Технологический процесс обработки вала-шестерни

  • Вид работы:
    Курсовая работа (т)
  • Предмет:
    Другое
  • Язык:
    Русский
    ,
    Формат файла:
    MS Word
    240,01 Кб
  • Опубликовано:
    2015-02-25
Вы можете узнать стоимость помощи в написании студенческой работы.
Помощь в написании работы, которую точно примут!

Технологический процесс обработки вала-шестерни

Содержание

ВВЕДЕНИЕ

. ОБЩИЙ РАЗДЕЛ

.1 Краткие сведения о детали

.2 Материал детали и его свойства

.3 Анализ технологичности

. ТЕХНОЛОГИЧЕСКИЙ РАЗДЕЛ

.1 Выбор типа производства и оптимального размера партии

.2 Выбор и обоснование метода получения заготовки

.2.1 Предварительный выбор двух вариантов получения заготовки

.2.2 Технико-экономическое обоснование выбора лучшего получения заготовки

.2.3 Расчет промежуточных припусков и размеров заготовки. Построение схемы расположения расчетных припусков и предельных размеров

.3 Разработка операционной технологии механической обработки заданной детали

.3.1 Составление маршрута обработки заданной детали

.3.2 Краткая техническая характеристика используемого оборудования

.4 Подробная разработка 2-х операций технологического процесса (универсальной и с ЧПУ) с расчетом режимов резания

. КОНСТРУКТОРСКИЙ РАЗДЕЛ

.1 Описание и расчет режущего инструмента

.2 Описание и расчет средств измерения

ЗАКЛЮЧЕНИЕ

СПИСОК ЛИТЕРАТУРЫ

ВВЕДЕНИЕ

Цель курсового проектирования по технологии машиностроения - научится правильно применять теоретические знания, полученные в процессе учебы, использовать свой практический опыт работы на машиностроительных предприятиях для решения профессиональных технологических и конструкторских задач.

К мероприятиям по разработке новых прогрессивных технологических процессов относится и автоматизация, на ее основе проектируется высокопроизводительное технологическое оборудование, осуществляющее рабочие и вспомогательные процессы без непосредственного участия человека.

В соответствии с этим решаются следующие задачи: расширение, углубление, систематизация и закрепление теоретических знаний и применение их для проектирования прогрессивных технологических процессов сборки изделий и изготовления деталей, включая проектирование средств технологического оснащения. Развитие и закрепление навыков ведения самостоятельной творческой инженерной работы. Овладение методикой теоретико-экспериментальных исследований технологических процессов механосборочного производства.

В курсовом проекте должна отображаться экономия затрат труда, материала, энергии. Решение этих вопросов возможно на основе наиболее полного использования возможностей прогрессивного технологического оборудования и оснастки, создания гибких технологий.

1.      ОБЩИЙ РАЗДЕЛ

.1 Краткие сведения о детали

Вал-шестерня представляет собой тело вращения, располагается в корпусе редуктора, работает в зацеплении с другим зубчатым колесом с целью передачи крутящего момента от двигателя к приводам. Диаметры 50k6, служат для посадки подшипников. Поверхности вала, на которых имеются шпоночные пазы, предназначены для посадки зубчатых колес.

Вал-шестерня работает в условиях действия радиальной сосредоточенной нагрузки, осевой нагрузки и крутящего момента. Зубья зубчатого венца испытывают действие изгибающего усилия, контактного давления и сил трения. Под действием последних происходит нагрев и изнашивание зубьев.

.2 Материал детали и его свойства

Деталь изготавливается из хромоникелевой конструкционно-легированной стали 40ХН ГОСТ 4543-71: углерода %С=0,36 - 0,44%; кремния %Si=0,17- 0,37%; хрома %Cr=0,45 - 0,75%; марганца %Mn=0,5 - 0,8; никеля %Ni=1 - 1,4%.

Механические свойства:

Термообработка: температура закалки- 820о,среда охлаждения- вода или масло; температура отпуска- 500о,среда охлаждения- вода или масло;

Технологические свойства:

Свариваемость - трудно свариваемая. РДС, АДС под флюсом. Необходим подогрев и последующая термообработка. Сталь 40ХН склонна к отпускной хрупкости.

1.3 Анализ технологичности детали

Вал-шестерню можно отнести к типу деталей “Валы”, для которых разработан типовой ТП. Материал сталь 40ХН не является дефицитным. Термообработка выполняется по типовому техпроцессу и не требует специальных условий. Сталь имеет удовлетворительную обрабатываемость резанием, коэффициент обрабатываемости Ко= 1 при обработке твердосплавным инструментом, Ко=0,8 при обработке инструментом из быстрорежущей стали. Заготовку вала можно получить как из проката, так и обработкой давлением - штамповкой или высадкой. В обоих случаях форма заготовки и её элементов достаточно простая. Деталь не содержит каких-либо специфических особенностей формы, поэтому может быть обработана непосредственно по типовому ТП. Размеры детали соответствуют нормальному ряду чисел, допустимые отклонения размеров соответствуют СТ СЭВ 144 - 75. Деталь жесткая, имеет поверхности, удовлетворяющие требованиям достаточной точности установки. Простановка размеров технологична, т.к. их легко можно измерить на обрабатывающих и контрольных операциях. При изготовлении детали используют нормализованные измерительные и режущие инструменты. Поверхности различного назначения разделены, что облегчает обработку. Для выхода резца и шлифовального круга при обработке поверхностей предусмотрены канавки для выхода инструмента.

Таким образом, с точки зрения получения заготовки, обрабатываемых поверхностей, и общей компоновки детали, ее можно считать технологичной.

