесть параллельных кабелей (поправочный коэффициент на число работающих
кабелей, лежащих рядом равен 0,75 при расстоянии в свету между кабелями 100
мм).
норм=
А
Экономическое сечение:
ЭК=
мм2
Ток аварийного режима при возникновении
неисправности в одном из кабелей:
авар=
А
Выбираются шесть кабелей с медными жилами, с
бумажной пропитанной изоляцией, в свинцовой оболочке, прокладываемые в земле
сечением 240 мм2 каждый (СП-3х240). Допустимая токовая нагрузка Iдоп одного
кабеля составляет 460 А.
Проверяется условие:
доп
Iавар,
где Iдоп - допустимый ток, А;- температурный
коэффициент;- коэффициент перегрузки;- поправочный коэффициент на число кабелей
в траншее;авар - ток аварийного режима, А;ЭК - экономическая плотность тока,
А/мм2.
Температурный коэффициент и коэффициент
перегрузки соответственно равны 1 и 1,2.
А
А
.2 Выбор кабеля для потребителей РП-1 и РП-2
Потребители РП-1 и РП-2 должны питаться в
нормальном режиме по одному кабелю. В аварийном режиме, когда один из кабелей,
питающих РП, откажет, потребители другого РП питаются через кабельную перемычку
между РП-1 и РП-2. Нагрузка РП-1 составляет 5 МВт, а РП-2-5 МВт.
Ток аварийного режима при возникновении отказа в
питаемом кабеле одного из РП определяется по формуле:авар=
А
Экономическое сечение:ЭК=
мм2
Максимальное сечение жилы для трехжильных
силовых кабелей 10кВ 240 мм2; при этом длительно допустимый ток - 355 А. По
условиям перегрузки (ликвидация аварии в течение 5 суток при длительности
максимума - 8 часов knep=1,2) делаем вывод о необходимости укладки в траншее
трех параллельных кабелей (поправочный коэффициент на число работающих кабелей,
лежащих рядом равен 0,85 при расстоянии в свету между кабелями 100 мм).
норм=
А
Экономическое сечение:
ЭК=
мм2
Ток аварийного режима при возникновении
неисправности в одном из кабелей:
авар=
А
Выбираются три кабеля с медными жилами, с
бумажной пропитанной изоляцией, в свинцовой оболочке, прокладываемые в земле
сечением 240 мм2 каждый (СП-3х240). Допустимая токовая нагрузка Iдоп одного
кабеля составляет 460 А.
Проверяется условие:
доп
Iавар
А
А
Принимаем по три кабеля марки СП-3х240 для
питания каждого РП.
.3 Выбор кабеля для перемычки между РП-1 и РП-2
Выберем кабель для кабельной перемычки между
РП-1 и РП-2.
При отказе кабелей одного из РП кабельная
перемычка должна питать его потребителей. При этом максимальная мощность,
которая должная будет передаваться потребителям по двум параллельным кабелям.
Составит мощность РП. При этом по кабельной перемычке будет протекать ток:
Экономическое сечение:
Ток аварийного режима при возникновении
неисправности в одном из кабелей:
Выбираются для прокладки в земле два кабеля
СП-3х240. Допустимый длительный ток кабеля составляет 460 А.
Проверяется условие:
Принимаем два кабеля марки СП-3х240.
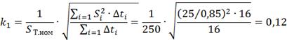
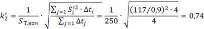
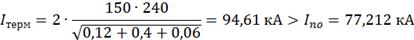
6.4 Определение термической стойкости кабеля
где
ток
термической стойкости, А;
коэффициент
термической стойкости;
сечение кабеля,
время выключения
выключателя, с;
время срабатывания
релейной защиты, с;
постоянная
времени.
Ток термической стойкости должен быть больше
периодической составляющей тока короткого замыкания
Если выполняется это условие, то установка
линейного реактора не требуется. Для выключателя ВМП-10 время отключения
составляет 0,12 сек. Время срабатывания релейной защиты 0,4 сек. Коэффициент
термической стойкости для кабелей с бумажной изоляцией и медными жилами равен
150
.
Постоянная времени равна 0,06.
В нормальном режиме СВ на шинах НН разомкнут
поэтому принимается
Для двух кабелей СП-3х240:
Для трех кабелей СП-3х240:
Для четырех кабелей СП-3х240:
Установка линейного реактора не требуется, так
как токи термической стойкости больше тока КЗ на ПС.
. Выбор схемы собственных нужд подстанции
К приемникам энергии системы собственных нужд
подстанции нужно отнести системы управления выключателями, электрическое
освещение и отопление, системы управления, телемеханики и связи. Схема рабочего
и резервного питания собственных нужд должна обеспечивать надежную работу
отдельных блоков и всей подстанции в целом.
