Розробка технологічного процесу прокатки на товстолистовому стані 1200 шорокополосного листа
Зміст
Реферат
Вступ
.
Загальна частина
.1
Технологія прокатки блюму на стані 1200
.1.1
Сортамент. Підготовка металу перед прокаткою
.1.2
Введення теплового режиму печей
.1.3
Нагрів металу перед прокаткою. Посадка металу в нагрівальні печі
.1.4
Дефекти при нагріву металу
.1.5
Прокатка листів на стані 1200
.1.6
Особливості прокатки окремих марок сталі
.1.7
Прокатка з застосуванням технологічного мастила
.1.8
Охолодження і правка готового прокату
.1.9
Порізка та таврування
.1.10
Відбір проб, контроль та облік якості продукції
.2
Механічне та транспортне обладнання прокатного цеху на стані 1200
.2.1
Характеристика печі цеху
.2.2
Зупинка печі на ремонт
.2.3
Охолодження печі
.2.4
Характеристика прокатного стану
.2.5
Вимір тиску металу на валки при прокатці
.2.6
Характеристика рольгангу
.2.7
Характеристика листоправильної машини
.2.8
Конструкція гільйотинних ножиць
.3
Індивідуальне завдання
.
Розрахункова частина
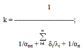
.1
Розрахунок режиму обтиснень
.2
Розрахунок швидкісного режиму
.3
Розрахунок валків на міцність
.4
Розрахунок технічно-можливої продуктивності стану та розробити заходи по її
підвищенню
.
Охорона праці
.1
Шкідливі фактори та методи усунення
.2
Протипожежна безпека
.3
Електробезпека в прокатних цехах
.4
Охорона навколишнього середовища
3.5
Розрахунок природної вентиляції
Список
літератури
Реферат
Пояснювальна записка до курсового
проекту на тему "Розробка технологічного процесу прокатки на
товстолистовому стані 1200 шорокополосного листа 900Ч10 мм", складається з
трьох частин, має 87 сторінок, 6 джерел літератури.
В загальній частині наведена
технологія прокатки на стані 1200, приведені характеристики основного
обладнання цього стану та виконане індивідуальне завдання на тему:
"Способи видалення окалини при прокатці гарячекатаних листів".
В розрахунковій частині виконані
такі розрахунки:
розрахунок режиму
обтиснення заданого слябу на товстолистовому стані 1200;
розрахунок швидкісного
режиму;
розрахунок валків на
міцність;
розрахунок техніко-можливої
продуктивності стану та розробити заходи по її підвищенню;
В частині "Охорона праці"
розглянуті шкідливі фактори в цеху та методи їх усунення, протипожежна безпека,
електробезпека в прокатних цехах, охорона навколишнього середовища та
розраховано природну вентиляцію цеху.
Вступ
Найефективнішою перспективою
розвитку стану 1200 є економія енергії, тому транзитна прокатка, тобто
з’єднання з безперервного розливання сталі (МНЛЗ) з прокаткою, є найкращим
способом економії енергії. Майже всі сучасні товстолистові стани при плануванні
та будівництві розташовують поряд з МНЛЗ, що дозволяє використовувати тепло ще
не остиглих слябів в повному об’ємі і економити значні обсяги енергії. Другою
сильною стороною є те, що можна скоротити до 25% металу при угарі, обрізі
усадочної раковини. Геометрична форма у литих слябів набагато краще і вони
мають точні розміри, в литих слябах значно менше
внутрішніх(ліквації,дендрити(дефекти, які виникають в результаті охолодження
зливків) і зовнішніх ( які виникають в результаті розливання сталі) дефектів.
Об’єднання з МНЛЗ дозволить скоротити 2-3% металу, який йде на окалину при
нагріванні слябів з обтискного цеху перед прокаткою. Однак на діючих
підприємствах цей спосіб має безліч недоліків: стани знаходяться на значній
відстані від МНЛЗ, що робить необхідним використання термосів; труднощі з
дотриманням температурного режиму. За цим доцільно ввести гарячий посад литих
слябів в нагрівальні печі. Це дозволить нагрівати метал набагато швидше, що
заощадить значну частину палива і зменшить угар металу.
Рекомендується зменшити загальне
число проходів до технологічного мінімуму або скоротити кількість проходів з
малим обтисканням, для економії енергії в чистовій кліті. Можна використати
асиметричну прокатку, вона полягає в тому, що дає можливість проводити
співвідношення лінійних швидкостей провідного
і
веденого
валків,
характеризує коефіцієнтом асиметрії
.
Треба змінити мастила, наприклад: застосування технологічних мастил полімерів
дозволить знизити сили та моменту прокатки до 20%.
. Загальна частина
.1 Технологія прокатки блюму на
стані 1200
.1.1 Сортамент. Підготовка металу
перед прокаткою
Таблиця 1.1 Спеціалізація
універсального стану 1200 Дніпровського металургійного комбінату ім.
Дзержинського:
|
Умовний номер
|
Найменування прокату НТД та сортамент; Розміри
листів; Вид прокату; Марка сталі; Додаткові технічні вимоги;
|
НТД на технічні вимоги
|
|
Прокат товстолистовий універсальний
(гарячекатаний) Сортамент по ГОСТ 82-70 в межах вказаних розмірів
|
|
1.00
|
7-50х300 1000х5000-18000
|
|
|
1.01
|
Прокат товстолистової універсальної загального
призначення із сталі звичайної якості Марки сталі: Ст0, Ст2кп, Ст2пс, Ст2сп
Ст3кп,Ст3пс, Ст3сп, Ст4пс, Ст4сп, Ст4кп, Ст5пс, Ст5сп, Ст5Гсп, Ст5Гпс
Категорії 1-5
|
ГОСТ 14637
|
|
1.02
|
Прокат товстолистовий універсальний для мостобудування
з сталі низьколегованих конструкційних марок сталі 16Д, 10ХСНД, 15ХСНД.
|
ГОСТ 6713
|
|
1.03
|
Прокат товстолистовій універсальної загального
призначення з низьколегованих конструкційні сталі:класи точності 265-325,
марок 09Г2, 09Г2Д, 14Г2, категорії 1, 2, 4-6, 11, 12 класи точності 265-325
марок 09Г2С, 09Г2СД, категорії 1-6, 10-12
|
ГОСТ 19361
|
|
1.04
|
Прокат товстолистового універсального для
суднобудування, сталь категорії 2, 3, 4; сталь низьколегованих конструкційна
марок 09Г2, 10ХСНД
|
ГОСТ 5521 ГОСТ 380
|
|
1.05
|
Прокат товстолистової універсальної з сталі
вуглецевої конструкційних якісних марки сталі 10, 15кп, 15пс, 20, 20кп, 20пс,
25, 30, 35, 45 за узгодженням - 08кп, 08пс, 10кп, 10пс.
|
ГОСТ 19281 ГОСТ 1577 ГОСТ 1051
|
|
2.00
|
8-10х300-1000х5000-18000
|
|
|
2.01
|
Прокат листової для лонже рів із сталі
низьколегованих конструкційної марки 19ХСГ
|
ТУ 14-1-1640
|
|
3.00
|
9х510х2560; 9х520х2090
|
|
|
3.01
|
Прокат товстолистової універсальної із сталі
вуглецевої звичайної якості марка сталі Ст3
|
ТУ 14-1-350 ГОСТ 380
|
|
4.00
|
8,25х500х1510; 8,25х485х1464; 11х450х1330;
11х550х1660
|
|
|
4.01
|
Прокат товстолистової універсальної із сталі
вуглецевої конструкційної якісної марка сталі 15
|
ТУ 14-350 ГОСТ 1050
|
|
5.00
|
11х400х1700; 5300
|
|
|
5.01
|
Прокат товстолистової універсальної із сталі
конструкційної якісної марка сталі 35
|
ТУ 14-1-608 ГОСТ 1050
|
|
6.00
|
6х490х5500
|
|
|
6.01
|
Прокат товстолистової універсальної із сталі
конструкційної якісної марка 20кп
|
ТУ 14-1-609 ГОСТ 1050
|
|
7.00
|
7-50х1030х6000-12000
|
|
|
7.01
|
Прокат товстолистової універсальної із сталі
вуглецевої звичайної якості марки Ст3кп, Ст3сп
|
ТУ 14-2-654 ГОСТ 380
|
|
8.00
|
7-50х1040х6000-12000
|
|
|
8.01
|
Прокат листової універсальної із
низьколегованої сталі для мостобудування марка сталі 16Д
|
ТУ 14-2-654 ГОСТ 6713
|
|
9.00
|
14х530х3000-12000; 16х636х3000-12000
|
|
|
9.01
|
Прокат товстолистової полосової для днищ
літаків із сталі низьколегованої конструкційної марки 25Г2СРД
|
ТУ 14-2-737
|
|
10.00
|
36;40х500х3000-12000
|
|
|
10.01
|
Прокат полосової з скошеними кромками для
стійок культиваторів: Із сталі вуглецевої звичайної якості марок сталі Ст5сп,
Ст5пс, Ст5Гсп, Ст6сп із сталі вуглецевої конструкційної якісній марки 45
|
ТУ 14-2-834 ГОСТ 380 ГОСТ 1050
|
|
11.00
|
7-50х300-1000х5000-18000
|
|
|
11.01
|
Прокат із сталі низьколегованої конструкційної
марка сталі 45
|
ТУ 14-1-4323
|
|
12.00
|
7-50х300-1000х5000-18000
|
|
|
12.01
|
Прокат широкополосної універсальний з рівнем
механічних властивостей, диференціюванних по групам міцності із сталі
вуглецевої звичайної якості марок сталі згідно замовленням із сталі
низьколегованої конструкційної марок згідно замовленням
|
ТУ 14-1-3023 ГОСТ 380 ГОСТ 19281
|
|
13.00
|
7-50х300-1000х5000-18000
|
|
|
13.01
|
Прокат листової універсальної для будівельних
конструкцій із сталі марок згідно з замовленням
|
ГОСТ 27772
|
Вихідним продуктом для отримання
широкополосного універсального листа є сляби, отриманні на блюмінгу 1150.
Хімічний склад сталі повинен відповідати вимогам стандартів або технічних умов
та допустимі відхилення по хімічному складу. Сляби для універсального стану
поставляють відповідно до ТІ 230-230-П306-88 і 230-П-307-88 наступних розмірів:
Довжина від 1600 до 3200 мм ;
Товщина від 120 до 200 мм;
Ширина від 300 до 1000 мм;
Допустимі відхилення за розмірами
слябів в холодному стані:
По товщині: ±2%
По ширині: від 300 до 500 мм;
від 510 до 650 мм;
від 660 до 1000 мм;
По довжині: ±20 мм.
На поверхні слябів, які прокатані із
злитків типу Н1:1 і І-8 допускаються дрібни рванини, глибиною до 10 мм,
розташованих по ребрах і вузьких гранях слябів. Середні рванини, глибиною 25 мм
і грубі рванини, глибиною до 50 мм, розташовані тільки по широкій межі. Торці
не повинні мати слідів усадочної раковини, пухкості і розшарення. Форма слябів
повинна бути прямокутною, без вигинів і гвинтоподібності. Радіус закруглення
кутів допускається до 20 мм, косина не більше 20 мм. Серповидність слябів
повинна бути не більше 10 мм на 1 метр довжини, не площинність - не більше 20
мм на 1 метр довжини. Загальна серповидність і не площинність слябів не повинна
перевищувати 1 метр довжини не площинності або серповидності на довжину слябу в
метрах. Опуклість кромок не повинна перевищувати 10 мм на сторону. На бокових
гранях слябу допускається увігнутість не більше 5 мм. Поширення кінців слябу
при різці на ножицях не повинно перевищувати 10% від товщини. Передача слябів з
обжимного цеху на склад слябів універсального цеху передається конвеєрами.
Оформлення металу на складі вказує на номер плавки, марка сталі, хімічний
склад, розміри слябів та іх вага. Весь метал який поступає на склад,
укладається в штабеля по маркам сталі, номерам плавок та розмірам. Допускається
посадка в печі в гарячому стані всіх марок сталі з обов’язковим оглядом
контролером ОТК. Не допускається посадка слябів в піч, які мають грубі дефекти
у вигляді тріщин, рванин, плен та інших дефектів. Сляби які охололи, оглядаються
на стелажах контролером ВТК. Сляби які потребують видалення зовнішніх дефектів
віддаються на ремонт. Зовнішні дефекти які підлягають видаленню, це рванини,
шлакові та неметалічні включення та інші пороки. Такі сляби подаються на
вогневу зачистку. Вогнева зачистка слябів здійснюється киснем не менше 99,5%,
тиском 0,9-1,2 МПа, 9-12 кг/смІ при тиску не менш 0,5 кПа. Глибина вирубки та
зачистки на поверхні слябів не повинна перевищувати: по великій площині до 50
мм, по малій площині до 10 мм. Після зачистки поверхня не повинна мати гострих
гребенів та місцевих заглиблень. При видаленні дефектів металу на широкій грані
слябу, повинна буди гладка поверхня. Направлений по краям метал та шлак повинен
бути очищений. Напливи металу та шлаку зачищають стальним скребком. Після цього
контролер перевіряє якість зачистки, після цього сляб кантується краном на іншу
сторону і триває зачистка. Після вирубки, зачистки та огляду сляб клеймують та
укладаються в штабель по маркам сталі та розміром [1].
.1.2 Введення теплового режиму печей
Регулювання температури печі
починається з включенням пальників по зонам печі. Нижні торцеві пальники
повинні включатися повністю тільки при нагріві широких слябів і при високому
темпі роботи слябу. При вимиканні якого-небудь пальника охолодження її водою не
повинно зупинятись. Нижній ряд торцевих пальників повинен бути відрегульований
шайбами на роботу с відновленням атмосфери, з метою зменшення окислювання
металу. Робота печей виробляється сухою окалиною. При всіх умовах і коливань
продуктивності печей в ті чи інші зміни роботи не допускати утворення на подині
рідкого шлаку і зростання падини.
Для зменшення росту поду печі
необхідно приймати такі заходи:
тримати завжди позитивний
тиск на подині печі 15-30 Па;
стежити за станом падини в
період гарячих простоїв печі.
При всіх інших випадках утворювання
наростів і горбів на подині вживати негайних заходів до їх усунення і в жодному
випадку не допускати їх зростання
Щоб уникнути утворення рідкого шлаку
температура металу не повинна перевищувати 1200°С при цьому температура печі
повинна бути не менше 1350°СВ окремих випадках при виробництві широкого профілю
з слябів холодного всаду допускається контрольна температура в зварювальній
печі до 360°С. У випадках нагріву в печах слябів спеціальних марок сталі.
Тепловий режим ведеться по інструкції, розробленій для кожної із марок сталі.
Спалювання коксо-доменної суміші газів ведеться за мінімальним коефіцієнтом
надлишком 1,05. Контроль надлишку повітря здійснюється шляхом відбору проб від
продуктів згорання один раз в місяць. Нормальний склад пічного газу який
містить
невеликий
надлишок кисню, азот та водяні пари. Регулювання співвідношення витрат
коксового або доменного газу виробляється на газоподаючій станції. Контроль
якісного спалювання газової суміші періодично встановлює теплотехнічна
лабораторія комбінату [1].
.1.3 Нагрів металу перед прокаткою.
