Розрахунок редуктора
Зміст
Вступ
1.
Вибір
електродвигуна і кінематичний розрахунок привода
2.
Розрахунок
зубчатої передачі
3.
Попередній
розрахунок валів редуктора
4.
Конструктивні
розміри шестерні та колеса
5.
Конструктивні
розміри корпуса редуктора
6.
Розрахунок
кленопасової передачі
7.
Перший
етап компоновки редуктора
8.
Перевірка
підшипника на довговічність
9.
Перевірка
міцності шпонкових з’єднань
10.Поточнений розрахунок валів
11.Посадки деталей редуктора, шківа та підшипників
12.Вибір сорту мастила
13.Висновок
Список
використаної літератури
Вступ
електродвигун привід редуктор підшипник
Редуктором називається механізм, який складається з зубчатих
передач, або черв’ячних передач, виконаний в вигляді окремого агрегату і
служить для передачі обертань від вала двигуна до вала робочої машини.
Призначення редуктора - пониження кутової швидкості і
відповідно підвищення обертального моменту відомого вала по порівнянню з
ведучим. Механізми для підвищення кутової швидкості, виконані в вигляді
окремого агрегату, називають прискорювачами або мультиплікаторами.
Редуктори класифікують по наступним основним признакам: типу
передачі (зубчаті, черв’ячні або зубчато-черв’ячні) число ступенів
(одноступінчатих, двоступінчатих і т.д.) типу зубчатих коліс (циліндричні,
конічні, конічно - циліндричні і т.д.), відносно розташуванню валів редуктора в
просторі (горизонтальні, вертикальні) особливостям кінематичної схеми
(розгорнута, соосна, з роздвоєною сходинкою).
Редуктор проектують, або для привода певної машини, або по
заданому навантаженні і моменту на вихідному валу) і передаточному числу без
вказівки конкретного призначення.
Другий випадок характерний для спеціалізованих заводів, на
яких організовано серійне виробництво редукторів.
1. Вибір електродвигуна і кінематична схема привода
Кінематична схема привода
1. Електродвигун
2. Кленопасова передача
. Редуктор конічний
. Муфта
. Транспортер
Визначення ККД привода
η = η1 ·η2·η
= 0,97·0,95·0,992 = 0,93 кВт
η1
= 0,97 - ККД конічної передачі
η2 =
0,95 - ККД кленопасової передачі
η3 =
0,99 - ККД витрат на тертя в опорах валів редуктора
Визначення потрібної потужності електродвигуна
n
=
=
=
4 кВт
Вибираємо серію типорозмір, потужність і частоту обертів електродвигуна
Приймаємо електродвигун асинхронний серії 4А, закритий, обдуваємий
по ГОСТ 19523 - 81.
Потужність електродвигуна Рдв=4 кВт
Частота обертання вала електродвигуна nдв = 750 хв-1.
Приймаємо типорозмір електродвигуна 132 S8
Ковзання S = 4.1 %
Номінальна частота обертання вала електродвигуна
nдв = nдв (1-
)=750(1-
)=719,25 хв-1.
Визначаємо передаточне число приводу
пр
=
=
=7,2
Назначаємо передаточне число конічної передачі Uр = 3,15
Визначаємо передаточне число клинопасової передачі Uп=
2,3
Визначаємо частоту обертання валів приводу
Частота обертання вала електродвигуна nдв = 719,25 хв-1
Частота обертання ведучого шківа пасової передачі nп1= nдв=
719,25 хв-1
Частота обертання веденого шківа пасової передачі
п2
=
=
=312,7 хв-1
Частота обертання ведучого валу редуктора n1= nn2=312,7 хв-1
Частота
обертання веденого валу редуктора
n2= 
=99.3 хв-1
Визначаємо похибку частоти обертання вихідного вала редуктора редуктора
·100%
=
·100% = 0.7%
Визначаємо кутову швидкість валів привода
Кутова швидкість вала електродвигуна
ωдв
=
=
=75,3
с-1
Кутова швидкість ведучого вала редуктора ωп1 = ωдв = 75,3 с-1
Кутова швидкість веденого вала редуктора
ωп2
=
=
=
32,7 с-1
Обертаючі моменти валів редуктора
Обертаючий момент веденого валу редуктора
Т2 =
=
=
346,2·103 Н·мм
Обертальний момент ведучого вала редуктора
Т1 =
=
=109,8·103
Н·мм
Таблиця 1
|
Вал електродвигуна
|
пдв=
719,25 хв-1
|
дв=
75,3 с -1
|
|
Вал ведучого шківа
|
пп1=
719,25 хв-1
|
п1=
75,3 с -1
|
|
Вал веденого шківа
|
пп2=
312,7 хв-1
|
п2=
32,7 с -1
|
|
Ведучий вал
редуктора
|
п1=
312,7 хв-1
|
1=
32,7 с -1
|
|
Ведений вал
редуктора
|
п2= 99,3
хв-1
|
2=
10,4 с -1
|
2. Розрахунок зубчатої передачі
Обираємо матеріал шестерні та колеса
Приймаємо для шестерні Сталь 40Х покращену з твердістю
НВ 270; для колеса сталь 40Х покращену з твердістю НВ 245
Розраховуємо контактне напруження