2. ТЕХНОЛОГИЧЕСКИЙ РАЗДЕЛ

.1 Выбор типа производства и оптимального размера партии

Характер технологического процесса в значительной мере зависит от типа производства деталей (единичного, серийного, массового). Это обусловлено тем, что в различных типах производств экономически целесообразно использование различного по степени универсальности, механизации и автоматизации оборудования, приспособлений, различного по сложности и универсальности режущего и измерительного инструмента. В зависимости от вида производства существенно изменяются и организационные структуры цеха: расстановка оборудования, системы обслуживания рабочих мест, номенклатура деталей и т.д.

Сведения перед разработкой технологического процесса отсутствуют. В этих условиях поступаю следующим образом. По табл.1 устанавливаю предварительно тип производства в зависимости от веса и количества деталей, подлежащих изготовлении в течение года.

Таблица №1. Выбор типа производства по программе выпуска

Масса детали, кг

Тип производства


единичное

мелкосерийное

среднесерийное

крупносерийное

массовое

≤ 1,0

‹10

10-2000

1500-100000

75000-200000

200000

1,0-2,5

‹10

10-1000

1000-50000

50000-100000

100000

2,5-5,0

‹10

10-500

500-35000

35000-75000

75000

5,0-10

‹10

10-300

300-25000

25000-50000

50000

≥ 10

‹10

10-200

200-10000

10000-25000

25000


Установим предварительно тип производства: Среднесерийное (n=5000) В серийном производстве количество деталей в партии для одновременного запуска, допускается определять упрощенным способом:

,

где: N- программа выпуска, N=5000 шт.;

а- периодичность запуска изделий, а=6 дней;

F-число рабочих дней в году, F=254 дней.


2.2 Выбор и обоснование метода получения заготовки

Исходные данные:

Материал детали - Сталь 40ХН

Масса детали - 17,5кг.

Годовая программа - 5000шт.

Тип производства - Среднесерийное.

.2.1 Предварительный выбор двух вариантов получения заготовки

Метод получения заготовки определяется размерами программного задания, материалом детали, ее назначением и техническими требованиями на изготовление, формой поверхности и размерами.

Сделаем сопоставление двух возможных способов получения заготовки с целью выбора оптимального.

Заготовку данной детали можно получить горячей штамповкой или отрезкой из прутка диаметром 120 мм.

Для заготовки из проката принимаем ближайший диаметр прутка:

D = 120 мм. Для штамповки назначаем уклоны 5° и радиусы переходов R3.

Определяем массу детали Мд и массу заготовки Мз, кг:

Масса детали: Мд = 17,5кг., определена выше (см. черт детали).

Массу заготовки, получаемой методом штамповки, определим по формуле:

Мз1 = Мд·Кр

Где: Мд-масса детали, кг. Мд = 17,5кг;

Кр-расчетный коэффициент, зависящий от формы детали, Кр = 1,4

Мз1 = 17,5 · 1,4 = 24,5кг.

Массу заготовки, получаемой методом проката, определим по формуле:

Мз2 = ρ·Vз

Где: ρ-плотность материала, кг/м3. ρ = 7820 кг/м3;

Vз- Объем заготовки,

Vз= π·RH = 3,14 · 122 · 74,5 = 8425,950 см2.

Мз2 = 0,00782 · 8425,95 = 65,89 кг.

Коэффициент использования материала по формуле:


Где: Мд - масса детали, кг; Мз - масса заготовки, кг.

Вариант горячей штамповки

Стоимость заготовок, получаемых такими методами, как горячая штамповка на молотах, прессах, ГКМ, определяется по формуле:

Сз = Сδ· Мз1· Кт ·Ксл ·Кв ·Км ·Кп

Где: Сδ - базовая стоимость 1 кг. заготовки в руб/кг;

Мз1 - масса заготовки, кг;

Кт - коэффициент, зависящий от класса точности штамповки;

Ксл - коэффициент, зависящий от степени сложности штамповки;

Кв - коэффициент, учитывающий массу штамповки, = 0,7;

Км - коэффициент, зависящий от материала, = 1,13;

Кп - коэффициент, учитывающий серийность производства, = 0,8.

За базовую стоимость горячештампованных заготовок можно принять Сδ = 72 руб/кг. Это стоимость штамповок из конструкционной углеродистой стали массой mз = 2,5…4кг, точности класса Т3 по ГОСТ 7505-89, степени сложности С3, группы серийности ĮĮ (объем производства 4…100 тыс. шт/год).

В зависимости от класса точности, коэффициент Кт принимают =1;

По ГОСТ 7505-89 имеем:

Группа стали М2, класс точности Т2, выбираем в зависимости от технологического процесса и оборудования.

Группа сложности оценивается с помощью коэффициента. Степень сложности определяется путем вычисления отношения массы (объема) поковки к массе (объему) Gδ фигуры, в которую вписывается поковка, принятая как цилиндр с размерами D=116мм и L=745мм.

Группа сложности определяется по формуле:

,

Объем фигуры определяется по формуле:

Gδ = ρ·(π·D2/4)·l

Где: ρ - плотность материала, кг/м3. ρ = 7820 кг/м3;

l - длина, см.

Gδ = 7,82·(3,14·11,62/4)·74,5 = 61,5 кг.

Отсюда группа сложности 2, степень сложности С2

С2 = 0,32…0,63

Отсюда коэффициент сложности Ксл = 1;

Подставляем найденные значения в формулу:

Сз = 72· 24,5· 1 ·1 ·0,7 ·1,13 ·0,8 = 1116,26 руб.