В качестве оперативного тока выбирается -
переменный ток 380/220 В. Схема питания трансформатора собственных нужд - от
секции 10 кВ.
Для надежного электроснабжения собственных нужд
выбираются два трансформатора - рабочий и резервный, запитанные с разных секций
10 кВ.
Выбор трансформатора собственных нужд
Принимаем 2 трансформатора ТМ-250/10
Схема собственных нужд подстанции
Рис. 10
8. Выбор схемы распределительных устройств
Схемы должны удовлетворять следующим
требованиям:
ремонт основного оборудования ПС не должен
нарушать ненормальную работу потребителей и не должен создавать перерывов
электроснабжения потребителей;
Ремонт сборных шин без отключения;
минимально-достаточный набор отключающего
оборудования для проведения ремонтных работ, при этом все нормы безопасности
должны быть в норме;
надежность и простота схемы присоединений.
.1 Выбор схемы РУ ВН
Для РУ напряжением 500 кВ с числом присоединений
2 применяется кольцевая схема четырехугольника (квадрата). В кольцевых схемах
ревизия любого выключателя производится без перерыва работы какого-либо
элемента. Эта схема экономична и обладает высокой надежностью.
Распределительное устройство ВН
Рис. 11
.2 Выбор схемы РУ СН
Для РУ напряжением 220 кВ с числом присоединений
6 применяется схема с двумя рабочими и обходной системами с одним выключателем
на цепь. В данной схеме обе системы находятся под напряжением, при
фиксированном расположении присоединений по шинам. В нормальном режиме ШСВ
включен. Такое присоединение повышает надежность схемы так как при коротком
замыкании на шинах, ШСВ выключается и соответственно отключается только
половина присоединений. Если повреждение на сборных шинах устойчиво, то
отключившиеся присоединения переводятся на неповрежденную систему шин. Система
с двумя рабочими и одной обходной системами шин имеет большую
ремонтопригодность и дает возможность ревизии любой системы шин и любого
выключателя без перерыва электроснабжения, а так позволяет группировать
присоединения произвольным образом.
Схема распределительного устройства СН
Рис. 12
.3 Выбор схемы РУ НН
На низшим напряжении подстанции 10 кВ
применяется одиночная секционированная схема шин с раздельной работой секции и
трансформаторов.
Схема распределительного устройства НН
Рис. 12
9. Выбор электрических аппаратов и токоведущих
частей
В РУ ПС содержится большое число электрических
аппаратов и соединяющих их проводников.
При наборе токоведущих частей необходимо
обеспечивать выполнение ряда требований. Аппараты должны:
Длительно проводить рабочие токи без чрезмерного
повышения температуры;
Противостоять кратковременному
электродинамическому и тепловому действию токов КЗ;
Выдерживать механические нагрузки, создаваемые
собственной массой и массой связанных с ним аппаратов, а также возникающие в
результате атмосферных воздействий (ветер, дождь, жара, холод); эти требования
учитываются при механическом расчете линии электропередачи и РУ;
Удовлетворять требованиям экономичности
электроустановки. Один из важнейших вопросов - обеспечение термической
стойкости аппаратов и проводников. При работе происходит нагрев электрических
аппаратов и проводников, что является следствием потерь в них. Составляющие
этих потерь являются:
потери в токоведущих частях обмоток, контактов;
потери от вихревых токов в металлических частях;
потери в магнитопроводе трансформаторов
электромагнитов;
потери в диэлектриках;
Проверка токоведущих частей на термическую
стойкость состоит в том, чтобы убедиться, что ни в одном из режимов температура
проводника не превысит допустимой. При этом допустимые температуры в каждом из
режимов различны и определяются рядом требований:
обеспечить экономически целесообразный срок
службы изоляции;
обеспечить надежную работу контактной системы;
не допустить разрушения изоляции;
не допустить заметного ухудшения механических
свойств металл токоведущих частей.
При нормальном режиме допустимая температура
определяется первым или вторым требованием, а при КЗ - третьим и четвертым. Для
изолированных частей допустимая температура определяется в основном сроком
службы изоляции в зависимости от вида и класса изоляции. Для коммутационных
аппаратов и шин допустимые температуры в основном определяются условиями работы
контактов.
Таким образом, из условий работы, токоведущие
элементы выбирают по условиям рабочего режима и проверяют на термическую и
электродинамическую стойкость при токах КЗ.
Разъединитель - это коммутационный аппарат,
предназначается для отключения и включения цепи без тока или с незначительным
током, обеспечивающий безопасности в отключенном положении имеет между
контактами промежуток.
