Особливості формування фізичного здоров'я жінки

  • Вид работы:
    Дипломная (ВКР)
  • Предмет:
    Туризм
  • Язык:
    Украинский
    ,
    Формат файла:
    MS Word
    190,38 Кб
  • Опубликовано:
    2014-08-06
Вы можете узнать стоимость помощи в написании студенческой работы.
Помощь в написании работы, которую точно примут!

Особливості формування фізичного здоров'я жінки

Вступ

Для наведення характеристики щодо здоров'я жінки з точки зору спортивної медицини та реабілітації необхідно знати вихідні дані досліджуваних та зміни стану здоров'я жінки після проведення тренувань та навантажень.

Кожна рухома дія, у яких би умовах вона не здійснювалась, в тій чи іншій мірі пов'язана з проявом сили, швидкості, витривалості, гнучкості. Найбільш звичний рухомий акт - ходьба. З ним ми знайомі з першого року життя. Але навчитись ходити - це не одне й те саме, що й ходити довго та витривало, підійматись на поверхи сходами або підійматися високо у гори. Для цього просто ходити не достатньо. Необхідно не просто вміти ходити, а щоб м'язи, які беруть участь у цьому руховому акті, були достатньо сильними, могли швидко та довго працювати, синхронно скорочуватися та розслаблятися. А це можливо лише тоді, коли умовно-рефлекторні відносини у центральній нервовій системі складаються в єдності з відповідною біохімічною та морфологічною перебудовою в організмі в цілому. Необхідно, щоб формування і наступне вдосконалення рухового навику здійснювалось з одночасним розвитком його якісних сторін: сили, швидкості, гнучкості, витривалості.

Слід мати на увазі, що в практичному житті, у практичній діяльності людини в чистому виді рухові якості не зустрічаються. Вони завжди проявляються у взаємозв'язку.

Кожен рух, навіть самий простий, основується на м'язовій силі, тому в любому русі можуть проявлятися силові якості. Сила представляє собою один із компонентів структури фізичних здібностей, встановлюючи працездатність та обумовлюючи її різні прояви. В найбільшому ступені сила пов'язана з витривалістю та швидкістю.

За умов постійної дії на організм певного подразника сила його дії поступово слабшає у зв'язку з підвищенням стійкості регуляторних механізмів, клітинних структур, зміною фізико-хімічних властивостей клітини, розширенням функціонального резерву та адаптаційних можливостей організму. Це дозволяє зберігати фізіологічну рівновагу при дії все більших подразників, відповідати на подразнення без патологічних реакцій при швидкому поверненні до вихідного рівня регуляції, що й обумовлює можливість адекватного пристосування організму тренованих спортсменок до великих фізичних навантажень, поступового розширення функціональних можливостей організму та збільшення функціонального резерву.

Здоров'я не можна розглядати тільки як нормальну структуру і функцію організму та відсутність проявів хвороби. Сьогодні вже очевидно, що найважливішим критерієм норми повинна бути здатність організму найбільш ефективно використовувати свої біологічні можливості при пред'явленні йому підвищених вимог, швидко та адекватно перебудовувати при цьому рівень своєї діяльності відповідаючи на навантаження без патологічних проявів, при швидкому поверненні до вихідного рівня регулювання. Саме це в більшості встановлює стійкість організму, запас життєвих сил, тобто рівень здоров'я жінки, а відповідно, і запас виробничих сил суспільства, що має велике соціальне значення.

Спортивне тренування - яскравий приклад великих адаптаційних можливостей організму жінки. Довготривала адаптація проявляється при цьому в перебудуванні організму на центральному, системному, органному, тканинному, клітинному та молекулярному рівнях, що обумовлює певні морфологічні та функціональні особливості тренованого організму як прояви біологічної норми. Характер та ступінь цих змін обумовлені спрямованістю вправ, їх частотою, інтенсивністю, тривалістю та взаємодією, рівнем підготованості, індивідуальними особливостями та рядом інших факторів. Знання фахівцем закономірностей змін організму у зв'язку із заняттями спортом необхідне для правильної діагностики здоров'я та функціонального стану спортсменки, тим більше що при нераціональний заняттях, порушеннях режиму тренувань та інших можливі й негативні впливи, розвиток різних перед- та патологічних станів.

Сучасне виявлення та попередження таких станів, вміння диференціювати їх від закономірних адаптивних змін тренованого організму - дуже важлива та не завжди легка задача для лікаря або реабілітолога.

Найважливіша у соціальному плані оздоровча функція фізичної культури та спорту, максимальний оздоровчий ефект занять на всіх рівнях спортивної майстерності можуть бути забезпечені лише за умови раціональної системи занять та гігієнічного режиму, регулярного контролю за здоров'ям жінок що займаються, ефектної системи науково-медичного забезпечення [1].

Тож питання щодо реалізації системи занять є дуже актуальним. Майже кожна людина знає про велику кількість наукових даних, що були накопичені за останні 50 років, які свідчать про значну роль регулярних фізичних вправ для повноцінного життя, збереження здоров'я, профілактики та реабілітації самих різних захворювань.

Таке визнання значення рухової активності є основним досягненням вчених, лікарів, науковців, тренерів та інструкторів, протягом багатьох років вони проводили дослідження в даному напрямку та пропагували отримані результати. Великий об'єм інформації про користь фізичних вправ, що з'явився в останні роки, свідчить про високий інтерес до цієї проблеми. Однак, інструктори та вчені, які повсюди намагаються залучати людей до оздоровчих занять, так само зустрічаються з певними труднощами та питаннями.

Як правильно дозувати навантаження? Як індивідуалізувати підхід до тренувань? Якими методами та способами контролювати стан жіночого здоров'я в ході тренувань та після них? Як попередити появу проблем з боку серцево-судинної системи та інших соматичних органів та систем? Як відновити працездатність після перенесення різних захворювань? Ці та багато інших проблем однозначно не вирішені та потребують подальшого вивчання та дослідження.

Метою роботи кожного спеціаліста в області фізичного виховання та спорту і є вирішення цих питань. А моя мета, як реабілітолога, не просто залучати людей до оздоровлення, а і провести дослідження та встановити рівень здоров'я на початку, в ході та після тренувань. Крім того, контролювати навантаження та реакції організму на фізичне навантаження; при наявності результатів, що відрізняються від середнього рівня (позитивно чи негативно), зробити висновки щодо можливості перебудови тренування за індивідуальною програмою.

Мету роботи можна виразити так:

Вивчити відмінності жіночого організму та його реакцію на фізичне навантаження.

Визначити корисний вплив фізичної активності на нормальне формування жіночого організму.

Навести приклади фізичних вправ для жінок різного віку.

Пояснити необхідність тестування та оцінки даних щодо фізичної активності.

Розібрати залежність фізичних здібностей від анатомічних факторів.

Отримати базову інформацію про реагування серцево-судинної системи на фізичні навантаження.

Провести дослідження фізичного стану здоров'я жінок, які займаються у фітнес-групі.

Тож, предметом дослідження є загальний стан здоров'я спортсменок фітнес-групи.

Об'єктом дослідження (досліджуваними) - спортсменки, що займаються в групі оздоровчого фітнесу.

Розділ 1. Анатомо-фізіологічні особливості та особливості формування жіночого організму

Говорячи про фізичне здоров'я жінки слід пам'ятати про те, що організм її багато в чому оригінальний та відрізняється від організму чоловіка. По кожному з параметрів порівняння, чи то система кровообігу, чи то м'язова система; у всьому можна знайти особливості, без яких жіночий організм не був би таким унікальним. Анатомо-фізіологічні відмінності закладено ще з ембріонального періоду існування людини, та є невід'ємними протягом всього її життя.

Після того, як відбулося запліднення - об'єднання двох гамет, з'єднання ядер та формування диплоїдного ядра, - формується нова клітина з повним набором хромосом. В залежності від того, який набір хромосом містить в собі ця клітина, залежить стать майбутньої людини.

.1 Органогенез та походження статевих органів людини

У зародка людини спочатку закладаються індиферентні статеві залози, а лише згодом формуються чоловічі чи жіночі статеві органи. У зародка людини зачатки індиферентних статевих залоз з'являються на четвертому тижні ембріонального розвитку. Слід нагадати, що у самотинних клітинах жінки є статеві XX -хромосоми, а у яйцеклітини - X - хромосоми; у чоловіків у хаотичних клітинах - XY - хромосоми, а у сперматозоїдах - або X -, або Y -хромосоми. У Y - хромосомі людини є ген, що кодує синтез особового білка, який спрямовує клітини індиферентних статевих залоз по шляху розвитку сім'яника.

Якщо Y - хромосома відсутня та не синтезується згадуваний білок, то на 7-му тижні ембріонального розвитку починається диференціація індиферентних статевих залоз в яєчники. При цьому індиферентна залоза поділяється на два прошарки: зовнішній первинний корковий та внутрішній первинний мозковий, в якому розташовані первинні статеві клітини. Ці статеві клітини поступово з розвитком змішуються у коркову речовину. Із каналів, що залишилися первинної нирки формуються рудиментарні придаток та навколояєчник, із мезонефрального протоку - подовжній (навколоматочний) проток, із парамезонефрального протока розвиваються матка, маточні труби, піхва. У людини статеві залози від місця їх закладання переміщуються в область тазу, при цьому яєчники залишаються у порожнині малого тазу, а яєчка виходять із черевної порожнини у мошонку.

На 3-му місяці внутрішньоутробного розвитку людини попереду від клоачної перетинки з мезенхіми виникає статевий бугорок, в основі якого знаходиться сечостатева борозна, обмежена з обох сторін статевими зморшками. З обох сторін від борозни та зморшок формуються статеві валики. Всі ці структури є індиферентними зовнішніми статевими органами, на яких у подальшому розвиваються зовнішні чоловічі та жіночі статеві органи. При розвитку жіночої особі статева борозна зростає мало та перетворюється у клітор, а статеві зморшки перетворюються на малі статеві губи. Дистальна частина сечостатевої борозни стає більш широкою та перетворюється у переддвер'я піхви, куди відчиняються: жіночій сечівник та піхва. Статеві валики зростають, з них утворюються великі статеві губи (таблиця 1).

Таблиця 1. Походження статевих органів

Вихідна форма

Чоловік

Жінка

Індиферентна статева залоза

Яєчко

Яєчник

Мезонефрос: краніальний відділ каудальний відділ

Виносні канали яєчка Довідок придатку яєчка  Проток привіску яєчка

Придаток яєчника. Навколо яєчник

Проток мезонефроса

Проток придатку яєчка, сім'яник, сім'яний пухирець, сім'я викидний проток

Подовжній проток придатку яєчника.

Парамезонефральний проток

Привісок яєчка, передміхурова залоза

Маточна труба, матка, піхва.

Направляюча зв'язка

Направляюча зв'язка (в ембріогенезі)

Власна зв'язка яєчника, кругла зв'язка магки.

Сечостатева пазуха (синус)

Передміхурова частина чоловічого сечовипускального каналу

Переддвер'я піхви

Статевий бугорок

Печеристі тіла статевого члена

Клітор

Статеві зморшки

Губчасте тіло статевого члена

Малі статеві губи

Статеві валики

Мошонка (частково)

Великі статеві губи


Встановлені три основні групи факторів, що детермінують хід розвитку зародку:

генетичні фактори;

) взаємодія частин зародку;

) дія зовнішніх відносно зародка чинників (механічні - тиск, фізичні - температура, хімічні - лікарські речовини та ін..).

Ці фактори тісно пов'язані між собою. Зміни цього зв'язку та зовнішні умови можуть привести до порушення розвитку окремих частин зародка.

Взагалі, в онтогенезі людини розрізняють два основних періоди: внутріпіньоутробний та постнатальний. В даний час існує така періодизація життя людини, яку прийняли у 1965 році на VII конференції з проблем вікової морфології, фізіології та біохімії (таблиця 2)

Таблиця 2. Періоди життя людини

Період

Вік

1. Ембріональний

0-8 тижнів

2. Перехідний

8-16 тижнів

3.Плідний (фетальний)

4-10 місяців

4. Новонароджені

1-10 днів

5. Грудний вік

10 днів - 1 рік

6. Раннє дитинство

1-3 роки

7. Перше дитинство

4-7 років

8. Друге дитинство

8-12 (хлопчики) 8-11 (дівчата)

9. Підлітковий вік

13-16 (хлопчики) 12- 15 (дівчата)

10. Юнацький вік

17-21 (юнаки) 16-20 (дівчини)

11. Зрілий вік: І період ІІ період

22-35 (чоловіки) 21-35 (жінки)  36-60 (чоловіки) 36-55 (жінки)

12. Похилий вік

61-74 (чоловіки) 56 - 74 (жінки)

13. Старечий вік

75 - 90 років (чоловіки та жінки)

14. Довгожителі

Більше 90 років


.2 Відмінності формування фізичного розвитку жіночої та чоловічої статі

Та не тільки періодизація віку людини розрізнена для чоловіків та жінок, а всі процеси в організмі проходять з кількісними та якісними відмінностями.

Кожен період онтогенезу людини проявляється характерними морфо фізіологічними особливостями. Довжина тіла та його маса є інтегральними показниками, які дозволяють судити про фізичний розвиток людини. Зріст людини продовжується: на протязі перших 20 років його життя. Як правило, збільшення довжини тіла у чоловіків закінчується у віці 18-20 років, а у жінок 16 - 18 років. В подальшому (до 60 - 65 років) довжина тіла не змінюється, а після цього у зв'язку із скороченням (сплощенням) міжхребетних дисків, зміною постави тіла та сплощенням зведень стопи довжина тіла зменшується приблизно на 1 - 1,5 мм на рік.

У підлітковому віці річний додаток довжини тіла у хлопчиків складає в середньому 5,8 см, а у дівчаток - 5 - 5,7 см. При цьому у дівчат інтенсивний ріст спостерігається у віці від 10 до 13 років, а у хлопчиків у підлітковому віці, потім ріст уповільнюється.

Маса тіла зростає вдвічі к 5 - 6 місяцям після народження, збільшується втричі у віці до одного року, та збільшується у 4 рази до 2 років. Збільшення довжини та маси тіла йде приблизно однаковими темпами. Максимальний річний додаток маси тіла має місце у підлітковому віці: у дівчат на 13 році, а у хлопців на 15 році життя.

У ранньому та першому дитинстві статеві відмінності (крім первинних статевих ознак) майже не виражені. У період другого дитинства знову переважає ріст у ширину, однак у цей час починається статеве визрівання, а наприкінці періоду посилюється ріст тіла у довжину, темпи якого більші у дівчат. В 10 років відбувається перше перехрестя - довжина та маса тіла у дівчат перевищує їх у хлопчиків. Прогресує психічний розвиток дітей. Розвивається орієнтація у відношенні місяців року, календарних років. Самим важливішим є початок статевого визрівання, більш раннє воно у дівчаток, що пов'язано з посиленням секреції жіночих статевих гормонів у них: у 8 - 9 років починає розширюватися таз та округляються стегна, збільшується секреція сальних залоз та волосяний покров лобка.

У підлітковому віці швидко зростають та розвиваються статеві органи, збільшуються вторинні статеві ознаки. У дівчаток збільшується кількість волосся на шкірі лобкової області, з'являється волосся у пахвових впадинах, збільшуються розміри статевих органів, молочних залоз, лужна реакція піхвового секрету стає кислою, з'являються менструації, змінюється форма тазу. У 13 - 14 років відбувається друге перехрестя кривих росту хлопчиків та дівчат, після чого хлопчики зростають швидше за дівчат.

У підлітковому віці розвивається механічна та словникова пам'ять. Юнацький вік співпадає з періодом вистигання. В цьому віці ріст та розвиток організму в цілому закінчується та всі апарати та системи органів практично досягають морфофункціональної зрілості.

Статеві ознаки відрізняють чоловіка від жінки. Вони поділяються на первинні (статеві органи) та вторинні (розвиток волосся, розвиток молочних залоз, зміна голосу та ін.) (таблиця 3).

Таблиця 3.Таблиця деяких статевих відмінностей та пропорцій тіла:

Показник

Чоловік

Жінка

Довжина тіла

Більша

Менша

Маса тіла

Більша

Менша

Відносні розміри тулуба

Менші

Більші

Довжина кінцівок

Більша

Менша

Ширина плечей

Більша

Менша

Ширина тазу

Менша

Більша

Розміри грудної клітини

Довші, ширші

Коротші, вузькі

Маса м'язів

Більша

Менша

Товщина підшкірної клітковини

Менша

Більша

Товщина шкіри

Більша

Менша

Ступінь розвитку та положення волосяного покриву

Більший на обличчі, тулубі, кінцівках, багато на лобку та животі до пупка

Менший, на животі відсутній


Знання анатомічних, фізіологічних, психологічних та інших особливостей жіночого організму необхідне для чіткого розуміння питання про її загальний стан в цілому, та для контролю за змінами різноманітних показників при дії тих чи інших чинників в процесі життя.

Розвиток організму жінок проходить за окремим планом, маючи при цьому індивідуальні особливості у кожному конкретному випадку. Але на цей розвиток не припиняється різносторонній вплив цілої маси чинників, чи то гормонів, чи то лікарських засобів, чи фізичного навантаження, чи дії психоемоційної сфери...

Таких факторів дуже багато і на вивчення самих факторів та їх дію покладено багато праці дослідників та вчених у різних сферах нашого життя. Одним з таких факторів є фізична активність та фізичне навантаження як при життєдіяльності так і у тренуваннях.

Розділ 2. Фізичне виховання та вік

У кожному віковому періоді життя дівчинки не слід забувати про її фізичний розвиток. Залежно від стану її здоров’я необхідне різне фізичне навантаження: обов’язкова ранкова гімнастика, водні процедури, заняття спортом.

.1 Фізичне виховання дівчинки батьками

Насамперед, необхідно звернути увагу на поставу дівчинки, яка є основним показником фізичного здоров’я. Здорова дитина буває стрункою, з нормально піднятою головою, випнутими вперед грудьми, прямою плоскою спиною та паралельно розташованими ногами. Та правильно ходити та стояти свідомо може лише доросла людина. Малі діти лише з часом отримують таку поставу. Цьому сприяє надбання навиків, про які повинні подбати батьки. Більшість малих дітей стоять з виступаючим вперед животиком, та це природно, бо у віці 3-5 років у дітей інший нахил тазі та в них не може бути іншої постави. Пізніше діти навчаться випинати вперед груди і «підтягувати» живіт. Поставі надається велике значення тому, що вона відображає фізичний та духовний розвиток дитини. Погана постава свідчить про слабкість мускулатури, неправильне харчування, перевтому, боязкість, страждання. При цьому треба ліквідувати причину та навчити дитину правильній манері тримання. Невпинно м’яко та наполегливо необхідно повторювати: «Підніми голову», «Стій рівно».

Добра постава сприяє більшому розширенню грудної клітини, доброму розвитку легенів та серця, виховує самовпевненість, яка перешкоджає розвитку кволості та боязкості.

Особливо часто погана постава з’являється після 5 років, коли діти схильні до гри у зігнутому стані. При цьому вони звикають сидіти та стояти згорбленими. Крім нагадувань стояти прямо, слід навчити дитину вигибати спину «як кішка», «колоти дрова», «качати воду», «дзвонити у дзвоник». Треба дозволяти дітям кататися на підлозі, пролазити під стільцем, кріслом, через низько натягнуту мотузку, ходити по лінії, переносити на голові невеликі предмети.

.1.1 Фізичні вправи для дитини 2-3 років

На другому та третьому році життя дитини рекомендовані такі вправи:

Ходьба по обмеженій доріжці (для дітей від 1,5 до 2 років - ширина 25-35 см, для дітей 2-3 років - 10 - 25 см). Можливо ходити по вузькому краю ковдри на підлозі або між двома мотузками;

стоячи, достати предмети, що лежать на підлозі, не згинаючи коліна;

перешагнути через предмети, що лежать на підлозі на відстані 20 см один від іншого;

тримаючись за палицю або обруч, витягнути руки догори та потягнутися на носки, присісти;

зібрати пальцями ніг розкидані ґудзики;

сидячи на стільці, ногою катати палицю, олівець та ін.;

пролізти під стілець, мотузку, через обруч та ін..(прогнути спинку);

лежачи на спині, підняти голову та подивитись на іграшку, яка лежить на підлозі;

лежачи на спині, достати обруч носками прямих ніг;

лежачи на спині, щільно притиснутись спиною до підлоги. Ця вправа допомагає знищити надмірний вигиб хребта, випинання животика;

лежачи на животі, розкинувши руки урізнобіч, ніби крила, підвести на короткий час голову та тулуб. При цьому тримати дитину за гомілки.

Вправи треба робити щоденно по 10-15 хвилин через 30-40 хвилин після сніданку. У дитини в цьому віці ще слабкі суглоби ступні, тому потрібно обережно відноситися до стрибків з висоти на тверду поверхню. Краще просто стрибати через предмети, які лежать на підлозі. Літом дитина може купатися у річці, при цьому тримати її треба у горизонтальному положенні, щоб вона вільно могла рухати руками та ногами. Можна ходити з нею у воді. Такі вправи дають багато задоволення, розвивають м’язи спини, привчають дитину до холодної води.

.1.2 Необхідні фізичні навички для дитини 5 - 6 років

У віці 5-6 років треба навчити дитину:

. Правильно стояти, розправивши плечі га випнувши груди, не випинаючи живіт.

. Правильно ходити: ступні ставити паралельно, не розвертаючи на зовнішню сторону, щоб не розвивалась плоскостопість.

