Технологический процесс детали 'Вал-шестерня' в условиях серийного производства

  • Вид работы:
    Курсовая работа (т)
  • Предмет:
    Другое
  • Язык:
    Русский
    ,
    Формат файла:
    MS Word
    393,93 Кб
  • Опубликовано:
    2014-08-14
Вы можете узнать стоимость помощи в написании студенческой работы.
Помощь в написании работы, которую точно примут!

Технологический процесс детали 'Вал-шестерня' в условиях серийного производства

ВВЕДЕНИЕ

Темой курсового проекта является технологический процесс детали «Вал-шестерня» в условиях серийного производства. Годовая программа выпуска 15000 штук.

Целью курсового проекта является обоснования методики проектирования технологического процесса изготовления детали типа «Вал-шестерни» и разработка единичного технологического процесса изготовления детали «Вал-шестерни» в условиях серийного производства.

Задачи: вал деталь заготовка

) Изучить литературу (техническую и справочную) по данной теме

) Изучить методику проектирования технологического процесса изготовления типовых деталей

) Обосновать выбор способа получения заготовки, определить размеры и припуски на механическую обработку поверхностей заготовки и разработать рабочий чертеж заготовки

) Разработать технологический процесс изготовления детали «Вал-шестерня» в условиях серийного производства.

В теоретической части курсового проекта будут изучены:

) Назначение и конструкция детали «Вал-шестерня»

) Химический и механические свойства детали

) Метод получения заготовки

) Организация производственного процесса в условиях серийного производства

) Технологическое оборудование

) Режущий инструмент

) Контрольно-измерительный инструмент

В конструкторской части курсового проекта необходимо разработать следующие чертежи с соответствиями ЕСКД:

) Детали «Вал-шестерни»

) Заготовки отливки

) Режущий инструмент «Фреза концевая Ø14 Р6М5 ГОСТ 17025-71»

) Контрольно-измерительного инструмента «Калибр-скобы ПР и НЕ Ø45f7 ГОСТ 18362-73»

ОБЩАЯ ЧАСТЬ

Описание конструкции детали и ее эксплуатационное назначение

Вал-шестерня - это объединение в одном узле механизма и вала, и шестерни. При этом шестерня нарезается в теле вала и ее диаметр может быть максимум в два раза больше основного диаметра вала, в то время как на прямой вал шестерня насаживается и может быть намного больше по диаметру.

Изготовление валов-шестерен производится с целью применения их на различных производствах в редукторах и приводных механизмах.

При изготовлении зубчатых колес для реализации передачи вращающего момента, возможны 2 варианта закрепления шестерни на валу:

) вал-шестерня (шестерня и вал являются одним целым);

) насадная шестерня (шестерня крепится к валу при помощи какого-либо вида соединения).

Валы -шестерни, передающие крутящий момент с одного вала на другой, считаются одним из наиболее быстро изнашиваемых узлов механизма несмотря на то, что изначально производится гораздо более прочной и износостойкой, чем обычные шестерни. Тем не менее, огромные всесторонние нагрузки, испытываемые вал-шестерней в рабочем процессе, весьма быстро приводят ее в абсолютно непригодное к работе состояние. Таким образом, необходимость замены данного узла механизма требует внимательного наблюдения и своевременной реакции во избежание потерь рабочего времени.

Как несложно догадаться: с точки зрения качества, вал-шестерня обладает превосходством перед насадной шестерней в совокупности с валом. Такая конструкция является более надежной, жесткой и точной. Сегодня редукторы изготавливаются чаще на основе валов-шестерен, однако возникает необходимость применения и насадных шестерен, когда шестерня должна двигаться вдоль оси вала в процессе работы.

Также использование разъемных конструкций позволяет выполнить шестерню и вал из разных материалов. В некоторых случаях раздельное соединение предпочитают с точки зрения практичности, поскольку при замене сломанных деталей обе составляющие менять не приходится.

При высоких передаточных коэффициентах зубья нарезают прямо на поверхности вала. Но такое изготовление валов-шестерен относится к более сложным производственным задачам, поскольку затруднен процесс фрезерования и шлифование зубьев.

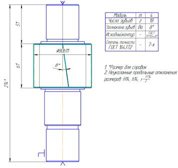
Чертеж вала-шестерни содержит все необходимые сведения о детали.

Рассмотрим все обрабатываемы поверхности вала-шестерни с целью установления метода обработки.

С двух сторон вала имеются две опорные шейки Ø45f7, предназначенные для установки подшипников. Заодно с валом выполнена прямозубая шестерня.

На поверхности Ø50к6 имеется закрытый шпоночный паз (в = 14N9).

Поверхности Ø45f7 выполнены по 7 квалитету, шероховатость Ra 1,25 мкм; поверхность Ø50к6 выполнена по 6 квалитету, шероховатость Ra 1.25 мкм; поверхность Ø80h11 выполнена по 11 квалитету, шероховатость Ra 2,5 мкм. Остальные поверхности выполнены по 14 квалитету, шероховатость Rz 40.

Допуск радиального биения Ø45f7 относительно оси - 0,02 мм, Ø80h11 - 0,08 мм.