При ремонтных работах разъединителем создается
видимый разрыв между частями под напряжением и аппаратами, выведенными в
ремонт.
К разъединителям предъявляются следующие
требования:
создание видимого разрыва в воздухе,
электрическая прочность которого соответствует максимальному импульсному
напряжению;
электродинамическая и термическая стойкость при
протекании токов КЗ;
исключение самопроизвольных отключений;
четкое включение и отключение при наихудших
условиях работы (обледенение, дождь, снег).
Важным элементом электроустановки высокого
напряжения является заземление. В большинстве случаев (при напряжении до 500
кВ) заземление монтируется на общей раме с основным разъединителем и
блокируется с ним механически. Блокировка разрешает включение заземления только
при отключенном разъединителе и наоборот. Разъединители могут выполняться с
одним или двумя заземляющими ножами. В установках со сборными шинами в качестве
шинных разъединителей выбирают разъединители с одним заземляющим ножом, в
качестве линейных - с двумя заземляющими ножами.
Короткозамыкатели создают искусственное короткое
замыкание на стороне высокого напряжения подстанции с целью повышения чувствительности
релейной защиты линии.
Отделители - это коммутационный аппарат,
предназначаются для автоматического отделения поврежденного участка цепи в
безтоковую паузу АПВ. у него для отключения имеется пружинный привод.
Отделителями допускается отключать те же токи, что и разъединителями. Включение
отделителя осуществляется вручную. Отделители, так же как и разъединители могут
иметь заземляющие ножи с одной или с двух сторон.
Выключатель - это коммутационный аппарат,
предназначается для включения и отключение тока. Выключатель является основным
аппаратом в электроустановках, он служит для отключения и включения цепи в
любых режимах: длительная нагрузка, перегрузка, короткое замыкание, холостой
ход, несинхронная работа. Наиболее тяжелой и ответственной операцией является
отключение токов короткого замыкания и включение на существующее короткое
замыкание.
.1 Выбор выключателей
Выбор выключателей на стороне высшего напряжения
Максимальный рабочий ток
раб.макс
,
где
-
максимальный рабочий ток, А;
- максимальная
потребляемая мощность, МВ
А;
- номинальное
напряжение сети ВН, кВ.раб.макс
А
Предварительно принимается выключатель типа
ВВБ-500-35,5-2000У1 с номинальными параметрами: номинальный рабочий ток
Iном=2кА; номинальный ток отключения Iотк.ном =35,5кА; амплитудное значение
сквозного предельного тока iдин = 90кА; время отключения tОВ=0,06с; ток
термической стойкости It = 35,5кА; время термической стойкости tT =2с по
таблице 5-1 [4].
Проверка выбранного выключателя:
по способности выдерживать ударный ток короткого
замыкания:уд =9,6≤ iуд=90кА
по способности отключения периодической
составляющей тока короткого замыкания:
Int = Ino = 3,6668 ≤ Iотк.ном
= 35,5кА
по способности отключения апериодической
составляющей тока короткого замыкания:
Iat = iao
≤
где
-
время срабатывания защиты, с;
- время отключения
выключателя, с;- постоянная времени на шинах СН и ВН подстанции, с;
- содержание
апериодической составляющей, %.=
≈ 0≤
кА
по термической стойкости
ВК = Ino2
(tС.З.+
tО.В.+
Ta) ≤ IT 2
tT
ВК
кА2
с
Окончательно принимаем выбранный выключатель
типа ВВБ-500-35,5-2000У1 к установке.
Выбор выключателей на стороне среднего
напряжения
Максимальный рабочий ток
раб. макс
,
где SCH max- максимальная потребляемая мощность
по сети СН, МВ
А;- номинальное
напряжение сети СН, кВ.раб. макс
А
Предварительно принимается выключатель типа
ВВБ-220-31,5-2000У1 с номинальными параметрами: номинальный рабочий ток
Iном=2кА; номинальный ток отключения Iотк.ном=31,5кА; амплитудное значение
сквозного предельного тока iдин=80кА; время отключения tОВ=0,06с; ток
термической стойкости IT = 31,5кА; время термической стойкости tT =3с по
таблице 5-1 [4].
Проверка выбранного выключателя:
по способности выдерживать ударный ток короткого
замыкания:уд= 12,547 ≤ iуд=80кА
по способности отключения периодической
составляющей тока короткого замыкания:
Int=Ino=5,158≤ Iотк.ном=31,5кА
по способности отключения апериодической
составляющей тока короткого замыкания:
Iat =iao
≤
где
-
время срабатывания защиты, с;
- время отключения
выключателя, с;- постоянная времени на шинах СН и ВН подстанции, с;
- содержание
апериодической составляющей, %.=iao=
≤
кА
по термической стойкости
ВК = Ino2
(tС.З.+
tО.В.+
Ta) ≤ IT 2
tT
ВК
кА2
с
Окончательно принимаем выбранный выключатель
типа ВВБ-220-31,5-2000У1 к установке.