. Правильно сидіти: не горбитися, з покладеними при їжі на стіл руками, глибоко сидячи на стільці (а не на його краю), спираючись ногами у підлогу. Стіл повинен доставати до грудей. Якщо він вище, у дитини може з'явитися звичка класти голову на лікті, розташовані на столі.

Якщо батьки не можуть самостійно добитись правильної постави і манери триматись, потрібно порадитись з лікарем-ортопедом та реабілітологом.

Дитина 5-6 років в загальних рисах володіє всіма видами основних рухів. В цьому віці виникає потреба спробувати свої сили в більш складних видах рухів, бажання імпровізувати їх. Але у дитини ще немає вміння розмірювати свої сили та реальні можливості, ще недостатньо розвинена система координації та точності рухів.

У зв'язку з цим фізичне виховання дитини в цьому віці повинні здійснюватись за допомогою дорослого, а комплекс гімнастичних вправ повинен бути направлений на формування вмінь та навиків свідомої точності виконання тілом різних рухів та вміння зберігати правильну поставу. До складу ранкової гімнастики треба включати ходьбу, біг, стрибки, вправи для рук та плечового поясу, ніг та тулуба.

Комплекс ранкової гімнастики для дітей 5-6 років

Ходьба протягом 1-1,5 хвилин звичайним кроком на носках, на п'ятках, на зовнішньому боці стопи, дрібними та широкими кроками між розташованими на підлозі предметами, колом та ін. Ходьбу чергувати з бігом. Під час ходьби потрібно нагадувати, щоб дитина тримала спину прямо, голову не нахиляла. Для вироблення прямої постави дівчинки допоможе ходьба з мішечком на голові, що наповнений легкою вагою, а також ходьба з фіксованим положенням рук на поясі або урізнобіч, плечі відведені назад.

Біг протягом 1-1,5 хвилини на носках, високо піднімаючи коліно, широкими кроками, навколо розташованих на підлозі предметів, при цьому темп та напрямок бігу змінюються. Потрібно слідкувати, щоб дитина підчас бігу не затримувала дихання.

Стрибки 1-1,5 хвилини у вигляді підскоків, на місці, повністю вирівнюючи ноги в колінах, приземляючись на носки, дещо згинаючи ноги в колінах. Тулуб тримати прямо, дивитись вперед. Підскоки чергувати з поворотами у різні боки, з просуванням вперед, що розвиває витривалість та спритність.

.        Кілька вправ для рук та плечового поясу, тулуба:

Вихідне положення (В.п.): встати прямо, руки вниз. Виконання (В.): підняти руки у сторони, долонями вгору (пальці витягнуті), опустити.

В.п.: те саме.

В.: підняти руки вгору, долонями в середину, подивитись на них, опустити. Те саме, притискаючись спиною до стіни.

В.п.: те саме.

В.: поставити руки перед грудьми (закласти за голову), розправити плечі, опустити плечі.

В.п.: стоячи/сидячи.

В.; збирати пальцями ніг мотузку.

В.п.: опора сидячи ззаду.

В.: захоплювати стопами та перекладати з місця на місце предмети.

В.п.: те саме.

В.: відтягнути носки, згинати стопу, обертати її. 5. Вправи для тулуба:

В.п.: встати прямо, руки на поясі.

В.: повернутися вправо (вліво), подивитися вправо (вліво), встати прямо. Те саме, розводячи руки в сторони.

В.п.: те саме, в руках палиця (обруч, м'яч).

В.: повернутися вправо (вліво), витягнути руки з предметом вперед, встати прямо.

В.п.: присісти.

В.: покласти м'яч на підлогу, притримуючи його руками, прокотити навколо себе. Те саме, стоячи на колінах.

В.п.: сісти, витягнути ноги, в одній руці тримати м'яч/кубик.

В.: підняти одну ногу над підлогою, перекласти предмет з однієї руки в іншу під ногою, опустити ногу.

В.: при підняти обидві ноги над полом, опустити. Підтягувати до себе одночасно обидві ноги, випрямляти їх.

В.п.: сидячи верхи на гімнастичній лавиці, руками опиратися ззаду.

В.: підняти одну ногу, покласти її на лавицю, те саме іншою ногою, опустити ноги на підлогу.

В.: підняти м'яча, опустити. Те саме з палицею, тримаючи її за середину.

В.п.: в опорі стоячи на колінах.

В.: прогнути та вигнути спину, почергово піднімаючи одну, потім іншу руку, опускати.

В.п.: сидячи з підтримкою за ноги.

В.: лягти на спину, сісти.

В.п.: лежачи на животі, руки вперед.

В.: підняти руки, плечі та голову, прогнутися, лягти.

З наведених вправ рекомендовано складати комплекс щоденної ранкової гімнастики, використовуючи та змінюючи кожний раз дві - три вправи для різних частин тіла; тоді ранкова гімнастика буде більш різноманітною, вона буде мати характер гральних занять.

.2 Ігри з дитиною, як фактор фізичного виховання

Ігри з дитиною також сприяють правильному фізичному розвитку. Піднімання дитини у повітря у віці одного року, носіння на спині, особливо при швидкій ході, укріплює м'язи.

Дітям у віці 2-4 роки дуже корисне гойдання на колінах. При цьому слід посадити дитину верхи на зігнуті під прямим кутом ноги дорослої людини, обхопити зап'ястя дитини і почергово підіймати дитину то правою, то лівою ногою. Потім темп рухів можна прискорити і почати підкидати дитину двома ногами, при цьому декламувати які-небудь вірші в такт рухам. Дуже важливо розвинути у дитини відчуття ритму. Закінчити цю вправу можна, розвівши коліна, дати можливість «провалитися» дитині між ніг. Зазвичай ця зміна положення дає можливість відкидатися дитині назад та надає йому масу задоволення. Можна гойдати дитину і на ступнях своїх ніг.

Вправи для розвитку рухів та укріплення різних груп м'язів багато.

Для гармонійного розвитку дівчинки необхідні систематичні заняття спортом. Не кожна дівчинка може витримати великі фізичні та психологічні навантаження, що пов'язані зі спортом, але кожна дівчинка для гармонійного розвитку повинна у віці 8 років вміти плавати, їздити ковзними, лижами, велосипедом, робити разом з батьками довгі прогулянки пішки, вміти танцювати. Ці навички принесуть велику користь в майбутньому, укріплятимуть дівчинку фізично, нададуть правильної постави, навчать красивим рухам та легкій ході.

.3 Психофізичне виховання дівчинки та статевий потяг

Саме в дитинстві формується психологія людини, проявляється її індивідуальність. Вже у віці 2-3 років дитина усвідомлює своє «Я» та саме в цьому віці проходить первинна статева диференціація: «Я - дівчинка», «Я - хлопчик». Вже в цьому віці з'являються не тільки риси характеру в цілому, але і основи жіночості що здійснюють значний вплив на подальше формування статевої належності. Повне формування свідомості належності до тої чи іншої статі зазвичай закінчується у віці 5 років. Вік від 2 до 5 років має особливе значення для розвитку психіки дитини; саме в цьому віці вона дуже потребує тісного спілкування з батьками, особливо з ніжною ласкою матері. Необхідно вміти надати можливість побачити в батьках внутрішній світ з духовними клопотами, моральними проблемами, повсякденними потребами, матеріальними труднощами. Дитині потрібний не лише спокій, але й неспокій. Саме у віці 6-9 років формується, як вважають психологи, досвід співчуття, без якого неможна у подальшому житті будувати добрі відносини з людьми. Треба навчитися розуміти дитину. У дитини 6-9 років, вважають психологи, є значна якість: вона полюбляє слухатись батьків. Батьки для неї дуже важливі. Не треба дитину увесь час сварити, повчати, треба більше хвалити її за добрі вчинки. Треба постійно допомагати робити те, що потрібно робити дитині. Вона ще цього просто не вміє. Не має в ній і механізму самоконтролю. Батьки дошкільниці і першокласниці повинні бути не суворими спостерігачами, а співчуваючими друзями.

При вихованні дошкільниць треба пам'ятати, що надмірна ласка, неправильна поведінка батьків може стимулювати передчасний сексуальний розвиток дівчинки.

Статевий потяг, якщо його розуміти як особливе відношення людини однієї статі до людини іншої статі, виникає ще у дитинстві. У ранньому віці вони не свідоме, але з віком його специфічність збільшується.

Найбільш виразною формою статевого потягу є кокетство, яке є характерним для дівчаток раннього віку. Кокетство - це своєрідна форма поведінки, в основі якого лежить бажання привернути до себе увагу. До особливостей статевої поведінки дівчаток відноситься також сором'язливість, яка з'являється зазвичай після 5-6 років.

Саме основне - розуміння поведінки дівчинки та прагнення правильно формувати в ній вже в цьому віці рис майбутньої жінки. Для цього велике значення має психічна гігієна.

Правила гігієни відносяться не лише до фізичного, але і до психічного здоров'я, неправильне виховання дитини може бути причиною різних недоліків та шкідливих звичок у людини. Значно легше з раннього віку привити дитині здорові навички та принципи, ніж виправляти у майбутньому недоліки характеру та шкідливі звички. Якщо правильне виховання почати з раннього дитинства, воно не таке важке, як в послідуючому періоді, періоді статевого вистигання, коли у підлітка часто буває «складний» характер.

Виховання в період дитинства встановлює й подальше статеве вистигання. Статеве виховання складне тоді, коли його роздивляються і коли йому надають самостійного значення. Воно повинно бути обмежено частиною загального виховання. Основним ступенем, з якого починається формування статевої чутливості людини, є родина. Якщо в родині культивується свобода статевих відносин, чи навпаки, надмірна манірність, та сором'язливість, огидність до нормальних статевих відносин, то й про правильне статеве виховання не може бути мови.

В ранньому дитинстві статеве вистигання сприяє засвоєнню гігієнічних знань та навичок, зумовлених статевою належністю, Іграшки, казки, ігри, особливості прикрас, одягу, зачіски не лише впливають на розвиток дитини, але і вносять перші поняття про його статеву належність.

У віці 4-7 років зростає коло інтересів дитини, що виражається у нескінченних питаннях. Діти дуже спостережливі та слідкують за поведінкою дорослих, перехоплюють найдрібніші збентеження. Особливо негативно впливає на дитину, якщо вона стає свідком статевих відносин батьків. Батьки іноді вважають, що діти надто малі і це їх не зацікавить. Але практика показує зовсім інше. Спостереження за статевим життям дорослих сприяє ранньому виникненню статевого відчуття та в подальшому ранньому початку статевого життя. Для попередження раннього виникнення статевого відчуття батьки при дітях повинні утримуватися від еротичних сцен, не слід перевдягатися у присутності дитини, купатися в одній ванні. Треба намагатися не допускати випадкового подразнення статевих органів та ерогенних зон.

Відповіді батьків на запитання сексуального характеру, якщо вони виникли, повинні враховувати ступінь підготовленості дитини до тієї чи іншої відповіді. Відповіді на такі питання потребують великого такту.

.4 Біологічний вік, руховий вік та рухові якості

Існують уявлення не лише про біологічний вік, але і про руховий вік як ступень досконалості у виконанні людиною природних рухів тіла та тієї їх суми, якою вона володіє на момент часу, що оцінюється хронологічним, або паспортним, віком. Найбільш яскраво зміна одного рухового віку на інший виражена на першому році життя дитини, коли послідовно оволодіває вмінням тримати голову, сідати з підтримкою та без неї, стояти, ходити та інше.

У період раннього, першого та другого дитинства руховий вік встановлюється за досконалістю природних видів рухів, ступінь яких залежить від рухових якостей (швидкісних, силових та ін..), що розвиваються на основі анатомо-фізіологічних задатків в умовах рухової діяльності.

У похилому та старечому періоді руховий вік залежить від змін рухової функції, опорно-рухового апарату, а також від систем регуляції та забезпечення рухів у зв'язку з процесом старіння. Використання засобів фізичної культури дозволяє і в цей період життя зберігати руховий вік мало зміненим порівняно з періодом зрілості.

Рухи людини мають не лише якісні, але й кількісні характеристики. Організм для свого нормального функціонування потребує певного об'єму (кількості) рухів. Недостатній об'єм рухів веде до рухового голоду. У крайніх випадках виникає комплекс морфо-функціональних порушень -гіпокінезійний синдром або навіть гіпокінезійна хвороба.

Об'єм рухів оцінюється зазвичай кількістю кроків (метод крокометрії). Це пояснюється тим, що, по-перше, ходьба універсальний та найбільш розповсюджений вид локомоції, а по-друге, що в цьому руховому акті бере участь вся мускулатура тіла, тобто він має генералізовані прояви. Нормування рухової активності проводиться з урахуванням віково-біологічних особливостей дітей та соціально-екологічних умов їх життя.

Компенсувати нестачу рухів дитини слід як на уроках фізичної культури, так і в процесі позашкільної фізкультурно-оздоровчої роботи з дітьми.

Потреба організму в рухах та рухові якості, як виховуються, так і унаслідуються. Встановлена певна етапність розвитку рухових якостей. Крім того, існують критичні періоди в їх розвитку, протягом яких засоби виборчого спрямованого фізичного виховання можуть дати максимальний ефект. Приуроченість критичних періодів до хронологічного віку пов'язана зі статевими особливостями дітей; вона неоднакова для різних рухових якостей. Якщо розглядати шкільний період життя (7 - 17 років), то у дівчаток критичні періоди розвитку зміщені в основному до більш раннього віку (9 -12 років), а у хлопчиків розподіляються доволі рівномірно. Критичний період для розвитку швидкісних якостей для хлопців та дівчат приходиться на більш ранній період життя, ніж для витривалості та сили.

Активний приріст рухових якостей відмічається в період, що передує статевому вистиганню. Наприклад, максимальний приріст м'язової сили (по різним групам м'язів) у дівчаток відбувається між 10 - 12 роками, а у хлопчиків між 13 -14 роками. Статеві різниці пояснюються тим, що у дівчаток статеве вистигання настає раніше, ніж у хлопців.

Рухова активність та рухові якості дітей та підлітків знаходяться у зв'язку з біологічним віком. Характер цього зв'язку залежить від вікового періоду, рухової якості та ступеню біологічної стиглості. Швидкісні якості знаходяться, як правило, у зворотному зв'язку з показниками біологічного віку, а силові якості та витривалість - в прямій. В період росту та розвитку організму взаємозв'язок показників рухового та біологічного віку обумовлений дією загальних факторів онтогенезу - спадковості та середовища. По закінченню підліткового віку цей взаємозв'язок слабшає та набуває виборчого характеру.

Гармонічність та дисгармонічність розвитку характерні не лише для розмірів тіла, але й для виразності рухових якостей. Хлопчики характеризуються більшою врівноваженістю в їх стані, і більшою гармонійністю рухового розвитку, ніж дівчата.

Можливість прогнозування термінів статевого вистигання, дефінітивних розмірів тіла та розвиток рухових якостей основується на генетичному програмуванні росту та розвитку сполучення цих процесів зі спадково стійкими ознаками (генетичними маркерами). До кількості останній умовно можна віднести соматотип дитини (певний набір морфологічних ознак), хоча він менш стійкий, ніж такі маркерні ознаки, як група крові або малюнок шкірних візерунків кисті та стопи. Враховуючи соматотипологічну класифікацію В. Г. ПІтефко та А. Д. Островського, можна вважати, що статеве вистигання у дітей дигестивного та м'язового соматотипів настає на 2 - З роки раніше, ніж у дітей астеноїдного та торакального соматотипів. Однак у «чистому» опиті (спостереження на дизиготних близнюках) виявляється, що належність до торакального соматотипу сприяє більш ранньому статевому вистиганню, ніж при астеноїдному соматотипі. Ці дані слід враховувати при спортивному відборі в такі види спорту, як фігурне катання, плавання, спортивна гімнастика.

Орієнтуючись на соматотипі 5-6-річної дитини та деякі інші дані (наприклад результати опиту батьків), можна достатньо точно передбачити терміни її статевого вистигання. Відомо, що фізичні навантаження затримують статеве вистигання. Щоб уникнути впливу навантажень на природний хід розвитку дитини, краще долучати до занять сказаними видами спорту дітей з пізніми термінами статевого розвитку.

Розділ 3. Рухи - джерело здоров'я та вроди

У всякі часи у всіх народів було своє поняття щодо жіночої вроди. Однак, як би не різнилися ідеали жіночої вроди, головною умовою жіночої вроди, яка є вище за моду та смаки - це здоров'я.

.1 Тест для встановлення рівня фізичних якостей

Здоров'я та фізична досконалість - продукти часто тривалої та наполегливої праці. Для початку треба перевірити в якому стані знаходиться організм жінки. Для цього використовують спеціальний тест під назвою «Грація». Він заснований на встановленні рівня фізичних якостей: гнучкості, рухливості, сили та спритності, які є невід'ємними від понять граціозність та жіночність.

Тест вміщує в себе 10 вправ. На виконання кожної з них відводиться 15 секунд. Якщо жінка не встигає вкластися в цей час - бали не нараховуються.

В.п. - з.с. На голові лежить закрита книга. Присідання до доторкання сідницями п'яток. За кожне присідання - один бал.

В.п. - сидячи на підлозі, ноги фіксовані під шафою. Нахили вперед та назад, торкаючись спиною підскоки. За кожен рух вперед та назад - один бал.

В.п. - сидячи на підлозі, ноги прямі, руки в опорі ззаду. На рівні стоп покласти носову хустинку, пальцями правої ноги візьміть хустинку. Зігніть ногу, потім розігніть, випустіть хустинку. Те саме лівою ногою. За повний цикл руху однією ногою один бал.

В.п. - о.с. Біля правої ступні покласти на підлогу книгу. Стрибки через книгу. За стрибок туди та назад - один бал.

В.п. - упор лежачи перед кріслом на відстані витягнутої руки. Покладіть на крісло спочатку праву руку а потім ліву. За рух обома руками - один бал.

В.п. - сидячи на підлозі, ноги прямі, в руки візьміть рушник (за кінці). Заведіть руки за спину, переносячи їх через голову, нахилитись вперед та перекиньте рушник через стопи. За кожний цикл - один бал.

В.п. - лежачи на підлозі на животі перед кріслом на відстані витягнутої руки. Взяти з підлоги книгу та покласти її на крісло. Зняти з крісла та покласти на підлогу. За кожний цикл - один бал.

. В.п. - сидячи на підлозі, ноги прямі, руки в опорі ззаду. Біля          правої стопи покласти книгу. Пронесіть ноги над книгою.           Торкніться підлоги та поверніться у вихідне положення. За кожний цикл -    один бал.

В.п. - лежачи на підлозі на животі, голова, руки та ноги трохи підняти над підлогою. Перекотитися на бік без допомоги рук та ніг, потім на спину, знов на бік та на живіт. За кожний цикл - один бал.

В.п. - упор присівши, права нога пряма та відведена назад. Змінити положення ніг. За кожну зміну положення - один бал.

Якщо жінка набрала в сумі 120 балів, то в неї легка хода, добра постава, граціозні рухи. Зазвичай одразу домогтись такого результату важко, необхідні тренування. Регулярні заняття фізичними вправами, що звернеш на розвиток рухових якостей, допоможуть їй досягти необхідних результатів.

На початку занять фізичними вправами основна увага приділяється вихованню правильної постави, виправленню можливих викривлень хребта, зміцненню м'язів живота, тазового дна, спини, поясниці, зв'язок, що фіксують внутрішні органи, а також підвищенню життєвої ємкості легенів. В подальшому по мірі втягування організму у фізичну роботу, можна включати у тренувальні заняття вправи, що звернені на розвиток фізичних якостей: гнучкості, спритності, швидкості, сили, витривалості. Фізичні вправи, що застосовуються жінками, багато в чому схожі з вправами для чоловіків, але навантаження в заняттях жінок значно менші.

3.2 Силова підготовка жінки

Силова підготовка жінки повинна починатися з загальнорозвиваючих вправ, які направлені на розвиток сили основних груп м'язів (10 - 12 вправ), які слід повторювати в кожному занятті. У подальшому можна збільшувати кількість повторів та темп виконання цих самих вправ. А вже далі приступають до виконання комплексу загально розвиваючих вправ з обтяженням невеликої маси (гантелі 1 - 2 кг, набивний м'яч вагою 2 - 5 кг, мішок з піском - 4-6 кг). Кількість повторів цих вправ та темп також поступово збільшують.

Та треба пам'ятати, що вправи з гантелями та іншим обтяженням не слід використовувати до 15 - 16 років, в той час як для силовий занять із власною вагою тіла таких протипоказань не існує, крім випадків, пов'язаних зі станом здоров'я.

Норми навантаження потрібно встановлювати з урахуванням індивідуальних особливостей, не забувати при цьому про необхідні відповідні об'єми навантажень рівню функціональних можливостей та фізичної підготованості, а крім того враховувати стан статевої сфери та циклічний характер процесів, що відбуваються у статевому апараті Реакція організму на фізичні навантаження в цей період також не однакові. Дівчинам та жінкам, у яких немає відхилень у протіканні менструального циклу, рекомендовано продовжувати заняття фізичними вправами. Виходячи з свого самопочуття, їм можна дещо знизити в ці дні загальне фізичне навантаження, виключити вправи, що викликають підвищення внутрічеревного тиску, які збільшують кровотечу (стрибки, вправи для м'язів живота і т.п.), також вправи на воді. У всіх інших випадках, коли менструація супроводжується тими чи іншими больовими відчуттями та іншими відхиленнями від норми, заняття фізичними вправами слід припинити, обмежуючись лише гігієнічною гімнастикою зі зменшенням навантаження. Таким чином необхідно робити й жінкам, у яких менструація почалася у віці 17-18 років.