Посадка металу в нагрівальні печі
Подають метал для посадки в печі
після вогневої зачистки або гарячим всадом. На слябах не повинно бути
поверхневих пороків, зварювального шлаку і окалини. Перед посадкою металу в
печі. Сляб повинен бути оглянутий контролером ОТК. У нагрівальні печі посадка
слябів всіх марок сталі повинна задаватись строго поплавочно, рівномірно в
кожну працюючу піч. Поділ слябів різних плавок і різних розмірів в печі
проводиться за допомогою цегли, покладеного на перший сляб кожної нової плавки
або нового розміру. Сляби які не оглянуті контролером ОТК в посадку не
допускаються. Всі сляби перед посадкою в печі повинні очищатися від бруду і
сміття мітлою або скребками. Посадка слябів у печі повинна вироблятися
зачищеною поверхнею до поду печі(вниз). Під час посадок забороняється розрив
плавок - партій одного профілю, посадки робити з розрахунки вагонної прокатки і
згідно графіка прокатки. Для виконання окремих замовлень і для повновантажності
партій дозволяється посадка одиночних слябів. Допускається розрив плавок. Коли
посадка проводиться гарячим всадом і частина слябів відсортовуються на
зачистку. При посадки слябів в печі посадчик гарячого металу записує номер
плавки і марку сталі, хімічний склад, кількість слябів їх розміри, на який
профіль вони призначенні, номер замовлення і виписує програму із зазначенням
цих даних для передачі їх на стан та відділку. До моменту видачі з печей сляби
повинні рівномірно прогріті по всьому перерізу. Сляби з печі необхідно видавати
в кількості 1-2 штуки, рівномірно по сигналу оператора стану. При роботі всіх
3-х печей сляби видають по черзі з кожної печі по одній штуці. Сляби, видані з
печі і повторно посаджені на профілі на профілі 7 і 8 мм не призначаються.
Відповідальним у зміні за посадку слябу, відповідно до завдання на прокат, є
посадчики гарячого металу і нагрівальних печах. Відповідальним за якісним
нагрів металу відповідає нагрівник нагрівальних печей. Відповідальним за
контроль встановленого порядку є посадчики гарячого металу і контролер ВТК [1].
.1.4 Дефекти при нагріву металу
Розрізняють такі види дефектів
нагріву металу: підвищений угар металу, нерівномірність нагріву, перегрів,
перепал, зневуглецювання.
Для зменшення угару металу
необхідно:
забезпечити максимальну
швидкість нагріву з метою скорочення тривалості перебування металу в печі;
ввести процес горіння
палива з коефіцієнтом витрат повітря не більше 1,05;
підтримувати тривалий тиск
в робочому просторі печі на рівні металу 10-20 Па;
не допускати підсосу
повітря в п іч, підтримувати тиск в робочому просторі печі на рівні вікна
видачі 5-10 Па;
Таблиця 1.2. Залежність температури
перепалу від змісту вуглецю в металі.
|
Зміст вуглецю (%)
|
Температура перепалу металу (°С)
|
|
0,1
|
1490
|
|
0,2
|
1470
|
|
0,3
|
1410
|
|
0,5
|
1350
|
|
0,7
|
1280
|
|
0,9
|
1220
|
Для зменшення зневуглеводження сталі
необхідно скорочувати тривалість нагріву і зменшити надлишок кисню в пічних
газів [1].
.1.5 Прокатка листів на стані 1200
Видача слябів із методичних печей
віддається тільки по сигналу, який подає оператор посту управління станом. При
прокатці полоси на стані, транспортування к стану сляба, виданого із методичної
печі, дозволяється тільки по рольгангу.
Температура сляба, який поступає на
стан - 1150-1200°С. Контроль температури слябу визначає прилад, який розміщений
на посту управління стану. У випадку, коли сляб прокатується з меншою
температурою, треба збільшити кількість пропусків, зменшити при цьому відносне
обтиснення від 10 до 50%. Заборонена прокатка слябу з температурою 1150 и
нижче. Температура кінця прокатки для листів товщиною від 8 до 16 мм, повинна
бути не менше ніж 950°С, а для листів товщиною від 18 до 50 мм не менше
870°С.Заборонено прокат металу, при температурі 870°С.Видалення окалини в
верхній площині слябу здійснюється в процесі прокатки на перших пропусків коли
горизонтальні валки стану торкаються слябу та змиваються с поверхні прокату
водою. Вихід готового прокату с вдавленою окалиною недопустиме. Режим
обтиснення горизонтальними валками при прокатці всіх профілів повинен
відповідати вимогам "Режиму обтиснення при прокатці широкополосной сталі
на універсальному стані". Не допускаються в прокатку сляби які мають на
поверхні охолодженні ділянки. Не допускається прокатка металу максимальної
ширини з кінцевою товщиною профілю 8 мм на валках - мінімального діаметру - от
750 до 753 мм. При заміру геометричних розмірів прокатаної полоси на рольгангу,
заборонено виробляти на стані більше двох пропусків наступного слябу. Прокатка
всіх профілів повинна вироблятися після ретельної настройки горизонтальних і
вертикальних валків. Матеріал, призначений для прокатки після планового ремонту
обладнання стану, перевалки горизонтальних валків, повинен висаджуватись в печі
таким розрахунком, щоб довжина порізу готового прокату не перевищувала 5 м, а
товщина не менше 10 мм. Контроль геометричних розмірів прокатної полоси
виробляти на перших чотирьох, п’яти полосах нового прокату плавки с подальшим
періодичним контролем всіх параметрів через кожні п’ять шість полос. При
інтенсивному зносі текстолітових вкладишів горизонтальних валків контроль
геометричних розмірів готового прокату повинен вироблятися через кожні дві три
полоси. У випадку необхідності контроль геометричних розмірів готового прокату
повинен вироблятись по вимогам оператора поста управління станів. При виявлення
відступів геометричних розмірів готового прокату від передбачених ГОСТ 82
негайно повинна бути призведена корегування настройки стану або режиму
обтиснення. Контроль геометричних розмірів, а так само огляд верхньої площини
готового прокату оглядає вальцювальник та оператор стану, також він відповідає
за правильність розмірів готового прокату.
прокатка окалина лист
гарячекатаний
Допустимі відхилення при
різнотовщинності, передбаченні ГОСТ 82:
|
Товщина готового прокату
|
Допустимі відхилення(мм)
|
|
від 7 до 20 мм
|
+0,3
|
-0,5
|
|
від 22 до 30 мм
|
+0,4
|
-0,6
|
|
від 32 до 50 мм
|
+0,5
|
-0,7
|
Геометричні розміри готового прокату
по ширині не повинні перевищувати допустимих моментів ГОСТ 82:
|
Ширина готового прокату
|
Допустимі відхилення(мм)
|
|
від 290 до 400 мм
|
+2,0
|
-2,5
|
|
від 410 до 800 мм
|
+2,0
|
-3,0
|
|
від 810 до 1000 мм
|
+3,0
|
-4,0
|
Таблиця 1.3. Найбільш поширені
дефекти при прокатці широкополосного універсального листа і способи їх
видалення:
|
Вид дефекту
|
Усунення та попередження
|
|
Геометричні розміри прокату не
відповідаютьвимогам ГОСТ 82
|
Правильна фабрикація, точний розмір
геометричних розмірів, дотримання режиму обтиснень, температурного режиму,
режиму нагріву,перевалка горизонтальних валків, правильна настройка стану
|
|
Залишки окалини на верхній площині розкату
|
Ретельне видалення окалини з слябів в перших
пропусках, інтенсифікація нагріву металу, запобігання тривалого перебування
слябів низьколегірованих марок сталі в пічах.
|
|
Неплощинність
|
Правильне дотримання встановленого режиму
обтиснення в останніх пропусках, своєчасна перевалка горизонтальних валків,
зменшення оборотів прокатного двигуна, дотримання температурного режиму
нагріву.
|
|
Серповидність
|
Усунення перекосу валків, своєчасна перевалка
горизонтальних валків, правильна настройка вертикальних валків, рівномірний
нагрів слябу по перетину.
|
|
Різнотовщінність по подовжньому перетину
полоси.
|
Рівномірний нагрів слябів по подовжньому
перетину, правильний вибів режиму обтиснення в останніх пропусках.
|
|
Накат на бічній кромці полоси
|
Усунення перекосу горизонтальних валків,
правильна настройка вертикальних валків і їх установка перед останнім
проходом.
|
Розкриття обох пар вертикальних
валків повинно здійснюватися до того моменту, коли розкат після пропуску має
товщину 25 мм. Відстань між бочками вертикальних валків повинно відповідати
наступним положенням:
для профілів товщиною від 7
до 16 мм та шириною від 300 до 500 мм на вході полоси не менше ширини профілю +
10 мм, на виході - не менше ширини профілю +30 мм;
для профілів товщиною від 7
до 16 мм і шириною від 520 до 1000 мм на виході полоси не менше ширини профілю
+20 мм, на виході - не менше ширини профілю +40 мм.
Для профілів товщиною 18 мм і
більше, здійснюється за парну кількість пропусків, відстань між бочками
вертикальних валків визначаються по вимогам ГОСТ 82 по кривизні та випуклості
бокових кромок. При утворенні складок надалі прокатка таких полос не
допускається. Мінімально товщина текстолітових вкладишів повинна бути 8 мм.
Заміна вкладишів робиться при перевалці горизонтальних валків або в період
ремонту. В процесі роботи стану, за установочними зазорами між верхнім
горизонтальним валком і верхніми проводками повинен постійний контроль.
Відповідальним за контроль режиму обтиснень, температурного режиму, якість
режиму прокатки та якість продукції , являється вальцювальник 7 розряду,
оператори стану 5-го та 6-го розряду, майстер виробництва та контролер ВТК [1].
.1.6 Особливості прокатки окремих
марок сталі
Прокатка профілів із металу по ГОСТ
380, з вимогами механічних випробувань 4-ї, 5-ї та 6-ї категорії, виробляється
товщиною від 8 до 25 мм відповідно. Прокатка профілів по ГОСТ 19282, по
механічним вимогам механічних випробувань 4-ї, 5-ї, 6-ї та 12-ї категорії,
виробляється товщиною від 7 до 16 мм. Прокатка сталі 15ХСНД по ГОСТ 6713, по
вимогам механічних випробувань 1-ї категорії, виробляється товщиною від 8 до 16
мм. Прокатка низьколегованих марок сталі, сума зміцнених елементів відповідає в
межах:
для сталі 09Г2 - 1,6 - 2,3 одиниці;
для сталі 15ХСНД - 1,82 - 2,0
одиниці;
для сталі 14Г2 - 1,72т - 1,92
одиниць;
для сталі 10Г2С1 - 2.32 - 2,5
одиниць.
дозволяється виробляти листи
товщиною 16 мм (зміцнюючи елементи - вуглевод, марганець, кремній, а для сталі
15ХСНД - хром). З метою виробництва задовільних властивостей та ударної
в’язкості низьколегованих марок сталі, температура розкату перед передчистовим
пропуском, повинна бути не більше 970°С. Температура кінця прокатки профілів
прокатуємих з сталі 16Д, повинна бути не більше 950°С. Прокатка спокійних марок
сталі з вмістом вуглеводу та марганцю на верхній межі по ГОСТ 380, на профілі
товщиною 8 та 10 мм не рекомендується [1].
.1.7 Прокатка з застосуванням
технологічного мастила
При достатньо прогрітому металі, режими
обтиснень, які застосовуються на стані, можуть бути скореговані, тобто при
подачі мастила навантаження на привід і кліть зменшуються. Температурний та
швидкісний режим прокатки не міняються. Подача мастила може застосуватися в
всіх проходах або тільки при певних проходах, наприклад, починаючи з третього.
Управління подачі мастила визначається оператором с посту управління [1].
.1.8 Охолодження і правка готового
прокату
Після прокатки полоси віддають
правці на роликоправильній машині гарячої правки і правильної лінійці. Після
правки полоси віддають на холодильники. На новий розкат кожної нової плавки,
перед надходженням його в холодильник, правильником укладання цегли. На
кантувачі прибиральники гарячого металу здійснюють огляд полос з обох сторін і
вимір геометричних розмірів. Кривизну на універсальних полосах всіх марок
сталі, яка перевищує допуски яка не усунена на правильній лінійці, допускається
усувати водою на випуклою кромку полос в процесі розмітки. По ребровій привізні
полоси є два класу підвищеної точності - клас "А" - 1 мм на 1
погонний метр, клас "Б" - 2 мм на 1 погонний метр. До холодної правки
піддаються термозміцнення полоса до 20 мм, яка має більшу коробоватість або
хвилястість проти меж, які установленні ГОСТ і ТУ. Правка полос товщиною від 32
до 42 мм здійснюється тільки при температурі більше 200°С, а при товщині від 45
до 60 мм при температурі 400°С і вище. З метою усунення остаточної
коробоватості вище допустимої по ГОСТ 82-70, для полос товщиною від 7 до 12 мм,
допускається підвищення прогину до 20 мм. Задача полос в правильну машину
здійснює оператор с посту управління ПУ-6. Після правки полоси оглядаються і
перевіряються по хвилястості. Контроль відповідності полоси після правки з
вимогами ГОСТ і ТУ по хвилястості і коробоватості перевіряє майстер
виробництва, старший майстер відділки і здачі та контролер ВТК [1].
.1.9 Порізка та таврування
Розмітка полос виробляється вручну
прибиральниками гарячого металу з допомогою металічної рулетки та
механізованого упору згідно з заказами та стандартами. Допускається порізка на
ножицях одночасно двох полос (товщиною до 20 мм), якщо вони не мають
поверхневих дефектів та серповидність не виходить за межі, які відповідають по
ГОСТ 82 за винятком підгину кінців в процесі розкрою на ножицях. Незначні
дефекти металу видаляються вирубкою в процесі огляду. Ділянки полос с грубими
поверхневими дефектами видаляються вирізкою на ножицях гарячої різки при
розкрої полоси. Таврування металу відповідає ГОСТ 7566. Після розмітки та
розрізу металу на ножицях в збиральних кишенях здійснюється упаковка, потім
віддаються на стелажі зачистки металу, після цього метал відправляють на
пакувальні стелажі а після цього транспортують до складу готової продукції. При
поставці металу по ГОСТ 82 групи "Б" допускається упакування в одну
пачку полос різної ширини. Полоси поставляють в міцно скріплених дротом пачках.
Поздовжня упаковка виготовляється для полос до 6 метрів.
В поперечному направленні пачка
обв’язується наступним чином:
при довжині полос до 4 м -
3 обв’язки;
при довжині полос від 4 до
6 метрів - 4 обв’язки;
при довжині полос вище 6
метрів - 5 обов’язок.
Маса пачки повинна не перевищувати
10 тон. На верхній полосі кожної пачки наноситься клеймо вкою номер плавки,
марка сталі, клеймо заводу виробника, клеймо ОТК, номер партії. Клеймо та номер
партії обводиться фарбою. На кожну пачку навішуються дві бірки, на яких
інформація реквізити по полосі, бірки мають: клеймо сталі, товарний знак заводу
виробника, марка сталі, номер плавки, розмір полоси, номер партії, сортність
металу, маса пачки; коефіцієнт перерахунку при поставці по теоретичній масі
[1].
.1.10 Відбір проб, контроль та облік
якості продукції
Відбір проб для механічних
випробувань в залежності від марок сталі узгоджується з робочою методикою
230-035-87. Відбір проб для контролю механічних властивостей виробляється на
ножі гарячої різки. Статистичним методом контролюється механічні властивості
сталі всіх ступенів розкислення, виплавленої в мартеновських і в конвектором
цехах.