Выбор выключателей на стороне низшего напряжения
Выключатель со стороны низкого напряжения
трансформатора
Максимальный рабочий ток
раб. макс
,
где SНH max- максимальная потребляемая мощность
по сети НН, МВ
А;НH - номинальное
напряжение сети НН, кВ.раб. макс
А
Предварительно принимается выключатель типа
МГУ-20-90/6300УЗ с номинальными параметрами: номинальный рабочий ток Iном =
6,3кА; номинальный ток отключения I отк. ном=90кА; амплитудное значение
сквозного предельного тока iдин=300кА; время отключения tОВ=0,15с; ток
термической стойкости IT = 87кА; время термической стойкости tT =4с по таблице
5-1 [4].
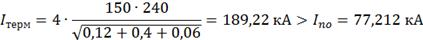
Проверка выбранного выключателя:
по способности выдерживать ударный ток короткого
замыкания:уд= 198,73 ≤ iуд=300кА
по способности отключения периодической
составляющей тока короткого замыкания:=Ino=77,212≤ Iотк.ном=90кА
по способности отключения апериодической
составляющей тока короткого замыкания:
Iat =iao
≤
где
-
время срабатывания защиты, с;
- время отключения
выключателя, с;- постоянная времени на шинах НН подстанции, с;
- содержание
апериодической составляющей, %.
Параметр
неизвестен,
но даже при
условие
неравенства выполняется
=
≈ 0≤
кА
по термической стойкости
ВК = Ino2
(tС.З.+
tО.В.+
Ta) ≤ IT 2
tT
ВК
кА2
с
Окончательно принимаем выбранный выключатель
типа МГУ-20-90/6300УЗ к установке.
Выключатели для РП-1, РП-2, РП-3
С учетом аварийной ситуации максимальный рабочий
ток РП-1 равен максимальному рабочему току РП-2
раб. макс
,
где SНH max - максимальная потребляемая мощность
по сети НН, МВ
А;НH - номинальное
напряжение сети НН, кВ.раб.макс
А
Предварительно принимается выключатель типа
МГУ-20-90/6300УЗ с номинальными параметрами: номинальный рабочий ток
Iном=6,3кА; номинальный ток отключения Iотк.ном=90кА; амплитудное значение
сквозного предельного тока iдин=300кА; время отключения tОВ=0,08с; ток
термической стойкости IT = 87кА; время термической стойкости tT =4с по таблице
5-1 [4].
Проверка выбранного выключателя:
по способности выдерживать ударный ток короткого
замыкания:уд = 198,73 ≤ iуд = 300кА
по способности отключения периодической
составляющей тока короткого замыкания:
Int = Ino=77,212≤ I отк.
ном
= 90кА
- по способности отключения апериодической
составляющей тока короткого замыкания:
Iat = iao
≤
где
-
время срабатывания защиты, с;
- время отключения
выключателя, с;- постоянная времени на шинах НН подстанции, с;
- содержание
апериодической составляющей, %.
Параметр
неизвестен,
но даже при
условие
неравенства выполняется
=
≈ 0≤
кА
по термической стойкости
ВК = Ino2
(tС.З.+
tО.В.+
Ta) ≤ IT 2
tT
ВК
кА2
с
Окончательно принимаем выбранный выключатель
типа МГУ-20-90/6300УЗ к установке.
Максимальный рабочий ток РП-3
раб. макс
,
где SНH max- максимальная потребляемая мощность
по сети НН, МВ
А;НH - номинальное
напряжение сети НН, кВ.раб.макс
А
Предварительно принимается выключатель типа
МГУ-20-90/6300УЗ с номинальными параметрами: номинальный рабочий ток
Iном=6,3кА; номинальный ток отключения Iотк.ном=90кА; амплитудное значение
сквозного предельного тока iдин=300кА; время отключения tОВ=0,15; ток
термической стойкости IT = 87кА; время термической стойкости tT =4с по таблице
5-1 [4].
Проверка выбранного выключателя:
по способности выдерживать ударный ток короткого
замыкания:уд= 198,73 ≤ iуд=300кА
по способности отключения периодической
составляющей тока короткого замыкания:
Int = Ino = 73,212≤ Iотк.ном
= 90кА
по способности отключения апериодической
составляющей тока короткого замыкания:
Iat = iao
≤
где
-
время срабатывания защиты, с;
- время отключения
выключателя, с;- постоянная времени на шинах НН подстанции, с;
- содержание
апериодической составляющей, %.