В заняттях для жінок особливе значення набуває принцип поступового збільшення навантаження. Тривалість дії цього принципу, порівняно з заняттями для чоловіків, збільшується приблизно у двічі. Кожне наступне заняття для жінок повинне проводитись тоді, коли повністю відновлюються витрачені сили.

Жінкам, які фізично не підготовлені, слід уникати в заняттях різких струсів, миттєвих напружень та зусиль в момент приземлення, ривка, підйому власного тіла на знарядді і т.п. Такі короткочасні зусилля та навантаження, як правило, дуже великі і тому можуть викликати негативні зміни у внутрішніх органах. Далі будуть наведені приклади фізичних вправ, які направлені на виховання правильної постави, пластики рухів, укріплення м'язів живота та тазового дна та кілька інших. Ці вправи доволі прості за своєю координаційною структурою, більшість із них не потребує спеціального обладнання. Для їх виконання потрібні стілець, гімнастична палиця, ковдра на підлозі. Займатися ними можна на протязі багатьох років, періодично змінюючи темп, кількість повторів, ускладнюючи та доповнюючи новими.

Вправи, що виправляють та формують поставу, необхідно виконувати щоденно. Особливо важливо при цьому - утримувати правильну поставу під час рухів.

.2.1 Вправи для виховання правильної постави

. В.п. - стоячи спиною до стіни на відстані кроку, опертися на неї лопатками та руками, зігнутими за головою, 1- 4- вдихнути, прогнутися вперед; 5- 8- видихнути, повернутися у вихідне положення. Темп повільний. Повторити 6-8 разів.

. В.п. - стоячи обличчям до стіни на відстані кроку, опертися прямими руками нарівні грудей. 1-4- роблячи вдих, прогнутися вперед, торкнутися грудьми стіни; 5- 3- повернутися у вихідне положення, видих. Темп повільний. Повторити 6-8 разів.

. В.п. - з.с, руки за голову. 1- 4- підняти руки вгору, відвести їх до відмови назад, прогнутися, праву ногу назад на носок; 5-8- повернутися у вихідне положення. Темп повільний. Повторити 6-8 разів.

. В.п. - стійка ноги на ширині плечей, у опущених руках гімнастична палиця. 1-2- вдих, нахил вперед, прямі руки підняти якомога вище; 3-4- видих, зігнути спину, руки опустити вниз; 5- 6- вдих, нахил вперед, підняти прямі руки; 7- 8- видих, повернутися у вихідне положення. Темп повільний. Повторити 4-6 разів.

. В.п. - стоячи на колінах, відтягнути носки та сісти на п'ятки, руки за голову. 1-2- вдих, піднятися з п'яток і, розводячи прямі руки в сторони долонями догори сильно висунути таз вперед; 3- 4- видих, повернутися у вихідне положення. Темп повільний. Повторити 10 -20 разів.

. В.п. - стоячи на колінах. 1- 2- вдих, відвести ліву ногу назад, руки вгору, сильно прогнутися; 3- 4- видих, повернутися у вихідне положення; 5-6- вдих, зробити те саме, що й на 1-2, відводячи назад праву ногу; 7- 8- видих, повернутися у вихідне положення. Темп повільний. Повторити 8-12 разів.

. В.п. - стоячи на колінах, упор прямими руками в підлогу. 1-прогнутися, підняти пряму ліву ногу, відвести голову назад - вдих; 2- видих, повернутися у вихідне положення. Темп повільний. Повторити 8-10 разів, почергово піднімаючи ліву, а потім праву ногу.

. В.п. - лежачи на животі, упор на зігнутих руках; 1-2- вдих, розгинаючи руки, не відриваючи стегон від підлоги, закинути голову назад, максимально прогнутися; 3- 4- повернутися у вихідне положення - видих. Темп повільний. Повторити 8-10 разів.

. В.п. - лежачи на спині, руками упертися у підлогу біля голови (кісті розвернуті до ніг, лікті направлені догори), ноги на ширині пліч, зігнуті в колінах. 1- 4- виконати «міст»; 5- 8- повернутися у вихідне положення - видих. Темп повільний. Повторити 4 - 6 разів.

. В.п. - лежачи на животі, ноги зігнуті в колінах, руками взятися за гомілковостопні суглоби (максимально розслабитися). 1-4-піднімаючи груди та стегна, прогнутися якомога більше; 5- 8-повернутися у вихідне положення - видих. Темп повільний. Повторити 8 - 10 разів.

.2.2 Вправи для розвитку пластики рухів рук та тулубу

В.п. - стоячи, ноги на ширині пліч, руки попереду долонями вниз, пальці розведені. 1-4 - почергове з'єднання кожного пальця лівої руки з її великим пальцем; 5-8 - те саме пальцями правої руки; 9-12 - те саме пальцями обох рук. Повторити 8-12 разів. Дихання повільне.

В.п. - стоячи, ноги на ширині пліч, руки попереду, пальці переплетені. 1-2 - зігнути кисті вправо; 3-4 - те саме вліво. Повторити 10-12 разів. Дихання повільне.

В.п. - те саме, що й у вправі 2. 1-2 - викрут руками вниз - вперед; 3-4 - в.п. Повторити 12-14 разів. Дихання повільне.

В.п. - з.с, Руки догори, долонями зовні. 1- розслабитись, «упустити» кисті; 2- розслаблено «упустити» передпліччя; 3-4 - розслаблено «упустити» повністю руки; 5-8 - в.п. Повторити 14-16 разів. Дихання повільне.

В.п. - о.с. Руки догори, кисті скруглені- 1- опускаючи ліву руку долонею догори, повернути голову вліво і, дещо відкинути її назад, подивитись на кисть; 2- те саме правою рукою; 3-4 - в.п. Починати в повільному темпі та довести до швидкого. Дихання повільне.

В.п. -з.с, руки в сторони долонями догори; 1-2 - дугами перед собою з'єднати долоні тильною стороною; 3-4 - те саме дугами назад - в.п. Повторити 6-8 разів, чергуючи виконання у повільному та швидкому темпі. Дихання повільне.

В.п. - з.с, нахил вперед, руки розслаблено вниз. 1-2 - випрямитись, прогнутися, руки в сторони, долоні догори - вдих; 3-4 - в.п- - видих. Повторити 6-8 разів, чергуючи виконання у повільному та швидкому темпі.

В.п. - з.с. 1-2 - відвести праву руку в сторону, ліву вперед, праву ногу вперед на носок, вдих; 3-4 - в.п. - видих; 5-8 - те саме вліво. Повторити 6-8 разів у кожну сторону.

В.п. - права нога попереду на носку, руки на поясі. 1-2 - стрибком змінити положення ніг. Темп середній. Повторити 12-16 разів. Дихання повільне.

В.п. - сидячи на п'ятках, руки попереду. 1-2 - встати на коліна, руки в сторони, долоні догори, прогнутися - вдих; 3-4 - в.п. - видих. Повторити 10-12 разів.

.2.3 Вправи з гумовим бинтом

В.п. - стоячи спиною до дверей на відстані одного кроку, взяти в руку кінці натягнутого бинта (бинт пройде через ручку дверей), руки вниз. 1 - праву руку вперед; 2 - в.п; 3-4 - те саме лівою рукою. Повторити 8-12 разів кожною рукою. Темп середній. Дихання повільне.

В.п. - те саме, що й у вправі 1, руки в сторони. 1 - руки вперед - видих; 2 - в.п. - вдих. Повторити 14 -16 разів. Темп повільний.

В.п. - те саме, що й у вправі 2. І-4 - руки схрестити перед грудьми - видих; 5-8 - в.п. - вдих. Повторити 6 - 8 разів. Темп повільний.

В.п. - те саме, що й у вправі 1, але руки зверху. 1- праву руку вперед; 2- ліву руку вперед; 3- праву у в.п.; 4- ліву у в.п. Повторити 6-8 разів. Дихання повільне.

В.п. - те саме, що й у вправі 4,1-2 - руки вперед - видих; 3- 4 - в.п. - вдих. Повторити 8-10 разів. Темп середній.

В.п. - широка стійка, ноги окремо (під нотами проходить бинт), тулуб нахилено вперед; прогнутися; голову трохи підняти, руки опустити, в руках кінці бинта. 1-2 - руки в сторони - видих; 3-4 - в.п. - вдих. Повторити 8 - 10 разів. Темп повільний.

В.п. - те саме, що й у вправі 6, 1-2 - праву руку вгору; 3-4 - в.п.; 5-6 - ліву руку вгору; 7-8 - в.п. Повторити 6-8 разів кожною рукою. Темп середній. Дихання повільне.

В.п. - те саме, що й у вправі 6. 1-2 - руки вгору - видих; 3-4 - в.п. - вдих. Повторити 8-10 разів. Темп повільний.

.3 Залежність формування фізичних здібностей від анатомічних факторів

Особливості виховання фізичних якостей у жінок залежать від особливостей побудови жіночого організму, стану полової сфери і циклічного характеру процесів, що відбуваються у половому апараті.

Порівнювальні дані фізичного розвитку і функціональних можливостей жінок нижче, ніж у чоловіків. Жінка має менший зріст у порівнянні з чоловіком, і у зв'язку з цим, менші розміри верхніх та нижніх кінцівок; але довжина хребта по відношенню до загальної довжини тіла в неї більша. Ці особливості пропорцій жіночого тіла складають вигідні умови рівноваги при опорі на нижні кінцівки, але зменшують швидкість пересування, висоту стрибків, обтяжують виконання вправ з опорою на руках.

М'язи у жінок розвинуті менше, ніж у чоловіків; вони зазвичай не перевищують 35% маси тіла. Втім, жирова тканина жінки значно перевищує по масі жирову тканину чоловіка. У жінки вона складає 28%, у чоловіка -18 %.

Ширина тазу у жінки дещо більша, ніж у чоловіка, а ширина плечей -менша. Клубові кістки таза у жінок більш розвернуті. В наслідок цього тазостегнові суглоби відстоять дещо далі один від одного. Ці особливості пропорцій жіночого тіла визначають більш вигідні умови при опорі на нижні кінцівки, але обмежують швидкість пересування, та висоту стрибків.

Жінки більш гнучкі у порівнянні з чоловіками, бо в них більш еластичні зв'язки та краща здатність м'язів до розтягування. їм відносно легше виконувати рухи з великою амплітудою.

Також є різниця між серцем жінки та чоловіка. Якщо у чоловіка серце в середньому важить 300 - 400 г, то у жінки - не більше 220 г. Менший об'єм і розмір серця жінки приводить до того, що й об'єм крові у жінок, що викидається серцем у аорту при кожному скороченні, менша, ніж у чоловіків, а серцебиття - частіше. Тому у жінок, порівняно з чоловіками при виконанні стандартної роботи відмічається дещо вища ЧСС і ЧДР, але менш виражене підвищення артеріального тиску і більше тривалий час відновлення.

Помітна різниця у жінок та чоловіків і в темпах фізичного розвитку. Так, наприклад, зростання довжини тіла, м'язової сили, життєвої ємності легенів на протязі одного й того ж проміжку часу у чоловіків більше ніж у жінок. Жінки мають більшу ніж чоловіки емоційну збудливість, їм властива підвищена чутливість.

Велике значення для здоров'я жінки мають вправи, які сприяють зміцненню м'язових груп, що забезпечують нормальний стан внутрішніх полових органів, живота, тазового дна. Недостатній розвиток м'язів живота може привести до відвислості його та появи грижових випинань в області білої лінії, а недостатній розвиток м'язів тазового дна - приводить до зміни положення внутрішніх органів, їх випадінню.

У зв'язку з особливостями розташування м'язів тазового дна діяти на них можливо лише посередньо, за допомогою вправ для м'язів живота, грушоподібного м'яза, м'язів тазу. Механізм цього впливу складається в тому, що скорочення м'язів живота викликає періодичне підвищення і зниження внутрішньочеревного тиску та почергове збільшення і зменшення навантаження на дно малого тазу, тим самим примушуючи то скорочуватись, то розслаблятися відповідні м'язові групи, при цьому можуть бути ефективними такі вправи:

Піднімання ніг на гімнастичній стінці;

Піднімання ніг на дивані з обтяженням (3-5 кг) та без нього;

Кидання набивного м'яча із-за голови з положення лежачі на підлозі;

Підйом тіла догори з положення лежачи на підлозі без обтяження і з обтяженням (3-5 кг), ноги закріплені;

Піднімання ніг с положення лежачи на животі на дивані;

З положення лежачи на спині хват руками за ніжки дивану, ноги підняти під кутом 90 °, опускати ноги на підлогу вліво та вправо;

Підкидання набивного м'яча догори з початкового положення сидячі та напівсидячи;

Із положення сидячи на п'ятах сідати зліва та з права від гомілок без допомоги рук;

Пересування на сідницях вперед та назад без допомоги рук.

.3.1 Комплекс вправ для зміцнення м'язів черева та тазового дна

Вихідне положення - сидячи на підлозі, ноги зігнуті в колінах, руками тримати носки стоп. 1 - розвести коліна, здійснюючи опір руками; 2 - В.п. повторити 8-10 разів. Темп повільний.

В.п. - лежачи на правому боці, ноги витягнуті. 1 - зігнути ліву ногу, максимально підтягнути коліно до живота; 2 - В.п. повторити 8-10 разів. Темп повільний.

В.п. - лежачи на лівому боці. Теж саме, що й у вправі 2, але правою ногою.

В.п. - теж, що й у вправі 2, але зігнути обидві ноги.

В.п. - лежачи на спині, ноги зігнуті в колінах, ступні максимально наближені до сідниць, руки по сторонах. 1 - покласти ноги вліво, намагаючись доторкнутись колінами підлоги; 2 - теж саме, але вправо. Повторити 8-10 разів у кожну зі сторін. Темп повільний.

В.п. - сидячи на підлозі, ноги прямі у сторони, руки в сторони. 1 - нахилитися вперед, повертаючи тулуб вправо, доторкнутися правою рукою ступні лівої ноги; 2 - в.п.; З - теж саме, тільки в інший бік; 4 - в.п. Повторити 8-10 разів у кожну сторону. Темп повільний.

В.п. - лежачи на спині, ноги підтягнути доверху, таз підведений, руки утримують його. 1 - 4 - рухи ногами, які нагадують їзду велосипедом, - «велосипед». Повторити 10 - 12 разів. Темп повільний.

В.п. - сидячи на підлозі, руки в опорі ззаду, ноги прямі разом. 1 - нахилитися вперед, розводячи ноги у сторони. Руками доторкнутися підлоги; 2 - в.п. Повторити 10 - 12 разів. Темп середній.

В.п. - лежачи на підлозі, руки доверху, ноги прямі разом. 1 - 2 - підняти тулуб, нахилитися вперед, ноги в сторони, руками торкнутися підлоги; 3 - 4 - в.п. Повторити 6-8 разів. Темп середній.

В.п. - стоячи на колінах, руки на поясі. 1 - сісти на підлогу з лівої сторони; 2 - в.п.; З - теж саме, тільки в інший бік; 4 - в.п. Повторити 6-8 разів у кожний бік.

Крім вправ, що були приведені вище, можна застосовувати різні стрибки та підскоки (їх треба виконувати багаторазово із середньою інтенсивністю), а також біг та кидання м'ячів. Вправу треба виконувати повільно, зосереджено. Дихання не затримувати, дихати глибоко й розкуто. При витягуванні тіла (стоячи, лежачи, сидячи) робити вдих, при роботі прямих м'язів живота - видих. Ніколи не слід напружуватися ані при вдиху, ані при видиху. Дихати треба так, щоб повітря свободо входило до легенів і так само свободо виходило. Глибокий вдох робити слід не більше ніж два-три рази, інакше може запаморочитися голова. Після цього необхідно відпочити та знову повторювати.

.3.2 Вправи на оволодіння правильним диханням

Вихідне положення. - Підняти руки через сторони вгору та прогнутися. Зімкнути руки на потилиці, випнути груди вперед, та відхилити голову назад. Зробити максимально можливих видих з тим, щоб як можна більше сповільнити легені від повітря. Після чого, вільно й глибоко вдихнути (тривалість вдиху - 5 - 7 с). Спочатку заповнити нижні частини легенів, опускаючи діафрагму та випинаючи живіт, потім - верхні, піднімаючи груди та ключиці. У такій послідовності необхідно робити й видих.

Теж саме, що й у вправі 1,але у положенні лежачи, ліва рука долонею на грудях, права - на животі. Це дозволяє краще контролювати послідовність фаз вдиху та видиху.

Виконується стоячи, сидячи, лежачи. Після енергійного видиху вільно вдихнути через ніс. Грудна клітина при цьому розширюється головним чином в сторони та трохи назад. Під час видиху ребра змикаються та повітря витискається через ніс. Середня частина легенів наповнюється повітрям, живіт та ключиці лишаються майже нерухомими.

. Вправа складається з трьох фаз. У положенні стоячи, розслабитися, зробити видих. Перша фаза - рухом діафрагми випнути живіт і зробити вдих. Друга фаза - розширити нижні ребра та середню частину грудної клітини, наповнюючи її повітрям. Третя фаза - розширити всю грудну клітину, максимально вдихнути, при цьому живіт підтягнути. Видих виконувати через ніс поступово, ритмічно, вільно, у тій самій послідовності, що й вдих: сильно втягнути живіт, потім стиснути ребра та наприкінці опустити плечі.

. Сидячи, зробити видих. Видихнувши все повітря, почати вдих. Головний момент в цій вправі - видих. Виконувати його треба швидко через ніс, не затримуючи повітря після вдиху. При вдиху швидко розслабити м'язи живота, опустити діафрагму. В цьому положенні беруть участь лише діафрагма та м'язи живота. Тривалість видиху складає четверту частину від тривалості вдиху. Видих - швидкий,        сильний, активний, вдих -вільний, тривалий.

Незалежно від фізичного стану жінка багато уваги повинна приділяти ходьбі, як найбільш універсальній фізичній вправі. Ходити слід так, щоб винесена вперед права або ліва нога с випрямленим коліном опускалася спочатку на п'ятку, потім плавним перекачувальним рухом на всю ступню; одночасно виноситься вперед ліва або права рука. У той час як ступня правої ноги перекочується з п'ятки на носок, ліва нога трохи згинається у коліні, п'ятка відривається від землі, нога підіймається, виноситься з прямим коліном вперед, ставиться на землю - спочатку п'ятка, потім перекочуванням вся ступня і так далі. Тулуб при цьому прямий, голова піднята, довжина кроку не більше 60 см.

3.3.3 Комплекс вправ для вироблення правильної ходи

В.п. - руки на поясі. 1 - підняти праву п'ятку, вагу тіла перенести на ліву ногу; 2 - опустити праву п'ятку, одночасно підняти ліву, переносячи вагу тіла на праву ногу. Повторити 20 - 30 разів кожною ногою. Темп середній. Дихання довільне. Рухи повинні бути плавними, ковзними.

В.п. - стійка ноги урізнобіч, руки догори. І - 2 - мах правої ноги (починаючи зі стегна) вперед - назад, вагу тіла перенести на ліву ногу, ліва рука вперед, права назад; 3 - 4 - те саме лівою ногою. Повторити кожною ногою 10 - 12 разів. Теми середній. Дихання довільне.

В.п. - стійка ноги урізнобіч, права нога ззаду, ліва - попереду. 1 - 2 - перенести вагу тіла на ліву ногу, права овзаючим рухом вперед, руки урізнобіч, глибокий вдих; 3 - 4 - в.п., права нога попереду - видих; 5- 8 - те саме на праву ногу. Повторити 18-20 разів. Темп середній. Рухи виконувати м'яко, елегантно.

В.п. - руки в сторони. 1 - 4 - махи правою ногою вперед, не опускаючи на землю, одночасно права рука назад, ліва - вперед; - 6 - в.п.; 7 - 8 - два кроки на місці; 9 - 11 - потужний мах лівою ногою, торкнутися долоні правої руки; 12 - в.п.; 13 - 24 - те саме лівою ногою. Повторити 8-10 разів у кожну сторону. Темп середній. Дихання повільне.

В.п. - ноги перехрещені на носках, права попереду, руки на поясі. 1 - стрибок догори, лікті та плечі з силою назад; 2 - в.п. - ліва нога попереду и т.д. Повторити 20 - 30 разів. Темп середній. Дихання довільне. Приземлення м'яке, пружинячи у колінах.

В.п. - лежачи на животі, руки передпліччями спираються у підлогу.1 -2 - праву ногу догори, прогнутися у поясниці, голову відвести назад - видих; 3 - 4 - в.п. - вдих; 5 - 8 - те саме лівою ногою. Повторити 12-19 разів кожною ногою. Темп середній.

В.п. - сидячи на підлозі, ноги прямі, руки в опорі ззаду. 1 - 2 - праву ногу зігнути в коліні, підтягнути до грудей, головою торкнутися коліна - видих; 3 - 4 - в.п. - вдих; 5 - 8 - те саме лівою ногою. Повторити 10-12 разів кожною ногою. Темп середній. Рух виконувати м'яко, максимально розслаблюючи м'язи ноги, яка повертається у вихідне положення.

В.п. - стоячи або сидячи на стільці. Треба уявити, ніби з середини вашої грудної клітини відходить вперед та дещо доверху, під кутом 45°, трос, який тягне вас доверху. Ваші груди розширюються, плечі самі собою розправляються, спина стає прямою. Ця вправа дає враження вільного, глибокого вдиху, збільшення об'єму легенів. Якщо часто повторювати цю вправу, можна привчити держатись прямо.