Проби всіх марок сталі вирізають в
стані вздовж прокатки згідно ГОСТ 7564. Нарізанні на ножицях проби клеймуються
номером партії, клеймо наноситься вздовж повздовжньої осі на відстані 5 мм від
торца проби на повздовжньої осі з однієї сторони. Контролер ОТК контролює
правильність відбору проб для механічних випробувань, чіткість набивки номера
партії на пробах та ставить своє клеймо. Якщо результат випробування не
задовольняє, по ньому проводять повторні випробування на подвоєній кількості
зразків [1].
.2 Механічне та транспортне
обладнання прокатного цеху на стані 1200
Загальна довжина цеху 555 м. У трьох
прольотах шириною по 33 м розташовані: склад слябів, нагрівальні печі, стан,
холодильник і склад готової продукції. В четвертому прольоті шириною 18,5 м
розташований машинний зал, в п'ятому шириною 16 м - насосно-компресорна
установка.
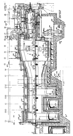
Малюнок 1.1. Схема основного
технологічного обладнання універсального стану 1200- склад блюмов і слябів, II
- склад слябів. III - машинний зал, IV - проліт стана, V - вогневої зачистки;
- мостові крани, 2 -
завантажувальний рольганг, 3 - стелажі, 4 - нагрівальні печі, 5 - штовхачі, 6 -
штабелювальний стіл, 7 - штовхачі, 8 - пічний рольганг, 9 - розкатні рольганги
перед кліттю, 10 - агрегат Леонардо, 11 - електродвигун, 12 - робоча кліть, 13
- редуктор, 14 - розкатні рольганги смуг, 15 - транспортні рольганги, 16 -
правильна машина, 17 - шлеперний холодильник, 18 - кантувач, 19 - рольганг, 20
- ножиці, 21 - кишені, 22 - ваги, 23 - пила холодної різання.
На стані прокатують вуглецеві сталі,
низьколеговані, стали для авіабудування, судно-і мостобудування. Сортамент
універсальних смуг (ГОСТ 82-90) наведено в табл. 4.
Таблиця1. 4. Розміри смуг:
|
H, мм
|
L max, м , при В, см:
|
|
30-40
|
42-50
|
53-60
|
63-70
|
75-80
|
85-90
|
95-100
|
|
7
|
1,4
|
1,4
|
1,4
|
1,4
|
1,4
|
1,4
|
1,4
|
|
8
|
1,4
|
1,4
|
1,4
|
1,4
|
1,4
|
1,4
|
1,4
|
|
9
|
1,4
|
1,4
|
1,4
|
1,4
|
1,4
|
1,4
|
1,4
|
|
10
|
15,75
|
15,75
|
15,75
|
15,75
|
15,75
|
15,75
|
15,75
|
|
11
|
15,75
|
15,75
|
15,75
|
15,75
|
15,75
|
15,75
|
15,75
|
|
12
|
15,75
|
15,75
|
15,75
|
15,75
|
15,75
|
15,75
|
15,75
|
|
14
|
18,0
|
18,0
|
18,0
|
18,0
|
18,0
|
18,0
|
18,0
|
|
16
|
18,0
|
18,0
|
18,0
|
18,0
|
18,0
|
18,0
|
18,0
|
|
18
|
18,0
|
18,0
|
18,0
|
18,0
|
18,0
|
18,0
|
18,0
|
|
20
|
18,0
|
18,0
|
18,0
|
18,0
|
18,0
|
18,0
|
18,0
|
|
22
|
18,0
|
18,0
|
18,0
|
18,0
|
18,0
|
18,0
|
16,5
|
|
25
|
18,0
|
18,0
|
18,0
|
18,0
|
16,5
|
15,5
|
|
28
|
18,0
|
18,0
|
18,0
|
18,0
|
18,0
|
17,0
|
14,5
|
|
30
|
18,0
|
18,0
|
18,0
|
18,0
|
18,0
|
15,5
|
12,0
|
|
32
|
18,0
|
18,0
|
18,0
|
18,0
|
15,5
|
13,5
|
11,2
|
|
36
|
16,25
|
16,25
|
16,25
|
16,25
|
13,5
|
12,0
|
10,0
|
|
40
|
14,5
|
14,5
|
14,5
|
14,5
|
12,0
|
11,1
|
9,0
|
|
45
|
13,0
|
11,3
|
13,0
|
12,5
|
10,0
|
9,8
|
8,5
|
|
50
|
11,7
|
11,7
|
11,7
|
11,3
|
10,0
|
8,8
|
7,6
|
Примітки: 1 Lmin = 5 м. 2. Може
поставлятися сутункі зі сталі вуглецевої звичайної якості по ГОСТ 380,
вуглецевої якісної конструкційної по ГОСТ 1050 і низьколегованої конструкційної
по ГОСТ 19282 в межах сортаменту стана. Сталь широкополосна універсальна може
поставлятися шириною 1,04 м за погодженням.
.2.1 Характеристика печі цеху
Три однотипні двозонні методичні
печі з торцевого видачею забезпечують нагрівання металу до 1180-1200°С.
Корисні розміри печі:
довжина 20,45 м;
ширина 3,8 м;
висота 2,0 м;
відстань між глисажні
трубами 1,2 м;
корисна площа поду 77,7 мІ.
Метал просувається по глисажні
трубам електричними штовхачами рейкового типу.
Печі працюють на газоподібному
паливі - суміші збагаченого коксового (25%) і доменного (75%) газів теплотою
згоряння 9637-9846 кДж/мі. Змішаний газ від газової станції до печей подається
газодувками. Для спалювання газової суміші печі обладнані інжекційними
двоступінчатими пальниками з тиском 180-200 кПа по 26 пальників на кожній печі.
Продуктивність пальників від 300 до 500 мі / ч кожна. Діаметр газових сопел
пальників на всіх печах 26-36 мм. Головки змішувачів пальників охолоджуються
водою. У випадках нагріву в печах слябів спеціальних сталей тепловий режим
печей ведеться за інструкціями, розробленими для кожної з цих сталей. Теплове
навантаження печі про нормальній роботі стану становить 75 МДж/год, спалюється
8000 мі. Змішаний газ подається від газової станції ГПС-3, двома пальниками,
які виробляють 21 тис. мі/год при тиску 25 кПа та 36 тис. мі/год при тиску 15,5
кПа. По режиму нагріву прокочується стали ділять умовно на дві групи (табл.5)
[1].
Таблиця 1.5. Температурний режим
нагріву слябів:
|
Група
|
Марка сталі
|
t, °С, зварювальні зони
|
|
|
верхньої
|
Нижньої
|
|
I
|
Ст0 - 5, Ст08кп, 15, 20, 25, 35, 45, 5Гпс,
16Д, 09Г2, 09Г2Д, 14Г2
|
1330-1350
|
1330-1350
|
|
II
|
10Г2С1, 19ХГС, Ст6, 15ХСНД, Ст3хр, 65Г, 17ГС
|
1300-1330
|
1300-1330
|
1.2.2 Зупинка печі на ремонт
При зупинці печі закривають всі
пальники, задвижки, відкривають продувні свічі. Коли піч закривають на
капітальний ремонт, то ставляться заглушки на загальний газопровід та
пропарюється газопровід. Всі ремонтні роботи ведуться з інструкцією техніки
безпеки та газовим господарством. Усунення (поломок) або аварій, ведеться
суворо по інструкції по організації та веденню робіт в газових печах при
аваріях на Дніпровському ордену Леніна металургійному комбінаті імені
Дзержинського". При цьому треба суворо піддержуватися правил техніки
безпеки при нещасних випадках. При аварійній ситуації в печах, зупинка печі
командою на чолі з начальником цеху виконується негайно [1].
.2.3 Охолодження печі
Водоохолоджуючими частинами в печі
є: дві поздовжні, чотири поперечні та дві похилі глисажні труби,
водоохолодженні балки на посадці то видачі печі; головки пальників, рама для
(заслонка) димового шибера, водоохолодженні екрани вздовж зварювальної частини
печі, водоохолодженні балки підвісу фартуків на видачі з печі.
Подача води на охолодження печі
повинно здійснюватися безперебійно. Тиск охолоджувальної води повинен бути не
менше 2000 кПа, тиск визначається по нанометру, який знаходиться коло фільтру.
Зупинка подачі води, навіть на короткий час - не допускається, це може привести
до перегріву та прогину гені сажних труб. Нагрівальники повинні перевіряти стан
виходу води із всіх зливних труб. Температура яка виходить із труб повинна бути
не менше 50°С. Максимальну кількість води віддають головкам всіх пальників, всі
останні деталі повинні промиватися холодною водою один раз на добу.
Відповідають за це нагрівальник та слюсар-водопровідник, за загальний контроль
відповідає майстер печей [1].
Малюнок 1.2. Методична піч.
- газопровід
- повітропровід
- інжекційні пальники
.2.4 Характеристика прокатного стану
Стан одноклітьовий універсальний,
станини закритого типу. Обладнаний двома парами вертикальних валків з передньої
і задньої сторін. Натискний пристрій електричний, швидкість переміщення валка
7,68 мм / с, максимальне переміщення 235 мм. Валки робочої кліті наводяться від
5-МВт двигуна через п’ятивалковую шестерену кліть; число обертів двигуна регулюється
від 0 до 120 в хвилину. Горизонтальні валки робочої кліті з'єднані з шестереною
клітью двома шарнірними шпинделями. Вертикальні валки наводяться від шестереної
кліті через конічну передачу. Максимальний розчин вертикальних валків 1050 мм,
мінімальний 285 мм. Допустиме обтиснення вертикальними валками (однією парою) 5
мм. У робочій кліті універсального реверсивного стану встановлені пара
горизонтальних валків діаметром 750-790 мм з довжиною бочки 1200 мм і дві пари
вертикальних валків діаметром 600-610 мм і довжиною бочки 450 мм. Горизонтальні
валки виготовляються з чавуну ЛШ-58, вертикальні - з чавуну СП-62. При заміні
валків використовують перевалочний візок. Підшипники горизонтальних валків -
текстолітові з бабітовою пластиною, вертикальних - бронзові. При прокатці валки
охолоджують водою, яка подається зверху через встановлені горизонтально трубки.
Окалина зі слябу видаляється мітлами Прокатані смуги правлять в гарячому стані
зі швидкістю 1,2 м/с на роликоправильної машині, встановленої в потоці, а також
за допомогою правильної лінійки (по ребру) [2].
.2.5 Вимір тиску металу на валки при
прокатці
Для експлуатації прокатного стану та
щоб уникнути поломки валків, станини, приводних шпинделів і інших деталей,
необхідно в процесі прокатки виміряти повний тиск металу на валки Р. Для виміру
повного тиску на валки використовують месдозу. Їх встановлюють в робочій кліті
між натискними гвинтами і подушками верхнього валка або між подушками нижнього
валка і нижніми поперечинами станин. На станах для прокатки металу в калібрах,
розташована не по середині бочки валків, зусилля на натискні гвинти не
дорівнюють Р/2; з цього виходить, що для виміру повного тиску металу на валки,
треба встановлювати месдози під два натискних гвинта. На станах, які прокатують
полосу з натягом, зусилля дорівнює вертикальною складовою Y рівнодіючій тиску
на валки Р, з цього виходить, що крім месдоз, які встановлюють під натискні
гвинти, треба встановлювати месдози для виміру натягу полоси. Вона складається
з складеного корпуса - стакану 2, 4 і плунжера 1. В стакані під дном плунжера
знаходиться рідина(гліцерин). З метою уникнення рідини плунжера спирається на
рідину через гумову мембрану 3, краї які затискнуті в складеному зовнішньому
корпусі. Для запобігання месдози від зміщення при обертанні натискного гвинта,
його сферичний підп’ятник опирається на упорний шариковий підшипник в середині
плунжера. Зусилля на натискний гвинт, вимірюється месдозою, буде дорівнювати
тиску рідини, яка показує манометром 5, помноженою на площу дна плунжера.
Малюнок 1.3. Гідравлічна месдоза
- плунжер;
,4 - корпус-стакан;
- гумова мембрана;
- манометр;
Гідравлічна месдоза є простою в
використанні та надійною в експлуатації, але недолік - ця месдоза має велику
інерційність (запізнювання) показників при змінюванні тиску на валки, тому її
використовують на станах с довготривалим режимом прокатки(листових, полосових,
заготівельних та сортових станів) точність виміру залежить від точності виміру
манометра. Гідравлічна месдоза дозволяє вимірювати тиск на валки при прокатці,
інші месдози описані нижче основані на виміру пружної деформації станини або
інших деталей, на яких діє тиск. Стержневий термометр, який зображений на
малюнку нижче, визначає тиск при прокатці, шляхом виміру деформації(розтягу)
стійки станини механічним тензометром з індикатором. Він складається з
стального стержня 3, один кінець якого встановлений в нижньому кронштейні 1, а
інший свободо проходить через втулку в верхньому кронштейні 2. Кронштейни
закріпленні на стойці станини так, щоб відстань між ними була максимальною при
даної висоті стійки. Ось закріплення кронштейнів та ось вимірювального стержню
повинні знаходитися в вертикальній плоскості, яка відповідає нейтральному
перерізу стійки станини. Месдоза с датчиком опору вона заснована на
деформуванні основної деталі, разом с деталлю ця месдоза теж деформується. При
пружинної деформації датчика, буде вимірюватися його опір і в наслідок цього
змінюється сила струму в електричному ланцюгу датчика. Для виготовлення
датчика, приймають тонкий дріт або фольгу із матеріалів константа(60%Cu+40%Ni),
ніхрому (80%Ni+20%Cr), Ці матеріали володіють великим температурним
коефіцієнтом електричного опору і високої чутливості к деформації.
Малюнок 1.4. Месдоза с датчиком
опору
- тонкий папір;
- плоска спіраль;
- паперова підкладка;
- корпус;
- деформуючий стакан;
Месдоза складається з геометричного
корпусу 4, в середині якого розміщений деформуючий стакан 5, на зовнішній А та
внутрішній Б поверхні стакану наклеюють дротові датчики Опору. Датчик
складається з плоскої спіралі 2 тонкого дроту, яка наклеєна на щільну паперову
підкладку 3, з верху наклеюють тонкий папір 1. Датчик розташований на
деформуючій деталі(станину) зверху захищають від вологи [2].
.2.6 Характеристика рольгангу
З передньої і задньої сторін стану
знаходяться рольганги , які служать для подачі слябів на стан, транспортування
прокатної полоси к ножицям та блюмів і слябів на склад. Робочий рольганг
складається з восьми роликів. Перші два ролика мають індивідуальний привід від
електродвигуна постійного струму типу ДП-92, потужністю 135/43 кВт, 470/150
об/хв. Через зубчасті муфти подовженого виду, максимальна швидкість роликів 3,9
м/с.
Малюнок 1.5. Прийомний рольганг
- рольганг;
- підшипник;
- подача мастила;
Останні шість роликів мають груповий
привод від електродвигуна типу МПС-5400-1000, потужністю 200 кВт, 500 об/хв.
через паразитну шестерень, швидкість роликів 3,1 м/с. Всі ролики цільноковані,
діаметр 500 мм, довжина бочки 2800 мм. Змащення редуктора рідка, проточна;
зубчатих муфт - рідка, заливна; підшипників роликів рольганга - густа.
Малюнок 1.6. Пакетуючий рольганг
- двигун;
- верхня ведуча передача;
- нижня ведуча передача;
- ролик рольгангу;
На малюнку 6 зображений пакетуючий
рольганг, який встановлений перед ножицями або за ножицями (для передачі на
порізку та на холодильник). Ролики рольгангу знаходяться під кутом, тому метал,
що поступає на рольганг рухається одночасно вздовж та поперек його. Рольганг
складається із десяти роликів, які знаходяться під кутом 75° к його осі і
маючих груповий привід від електродвигуна через редуктор і трансмісійний вал с
конічним шестерням, швидкість роликів 2,5 м/с.