Стоимость механической обработки штамповки по формуле:

Смо = (Мз - Мд)·Суд

где Суд - удельные затраты на съем 1 кг материала, руб/кг.

Удельные затраты при механической обработке резанием могут быть определенны по формуле:

Суд = Се + Ек·Ск

где Се - текущие затраты, руб/кг;

Ск - капитальные затраты, руб/кг;

Ек - нормативный коэффициент эффективности капитальных вложений.

Для машиностроения в целом можно принять Е = 0,33.

Определяем по таблице величины Се = 37руб.; Ск = 61,3руб.

Подставляем найденные значения в исходную формулу:

Суд = 37 + 0,33·61,3 = 50 руб.

Смо = (24,5 - 17,5)·50 = 350 руб.

Стоимость отходов Сотх является возвратной величиной и определяется по формуле:

Смо = (Мз - Мд)·Цотх

где Цотх - цена отходов (стружка) руб/кг, = 0,3 руб.

Смо = (24,5 - 17,5)·0,3 = 2,1 руб.

Стоимость штампованной заготовки будет равна:

Сзп = 1116,26 + 350 -2,1 = 1464,16 руб.

Вариант заготовки из проката

Стоимость заготовки из сортового проката Сзп следует определять по формуле:

Сзп = Смп·Мз + Соз

где Смп - стоимость материала 1кг проката в руб/кг., = 38 руб/кг.;

Соз - стоимость отрезки заготовки из проката, руб.

Затраты на отрезку рассчитываются по формуле:


где Спз - приведенные затраты на рабочем месте, руб/ч.; Тшт - штучное или штучно-калькуляционное время на отрезку штучной заготовки, мин.

Для отрезных станков, ножниц сортовых, можно принять Спз = 75,5 руб/час.

Штучные заготовки из проката используются в условиях мелко и среднесерийного производства, где нормой времени на технологическую операцию является штучно-калькуляционное время по формуле:

Тшт = То·φк

где То - основное технологическое время, мин.;

φк -коэффициент, учитывающий тип производства и вид оборудования.

Для расчетов на этапе выбора заготовки можно принять φк = 1,5, а основное технологическое время для отрезных станков по формуле:

То = 0,19·d2

где d - диаметр проката, мм.;

То = 0,19·1202 = 2,74 мин.

Тшт = 2,74·1,5 = 4,11 мин.

 = 5,17 руб.

Стоимость механической обработки проката по формуле:

Смо = (Мз - Мд)· Суд

Величина удельных затрат принимается такой же, что и для обработки заготовки - штамповки.

Смо = (65,89-17,5)·50 = 2419,5 руб.

Стоимость отходов равна по формуле:

Смо = (Мз - Мд)·Цотх

Смо = (65,89 - 17,5)·0,3 = 14,52 руб.

Сзп = 38·65,89 + 2419,5 - 14,52 = 4908,8 руб.

2.2.2 Технико-экономическое обоснование выбора лучшего варианта заготовки

Экономический эффект от использования заготовки из штамповки составим по формуле:

Эшт = (Спр - Сшт)·N

где Спр - стоимость варианта проката, руб;

Сшт - стоимость варианта штамповки, руб;

N - годовой объем выпуска деталей, шт/год.

Эшт = (4908,8 - 1464,16)·5000 = 17 223 200 руб.

По минимальным переменным затратам выберем более экономичный вариант получения заготовки, т.е. горячую штамповку.

При использовании заготовки из проката более 70% металла будет переводится в стружку, в то время как при использовании штампованной заготовки эти отходы будут составлять менее 30%.

.2.3 Расчет промежуточных припусков и размеров заготовки. Построение схемы расположения расчетных припусков и предельных размеров

Расчетно-аналитическим методом определим припуски на механическую обработку наиболее точной поверхности вала ǿ 50к6. Этот метод предполагает расчет припуска по элементам с учетом последовательности обработки с использованием расчетной карты. Последовательность обработки шейки вала ǿ 50к6, 6 квалитета с шероховатостью Rа = 0,8, включает переходы: точение черновое, точение чистовое, шлифование черновое и чистовое. Оформим расчет в виде таблицы:

Таблица №2. Расчет припусков на механическую обработку поверхности ǿ 50к6.

Технологические переходы обработки поверхности Æ60к6

Элементы припуска, мкм

Расчетный припуск 2zmin, мкм

Расчетный размер dp, мм

Допуск d, мкм

Предельный размер, мм

Предельные значения припуска, мкм


Rz

T




dmin

dmax

2zпр.min

2z пр max

Заготовка

160

200

822


52,562

2600

52,562

55,162



Черновое точение

50

50

49

2004

50,558

210

50,558

50,768

2004

4394

Чистовое точение

25

25

33

298

50,260

84

50,260

50,344

298

424

Черновое шлифование

10

20

16

166

50,094

33

50,094

50,127

166

217

Чистовое шлифование

3,2

15

0

92

50,002

16

50,002

50,018

92

109



Rz и Т - высоты микронеровностей профиля поверхности и глубины дефектного слоя, получаемые в результате применения метода.

Погрешность закрепления заготовки по формуле:


где ɛб - погрешность базирования, = 0;

ɛз - погрешность закрепления, = 0;

ɛпр - погрешность приспособления;

ɛy = 0, так как заготовка обрабатывается в центрах.

Так как в данном случае обработка ведется в центрах, то погрешность установки в первом приближении принимаем равной нулю в радиальном направлении. В этом случае эта величина исключается из основной формулы для расчета припуска.