Параметр
неизвестен,
но даже при
условие
неравенства выполняется
=
≈ 0≤
кА
по термической стойкости
ВК = Ino2
(tС.З.+
tО.В.+
Ta) ≤ IT 2
tT
ВК
кА2
с
Окончательно принимаем выбранный выключатель
типа МГУ-20-90/6300УЗ к установке.
подстанция трансформатор ток кабель
9.2 Выбор разъединителей
Разъединители выбирают по номинальному
напряжению и номинальному току, а в режиме КЗ проверяют их динамическую и термическую
стойкость.
Условиями выбора разъединителей являются
сети ≤ Uномраб.max ≤ Iном,
где Uсети - номинальное напряжение сети, кВ;ном
- номинальное напряжение электрического аппарата или токоведущих частей,
кВ;раб.max - максимально возможный ток в месте установки разъединителей в
рабочем режиме, кА;ном - номинальный ток электрического аппарата или
токоведущих частей, кА.
Условия проверки электродинамической стойкости
разъединителей:
по способности выдержать ударный токуд ≤
Iдин
Условия проверки термической стойкости
разъединителей
ВК
Выбор разъединителей на стороне ВН
Максимальный рабочий токраб.макс
А,
Предварительно выбираем разъединитель типа
РНД-500/3200У1 с номинальными параметрами: номинальный рабочий ток Iном=3200А;
амплитудное значение сквозного предельного тока iдин=160кА; ток термической
стойкости IT = 63кА; время термической стойкости tT =2с по таблице 5-5 [4].
Проверка выбранного разъединителя:
по способности выдерживать ударный ток КЗ:уд=
9,6 ≤ iдин=160кА
по термической стойкости
ВК
ВК
кА2
с
Окончательно принимаем выбранный разъединитель
типа РНД-500/3200У1 к установке.
Выбор разъединителей на стороне СН
Максимальный рабочий токраб.макс
А,
Предварительно выбираем разъединитель типа
РНД-220/1000У1 с номинальными параметрами: номинальный рабочий ток Iном=1000А;
амплитудное значение сквозного предельного тока iдин=64кА; ток термической
стойкости IT = 25кА; время термической стойкости tT =3с по таблице 5-5 [4].
Проверка выбранного разъединителя:
по способности выдерживать ударный ток КЗ:уд=
12,547 ≤ iдин=64кА
по термической стойкости
ВК
ВК
кА2
с
Окончательно принимаем выбранный разъединитель
типа РНД-220/1000У1 к установке.
Выбор разъединителей на стороне НН
Максимальный рабочий токраб.макс
А,
Предварительно выбираем разъединитель типа
РВР-20/8000 с номинальными параметрами: номинальный рабочий ток Iном=8000А;
амплитудное значение сквозного предельного тока iдин=300кА; ток термической
стойкости IT = 112кА; время термической стойкости tT =4с по таблице 5-5 [4].
Проверка выбранного разъединителя:
по способности выдерживать ударный ток КЗ:уд=
198,73 ≤ iдин=300кА
по термической стойкости
ВК
ВК
кА2
с
Окончательно принимаем выбранный разъединитель
типа РВР-20/8000 к установке.
10. Выбор шин распределительных устройств
.1 Выбор шин на стороне ВН
Шины на стороне ВН выполняются из алюминиевых и
сталеалюминевых проводов. Сечение сборных шин выбираются по условию прохождения
допустимого тока при максимальной нагрузке на шинах: Iраб.макс. =175 А
Принимаем провод АС-300/56 с Iдоп. =680 А по
таблице 1.3.29 [1].
На термическую стойкость провода, находящиеся на
открытом воздухе, не проверяются. По условию короны также не проверяются, так
как минимальное сечение для шин ОРУ-220 кВ равно 240 мм2.
.2 Выбор шин на стороне СН
Сечение сборных шин выбирается по условию
прохождения допустимого тока при максимальной нагрузке на шинах:раб.макс
А
Принимаем провод АС-500/64 с Iдоп. =945 А по
таблице 1.3.29 [1].
На термическую стойкость провода, находящиеся на
открытом воздухе, не проверяются. По условию короны также не проверяются.
.3 Выбор шин на стороне НН
В закрытых РУ 6-10 кВ ошиновку и сборные шины
выполняют жесткими алюминиевыми шинами. Сечение сборных шин выбирается по
условию прохождения допустимого тока при максимальной нагрузке на
шинах:раб.макс
А
На сборных шинах применяются шины коробчатого
сечения, принимаем шину с размерами 100×45
мм, Iдоп. =2820 А по таблице 1.3.31 [1].