Для транспортування товстих гарячих
листів застосовують рольганги с ребристими (дисковими) роликами. Диски роликів
торкаються поверхні з гарячим металом, тому короблення роликів незначно [2].
Рольганг холодильник на
товстолистовому стані
Рольганг холодильник с ребристими
роликами, встановлений перед машиною гарячої правки товстих листів на
товстолистовому стані, складається з 14 дискових роликів с груповим приводом
від електродвигуна, потужністю 46 кВт через трансмісійний вал с конічними
шестернями. Стальні диски діаметром 440 мм насадженого на вал і приварені к
ним. Зверху над рольгангом та з низу встановленні колектори с форсунками для
охолодження товстого листа і роликів; вода розпорошує в форсунках жатим
повітрям [2].
.2.7 Характеристика листоправильної
машини
На малюнку 7. зображена
листоправильна машина з паралельною поверхневою рухливою траверсою 1. Машина
призначена для гарячої правки товстих листів шириною до 2600 мм та товщиною
25-50 мм, при межі текучості матеріалу листів 480-120 Н/ммІ. Машина має п’ять
робочих роликів 2 діаметром 40 мм, верхні крайні ролики діаметром 450 мм
неприводні та призначенні для горизонтального напряму металу і усунення
кривизни листа, ролики переміщуються за допомогою натискних гвинтів, які
забезпеченні ручними натискними гайками. Для зменшення прогину робочих валків к
ним прижимають опорні ролики 3діаметром 650 мм. Всі ролики змонтовані в опорах
на самовстановлених сферичних роликопідшипниках. Верхні ролики змонтовані в
верхній рухаючій траверсі; нижні - в нижній траверси 5, яка опирається на
фундамент. В ніжній траверсі змонтовані колони 6 діаметром 329 мм; зверху вони
опираються на траверсу своїми заплечниками, внизу змонтовані колони які з
єднанні з траверсою гайки. Завдяки гарячому затягуванню в площинні стику заплечніків
7 траверсою. Верхня траверса переміщується паралельно по вертикалі за допомогою
черв’ячної передачі 8 та 9, встановлених на кінцях колон які приводяться від
електродвигуна 10, потужністю 22 кВт, 690 об/хв, швидкість переміщення 20
мм/хв. При цьому нижня гайка ступиця 11 приводиться черв’яком або за допомогою
проміжного кільця 12 з внутрішнім зубчатим зціпленням передає оберти верхній
гайці 13. Остання переміщалась вниз-вверх по різьбі втулки, підіймає або
опускає траверсу з роликами. Таким чином, різьбове черв’ячне колесо не сприймає
зусиль від маси траверси. Робочі ролики приводяться в рух п’яти універсальні
шпинделями, який з’єднається з комбінованим редуктором - шестеренної кліті;
останній приводиться від електродвигуна постійного струму потужністю 100 кВт,
475/950 об/хв, швидкість роликів(швидкість правки) 0,4-0.8 м/с. Гідністю цієї
машини є те, що верхня траверса разом з приводом її переміщення можуть бути
легко знімати за допомогою крану, що спростовує ремонт машини та заміну роликів
[2].
Малюнок 1.7. Листоправильна машина
- верхня траверса; 2 - приводні
робочі ролики; 3 - опорні ролики; 4 - верхні ролики; 5 - нижня траверса; 6 -
колони; 7 - заплічники; 8 ,9 - черв’ячні передачі; 10 - електродвигун; 11 - гайка
ступиця; 12 - проміжне кільце; 13 - гайка.
.2.8 Конструкція гільйотинних ножиць
Ножиці призначенні для поперечної
різки товстих листів при довжині різу до 3000 мм.
На малюнку 8 зображенні гільйотинні
ножиці з верхнім різом, зусиллям 6 МН. Ножиці мають нижній ніж довжиною 3000 мм
і верхній похилий ніж з нахилом 1:10 (5°42ґ); максимальна товщина розрізаємого
листа 50 мм; межа міцності розрізаємого металу до 800 Н/ммІ. Станина
складається з двух стальних стійок, встановлених на фундаменті. Внизу стійки з
єднанні супортом(траверсою) для нижнього ножа; зверху стійки з єднанні стяжними
бовтами і траверсою, на котрій встановлений редуктор.
Малюнок 1.8. Гільйотинні ножиці
- нижній ніж(супорт); 2 - верхній
ніж; 3 - муфта; 4 - електродвигун; 5 - редуктор; 6 - гідравлічний притиск; 7 -
кулачкова муфта; 8 - гальмівний пристрій.
Стальний литий супорт верхнього ножа
встановлений в направляючих станин та двома шатунами з’єднаний з колінчатим
валом. Супорт має врівноваження за допомогою вантажу. Колінчатий вал
встановлений в станині на підшипниках кочення. На одному кінці валу вільно
обертається зубчате колесо і має кулачкову муфту включення. Вихідне положення
валу фіксується стрічковим гальмом з електромагнітом. Ножиці включаються на
різання пневматичним циліндром, поршень якого з’єднує кулачкову муфту, яка
сидить на шпонках на колінчатому валу, з зубчатим колесом. Муфта включається
автоматично після повороту колінчатого валу на 360°. Стальний корпус притиску
закріплений на станині; в корпусі розташовані п’ять пневматичних циліндрів
діаметром 400 мм; штоки циліндрів прижимають лист к нижньому супорту перед
різкою. На одному циліндрі встановлений конічний вимикач; включення ножиць
можливе тільки при опущеному притиску. Ножиці приводяться від електродвигуна
змінного струму потужністю 280 кВт. 900 об/хв., через двохступінчастий редуктор
і пару циліндричних шестерень, велика шестерня котрих обертається безперервно і
з’єднається з муфтою включення. На швидкохідний вал редуктора розміщаються два
маховика с маховим моментом 7500 кгс∙мІ. загальна маса ножиць 300 т [2].
.3 Індивідуальне завдання
Способи видалення окалини при
прокатці гарячекатаних листів.
Є багато дефектів, зв’язаних з
окалиною, при прокатці гарячекатаних листів, такі як: "мазки" окалини
чорного кольору, світло-сірого кольору, червоні "мазки" окалини,
плями пічної окалини і т.д.
"Мазки" окалини чорного
кольору мають зовнішній вигляд, як невеликі чорні плями окалини, які
розташовані хаотично на поверхні полоси. Причини утворення такого дефекту -
утворення на границі розділу окалини легкоплавкої евтектики фаяліту(Fe2SiO4) с
вюститом(FeO). Міри попередження дефекту: сталь не повинна містити великих
неметалічних включень типу силікатів.
"Мазки" окалини
світло-сірого кольору мають зовнішній вигляд, як невеликі світло-сірі плями
окалини, які хаотично розташовані на поверхні полоси. Причини утворення дефекту
- утворення на границях розділу окалини металічного кольору, який містить в
собі нікель. Міри попередження дефекту: в складі сталі нікелю не повинно
перевищувати 0,1%.
Червоні "мазки" окалини
мають зовнішній вигляд, як невеликі червоно-бурі плями окалини. Причини
утворення цього дефекту - з’єднання окислювачів, які з’являються на поверхні
слябу, з окислювачами, утворених від газових пузирів(які розкриваються при
прокатці або нагріву металу або в рванинах і тріщин на поверхні слябу. Міри
попередження дефекту: суворо дотримуватися оптимальної технології виплавки,
розливки і розкислювання сталі, яка забезпечує отримання достатньо товстої і
щільної корочки зливку, практично вільної від газових пузирів. Не допускати
опалення зливків при нагріві їх перед прокаткою. Не допускати значного
охолодження поверхні зливку перед прокаткою, видаляти дефекти поверхні слябу,
уникнути надмірного глибокої вирубки. Не допускати згину слябу в клітях
чорнової групи широкополосних станів, які викликають тріщини на поверхні
розкату.
Плями пічної окалини мають зовнішній
вигляд, як великі плями окалини, хаотично розташовані на поверхні полоси.
Причини утворення цього дефекту - незадовільне видалення дефектів на поверхні
слябу. Сильне місцеве оплавлення слябів при нагріві. Нестійка робота
вертикального або горизонтального окалиноломача перед чорновій групи клітей.
Охолодження поверхні слябу до обробки гідрозбивом. Міри попередження дефекту:
ретельно видаляти дефекти поверхні слябу, не допускати опалення слябу при
нагріві, усунути неполадки в роботі окалиноломача.
Доріжки пічної окалини мають
зовнішній вигляд, як вузькі темно-коричневі доріжки, витягнуті вздовж направлення
прокатки. Причини утворення цього дефекту - неправильно установка сопел в
колекторах гідрозбиву, тому відбувається перехрещення струмінь води і
ослаблення сили удару, в результаті ряд ділянок(по ширині полоси) не піддається
впливу гідрозбиву. Знос сопів гідрозбиву. Засмічення сопів гідрозбиву. Падіння
тиску води в системі гидрозбиву. Окалиноломач на травильних лініях недостатньо
повно розпушують шар окислів металу в місцях, де товщина його відносно інших
ділянок поверхні полоси підвищена. Міри попередження дефекту: установити сопла,
так щоб забезпечити рівномірний розподіл сили удару струменя по ширині полоси.
Не допускати прокатку металу при засміченні сопли гідрозбиву, сопли, які вийшли
з ладу відремонтувати або замінити. Збільшити тиск води в колекторах
гідрозбиву. Налаштувати окалиноломач на ефективне збивання окалини по всій
ширині полоси, незважаючи на різну товщину слою окалини. Застосувати для
збивання окалини перед її травленням згинонатяжні ролики або дресирувальні
кліті з натяжними станціями. Використовувати для травлення окалини соляну
кислоту.
Доріжки і плями повітряної окалини
мають зовнішній вигляд, як плями окалини, які прилягають переважно стрічкою по
направленню прокатки. Причини утворення цього дефекту такі самі, як причини
утворення пічної окалини. Міри попередження дефекту такі самі, як і міри
попередження утворення пічної окалини, а саме: установити сопла, так щоб
забезпечити рівномірний розподіл сили удару струменю по ширині полоси. Не
допускати прокатку металу при засміченні сопли гідрозбиву, сопли, які вийшли з
ладу відремонтувати або замінити. Підвищити тиск води в колекторах гідрозбиву.
Налаштувати окалиноломач на ефективне збивання окалини по всій ширині полоси,
незважаючи на різну товщину слою окалини. застосувати для збивання окалини
перед її травленням згинонатяжні ролики або дресирувальні кліті з натяжними
станціями. Використовувати для травлення окалини соляну кислоту.
Точкова окалина мають зовнішній
вигляд, як темно-коричневі невеликі плями, відносно круглої форми, на всій
поверхні полоси. Причини утворення цього дефекту - вироблення поверхні робочих
валків чистової групи клітей. Міри попередження дефекту: дотримуватися
установлених строків перевалки робочих валків чистової групи клітей. Слідкувати
за режимом охолодження валків, не допускати перегріву. Застосувати в чистовій
групі стану робочі валки з твердістю поверхні не більше HSD 70.
Ребристість має зовнішній вид, як
світлі і темні плями, які чергуються перпендикулярно направленню гарячої
прокатки металу, покритого окалиною.
Різка зміна режиму швидкості
прокатки, обтиснення, натягу полоси, коефіцієнту тертя між робочими і опорними
валками або невідповідність параметрів технологічного процесу роботи стану,
завдяки цьому з’являються затухаючі або не затухаючі коливання робочих валків
стану.
Значний знос робочих поверхонь
зубців зціплення в лінії приводу валків прокатної кліті, огранювання їх
поверхонь.
Міри попередження дефекту: не
допускати (зводити к мінімуму) несталих режимів технологічного процесу. Не
встановлювати і не експлуатувати в лініях приводу зціплення с зносом зубців
більше допустимого, не встановлювати в робочі кліті валків, які мають
ексцентриситет або огранку поверхні бочки. Зменшити при виникненні коливань
швидкість прокатки.
Плями окалини на травильній полосі
мають вигляд чорної або червоно-бурі плями. Причини утворення цього дефекту -
міцні зціплення с гарячекатаної полоси пічної або повітряної окалини, які
виникли в результаті вдавлення її в метал валками прокатного стану.
Малоефективна обробка поверхні гарячекатаної полоси засобами руйнування
окалини. Міри попередження дефекту такі самі, як міри попередження для плям
доріжок окалини на гарячій полосі [3].
2. Розрахункова частина
.1 Розрахунок режиму обтиснень
Розрахунок режиму обтиснень на
товстолистовому або широкополосному стані розуміють послідовний підбір
обтиснення по проходам при прокатці листа, який включає в себе:
вибір вихідного слябу;
розрахунок максимально
допустимих обтиснень виходячи із допустимих навантажень на обладнання стану;
розрахунок температури
розкату по проходам;
вибір розподілу обтиснень
по проходам, забезпечує однакове навантаження кліті по проходам по зусиллю
прокатки, моменту або потужністю, споживаної двигуном приводу;
розрахунок продуктивності
стану при можливих варіантах режиму обтиснення.
Режим обтиснення при прокатці листів
повинен забезпечити прокатку за найменшою кількістю проходів. В більшості
випадків величина обтиснення за прохід обмежується міцністю валків, і лиш в
окремих випадках враховуємо вплив інших факторів, як потужність двигуна,
пластичність сталі. В перших проходах на сучасних двохвалкових реверсивних
станів обтиснення може бути обмеження кутом захвату або потужністю двигуна
приводу, а в останніх - міцність валків. Практика свідчить, що при прокатці в двохвалкових
клітях с регульованою швидкістю прокатки, максимальні кути захвату складають
для стальних 20-22°, а для чавунних 17-18°. Для зменшення поперечної
різнотовщінності тонких і широких листів в останньому проході приймають
"прогладжування" розкату - прокатку з незмінним в порівнянні з
проходом зазору між валками.
Вибір вихідного слябу.
Товсті листи шириною не менше
800-1200 мм прокатують, як правило, на універсальних станів за прокольною
схемою прокатки із слябів, які мають ширину яка дорівнює ширині прокатуваних
листів.
Розрахунок режиму обтиснення листа
висотою 10 мм і довжиною 900 мм на універсальному стані "1200".
Розрахуємо режим обтиснення при
прокатці листів розмірами 10х900х6000 мм.
Масу слябу
визначаємо
по формулі, виходячи з відомої кількості, листів номінальних розмірів, які
вирізаються із розкату одного слябу, маси одного листа і коефіцієнта розходу
металу, який приймаємо рівним
. Так як довжина
холодильника стану складає 40 м, то при заданій довжині розкату буде вирізатися
6 листів. Ширину слябу приймаємо рівною ширині листа
мм,
тоді [4]:
; (1)
Виходячи із ширини робочої зони
нагрівальній печі. Максимальна довжина слябу не повинна перевищувати:
.
Приймаємо довжину слябу 3200 мм, тоді товщина слябу буде дорівнювати:
; (2)
Приймаємо
Виходячи із міцності валків,
визначаємо гранично допустиме зусилля прокатки (
)
по міцності бочки:
;(3)
по міцності шийці
Визначимо максимально можливе
обтиснення за прохід по умовам захвату металу в валки. Для чавунних валків
приймаємо
Тоді
(4)
Приймаємо
.