Суммарное отклонение всех видов погрешности отклонений от геометрической формы в первом приближении равно по формуле:

,

где Тd - технологический допуск на каждом переходе, мм:

заг будем рассчитывать по формуле:

,

где ∆сн - отклонение от соосности заготовки, =0,5мм;

кор - коробление заготовки, мм, по формуле:

кор = ∆к·l,

где ∆к - кривизна заготовки, =1мм

кор = 1·230/1000 = 0,23мм.

ц - отклонение зацентровки заготовки, мм, по формуле:


где  - допуск на поверхности, используемые в качестве базовых на центровально-подрезной операции, рассчитывается по формуле:

,

где элементы допусков по недоштамповке, = 0,8мм;

элементы допусков по износу штампов, = 0,4мм;

колебание усадки, = 0,03мм.

,

Подставляем значение в формулу:

 = 0,822мм.

Определим суммарное отклонение расположения размеров на все переходы обработки:

После чернового точения

0,06·0,822 = 0,049мм;

осле чистового точения

0,04·0,822 = 0,033мм;

сле черного шлифования

0,02·0,822 = 0,016мм;

Минимальное значение припусков ведем по формуле:

 = 2·,

где - шероховатость на предыдущем переходе;

допуск на предыдущем переходе;

суммарное отклонение на предыдущем переходе;

Определим величины минимальных припусков для каждого перехода.

Под черновое точение:

Под чистовое точение:

 = 2 · (50 + 50 + 49) = 298мкм

Под черновое шлифование:

 = 2 · (25 + 25 + 33) = 166мкм

Под чистовое шлифование:

 = 2 · (10 + 20 + 16) = 92мкм

Аналогично производим расчет по остальным графам таблицы.

Расчетный размер dр начиная с конечного (чертежного) размера путем последовательного прибавления расчетного минимального припуска каждого технологического перехода формуле:

,

 = 50,002 + 0,092 = 50,094мкм

 = 50,094 + 0,166 = 50,260мкм

 = 50,260 + 0,298 = 50,558мкм

 = 50,558 + 2,004 = 52,562мкм

Наибольший предельный размер вычисляется прибавлением допуска к определенному наименьшему размеру формуле:

,

Предельные значения припусков Zmax определяются как разность наибольших предельных размеров и Zmin - как разность наименьших предельных размеров предшествующего и выполняемого переходов формуле:




После заполнения таблицы определяем значение общих припусков, рассчитывая их по формулам:


Правильность расчетов проверяем по условию:


,144-2,56 = 2,6-0,016

,584 = 2,584 - расчет верен.

Величину номинального припуска в данном случае определяем с учетом несимметрично расположенного поля допуска заготовки:

Размер заготовки равен

Схема графического расположения полей допусков и припусков на

Припуски на заготовку определим для штампованной заготовки по ГОСТ 7505-89 и сводим результат в таблицу.

Таблица №3. Припуски и допуски на обрабатываемые поверхности

Размеры

Припуски

Допуски


Табличные

Расчетные


М36x3-8g

2×2,5


ǿ50 k6


2×1,75

ǿ70h14

2×2,2


ǿ111,02-0,07

2х2,5


6

2,5


28

2


80

2×2,2


280 -0,52

3,5


740

2х2,5



2.3 Разработка операционной технологии механической обработки заданной детали

вал шестерня деталь заготовка

2.3.1 Составление маршрута обработки заданной детали

При разработке технологического маршрута обработки детали следует использовать следующие принципы:

·        технологические операции разрабатываем по принципу, концентрации технологических переходов, т.е. как можно больше поверхностей обрабатывать с одного установа;

·        отдавать предпочтение многопозиционным, многорезцовым станкам;

·        предполагается, как можно шире использовать сборный режущий инструмент, оснащенный многогранными твердосплавными сменными пластинами;

·        станочные приспособления использовать с механизированными зажимными устройствами;

С экономической точки зрения технологический процесс должен обеспечить максимальную производительность при минимальных затратах на изготовление, при минимальной себестоимости.

Выбираем маршрут обработки вала-шестерни:

Заготовительная

Штамповка

Центровально-подрезная

Обработать торцы 26, 27, сверлить 2 центровых отверстия.

Токарная

Точить предварительно поверхности 23, 14, 10, 12, 32, 17. Точить окончательно поверхности 16, 33, 37. Переустановить заготовку. Точить предварительно поверхности 20, 15, 13, 11, 35. Точить окончательно поверхности 40, 38, 34.

Токарная

Точить окончательно поверхности 23, 14, 10, 12, 36, 32, 17, снять фаски 25, 42. Переустановить заготовку. Точить окончательно поверхности 20,15, 13, 11, 39, 35. Снять фаски 22, 41.

Токарная

Проточить канавку поверхности 4, 5, 6, 31, 30. Нарезать резьбу поверхность 24. Переустановить заготовку. Проточить канавку поверхности 1, 2, 3, 29, 28. Нарезать резьбу поверхность 21.

Фрезерная

Фрезеровать пазы поверхности 7, 8, 9, 43, 44, 45.

Зубофрезерная

Фрезеровать зубья поверхности 18, 19.

Термическая

Правильная

Центрошлифовальная

Шлифовать центровые фаски.

Торцекруглошлифовальная

Шлифовать поверхности 11, 12 и прилегающие радиусы и торцы 39, 35, 36, 32.

Круглошлифовальная

Шлифовать поверхности 14, 10, 15, 13.

Зубошлифовальная

Шлифовать зубья поверхность 18.

Моечная

Мойка и протирка детали.

Контрольная

Контроль качества детали.