Эти требования необходимо для обеспечения точности установки вала в корпусе, а затем для обеспечения кинематической точности зубчатого зацеплении.

Таблица 1 Технические требования, методы их выполнения и контроля

Содержания требования

Когда, каким методом и средствами можно пояснить это требования

Как и какими средствами можно проверить выполнения требования

Допуск радиального биения поверхности Ø45f7 относительно оси не более 0,02 мм, Ø80h11  относительно оси не более 0,08 мм

Чистовым шлифованием с использованием единых технологических баз (центровых отверстий)

На контрольных центрах с помощью индикатора


Далее проводим анализ технологичности конструкции детали.

По чертежу детали устанавливаем:

. Диаметральные размеры шеек вала убывают к концу вала

. Заменить закрытый шпоночный паз на Ø80h11открытым - возможности нет, т.к справа расположена точная поверхность Ø45f7, предназначенное для посадки подшипника, которая может быть повреждена при обработке открытого паза

. Вал жесткий, т.к L/dcp = 214:55 = 3,89, т.е менее 10.

Следовательно, в серийном производстве, вал-шестерню можно обрабатывать на универсальных станках с ЧПУ и применять стандартизированные режущие и измерительные инструменты. Вал-шестерня изготавливается из легированной стали марки Сталь 50 ГОСТ 1050-88.

На основании проведенного анализа можно заключить, что конструкция вала-шестерни технологична и не вызывает трудностей в производстве.

Материал детали и ее свойства

Для изготовления данной детали используется Сталь 50.

Сталь 50 ГОСТ 1050-88 сталь конструкционная углеродистая качественная, применяется для зубчатых колес, прокатных валов, штоков, тяжелонагруженных валов, осей, малонагруженных пружин и рессоров, муфт сцепления коробок передач, корпусов форсунок и других деталей, работающие на трение.

Таблица 2 Химический состав в % стали 50 ГОСТ 1050-88

C

Si

Mn

Ni

S

P

Cr

Cu

As

0.47-0.55

0.17-0.37

0.5-0.8

до 0.25

до 0.04

до 0.035

до 0.25

до 0.25

до 0.08


Таблица 3 Механические свойства

Сортамент

Размер

Напр.

ψ

KCU

Термообр.

-

мм

-

Мпа

Мпа

%

%

кДж/

-

Поковки

до 100

Прод.

570

315

17

38

390

Нормализация

Поковки

100-300

Прод.

530

275

17

38

340

Нормализация


КП - категория прочности;

в - предел текучести, условный, МПа;

т - временное сопротивление разрыву, МПа;

5  - относительное удлинение после разрыва, %;

ψ - относительное сжатие, %;- ударная вязкость, определённая на образце, Дж/см2;


ТЕХНОЛОГИЧЕСКАЯ ЧАСТЬ

Выбор вида и метода получения заготовки

Штамповка на горизонтально - ковочных машинах. Горизонтально-ковочные машины предназначены для штамповки поковок типа стержней с утолщением на концах втулок и т.п. Преимущественно штамповки на горизонтально-ковочных машинах перед штамповкой на прессах более высокая производительность, возможность штамповки без заусенцев, получение поковки без отхода металла на образование отверстий при пробивки и обеспечение волокнистой макроструктуры. Для штамповки используют сортовой прокат круглого сечения и трубы. Штамповки выполняют из штучных заготовок или прутка.

Штамп имеет три части неподвижную матрицу в гнезде станины, подвижную матрицу в подвижной шейке и пуансоны, закреплённые в главном ползуне машины. Штампуемый пруток подаётся до упора и зажимается матрицами. Штамп имеет разъём по двум взаимно-перпендикулярным плоскостям, благодаря чему напуски на поковках и штамповочные уклоны малы или отсутствуют. При движении пуансона на встречу матрицам форма поковки получается благодаря заполнению металлом полости сомкнутых матриц. При обратном ходе машины пуансон и подвижная матрица возвращаются в исходное положение и поковку извлекают из ручья. Штамповка горизонтально-ковочных машинах осуществляется обычно за несколько переходов в ручьях, оси которых расположены одна над другой. Каждому переходу соответствует один рабочий ход машины.

Проектирование техпроцесса штамповки поковок на горизонтально-ковочных машинах выполняется с учётом основных правил высадки, исключающих возникновение продолжительного щита и брака по зажимам.

Штамповкой на горизонтально-ковочных машинах получают поковки массой 0,1 - 100кг. с max диаметром 315мм. Штамповочных на горизонтально- ковочных машинах является одним из производительных способов и может быть рентабельным для определённого вида заготовок. Производительность до 100 поковок в час. Штамповка производится из прутков и труб горячекатаного металла повышенной точности, длиной од 4м и диаметром 20 - 270мм. Иногда используют холоднотянутую сталь, что значительно повышает точность поковки. Допуски и припуски на поковку, изготовленную на горизонтально-ковочных машинах регламентируется по ГОСТ 7505-55.