Тоді:
(5)
Приймаємо
.
Далі розраховуємо енергосилові
параметри прокатки по проходам, у всіх проходах повинно виповнятися умова:
Прохід 1
Визначаємо орієнтовано допустиме
обтиснення за прокат з умови міцності валка. Допустимо що
,
тоді [4]:
(6)
Приймаємо обтиснення за перший
прохід = 35мм. Тоді товщина слябу після проходу становить:
(7)
Відносне обтиснення за прохід
дорівнює:
(8)
Витяжка за прохід дорівнює:
(9)
Тоді довжина слябу після проходу
дорівнює:
(10)
Кут захвату дорівнює:
(11)
Довжина дуги осередку деформації
становить:
(12)
Фактор форми осередку деформації
дорівнює:
(13)
Коефіцієнт напруженого стану
складає:
(14)
Швидкість прокатки в першому проході
із-за невеликої довжини слябу приймаємо рівною 1000мм/с. Тоді швидкість
деформації полоси дорівнює:
(15)
Температуру в першому проході
приймаємо 1150°С. Тоді по таблицям при відносному обтисненні
та
швидкості деформації U=2,4 1/с, знаходимо
.
(16)
При розрахунку зусиль прокатки
приймаємо випадок прокатки в валках максимального діаметра, коли при заданому
обтисненні довжина дуги осередку деформації максимально і найбільше зусилля
прокатки. Тоді:
(17)
Як бачимо із розрахунку, рівність
відповідає
Прохід 2
Обтиснення в цьому проході
приймаємо:
Товщину слябу розраховуємо по
формулі 7, тоді товщина після проходу складає:
Відносне обтиснення розраховуємо по
формулі 8, тоді відносне обтиснення після проходу дорівнює:
Витяжку розраховуємо по формулі 9,
тоді витяжка після проходу дорівнює:
Довжину слябу розраховуємо по
формулі 10, тоді довжина слябу після проходу дорівнює:
Кут захвату розраховуємо по формулі
11, тоді кут захвату після проходу дорівнює:
Довжина дуги осередку деформації
розраховуємо по формулі 12, тоді довжина дуги осередку деформації становить:
Фактор форми осередку деформації
розраховуємо по формулі 13, тоді фактор форми осередку деформації дорівнює:
Коефіцієнт напруженого стану
розраховуємо по формулі 14, тоді коефіцієнт напруженого стану складає:
Швидкість прокатки в третьому
проході приймаємо рівною 1500 мм/с. Швидкість деформації полоси розраховуємо по
формулі 15, тоді довжина швидкості полоси дорівнює:
Падіння температури слябу визначаємо
по формулі. Тривалість прокатки розкату в першому проході складає безпосередньо
з часу прокатки розкату в кліті і паузи на реверс двигуна для другого проходу.
Тривалість паузи на реверс двигуна приймаємо 3 с. Тривалість прокатки розкату визначаємо
по формулі:
(18)
де,
-
довжина розкату;
- швидкість
прокатки розкату в кліті.
Маємо:
(19)
Тоді температура за час прокатки в
попередньому проході складає [4]:
(20)
Температура розкату при прокатці в
другому проході дорівнює:
=1150-5=1145°С
По таблицям при відносному
обтисненні
та швидкістю
деформації U=4,31 1/с знаходимо
; Знаходимо зусилля
прокатки за формулою 16:
Зусилля прокатки в валках
максимального діаметру, розраховуємо по формулі 17, тоді зусилля прокатки в
валках складає:
Як бачимо із розрахунку, рівність
відповідає
Прохід 3
Обтиснення в третьому проході
приймаємо 20 мм, тобто
.
Тоді товщина слябу після проходу
складає:
Відносне обтиснення за прохід
дорівнює:
Витяжка за прохід дорівнює:
Тоді довжина слябу після проходу
дорівнює:
Кут захвату дорівнює:
Довжина дуги осередку деформації
становить:
Фактор форми осередку деформації
дорівнює:
Коефіцієнт напруженого стану
складає:
Швидкість прокатки в третьому
проході приймаємо рівною 3000мм/с. Тоді швидкість деформації полоси дорівнює:
Визначаємо тривалість розкату :
Тоді температура за час прокатки в
попередньому проході складає:
Температура розкату при прокатці в
другому проході дорівнює:
=1145-6=1139°С
По таблицям при відносному
обтисненні ɛ=0,33
та швидкістю деформації U=11,4 1/с знаходимо
;
Знаходимо зусилля прокатки:
Зусилля прокатки в валках
максимального діаметру складає:
Як бачимо із розрахунку, рівність
відповідає
Прохід 4
Обтиснення в четвертому проході
приймаємо 10 мм, тобто
.
Тоді товщина слябу після проходу
складає:
Відносне обтиснення за прохід
дорівнює:
Витяжка за прохід дорівнює:
Тоді довжина слябу після проходу
дорівнює:
Кут захвату дорівнює:
Довжина дуги осередку деформації
становить:
Фактор форми осередку деформації
дорівнює:
Коефіцієнт напруженого стану
складає:
Швидкість прокатки в четвертому
проході приймаємо рівною 3500мм/с. Тоді швидкість деформації полоси дорівнює:
Визначаємо тривалість розкату:
Тоді температура за час прокатки в
попередньому проході складає:
Температура розкату при прокатці в
другому проході дорівнює:
t=1139-12=1127°С
По таблицям при відносному обтисненні
та
швидкістю деформації U=18 1/с знаходимо
;
Знаходимо зусилля прокатки:
Зусилля прокатки в валках
максимального діаметру складає:
Як бачимо із розрахунку, рівність
відповідає
Прохід 5
Обтиснення в п’ятому проході
приймаємо 8мм, тобто
.
Тоді товщина слябу після проходу
складає:
Відносне обтиснення за прохід
дорівнює:
Витяжка за прохід дорівнює:
Тоді довжина слябу після проходу
дорівнює:
Кут захвату дорівнює:
Довжина дуги осередку деформації
становить:
Фактор форми осередку деформації
дорівнює:
Коефіцієнт напруженого стану
складає:
Швидкість прокатки в п’ятому проході
приймаємо рівною 4000мм/с. Тоді швидкість деформації полоси дорівнює:
Визначаємо тривалість розкату:
Тоді температура за час прокатки в
попередньому проході складає:
Температура розкату при прокатці в
другому проході дорівнює:
=1127-22=1105°С
По таблицям при відносному
обтисненні
та швидкістю
деформації U=19 1/с знаходимо
; Знаходимо зусилля
прокатки:
Зусилля прокатки в валках
максимального діаметру складає:
Як бачимо із розрахунку, рівність
відповідає
Прохід 6
Обтиснення в шостому проході
приймаємо 5 мм, тобто
.
Тоді товщина слябу після проходу
складає:
Відносне обтиснення за прохід
дорівнює:
Витяжка за прохід дорівнює:
Тоді довжина слябу після проходу
дорівнює:
Кут захвату дорівнює:
Довжина дуги осередку деформації
становить:
Фактор форми осередку деформації
дорівнює:
Коефіцієнт напруженого стану
складає:
Швидкість прокатки в шостому проході
приймаємо рівною 4500мм/с. Тоді швидкість деформації полоси дорівнює:
Визначаємо тривалість розкату:
Тоді температура за час прокатки в
попередньому проході складає:
Температура розкату при прокатці в
другому проході дорівнює:
=1105-37=1068°С
По таблицям при відносному
обтисненні
та швидкістю
деформації U=23 1/с знаходимо
; Знаходимо зусилля
прокатки:
Зусилля прокатки в валках
максимального діаметру складає:
Як бачимо із розрахунку, рівність
відповідає
Прохід 7
Обтиснення в сьомому проході
приймаємо 4 мм, тобто
.
Тоді товщина слябу після проходу
складає:
Відносне обтиснення за прохід
дорівнює:
Витяжка за прохід дорівнює:
Тоді довжина слябу після проходу
дорівнює:
Кут захвату дорівнює:
Довжина дуги осередку деформації
становить:
Фактор форми осередку деформації
дорівнює:
Коефіцієнт напруженого стану
складає:
Швидкість прокатки в сьомому проході
приймаємо рівною 5000мм/с. Тоді швидкість деформації полоси дорівнює:
Визначаємо тривалість розкату:
Тоді температура за час прокатки в
попередньому проході складає:
Температура розкату при прокатці в
другому проході дорівнює:
t=1068-44=1024°С
По таблицям при відносному обтисненні
та
швидкістю деформації U=30 1/с знаходимо
;
Знаходимо зусилля прокатки:
Зусилля прокатки в валках
максимального діаметру складає:
Як бачимо із розрахунку, рівність
відповідає
Прохід 8
Обтиснення в восьмому проході
приймаємо 2 мм, тобто
.
Тоді товщина слябу після проходу
складає:
Відносне обтиснення за прохід
дорівнює:
Витяжка за прохід дорівнює:
Тоді довжина слябу після проходу
дорівнює:
Кут захвату дорівнює:
Довжина дуги осередку деформації
становить:
Фактор форми осередку деформації
дорівнює:
Коефіцієнт напруженого стану
складає:
Швидкість прокатки в восьмому
проході приймаємо рівною 5500мм/с. Тоді швидкість деформації полоси дорівнює:
Визначаємо тривалість розкату:
Тоді температура за час прокатки в
попередньому проході складає:
Температура розкату при прокатці в
другому проході дорівнює:
=1024-83=941°С
По таблицям при відносному
обтисненні
та швидкістю
деформації U=34 1/с знаходимо
; Знаходимо зусилля
прокатки:
Зусилля прокатки в валках
максимального діаметру складає:
Як бачимо із розрахунку, рівність
відповідає
Прохід 9
Обтиснення в дев’ятому проході
приймаємо 1 мм, тобто
.
Тоді товщина слябу після проходу
складає:
Відносне обтиснення за прохід
дорівнює:
Витяжка за прохід дорівнює:
Тоді довжина слябу після проходу
дорівнює:
Кут захвату дорівнює:
Довжина дуги осередку деформації
становить:
Фактор форми осередку деформації
дорівнює:
Коефіцієнт напруженого стану
складає:
Швидкість прокатки в дев’ятому
проході приймаємо рівною 6000мм/с. Тоді швидкість деформації полоси дорівнює:
Визначаємо тривалість розкату:
Тоді температура за час прокатки в
попередньому проході складає:
Температура розкату при прокатці в
другому проході дорівнює:
=941-94=847°С
По таблицям при відносному
обтисненні
та швидкістю
деформації U=28 1/с знаходимо
; Знаходимо зусилля
прокатки:
Зусилля прокатки в валках
максимального діаметру складає:
Як бачимо із розрахунку, рівність
відповідає
Складаємо таблицю розрахунків.
Таблиця 1. Режим обтиснень полоси
10х900 мм
|
№ про-ходу
|

|
|
|
|

|
|

|
|
1
|
125
|
90
|
35
|
17
|
2,1
|
72,8
|
7475
|
|
2
|
90
|
60
|
30
|
16
|
4
|
81,5
|
8123
|
|
3
|
60
|
40
|
20
|
13
|
11
|
104
|
8105
|
|
4
|
40
|
30
|
10
|
9
|
18
|
114
|
6282
|
|
5
|
30
|
22
|
8
|
8
|
19
|
123
|
6063
|
|
6
|
22
|
17
|
5
|
6
|
23
|
140
|
5455
|
|
7
|
17
|
13
|
4
|
5
|
30
|
186
|
6483
|
|
8
|
13
|
11
|
2
|
4
|
34
|
190
|
4683
|
|
9
|
11
|
10
|
1
|
2
|
28
|
215
|
3747
|
.2 Розрахунок швидкісного режиму
Виходячи із закону постійності
об’єму, знаходимо довжину листа у кожному проході.
(21)
де,
та
-
обтиснення в кожному проході
та
-
ширина слябу (900 мм)
та
-
довжина слябу(3200 мм).
Виходячи з цього що
,
тому
,
з цього знаходимо довжину листа
Розраховуємо довжину слябу через
кожний прохід:
Розмір холодильника в цеху складає
40 м, згідно цього, довжина листа останнього проходу збігається з останнім проходом
на стані.
Швидкість прокатки визначається за
формулою:
де,
- це діаметр валків
- оберти валків за
хвилину, в нашому випадку
Розраховуємо
в
кожному проході. Беремо швидкість прокатки в перших проходах 3 м/сек, в
останніх проходах швидкість прокатки дорівнює 4,7 м/сек.
Сума
в
проходах складає
.
Діаграма зміни швидкості обертання
валків (малюнок 2.1).
З цієї діаграми ми бачимо як
змінюється швидкість прокатки, від 0 до n1 прискорення без заготівки, в цьому
періоді проходить захват полоси валками; в проміжку n1 n2 проходить прискорення
з полосою, до максимального значення n2; n2 - постійна швидкість, тобто
n2=const; в проміжку n2 та n3 проходить уповільнення з полосою, число обертів
валків зменшується; в проміжку n3 до 0 йде уповільнення без зливку.
Малюнок 2.1. Діаграма зміни
швидкості обертання валків
Такт прокатки складається з
машинного часу та часу пауз. Час пауз визначаємо з хронометражних даних.
Приймаємо
,
тоді:
.
.3 Розрахунок валків на міцність
Схема прикладання навантажень та
реакцій опор приведена на малюнок 2.2.
Малюнок 2.2. Схема прикладання
навантажень
Розрахунок бочки валка
Напруження від згину бочки валка
знаходимо за формулою:
σ = Mзг
/Wзг (22)
де Мзг - момент згину, що діє в
розглянутому перетині бочки валка, кг.см;зг = 0,1D3 - момент опору перетину
бочки валка, см3.
Величину моменту згину валка
знаходимо за формулою:
(23)
де Р - тиск металу на валки при
прокатці в даному калібрі, кг;
а - відстань між центрами шийок
валка, см;- довжина бочки валка, см.
Розрахунок шийки валка
Перевірочний розрахунок на міцність
шийки валка виконують при її згині та крученні. Напруження в шийці валка від
згину знаходимо за формулою:
σш
= Mзг /Wзг (24)
де Мзг - момент згину, кг.см;зг -
момент опору шийки валка, 1/см3.
Момент згину шийки валка знаходимо з
виразу:
Мзг = (Р/2) · ( L/2) (25)
де Р - тиск металу на валки, кг;-
довжина шийки, см.
Момент опору перетину шийки при
згині валка знаходимо за формулою:
Wзг = 0,l d3ш (26)
де dш - діаметр шийки валка, см
Напруження в шийці валка від
кручення знаходимо з виразу:
τш=Мкр/Wкр
(27)
де Мкр - момент кручення, кг.см;кp -
момент опору перетину крученню, см3.
Момент кручення знаходимо за
формулою:
Мкр = Р f
(28)
де Р - тиск металу на валки;-
коефіцієнт плеча, f = 0,7;- радіус валка в місці прикладення навантаження, см;
Δh - обтиснення
в проході, см
Момент опору шийки валка крученню
становить:
кp = 0,2 d3ш (29)
де dш - діаметр шийки валка, см.
Результуюче напруження в шийці валка
від сумісної дії згину й кручення визначаємо за формулою:
для чавунних валків
σрез
= 0,375 σш + 0,625
(30)
де σш
- напруження шийки на згин, кг/см2;
τш
- напруження шийки при крученню, кг/см2.
Розрахунок на ЕОМ и значення
фактичного запасу міцності валків.