2.3.2 Краткая техническая характеристика используемого оборудования

При выборе металлорежущего оборудования руководствуемся следующими правилами:

·        станок должен обеспечить максимальную концентрацию переходов на операции с целью уменьшения числа операций, количества оборудования, повышения производительности и точности за счет уменьшения числа переустановок заготовки;

·        в случае недостаточной загрузки станка его технические характеристики должны позволять обрабатывать другие детали, выпускаемые предприятием;

·        производительность, точность, мощность станка должны быть минимальными, достаточными, для того чтобы обеспечить выполнение требований, предъявляемых к операции.

В серийном производстве широко применяют станки с ЧПУ. Основываясь на этом, используем этот вид оборудования в данном технологическом процессе.

Выбор оборудования для обработки детали будем производить исходя из того, что тип производства серийный. Для серийного производства приемлемы универсальные станки и в том числе станки с ЧПУ, оснащенные как универсально-наладочным и универсально-сборными приспособлениями, что позволяет снизить трудоемкость и удешевить производство.

Для центровально-подрезной операции выбираем центровально-подрезной полуавтомат модели 2932. Станок предназначен для обработки торцов и центровых отверстий деталей машин типа валов.

Для токарной операции назначаем токарно-винторезный станок с ЧПУ 16К20Ф3, предназначенный для выполнения разнообразных токарных работ в один или несколько переходов в полуавтоматическом режиме. Мощность электродвигателя главного привода - 10 кВт. Габаритные размеры 4350х2200х1600 мм. Наибольший диаметр обрабатываемой заготовки: над станиной 630мм., над суппортом 320 мм.

На фрезерной операции применим вертикально-фрезерный станок, модели 6Р13, предназначенного для фрезерования различных деталей. Мощность электродвигателя главного привода - 11 кВт. Габаритные размеры 2560х2260х2120 мм. Частота вращения шпинделя - 31,5…1600 об/мин.

На зубофрезерной операции применим горизонтальный зубофрезерный станок модели 5350А, предназначенного для фрезерования прямозубых колес, валов. Мощность электродвигателя привода главного движения - 7 кВт. Габаритные размеры 2585х1550х1650 мм. Наибольший диаметр обрабатываемой заготовки - 150 мм. Наибольшие размеры обрабатываемых колес: м = 6; длина прямозубых колес - 925 мм. Наибольший диаметр устанавливаемой червячной фрезы 125 мм. Радиальная, тангенциальная и осевая подача 0,63…5,0 мм/об. Частота вращения шпинделя 30…250 об/мин.

На торцекруглошлифовальной операции применим торцекруглошлифовальный станок модели ЗТ160, предназначенного для врезного шлифования цилиндрических, ступенчатых поверхностей, набором кругов или широким кругом. Мощность электродвигателя привода главного движения - 17 кВт. Габаритные размеры 3754х4675х2245.

На круглошлифовальной операции применим круглошлифовальный станок модели 3М151, предназнвчен для врезного шлифования цилиндрических, ступенчатых и конических поверхностей набором кругов или широким кругом. мощность электродвигателя привода главного движения - 7,5 кВт. Габаритные размеры 2700х2315х2085 мм.

На зубошлифовальной операции используем зубошлифовальный полуавтомат 5А841, предназначенный для шлифования зубьев цилиндрических колес. мощность электродвигателя привода - 1,64 кВт. Габаритные размеры 2850х2315х2085 мм.

.4 Подробная разработка двух операций технологического процесса (универсальной и с ЧПУ) с расчетом режимов резания

.4.1   Определяем режимы резания для зубофрезерования

Оборудование: зубофрезерный станок модели 5350А.

Параметры зубчатого венца: модуль m = 4; число зубьев z = 25; угол наклона зубьев β = 14°04’11”; ширина зубчатого венца B = 80.

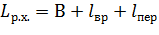
Рассчитаем длину рабочего хода по формуле:


Где В - ширина или длина нарезаемых зубьев, =80мм;

lвр - длина врезания, = 9мм;

lпер - длина перебега, = 5мм.

Назначается подача в зависимости от модуля и числа заходов фрезы, а также числа зубьев детали по формуле:

,

Для модуля m = 4 и числа заходов 1, числа зубьев детали z = 25 для однозаходной фрезы - Soтабл = 2,5 мм/об.

Кs - поправочный коэффициент, зависящий от обрабатываемого материала, = 1;

 мм/об.

Рекомендуемая стойкость фрезы Т = 240мин.

Определяем скорость резания Vтабл = 60м/мин.

Находим действительную скорость резания по формуле:


Где К1 - коэффициент. Зависящий от обрабатываемого материала;

К2 - коэффициент, зависящий от стойкости фрезы.

Определяем частоту вращения шпинделя станка по формуле:


Где D - диаметр червячной фрезы, мм;

V - скорость резания, м/мин.

Принимаем по паспорту станка 5350А, n =250 об/мин.

Рассчитываем действительную скорость резания по формуле:


Минутная подача станка равна по формуле:


Мощность резания при нарезании зубьев червячной фрезой. кВт определяем по формуле:

,

Где СN и КN - поправочные коэффициенты;

So - подача. мм/об;

m - модуль нарезаемого колеса;

z - число зубьев нарезаемого колеса;

D- наружный диаметр инструмента. мм;

V - скорость резания, м/мин;

XN, YN, UN, gN - показатели степени.

Для стали 40ХН СN = 124, КN = 1

XN = 1; YN =0,9; UN = -1; gN = 0.

Подставим найденные значения в формулу, и определим мощность резания.

Мощность шпинделя станка по формуле:


Проверка

Nшп ≥ Nдв

,6 > 1кВт - условие выполняется, следовательно, резание возможно, будем использовать станок 5350А на данной операции.