485
МПа
Приймаємо для колеса σHlimb=2HB+70=2·245+70=560
МПа
Приймаємо для довгочасної експлуатації коефіцієнт довговічності KHl=1
Приймаємо коефіцієнт безпеки [SH]=1,15
Приймаємо коефіцієнт при консольному розташуванні шестерні KHB=1,35
Приймаємо коефіцієнти ширини вінця по відношенню до зовнішньої конусної
відстані ψbRe=0,285
по ГОСТ 12289-76
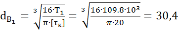
Зовнішній дільний діаметр
колеса

=
=306,9
мм
Приймаємо по ГОСТ 12289-76 найближче стандартне значення de2=315 мм
Приймаємо число зуб’їв шестерні z1=25
Розраховуємо число зуб’їв колеса
z2=z1·u=25·3,15=78,75
Приймаємо z2=79, тоді

3.16
Визначаємо похибку передаточного числа зубчатої передачі
Зовнішній окружний модуль

Уточнюємо значення модулю
Визначаємо похибку окружного модуля
Кут дільних конусів
Зовнішня конусна відстань Re та довжина зубу b

мм

мм
Приймаємо ширину зуба b=48 мм
Зовнішній дільний діаметр шестерні

мм
Середній дільний діаметр шестерні

мм
Зовнішні діаметри шестерні та колеса

мм

мм
Середній окружний модуль

мм
Коефіцієнт ширини шестерні по середньому діаметру
Середня окружна швидкість колес
Визначаємо коефіцієнт навантаження
Призначаємо коефіцієнт розподілення навантаження по ширині зуба
При 
та
твердості НВ<350, 
=1,23
Призначаємо коефіцієнт розподілення навантаження між прямими зубами 
=1
Призначаємо коефіцієнт динамічного навантаження в заціплені
Для прямозубих колес при 
Перевіряємо контактне напруження
Визначаємо сили в заціплені
Окружна
Осьова для колеса та радіальна для шестерні
Осьова для шестерні та радіальна для колеса
Перевіряємо зуб’я на витривалість по напругам згину по зубу деталі з
меншим допустимим запасом міцності
Коефіцієнт навантаження
Приймаємо коефіцієнт розташування колес 
Приймаємо коефіцієнт точності 
Обираємо коефіцієнт форми зуба
Для шестерні
Приймаємо 
Для колеса
Приймаємо 
Допустиме навантаження зубців
Для шестерні: 
Для колеса: 
Приймаємо 
Для шестерні: 
Для колеса: 
Приймаємо коефіцієнт запасу міцності

=1,75
- коефіцієнт безпеки

=1
- коефіцієнт запасу міцності
Визначаємо відношення допустимих навантажень до коефіцієнту форми зуба
Для шестерні : 
Для колеса: : 
Для перевірки зубу на міцність обираємо колесо
. Попередній розрахунок валів редуктора
Ведучий вал
Діаметр вихідного кінця ведучого валу
Приймаємо допускаєму напругу 
,
що враховує вплив вигину валу від натягу пасу

мм
Приймаємо 
32
мм
Приймаємо діаметр валу під підшипником 
мм
Шестерню виконуємо як одне ціле з валом
Ведений вал
Приймаємо допустиму напругу 
25
МПа
Діаметр вихідного кінця валу під підшипником

41,06
мм
Приймаємо 
42
мм
Приймаємо діаметр валу під підшипником
=50
мм
Приймаємо діаметр валу під зубчатим колесом
50
мм
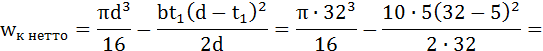
4. Конструктивні розміри шестерні та колеса
Шестерня
Приймаємо довжину посадочної ділянки lст
lст
b=48 мм
Приймаємо lст=50 мм
Колесо
Приймаємо розміри колеса
dae2=318,41 мм; b2=48 мм
Діаметр ступиці
dст=
88 мм
Довжина ступиці
lст=
мм
Приймаємо довжину ступиці lст=70 мм
Товщина ободу