В.п. - сидячи на стільці. Підведіть підборіддя, підніміть лопатки та відведіть їх назад. Зробіть глибокий вдих, опустіть лопатки та зробіть видих. Повторити 6-8 разів.

В.п. - стоячи у стінки, щільно притисніться до неї спиною. Проміжок між стіною та поясницею не повинен перевищувати 3-4 см. Притиснувшись до стіни постійте так кілька хвилин.

Розділ 4. Підбір рухової активності

Вибираючи вид заняття, жінка має виходити з того, що режим не може бути однаковим для всіх. Жінки різного віку, мають різний фізичний стан, здатності переносити навантаження, не можуть керуватися загальними рекомендаціями, їм необхідно шукати свій власний оптимальний режим рухової активності.

.1 Види оздоровчої активності

З точки зору спеціалістів, найбільш раціональними руховими навантаженнями є тривалі та повторні, бо вони дають ефект довготривалої післядії на різні системи організму.

Основний фактор позитивної дії м'язової роботи - зміна кисневого режиму. На приклад, людина у стані спокою витрачає 250 мл кисню за хвилину. При фізичному навантаженні цей показник збільшується у нетренованих людей до 2500 - 3000 мл за хвилину. Так, бачимо, що з багатьох видів фізичних вправ найбільш корисні ті, виконання яких потребує високого рівня споживання кисню. Цього можна досягти при виконанні рухів, що викликають ритмічні скорочення та розслаблення м'язів з повторенням фаз рухів. Такі рухи викликаються виконанням циклічних видів вправ. Тому жінкам можна рекомендувати такий режим, при якому оздоровчі програми головним чином направлені на збільшення споживання кисню, який є фізіологічною основою витривалості та фізичної працездатності. Це типові вправи аеробного характеру. Аеробіка цінна різноманіттям.

Жінки більш здатні до праці, яка потребує витривалості, ніж чоловіки. Вона менша на зріст та легше ніж чоловік - це означає, що вона витрачає менше сил при тривалій праці. її м'язи за своєю структурою краще адаптовані до цього, а обмін речовин більш продуктивний. Щодо психіки, то в жінок більше терпіння, вони легше переносять труднощі.

Важливою є та обставина, що споживання організмом кисню є тим вище, чим більше груп м'язів бере участь у роботі.

Заняття різними фізичними вправами має оздоровче значення. Але перед тим, як зробити вибір, необхідно ознайомитися з кількома з них, що дають добрій загальнозміцнюючий результат.

Серед оздоровчих засобів, які позитивно діють на серцево-судинну систему, зміцнюють м'язи тіла, приводять до позитивної перебудови в організмі. На перше місце можна поставити оздоровчу ходьбу, біг, плавання. Вони прості, доступні для любого віку, їх скрізь можна застосувати, та вони не потребують особових матеріальних витрат.

Оздоровчою ходьбою можуть займатися всі жінки без виключення, тим більше, якщо вони до цього не займалися іншими видами спорту. Вони зможуть зміцнити здоров'я, позбавитися зайвої ваги тіла, підготувати організм до подальших навантажень. Споживання енергії при швидкій ході, не поступаються такому при повільному бігу.

Чергування ходьби та бігу особливо корисне для непігідготовлених жінок.

Біг - це циклічна форма м'язової роботи. При якій всі системи організму - нервова, серцево-судинна, дихальна, та інші - функціонують в певному ритмі напруги та розслаблення. Підчас бігу до роботи: додаються основні групи м'язів.

Плавання - своєрідний специфічний оздоровчий засіб, який повністю неможливо замінити ніякими іншими фізичними вправами. Плавання позитивно впливає на всі основні функції організму, особливо на дихальну та серцево-судинну системи. Під дією плавання збільшується вентиляція легенів, дихання стає більш глибоким. Вода справляє масажний ефект, що покращує трофіку шкіри, підвищує її еластичність, робить її упру гою. Тому заняття плаванням приносять велику користь здоров'ю людей.

Наведені вище види спорту сприяють розвитку таких якостей, як витривалість та сила, але не можна забувати й про гнучкість та координаційні здатності. Заняття гімнастичними вправами повинні стати обов'язковими, бо вони розвивають гнучкість - якість, що встановлює жіночність. Гнучкість хребта, рухливість та амплітуда рухів суглобів багато в чому встановлюють стан здоров'я, тому гнучкість необхідно підтримувати протягом всього життя.

Щоб підтримувати високу функціональну здатність найважливіших органів, потрібно постійно примушувати їх до роботи зі значним навантаженням.

Перед кожним заняттям намагайтесь зробити розминку протягом 10-15 хвилин. Розминка необхідна для підготування м'язів та серця до майбутньої роботи.

.2 Прояви перетренування та самоконтроль

Займаючись, треба звертати увагу на самопочуття. Якщо після занять з’являється м’язова біль в ногах, руках, спині, черевному пресі, - це природній стан. Фізичні навантаження повинні викликати певну втому, а больові відчуття свідчать про перебудування м’язової тканини.

Якщо кволість, втома довго не проходять, де означає, що навантаження надто велике; зробіть перерву в заняттях, влаштуйте кілька днів відпочинку.

Прояви перетренування:

Важке почуття в кінцівках, різкий біль підчас виконання вправ;

Безсоння, відсутність апетиту, головний біль, нудота після заняття;

Постійне відчуття втоми, кволість після заняття навіть через 1-2 дні;

Втрата інтересу до занять;

Вранці ЧСС у стані спокою більше ніж на 10 у 1 хвилину перевищує звичайний показник.

Самоконтроль. Динаміку зміни стану організму під дією оздоровчої фізкультури необхідно контролювати.

Лікарський контроль проводиться у медичних установах за допомогою комплексу спеціальних клінічних та фізіологічних методів, що дозволяють встановити результати занять, реакцію організму на навантаження, їх наслідки та інше. Таке поглиблене обслідування достатньо проводити один - два рази на рік, щоб корегувати заняття.

.2.1 Тести самоконтролю

За станом свого здоров’я можна слідкувати щодня за допомогою таких тестів:

ЧСС (як показник стану серцево-судинної системи). Для встановлення ЧСС покладіть II та III пальці на шию або зап’ястя зі сторони великого пальця. Притисніть так, щоб відчувати чітке биття пульсу. По секундній стрільці годинника підраховуйте кількість ударів за 15 секунд та помножте на 4, отримаєте ЧСС за 1 хвилину. Регулярні та правильні заняття фізичною культурою поступово зменшують ЧСС у спокої.

Розмова та спів. Цим тестом можна користуватися, не користуючись підрахуванням ЧСС. Якщо підчас виконання тренувального завдання ви зможете говорити або проспівати мелодію, це означає, що навантаження достатнє. При більшій інтенсивності зазвичай дихання стає більш важким, ЧСС збільшується; потрібно знизити темп вправ.

Маса тіла - важливий показник стану організму. Зважуватися краще вранці натще, без одягу та взуття.

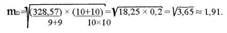
Зрістовно-ваговий показник встановлюється при помноженні ваги тіла в кілограмах на 100 та розділенні отриманого добутку на зріст у сантиметрах. Нормальним вважається показник в межах від 32 до 40.

Сила м’язів ніг (навантаженнями є присідання). З вихідного положення стоячи ноги разом повільно присісти на всю ступню, потім повернутися у в.п. Рахувати кількість повторів.

Сила м’язів рук (навантаженням є віджимання).лягти на підлогу лицем вниз, долоні на ширині плечей, лікті зігнуті, тіло нерухоме, випрямити руки. Повернутися у в.п. Рахувати кількість повторів.

Сила м’язів черевного пресу - лягти на спину, підняти прямі ноги під кутом 45°. Рахувати час утримання ніг в такому положенні (в секундах).

Тест на гнучкість:

Лежачи на спині, коліна зігнуті;підтягнути праве коліно та торкнутися ним носа, при цьому голова та верхня частина тулубу згинаються назустріч коліну; повторити те саме в інший бік.

Сидячи, права рука зігнута в лікті над плечем за спиною; намагайтеся схопити цю руку знизу - ззаду лівою рукою; змініть положення рук;

Лежачи на животі, прогнутися та схопити руками ступні за підйом; намагайтеся прогнутися так, щоб можна було покачатися вперед-назад.

Один раз на місяць замірювати сантиметровою стрічкою окружність талії, грудної клітини на видиху, правого та лівого стегна, тазу.

Приступаючи до занять, ці дані слід внести у щоденник, а через 1-1,5 місяця повернутися до цих тестів та проаналізувати зміни.

.2.2 Форми реєстрації даних самоконтролю

У відповідності із завданнями оздоровлення передбачаються і форми записів.

Необхідно відвідати лікаря та записати дані медичного контролю та рекомендації, отримані у поліклініці.

Необхідно відмітити результати самостійного тестування. Вони будуть вихідними даними.

Написати вид вибраних оздоровчих занять.

Необхідно записати дату занять, вихідну ЧСС, ЧСС після занять, тривалість та характер занять.

Написати про самопочуття та настрій.

Контролювати зміни маси тіла. Для цього треба мати вдома підлогові ваги. Також треба накреслити графік зміни маси тіла. Для цього треба провести горизонтальну пряму, на якій через 0,5 см поставити дати зважування, а по вертикальній прямій зробити сантиметрову розмітку; відрізок в 1см дорівнює масі 0,5кг. Якщо крива йде вниз - маса тіла знижується, якщо підіймається - треба терміново корегувати харчування.

.3 Оздоровча ходьба

Ходити - це означає займатися природнім видом фізичної діяльності, де можна регулювати швидкість та відстань. Навантаження на опорно-руховий апарат тут менше ніж при бігу, що дуже важливо для повних жінок, які мають більшу схильність до травм.

Починати заняття оздоровчою ходьбою можна у всяку пору року, одягаючись відповідно погоді, в любий час дня, у парку, в лісі, на стадіоні, можна ходити і просто тротуаром.

Для занять оздоровчою ходьбою не обов'язково виходити на тренування, можна отримувати запланований об'єм навантаження дорогою на роботу або з роботи, підчас обідньої перерви. Траси для ходьби можуть бути різними за довжиною, рельєфу місцевості та покриттю. Зі збільшенням довжини дистанції та швидкості будуть збільшуватися і навантаження на гомілковостопні та колінні суглоби, зв'язки, м'язи ніг. Тому необхідно позбутися взуття: воно повинне бути м'яким та зручним. Ходити можна у звичайному одязі.

4.3.1 Дія оздоровчої ходьби

Бадьора та енергійна ходьба дають організму добре навантаження, готуючи його до більш інтенсивної роботи. Для розвитку витривалості

ходьба не менш ефективна, ніж легкий біг, плавання та інші види спорту, звичайно, якщо займатися нею достатньо тривалий час та у швидкому темпі. Ходьба зміцнює м'язи ніг, тренує серце та дихальну систему, допомагає позбутися зайвої ваги тіла за рахунок енергетичних витрат підчас руху. Наприклад, 50 - 60 хвилин ходьби у швидкому темпі призводить до витрачання 300 кал.

При ходьбі масу тіла намагайтеся розподіляти рівномірно по всій стопі. Спочатку ногу ставлять на п'ятку з переходом на всю ступню. Руки тримати природно та вільно, кисті та пальці розслаблені. Голова пряма. Високо піднята. Ходити слід ритмічно, рівним, розмірним кроком. Жінки ходять краще за чоловіків, тому що вони більш пластичні, м'які, гнучкі.

.3.2 Методичні рекомендації при ходьбі

У спортивній медицині та лікувальній фізкультурі прийняті такі характеристики ходьби в залежності від темпу та швидкості:

Дуже повільна ходьба - 60 -70 кроків за 1 хвилину (2,3 - 3 км/г),

Повільна ходьба - 70 -90 кроків за 1 хвилину (3-4 км/г),

Середня ходьба - 90 -120 кроків за 1 хвилину (4-5,5 км/г),

Швидка ходьба - 120 - 140 кроків за І хвилину (5,5 - 6,5 км/г),

Дуже швидка ходьба - більше 140 кроків за 1 хвилину (більше 6,5 км/г).

Спеціалісти пропонують використовувати два види ходьби:

Навчальна оздоровча ходьба. Виконують її звичайним кроком. Підчас виконання контролюють дихання, ЧСС, довжину та частоту кроків.

Оздоровча ходьба. За її допомогою здійснюють розвиток працездатності та загальної витривалості, активацію обміну речовин; у роботу додаються великі м'язи та суглоби.

Починати слід з повільної ходьби. Перші дні треба ходити повільно, навіть якщо здається, що це є легким заняттям. Можна використовувати таку схему: 5 - 10 хвилин звичайної ходьби, потім 3-5 хвилин швидкої, та знову 5-10 хвилин звичайної ходьби. Якщо немає відчуття втоми, то треба повторити 3-4 рази. Втома та навантаження на м'язи дадуть про себе знати трохи пізніше. В наступний раз, якщо нічого не буде боліти, можна збільшити темп. Здоровій жінці середніх років рекомендовано проходити 3 -3,5 км за 40 - 50 хвилин.

Практично кожна здорова жінка, яка не має відхилень серцево-судинної системи, незалежно від віку, може довести швидкість ходьби до швидкої та навіть дуже швидкої. ЧСС при швидкій оздоровчій ходьбі - 100-110 за 1 хвилину.

Ефективним засобом оздоровлення ходьба може бути за умов достатньої тривалості та високого темпу.

Приступаючи до занять оздоровчою ходьбою, треба знати, що одна година ходьби є для жінки нормою. Але до виконання цієї норми треба підготуватися. Перед кожним тренувальним заняттям треба робити загальну розминку протягом 10-15 хвилин та перші 5-10 хвилин йти у повільному темпі.

Перевірка підчас ходьби:

Поперек подається вперед та випрямляється, тоді голова та спина займають правильне положення.

Крок робити від стегна, а не від коліна.

Крок не повинен бути надто довгим, відстань між п'яткою виставленої ноги та пальцями іншої ноги - не більше довжини стопи.

Плечі розправлені, для цього їх потрібно підняти, відвести назад та опустити, при цьому розправляються й груди.

М'язи черевного пресу напружені, живіт підтягнутий.

При правильному положення тіла при ходьбі укріплюються м'язи черевного пресу та спини, сідниць.

У заключну частину тренувальної програми рекомендовано долучати повільну ходьбу протягом 5 - 10 хвилин, вправи на розтягування, розслаблюючі та дихальні вправи.

Табл.4.3.1 Програма занять ходьбою для початківців. (С. Розенцвейг, 1985)

Тиждень

Відстань, км

Час, хв

Швидкість, км/г

1-й день

1,6-4,8 1,6-3,2 (максимум)

40

4-4,8 4,8

2-й

1,6-4,8

60

4-4,8

3-й

4,8

60

4,8

4-й

4,8-5,6

60

4,8-5,6

5-й

5,6

60

5,6

6-й

6,4

60

6,4

7-й

6,4

60

6,4

3-й

7,2

60

7,2

9-й

7,2

60

7,2

10-й

8,0

60

8,0

11-й

8,0

60

8,0


Слід пам'ятати, що для досягнення тренувального ефекту потрібно займатися не менш ніж 3-4 рази на тиждень, тривалість заняття 40 хвилин.

Якщо рекомендована програма буде заважкою, то виконувати її потрібно у більш повільному темпі. Для цього потрібно збільшити час, особливо це доцільно для жінок невеликого зросту.

Підготувавши свій організм за допомогою оздоровчої ходьби, можна переходити до інших видів рухової активності.

.4 Ходьба та біг

Це дуже розповсюджена методика оздоровчих занять. Суть її в тому, що частина дистанції долається легким бігом. Потім чергуються ходьба та біг. Довжина відрізку ходьби та бігу може бути різною та встановлюватись самостійно, в залежності від підготованості. Дозування тренувального навантаження здійснюється по довжині та кількості відрізків бігу.

Перевага цієї методики у зменшенні небезпеки перенапруження. Чергуючи відрізки, що долаються з великими витратами енергії (біг), з дистанціями дня ходьби, відбувається регулювання дихання та зниження навантаження на організм.

Підчас ходьби можна виконувати вправи для дихання та розслаблення, що сприяють прискоренню процесів відновлення. Одне з основних правил: на ходьбу треба відводити в 2 - 3 рази більше часу, ніж на біг. Це необхідно для відновлення дихання.

Заняття слід проводити 3 рази на тиждень. Довжину відрізків бігу або ходьби встановити важко, якщо займатися не на стадіоні. Потрібно орієнтуватися за годинником, що не зовсім зручно, тому можливо повільно бігати, доки дихання не стане важким, потім перейти на ходьбу, а коли дихання відновиться:, знову бігти і т.д.

У таблиці 4 наведене поступове зростання бігового навантаження на початковому етапі занять.

Таблиця 4. Програма занять ходьбою та бігом (С. Розенцвейг, 1985)

Тиждень

Час бігу, хвилини

Час ходьби, хвилини

Кількість повторів

1-й

1

10

10

2-й

1,5

2

9

3-й

2

2

8

4-й

3

2

6

5-й

3(5)

2

4(1)

6-й

5

3

4

7-й

5

2

4

8-й

6(5)

3(2)

1(3)

9-й

6

2

4

10-й

8(6)

3(2)

1(2)

11-й

8

2

3

12-л

10(8),(5)

3(2),(3)

1(1),(1)

13-й

10

4

2

14-й

10(5)

3(жодної)

2(1)

15-й

10(6)

2(жодної)

1(2)

16-й

10

1

3

17-й

30 (без відпочинку)




.4.1 Вплив оздоровчого бігу на стан здоров’я жінки

Біг - природна форма фізичних вправ, він дозволяє зміцнити м’язи ніг, тазу, зв’язки та сухожилля, тренує серце, судини, дихання. Прискорення кровообігу підчас бігу сприяє окисленню жирових речовин у м’язах. Тому біг можна назвати кращім засобом для позбавлення від зайвих кілограмів, які приносять багато неприємностей жінкам.

Заняття оздоровчим бігом є типовим аеробним навантаженням, тому нетреба бігати швидко. Не швидкість, а тривалість дистанції допоможе розвинути витривалість.

Займатися оздоровчим бігом можна всім жінкам, окрім тих, що страждають на такі захворювання: вроджені вади серця; нестача кровообігу; різкі розлади серцевого ритму; тромбофлебіт нижніх кінцівок; гострі та хронічні захворювання, запальні процеси.

.4.2 Техніка бігу

При зайнятті оздоровчим бігом не потрібне спеціальне вивчення техніки. Найбільш придатною є природна манера рухів. Але є загальні положення, які необхідно враховувати приступаючи до занять.

Ноги треба намагатися ставити або на всю стопу, або з п’ятки, руки при цьому дещо зігнуті в ліктях та розслаблені, розслабленими повинні бути м’язи обличчя та верхня частина тулуба, інакше плечі будуть здійснювати обертальні рухи, що призведе до неефективності витрачених зусиль. Для контролю підчас бігу потрібно отряхувати плечима та кистями, щоб мати впевненість, що вони розслаблені. Напружені руки та плечовий пояс роблять рухи при бігу обмеженими, що призводить до збільшення задишки. Тулуб при бігу слід тримати під невеликим природнім нахилом вперед.

Дихання підчас аеробного бігу повільне. При повільному рівномірному бігу дихати лише через ніс можна в тому випадку, коли біг триває не більше 2-5 хвилин. Після цього дихати можна і ротом, бо виникаюча при тривалому бігу необхідність організму в кисні лише носовим диханням не забезпечується. При бігу не треба дивитися собі під ноги, опускати голову, бо це ускладнить дихання.

Одяг для бігу. Для занять бігом потрібні спортивний костюм та спеціальне взуття для кросового бігу. Взуття повинні бути на розмір більші, тому що потрібно вдягати вовняні шкарпетки. Одяг повинен відповідати погоді.

У теплу погоду можна бігати у тонкому костюмі. Коли на вулиці прохолодно, краще надіти вовняний костюм. У дощову та морозну погоду добре бігати у куртці з водонепроникної тканини, шапочці та рукавичках.

.4.3 Методичні вказівки при заняттях оздоровчим бігом

Є багато варіантів оздоровчого бігу. Найлегші з них передбачають на першому занятті обмежитись 30-60 секундами бігу. Нескладний варіант програми оздоровчого бігу надає M.M. Aмосов, 1978. Програма розрахована на 12 тижнів (таблиця 5)

Таблиця 5. Програма оздоровчого бігу за Амосовим

Тиждень

Хвилини

 

1

2

 

2

3

 

3

4

 

4

5

5

6

6

7

7

8

8

11

9

13

10

15

11

18

12

20


Це досить легкий біг - швидкість трохи вища, ніж при швидкій ходьбі. Так поступово треба довести пробіжки до ЗО хвилин. Саме це і потрібно для зміцнення м’язів, серцево-судинної системи та зниження маси тіла.

Перед тим, як приступити до бігу, слід робити легку розминку протягом 10-15 хвилин, щоб розігріти м’язи, підготувати свій організм до бігового навантаження. Потім потрібно почати дистанцію з ходьби протягом 5-7 хвилин, поступово збільшуючи темп та переходячи на біг.

Після бігу також необхідно спокійно пройти 1 - 15 хвилин, доки не відновиться дихання. Неможна відразу зупинятися, а тим більш сідати на лавицю чи траву. Мине час, м’язи зміцняться, збільшаться функціональні можливості організму.