При среднесерийном типе производства определяется норма штучного калькуляционного времени по формуле:

,

Где Тп.з. - норматив подготовительно-заключительного времени на настройку оборудования и установку приспособления. Время на установку инструмента. время на получение инструмента до начала работы и сдача после окончания.

n - количество деталей в партии. = 118шт.

Определим норму штучного времени по формуле:


Где То - основное время выполнения операции, мин;

Тв - вспомогательное время, мин;

Вспомогательное время определяется по формуле:

,

Где Тус - время. Затраченное на установку и снятие детали, мин;

Туп - время на приемы управления станком, мин;

Тиз - время на измерение деталей, мин;

К - поправочный коэффициент, = 1,85;

Тоб - время на обслуживание рабочего места, мин;

Тот - время перерывов на отдых и личные надобности, мин.

Все взятые значения умножаем на коэффициент 1,85, что соответствует серийному производству.

Основное время рассчитывается по формуле:


Где z - число зубьев шестерни, = 25;

n - частота вращения фрезы, = 250 об/мин;

So - осевая подача фрезы на оборот, = 2,43 мм/об;

К - число заходов фрезы, = 1;

Lр.х - длина рабочего хода, = 94 мм.

Определим состав подготовительно-заключительного времени: на наладку станка, инструмента, приспособлений = 20мин; получение инструмента и приспособлений до начала работы и сдача после окончания работы = 17 мин.

Тус - время. Затраченное на установку и снятие детали, мин;

Туп - время на приемы управления станком, мин;

Тиз - время на измерение деталей, мин;

Тус = 1,32 мин;

Туп =0,20 мин;

Тиз = 0,05 мин.

Тв = (1,32+0,20+0,05) 1,85 = 3,05 мин.

Оперативное время определяем по формуле:


Время на обслуживание рабочего места и отдых

Норма штучного времени

.

Норма штучно-калькуляционного времени на операцию

Определяем режимы резания для токарной операции (точение канавки) на станке с ЧПУ.

Оборудование: токарно-винторезный станок с ЧПУ модели 16К20Ф3.

Рассчитаем глубину резания по формуле:


Где D - диаметр заготовки, =36мм;

d - диаметр получаемой поверхности, = 31,5мм;

Назначаем подачу в зависимости от обрабатываемого материала, диаметра заготовки и глубины резания в пределах 0,4…0,5 мм/об. Принимаем Sт = 0,45 мм/об.

Определяем скорость резания по формуле:


Где v - скорость резания, м/мин;

Сv - коэффициент, зависящий от механических свойств и структуры обрабатываемого материала, материала режущей части резца. А также от условий обработки, =47;

Т - стойкость инструмента, =120 мин;

S - подача, мм/об;

m, x, y - показатели степеней, m = 0,2; x = 1; y = 0,8;

Кv - общий поправочный коэффициент.

Для резцов с пластиной из твердого сплава Kv рассчитывается по формуле:


Где  - поправочный коэффициент, учитывающий физико-механические свойства обрабатываемого материала, рассчитывается по формуле:


 - состояние поверхности заготовки, =1;

 - материал режущей части, = 0,65;

 - параметры резца - главный угол в плане, вспомогательный угол в плане, радиус при вершине, размер поперечного сечения державки. Т.к.  - определяются только для резцов из быстрорежущей стали, мы их не учитываем.

 - коэффициент, учитывающий вид обработки, = 0,96.

Определяем частоту вращения шпинделя станка по формуле:


Где D - диаметр детали, мм;

V - скорость резания, м/мин.

Принимаем по паспорту станка 16К20Ф3, n =200 об/мин.

Рассчитываем действительную скорость резания по формуле:


Минутная подача станка равна по формуле:


Мощность резания, кВт. определяется по формуле:


Где  - сила резания, Н;  - действительная скорость резания, м/мин.


Где Ср - коэффициент, учитывающий свойства обрабатываемого материала, =300;

x, n, y - показателей степеней;

x =0,75; n = -0,15; y = 1.

Кр - поправочный коэффициент


Где - поправочный коэффициент, учитывающий влияние качества обрабатываемого материала, рассчитывается по формуле:


поправочный коэффициент, учитывающий главный угол в плане резца, = 1;

- поправочный коэффициент, учитывающий передний угол резца, = 1,25;

поправочный коэффициент учитывающий угол наклона главного лезвия, = 1;

Подставим найденные значения в формулу, и определим силу резания:

Подставим найденные значения в формулу, и определим мощность резания:

Мощность шпинделя станка по формуле:


Проверка

Nшп ≥ Nдв

,6 > 1,33кВт - условие выполняется, следовательно, резание возможно, будем использовать станок 16К20Ф3 на данной операции.

При среднесерийном типе производства определяется норма штучного калькуляционного времени по формуле:

,

Где Тп.з. - норматив подготовительно-заключительного времени на настройку оборудования и установку приспособления. Время на установку инструмента. время на получение инструмента до начала работы и сдача после окончания. Т. к. практически вся работа выполняется при одной наладке на станке с ЧПУ принимаем Тп.з = 0 мин.

n - количество деталей в партии. = 118шт.

Определим норму штучного времени по формуле:


Где То - основное время выполнения операции, мин;

Тв - вспомогательное время, мин;

Вспомогательное время определяется по формуле:

,

Где Тус - время. Затраченное на установку и снятие детали, мин;

Туп - время на приемы управления станком, мин;

Тиз - время на измерение деталей, мин;

К - поправочный коэффициент, = 1,85;

Тоб - время на обслуживание рабочего места, мин;

Тот - время перерывов на отдых и личные надобности, мин.

Все взятые значения умножаем на коэффициент 1,85, что соответствует серийному производству.