Определение размеров допустимых отклонений и припусков на механическую обработку поверхностей заготовки

Таблица 4 Припуски на размеры

Размеры детали

Припуск z ×2

Размеры заготовки

1.

Ø45 f7 Ra 1.25

2.

Ø80 h11 Ra 1.25

3.

Ø 50 k6 Ra 1.25

4.

Ø45 f7 Ra 1.25

5.

48 ± Ra 8

6.

50 ± Ra 8

3.5

8.

100 ± Ra 8

9.

214 ± Ra 8


Припуск определяется табличным методом.

Размер заготовки определяется по формуле:

Для вала:

заг=Dдет+2Zо

Для отверстия:

заг=Dдет-2Zо,

где  Dзаг - диаметр заготовки, мм;дет - диаметр детали, мм;о - общий припуск на заготовку, мм

Определение массы заготовки

Массу заготовки находим по формуле:

,

где Mз - масса заготовки, кг

Vз - объем фигуры заготовки, мм3                 

 - плотность материала, для стали 50 плотность равна 7,8510 -6 , кг/мм3

Объём фигуры заготовки находим по формуле:

,

где D - диаметр фигуры заготовки, мм

 -длина фигуры заготовки, мм

Определим объём каждого цилиндра заготовки:


В результате масса заготовки:


Расчет коэффициента использования материала

Основным показателем, характеризующим экономичность метода изготовления заготовок, является коэффициент использования материала (КИМ), который определяется по формуле:

 ,

где  - масса детали

 - масса заготовки


Исходя из результатов расчёта, КИМ соответствует среднесерийному типу производства, 73% материала остается в детали, 27% материала уходит в стружку.

Тип производства и его технико-экономическая характеристика

Серийное производство характеризуется ограниченной номенклатурой изделий, изготовляемых или ремонтируемых периодически повторяющимися партиями, и сравнительно большим объёмом выпуска.

В зависимости от количества изделий в партии или серии и значения коэффициента закрепления операций различают мелкосерийное, среднесерийное и крупносерийное производство.

Коэффициент закрепления операций определяется отношением числа всех различных технологических операций, выполненных или подлежащих выполнению в течение месяца, к числу рабочих мест. В соответствии с ГОСТ

.1108-74 коэффициент закрепления операций составляет: для мелкосерийного производства - свыше 20 до 40 включительно; для среднесерийного - свыше 10 до 20 включительно; для крупносерийного - свыше 1 до 10 включительно.

Серийное производство является основным типом современного машиностроительного производства. По всем технологическим и производственным характеристикам серийное производство занимает промежуточное положение между единичным и массовым производством.

Объём выпуска предприятий серийного типа производства колеблется от десятков и сотен до тысяч регулярно повторяющихся изделий. Используется универсальное и специализированное и частично специальное оборудование.

Широко используются станки с ЧПУ, обрабатывающие центры и находят применение гибкие автоматизированные системы станков с ЧПУ, связанны транспортирующими устройствами и управляемых от ЭВМ. Оборудование расставляется по технологическим группам с учетом направления основных грузопотоков цеха по предметно-замкнутым участкам. Однако одновременно используются групповые поточные линии и переменно-поточные линии.

Технологическая оснастка в основном универсальная, однако, во многих случаях (особенно в крупносерийном производстве) создается

высокопроизводительная специальная оснастка; при этом целесообразность её создания должна быть предварительно обоснована технико-экономическим расчётом.

Большое распространение имеет универсально-сборная, переналаживаемая технологическая оснастка, позволяющая существенно повысить коэффициент оснащенности серийного производства. В качестве исходных заготовок используется горячий и холодный прокат, литьё в землю или под давлением, точное литьё, поковки и точные штамповки и прессовки, целесообразность применения которых также обосновывается технико-экономическими расчётами. Требуемая точность достигается как методами автоматического получения размеров, так и методами пробных ходов и промеров с частичным применением разметки.

Средняя квалификация рабочих выше, чем в массовом производстве, но ниже, чем в единичном. Наряду с рабочими высокой квалификации, работающими на сложных универсальных станках, и наладчиками используются рабочие-операторы, работающие на настроенных станках.

В зависимости от объёма выпуска и особенностей изделий обеспечивается полная взаимозаменяемость, неполная, групповая, взаимозаменяемость сборочных единиц, однако в ряде случаев на сборке применяется компенсация размеров и пригонка по месту. 

Технологическая документация и техническое нормирование подробно разрабатываются для наиболее сложных ответственных заготовок при одновременном применении упрощенной документации и опытно-статистического нормирования простейших заготовок.

В зависимости от размеров партий выпускаемых изделий характер технологических процессов серийного производства может изменяться в широких пределах, приближаясь к процессам массового (в крупносерийном) и единичного (в мелкосерийном) типа производства. Правильное определение характера проектируемого технологического процесса и степени его технической оснащенности, наиболее рациональных для данных условий конкретного серийного производства, является очень сложной задачей, требующей от технолога понимания реальной производственной обстановки, ближайших перспектив развития предприятия и умения проводить серьёзные технико-экономические расчёты и анализы. Крупносерийное производство специализируется на выпуске продукции сравнительно узкой номенклатуры изделий в больших количествах. Оно характерно для многих процессов в машиностроении, коэффициент закрепления равен 2-10.