В даному випадку перевіряють
виконання умови міцності, що, може мати два формулювання:
Розраховані напруження повинні бути
не більше допустимих:
σ
≤ [ σ ] = σв
/[ n ] або τ ≤
[
τ ] = τв /[ n ]
де σ
й τ - розраховані
нормальні й дотичні напруження відповідно;
[ σ ] і
[ τ ] - допустимі
нормальні й дотичні напруження;
σв
і τв - межа міцності
матеріалу по нормальних і дотичних напруженнях;
[ n ] - припустимий коефіцієнт
запасу міцності.
Розрахований коефіцієнт запасу
міцності n повинен перевищувати припустиме значення [ n ]
Припустиме значення коефіцієнта
запасу міцності для всіх деталей кліті, крім станини, приймають рівним [n] = 5,
а для станини, як найбільш відповідального елемента прокатного стана, [n] = 10.
Для кованих валків з вуглецевої сталі
σв
дорівнює 600-650 МПа, тоді [σ]
становить 120 - 130 МПа.
Для кованих валків з легованої сталі
55Х, 55ХН, 60ХН σв
дорівнює 620-680 МПа, тоді [σ]
становить 124 - 136 МПа
Значення межі міцності металу на
крутіння приймають як частку від σв,
тобто τв =(0,6 ¸
0,7) σв.
Висновки про працездатність
устаткування
В розрахунку фактичного запасу
міцності ми бачимо, що валки відповідного діаметра і матеріалу розраховані з
необхідним запасом міцності і забезпечують нормальну прокатку, так як по
технічним вимогам запас міцності повинен бути п'ятикратним. Аналізуючи
розрахунки продуктивності печей, прокатного стану, холодильників, правильних
машин, ножиць робимо висновок, що вибране обладнання стану по запасам міцності
і доцільності даної технології вибрано правильно і задовольняє основні вимоги
по веденню технологічного процесу на стані. Розрахунки технологічних
параметрів, калібровки валків, міцності валків і інших показників засвідчують
про доцільність застосування на даному стані відповідної технології і механічного
обладнання, що може прокатувати такі профілі, а також підтримувати безаварійну
роботу стана.
2.4 Розрахунок продуктивності стану
Теоретично годину продуктивність
прокатного стану, можливо визначити за формулою:
(31)
де Т - такт прокатки;- вага зливку.
Середню продуктивність стану
розраховуємо по формулі:
(32)
Визначаємо річну продуктивність:
(33)
де, 6800 - фактичний час роботи
прокатного стану;
,95 - коефіцієнт використання
стану(для блюмінгів, заготівельних і
сортових станів = 0,90-0,95; для
лінійних і дротових станів = 0,85-0,90);
Рср - середня продуктивність стану.
3. Охорона праці
.1 Шкідливі фактори та методи
усунення
Одним з найбільш суттєвих чинників,
що визначають несприятливі умови праці в прокатному виробництві, є
тепловипромінювання. Боротьба з тепловипромінюванням представляє одне з
найбільш актуальних завдань в створенні нормальних метеорологічних умов праці
металургів, оскільки теплові виділення і випромінювання погіршують умови
роботи, викликають різні захворювання, знижують продуктивність праці. У
прокатних цехах знаходиться велика кількість всіляких джерел тепла, нагрітий
метал, нагріті стіни нагрівальних печей, конструктивні елементи будівель і так
далі, які у свою чергу стають вторинними джерелами тепло випромінювань. В результаті
випромінювання великої кількості тепла відбувається значний нагрів окремих
ділянок робочих місць. На організм працюючих впливає інтенсивність теплових
випромінювань і рівень температури повітря. Чим частіше відбувається зміна
температурних подразників, тим потрібно більшу напругу усіх функцій для
пристосування організму до умов зовнішнього середовища, що постійно міняються.
Тривала напруга фізіологічних функцій у робітників може привести до виникнення
ряду захворювань і в першу чергу простудного характеру. Відносна вологість
повітря у виробничих приміщеннях в холодний період не повинна перевищувати 80%.
У теплу пору року при температурі повітря в приміщеннях 17-250С відносна
вологість має бути 60-40%. З підвищенням температури повітря відносна вологість
повітря знижується. Величезне значення для нормалізації метеорологічних умов в
робочій зоні має правильна організація аерації і раціональне облаштування
повітряного душування на робочому місці, яке попереджає перегрівання організму.
Важливе значення має правильне
розміщення прокатних цехів і устаткування усередині будівель. Розташування
цехів повинне забезпечувати вільний доступ свіжого повітря до усіх ділянок
цеху. Устаткування повинне розміщуватися у зовнішніх стін, забезпечених
віконними отворами. Необхідно уникати паралельного розміщення гарячого
устаткування і інших джерел тепловиділення, оскільки в цьому випадку робочі
місця і уся зона, розташована між ними, погано провітрюється, а свіже повітря,
проходячи над джерелом тепловиділення, нагрівається і поступає на робоче місце
нагрітим. Для захисту від тепловипромінювання широко застосовують завіси і
екрани. У літню пору року максимальний повітрообмін можливий завдяки
використанню аерації. У важко провітрюваних місцях застосовують штучну
вентиляцію з охолодженням повітря. Для створення нормальних метеорологічних
умов праці, окрім облаштування потужного витяжного ліхтаря, захищеного від
вітру щитами, має бути створений необхідний приплив свіжого повітря робочий
майданчик. Вступ повітря з боку слід обладнати суцільними стулками в усіх
вікнах на рівні майданчика управління. У протилежній стіні будівлі приплив
повітря відбувається тільки через отвори на нульовій відмітці заввишки до 3 м.
Ці проблеми закривають гратами і обладнали доладними шторами. Засобами
індивідуального захисту від тепловиділень є густі металеві сітки або брезентові
штори зі вставленими в них синіми стеклами. Важливе значення у боротьбі з
променистим теплом і теплом, що передається конвекцією, має спеціальний одяг.
Матеріал для спецодягу застосовують з незаймистих тканин, стійких проти дії
променистого тепла, міцних, м'яких, таких, що мають велику повітропроникність
для полегшення повітрообміну тіла людини, працюючої з довкіллям.
Для захисту очей від дії променистої
енергії застосовують окуляри зі світлофільтрами. Пил, що знаходиться в повітрі
прокатних цехів, є одним чинників виробничого середовища, що визначають умови
праці працюючих. Причини виникнення пилу в прокатному виробництві можуть бути
різними: відсутність герметизації і аспірації джерел пиле виділень ,
застосування ручних операцій при транспортуванні, вантаженні і вивантаженні
сухих високодисперсних матеріалів. Виділення пилу в повітря відбувається також
при чищенні устаткування, повітропроводів, підлог і газових магістралей вручну,
щітками, мітлами або обдуванням стислим повітрям. Пил при прокатки утворюється
в результаті подрібнення окалини валяннями і випару внаслідок миттєвого
збільшення тиску і підвищення температури. Між валками і металом утворюється
пил більших фракцій, який потім захоплюється гарячим потоком повітря і повільно
осідає на устаткування і конструкції цеху. Розмір пилу 5-10 мкм, яка
утворюється від випару окалини, складає приблизно 20%. Цей пил розноситься по
усьому цеху. Загальний викид пилу від усіх джерел пиле утворюванні в середньому
складає 200 г на 1 тонні товарного прокату без вогневої зачистки і 510-4320 г
на 1 тонні прокату за наявності вогневої зачистки.
Поведінка пилу в повітрі
визначається розмірами і формами окремих часток. За розміром пилових часток пил
може бути різних видів: частки розміром менше 0,1 мкм, тобто дим; від 0,1 до 10
мкм - хмара; більше 10 мкм - власне пил. Порошинки розміром 10 мкм і більше
осідають і в органи дихання можуть не потрапити. Особливу небезпеку
представляють дрібні частки пилу розміром до 5 мкм, які знаходяться в повітрі
довгий час в зваженому стані, особливо при підвищеній рухливості повітря.
Організм захищається від пилу шляхом фільтрації її у верхніх дихальних шляхах.
Але на виробництві, в процесі роботи, особливо при значній м'язовій напрузі,
робітники вдихають повітря не лише носом, але і ротом. Тому не виключена
можливість, що у працюючих в умовах запиленого повітря можуть бути запальні
захворювання верхніх дихальних шляхів, що знижує здатність організму, що фільтрує,
і сприяє вдиханню повітря, що містить пил. Пил, що містить оксиди заліза,
впливає на органи дихання. Проникаючи глибоко в дихальні шляхи, цей пил може
привести до розвитку специфічного захворювання-сидерозу.
Санітарними нормами для прокатних
цехів встановлена гранично допустима концентрація пилу в повітрі не більше 10
мг/ м3. У зв'язку з наявністю в прокатному виробництві численних джерел освіти
і виділення пилу в атмосферу цеху на кожному металургійному заводі встановлений
систематичний контроль запиленою повітря на усіх виробничих ділянках прокатних
цехів. Контроль за змістом пилу в повітрі проводять лабораторії охорони праці,
або санітарні лабораторії підприємства. Процес визначення концентрації пилу в
повітрі складається з двох операцій: відбору проб пилу з повітря і
лабораторного визначення її змісту в атмосфері. Основними заходами по боротьбі
з пилом в прокатному виробництві являються: введення раціональних технологічних
процесів і удосконалення устаткування, застосування ефективної герметизації і аспірації
усіх пилевиділяючих джерел, зволоження пилу водою або парою; облаштування
спеціальної пилеуловлючої вентиляції від місць пилеутворення з очищенням
повітря перед викидом його в атмосферу через систему фільтрів, регулярне
прибирання пилу з робочих місць спеціальними пилососами, застосування
індивідуальних засобів захисту. Осадження пилу робиться за допомогою форсунок.
Але пригнічення пилу водою при
плющенні забезпечується неповністю, тому разом з гідрознепилюванням прокатні
стани обладналися спеціальними пилевідсмоктувачі пристроями. Однією з найбільш
ефективних конструкцій такого пристрою є установка, розроблена ВНИИОТ. Для
уловлювання пилу на станах із застосуванням ручної праці встановлюють
парасольку на висоті 2,4 м від підлоги, тобто вище за зростання людини.
Пневматичне прибирання пилу дозволяє значно зменшити або повністю усунути
виділення пилу. При цьому високодисперсний пил не розноситься по цеху, що
зазвичай буває при підмітанні або очищенні конструкції щітками. Крім того,
застосування пневматичного прибирання підвищує продуктивність праці на 25-30% і
дозволяє легко прибрати пил із стін, стель, металоконструкцій, повітропроводів,
устаткування, з будь-яких важкодоступних місць які при інших способах рідко
очищаються від пилу і стають джерелами виділень пилу. Пневматичні пилеуборні
установки можуть бути двох типів: всмоктуючі і комбіновані. У всмоктуючих
установках система трубопроводів і пиловловлювачі розташовані на всмоктуючій
стороні пристрою для створення тяги, і під час роботи вони знаходяться під
розрідженням, завдяки чому навіть за наявності не щільності пилення повністю
відсутній. У комбінованих установок частина трубопроводів і апаратури розміщена
на нагнітальній стороні пристрою для створення тяги і знаходиться під
позитивним тиском, внаслідок чого поява не щільності в цій частині установки
призводить до виділення пилу назовні.
Важливим чинником оздоровлення умов
праці в прокатному виробництві є зниження виробничого шуму і вібрації.
Виробничий шум різної інтенсивності і спектру, тривало впливаючи на працюючих,
призводить до пониження гостроти слуху, а іноді і до розвитку професійної
глухоти у робітників. Вібрація сприймається робітниками лише при
безпосередньому зіткненні з вібруючим устаткуванням. Розвиток вібраційної
хвороби і інших несприятливих явищ залежить в основному від частоти вібрації і
амплітуди коливань: чим вище частота вібрації і чим більше амплітуди коливань,
тим велику небезпеку представляє вібрація відносно термінів розвитку і тяжкості
вібраційної хвороби. Нормами визначені також маса вібруючого устаткування і
сила натиску на нього працюючого. Маса вібруючого устаткування і його частин,
що утримуються руками в різних положеннях в процесі роботи, не повинна
перевищувати 10 кг.
Сила натиску працюючих на вібруюче
устаткування і його частини не повинна перебільшувати 20 кг. Для попередження
шкідливої дії шуму на людину в прокатному виробництві застосовують комплекс
різних заходів, основними з яких є наступні. Для зменшення шуму в джерелі його
виникнення необхідно по можливості замінювати ударні взаємодії деталей не
ударними. Інтенсивність вібрацій деталей агрегатів, що мають великі
випромінюючі шум поверхні, слід зменшувати шляхом: облицювання цих поверхонь
або заповнення спеціально передбачених в них повітряних порожнин поглинаючих
вібрацію матеріалами; заміни металевих деталей деталями з пластмас або інших не
звучних матеріалів; укладення в ізолюючі кожухи шумних вузлів агрегату. Якщо
неможливо понизити шум технологічного устаткування в джерелі його освіти, в
паспорті або іншій технічній документації слід вказувати додаткові заходи по
зменшенню шуму на робочих місцях, наприклад: розміщення потужних джерел шуму у
боксах, окремих приміщеннях або будівлях з підвищеною звукоізоляцією; пристрій
звук ізольованих кабін спостереження і дистанційного керування; облицювання
внутрішніх поверхонь обгороджувань приміщень звукопоглинальними матеріалами,
застосування штучних звукопоглиначів або облаштувань екранів; установка
глушників аеродинамічних шумів, що створюються вентиляторами, компресорами або
газодинамічними і іншими установками; звукоізолююче облицювання трубопроводів,
випромінюючих шум. Усі ці заходи мають бути підтверджені розрахунками і
робочими кресленнями перерахованих пристроїв, що забезпечують дотримання
санітарних норм на робочих місцях. Робітником, працюючим на машинах і
агрегатах, передавальних вібрацію на робоче місця, рекомендується працювати у
взутті, що гасить вібрацію, у разі потреби застосовувати наколінники. Передача
вібрації на руки при роботі пнемо інструментом може бути ослаблена
застосуванням спеціальних віброзахисних рукавиць. Крім того, робітникам слід
користуватися в час роботи пристосуваннями, що зменшують статичне напруга
м'язів; своєчасно ремонтувати інструмент, тому що, зношуючись, він створює
додаткову вібрацію [5].
.2 Протипожежна безпека
Важливим у протипожежній охороні є
дотримання протипожежних правил і норм при облаштуванні систем опалення,
вентиляції, кондиціонування повітря, молнієзахисту при спорудженні житлових
будинків, промислових об'єктів, розташування технологічного устаткування.
Ефективним заходом є належне розміщення будинків і територій та обмеження
застосування відкритого вогню у пожежонебезпечних місцях (газо- і
електрозварювальні роботи). На пожежонебезпечних територіях потрібна повна
заборона паління в невстановлених місцях та обов'язкове дотримання норм і
правил при роботі з вогненебезпечними і вибухонебезпечними речовинами
(обов'язкове оформлення наряду-допуску з додатковим інструктажем, постійним
наглядом з боку керівного складу). Основне завдання протипожежної безпеки -
збереження людського життя, природних ресурсів, особового та громадського майна
- виробничих споруд, житла, створення умов за яких пожежа стала б неможливим
явищем. Ще в середньовіччі були створені спеціальні протипожежні команди. На
сучасному етапі розвитку науково-технічного прогресу для боротьби з пожежами
використовують організаційні, технічні засоби. Обов'язковими для великих
підприємств є протипожежні формування або депо. Їх розташування регламенту є
СНіП 11-89-80 "Генеральные плани промышленных предприятий".