Спеціалісти рекомендують додавати по 10 - 15 хвилин до одного чи двох занять, тим самим збільшити час пробіжок; додавати одне заняття в тиждень, залишаючи ту саму тривалість (ЗО хвилин), що збільшує тижневу норму на 3,5 - 4 км.

Такі додатки застосовувати обережно, чергуючи важкі та легкі заняття, щоб організм встиг звикнути до нового стану та не відчував сильної втоми. Період пристосування до змінних навантажень у кожної жінки різний. Одним необхідно 3-4 місяці, а іншим - 1-1,5 роки; деяким такий режим зовсім не підходить.

Перевантаження - це не велике навантаження, а надмірне, тобто до такого навантаження дана людина не готова. Любий біг може бути надмірним навантаженням, якщо він перевищує можливості організму. Чи відповідає навантаження можливостям організму, можна встановити за ЧСС. Цей показник свідчить про те, як серцево-судинна система реагує на тренувальну програму.

Треба підрахувати ЧСС на початку бігу, підчас його, підраховувати час відновлення ЧСС після закінчення бігу.

Після закінчення бігу ЧСС протягом 10 секунд утримується на тому ж рівні, що був підчас бігу.

.5 Плавання

Лікарі вважають, що плавання - один з найблаготворніших та корисних видів спорту, займатися яким радять майже всім.

Протипоказаннями до занять плаванням є: сечокам'яна та жовчнокам'яна хвороби, туберкульоз, злоякісні новоутворення, виразкова хвороба шлунку та дванадцятипалої кишки, захворювання очей та органів слуху, пов'язані із запальними процесами.

Горизонтальне положення тіла та тиск води створюють полегшені умови для роботи серцево-судинної системи. Виконання плавальних вправ та рухів сприяє гармонічному розвитку всіх м'язів, збільшує рухливість у суглобах, зміцнює м'язи спини. Стан майже повної невагомості впливає благотворно на більшість органів та систем організму людини. Так, у воді значно полегшується невиробнича робота м'язів, знижуються напруга зв'язочного апарату, навантаження на хребцевий стовбур. В воді не потрібно витрачати енергію на підтримання певної пози, можна дати відпочинок опорно-руховому апарату.

Утруднені умови виконання вдиху та видиху у зв'язку з опором води сприяють розвитку органів дихання у плавців. А заспокійлива дія води та розмірність рухів є доброю психічною та фізичною розрядкою.

Рухи у воді та масаж тіла водою запобігають запаленню клітковини та виникненню варикозного розширення вен, надають шкірі м'якість та еластичність за рахунок зволоження. Специфічні умови водного середовища потребують більшої тепловіддачі організму. Тому у воді витрачається більше енергії, ніж на суші. Тут легше добитися високої ефективності при виконанні роботи, навіть при наявності зайвої ваги. У худих людей плавання стимулює збільшення підшкірного жиру, що разом зі збільшенням сили та об'єму м'язів також сприяє покращення постави.

4.5.1 Елементи техніки плавання

Техніка спортивних способів плавання складається: із старту, плавання дистанцією та поворотів.

Техніку любого зі способів плавання можна умовно поділити на складові частини: положення тіла, рух ногами та руками у поєднанні з диханням. Кожний спосіб плавання має специфічні елементи техніки.

При плаванні тіло плавців витягнуте у поверхні води. Таке положення тіла зменшує опір води і, відповідно, сприяє просуненню вперед. Правильне положення тіла залежить від положення голови та повноцінного вдиху. Якщо голову високо підіймати над водою, то ноти опускаються, що викликає надмірну напругу м'язів плечового поясу.

Правильне дихання при навчанні плаванню є одним з найбільш складних елементів. Ускладнення викликає видих, який у всіх способах, за виключенням плавання на слині, виконується у воду. Підвищений тиск води на тіло потребує зусиль для виконання видиху. Тому підчас навчання плаванню треба звертати увагу на повний видих у воду.

Для вдиху потрібно достатньо швидко, не змінюючи положення тіла, підняти або повернути голову в сторону. Вдих виконується через широко відкритий рот. Робити вдих через ніс нераціонально, бо при цьому краплі води потрапляють до носоглотки, порушують дихання та навіть викликають задуху.

При плаванні дихання координують з рухами рук та ніг, характерними для даного способу.

.5.2 Способи плавання та їх характеристика

Існують 4 способи плавання: кроль на грудях, кроль на спині, брас, батерфляй.

Оздоровче плавання краще за все виконувати одним із способів. Ще краще, оволодіти двома способами. У заняттях їх можна чергувати.

Кроль на грудях.

Витягнуте тіло розташовується: у поверхні води, таз занурений у воду, на стільки, щоб ступні не виходили з води. Дуже важливе положення голови. Голова повинна бути опущена у воду, погляд спрямований влеред-вниз. Рівень води проходить між бровами та лінією волосся. Підчас плавання спостерігаються коливання тіла уздовж подовжньої осі направо та наліво. Це зумовлено необхідністю робити вдих та гребкові рухи руками. Рухи ногами виконуються почергово у вертикальній площині вверх-вниз. Рухи ніг починаються в тазостегновому суглобі, продовжуються гомілкою та закінчуються батогоподібним ударом ступні.

Підготовчий рух вверх виконується прямою ногою та лише у завершальній фазі вона дещо згинається у стегні, коліні та гомілці. Удар ногою вниз забезпечує просування вперед та є основним. При цьому нога розгинається у колінному суглобі та наприкінці гребка - у гомілковостопному суглобі.

Розмах рухів ногами невеликий - 40 - 50 см між гомілковостопними суглобами. Рухи ногами виконуються вільно та ритмічно. Рухи руками при плаванні кролем для легкості засвоєння поділяють на фази:

гребок у воді;

пронос над водою.

Рука занурюється у воду вільним рухом. Лікоть трохи зігнути, долоня повернута вниз та входить у воду попереду однойменного плеча. Правильна послідовність занурення руки у воду: кисть - передпліччя - плече.

Після того як рука занурилася у воду та майже повністю випрямилася починається гребок. Кисть захоплює воду, а рука, згинаючись у ліктьовому суглобі створює опірну поверхню. В цьому русі лікоть займає високе положення - найкраще положення для початку гребка.

В основній частині гребка лікоть приводиться до тулуба. Кисть переміщується спереду назад з найбільшою швидкістю. Закінчується випрямленням руки у ліктьовому та променевому суглобах, кисть проходить біля стегна.

Пронос руки над водою починається з підняття ліктя, потім плеча, кисті. Рука, зігнута у ліктьовому суглобі, вільно проноситься над водою.

Гребкові рухи двома руками виконуються почергово; в момент, коли одна рука закінчує гребок, інша входить у воду.

Дихання здійснюється з поворотом голови вправо або вліво в той момент, коли рука, в сторону якої виконується вдих, закінчує гребок.

Після вдиху голова повертається у вихідне положення. Як тільки обличчя опиниться у воді, починається видих.

Кращим варіантом поєднання рухів руками, ногами та дихання є такий: на один вдих-видих виконується два гребка руками та шість рухів ногами.

Кроль на спині.

Тіло займає витягнуте положення, майже паралельне поверхні води. При плаванні на спині тулуб ритмічно повертається у бік гребка, голова вільно лежить на воді.

Рухи розслабленими ногами виконуються від стегна. Рух знизу-вверх здійснюється за рахунок передньої групи м'язів стегна, а рух зверху-вниз - за рахунок скорочення м'язів сідниць.

Рухаючись вниз, нога випрямлена у колінному суглобі; піднімається вверх захльостувальним рухом стегна, потім гомілкою та стопою.

Просування вперед здійснюється за рахунок руху ноги вверх. Рух зверху-вниз сприяє утриманню тазу у поверхні води та урівноваженню коливань тулуба та плечей навколо подовжньої осі.

У воду руки вкладають зазвичай прямо на лілії плеча. Кисть розвертають так, щоб мізинець був внизу та першим торкався води. Гребок починається прямою рукою, потім кисть захоплює воду та згинається у ліктьовому суглобі, рука випрямляється в лікті та швидким рухом назад-вниз закінчує гребок; долоня при цьому звернена до стегна.

Узгодження рухів обох рук таке: по закінченні гребка однією рукою інша повинна починати гребок, інакше порушується рівномірність плавання.

Вдих та видих відбуваються через ніс та рот. Підчас проносу однієї руки виконується вдих, підчас проносу другої - видих.

Координація рухів руками та ногами носить шести ударний характер, тобто на два гребка руками приходиться шість рухів ногами та один вдих-видих.

При вивченні техніки плавання на спині застосовують уявний рахунок.

Брас є найбільш популярним способом оздоровчого плавання. Засвоєння його техніки не викликає великих ускладнень; пропливати їм можна великі відстані, при цьому енергії витрачається не багато.

При плаванні брасом тіло плавця зберігає положення, близьке до горизонтального. Голова для вдиху трохи підіймається над водою, що викликає деяке опускання тазу та зміну положення тіла.

Ноги при плаванні брасом рухаються одночасно та симетрично. Для швидкого засвоєння руху ногами поділяють на фазу підтягування та фазу відштовхування.

При підтягуванні ноги згинаються у колінах і, у меншому ступені, в тазостегнових суглобах, а розслаблені стопи підтягуються до тазу. Рухи ногами виконуються з повним прискоренням до закінчення фази підтягування. Підчас розвороту стоп коліна також розводяться у сторони та починають рух назад, переганяючи стопи. Це створює умови для найкращої опори при відштовхуванні.

Рухи у фазі відштовхування виконуються за рахунок випрямлення ніг у колінах та тазостегнових суглобах. Швидкість руху стоп назад поступово збільшується, ноги з'єднуються, носки відтягуються.

Рухи руками у брасі виконуються одночасно та симетрично. В.п.: руки витягнуті вперед долонями вниз та з'єднані. Руки одночасно розводять у сторони - вниз, захоплюють ними воду, а лікті немов утримують на місці. Створюється початкове положення гребка з «високим» ліктем. Потім швидкість руху рук зростає, вони все більше згинаються у ліктьових суглобах та рухаються вниз-назад. Гребок закінчується на рівні плечей, лікті приводяться до тулуба. Руки плавно розгинаються у ліктьових суглобах, кисті наближаються одна до одної та виводяться вперед для наступного робочого руху. Треба спостерігати, щоб пальці рук були разом для зменшення опору води. Рухи руками - головне у координації при плаванні брасом.

Для вдиху голову підіймають над водою, вдих виконують через рот. Потім голову опускають у воду обличчям вниз та виконують видих. Вдих відбувається підчас гребка руками, а видих - при виведенні рук вперед.

.5.3 Методичні рекомендації при плаванні

Починаючи заняття, необхідно пам'ятати, що корисність та емоційність оздоровчого плавання залежать від самопочуття, відповідності навантаження фізичному стану, різноманітності використаних засобів плавання.

Перед кожним заняттям треба проводити розминку на сущі протягом 10 - 15 хвилин. До розминки входять загально розвиваючі вправи (махи руками та ногами в різних площинах, оберти головою, тулубом та тазом, різні нахили стоячи та сидячи) та імітація вправ плавців (рухи ногами та руками, як при плаванні кролем та брасом, на спині).

У воді спочатку треба пропливти кілька відрізків повільно, щоб підготувати організм для наступних навантажень.

Поступові збільшення навантажень проявляються в тому, що від заняття до заняття (або через 1 - 2 уроки) збільшується (або зменшується) довжина дистанції плавання. У кожному конкретному випадку існує своя оптимальна дистанція плавання. Залежить вона від індивідуальних особливостей та рівня фізичного розвитку.

4.5.4 Програма занять плаванням для початківців

Таблиця 6. Програма занять плаванням для початківців (С. Розенцвейг, 1985)

Тиждень

Відрізки дистанції, м

Загальна дистанція, м

1-й та 2-й

4 x 25

100

3-5-й

4 х 50 або 2 х 100

200 200

6 - 15-й

8 х 50 або 4 х 100

400 400

16 - 23-й

6 х 100

600

24-31-й

3 х 200 або 4 х 200

600 800

32-й

2 х 400 8 х 100 2 х 200

800  800  800 або  800 м без зупинки


Коли засвоєно дистанцію 800 метрів безперервного плавання, то треба поступово доводити її до 1000 метрів. Таку дистанцію треба пропливати у помірному темпі, рівномірно, без прискорень та ривків.

Спеціалісти рекомендують 1000 м безперервного плавання як оптимальну оздоровчу дистанцію для жінок середнього віку.

Наведені вище комплекси вправ, оздоровчої ходьби, бігу, плавання потрібні навіть не для формування та тренування, скажімо, окремих специфічних можливостей, а для нормального фізичного формування жіночого організму, підвищення адаптаційних можливостей жінки, підготування для майбутнього материнства...

Розділ 5. Реагування кардіологічної сфери на фізичні навантаження

Фізичне навантаження оказує великий вплив на функціонування серцево-судинної системи організму.

.1 Пульс та частота серцевих скорочень

Для самоконтролю можна орієнтуватися на дані, що наведені в таблиці 7.

Таблиця 7. Дані для самоконтролю при підрахуванні ЧСС при фізичних навантаженнях

Вік, років

ЧСС, за 1 хвилину

20

140-170

25

137-160

30

133-162

35

135-157

40

126-152

45

123-149

50

119-145

55

60

112-136

65

108-132

70

105-128


Якщо ЧСС не досягає нижньої межі норми, це означає, що навантаження не несе тренувального ефекту, якщо виходить за верхню межу, то навантаження надмірне та в цьому випадку можливі негативні наслідки.

Якщо жінка має зайву масу тіла, то оздоровчі програми слід розпочинати з ходьби або плавання.

Можна орієнтуватися також і за часом відновлення ЧСС після бігового навантаження. Якщо через 10 хвилин після бігу ЧСС повертається до норми, то навантаження відповідає здібностям (табл.8)

Таблиця 8. Дані для самоконтролю при підрахуванні ЧСС після фізичних навантажень

ЧСС після бігу за 10 секунд

Зниження ЧСС протягом перших 10 хвилин після бігу


Навантаження помірне

Навантаження підвищене

Навантаження велике

17

10-12

13-14

15

18

11-13

14

15

19

11-23

14-15

16

20

12-14

15

16

21

13-15

16

17

22

13-15

16

17

23

14-16

17

13

24

14-17

18

19

25

15-17

18-19

20


.2 Утягування та відновлення серцево-судинної сфери

Частота серцевих скорочень (ЧСС) є, самим важливим показником функціональної активності серцево-судинної системи. Організм здатен управляти нею швидко, гнучко та точно. Необхідно правильно оцінювати коливання цього показника у чотирьох якісно різних фазах динаміки: серцевої діяльності. Цими фазами є: І) м'язовий спокій, 2) перехідний процес опрацювання (утягування), 3) стійкий стан або відносно стабільна фаза (стеді-стейт), 4) перехідний процес відновлення (мал. 1)

Розберемо ці етапи почергово.

. Стан відносного м'язового спокою. У стані м'язового спокою ЧСС має певні варіації, які добре проявляються при безперервному записі серцевих скорочень на спеціальному приборі -кардіотахографі.

Час

Мал. 1. Фази динаміки ЧСС при фізичному навантаженні: ЧСС в 1 хвилину

Коливання ритму серця в умовах м'язового спокою пов'язані з дихальними рухами, а також з регуляторними хвилями, що мають різну тривалість періоду коливання. Крім того, на цей фон нашаровуються зсуви, викликані зовнішніми подразниками або є результатом відображення психічної діяльності піднаглядного. Однак такі коливання ритму у спокої можуть бути дуже виразними, перевищуючи іноді навіть 20 - 30 ударів на хвилину. Характерно, що при роботі з ЕКГ кривими такі коливання ритму не кидаються у очі та можуть залишатися непомітними.

Тому велике значення мають динамічні спостереження, порівняння даних ЧСС у тої самої спортсменки в різні періоди тренування. При цьому слід звернути увагу на забезпечення стандартності умов виміру (проведення досліджень в певний час дня, бажано після дня відпочинку, прийому їжі, забезпечення стандартної температури приміщення та ін..). Тільки так можна отримати дані, які мають суттєве значення для високо кваліфікованих спортсменів.

. Перехідний процес опрацювання (утягування). Перехід від стану спокою до максимально швидких рухів здійснюється зі сторони локомоторного апарату майже миттєво, менше ніж за 1 секунду, ЧСС також дуже швидко реагує на збудження, її різке прискорення починається через 1-2 секунди після старту. Початкове прискорення або так званий ініціальний підйом здійснюється за відносно правильною траєкторією, не зважаючи на те, що крива в найвищій частиш може мати деякі виступи. Перехідний процес утягування по ЧСС може мати два варіанти - це: 1) періодичний тип регулювання; 2) аперіодичний або неперіодичний тип регулювання перехідного процесу.

Графічно ці типи можна представити, як показано на мал. 2.

Мал. 2. Типи регулювання перехідного процесу, де 1 - періодичний тип регулювання, та 2 - аперіодичний тип регулювання

У кожної людини може мати місце той чи інший варіант перехідного процесу в залежності від характеру збудження. Якщо збудження протягом еволюції добре відпрацьовано, то організм реагує на це аперіодично. Якщо важко передбачити вихід збудження, то організм має пере реагувати та здійснювати це по періодичному типу. Крім того, на малі збудження легше вмикається періодичний тип регуляції, на великі - неперіодичний тип.

Тривалість перехідного процесу утягування; залежить від величини (потужності) фізичного навантаження. Чим вище потужність виконуваного навантаження, тим більше часу займає перехідний процес.

. Стійкий стан. У сучасній функціональній діагностиці ця фаза ЧСС у відповідь на фізичне навантаження має первинне значення. Якщо потрібно відповісти на таке запитання, яка ЧСС у даного спортсмена при навантаженні, скажімо, 150 Вт, то в такому випадку потрібно дати навантаження цієї потужності такої тривалості, щоб утворився відносно стійкий стан - стеді-стейт. Це займає приблизно 2 -З хвилини часу. Це означає, що в такому випадку ЧСС вимірюють лише на 2 або 3 хвилині, коли є впевненість у досягненні стійкого стану.

Фізіологічний рівень ЧСС залежить від тренованості даної спортсменки до виконання навантаження. Чим вища тренованість піднаглядної, тим нижча в неї ЧСС у фазі стійкого стану. Це найважливіша закономірність при оцінюванні адаптації до виконання фізичного навантаження по ЧСС.

Вимірюючи ЧСС в фазі стійкого стану на кожному ступені навантаження при ступінчастому її підвищенні получимо графік залежності ЧСС від ступеню навантаження (мал. 3)

Мал. 3. Залежність ЧСС від ступеня навантаження, де 1 - першорозрядник, 2 - майстер спорту

Та слід добавити, що стійкий стан не є абсолютно стійким; при тривалому навантаженні однієї, але достатньо великої напруги ЧСС має тенденцію до зростання.

. Перехідний процес відновлення. Після припинення фізичного навантаження ЧСС починає знижуватись. Однак при короткотривалих та інтенсивних навантаженнях вона може підвищуватися і після навантаження.

Спостерігається також тенденція до зростання максимального рівня ЧСС при зростанні тривалих навантажень. Перехідним процесом відновлення вважають тільки ту частину кривої ЧСС після навантаження, яка починається з моменту припинення навантаження. По «інерції» вегетативних механізмів стійкий стан може кілька секунд зберігати свій рівень і після навантаження, але зазвичай не більше 10 секунд. Далі спостерігається швидкий спад.

Головна фізіологічна закономірність, що торкається перехідного процесу відновлення: чим вища адаптованість спортсмена до даного навантаження, тим швидше відновлюється ЧСС.

Потрібна ще більша дослідницька робота, щоб з'ясувати питому вагу кожного значення ЧСС в комплексній оцінці адаптації організму до фізичних навантажень.

.3 Основні показники центральної гемодинаміки

Основними показниками центральної гемодинаміки є хвилинний та ударний об'єми крові та периферичний опір.

Хвилинний об'єм крові (ХОК) - це кількість крові у літрах, що викидається серцем в аорту за 1 хвилину. ХОК у м'язовому спокої знаходиться зазвичай у межах 2-6 літри у хвилину, при максимальних фізичних навантаженнях у добре тренованого спортсмена (що тренується на витривалість) та має відносно велике серце (1200 - 1300 мл) може досягати 30 л на хвилину та вище, а ударний об'єм - 200 мл при ЧСС 180 ударів на хвилину. Як бачимо з цього прикладу, досягнення високих цифр ХОК потребує наявності особових умов - залежить від тренованості цього спортсмена та величини його серця. Чим більший абсолютний та відносний об'єм серця, тим більше ХОК теоретично може бути у цієї людини. Провівши приблизні підрахунки, можна вирахувати відповідність між об'ємом серця та максимальним ударним та хвилинним об'ємом. Вимірюючи об'єм серця, можна заявити, що цей об'єм повинен розділятися між чотирма камерами серця та об'ємом серцевих м'язів. Для кожного ХОК можна вирахувати відповідний йому систолічний об'єм крові (СОК), якщо нам відома ЧСС (мал. 4)

Мал. 4. Максимальні теоретично можливі ХОК (МОК) та СОК в залежності від діастолічного об'єму серця (HV)

Для графічного вираження були представлені ударні об'єми, даними для чого стало припущення, що при ЧСС до 180 / хв. серце може утримувати максимальний систолічний об'єм.