ВК
кА2
с
Проверяем шины по термической стойкости:
мм2˂qст=
мм2
Окончательно принимаем выбранную шину к
установке.
11. Выбор измерительных трансформаторов
Измерительные трансформаторы предназначены для
уменьшения первичных токов и напряжений до значений, наиболее удобных для
подключения измерительных приборов, реле защиты, устройств автоматики.
Применение измерительных трансформаторов обеспечивает безопасность работающих,
так как цепи высшего и низшего напряжения разделены, а также позволяют
унифицировать конструкцию приборов и реле.
.1 Выбор трансформаторов тока
Трансформатор тока для питания измерительных
приборов выбирают по номинальным первичному и вторичному токам. В режиме
короткого замыкания необходимо проверить трансформатор тока на динамическую и
термическую стойкость.
Условия выбора трансформатора тока:
номинальное напряжение:уст ≤ Uном
номинальный первичный ток:раб.max ≤ I1ном
по вторичной нагрузке:≤ Z2ном
Проверка трансформатора тока по динамической
стойкости:
у≤
,
где kдин
-
кратность тока динамической стойкости.
Проверка трансформатора тока по термической
стойкости:
ВК ≤
,
где km=
- кратность тока термической стойкости.
Выбор трансформаторов тока на стороне ВН
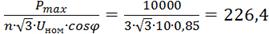
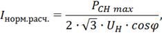
Максимальный рабочий ток I раб. макс=198 А,
ударный ток iуд=9,6кА, тепловой импульс ВК=15,07кА2
с.
Предварительно выбираем трансформатор тока типа
ТФЗМ110Б-I по таблице 5-9 [4].
Номинальные параметры:
Номинальный первичный ток I1=800А;
Номинальный вторичный ток I2=5А;
Номинальное сопротивление вторичной цепи Zном =1,2Ом;
Ток динамической стойкости Iдин =124кА;
Ток термической стойкости IТ =28кА, время
термической стойкости tT=3с.
Трансформаторы тока устанавливаются в цепи ВН
силовых трансформаторов и в цепи секционного выключателя. К вторичной обмотке
трансформаторов тока присоединяются амперметры.
Проверка по динамической стойкости:уд=9,6кА ˂
Iдин=124кА
Проверка по термической стойкости:
ВК
кА2
с
Устанавливаем амперметр типа Э-377, S=0,1 ВА, и
ваттметр Д-335, S=0,5 ВА.
Сопротивление приборов:
приб
Ом
Сопротивление соединительных проводов:пр=Z2ном -
rприб - rк=
Ом
Сечение соединительных проводов:
qmin=
мм2
Принимаем кабель марки КВВГ сечением 2,5 мм2.
Окончательно принимаем выбранный трансформатор
тока к установке.
Таблица
2
Измерительные приборы на стороне ВН
|
Прибор
|
Тип
|
Полная
мощность, ВА
|
|
|
А
|
В
|
С
|
|
Амперметр
|
Э-377
|
0,1
|
0,1
|
0,1
|
|
Ваттметр
|
Д-335
|
0,5
|
0,5
|
0,5
|
|
Счетчик
активной мощности
|
И-675
|
-
|
-
|
-
|
|
Счетчик
реактивной мощности
|
И-673М
|
-
|
-
|
-
|
|
Итого
|
|
0,6
|
0,6
|
0,6
|
Выбор трансформаторов тока на стороне СН
Максимальный рабочий ток Iраб.макс=317 А,
ударный ток iуд=12,547кА, тепловой импульс ВК =29,8кА2
с.
Предварительно выбираем трансформатор тока типа
ТФЗМ35Б-I по таблице 5-9 [4].
Номинальные параметры:
Номинальный первичный ток I1=1000А;
Номинальный вторичный ток I2=5А;
Номинальное сопротивление вторичной цепи Zном =1,2Ом;
Ток динамической стойкости Iдин =134кА;
Ток термической стойкости IТ =37кА, время
термической стойкости tT=3с.