Основное время рассчитывается по формуле:


Где n - частота вращения шпинделя, = 200 об/мин;

So - осевая подача на оборот, = 0,45 мм/об;

Lр.х - длина рабочего хода, = 94 мм.

Рассчитаем длину рабочего хода по формуле:


Где В - длина обрабатываемой поверхности (равна глубине резания), =2,25мм;

lвр - длина врезания, мм;

lпер - длина перебега.

lвр = tctg 45°+ (0,5…2) = 4,25 мм.

lпер = 1…3, принимаем =1мм.

Тус - время. Затраченное на установку и снятие детали, мин;

Туп - время на приемы управления станком, мин;

Тиз - время на измерение деталей, мин;

Тус = 1,32 мин;

Туп =0,20 мин;

Тиз = 0,13 мин.

Тв = (1,32+0,20+0,13) 1,85 = 3,05 мин.

Оперативное время определяем по формуле:


Время на обслуживание рабочего места и отдых

Норма штучного времени

.

Норма штучно-калькуляционного времени на операцию



3. КОНСТРУКТОРСКИЙ РАЗДЕЛ

.1 Описание и расчет режущего инструмента

При выборе режущего инструмента руководствуемся следующими правилами:

·        Отдаем предпочтение стандартным и нормализованным инструментам;

·        Инструментальный материал должен выполнить требования максимальной стойкости инструмента с одной стороны, а с другой - его минимальный стоимости;

·        Выбираем инструмент, оснащенный пластинами из твердого сплава.

На операции 005 центровально-подрезной используются пластина Т15К6 ГОСТ 19043-82 и сверла центровочные тип А ГОСТ 14952-75.

На операции 010 и 015 токарной применяются резцы проходные упорные с пластинами Т5К10 для черного точения и Т15К6 для чистого ГОСТ 18881-73.

На операции 020 токарной применяются резец канавочный для точения канавки и резьбовый резец для нарезки резьбы.

На операции 025 фрезерной используется фреза концевая из Р6М5 ГОСТ 17025-71.

На операции 030 зубофрезерной используется червячная фреза тип 2 из быстрорежущей стали Р6М5 ГОСТ 9324-80.

На операции 035 шлифовальная головка EW 10х25 ГОСТ 2447-82 34А20СТ16К5.

На операции 040 применяется шлифовальный круг ЗП 300х20х127, на 045 ПВК 300х20х127. 25А25С112К7 по ГОСТ 2424-83.

На операции 050 зубошлифовальной применяется шлифовальный круг по ГОСТ 2424-83 2П 300х20х127 25А25С112К7.

В качестве инструмента для точения канавки под выход резьбы используем фасонный канавочный резец с пластиной из твердого сплава.

Материал пластины Т15К6 ГОСТ 2209-82;

Материал державки резца Сталь 45 ГОСТ 1050-88

Геометрические параметры резца:

Передний угол γ=12˚;

Задний угол α =10˚;

Ширина пластины b=10 мм;

Описание канавочного резца.

Канавочный (прорезной) резец - это специальный инструмент, форма режущих кромок которого определяется формой профиля обрабатываемой канавки.

Канавочные (прорезные) резцы применяются для обработки поверхностей вращения цилиндрических поверхностей на токарных и револьверных станках, автоматах и полуавтоматах. В процессе обработки заготовка вращается вокруг своей оси, а резец совершает поступательное движение подачи.Резцы с таким направлением подачи называют радиальными.

Расчет канавочного резца

Т.к. режимы резания уже рассчитаны в пункте 2.4.2 данной работы перейдем к расчету размеров державки канавочного резца.

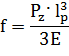
Определяем изгибающий момент, действующий на резец по формуле:


где:

PZ - вертикальная составляющая силы резания.

Р = 1,5·h - максимальный вылет резца.

Выбираем марку твердого сплава режущей пластины, величины подачи и скорость резания:

Марка твердого сплава: Т15К6

Подача: S = 0,2 мм/об- так как врезная подача при точении

Определим скорость резания по формуле:


где: Vтабл - табличное значение скорости резания, = 80 м/мин;

К1 - коэффициент, учитывающий обрабатывающий материал, = 0,75;

К2 - коэффициент, учитывающий поверхность обрабатываемой заготовки, =1;

К3 - коэффициент, учитывающий твердость пластины, =0,8;

К4 - коэффициент, учитывающий главный угол в плане, = 1.

 м/мин

Определяем силу резания по формуле:


где:  - табличное значение силы резания, =8600Н;

К1 - коэффициент, учитывающий зависимость от твердости обрабатываемого материала, = 0,85;

К2 - коэффициент, зависящий от скорости резания и переднего угла, = 1,0

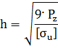
Определим высоты державки по формуле:



где: - допускаемое значение изгибающих напряжений в державке резца из Стали 45, =110 МПа.

Принимаем державку с размерами h=25, b=16 по ГОСТ 18884 - 85, ближайшую к расчётной.

Р = 1,5·25 = 37,5 мм.

В соответствии с ГОСТ выбираем основные размеры державки:


h=25 мм; b=16 мм; L=140 мм.

Проверяем допускаемую стрелу прогиба державки резца:


где: E- модуль упругости обрабатываемого материала, =1,9…2,15 105 МПа

f - допускаемая величина прогиба, = 0,05мм.

Следовательно, прогиб резца не будет влиять на процесс резания.

3.2 Описание и расчет мерительного инструмента

При выборе средств контроля размеров. Формы и расположения обработанных поверхностей будем руководствоваться следующими принципами:

·        Точность измерительных средств должна составлять ¼ допуска на измеряемый размер.

·        Выбирать и применять в основном контрольные средства общего назначения.