Розрізняють чотири види артеріального тиску: кінцевий систолічний, боковий систолічний, середній динамічний та діастолічний. Кінцевий та боковий систолічний відрізняються один від одного на величину так званого гемодинамічного удару. Гемодинамічний удар - приріст тиску, пов'язаний з перетворенням кінетичної енергії крові в тиск. Виходячи з цього, кінцевий систолічний тиск є сумою потенціальної та кінетичної енергії, що має маса крові, яка пересувається на окремій частині судинної системи. Боковий тиск - статичний компонент систолічного тиску.

Артеріальний тиск у стані м'язового спокою у спортсменів повинен знаходитись у проміжку загально прийнятих норм. Верхньою межею норми для систолічного тиску у людини від 21 року до 60 років є 140 мм рт. ст., для діастолічного - 90 мм рт. ст. При фізичному навантаженні на велоергометрі артеріальний тиск (при великих потужностях) виконаного навантаження може досягати 220 - 240 мм рт. ст.

За характером відновлення артеріального тиску після короткотривалого інтенсивного навантаження розрізняють 5 типів реакції на навантаження. Нормальним вважається нормотонічний тип реакції, інші варіанти - атипічні: гіпертонічний, ступінчастий, дистонічний, гіпотонічний. Типи реакції ЧСС на короткочасне фізичне навантаження показані графічно на мал. 5.

Мал. 5. Типи реакції ЧСС на короткочасне фізичне навантаження- нормотонічний; II - гіпертонічний; III - ступінчастий; IV - дистонічний;V - гіпотонічний

Дня правильного контролю за змінами у жіночому організмі підчас фізичної активності всі ці дані необхідно знати, вміти оцінювати та відстежувати, виміряти та підраховувати та аналізувати.

Розділ 6. Лікарський контроль за жінками

Фізична культура позитивно діє на функціональлий стан жінки, сприяє підготовці її організму до материнства. Встановлено, що у жінок, які займаються фізичною культурою та спортом, вагітність та пологи проходять більш сприятливо. Спортсменки народжують дітей, зріст та маса тіла яких часто вища середніх показників та ці діти мають більш високу стійкість до несприятливим умов зовнішнього середовища, в тому числі до інфекційних захворювань.

Заняття фізичними вправами, спортивні тренування та участь у змаганнях пред'являють підвищені вимоги до жіночого організму. Значною мірою прояв позитивної або негативної реакції на фізичне навантаження залежить від анатомо-фізіологічних особливостей жіночого організму. Тому важливою задачею лікарського контролю є всебічне сприяння раціональної рухової активності жінок.

.1 Порівняльний аналіз фізичних здібностей чоловіка та жінки

Жіночій організм відрізняється від чоловічого не лише за морфологічною та функціональною ознакою, але і за ступенем розвитку основний фізичних якостей - сили, швидкості та витривалості. Менші, порівняно із чоловіками, основні показники фізичного розвитку жінок обумовлюють і менші функціональні можливості жінок за такими показниками, як станова та ручна динамометрія, спірометрія.

Так, сила кисті у жінок в віці 18-25 років у середньому дорівнює 31,5 +4,5 кг, у чоловіків такого ж віку - 50,1 ± 83 кг; станова сила відповідно у жінок дорівнює 58,2 + 15,3 кг, у чоловіків - 141?5 + 16,8 кг. Ці різниці в першу чергу обумовлені тим, що м'язова тканина у жінок складає 32 - 35% маси тіла, в той час як у чоловіків маса м'язів досягає 40 - 44%. Перевага головним чином падає на мускулатури верхніх кінцівок, які у чоловіків значно сильніші, ніж у жінок. У відсотковому відношенні маса м'язів нижніх кінцівок чоловіків та жінок практично однакова. Встановлено, що менша маса м'язової тканини жінок залежить також від більшого вмісту у них води в м'язах. Слабкий розвиток окремих м'язових груп у жінок може слугувати причиною багатьох відхилень у стані здоров'я та фізичного розвитку, таких, як деформація хребта при слабкості м'язів шиї та тулуба, порушення положення матки при слабкому розвитку м'язів черевного пресу та тазового дна. Жирова тканина у жінок виражена у більшому ступені, ніж у чоловіків, складає до 28 % від маси тіла (а у чоловіків до 18 %), У жінок переважне відкладання жирової тканини спостерігається на животі, задній поверхні плечей та стегон, а у чоловіків в основному під лопатками та на гомілках.

Кістковий скелет у жінок розвинутий відносно слабо, окремі його кістки менші, ніжніші, тонші та мають більш глашу поверхню.

Жінка має відносно більш довгий тулуб та відносно короткі руки та ноги, більш вузькі плечі та широкий таз. У жінок загальний центр ваги, що має важливе значення в механізмі переміщення тулуба у просторі, розташований нижче, ніж у чоловіків. Ці особливості будови тіла жінок дають їм перевагу над чоловіками у виконанні фізичних вправ у рівновазі з опорою на нижні кінцівки. В той самий час низьке розташування центру ваги тіла обмежує швидкість бігу, висоту та довжину стрибків.

При розгляді серцево-судинної та дихальної систем виявляється ряд статевих особливостей не лише структури, але і функцій внутрішніх органів. Так, маса тіла у жінок на 10 - 15 %, а об'єм серця - на 22 - 25% менше, ніж у чоловіків. Величина систолічного та хвилинного об'єму кровообігу також відповідно менша на 10 - 15 мл і 0,3 - 0,5 літрів на хвилину.

При виконанні фізичного навантаження серцевий викид у жінок суттєво поступається викиду чоловіків. Внаслідок цього приріст хвилинного об'єму кровообігу в основному йде за рахунок збільшення частоти серцевих скорочень при незначному зростанні ударного об'єму. Такий механізм збільшення ХОК є неекономним та вказує на відносно більш низькі функціональні можливості ССС у жінок порівняно з чоловіками. Цей висновок підтверджують також інші об'єктивні дані: частота серцевих скорочень у жінок в спокої вища, ніж у чоловіків, на 10 - 15 уд / хв., в крові жінок міститься більше води (80,11%), ніж у чоловіків (78,15%). Кількість формених елементів крові, на приклад еритроцитів, у чоловіків в 1мм3 - 5 млн., а у жінок - 4,5 млн., що обумовлює й меншу сумарну площу еритроцитів у жінок майже на 345м2 порівняно із чоловіками. Ця обставина має важливе значення в транспортуванні крові, а відповідно, і в працездатності.

Фізична працездатність, встановлена тестом PWC 170 у нетренованих чоловіків в середньому складає 1000 - 1050 кгм/хв., у жінок відповідно - 600 -650 кгм/хв.

Аналіз дихальної системи показує, що в жінок відмічається у спокої більш висока частота дихання (до 20 - 24 в 1 хв.), менша глибина дихання (на 100 - 150 мл.) і максимальна легенева вентиляція (на 3 - 5 л). Ж€Л менша на 1000 - 1500 мл. Тип дихання в основному у жінок - грудний, у чоловіків черевний. Максимальне споживання кисню у жінок менше на 500 - 1500 мл, ніж у чоловіків такого ж віку.

Внаслідок цих особливостей у жінок при виконанні фізичних навантажень, а також у відповідь на функціональні проби відмічається більше почастішання пульсу, ніж у чоловіків, менш високий підйом систолічного артеріального тиску та більш тривалий відновлювальний період. При цьому атипічні реакції (астенічна, дистонічна) на дозовані фізичні навантаження зустрічаються в них частіше, ніж у чоловіків.

Під впливом систематичних занять спортом різниці у показниках функціональних систем у жінок та чоловіків стають все більш суттєвими. Так, хвилинне споживання кисню у спортсменок дорівнює в середньому 3-4 л/хв., а у спортсменів - 4 - 5 л/хв. Середня артеріовенозна різність по кисню дорівнює 10,8 см3 на 100 мл крові для жінок та 13,1 см3 для чоловіків. Максимальна аеробна здатність у жінок нижча на 25 - 30 %. Тому вправи на витривалість та силу виконуються жінками відносно гірше, при цьому втома у них порівняно із чоловіками настає при роботі з меншим навантаженням.

У жінок менша сила, а також швидкість та витривалість. Разом з тим, жінки з більшою легкістю виконують вправи, що потребують координації, пластичності, відчуття ритму. Слід підкреслити, що жінки витриваліші за чоловіків до довгої монотонної ритмічної праці помірної потужності.

Доступ жінок до занять фізичною культурою та спортом повинен проводитись за суворими показниками за наявності доброго здоров'я, відмінної функціональної готовності, з обов'язковим врахуванням анатомофізіологічних здібностей та фізіологічних періодів життя жінки.

Фізіологічні періоди у житті жінки (менструація, вагітність, післяпологовий період, годування груддю та клімактеричний період) вимагають особливої уваги зі сторони лікаря, що встановлює показання та протипоказання до занять жінкам фізичною культурою та спортом.

.2 Вплив менструального циклу на фізичну активність жінки

Менструація - основна інтегративна ознака появи статевої стиглості. Початок першої менструації в даний час відмічається в основному у 70 % спостережень у віці 11 - 13 років та в значному ступені обумовлені соціально-економічними умовами життя та загально біологічним процесом акселерації росту та розвитку сучасної людини. Прискорення статевого вистигання спостерігається повсюди і не залежить від кліматогеографічних умов. Фаза менструації супроводжується змінами функціонального стану жінки. Це обумовлено тим, що в регуляції менструального циклу приймають участь різні органи та системи організму: серцево-судинна, ендокринна, печінка, нирки. У різні фази циклу неоднакові показники водно-сольового та електролітного обміну. Крім того, жіночі статеві органи, розташовані в малому тазі, мають тісний контакт з внутрішніми органами. Імпульси, що відходять від внутрішніх органів, передаються і на органи малого тазу. Так, в перед- і менструальну фази, а також перед овуляцією жінка може відчувати фізичне напруження, головний біль, біль в поясниці та внизу живота, відмічаються загальне недомагання, в'ялість, розбитість, роздратованість, послаблення уваги, приливи до голови, відчуття холоду або жару, почуття важкості у молочних залозах, іноді спостерігається нудота, розлади функції кишечнику. Всі ні прояви у практиці об'єднуються в такі синдроми: гіпертонічний, гіпотонічний та інтоксикаційний.

Гіпертонічний синдром характеризується головним чином больовими відчуттями, що викликані спазмами судин. Може спостерігатися головний біль типу мігрені, відмічається скованість, погіршення спортивних результатів.

Гіпотонічний - для нього характерна в'ялість, апатичність, загальна слабкість, значне падіння працездатності. Цей синдром частіше всього проявляється в останні 2-3 дня перед менструацією.

Інтоксикаційний - характеризується загальним недомаганням, розбитістю, нудотою, іноді блюванням, сильніші головним болем, іноді високою температурою тіла.

Менструальний цикл протікає без відхилень у 60 - 65 % дівчин та жінок, що займаються фізичною культурою та спортом, в інших випадках спостерігаються різні відхилення, головним чином вегетативні порушення.

При об'єктивному обстеженні в дні менструації може бути виявлене зниження артеріального тиску, зниження ЧСС, падіння показників станової та ручної динамометрії, в крові дещо зменшується кількість еритроцитів та вміст гемоглобіну. Ряд авторів відмічають у більшості здорових жінок (до 90% всіх спостережень) підчас менструації зниження працездатності. Однак у деяких жінок підчас менструації відмічається підвищення працездатності, що дозволяє їм в цей час показувати добрі спортивні результати.

Разом з тим, питання про участь дівчин та жінок в тренуваннях та змаганнях в період менструації повинен вирішуватись суворо індивідуально з залученням лікаря-гінеколога, з обов'язковим урахуванням наявних змін в організмі. Важливо знати характер менструації, кількість втраченої крові. Важливо також з'ясувати, чи тренується спортсменка підчас менструації, як вона переносить навантаження, чи є відхилення у спортивних показниках в різні фази циклу.

Рекомендовано також враховувати «стійкість» та «нестійкість» менструального циклу. Характер стійких менструальних циклів (ритмічність, тривалість та кількість крові що втрачається) стабільний та не змінюється під впливом різних факторів зовнішнього та внутрішнього середовища, в тому числі і занять фізичною культурою та спортом. Навпаки, характер нестійких менструальних циклів змінюється. Встановлено, що серед кваліфікованих спортсменок стійкий цикл спостерігається у 70% випадків, нестійкий - у 30%. Нестійкість в характері менструальних циклів, частіше всього є наслідком надмірного фізичного навантаження, а також емоціональних напряг або захворювань. Необхідно розуміти, що прояв «нестійкості» циклу при звичайно постійній «стійкості» нерідко може слугувати діагностичною ознакою, що вказує на стан перетренування організму.

Ретельний опит спортсменок допомагає проводити лікарське обстеження з оцінкою функціонального стану найважливіших систем організму та встановлення фізичної працездатності методом степ- та велоергометри, при цьому фізичні навантаження, запропоновані жінкам, повинні бути за об'ємом менші, ніж у чоловіків. Так, при степ-ергометрії висота сходинки не повинна перевищувати 40 см, при тесті PWC 170 ї та її навантаження не повинні перевищувати Ni - 300 - 400 кгм/хв., Nn - 600 - 800 кгм/хв., при проведенні функціональної проби Летунова жінки виконують 2-хвилинний біг на місці.

Ряд особливостей має самоконтроль у жінок, що займаються фізичною культурою та спортом. Вони повинні постійно спостерігати за менструальним циклом, оцінюючи його тривалість, ритмічність, кількість втрачаємої крові, наявність або відсутність болю внизу живота, загальне самопочуття. Всі ці дані мають велике значення як для самої жінки, так і для тренера та лікаря в плані проведення лікарського контролю та організації раціонального учбово-тренувального процесу.

Питання про заняття жінок фізичними вправами в менструальну фазу повинно вирішуватись кожен раз індивідуально з урахуванням протікання цієї фази.

На підставі досліджень та опиту практичної роботи можуть бути рекомендовані такі критерії допуску жінок у менструальний період до тренувальних занять та змагань.

Дівчинам, особливо тим, які знаходяться періоді статевого вистигання, також жінкам-новачкам і з нестійкою менструальною функцією в дні менструацій не дозволяється займатися фізичними вправами, тренуваннями та брати участь у змаганнях.

Тренованим дівчинам та жінкам, у яких немає відхилень у менструальному циклі, можуть бути дозволені у фазу менструації заняття фізичними вправами зі зменшеним навантаженням та тривалістю порівняно зі звичними заняттями. В цей період із тренувальних занять повинні бути виключені вправи, пов'язані зі стрибками та іншими сильними струсами тіла, вправи на снарядах, охолодження у воді, сонячні ванни, велоспорт, верхова їзда, тривалий біг. Участь у змаганнях підчас менструації не дозволяється. У виключних випадках з дозволу лікаря в окремих видах легкої атлетики спортсменка може бути допущена до участі у змаганнях.

Дівчинам та жінкам, що мають відхилення підчас менструального циклу, та ті з них в кого недорозвинута статева система, заняття фізичною культурою в дні менструації та за 2 - 3 дні до їх початку не дозволяється. Перевантаження організму в цей період може негативно діяти на всі рівні гормональної регуляції, яка при вказаних змінах носить нестійкий характер.

Дівчини та жінки, які перенесли запальний процес в області малого тазу, не допускаються до участі у змаганнях та тренуваннях доповного їх одужання.

Спортсменкам, які перенесли аборт, дозволяється приступити до учбово-тренувальних занять лише після відновлення менструальної функції.

При наявності порушень менструальної функції можна користуватися приведеними нижче протипоказаннями до занять фізичною культурою та спортом.

Таблиця 9. Показання та протипоказання до фізичних вправ при менструації

Порушення

Соматичні

Психоневротичні

менструальної функції

відхилення

зміни

Виражена

Стан послаблення

Ангіоневроз

дисменорея (незалежно

та виснаження


від її характеру)

організму в результаті



наявності хронічних



хвороб або перенесенні



гострих захворювань



або як результат



недостатнього



харчування та



несприятливих умов



праці та побуту.


Гіперменорея

Функціональна

Стан підвищеної


недостатність серця та

Збудливості нервової


надмірна збудливість

системи.


серцево-судинної



системи.


Гіпоменорея та

Гіпертонія

Істерія та

аменорея


неврастенія

Поліменорея та

Наявність

Різке підвищення

олігоменорея

збільшення

емоціонального


щитоподібної залози

збудження


Разом з тим певна фізична активність (ранкова гімнастика, водні процедури, спортивне тренування в малому об'єму) полегшують протікання менструації.

Всі спроби прискорити або затримати появу менструації шляхом застосування медикаментозних засобів (гормональних препаратів) повинні бути категорично відторгнуті.

.3 Фізична активність під час вагітності та після пологів

Спортивні тренування та змагання з моменту початку вагітності забороняються. Однак фізичні вправи в цей час не лише корисні, але й необхідні вагітним з метою покращення загального стану організму та протікання вагітності. Використовуються спеціальні вправи, що сприяють зміцненню м'язів живота, тазового дна, спини та нижніх кінцівок. При побудові занять необхідно виконувати міри застереження, особливо в перші 3-4 місяці вагітності, у зв'язку з тим, що оболонка плоду може бути ще недостатньо міцно з'єднана зі слизовою оболонкою матки. Виключенню піддягають вправи, що вшивають струс, поштовхи, різкі повороти, які сприяють підвищенню внутрішнього тиску.

В третьому періоді вагітності, на 7 - 8-му місяці, виконуються спеціальні комплекси вправ, що спрямовані на підготовку м'язів черевного пресу та тазового дна до пологового акту.

В післяпологовому періоді в перші 4 - 6 тижнів використовуються спеціальні вправи, що сприяють більш швидкому скороченню матки та зміцненню м'язів живота, тазового дна, підвищенню загального тонусу організму. Заняття фізичною культурою можна починати з 4-го місяця після пологів, дуже обережно підвищуючи навантаження. Тренування та заняття спортом в період годування дитини груддю повинні носити лише оздоровчій характер. Недотримання цих правил може негативно діяти на функції молочних залоз матері яка годує, на кількість та якість молока. Після закінчення годування дитини груддю, але не раніше ніж через 6 місяців після пологів, спортсменка може приступити до тренування, при цьому допуск до змагань дозволяє лікар-гінеколог. Вагітність та пологи, як правило, сприятливо діють на організм жінки та зростання спортивних досягнень, не дивлячись на необхідну перерву у тренуваннях.

Жінка-спортсменка повертається до колишнього тренування після пологів не раніше ніж через 8-10 місяців. Спочатку на протязі 1-2 місяців після пологів вона виконує комплекси лікувальної фізичної культури, потім поступово включає до них вправи з комплексу звичайної розминки. Через 6 міс після пологів вона може починати тренувальні заняття по своїй програмі, але зі значно меншим навантаженням, особливо у вправах на силу та витривалість.

У середньому з моменту припинення спеціального тренування у зв'язку з вагітністю до його поновлення минає 1,5-2 роки. Але навіть при дворічній перерві загальна та спеціальна підготованість поновлюється доволі швидко і досягає попереднього рівня вже через 6-8 місяців.

Розділ 7. Дослідження впливу оздоровчого фізичного тренування на організм жінок

Постановка проблеми. Фізична культура, спорт, фітнес, здоровий стиль життя позитивно впливає на організм жінок, на життєдіяльність.

Виконання фізичних вправ на організованих заняттях, достатні фізичні навантаження, загартування - основні засоби формування здоров’я жінки.

Вивчаючи відмінності жіночого організму та його реакцію на фізичне навантаження, ми розібрали залежність фізичних здібностей від анатомічних і фізіологічних факторів, отримали базову інформацію про реагування серцево-судинної системи на фізичні навантаження. Спробуємо дослідити деякі аспекти впливу оздоровчого фізичного тренування на організм жінок зрілого віку.

Гіпотеза дослідження. Дослідити ефективність впливу активних рухових дій, тренувальних навантажень на заняттях з оздоровчого фітнесу на стан здоров’я і фізичну підготовку жінок. Провести дослідження фізичного стану здоров'я жінок, які займаються у фітнес-групі зі спеціальними оздоровчими програмами. Виявити позитивний вплив занять фітнесом на загальний стан фізичного розвитку жінки, рівень функціональних і рухових можливостей, фізичну підготовленість, корекцію основних форм тіла і функціональних можливостей організму: м’язового стану, форм стегон, талії, грудної клітини, якості гнучкості.

Об'єктом дослідження являються жінки спортсменки, що займаються в групі оздоровчого фітнесу.

Предметом дослідження є загальний стан фізичного здоров'я спортсменок, які систематично займаються в фітнес групі оздоровчого, фізично-корегувального напрямку.

Мета дослідження - дослідити вплив оздоровчого фізичного тренування на функціональний стан організму. Виявити вплив систематичних занять на стан фізичного розвитку, стан здоров’я, рівень фізичних якостей гнучкості жінок зрілого віку (29-34 років).

Завдання дослідження. Для досягнення мети в процесі досліджень вирішити наступні завдання:

Виявити показники рівня якостей фізичного розвитку, жінок, які тренуються на заняттях з оздоровчого фітнесу;

оцінити стан фізичної підготовки жінок, які займаються оздоровчим фітнесом;

визначити рівень функціональних і рухових можливостей, тих які займаються оздоровчим фітнесом;

виявити особливості трансформації фізичної підготовленості жінок і дати аналіз впливу занять спеціальними фізичними вправами досліджуваної групи в процесі експерименту (порівняльний аспект);

визначити корисний вплив фізичної активності на нормальне формування жіночого організму;

навести приклади фізичних вправ для жінок різного віку;

пояснити необхідність тестування та оцінки даних щодо фізичної активності.