Відповідно до вимогам зазначених норм пожежні депо розміщають на земельних
ділянках, що прилягають до доріг загального користування. Пожежне депо, як
правило, повинне обслуговувати групу підприємств. У випадку, коли підприємство
не підпадає під зону обслуговування існуючих пожежних депо, то на його
території необхідно передбачити існування власного пожежного депо. Радіус його
дії: для підприємстві з виробництвами категорії А, Б та В, що займають більше
50% всієї площі забудови - 2 км; якщо підприємства цих же категорій займають до
50% площі забудови і підприємстві з виробництвом категорії Г та Д - 4 км. З
врахуванням пожежної безпеки генеральні плани промислових підприємств повинні
задовольняти вимогам: дотримання необхідних безпечних відстаней від меж
підприємства до сусіднього об'єкта, населеного пункту, смуг доріг і водних
шляхів; правильне зонування будинків і промислових споруд з урахуванням їх
значення; дотримання необхідних протипожежних розривів між ними. При зонуванні
промислові підприємства повинні бути відділені від житлової зони, споруд
основного і допоміжного призначення, складів, будинків адміністративного та
господарсько-побутового призначення. Протипожежні розриви між виробничими
спорудами залежать від вогнестійкості будинку і категорії пожежної небезпеки
розміщеного в ньому виробництва, а для складів - від пожежо- і
вибухонебезпечності речовин, що зберігаються, ємності складу і його
розташування - наземне, підземне. Треба забезпечити вільний під'їзд пожежних
автомобілів до споруд. Підприємство площею понад 5 га і при довжині території
понад 1000 м повинно мати не менше 2-х виїздів; при площі забудови більш 10 га
- з усіх боків. Для забору води для гасіння пожежі встановлюють пожежні
гідранти на відстані не більш 100 м один від іншого і не більш 5 м від стін
будинків, а до дороги - 2 метри. Як засіб непоширення пожежі застосовують
загальні, місцеві протипожежні перепони.
Загальні - протипожежні перекриття з
негорючих матеріалів (цегла, залізобетон).
Місцеві - призначені для обмеження
поширення полум'я в початковій стадії розвитку пожежі - бортики, пороги,
кювети, обвалування.
Для запобігання пожежне обхідно
впроваджувати ефективні загальні методи протипожежної безпеки. Організаційні
навчання працюючих правилам пожежної безпеки, організація пожежної охорони,
проведення бесід, лекцій, видання необхідних інструкцій, плакатів. Технічні -
передбачають наявність технічних пристроїв сигналізації про початок пожежі,
автоматичного включення засобів оповіщення та гасіння полум'я. Експлуатаційні -
передбачають правильну експлуатацію систем опалення, вентиляції і
кондиціонування повітря, блискавкозахисту, технологічних машин і обладнання.
Пожежі є наслідками необачності, неправильних дій людини з об'єктами, що можуть
їх викликати або стихійні явища природи - блискавка, виверження вулкану. Що
річно вони завдають величезної шкоди народному господарству і майну громадян,
відбирають тисячі людських життів. Природно, що з пожежами людство від віку
веде боротьбу. Поступово сформувалися загальні методи гасіння пожеж: 1)
ізоляція джерела горіння; 2) зменшення концентрації окислювача, зокрема кисню;
3) охолодження джерела горіння нижче температури горіння; 4) механічне збивання
полум'я тиском води, інертного газу, різними негорючими речовинами; 5)
створення спеціальних перепон для розповсюдження полум'я, наприклад
протипожежні розриви.
Системи протипожежної сигналізації,
як технічний засіб, мають важливе значення у запобіганні загибелі людей,
руйнуванні матеріальних цінностей і призначені для виявлення початкової стадії
пожежі, передачі тривожних сповіщень про місце і час її виникнення.
При необхідності вони включають у
дію автоматичні системи гасіння пожежі і видалення диму. Системи пожежної
сигналізації - ручні та автоматичні.
Автоматичні системи спрацьовують під
впливом проявів початкової стадії пожежі - температури, диму, випромінювання
від полум'я. Важливим елементом такої системи є датчик - прилад
"чутливий" до певного фактору - диму, світла, тепла, іонізації -
появи електричних зарядів. Кількість пожежних оповіщувачів у контрольованому
об'єкті залежить від його площі. Для попередження пожежі ефективними є системи
автоматичного пожежогасіння. Такі пристрої ділять на водяні, парові, пінні,
газові, хладонові та порошкові. За часом спрацьовування їх розрізняють на
надшвидкісні (час спрацьовування 0,1 с); швидкодіючі (0,3 с); нормальної
інерційності (30 с); підвищеної інерційності (до 3 хвилин). Всі автоматичні
системи пожежогасіння одночасно з гасінням подають сигнал тривоги.
Ефективною є стійка піна, що може
бути отримана при введенні у воду невеликих кількостей (3-4%) речовин,
спроможних знизити поверхневий натяг плівки води. При розтіканні хімічної піни
утворюється стійкий прошарок товщиною 7-10 см, який майже не руйнується від дії
полум'я. Піна не взаємодіє з нафтопродуктами і утворює щільний покрив, який не
пропускає парів горючої рідини. Але її не можна застосовувати для гасіння
електроустаткування. Інші ефективні засоби гасіння - інгібітори горіння на
основі галоїдоводородів, порошкові речовини - використовують для гасіння
нафтопродуктів, активних (лужних) металів, електрообладнання.
Широко використовують суміші на
основі карбонатів, бікарбонатів (харчова сода). Високоефективні інертні гази,
які як і водяна пара, зменшують концентрацію кисню, розбавляють пальну речовину
і віднімають значну кількість енергії, в результаті чого температура знижується
і відбувається гальмування процесу горіння.
Для гасіння пожеж двоокисом вуглецю
застосовують автоматичні стаціонарні та пересувні пристрої (пожежні
автомобілі), а також ручні пересувні і переносні вогнегасники. Найбільш
поширення в якості первинних засобів гасіння пожеж одержали різноманітні ручні
вогнегасники: пінні, газові вуглекислотні і спеціальні вогнегасники
вуглекислотно-брометилові, порошкові. Пінні вогнегасники призначені для гасіння
невеличких осередків горіння речовин, матеріалів, та тих які можуть горіти без
доступу кисню повітря. До спеціальних вогнегасників відносять: порошкові та
вуглекислотно-етилові. Вуглекислотно-бромметилові вогнегасники призначені для
гасіння невеличких осередків горіння волокнистих та твердих матеріалів. Пісок
звичайно застосовують там, де можливий розлив невеликої кількості пальних і
легкозаймистих рідин.
Слід використовувати негорючі
обмазки з перліту, цементу, які захищають пожежонебезпечні об'єкти з деревини,
полімерів. Такий же ефект мають облицювальні керамічні плитки - кахлеві або
звичайна цегла, а також металеві екрани. Дуже часто трапляються трагедії на
новорічні свята, коли використовують легко займисті матеріали з бавовни.
Щоб цього не було треба дбати про
спеціальний захист маскарадних костюмів - вони повинні бути оброблені
негорючими речовинами, наприклад алюмокалієвими квасцами, негорючими сольовими
розчинами [5].
.3 Електробезпека в прокатних цехах
Небезпека травмування при роботі с
електроустановками може виникнути в наступних випадках:
від дотику к не ізолюючому
проводу, шипу, контактам різного обладнання, які знаходяться під напругою;
від дотику к корпусам машин
та апаратів, які опинились під напругою випадково;
від близькості людини до
проводу, що впав на землю та знаходиться під напругою;
при випадковому виключенню
роз’єднувача під напруженням;
при появі потенціалу на
мокрих поверхнях.
Основним заходами захисту є
забезпечення недоступності струмопровідних частин від випадкового дотику,
застосування захисного виключення, застосування індивідуальних засобів захисту
і т.д. Огородження струмопровідних частин повинно бути передбачено конструкцією
електрообладнання і є основною частиною. Таку конструкцію має більшість
електричних машин, апаратів та приборів, які виробляються промисловістю, і у
яких корпуса та оболонки захищають струмоведучі частини від дотику. При
будуванні електроустановок неізоляційні проводи та шини, поміщають в спеціальні
ящики та шафи, камери які закриваються суцільними або сітчастими огорожами.
Проводи повітряних електричних ліній, які прокладаються не в приміщенні,
неможливо огородити або ізолювати, тому їх поміщають на висоту, щоб виключити
можливість дотику до них. Мінімальна висота для ліній з напругою до 1000 В - 6
метрів, а у середині приміщення - 3,5 метрів. При роботі з ручним інструментом,
робітник тривалий час контактує з корпусом обладнанням, внаслідок цього
підвищується небезпека ураження струмом. Найбільш ефективним засобом
запобігання від ураження струмом є застосування низької напруги (36 В). Цю
напругу отримують від мережі 380-127 В за допомогою спеціальних понижуючих трансформаторів,
які мають невеликий розмір і переносяться вручну. Електроінструменти, які
працюють від напруги 36 В вважаються безпечними. При несприятливих умовах
роботи (тіснота, незручне становище робітника, дотик робітника з великими
металічними поверхнями, які добре не заземлені), безпечною напругою є 12 В.
Захисним заземленням, яке зображене на малюнку 3.1, а, є з’єднання з землею
корпусів та інших конструктивних металічних частин електроустановки. Заземленню
підлягають корпуса і станини електричних машин, кожухи трансформаторів,
вимикачів, обладнання, каркаси щитів які можуть опинитися під напругою.
При заземленні повинен бути контакт
с ґрунтом, використовують стальні стержні довжиною 2,5-3 м, які забивають
вертикально в землю. Захисним зануленням називається приєднанні до заземленого
нульового проводу корпусу конструктивних металічних частин електрообладнання,
які в нормальному стані не знаходяться в напрузі, але можуть опинитися під
напругою внаслідок ушкодження ізоляції. Схема ізоляції показана на малюнку 3.1,
б. Задача захисного занулення - перетворити пробій на корпус в коротке
замикання між фазами і нульовим проводом, визвати тим самим протікання через
захист великого струму та швидко відключити ушкодження обладнання в мережі [5].
Малюнок 3.1. Схеми захисного:
заземлення (а) та занулення (б)
3.4 Охорона навколишнього середовища
Джерела екологічного права
послідовно виражають і закріплюють екологічну політику Української держави.
Основним джерелом екологічного права України є, безперечно, Конституція
України, яка має вищу юридичну силу і закріплює основи екологічного права. Так
ст. 16 Основного Закону встановлює, що "Забезпечення екологічної безпеки і
підтримання екологічної рівноваги на території України, подолання наслідків
Чорнобильської катастрофи - катастрофи планетарного масштабу, збереження
генофонду Українського народу є обов'язком держави". А ст. 50 передбачає,
що "Кожен має право на безпечне для життя і здоров'я довкілля та на
відшкодування завданої порушенням цього права шкоди. Кожному гарантується право
вільного доступу до інформації про стан довкілля, про якість харчових продуктів
і предметів побуту, а також право на її поширення. Така інформація ніким не
може бути засекречена.
На будь-яку особу, що перебуває в
Україні, покладається також конституційний обов'язок не заподіювати шкоди
природі відповідно до ст. 66 Конституції України. До того ж, сучасними
нормативно-правовими актами, що безпосередньо регулюють основи організації
охорони навколишнього природного середовища, є кодекси: Водний кодекс України
від 6 червня 1995 р., Повітряний кодекс України від 4 травня 1993 р., закони
України: "Про охорону навколишнього природного середовища" від 25
червня 1991 р., "Про охорону атмосферного повітря" від 16 жовтня
1992р., "Про природно-заповідний фонд України" від 16 червня 1992 р.,
"Про тваринний світ" від 13 грудня 2001 р., "Про рослинний
світ" від 9 квітня 1999р., "Про карантин рослин" від ЗО червня
1993 р., "Про ветеринарну медицину" від 25 червня 1992 р., "Про
охорону прав на сорти рослин" від 21 квітня 1993р., "Про внесення
змін і доповнень до деяких законодавчих актів України з питань охорони
навколишнього природного середовища" від 6 березня 1996 року тощо. До того
ж, деякі відносини у сфері використання та охорони навколишнього природного
середовища врегульовано земельним, лісовим кодексами, кодексом про надра, а
також Постановою Верховної Ради України "Про затвердження Порядку
обмеження, тимчасової заборони (зупинення) чи припинення діяльності підприємств,
установ, організацій і об'єктів у разі порушення ними законодавства про охорону
навколишнього природного середовища" від 29 жовтня 1992 р. тощо. Загалом,
досить поширеними джерелами екологічного права є укази Президента та постанови
Кабінету Міністрів України, які спрямовані на врегулювання суспільних відносин
у галузі використання, відтворення і охорони природних ресурсів та забезпечення
екологічної безпеки населення України.
Серед найбільш відомих постанов
Кабінету Міністрів України, які присвячені врегулюванню та охороні екологічних
правовідносин, слід насамперед, згадати такі: "Про затвердження Положення
про державну систему моніторингу довкілля" від 30 березня 1998 р.,
"Про затвердження переліку видів діяльності, що належать до природоохоронних
заходів" від 17 вересня 1996 р., "Про затвердження Положення про
Державний фонд охорони навколишнього природного середовища" від 7 травня
1998 р. тощо. Самостійними джерелами екологічного права є накази й інструкції
міністерств та інших органів центральної виконавчої влади та акти місцевих
органів державної виконавчої влади й місцевого самоврядування. Забруднена
окалиною й маслами стічна вода стікає в цеховий відстійник, обладнаний
маслоовіддільним пристроєм для видалення осаду (первинної окалини). Ступінь
очищення води у відстійнику повинна бути не менш 80%. Масло, що накопичується у
відстійнику, періодично збирають і зливають у збірну ємність для відпрацьованих
масел. При ремонтах мех. обладнанням й заміні масла в редукторах і інших
механізмах не допускається його проливання. У випадку протоки масло повинне
бути ретельно зібране й поміщене в ємність для відпрацьованих масел, а місце
протоки засипане ошурками. Промаслені ошурки, промаслену дрантя й інші
промаслені сипучі або текстильні матеріали необхідно збирати й зберігати в
окремі для кожного виду відходів контейнерах. У міру нагромадження
відпрацьовані масла доставляють на установку регенерації, а промаслені
матеріали - на центральний склад. Перегорілі й непридатні до подальшого
використання вогні завзяті вироби, виробничі відходи по видах тимчасово
зберігаються в контейнерах на спеціально обладнаних площах з наступним
транспортуванням у ЦПП [5].
.5 Розрахунок природної вентиляції
Відповідності з вимогами СНіП
2.04.05-91 полягає у визначенні площ вентиляційних прорізів будівлі й включає
наступні етапи:
. Розрахунок надлишкового тепла у
приміщенні цеху.
. Розрахунок необхідного об’єму
повітря для обміну.
. Розрахунок надлишкового тиску й
площі прорізів:
визначення швидкості руху повітря
(м/с) у нижніх прорізах;
визначення площі (м2) нижніх
вентиляційних прорізів;
визначення втрати тиску (Па) у
нижніх прорізах;
визначення надлишкового тиску (Па) у
верхніх прорізах;
- визначення площі (м2) верхніх
вентиляційних прорізів.
Температуру в робочій зоні
встановлюють у відповідності з вимогами СНіП 2.04.05-91 або розраховують по
формулі
р.з = tзовн + (3 ч 5°C).
Для цехів ОМТ вона повинна бути не
більше 28°С.