Расчет припуска аналитическим методом

Величина припуска влияет на себестоимость изготовления детали, при увеличении припуска повышаются затраты труда, расход материала и другие производственные расходы. А при уменьшении приходится повышать точность заготовки, что также увеличивает себестоимость изготовления детали; для более точного определения припуска на обработку и предотвращение расходов материала применяют аналитический метод для каждого конкретного случая, с учётом всех требований выполнения заготовок и промежуточных операций.

Аналитический метод определения припусков базируется на анализе производственных погрешностей, возможных при конкретных условиях обработки заготовки.

Таблица 5 Сводная таблица припусков и промежуточных размеров

Вид заготовки  Технологичес-кие  операции

Точность заготовки и обрабатываемой поверхности

Допуск на размер, T, мм

Элементы припуска

Промежуточ-ные размеры заготовки, мм

Промежуточ-ные размеры, мм




Rz

T

Ro

Ey

Дmax

Дmin

2Zmin

2Zmax

Заготовка (штамповка)

11 класс

3.2

240

250

842.8

800

52.012

48.85

-

-

Токарная черновая

h12

0.25

50

50

-

-

45.762

45.55

3.3

6.25

Токарная получистовая

h11

0.16

25

25

50.6

48

45.319

45.21

0.34

0.43

Шлифование предварительное

h8

0,039

10

10

-

-

45.025

45.11

0.1

0.22

Шлифование чистовое

f7

0,025

5

15

-

-

44.975

44.95

0.06

0.074


. Назначаем элементы припусков (Rz и T) в зависимости от метода обработки поверхности заготовки

= 240 мкм, Т= 250 мкм

После черного точения:

= 50 мкм, Т= 50 мкм

После получистового точения:

= 25 мкм, Т= 25 мкм

После предварительного шлифования:

= 10 мкм, Т= 20 мкм

3. Рассчитываем пространственное отклонение ρо по формуле:

,

где  - величина отклонения расположения, мкм

 - величина отклонения расположения заготовки при центровке, мкм

Величину отклонения расположения штамповки определяют:

,

где у - величина удельного отклонения расположения, мкм/мм;

Lк - расстояние от сечения, для которого определяют величину отклонения расположения до места крепления заготовки, мм. Lк  0,5L (L общая длина заготовки, мм)


Определяем величину расположения заготовки при центровки:

,

где Тзаг. - допуск на диаметр базовой поверхности заготовки, использованный при центровке, мм


Определяем пространственное отклонение ρо по формуле:

. Определяем погрешность установки при базировании в центрах заготовки по формуле:

,

где ТДзаг - допуск на диаметральный размер заготовки, мм


5. Определяем минимальный припуск на черновую токарную обработку по формуле:


Определяем максимальный припуск на черновую токарную обработку по формуле:

,

где  - допуск на диаметр на предшествующем технологическом переходе, мм

 - допуск на диаметр на выполняемо технологическом переходе, мм



6. Определяем величину остаточного суммарного расположения заготовки после выполнения черновой токарной обработки поверхности по формуле:

,

где Ky - коэффициент уточнения


7. Определяем величину погрешности установки при получистовой токарной обработки поверхности заготовки:


8. Определяем минимальный припуск на получистовую токарную обработку:


Определяем максимальный припуск на получистовую токарную обработку:


9. Определяем минимальный припуск на предварительную шлифовальную обработку поверхности:


Определяем максимальный припуск на предварительную шлифовальную обработку поверхности:


10. Определяем минимальный припуск на чистовое шлифование поверхности:


Определяем максимальный припуск на чистовое шлифование поверхности:


. Рассчитаем промежуточные минимальные размеры при обработке поверхности

После предварительного шлифования:

,

где Дmin дет - минимальный диаметр обрабатываемой поверхности детали, мм

, где

Дном.дет - номинальный диаметр детали, мм

Ei - нижнее отклонение, мм

 мм


После получистового точения:


После черного точения:

Для заготовки:


12. Рассчитаем промежуточные максимальные размеры при обработки поверхности:


,

где Дmax дет - максимальный диаметр обрабатываемой поверхности детали, мм

,

где Es - верхнее отклонение, мм

 мм


После получистового точения:


После черного точения:

Для заготовки:


Рисунок 1 Схема графического расположения полей допусков и припусков по обрабатываемой поверхности.

Разработка маршрутного технологического процесса

Таблица 6 Маршрутный технологический процесс

Номер операции

Наименование операции, операционный эскиз, технологические базы

Технологическое оборудование, режущий и измерительный инструмент

 

1

2

3

 

000

Заготовительная

ГКМ

 

005

Фрезерно-центровальная См. карту эскизов

Фрезерно-центровальный полуавтомат 2Г942.00.  Тисы с призматическими губками ГОСТ 21168-75. Торцевые насадные мелкозубые фрезы со вставными ножками, оснащённые пластинками из твердого сплава ГОСТ 9473-80. Центровые сверла тип В ГОСТ 14952-75. Пробка для центрового отверстия. Шаблон для контроля длины.