Загальна характеристика досліджуваних жінок. Дослідження проводилися у загально-оздоровчій фітнес-групі на базі спортивного клубу «Каскад» м. Горлівки. Було організовано експериментальну і контрольну групу по 10 жінок віком з 29 до 34 років в кожній, які входять до числа основної медичної групи.

Обидві групи займались фітнесом за загальною оздоровчою програмою. Жінки експериментальної групи додатково займались за спеціальною гімнастичною фітнес програмою корегування форми стегон, сідниць, талії (додаток А). Заняття проводилися 3 рази на тиждень. Тривалість одного заняття 90 хвилин.

Тип навантаження - динамічний. Вправи для всіх груп м'язів тіла, крім мімічних.

Заняття обов'язково включають розминку, загальний комплекс вправ, розслаблюючі вправи.

На протязі всього експерименту здійснювався метрологічний контроль основних функціональних фізичних показників стану фізичного здоров’я досліджуваних жінок.

Методи проведення дослідження.

Для проведення дослідження використовувались методи: експерименту, тестування, оцінювання, антропометрії, аналізу, методи математичної статистики.

.1 Методи оцінки рівня якісного стану фізичної підготовки жінок

В роботі були використані наступні методи дослідження:

а) метод антропометричних досліджень (Волков Л.В., 1990 р.)

вимірювання ваги. Вагу тіла вимірювали на медичних вагах з точністю до 100 г. Піддослідна, без взуття, в легкому спортивному костюмі ставала на середину при закрытом замке при закритому замку коромисла. Великою гирею на нижній планці встановлювалася приблизна вага обстеженої, після чого замок відкривався і вага уточнювалася спочатку великою гирею, а потім пересуванням маленької гирьки на верхній планці коромисла.вага фіксувалася в кілограмах, сумуючи показники великої гирі на нижній планці (ціле число) і маленької гирьки на верхній планці (десяті долі килограма).

вимірювання окружності талії, стегон, грудної клітки. Обхват, коло, окружність стегон визначався сантиметровою прорезиненою смужкою, в горизонтальній площині, по найбільш выступаючим частинам ягодиць и в косому напрямку із врахуванням виступу черева. Результати вимірювань записувались у сантиметрах.

б) визначення артеріального тиску у спокої проводилося за методом Короткова. З цією метою досліджуваній на ліве плече накладувалась манжета ртутного сфигланамометра. На ліктьовому згібі, в області проходження артерії, ставився фонендоскоп. Насосом нагнеталося повітря в манжету до тих пір, доки в манометрі показник тиску не підіймався до відмітки 140мм.рт.ст. чи трохи більше. Після цього поступово випускалося повітря з манжетки, що приводило до зниження рівня ртуті в манометрі. Рівень ртутного стовпчику в момент з’явлення току крові і був показником максимального, систоличного тиску. В момент переходу найбільш гучних тонів в тихі фіксувався показник ртуті в манометрі, що відповідає мінімальному, діастоличному тискові. Отримані цифри максимального й мінімального тиску записувалися у вигляді дробі в чисельнику (max), у знаменнику (min) мм. рт.ст.

в) підрахунок частоти серцевих скорочень (пульсу). При пальпаторному методі пульс намацували трьома пальцями: другим, третім. четвертим. Підрахунок починали з моменту пуску секундомера і рахували на мпротязі однієї хвилини.

г) виміри проводилися відповідно до загальноприйнятої методики, приборами, яки пройшли повірку відповідними клеймами у відділеннях стандартів, мір та вимірювальних приладів при Раді Міністрів України;

д) тестування і виміри згідно Положення про державні тести і нормативні оцінки фізичної підготовленості населення України. Постанова кабінету Міністрів України від 15 січня 1996 р. № 80.

ж) для оцінки рівня функціональних і рухливих можливостей обстежуваних нами жінок був використаний метод індексів (Дубогай А.Д.) Розраховувався індекс фізичного розвитку (ІФР) за формулою:

ІФР = Р - (МТ+ОГК),

де Р - зріст стоячи, см;

МТ - вага тіла, кг;

ОГК - окружність грудної клітки, см.

У залежності від отриманої величини індексу, яка порівнювалася зі шкалою (Дубогай А.Д.), жінки розподілились на функціональних і рухливих можливостей: низький, нижче середнього, середній, вище середнього, високий.

з) результати дослідження оброблялись методом математичної статистики. Обчислювались такі параметри: середнє арифметичне значення величини (χ); помилка обчислення середньої арифметичної величини (m); середнє квадратичне відхилення, яке характеризує мінливість ознаки (ð); вірогідність різниці середніх величин (t). Оцінка вірогідність різниці статистичних показників (t) проводилась за критерієм Ст’юдента. Математико- статистичний метод обробки експериментальних даних дослідження за Ст’юдентом у додатку Б.

.2 Хід проведення дослідження

Дослідження проводилось серед двох груп жінок (експериментальної і контрольної), які систематично займались спортивно-оздоровчим фітнесом на протязі шестимісячного тренувального періоду, за загальною, стандартною методичною програмою. Жінки експериментальної групи додатково займалась за спеціальною методичною програмою оздоровчо-корегувального фітнесу.

Протягом дослідження, на заняттях були контрольовані такі показники стану: пульс, артеріальний тиск (AT), вага досліджуваних, зріст досліджуваних, об'єм талії та стегон; при цьому артеріальний тиск та пульс вимірювалися перед початком тренування та одразу після закінчення заняття контрольній та експериментальній груп. У кількох досліджуваних AT та пульс були виміряні після найбільш складних вправ (в середині тренування) з метою встановлення типу реакції на фізичне навантаження, характер відпочинку.

До протокольних таблиць 1,2 занесені статистичні дані досліджуваних жінок, які починали займатись за програмами оздоровчо-корегувального фітнесу експериментальної та контрольної груп: порядковий номер; довжина тіла, зріст - за даними мого особистого вимірювання; маса тіла - перше зважування перед дослідженням (до тренування); показники окружності грудної клітини, стегон, талії, якості гнучкості.

Таблиця 1. Показники стану фізичного розвитку жінок експериментальної групи (на початок занять)

 №

 ПІБ

Показники



Маса тіла, кг

Довжина тіла, см

Окружність грудної клітини, см

Окружність стегна, см

Окружність талії, см

Гнучкість, см

1

А

68,0

162

78

66

80

10

2

В

64,0

158

76

62

76

12

3

Д

77,3

164

82

72

82

11

4

И

75,0

162

82

70

80

12

5

К

68,5

162

78

68

80

8

6

Л

68,1

160

76

66

78

10

7

О

66,0

156

72

64

78

11

8

П

76.2

166

80

74

86

8

9

У

68.2

158

76

68

76

12

10

Ф

68,5

160

78

68

80

11


Таблиця 2. Показники стану фізичного розвитку жінок контрольної групи (на початок занять)

 №

 ПІБ

Показники



Маса тіла, кг

Довжина тіла, см

Окружність грудної клітини, см

Окружність стегна, см

Окружність талії, см

Гнучкість, см

1

Б

58,0

164

80

58

78

11

2

Є

52,0

158

74

54

76

14

3

І

57,3

166

74

56

84

8

4

К

55,0

160

72

54

78

5

М

61,5

162

78

60

82

9

6

О

60,1

160

80

62

80

8

7

Р

56,0

158

72

58

78

10

8

С

66.2

166

82

62

82

8

9

Х

68.0

164

84

64

80

10

10

Я

58,5

158

70

54

76

10


До таблиць 3, 4 занесені статистичні дані стану фізичного розвитку досліджуваних жінок після шестимісячного тренування за програмами оздоровчо-корегувального фітнесу експериментальної та контрольної груп

Таблиця 3. Показники стану фізичного розвитку жінок експериментальної групи (після виконання фітнес програми)

 №

 ПІБ

Показники



Маса тіла, кг

Довжина тіла, см

Окружність грудної клітини, см

Окружність стегна, см

Окружність талії, см

Гнучкість, см

1

А

64,0

162

77

65

77

11

2

В

62,0

158

75

60

72

14

3

Д

74,2

164

80

70

80

13

4

И

72,0

162

80

68

76

14

5

К

65,5

162

76

66

77

10

6

Л

66,0

160

75

67

75

11

7

О

62,5

156

71

63

74

13

8

П

73,4

166

80

72

82

10

9

У

66,3

158

75

66

74

13

10

Ф

63,6

160

76

67

76

12


Таблиця 4. Показники стану фізичного розвитку жінок контрольної групи (після виконання фітнес програми)

 №

 ПІБ

Показники



Маса тіла, кг

Довжина тіла, см

Окружність грудної клітини, см

Окружність стегна, см

Окружність талії, см

Гнучкість, см

1

Б

57,5

164

79

57

76

11

2

Є

51,0

158

74

54

75

14

3

І

56,0

166

73

55

83

9

4

К

55,0

160

72

53

78

12

5

М

60,5

162

77

59

81

9

6

О

59,0

160

80

61

80

8

7

Р

55,0

158

71

57

77

11

8

С

65,5

166

81

61

80

9

9

Х

67.0

164

82

62

79

10

10

Я

58,0

158

70

54

76

11


.3 Результати дослідження

Аналізуючи елементарні статистики експериментальної та контрольної груп до початку і після періоду тренувань, можна стверджувати про корисний вплив фізичної активності на нормальне формування жіночого організму.

Під впливом систематичних рухових дій відбуваються зміни за масою тіла, окружністю грудної клітини, стегон, талії, показників якості гнучкості. Довжина тіла не змінюється.

Спостерігаються зміни до оптимальних розмірів окружності грудної клітини, стегон, талії. Значного зростання зазнають показники маси тіла і руху в основних суглобах (якостей гнучкості).

У таблиці 5 наведені результати аналізу фізичної підготовленості жінок, які підтримують і розвивають свій фізичний стан на достатньому здоровому рівні.

Таблиця 5. Порівняльний аналіз статистичних показників фізичного розвитку жінок до і після активних занять оздоровчим фітнесом



Маса тіла, кг

Довжина тіла, см

Окружність грудної клітини, см

Окружність стегна, см

Окружність талії, см

Гнучкість, см

 ЕГ

χ

69,98/66,95

160,8/160,8

77,8/76,5

67,8/66,4

79,6/76,3

10,5/12,1


ð

4,3/3,9

3,24/3,24

3,24/2,92

3,89/3,89

3,24/3,24

1,29/1,29


m

1,4/1,3

1,08/1,08

1,08/0,97

1,29/1,29

1,08/1,08

0,43/0,43

 КГ

χ

59,26/58,45

161,6/161,6

76,6/75,9

58,2/57,3

79,4/78,5

10,0/10,4


ð

5,1/5,1

2,59/2,59

4,54/3,89

3,24/2,92

2,59/2,59

1,94/1,94


m

1,7/1,7

0,86/0,86

1,5/1,29

1,08/0,97

0,86/0,86

0,64/0,64

t

4,8/4,0

0,58/0,58

0,87/1,61

5,7/5,6

0,27/1,60

0,65/2,2

P=0,05

2,10

2,10

2,10

2,10

2,10

2,10



Значні зміни відбуваються за масою тіла у групі жінок, які додатково займались фітнесом за оздоровчо-коригувальною програмою. Значення t = 4,0 при P < 0,05, говорить про наявність достовірної відмінності між величинами показників контрольної та експериментальної груп і підтверджує ефективність використаних оздоровчо-коригувальних фітнес - методик.

Спостерігаються значні зміни за показниками якості гнучкості. Значення t =2,2 при P < 0,05, свідчить про наявність достовірної відмінності між величинами показників контрольної та експериментальної груп і підтверджує тезу, що шість місяців активних систематичних тренувань відновлюють і підтримують на достатньому рівні якості гнучкості жінок зрілого віку.

Аналіз середніх величин змін тотальних розмірів окружності грудної клітини, стегон, талії, показує, що у жінок, які займаються фізичними вправами, немає значних відмінностей у ході фізичного тренування. Але у жінок, які займались додатково за спеціальною методичною програмою оздоровчо-корегувального фітнесу, спостерігається високий рівень змін показників в оптимальну сторону.

З метою визначення рівня функціональних і рухових можливостей, тих які займаються оздоровчим фітнесом, розраховувався індекс фізичного розвитку обох груп жінок до початку і на кінець тренувального періоду.

Для загального судження про фізичний стан кожної жінки окремо і групі взагалі, а також для подальшого планування навчальної роботи з оздоровчого фізичного виховання ми визначили індекс фізичного розвитку (ІФР) кожній, що досліджувались в групах, результати занесені до таблиці 6.

Це дає змогу визначити корисний вплив фізичної активності на нормальне формування жіночого організму. Активна рухова діяльність, систематичний оздоровчо-корегувальний фітнес, поступово збільшує до середнього та вище середнього рівень функціональних і рухових можливостей жінки.

Таблиця 6. Індекс фізичного розвитку (ІФР)

Група

Рівень функціональних і рухових можливостей, %


Низький

Нижче середнього

Середній

Вище середнього

Високий

ЕГ (початок періоду)

20,0

30,0

40,0

10,0

0

ЕГ (кінець періоду)

0

20,0

50,0

20,0

10,0

КГ (початок періоду)

30,0

40,0

30,0

0

0

КГ (кінець періоду)

10,0

40,0

40,0

10,0

0


В ході дослідження, під час занять фізичними вправами здійснювався індивідуальний оперативний та поточний метрологічний контроль рівня функціонального стану тих, що займалися.

В групі досліджуваних термін тренувань у різних спортсменок був різний, що впливав на показники досліджуваних результатів ЧСС, АТ.

Так, показники ЧСС змінилися внаслідок тренування, при навантаженнях підчас нього. Статистично було доведено, що ці зміни можна вважати за вірогідні. Тобто, отримане підчас тренування навантаження є доцільним та сприяє тренуванню серцево-судинної системи.

Було проведене зважування досліджуваних (перед початком занять) на початку місяця та в кінці місяця (через 30 діб) (табл.7).

Введемо такі значення: m1 - вага на початку дослідження в кг.; m2 - вага наприкінці дослідження в кг.

Таблиця 7. Аналіз коливання ваги досліджуємих жінок експериментальної групи

Досліджувані

m1

m2

Відхилення від середньої арифметичної

Квадрати відхилень




для m1

для m2

для m2

1

58,0

57,8

2,16

2,79

4,66

7,78

2

52,0

51,5

3,84

3,51

14,74

12,32

3

57,3

56,5

1,46

1,49

2,13

2,22

4

55,0

54,7

0,84

0,31

0,7

0,09

5

60,0

58,7

4,16

3,69

17,3

13,61

6

60,1

58,8

4,26

3,79

18,14

14,36

7

43,0

47,4

7,84

7,61

61,46

57,91

8

50,0

49,7

5,84

5,31

34,1

28,19

9

60,0

59,0

4,6

3,99

17,3

15,92

10

58,0

56,0

2,16

0,99

4,66

0,98

558,4

55.01



175,19

153,38

χ

55,84

55,01






Сума квадратів відхилень: 328,57.

Різниця середніх арифметичних: 55,84 - 55,01 = 0,83.

Помилка різниці:


Показник вірогідності: 1,91

Критерій вірогідності: t= 0,83: 1,91=0,43;

Звертаючись до таблиці значень критерію t Ст'юдента (за Р. Шторм, 1970) для рівню значності Р = 0,01 з кількості ступенів свободи,

К = 10 + 10 - 2 = 18, (tst = 2,88). Таким чином, маємо вважати отримані дані як такі, що не є вірогідними. Це визначає, що фізична активність має корисний вплив на нормальне формування жіночого організму за будь якою методикою.

Особливий практичний інтерес мають також такі показники як вага та обхват талії, тим більш, що саме з початком дослідження навантаження для фітнес-групи було збільшене за рахунок доповнення комплексу вправ. Додані були вправи № 8, 14, 17, 20. Раніше (до початку дослідження) комплекс вправ для м'язів стегон, талії та налічував 16 вправ. Тож, додані вправи були новими для досліджуваних.

Як ми бачимо з показників обхвату талії, збільшення навантаження позитивно діє на спалювання залишків жирів, та як наслідок, зменшення обхвату талії в кожному із випадків.

Основною метою наведеного комплексу не є зменшення маси тіла чи обхвату талії, зміни показників яких не є вірогідними згідно проведених підрахунків.

Крім того, необхідно звернути увагу на те, що зміни ці мають односторонній напрямок - вага тіла та обхват талії зменшилися практично в кожному з досліджуваних випадків; найбільшими знову ж таки, були зміни у тих досліджуваних, які займаються менший термін часу. Обхват талії залишився незмінними у досліджуваних К. та П., які мають стаж тренування 7 та 10 років відповідно, найбільші зміни розміру обхвату талії виявлені у досліджуваних О. та С. Такі зміни пояснюються самими досліджуваними тим, що досліджувана С. займається малий проміжок часу, а досліджувана О. час прийому їжі та подовжила час ранкової пробіжки з 40 до 50 хвилин.

Самопочуття підчас тренування та після нього у кожної з досліджуваних поліпшилося, з їх слів: тренування відчутно поліпшили загальний стан та настрій. Крім того, одержана інформація щодо зміни показників ЧСС, AT, ваги, кола грудної клітини, стегон, талії, якостей гнучкості, що сприяє подальшому забезпеченню умов контролю за станом здоров'я; дані будуть внесені до індивідуальних щоденників спортсменок.

Рекомендації для досліджуваних груп можна надати такі:

З метою поліпшення контролю за станом здоров'я необхідно проводити тестування спортсменок не рідше одного разу на місяць; аналіз показників за менший термін, на мою думку, не буде достатньо інформативним, а при підвищенні цього терміну у деяких спортсменок можуть бути пропущені патологічні зміни, а у інших - можливість збільшення тренувального навантаження може бути не адекватним.

Після проведення ретельного аналізу стану здоров'я досліджуваних К. та П. вирішити питання щодо можливого ускладнення тренувальної програми або тренування за індивідуальною програмою, чи переходом до групи спортивного фітнесу.

Подальше тренування досліджуваних О. та С. на даному етапі повинно носити контрольований характер; з метою попередження негативних наслідків та перенавантаження.

Для активізації мотиваційної сфери з метою покращення фізичного здоров’я жінок рекомендуємо розвиток рухливих здібностей здійснювати за допомогою ігрового методу.

жіночий організм фізичне навантаження

Висновки

Отримані підчас дослідження дані допомагають зробити такі висновки:

Результати дослідження ефективності впливу активних рухових дій, тренувальних навантажень, занять зі спеціальними оздоровчими програмами, виявили позитивний вплив занять фітнесом на загальний стан фізичного розвитку жінки, індекс фізичного розвитку функціональних і рухових можливостей, фізичну підготовленість, корекцію основних форм тіла і функціональних можливостей організму: м’язового стану, форм стегон, талії, грудної клітини, якості гнучкості і, показало, що загальна оцінка кожної групи займаючихся жінок і більшість показників мають середній бал.

Загальний стан здоров'я досліджуваних задовільний; підчас дослідницької роботи не були виявлені патологічні симптоми зі сторони ССС та інших органів та систем.

Загальний стан досліджуваних та самопочуття підчас тренування та після нього покращуються; відмічається велика зацікавленість спортсменок у подальшому збільшенні тренувальних навантажень та способів контролю за станом здоров'я, в питаннях прогнозування можливих та отриманих показників.

Програма занять в досліджуваній групі оздоровчого фітнесу є адекватною стану здоров'я спортсменок.

Додаткові заняття за спеціальними методичними програмами оздоровчо-корегувального фітнесу збільшують рівень змін показників в оптимальну сторону.

Продовження терміну тренувань за умов адекватного дозування навантажень знижує ризик серцево-судинних захворювань, та позитивно впливає на толерантність до навантажень.

Об'єм та тип навантаження при виконанні фітнес-програми можуть бути зміненими для індивідуалізації тренувального впливу на окремих спортсменок.

Планування організованого навчання фізичними вправами жінок зрілого віку з врахуванням індивідуального рівня їх фізичного стану забезпечує кожній жінці, при систематичному їх виконанні, оптимальний рівень здоров’я, життєдіяльності, фізичної підготовленості, навчання.

З метою подальшого притягнення жінок до активного образу життя запропонувати початківцям спільні тренування з професійними інструкторами з фітнесу.

Література

1.      Амосов Н.М. Физическая активность и сердце. - К.: Здоровье, 1984.- 230с.

.        Кеннет Купер. Аэробика для хорошего самочувствия. - М.,: Физкультура и спорт, 1989.- 224 с.

.        Литвиненко Т. С. - Всегда в прекрасном возрасте.- К.: Здоровье, 1990.- 134 с.

.        Мотылянская Р.Е., Ерусалимский Л.А. Врачебный контроль при массовой физкультурно-оздоровительной работе. - М.: Физкультура и спорт, 1980. - 96 с.

.        О Вашем здоровье, женщины /под ред. В. И. Кулакова.- М.: Медицина, 1991-224 с.

.        Ракитина Р. И., Подопригора Е. И. - Оздоровительная физкультура для женщин среднего и пожилого возраста.- К.: Здоровье, 1991.- 134 с.

.        Сапин М.Р., Билич Г.Л. Анатомия человека. - М.: ОНИКС-АЛЬЯНС-В, 1999. -462 с.

.        Ткачев Ф. Т.- В поисках мышечной радости. - К.: Здоровье, 1988. - 148 с..

.        Чоговадзе А.В. Спортивная медицина. - М.: Медицина, 1984. - 382с.

.        Эдвард Т. Хоули, Б. Дон Френке. Руководство інструктора оздоровительного фитнеса. - К.: Олімпійська література, 2004. - 275с.