Температуру повітря, що видаляється
з приміщення знаходимо по формулі:
вид = t р.з + К(Н - 2); (3.1)
де К - коефіцієнт нарощення
температури по висоті приміщення (температурний градієнт). Приймається від 0,6
до 1,5;
Н - висота приміщення, м;
- умовна висота робочої зони, м.
Середня температура повітря в
приміщенні становитиме:
(3.2)
де, tр.з. і tвид. - температури
повітря в робочій зоні й повітря, що виходить із приміщення, °С.
Розрахунок об’єму повітря що
надходить, необхідного для зменшення надлишкових теплових виділень, виконують
по формулі:
(3.3)
де L - необхідний об’єм повітря що
надходить в приміщення, м3/год.;над - надлишкові теплові виділення, Дж;- питома
теплоємкість повітря, приймаємо С = 1004,6 Дж;
γнадх.
- густина повітря при температурі, що відповідає температурі
повітря, що надходить в приміщення
цеху, кг/м3 (таблиця 1.);надх. - температура повітря що надходить в приміщення,
°С;вид. - температура повітря що виходить з приміщення, °С.
Таблиця 3.1. Густина повітря (γ)
при
різних його температурах (t) і нормальному атмосферному тиску, кг/м3
|
t, °С
|
-30
|
-20
|
-10
|
0
|
10
|
20
|
30
|
40
|
50
|
|
p, кг/мі
|
1,453
|
1,395
|
1,342
|
1,293
|
1,247
|
1,205
|
1,165
|
1,128
|
1,093
|
Розрахунок надлишкового тепла у
приміщенні цеху.
У загальному випадку кількість
надлишкового тепла, що надійшло в приміщення цеху, розраховується по формулі:
над = Qпост - Qвтрат; кДж (3.4)
де Qпост - тепло, що надійшло в
приміщення, кДж ;втрат - теплові втрати, Дж.
Загальна кількість тепла, що
поступає в приміщення цеху, розраховується по формулі:
пост = Q1 + Q2 + Q3 + Q4 +Q5 +
Q6;(3.5)
де Q1 - кількість тепла, що
виділяється електродвигунами устаткування, кДж;- кількість тепла, що
виділяється приладами штучного освітлення, кДж;- кількість тепла, що
виділяється працюючими людьми, кДж;- кількість тепла, що виділяється
продукцією, яка оходжується, кДж;- кількість тепла, що виділяється
нагрівальними приладами, кДж;
Теплові виділення від
електродвигунів обладнання.
Кількість тепла, виділеного від
електродвигунів устаткування або механізмів, визначається по формулі:
= 860 · Nед · φ;
кДж;
(3.6)
де 860 - тепловий еквівалент;ед -
загальна номінальна потужність, електродвигунів механізмів
устаткування, кВт;
φ - коефіцієнт,
що враховує втрати електроенергії, яка йде на нагрів
струмоведучих частин двигунів,
визначається по формулі:
φ =
φ1
+
φ2 +
φ3 +
φ4
де φ1
- коефіцієнт використання номінальної потужності
(як правило, φ1 = 0,7-0,9);
φ2 - коефіцієнт
завантаження (як правило, φ2 = 0,5 - 0,8);
φ3 - коефіцієнт
одночасності роботи (як правило, φ3 = 0,5 -1,0);
φ4 - коефіцієнт
асиміляції тепла повітрям, який враховує, яка частина тепла затрачуваної
електричної енергії передається у вигляді тепла повітрю приміщення (коливається
від 0,1 до 1).
Для визначення виділення тепла у
прокатних цехах орієнтовно приймають φ4 = 0,75.
Теплові виділення від приладів
штучного освітлення.
Кількість тепла, що виділилося в
приміщення цеху від джерел штучного світла можна визначити за формулою:
= 860·Nосв·φ,
кДж;
(3.7)
де Nосв - сумарна споживана
потужність освітлювальної системи, кВт;
φ - коефіцієнт,
що враховує кількість електроенергії, що перейшла в тепло при роботі ламп. Для
ламп накалювання та дугових ртутних люмінесцентних ДРЛ) - φ
= 0,95.
Теплові виділення від працюючих
людей.
Кількість тепла, що виділяється
працівниками знаходиться по формулі:
= N · q, кДж; (3.8)
де, N - кількість робітників в
найбільш чисельній зміні, чол.;- тепловиділення одної людини при даній
температурі в приміщенні цеху і залежно від фізичного навантаження визначаємо з
таблиці 3.2.
Таблиця 3.2. Кількість тепла, що
виділяє дорослий чоловік.
|
Фізичні навантаження
|
Кількість тепла q, кДж, що виділяє чоловік в
приміщення при температурі повітря, єС
|
|
10
|
15
|
20
|
25
|
30
|
35
|
|
У спокої
|
586,0
|
523,2
|
418,6
|
334,9
|
334,9
|
334,9
|
|
При легкій роботі
|
648,8
|
565,1
|
544,2
|
523,3
|
523,3
|
523,3
|
|
При роботі середньої ваги
|
774,4
|
753,5
|
732,6
|
711,6
|
711,6
|
711,6
|
|
При важкій роботі
|
1046,5
|
1046,5
|
1046,5
|
1046,5
|
1046,5
|
1046,5
|
Примітка: Жінки виділяють близько
85%, а підлітки 75% тепла, зазначеного в таблиці.
Теплові виділення від нагрітого
матеріалу.
Кількість тепла, що виділяється в
приміщенні цеху нагрітим матеріалом, знаходимо по формулі:
= G·C(tпоч - tкін); кДж (3.9)
де G - вага матеріалу, кг;
С - середня теплоємкість матеріалу,
кДж.
для чорних металів С = 4,806 кДж/°C;
для чавуну С = 418,6 кДж/°C;
для цегли С = 877,8 кДж/°C.поч -
початкова температура матеріалу, °C;кін - кінцева температура матеріалу, °C.
Теплові виділення від нагрівальних
пристроїв.
Кількість тепла, що виділяється в
приміщенні цеху нагрівальними пристроями, знаходимо по формулі:
= 3600·Fп ·k (tср - tвн); кДж (3.10)
де Fп - площа тепловіддаючої
поверхні, мІ,- коефіцієнт теплопередачі, Вт/мІ·°С;ср - середня температура
нагрітої поверхні, ° С;вн - температура повітря в приміщенні, °С.
Якщо кладка печі виконана з цегли
різних матеріалів, то тоді коефіцієнт теплопередачі становить:
де αвн
- коефіцієнт тепловіддачі в робочому просторі печі приймають рівним 400 - 500
Вт/мІ·°С;
αн
- коефіцієнт тепловіддачі зовнішньої поверхні печі повітрю в приміщені цеху
розраховують по формулі:
ан = 15 + 0,06·tзов. печі; (3.12)
;
δi - товщина
кожного шару кладки печі з окремого матеріалу, м;
λi - коефіцієнт
теплопровідності даного шару кладки печі.
Коефіцієнт теплопровідності для
шарів кладки печі залежить від середньої робочої температури в них та типу
вогнетривкої цегли:
для шару цегли з шамоту
λ1 = 0,8 + 0,0006·tср
1; (3.13)
;
для шару цегли з піно шамоту
λ2 = 0,15 + 0,00035·tср
2;(3.14)
.
Тепло, внесене в приміщення цеху
сонячною радіацією.
У випадку, якщо в стінах будівлі
цеху є вікна (для достатнього природного освітлення) зі значною площею скляної
поверхні, то в теплий період року (при зовнішній температурі більше плюс 10°С)
слід враховувати сонячну радіацію. Кількість тепла, що надходить від сонячної
радіації, визначається по формулі [6]:
= Fскл·Kскл· gскл; кДж (3.15)
.
де Fскл - площа скляної поверхні в
стінах, мІ;скл - коефіцієнт, що залежить від характеристики скляної поверхні
(табл. 3.3);скл - сонячна радіація що надходить через 1 м2 скляної
поверхні, залежно від орієнтації по сторонах горизонту, Дж (табл. 3.4)
Сонячна радіація через стіни не
враховується через її незначність.
Таблиця 3.3. Значення коефіцієнта
Kскл
|
Характеристика скляної поверхні
|
Значення коефіцієнта Kскл
|
|
Подвійне скло в одній рамі
|
1,15
|
|
Одинарне скло
|
1,45
|
|
Звичайне забруднення скла
|
0,8
|
|
Сильне забруднення скла
|
0,7
|
|
Побілка скла
|
0,6
|
|
Матове скло
|
0,4
|
|
Зовнішнє прикриття вікон
|
0,25
|
Таблиця 3.4. Значення коефіцієнта
gскл
|
Розрахункова географічна широта, град.
|
Фактичний сонячний час суток
|
Коефіцієнт gскл , Дж
|
|
До полудня
|
Після полудня
|
Північ
|
північ
|
схід
|
півд. схід
|
південь
|
півд. захід
|
захід
|
північ. Захід
|
|
48-50
|
5-6
|
18-19
|
196742
|
246974
|
263718
|
188370
|
113022
|
100464
|
100464
|
100464
|
|
6-7
|
17-18
|
246974
|
351624
|
426972
|
326508
|
213486
|
154882
|
159068
|
159068
|
|
7-8
|
16-17
|
255346
|
380926
|
464646
|
397670
|
272090
|
196742
|
192556
|
192556
|
|
8-9
|
15-16
|
242788
|
347438
|
443716
|
410228
|
305578
|
226044
|
205114
|
209300
|
|
9-10
|
14-15
|
226044
|
284648
|
359996
|
397670
|
313950
|
242788
|
213486
|
217672
|
|
10-11
|
13-14
|
217672
|
246974
|
301392
|
351624
|
322322
|
259532
|
217672
|
221858
|
|
11-12
|
12-13
|
213486
|
234416
|
259532
|
309764
|
326508
|
280462
|
234416
|
226044
|
Примітка: Дані наведені для
одинарного скла товщиною 2,5-3,5 мм.
Теплові втрати.
Загальні теплові втрати можна
визначити по формулі:
втрат = К·F(tвн - tзовн); Дж (3.16)
де К - коефіцієнт теплопередачі
поверхні огородження (стін):
для цегляної стінки - 3348 - 3767
Дж,
для стінки з бетону - 5441 - 6279 Дж
;- площа поверхні огородження, м2;ср п - середня температура в приміщенні, є
С;зовн - зовнішня температура повітря, є С.
Теплові втрати через стіни в
прокатних цехах можна не враховувати, так як їх величина відносно кількості
тепла, що надійшло в приміщення цеху, незначна.
Визначення надлишкового тиску й
площі прорізів.
Схема аерації приміщення наведена на
малюнок 3.2.
Загальна величина повного
(гравітаційного) теплового тиску, при якому відбувається обмін повітря у
приміщенні, дорівнює:
Нпов = h
(γзовн. - γср.п.)
g = Н1 + Н2; (3.17)
кг/м.с2
де γзовн.
- густина повітря поза приміщенням, що відповідає середній температурі повітря
на вулиці (табл.3.1), кг/м3;
γср.п.
- середня густина повітря в приміщенні, що відповідає середній температурі
повітря в приміщенні (табл.3.1), кг/м3;- висота між площинами нижніх
і верхніх прорізів, м;= 9,81 м/сек2 - прискорення вільного падіння
Залежно від площі відкриття верхніх
витяжних і нижніх приточних фрамуг (стулок) у приміщенні встановлюється рівень
рівних тисків (приблизно посередині висоти будівлі цеху). Тиск у цій площині
дорівнює нулю.
Отже, на рівні центра нижніх
прорізів створюється тиск:
Н1 = h1 (γзовн.
- γср.п.)g; (3.18)
кг/м.с2
де γ
зовн.
- густина повітря поза приміщенням, що відповідає середній
температурі повітря на вулиці
(табл.1), кг/м3;
γср.п.
- середня густина повітря в приміщенні, що відповідає середній
температурі повітря в приміщенні
(табл.1), кг/м3;- висота від площини рівних тисків до нижніх
прорізів, м.
Вище площини рівних тисків існує
надлишковий тиск, Па, що на рівні центру верхніх прорізів дорівнює:
Н2 = h2 (γзовн.
- γср.п.) g; (3.18)
кг/м.с2
де γзовн.
- густина повітря поза приміщенням, що відповідає середній
температурі повітря на вулиці
(табл.3.1), кг/м3;
γср.п.
- середня густина повітря в приміщенні, що відповідає середній
температурі повітря в приміщенні
(табл.1), кг/м 3;- висота від площини рівних тисків до верхніх прорізів, м.
Малюнок 3.2. Схема аерації
приміщення
Цей тиск викликає витяжку повітря.
Розрахувавши величину повного
теплового тиску Нпов, задаються внутрішнім надлишковим тиском на рівні центру
нижніх прорізів Н1, який приймають рівним 25-40% від повного тиску.
Швидкість руху повітря (м/с) у
нижньому прорізі V1 визначаємо по формулі:
(3.19)
.
де Н1 - відстань між центрами
нижнього й верхнього прорізів, м;
γзовн.-
густина зовнішнього повітря, кг/м3;= 9,81 м/сек2 - прискорення
вільного падіння.
Площу (м2) нижніх вентиляційних
прорізів знаходимо по формулі:
н = L /3600 (μ1
V1); м2 (3.20)
.
де, μ1
- коефіцієнт витрати повітря через нижні прорізи (μ1
= 0,15 - 0,65), який залежить від конструкції стулок
і кута їхнього відкриття (для стулок, відкритих на 90°, µ = 0,65; на 30°- µ =
0,32).
Розраховуємо надлишковий тиск (Па) у
верхніх прорізах за формулою:
Н2 = Нпов - H1; (3.21)
.
де Hпов - повний (гравітаційний)
тиск повітря; Па
Швидкість руху повітря (м/с) у
верхньому прорізі V2 визначаємо по формулі:
(3.22)
.
Площу (м2) верхніх вентиляційних
прорізів розраховуємо по формулі:
в = Lвид /3600 (μ2
V2); (3.23)
.
де Lвид - кількість повітря, що
видаляється з приміщення цеху, яка за рахунок нагрівання має більший об’єм, ніж
кількість повітря, що поступає в цех.
вид = L∙γзовн./γвид;(3.24)
м3.
μ2
- коефіцієнт витрати повітря через верхні прорізи (μ2
= 0,15 - 0,65), який залежить від конструкції стулок
і кута їхнього відкриття (для стулок, відкритих на 90°, µ = 0,65; на 30°- µ =
0,32).
Висота отворів в кожному ряду
повинна становити не менше 1 м і залежить від конструктивної висоти розміщення
підкранових балок. Довжина прорізів залежить від наявності прилеглих до
повздовжніх стін споруд як всередині, так і зовні цеху.
Список літератури
1. Технологічна
інструкція при виробництві горячекатоного листа.
2. Королев А.А. Механическое
оборудование прокатных цехов черной и цветной металлургии / А.А. Королев. -
[3-е изд.]. - М.: Металлургия, 1976. - 544 с.
. Коновалов Ю.В. Справочник
прокатника: справочное пособие в 2-х томах. Книга 1. Производство
горячекатанных листов и полос / Ю.В. Коновалов. -- М.: Теплотехник, 2008. - 640
с.
4. Методичні
вказівки по розрахунку широкополосного листа на стані 1200. Ізюмська С.Т.
. Молчанова
З.В. Охрана труда в прокатном производстве / З.В. Молчанова. - М.: Металлургия,
1973. - 248 с.
. Практикум
із охорони праці. Навчальний посібник / [Жидецький В.Ц., Джигирей В.С.,
Сторожук В.М., та ін.]; за ред. канд. техн. наук, доцента В.Ц. Жидецького. -
Львів, Афіша, 200 - 352 с.