 

010

Токарная с ЧПУ См. карту эскизов

Токарно-винторезный станок 16К20Ф3. Центр упорный с конусностью 1:10 ГОСТ 14034-74. Центр вращающийся ГОСТ 8742-75. Резец токарный проходной упорный с пластиной из твердого сплава Т15К6 ГОСТ 18878-73. Резец токарный проходной отогнутый с пластиной из твердого сплава Т15К6 ГОСТ18878-73

 



Калибр-скоба ПР и НЕ Ø45f7 ГОСТ 18360-93 Калибр-скоба ПР и НЕ Ø50fk8 ГОСТ 18360-93 Калибр-скоба ПР и НЕ Ø80h11ГОСТ 18360-93 Калибр-скоба ПР и НЕ Ø80h14ГОСТ 18360-93 Калибр-скоба ПР и НЕ Ø45f7 ГОСТ 18360-93 Калибр-скоба канавочная ПР и НЕ Ø43h14, ширина канавки 3мм  ГОСТ18360-93 Калибр-скоба канавочная ПР и НЕ Ø48h14, ширина канавки 3мм  ГОСТ18360-93 Калибр-скоба канавочная ПР и НЕ Ø48h1  Ø48h14, ширина канавки 5 мм   ГОСТ1 8360-93. Шаблоны на длины.

 

015

Фрезерная См. карту эскизов

Фрезерный станок 6520Ф3.  Фрезерное приспособление. Призмы станочные ГОСТ 12195-66. Концевая фреза с цилиндрическим хвостовиком Ø14 Р6М5 ГОСТ 17025-71.  Калибр пробка ПР и НЕ на длину 40 и ширину 14N9.

 

 

1

2

3

 

020

Зубофрезерная См. карту эскизов

Зубофрезерный станок 5К-301. Фреза дисковая зубонарезная m=4, Р6М5К5 Z 18, d пос.=22, D=80. Зубомер.

 

025

Термообработка

(Установка индукционная нагревательная)

 

030

Круглошлифовальная См. карту эскизов

Круглошлифовальный станок 3У10В.  Пневмошпиндель.  Шлифовальный круг плоский прямого профиля ПП 200×32×20 24А 16 СМ1 6 К5 35м/c А 1 кл. ГОСТ2424-83. Профилометр мод.283 по ГОСТ 19300-86.

 

035

Зубошлифовальная См. карту эскизов

Зубошлифовальный станок 5В832. Центр упорный с конусностью 1:10 ГОСТ 14034-74. Центр вращающийся ГОСТ 8742-75.  Зубошлифовальный абразивный инструмент конического профиля   ЗП 100×20×10 43А 16 СМ1 16 К5 35м/c А 1 кл. Профилометр мод.283 по ГОСТ 19300-86.

 

040

Контрольная



Карта эскизов

Операция 005 Фрезерно-центровальная


Операция 010 Токарная


Операция 015 Фрезерная



Операция 020 Зубофрезерная


Операция 030 Круглошлифовальная



Операция 035 Зубошлифовальная


Выбор и описание технологического оборудования

Выбор технологического оборудования является одной из важнейших задач при разработке технологического процесса механической обработки заготовки. От правильного выбора зависит правильность изготовления детали, экономное использование производственных площадей, механизации и автоматизации ручного труда, электроэнергии и в итоге себестоимость изделия.

Операция 005 Фрезерно-центровальная

Фрезерно-центровальный полуавтомат 2Г942.00.

Пределы длины обрабатываемых заготовок, мм:

100-2000

Пределы диаметров устанавливаемых в тисках заготовок, мм:

20-160

Диаметры применяемых центровочных сверл, мм:


    стандартных типа А и R 3

15-10

    стандартных типа В

2-8

    специальных

до 12

Наибольший диаметр сверления, мм

16

Наибольший диаметр фрезерования, мм

150

Наибольший диаметр устанавливаемой фрезы, мм

160

Наибольший диаметр подрезаемого торца (по стали 45, НВ 207), мм

50

Наибольший диаметр подрезаемой кольцевой поверхности (по стали 45, НВ 207), мм

100/80

Наибольший диаметр обточки шеек, мм

100

Наибольший диаметр растачиваемых отверстий, мм

100

Длина обточек шеек, мм

40

Количество шпинделей

4

Пределы частот вращения шпинделей, мин-1:


    сверлильного

159 - 1588

     фрезерного

 130 - 740

Пределы бесступенчатых подач сверлильного шпинделя, мм/мин.

      20 - 2000

Пределы бесступенчатых подач фрезерного шпинделя, мм/мин.

20 - 2000

Ход пиноли сверлильного шпинделя, мм

100

Электрооборудование


Род тока питающей сети

переменный 3-х фазный

Частота тока, Гц

50

Напряжение, В

380/220

Количество электродвигателей

9

Суммарная мощность электродвигателей, кВт

36,28

Гидрооборудование


Вместимость резервуаров гидростанции, л

100

Рабочее давление в гидросистеме, МПа

3,5-4,0

Производительность, л/мин.