мм
Приймаємо
товщину ободу 
мм
Приймаємо товщину диска
С=(0,1
0,17)•Re==(0,1
0,17)•166=16.6 
28 мм
Приймаємо товщину ободу С=20 мм
5. Конструктивні розміри корпусу редуктора
Товщина стінок корпуса і кришки
δ = 0,05 · Re + 1 = 0.05 · 166+ 1 = 9,3 мм
Приймаємо δ = 10 мм
δ1 =
0.04 · Re + 1 = 0,04 · 166 + 1 = 7,64 мм
Приймаємо δ1 = 10 мм
Нижній пояс корпусу
р = 2,35δ = 2,35· 10 = 23,5 мм
Приймаємо р = 24 мм
Діаметр болтів
Фундаментних d1 = 0,055· Re+12 = 0,055· 166 + 12 = 21 мм
Приймаємо фундаментні болти з різьбою М20
Болтів, що кріплять кришку до корпусу у місці підшипника
d2=(0,7
0,75) ·d1=(0,7
0,75) ·20=14
15 мм
Приймаємо болти з різьбою М16
Болтів, що з’єднують кришку з корпусом
d3=(0,5
0,6) ·d1=(0,5
0,6) ·20=10
12 мм
Приймаємо болти з різьбою М10
. Розрахунок кленопасової передачі
Передаваєма потужність Pп=4 кВт, частота обертання ведучого шківа пасової передачі nп1=nдв=719,25
хв-1, передаточне число un=2,3,
ковзання ε=0,015
Обираємо в залежності від потужності та частоти обертання переріз
клинового пасу Б
Розраховуємо крутний момент
Т=
53,1·103Н·мм2
Розраховуємо діаметр меншого шківа
Приймаємо d1=140 мм
Розраховуємо діаметр більшого шківа

мм
Приймаємо d2=280 мм. Уточнюємо передаточне відношення
uп=
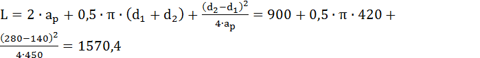
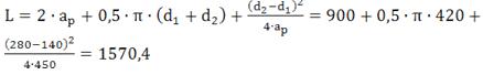
Приймаємо міжосьову відстань ар
T0=10,5
amin=0,55•(140+280)+10,5=241,5 мм
аmax=140+280=420 мм
Приймаємо ар=450мм
Розраховуємо довжину пасу

мм
Приймаємо довжину пасу L=1600 мм
Уточнюємо міжосьову відстань
Розраховуємо кут обхвату меншого шківа

Приймаємо коефіцієнт режиму роботи Ср=1
Приймаємо коефіцієнт що враховує вплив довжини пасу Сl=0,92
Приймаємо коефіцієнт що враховує кут обхвату Сα=0,95
Приймаємо коефіцієнт що враховує кількість пасів у передачі Сz=0,9
Кількість пасів у передачі