Проверка по динамической стойкости:уд=12,547кА ˂
Iдин=134кА
Проверка по термической стойкости:
ВК
кА2
с
Присоединяемые измерительные приборы приведены в
табл.3
Таблица
3
Измерительные приборы на стороне СН
|
Прибор
|
Тип
|
Полная
мощность, ВА
|
|
|
А
|
В
|
С
|
|
Амперметр
|
Э-377
|
0,1
|
0,1
|
0,1
|
|
Ваттметр
|
Д-335
|
0,5
|
0,5
|
0,5
|
|
Счетчик
активной мощности
|
И-675
|
2,5
|
2,5
|
2,5
|
|
Счетчик
реактивной мощности
|
И-673М
|
2,5
|
2,5
|
2,5
|
|
Итого
|
|
5,6
|
5,6
|
5,6
|
Суммарное сопротивление приборов:
приб
Ом
Сопротивление проводов:
пр=Z2ном - rприб - rк=
Ом
Сечение соединительных проводов:
qmin=
мм2
Принимаем кабель марки КВВГ сечением 2,5 мм2.
Окончательно принимаем выбранный трансформатор
тока к установке.
Выбор трансформаторов тока на стороне НН
Трансформаторы тока устанавливаются в цепи НН
силового трансформатора. К вторичной обмотке трансформаторов тока
присоединяются амперметры, ваттметр, счетчики активной и реактивной мощности.
Максимальный рабочий ток Iраб.макс=2201 А,
ударный ток iуд=198,73кА, тепловой импульс ВК =6485кА2
с.
Предварительно выбираем трансформатор тока типа
ТПШЛ-10У3 по таблице 5-9 [4]. Номинальные параметры:
Номинальный первичный ток I1=3000А;
Номинальный вторичный ток I2=5А;
Номинальное сопротивление вторичной цепи Zном
=0,8Ом;
Ток динамической стойкости Iдин =250кА;
Ток термической стойкости IТ =35кА, время
термической стойкости tT=4с. Нормированная предельная кратность - 24.
Проверка трансформаторов тока по динамической
стойкости:уд=198,73кА ˂ iдин=250кА
Проверка трансформаторов тока по термической
стойкости:
ВК
кА2
с
Таблица
4
Измерительные приборы на стороне НН
|
Прибор
|
Тип
|
Полная
мощность, ВА
|
|
|
А
|
В
|
С
|
|
Амперметр
|
Э-377
|
0,1
|
0,1
|
0,1
|
|
Ваттметр
|
Д-335
|
0,5
|
0,5
|
0,5
|
|
Счетчик
активной мощности
|
И-675
|
2,5
|
2,5
|
2,5
|
|
Счетчик
реактивной мощности
|
И-673М
|
2,5
|
2,5
|
2,5
|
|
Итого
|
|
5,6
|
5,6
|
5,6
|
Суммарное сопротивление приборов:
приб
Ом
Сопротивление проводов:пр=Z2ном - rприб - rк=
Ом
Сечение соединительных проводов:
qmin=
мм2
Принимаем кабель марки КВВГ сечением 2,5 мм2.
Окончательно принимаем выбранный трансформатор
тока к установке.
.2 Выбор трансформаторов напряжения
Трансформаторы напряжения для питания
электроизмерительных приборов выбирают:
по номинальному напряжению:≤ U2ном
по нагрузке вторичной цепи:Ʃ≤ U2ном
Выбор трансформаторов напряжения на стороне ВН
На стороне ВН устанавливаются один вольтметр с
переключением для измерения фазного напряжения три вольтметра для измерения
междуфазного напряжения.
Принимаем к установке вольтметры типа Э-377,
Sном=2 ВА.
Трансформатор напряжения для установки на
стороне ВН принимаем марки НКФ-110-83У1, Sном=400 ВА по таблице 5-13 [4].
Сечение соединительного кабеля выбирается из
условия механической прочности.
Принимаем кабель марки КВВГ сечением 2,5 мм2.
Таблица
5
Измерительные приборы на стороне ВН
|
Прибор
|
Тип
|
Мощность,
ВА
|
Число
|
Ʃ
мощность, ВА
|
|
Вольтметр
|
Э-379
|
2
|
4
|
8
|
|
Ваттметр
|
Д-335
|
2
|
2
|
|
Счетчик
активной мощности
|
И-675М
|
2
|
1
|
12
|
|
Счетчик
реактивной мощности
|
И-675М
|
8
|
1
|
8
|
|
Итого
|
|
|
7
|
30
|
Выбор трансформаторов напряжения на стороне СН
На стороне СН к вторичным обмоткам
трансформатора напряжения присоединяются один вольтметр с переключением для
измерения фазного напряжения и три вольтметра для измерения междуфазного
напряжения, катушки напряжения ваттметров, счетчиков активной и реактивной мощности.
Перечень измерительных приборов приведен в
таблице 6.
На стороне СН принимаем трансформатор напряжения
марки ЗНОМ-35-65У1, Sном=150 ВА по таблице 5-13 [4]. Принимаем к установке
соединительный кабель марки КВВГ сечением 2,5 мм2.