50

Габаритные размеры полуавтомата, мм:


    длина

3970...5470

    ширина

1750

    высота

2000


Операция 010 Токарная

Токарно-винторезный станок 16К20Ф3

Наибольший диаметр обрабатываемой заготовки:


над станиной

400

над суппортом

220

Наибольший диаметр прутка, проходящего через отверстие шпинделя

53

Наибольшая длина обрабатываемой заготовки

1000


Шаг нарезаемой резьбы:


метрической

до 20

Частота вращения шпинделя, об/мин

12,5 - 1600

Число скоростей шпинделя

22

Подача суппорта:


продольное

3 - 1200

поперечное

1,5-600

Число ступеней подач

Б/с

Наибольшее перемещение суппорта:


продольное

900

поперечное

250

Скорость быстрого перемещения суппорта, мм/мин:


продольного

4800

поперечного

2400

Мощность электродвигателя главного привода, кВт

10

Габаритные размеры (без ЧПУ):


длина

3360

ширина

1750

Масса, кг

4000


Операция 015 Фрезерная

Фрезерный станок 6520Ф3

Класс точности:

Н

Длина рабочей поверхности стола, мм:                                                    

630

Ширина стола, мм:                                                                                      

250

Наибольшее перемещение по осям X,Y,Z, мм:                  

500×250×350

Min частота вращения шпинделя об/м:                              

31,5

Max частота вращения шпинделя, об/м:                            

1600

Мощность, кВт:                                                                     

4


Размеры (Д×Ш×В), мм:                                                        

1480×1890×2185

Масса станка с выносным оборудованием, кг:                   

3700


Операция 020 Зубофрезерная

Фрезерный станок 6520Ф3

Наименьший и наибольший диаметр нарезаемых колес, мм

10-125

Наименьший и наибольший модуль нарезаемых колес, мм

0,5-2,5

Наибольший угол спирали нарезаемых колес в градусах                   

45

Наибольшее осевое перемещение изделия при обработке в мм:


прямозубых колес                                                                                            

150

с косым зубом (при угле 30°)

100

с косым зубом (при угле 45°)

80

Наименьшее и наибольшее расстояние от торца стола до оси инструмента в мм                                                                                              

100-250

Наименьшее и наибольшее расстояние от оси инструмента до оси изделия в мм                                                                                                        

20-135

Продольное перемещение инструмента в мм                                         

40

Ускоренное продольное перемещение изделия в м/мин                    

2

Размеры фрезы (диаметр X длина) в мм                                                   

100×90

Пределы чисел оборотов фрезы в минуту                                                

115-1000

Пределы осевых подач в мм/мин                                                               

0,37-47

Пределы радиальных подач в мм/мин                                                      

0,4-60

Пределы периодической подачи инструмента вдоль оси в мм         

0,5-0,06

Пределы тангенциальных подач в мм/мин                                             

0,1-40

Суммарная мощность электродвигателей в кВт                                     

2,9

Габариты станка (длина X ширина X высота) в мм                                      

1215×715×1680

Вес станка в кг                                                                                                   

6000


Операция 030 Круглошлифовальная

Круглошлифовальный станок 3У10В

Габариты, мм:

1250x1400x1690

Начало серийного производства:

1976

Мощность двигателя главного движения, кВт:

1.1

Масса станка с выносным оборудованием, кг:

1980

Класс точности:

В

Модель ЧПУ:

-

Минимальная частота вращения шпинделя, об/мин:

50000

Максимальная частота вращения шпинделя, об/мин:

80000

Длина шлифования, мм:

30


Операция 035 Зубошлифовальная

Зубошлифовальный станок 5В832

Класс точности:                                                                                      

В

Наибольший диаметр обрабатываемой детали, мм:                 

200

Наибольший модуль обрабатываемых зубчатых колес:            

5

Max частота вращения шпинделя, об/м:                                        

1500

Мощность, кВт.:                                                                                     

3

Размеры (Д×Ш×В), мм.:                                                                       

2110×2450×1985

Масса станка с выносным оборудованием, кг.:                            

7180

Выбор и описание станочных приспособлений

Операция 005 Фрезерно-центровальная

Тисы с призматическими губками ГОСТ 21168-75.

Операция 010 Токарная

Центр упорный с конусностью 1:10 ГОСТ 14034-74. Центр вращающийся ГОСТ 8742-75.

Операция 015 Фрезерная

Фрезерное приспособление. Призмы станочные ГОСТ 12195-66.

Операция 020 Зубофрезерная

Специальный цанговый патрон ГОСТ2876-80.

Операция 030 Круглошлифовальная

Центр упорный с конусностью 1:10 ГОСТ 14034-74. Центр вращающийся ГОСТ 8742-75.

Операция 035 Зубошлифовальная

Центр упорный с конусностью 1:10 ГОСТ 14034-74. Центр вращающийся ГОСТ 8742-75.

Выбор и описание режущего инструмента

Операция 005 Фрезерно-центровальная

Торцевые насадные мелкозубые фрезы со вставными ножками, оснащённые пластинками из твердого сплава ГОСТ 9473-80. Центровые сверла тип В ГОСТ 14952-75.