Для контроля наружных диаметров назначаем калибры-скобы, для внутренних диаметров назначаем калибры-пробки и калибры для измерения расположения поверхностей.

Описание калибра-скобы.

Различают калибры однопредельные (с проходной или с непроходной стороной) и двупредельные (сочетающие проходную и непроходную стороны). Среди двупредельных калибров различают односторонние (проходная и непроходная стороны последовательно расположены друг за другом на одном конце калибра) и двусторонние (проходная и непроходная стороны расположены на противоположных сторонах калибра).

Калибры - скобы бывают нерегулируемые и регулируемые, последние позволяют в известных пределах перенастраивать свой размер для контроля несколько отличных предельных размеров или же для компенсации износа измерительных поверхностей скобы.

К калибрам предъявляют ряд метрологических, конструктивных, технологических и эксплуатационных требований. Метрологические требования сводятся к соблюдению принципа Тейлора, согласно которому калибр ПР должен быть по возможности полным, а НЕ, наоборот, должен иметь точечный контакт с контролируемой деталью. Для калибров - скоб особенно важно сочетание минимального веса с максимальной жесткостью.

Важное метрологическое и эксплуатационное значение имеет усилие введения пробки в деталь или надевания скобы на нее. Чрезмерное усилие вызывает проникновение бракованных деталей в годные, а кроме этого ускоренный износ калибров, используемых при этом как обрабатывающий инструмент. Практическое правило введения калибра под действием его силы тяжести для скоб - при горизонтальной оси контролируемой детали пригодно лишь в первом приближении и только для средних размеров. Для малых размеров сила тяжести калибра недостаточна, для больших - чрезмерна. Поэтому рекомендуется регламентировать это усилие и обучать рабочих и персонал ОТК обеспечивать его с достаточной точностью на ощупь. Погрешность контроля калибрами связана с их тепловыми деформациями. При нагревании скоб руками контролера возникает погрешность, составляющая существенную часть в общей погрешности контроля. При обеспечении надежной изоляции от тепла рук происходит заметное уменьшение погрешности. У стандартных скоб для диаметров, начиная с 10 мм, предусмотрены пластмассовые накладки.

Измерительные поверхности калибров изготавливают из инструментальной стали (хромистой или иной), закаленной до высокой твердости, подвергают хромовому износоустойчивому покрытию; используют и твердосплавные вставки. Оснащение рабочих поверхностей калибров твердым сплавом марки ВК6 или ВК6М повышает их износостойкость в десятки раз. Основная причина снижения износостойкости калибров - истирание измерительных поверхностей в процессе их эксплуатации.

Расчет калибра-скобы.

Калибр-скоба для контроля диаметра шейки вала)

Отклонения калибра отсчитываем от соответствующих предельных размеров изделия.

Определяем предельные размеры нужного нам диаметра:


В качестве исполнительного размера калибра-скобы берется наименьший предельный размер с положительным отклонением, равным допуску на изготовление калибра.

Определяем предельные размеры калибра-скобы по формулам:


Где Z1 - отклонение середины поля допуска на изготовление проходного калибра для вала относительно наибольшего предельного размера вала, =5мкм;

Y1 - допустимый выход размера изношенного проходного калибра для вала, за границу поля допуска изделия. =4 мкм;

 - величина для компенсации погрешности контроля калибрами валов, = 0 мкм;

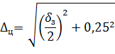
Н1 - допуск на изготовление калибров для вала, = 6 мкм.

=

Считаем износ по формуле:



ЗАКЛЮЧЕНИЕ

В данном проекте разработан технологический процесс обработки вала-шестерни.

Поставленные задачи были решены в полном объеме, результаты работы представлены в графической части проекта.

Получение заготовок на ГКМ, нормирование режимов резания, минимальные припуски, большой коэффициент использования материала, использование станков с ЧПУ - все это позволяет получить прогрессивный технологический процесс обработки детали.

Парк оборудования подобран образом, что практически не отличается от оснащения металлообрабатывающих цехов любого предприятия, занимающегося выпуском серийной продукции.

Проведенные расчеты режимов резания и норм времени выполнены в полном объеме.

Имеющиеся графические документы (чертежи) могут быть тем самым необходимым минимумом для постановки техпроцесса на производство. В целом же техпроцесс отвечает требованиям серийного производства как по глубине проработки, так и по объему выполненных работ.

СПИСОК ЛИТЕРАТУРЫ

1.      Горбацевич А.Ф. Курсовое проектирование по технологии машиностроения. Мн.; Высшая школа, 1983г.

.        Добрыднев И.С. Курсовое проектирование по предмету технологии машиностроения М.; Машиностроение, 1984г.

.        Нефедов Н.А., Осипов К.А. Сборник задач и примеров по резанию металлов и режущего инструмента -М.; Машиностроение, 1990г.

.        Методические указания для учащихся средних специальных учебных заведений. Курсовое проектирование по предмету «Технология машиностроения», части 1, 2, 3. Орск 2011г.

.        Режимы резания металлов; Справочник; /Под ред. Барановского Ю.В./М.: Машиностроение, 1975г.

.        Справочник технолога машиностроителя. /Под ред. Косиловой Л. Г./т.1 М: машиностроение. 1985г.

.        Справочник технолога машиностроителя. /Под ред. Косиловой Л.Г./т.2 М.: Машиностроение, 1973г.

.        ГОСТ 24853-81 «Калибры гладкие ля размеров до 500мм»

Похожие работы на - Технологический процесс обработки вала-шестерни

 

Не нашли материал для своей работы?
Поможем написать уникальную работу
Без плагиата!
Без нейросетей!