.        Положення про державні тести і нормативні оцінки фізичної підготовленості населення України. Постанова кабінету Міністрів України від 15 січня 1996 р. № 80.

.        Целевая комплексная программа "Фізичне виховання - здоров"я нації", Указ Президента Украины №963-98, Киев.

Додаток А

Комплекс вправ для корегування форми м’язів стегон, сідниць, талії

Застосовувався такий комплекс вправ для корегування форми м'язів стегон, сідниць та талії:

Вправа 1: Мета вправи - зміцнення чотирьохглавого м'яза стегна. Основні моменти вправи:

Виконати вправу треба не за рахунок інерції, а за допомогою сили м'язів передньої поверхні стегна.

Коліно працюючої ноги повинно бути завжди зігнутим.

Вихідне положення:

Сісти на підлогу та опертися прямими руками ззаду;

Зігнути одну ногу під кутом 90° та опертися нею у підлогу;

Іншу ногу дещо зігнути в коліні та розслабити - ця нога буде працюючою.

Виконання:

Працюючу ногу підняти до рівня коліна опорної ноги таким чином, щоб вона з підлогою складала кут 45°;

Повільно повернутися до вихідного положення;

Після виконання необхідної кількості повторів, зробити те саме іншою ногою.

Повторити 8-10 разів у 1 - 3 підходи.

Вправа 2: Мета вправи - зміцнення чотирьохглавого м'яза стегна та м'язів сідниць. Основні моменти вправи:

Стояти рівно, не нахилятися;

Вправу треба виконати з максимальною амплітудою;

Коліно при випаді не повинно бути попереду носка, а розташовуватися безпосередньо над ним.

Вихідне положення:

Стоячи прямо поставити руки на пояс;

Відстань між ступнями повинна становити приблизно 30 см.

Виконання: ногу при цьому лишаючи на місці та згинаючи;

Повільно опуститися у випад, майже торкаючись підлоги коліном правої ноги;

Повернутися у вихідне положення; Після кількох повторів змінити ногу. Повторити 1-3 підходи по 8 - 10 разів.

Вправа 3: Мета вправи - зміцнення чотирьохглавого м'яза стегна та м'язів сідниць. Основні моменти:

Не можна створювати гострий кут між стегном та гомілкою;

У нижньому положенні присіду коліна не повинні находитися попереду носків ніг.

Вихідне положення:

Встати прямо, ноги на ширині плечей.

Виконання:

Присісти таким чином, щоб стегна у нижньому положенні присіду були паралельними підлозі;

Повернутися у вихідне положення.

Повторити вправу 8 - 10 разів у 1 - 3 підходи.

Вправа 4: Мета вправи - зміцнення чотирьохглавого м'яза стегна. Основні моменти:

Не можна опускатися нижче рівня, коли стегно паралельне підлозі;

Робити вправу треба повільно.

Вихідне положення:

Встати спиною до стіни та опертися об неї;

Поставити ноги на ширині плечей, а носки дещо нарізно;

Руки з'єднати за головою, лікті розвести в сторони;

Не відриваючи спину від стіни та тримаючи спину прямо, поставити ступні на відстані 40 см від стіни, при цьому таким чином, щоб гомілки залишалися паралельними їй.

Виконання:

Повільно опуститися вниз, доки стегна не стануть паралельними підлозі;

Повернутися у вихідне положення.

Повторити 1-3 підходи по 8 - 10 разів.

Вправа 5: Мета вправи - зміцнення двоглавого м'яза стегна. Основні моменти:

Не використовувати силу інерції, повинні працювати м'язи задньої поверхні стегна;

Коліно опорної ноги треба дещо згинати.

Вихідне положення:

Стати обличчям до стіни на відстані 30 - 40 см та опертися в неї руками.

Виконання:

Згинати одну ногу в коліні до тих пір, доки гомілка не буде паралельною до підлоги;

Повернутися до вихідного положення;

Зробивши потрібну кількість повторів однією ногою, виконати те саме іншою.

Повторити 1-3 підходи по 8 - 10 разів.

Вправа 6: Мета вправи - зміцнення двоглавого м'яза стегна та сідничних м'язів. Основні моменти:

Стискати сідниці при виконанні вправи;

Не треба дуже високо відіймати ногу, це може викликати біль у поясниці;

Рухи повинні бути повільними.

Вихідне положення:

Лягти на живіт, руки скласти під головою (як першокласник), але дещо розвести в сторони щоб долоні лежали одна на одній;

Покласти голову на руки.

Виконання:

Підняти ногу, заводячи її назад з напругою сідничних м'язів, не згинаючи;

Стопа не повинна бути напружена, а коліно дещо зігнути;

Повернутися до вихідного положення;

Зробивши потрібну кількість повторів однією ногою, виконати те саме іншою. Повторити 8-10 разів у 1 - 3 підходи.

Вправа 7: Мета вправи - зміцнення двоглавого м'яза стегна та сідничних м'язів. Основні моменти:

Рухатися повинна лише нога, а тіло залишається нерухомим;

Дуже високо піднімати ногу не треба, щоб не викликати біль в поясниці.

Вихідне положення:

Стати рачки;

Руки повинні бути прямими, голову не опускати, але і не закидати.

Виконання:

Випрямити та відвести назад одну ногу так, щоб стегно стало паралельне підлозі;

Напружити м'язи сідниць;

Повернутися до вихідного положення;

Зробивши потрібну кількість повторів однією ногою, виконати те саме іншою.

Повторити 8-10 разів у 1 - 3 підходи.

Вправа 8: Мета вправи - зміцнення двоглавого м'яза стегна та сідничних м'язів. Основні моменти:

М'язи задньої поверхні стегна та сідничні м'язи не повинні розслаблятися, тому вправу не слід виконувати за рахунок інерції;

Не слід піднімати ногу вище того положення, коли стегно паралельне підлозі. Вихідне положення:

Прийняти положення опори на коліна;

Випрямити руки в ліктях;

Спину тримати прямою, голову не опускати вниз.

Виконання:

Зберігаючи кут 90° між стегном та гомілкою, підняти ногу назад до положення коли стегно буде паралельним підлозі, а гомілка - перпендикулярна, при цьому стопа не повинна бути напруженою.

Повернутися до вихідного положення;

Зробивши потрібну кількість повторів однією ногою, виконати те саме іншою.

Зробити 1 - 3 підходи по 8 - 10 разів.

Вправа 9: Мета вправи - зміцнення двоглавого м'яза стегна та сідничних м'язів. Основні моменти:

Мускулатура сідниць повинна бути постійно напруженою;

Таз не треба піднімати вище того положення, в якому голова, спина та стегна утворюють єдину пряму;

Для збільшення навантаження на живіт можна покласти невеликі гантелі та притримувати їх руками.

Вихідне положення:

Лягти на спину та втягнути живіт;

Зігнути ноги у колінах під кутом 90° таким чином, щоб стопи були щільно прижаті до підлоги;

Руки розташовані уздовж тулуба.

Виконання:

Стиснути сідниці та підняти таз догори, не відриваючи лопатки від підлоги;

Повернутися до вихідного положення.

Повторити 1 -3 підходи по 8 - 10 разів.

Вправа 10: Мета вправи - зміцнення двоглавого м'яза стегна, сідничних м'язів, м'язів відводячи стегно. Основні моменти:

Вправа не повинна виконуватись швидко та різко;

•В крайньому верхньому положенні стегно повинне бути паралельним підлозі;

Вихідне положення:

Встати рачки, випрямити спину та підняти зігнуту у коліні під кутом 90° ногу таким чином, щоб стегно було паралельне підлозі, а гомілка - перпендикулярно.

Виконання:

Зберігаючи кут 90° підняти праву ногу;

Опустити ногу так, щоб коліно в нижньому положенні опустилося зліва від гомілки лівої ноги;

Повернутися до вихідного положення;

Зробивши потрібну кількість повторів однією ногою, виконати те саме іншою.

Повторити 8 - 10 разів у 1 - 3 підходи.

Вправа 11: Мета вправи - зміцнення м'язів сідниці, та м'язів що відводять стегно. Основні моменти:

Виконувати вправу повільно, зберігаючи верхню частину тіла нерухомою.

Вихідне положення:

Лягти на підлогу на лівий бік, зігнути ліву руку у ліктьовому суглобі та покласти на неї голову;

Долонею правої руки опертися у підлогу в області живота;

Для виконання рухів лівою ногою необхідно лягти на правий бік.

Виконання:

Підняти праву ногу на 30 см уверх, стопа повинна бути розслаблена;

Повернутися до вихідного положення;

Зробивши потрібну кількість повторів однією ногою, виконати те саме іншою.

Повторити 8 - 10 разів у 1 - 3 підходи.

Вправа 12: Мета вправи - зміцнення м'язів сідниці, та м'язів що відводять стегно. Основні моменти:

Опорна нога повинна бути дещо зігнута в коліні;

Плечі та груди повинні залишатися нерухомими;

Неможна використовувати силу інерції, м'язи сідниць та зовнішньої поверхні стегна не повинні розслаблятися;

Вихідне положення:

Стати боком коло стіни та однією рукою опертися в неї;

Дещо зігнути ноги в колінах.

Виконання:

Підняти зовнішню відносно стіни ногу якомога вище, не напружуючи стопу;

Повернутися до вихідного положення;

Зробивши потрібну кількість повторів однією ногою, виконати те саме іншою.

Повторити 1 -3 підходи по 8 - 10 разів.

Вправа 13: Мета вправи - зміцнення мускулів, що відводять стегно. Основні моменти:

Зберігати верхню частину тулубу нерухомою; •Ногу при виконанні вправи треба дещо зігнути в коліні, тягнути носок на себе.

Вихідне положення:

Сісти на підлогу, опертися на трохи зігнуті ззаду руки;

Зігнути опорну ногу в коліні під кутом 90° та щільно поставити ногу на підлогу;

Працюючу ногу випрямити, розслабити стопу, дещо потягнути носок на себе та зігнути в коліні.

Виконання:

Відвести працюючу ногу якомога далі в сторону;

Повернутися до вихідного положення;

Повторити вправу іншою ногою.

Повторити 1-3 підходи по 8 - 10 разів.

Вправа 14: Мета вправи - зміцнення мускулів, що відводять стегно. Основні моменти:

Верхня частина тулубу нерухома.

Вихідне положення:

Лежачи на лівому боці покласти голову на зігнуту в лікті ліву руку, а долонею правої руки опертися у підлогу на рівні грудей.

Ліву ногу випрямити, а праву зігнути в коліні так, щоб стегно було перпендикулярне тілу, а гомілка - паралельно.

Для виконання вправи лівою ногою треба перевернутися на правий бік.

Виконання:

Якомога вище підняти праву ногу, зберігаючи кут в 90° між стегном та тулубом.

Повернутися до вихідного положення;

Зробити все іншою ногою.

Повторити 1-3 підходи по 8 - 10 разів.

Вправа 15: Мета вправи - зміцнення м'язів сідниць, м'язів, що відводять та приводять стегно. Основні моменти:

Виконувати вправу повільно та плавно;

Тримати спину прямо, не згинати хребта;

Голову неможна дуже опускати чи піднімати;

Вихідне положення:

Встати рачки, випрямити спину, щоб вона була паралельною підлозі;

Випрямити лікті;

Виконання:

Відвести одну ногу в бік, тримаючи кут 90°;

У вищому положенні стегно повинне бути паралельним підлозі;

Повернутися до вихідного положення;

Зробивши потрібну кількість повторів однією ногою, виконати те саме іншою.

Повторити 8 -10 разів у 1 - 3 підходи.

Вправа 16: Мета вправи - зміцнення м'язів, що приводять стегно. Основні моменти:

Вправу виконувати повільно, не рухаючи верхньою частиною тіла.

Внутрішня поверхня працюючої ноги повинна постійно направлятися догори.

Вихідне положення:

Лежачи на лівому боці покласти голову на зігнуту в лікті ліву руку

Правою рукою опертися у підлогу на рівні живота;

Зігнути праву ногу та поставити її ступню біля коліна лівої ноги;

П'ятка правої ноги повинна знаходитися перед колінною чашечкою лівої ноги;

Для виконання вправи правою ногою перевернутися на правий бік.

Виконання:

Якомога вище підняти ліву ногу;

Повернутися до вихідного положення;

Зробивши потрібну кількість повторів однією ногою, виконати те саме іншою.

Повторити 8 -10 разів у 1 - 3 підходи.

Вправа 17: Мета вправи - зміцнення м'язів, що приводять стегно. Основні моменти:

При виконанні вправи тулуб нерухомий;

Виконувати вправу без різких махів та рухів;

Працюючу ногу не опускати на підлогу протягом всієї вправи;

Вихідне положення:

Сісти на підлогу, опертися на прямі руки ззаду;

Зігнути одну ногу в коліні під кутом 90°, стопа щільно прилягає до підлоги;

Працюючу ногу витягнути вперед, трохи зігнути в коліні, розвернути носок назовні.

Виконання:

Дещо підняти працюючу ногу та відвести її в сторону якомога далі;

Повернутися до вихідного положення;

Повторити іншою ногою.

Повторити 1 - 3 підходи по 8 - 10 разів.

Вправа 18: Мета вправи - зміцнення м'язів, що приводять стегно. Основні моменти:

Поясниця не повинна відриватися від підлоги; необхідно сильно тиснути на стегно, це призведе до підвищення навантаження.

Вихідне положення:

Положення лежачи на підлозі, з зігнутими під прямим кутом колінами;

Ступні щільно оперти у підлогу;

Не випрямляючи працюючу ногу опустити в сторону таким чином, щоб коліно майже торкалося підлоги, та ступня її була направлена до опорної ноги;

Покласти руку на стегно працюючої ноги.

Виконання:

Тиснути рукою на внутрішню поверхню стегна, одночасно намагаючись зімкнути коліна;

Зафіксувати положення опорної ноги так, щоб вона лишалася нерухомою;

Повернутися до вихідного положення;

Зробивши потрібну кількість повторів однією ногою, виконати те саме іншою.

Повторити 8- 10разів у 1-3 підходи

Вправа 19: Мета вправи - зміцнення м'язів, що приводять стегно та м'язів сідниць. Основні моменти:

Слід повільно виконувати вправу, не допускаючи повного розслаблення м'язів;

Піднімаючи таз, не випинати спину.

Вихідне положення:

Лягти на спину, руки уздовж тулуба, долонями вниз;

Зігнути одну ногу під прямим кутом та опертися її стопою у підлогу, іншу ногу покласти зовнішньою стороною щиколоткою на коліно працюючої ноги.

Виконання:

Напрягти мускулатуру сідниць та підняти таз так, щоб він утворив пряму лінію з стегном працюючої ноги;

Повернутися до вихідного положення;

Зробивши потрібну кількість повторів однією ногою, виконати те саме іншою.

Зробити 1 - 3 підходи по 8 - 10 разів.

Вправа 20: Мета вправи - зміцнення м'язів, що відводять та приводять стегно. Основні моменти:

Слід повільно виконувати вправу, не використовуючи інерцію, а за рахунок м'язової сили внутрішньої та зовнішньої поверхні стегон.

Спину не відривати від підлоги;

Вихідне положення:

Лягти на спину, руки уздовж тулуба, долонями вниз;

Потягнути носки на себе, трохи розвести їх в сторони.

Виконання:

Якомога ширше розвести ноги в сторони;

Повернутися у вихідне положення.

Повторити 8-10 разів у 1 - 3 підходи.

Додаток Б

Метод визначення наявності достовірних відомостей за t-критерієм Ст’юдента

Одним із методів визначення достовірної розбіжності є t-критерій Ст’юдента.

Для математичного порівняльного аналізу показників визначаються наступні значення:

- χ (ікс середнє) - середнє арифметичне значення величини показника,

- ð (сігма) - середнє квадратичне віддалення значення показника,

m (м) - помилка середньої.

Слід звернути увагу на те, що всі три показники визначаються для значень кожної групи окремо, для контрольної та експериментальної:

- χ контр., χ експ.,

- ð контр., ð експ.,

m контр., m експ.

χ вираховується за формулою (2.1):

χ = Σ x / n,                                                 (2.1)

де Σ x - сума значень показників в групі,- кількість людей в групі.

ð визначається за формулою (2.2):

ð = R (max - min) / А,                               (2.2)

де R - різниця між максимальним і мінімальним значеннями показника,

А - табличне значення із значень n (таблиця 7.1)визначається за формулою(2.3):

m = ð / √ n-1,                                            (2.3)

де ð - середнє квадратичне відхилення, - кількість людей в групі.

Дане значення знаменника - корінь квадратний зі значення (n-1) - справедливе тільки при n менше 30.

Якщо кількість людей в групі дорівнює, або більше 30, формула (2.3) буде мати наступний вид:             m = ð / √ n

Знаючи величини χ та m кожної групи, можливо визначити значення - критерію Ст’юдента за формулою (2.4):

t = χ1 - χ2 / √ m21 + m22,                        (2.4)

де χ1 та χ2 - середні арифметичні,

т1 та т2 -помилки середньої арифметичної.

Таблиця 7.1 Табличні показники А для швидкого визначення стандартного відхилення

n

А

n

А

1

-

120

5,15

2

1,13

140

5,26

3

1,69

150

5,35

4

2,06

180

5,43

5

2,33

200

5,50

6

2,53

220

5,57

7

2,70

240

5,61

8

2,85

260

5,68

9

2,97

280

5,72

10

3,08

300

5,77

11

3,17

320

5,80

12

3,26

340

5,84

13

3,34

360

5,88

14

3,41

380

5,92

15

3,47

400

5,94

16

3,53

420

5,98

17

3,59

440

6,00

18

3,64

460

6,02

19

3,69

480

6,06

20

3,74

500

6,09

22

3,82

520

6,12

24

3,90

540

6,13

26

3,96

560

6,14

28

4,03

580

6,17

30

4,09

600

6,18

32

4,14

620

6,21

34

4,19

640

6,23

36

4,24

660

6,26

38

4,28

680

6,27

40

4,32

700

6,28

45

4,41

750

6,33

50

4,50

800

6,34

60

4,64

850

6,37

70

4,76

900

6,43

80

4,85

950

6,47

90

4,94

1000

6,48

100

5,01




В чисельнику даної формули визначається різниця між χ кожної групи. Слід звернути увагу, що з більшого значення віднімається менше значення.

Таким чином, χ1 - це більше значення, яке відмічається в одній з груп В контрольній або в експериментальній). χ2 - відповідно, менше значення показника.

В знаменнику формули - сума значень помилок середньої арифметичної в контрольній та експериментальній групах.

Після визначення значення t залишається встановити - достовірна чи недостовірна різниця у величині зазначеного показника між контрольною та експериментальною групами.

Для цього використовується таблиця 7.2, в якій в одній з колонок знаходяться значення так званих «ступенів свободи».

Ступінь свободи f визначається за формулою (2.5):= (nконт + nексп) - 2,                                        (2.5)

де n - кількість людей в контрольній та експериментальній групах.

Таким чином, знаючи значення ступеню свободи f та значення t-критерію Ст’юдента, визначаємо достовірність відмінностей. Для цього в таблиці 7.2, навпроти знайденого         значення ступеня свободи є 2 значення Р. Саме з цим значенням Р слід порівнювати       отримані значення t.

Таблиця 7.2 Граничні значення t - критерію Ст’юдента для 5% та 1%-ного рівня          значимості від числа ступенів свободи

Ступінь свободи (f)

Границі значення

Ступінь свободи (f)

Границі значення


Р - 0,05

Р - 0,01


Р - 0,05

Р - 0,01

1

12,71

63,60

21

2,08

2.82

2

4,30

9,93

22

2,07

2,82

3

3,18

5,84

23

2,07

2,81

4

2,78

4,60

24

2,06

2,80

5

2,57

4,03

25

2,06

2,79

6

2,45

3,71

26

2,06

2,78

7

2,37

3,50

27

2,05

2,77

8

2,31

3,36

28

2,05

2,76

9

2,26

3,25

29

2,04

2,76

10

2,23

3,17

30

2,04

2,75

11

2.20

3,11

40

2,02

2,70

12

2,18

3,06

50

2,01

2,68

13

2.16

3,01

60

2,00

2,66

14

2,15

2,98

80

1,99

2,64

15

2,13

2,95

100

1,98

2,63

16

2.12

2,92

120

1,98

2,62



2,90

200

1,97

2,60

18

2,10

2,88

500

1,96

2,59


Якщо значення t буде менше значення (Р - 0,05), то достовірної відмінності між досліджуваним показником в контрольній та експериментальній групі немає, тобто Р>0,05, що і слід відмітити в курсовій, кваліфікаційній чи дипломній роботі.

Якщо значення t дорівнює значенню (Р - 0,05), або буде знаходитись між значенням (Р - 0,05) та (Р - 0,01), або буде більше значення (Р - 0,01) - то це говорить про наявність достовірної відмінності між величинами показників контрольної та експериментальної груп.

При написанні цього порівняння в тексті роботи після слів про достовірність відмінності, необхідно вказати, що Р<0,05 (якщо значення t дорівнює табличному значенню (Р - 0,05), або знаходиться між значеннями (Р - 0,05) і (Р - 0,01).

Якщо значення t дорівнює табличному значенню (Р - 0,01), або більше даного значення, то слід вказати в тексті роботи, що Р<0,01. Саме знак < вказує на наявність достовірної відмінності.

Похожие работы на - Особливості формування фізичного здоров'я жінки

 

Не нашли материал для своей работы?
Поможем написать уникальную работу
Без плагиата!
Без нейросетей!