Операция 010 Токарная

Резец токарный проходной упорный с пластиной из твердого сплава Т15К6 ГОСТ 18878-73. Резец токарный проходной отогнутый с пластиной из твердого сплава Т15К6 ГОСТ18878-73. Резец токарный фасонный с пластиной из твердого сплава Т15К6 ГОСТ 18882-73. Резец токарный отрезной с пластиной из твёрдого сплава Т15К6 ГОСТ 18882-73.

Операция 015 Фрезерная

Фреза концевая Ø14 Р6М5 ГОСТ 17025-71

Материал:

Р6М5

Диаметр D, мм:

14

Длина общая L, мм:

83

Длина режущей части l, мм:

26

Количество зубьев:

5


Операция 020 Зубофрезерная

Фреза дисковая зубонарезная Р6М5К5 m=4, Z 18, d пос.=22, D=80

Операция 030 Круглошлифовальная

Шлифовальный круг плоский прямого профиля ПП 200×32×20 24А 16 СМ1 6 К5 35м/c А 1 кл. ГОСТ2424-83.

Круг плоский прямого профиля с размерами D×H×d = 200×32×20 мм, из электрорунда 25А с зернистостью 16, твердостью СМ1, со структурой 6, на керамической связке, для работы с окружностью до 35 м/c, класса точности А, неуравновешенностью 1-го класса.

Операция 035 Зубошлифовальная

Шлифовальный круг конического профиля ЗП 100×20×10 43А 16 СМ1 16 К5 35м/c А 1 кл. ГОСТ2424-83.

Круг конического профиля с размерами D×H×d = 100×20×10 мм, из электрорунда 43А с зернистостью 16, твердостью СМ1, со структурой 6, на керамической связке, для работы с окружностью до 35 м/c, класса точности А, неуравновешенностью 1-го класса.

Выбор и описание контрольно-измерительного инструмента

Операция 005 Фрезерно-центровальная

Пробка для центрового отверстия. Шаблон для контроля длины.

Операция 010 Токарная

Калибр-скоба ПР и НЕ Ø45f7 ГОСТ 18360-93

Калибр-скоба ПР и НЕ Ø50fk8 ГОСТ 18360-93

Калибр-скоба ПР и НЕ Ø80h11ГОСТ 18360-93

Калибр-скоба ПР и НЕ Ø80h14ГОСТ 18360-93

Калибр-скоба ПР и НЕ Ø45f7 ГОСТ 18360-93

Калибр-скоба канавочная ПР и НЕ Ø43h14, ширина канавки 3мм ГОСТ18360-93

Калибр-скоба канавочная ПР и НЕ Ø48h14, ширина канавки 3мм ГОСТ18360-93

Калибр-скоба канавочная ПР и НЕ Ø48h14, ширина канавки 5 мм ГОСТ18360-93

Шаблоны на длины.

Операция 015 Фрезерная

Шаблон на длину 40 мм

Калибр-пробка ПР и НЕ на ширину 14N9 мм

Операция 020 Зубофрезерная

Шаблон.

Операция 030 Круглошлифовальная

Профилометр мод.283 по ГОСТ 19300-86.

Операция 035 Зубошлифовальная

Профилометр мод.283 по ГОСТ 19300-86.

Расчет режимов резания по операциям

На операцию 015 Фрезерная

. t = 4.5 мм

. Sz = 0.01-0.025 мм/об

. Vтабл. = 26 м/мин

. Vд = 26×1,25×1,0×1,0×1,15=37,78 м/мин

. nрас. =   об/мин

. nпас. = 800 об/мин

. Vфак =  м/мин

. То =

Расчет технической нормы времени по операциям

На операцию 015 Фрезерная

То=0,15 мин

Тв=tуст. + ∑t пер.,

где tуст. - вспомогательное время на установку и снятие детали, мин


Тв=tуст. + ∑t пер. = 0,14+0,12+0,06+0,05+0,05=0,42 мин

,

где  - основное время, мин

 - вспомогательное время, мин

 - коэффициент на время, %

,

где Аотл - коэффициент на время, %

,

где Тобс - время на техническое обслуживание рабочего места, мин

Тотл - время на отдых и личные потребности, мин

,

где Тшт - штучно-калькуляционное время, мин

Тп.з - подготовительно-заключительное время, затрачиваемое на подготовку станка, получения необходимой технологической оснастки.- число обрабатываемых деталей в партии, шт

,

где N - годовая программа выпуска деталей, шт- необходимы запас заготовок на складед - число рабочих дней в году



КОНСТРУКТОРСКАЯ ЧАСТЬ

Расчет и проектирование режущего инструмента

Сконструировать концевую фрезу с коническим хвостовиком для обработки шпоночного паза в заготовке из углеродистой. Обработка ведется на вертикально-сверлильном станке 2Н125.

Определим силу резания :


 z - число зубьев фрезы

n - частота вращения фрезы, об/мин

Ср - коэффициент

Рsz - окружная сила при фрезеровании


Равнодействующая сила:


Расстояние между опорами фрезерной оправки принимают в зависимости от длины посадочного участка центровой фрезерной оправки l = 50 мм.