Таблица
6
Измерительные приборы на стороне СН
|
Прибор
|
Тип
|
Мощность,
ВА
|
Число
|
Ʃ
мощность, ВА
|
|
Вольтметр
|
Э-379
|
2
|
4
|
8
|
|
Ваттметр
|
Д-335
|
2
|
1
|
2
|
|
Счетчик
линий 110 кВ к потребителям активной мощности
|
И-675
|
12
|
2
|
24
|
|
Счетчик
линий 110 кВ к потребителям реактивной мощности
|
И-673М
|
8
|
2
|
16
|
|
Итого
|
|
|
7
|
50
|
Выбор трансформаторов напряжения на стороне НН
На стороне НН к вторичным обмоткам
трансформатора напряжения присоединяются один вольтметр с переключением для
измерения фазного напряжения и три вольтметра для измерения междуфазного
напряжения, катушки напряжения ваттметров, счетчиков активной и реактивной
мощности.
Перечень измерительных приборов приведен в
таблице 7.
Таблица
7
Измерительные приборы на стороне НН
|
Прибор
|
Тип
|
Мощность,
ВА
|
Число
|
Ʃ
мощность, ВА
|
|
Вольтметр
|
Э-379
|
2
|
4
|
8
|
|
Ваттметр
|
Д-335
|
2
|
1
|
2
|
|
Счетчик
линий 110 кВ к потребителям активной мощности
|
И-675
|
12
|
3
|
36
|
|
Счетчик
линий 110 кВ к потребителям реактивной мощности
|
И-673М
|
8
|
3
|
24
|
|
Итого
|
|
|
7
|
70
|
На стороне НН принимаем трансформатор напряжения
марки НТМИ-10-66УЗ, Sном=120 ВА по таблице 5-13 [4]. Принимаем к установке
соединительный кабель марки КВВГ сечением 2,5 мм2.
Заключение
Суточные графики нагрузки являются основными
данными для проектирования подстанции 500/220/10 кВ,именно по ним производится
выбор силовых трансформаторов и основного электрооборудования. С помощью
сравнения двух вариантов по техно-экономическому расчету выбирается структурная
схема. Были рассмотрены варианты структурных схем подстанции: схема с двумя
трехобмоточными трансформаторами и схема, состоящая из четырех двухобмоточных
трансформаторов. Так как нагрузка на стороне ВН велика, то дешевле установить
два параллельно работающих твухобмоточных трансформатора типа
АОДЦТН-167000/500/220/11. Также делаем выбор ВЛ отходящих со стороны ВН и СН из
условия протекания аварийных токов. После этого производим расчет токов КЗ на
шинах подстанции и с учетом действия периодической составляющей тока КЗ,
производили выбор оборудования: производился выбор выключателей и
разъединителей на стороне ВН, СН, НН.Также выбирали кабельные линии,которые
отходят от шин НН,проверили на термическую стойкость. Выбранные кабели проверку
на термическую стойкость прошли.Сделали выбор шин ВН, СН и НН, по условию
прохождения допустимых токов при максимальной нагрузке на шинах. Произвели выбор
вспомогательное оборудование: трансформаторы тока и напряжения. Сделали выбор
схемы РУ всех напряжений с учетом числа отходящих линий и схему ТСН.
Выбор оборудования производился с учетом
возможного расширения подстанции, ремонтоспособности и экономического фактора,
безопасности и удобства обслуживания, эксплуатации, преимущественно было
выбрано современное, надежное оборудование.
Список использованной литературы
1. Правила
устройства электроустановок 7-е издание переработанное и доп.-М.: Энергоатомиздат,
2009.
2. Электрическая
часть станции и подстанции: Учеб. для вузов / Васильев А.А., Крючков И.П.,
Наяшкова Е.Ф. и др.; Под ред., Васильева А.А.- 2-е изд., перераб. и доп.- М.:
Энергоатомиздат, 1990-567с.
. Электрооборудование
станции и подстанций: учебное пособие для техникумов / Рожкова Л.Д., Козулин
В.С.-3-е изд., перераб. и доп.-М.: Энергоатомиздат, 1987.-608с.
. Неклепаев
Б.Н., Крючков И.П. Электрическая часть электростанций и подстанций: Справочные
материалы для курсового и дипломного проектирования: Учеб. пособие для вузов.
-4-е изд., перераб. и доп. - М.: Энергоатомиздат, 1989.-608 с.: ил.
. Методическое
указание на выполнение курсовой работы по дисциплине «Электроэнергетика» для
специальности 140211 «Электроснабжение». Составил доцент кафедры Э и Э Ахметшин
Р.С. ИНЭКА, 2009 г. Наб. Челны.