Суммарный момент, действующий на фрезерную оправку:


В единицах СИ:


Диаметр отверстия фрезы под оправку:


В системе СИ:


Расчет и проектирование контрольно-измерительного инструмента

Определяем размеры калибр-скоб для вала диаметром d - 45 мм с полем допуска f7.

По ГОСТ 25347-82 находим предельные отклонения вала; они равны -25 и  -50 мкм. Следовательно,

По ГОСТ 24853-81 находим допуски и другие данные для расчета калибров и контркалибров: .

Наименьший размер проходной новой калибр - скобы.


Размер калибра ПР, проставленный на чертеже, при допуске на изготовление  равен  Исполнительные размеры: наименьший 49.9695 мм; наибольший 49.9735 мм.

Наибольшей размер изношенной калибр - скобы при допуске на износ  равен:


Наименьший размер непроходной калибр - скобы:


Размер калибра НЕ, проставляемый на чертеже

Исполнительные размеры: наименьший 44.948 мм, наибольший 44.952 мм.

Определяем размеры контрольных калибров к скобам:

а) для контроля проходной стороны скобы


Размер калибра К-ПР, проставляемы на чертеже, равен

б) для контроля непроходной скобы


Размер калибра К-НЕ, проставляемый на чертеже, равен

в) для контроля износа проходной скобы


Размер калибра К- И, проставляемы на чертеже, равен

Размер калибра К-НЕ, проставляемый на чертеже, равен

в) для контроля износа проходной скобы


Размер калибра К- И, проставляемы на чертеже, равен

Рисунок 2 Схема расположения полей допусков калибров

ЗАКЛЮЧЕНИЕ

В теоретической части курсового проекта изучены:

) Назначение и конструкция детали «Вал-шестерня»

) Химические и механические свойства материала детали

) Метод получения заготовки

) Организация производственного процесса в условиях серийного производства

) Технологическое оборудование

) Режущий инструмент

) Контрольно-режущий инструмент

В практической части курсового проекта выполнены расчёты:

) Припусков и размеров заготовки опытно-статистическим методом

) Массы заготовки

) Припусков на одну поверхность расчётно-аналитическим методом

) Коэффициента использования материала

) Режимов резания

) Технической нормы времени

) Режущего инструмента

) Контрольно-измерительного инструмента

В процессе выполнения курсового проекта научился:

) Работать с технической и справочной литературой, а также извлекать необходимую информацию из интернет сайтов

) Разрабатывать технологический процесс изготовления типовой детали в условиях серийного производства

) Выполнять графическую часть с использованием программы КОМПАС

Курсовой проект имеет практическую значимость в современных условиях развития машиностроительной отрасли при организации технологического процесса изготовления типовой детали в серийном производстве с использованием модернизированное оборудования, износостойкого режущего инструмента и универсальной оснастки.

ЛИТЕРАТУРА

Аверьянов И.О., Клепиков В.В. Технология машиностроения. Высокоэнергитические и комбинированные методы обработки. М.. ФОРУМ, 2008

Вороненко В.П., Схиргладзе А.Г. Брюханов В.Н. Машиностроительное производство.- М.: Высшая школа, 2006.

Гоцеридзе P.M. Процессы формообразования и инструмент. - М.: Издательский центр «Академия», 2006

Дерябин АЛ. Программирование технологических процессов для станков с ЧПУ. • М.: Машиностроение, 2004

Ильянков А.И., Новиков В.Ю. Технология машиностроения. Практикум и курсовое проектирование. М.: Издательский центр «Академия», 2012

Кузнецов В.А. Технологические процессы в машиностроении. - М.: Издательский центр» Академия». 2009

Клепиков В.В. Бодров АЛ Технология машиностроения. - М.: ФОРУМ-ИНФРА-М, 2008.

Материаловедение и технология конструкционных материалов. / Под ред. В.Б. Арзамасова и др. - М.: Издательский центр «Академия», 2007

Схиртладзе А.Г. Технологические процессы в машиностроении. - М.: Высшая школа. 2007

Черпаков Б Л Технологическая оснастка. - М.: Высшая школ». 2008.

Черпаков Б.И., Альперович Т.А. Металлорежущие станки. - М.: Издательский центр «Академия», 2004

Черепахин АЛ Технология обработки материалов. - М.: Издательский центр «Академия», 2007

Шандров Б.В., Шал арии А.А., Чудаков А.Д. Автоматизация производства. - М.*. Высшая школа, 2008.

Нормативно-справочная:

Марсов К., Ильянков А. Основные термины, понятия и определения в технологии машиностроения: Справочник. - М.: Академия. СПО. 2012

Справочник технолога-машиностроителя. В 2х томах. / Под ред. А.М. Дольского, Косиловой АТ. Мещерякова РЛС - М.: Машиностроение, 2007.

Похожие работы на - Технологический процесс детали 'Вал-шестерня' в условиях серийного производства

 

Не нашли материал для своей работы?
Поможем написать уникальную работу
Без плагиата!
Без нейросетей!