мм
Приймаємо z=3
Розраховуємо
натяг гілки клинового ременя

Н
Розраховуємо тиск на валу
розраховуємо ширину шківа Вшк
Вшк=(z-1)e+2f=(3-1)19+12,5•2=63 мм
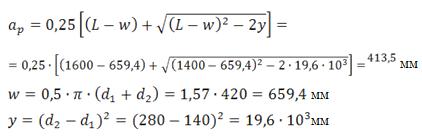
. Перший етап компоновки редуктора
Обираємо спосіб змащування: зціплення зубчатої пари - окунанням
зубчатого колеса у масло: для підшипників пластичній змащувальний матеріал.
Роздільне змазування прийнятне тому, що один з підшипників ведучого валу
віддаленій, і це заважає попаданню масляних бризг. Крім того роздільне
змащування попереджує попадання у підшипники часток металу.
Камери підшипників відділяємо від внутрішньої порожнини корпуса
захисними кільцями.
Встановлюємо можливість розташування однієї проекції - розріз по вісям
валів - на листі формату А1 (594х841 мм) . Краще брати масштаб 1:1. Проводимо
по середині листа горизонтальну осьову лінію - вісь ведучого валу. Намічаєпм
положення вертикальної вісі - вісі відомого валу.з точки перетину проводимо під
кутом δ1=17◦34’ осьові лінії дільних конусів і відкладаємо на
них відрізки Re=166 мм
Конструктивно оформлюємо по знайденим вище розмірам шестерню і колесо.
Викреслюємо їх в заціплені. Ступицю колеса виконуємо не симетрично відносно
диска, щоб зменшити відстань між опорами відомого валу.
Підшипники валів розташовуємо в стаканах.
Призначаємо для валів роликопідшипники однорядні конічні легкої серії.
Таблиця 2
|
Умовне позначення
підшипника
|
d
|
D
|
T
|
C
|
C0
|
e
|
|
мм
|
кН
|
|
|
7208
|
40
|
80
|
19,25
|
46,5
|
32,5
|
0,38
|
|
7210
|
50
|
90
|
21,75
|
56
|
40
|
0,38
|
Наносимо габарити підшипників ведучого валу,намітив
попередньо внутрішню стінку корпусу на відстані х=10 мм від торця шестерні та
відклавши зазор між стінкою корпусу та торцем підшипника y=15 мм.
При постановці радіально-упорних підшипників необхідно
врахувати, що радіальні реакції прикладені до валу в точках перетину нормалі,
проведені до середини контактних площадок. Для однорядних конічних
роликопідшипників:
а1=
17,2
мм
Розмір від середнього діаметру шестерні до реакції підшипника:
f1=55+17,2=72,2 мм
Приймаємо розмір між реакціями підшипників ведучого валу
с1=(1,4…2,3)f1=(1,4…2,3)•72,2=101…166 мм
Приймаємо с1=120 мм
Розміщуємо підшипники відомого валу, помітивши попередньо внутрішню
стінку корпуса на відстані х=10 мм від торця ступиці колеса і відклавши зазор
між стінкою корпуса и торцем підшипника y2=20 мм.
Для підшипника 7210 а2=19,5 мм
Знаходимо заміром розмир А - відстань від лінії реакції підшипника до
вісі ведучого валу. Корпус редуктора виконуємо симетрично відносно вісі
ведучого валу та приймаємо розмір А=А’=125
мм. Наносимо габарити підшипників веденого валу. Заміром визначаємо відстань f2=82 мм,
та с2=168 мм, при цьому
А+А’=f2+c2
Викреслюємо контур внутрішньої стінки корпуса, відклавши зазор між
стінкою і зубцями колеса, що дорівнює 1,5х, тобто 15 мм.
l3=10+∆+10+ 
+а1
=10+8+10+22+17,2=67,2 мм
8.
Перевірка підшипника на
довговічність
Ведучий вал
Ft=2560 Н; Fa=277 H; Fr=889 H; Fb=1246.3 H; T1=109800 H•мм
d1=85,77 мм; f1=72,2 мм; c1=120 мм; l3=67,2 мм; Kϭ=1,2; KT=1
Визначаємо реакції в опорах в горизонтальній площині
ΣМ2(Fn)=0; -Ft(t1+c1)+Rx1
· c1=0x1=
Н
ΣМ1(Fn)=0; -Ft · f1-Rx
· c1=0x2=
Н
Перевіряємо
Σхп=0; Rx2+Rx1-Ft=0
-2560+4100,3-1540,3=0
Визначаємо реакції в опорах в вертикальній площині
ΣМ1(Fn)=0; 
ΣМ2(Fn)=0; 
Перевіряємо
Σyп=0; Fb-Ry2+Ry1+Fr=0
1246,3-1311,6-824,9+889≈0
Визначаємо вигинаюі моменти в горизонтальній площині
Mux1=0;
Mux2=0; Mux3=-Rx2·0=0;
Mux4=-Rx2·c1=-(-1540.3)·120=184835
Н·мм
Mux5=-Rx2·c1-Rx1·0=-(-1540.3)·120=184835
Н·мм
Mux6=-Rx2·(c1+f1)-Rx1·f1=1540,3·(120+72,2)-4100,3·72,2≈0
Визначаємо вигинаючі моменти у вертикальній площині
Muy1=Fb·0=0
Muy2=Fb·l3=1246,3·67,2=83751,36 Н·мм
Muy3=Fb·l3-Ry2·0=1246,3·67,2=83751,36
Н·мм
Muy4=Fb(l3+c1)-Ry2·c1=1246,3·187,2-1311,6·120=75915,36 Н·мм
Muy5= Fb(l3+c1)-Ry2·c1+Ry1·0=1246,3·187,2-1311,6·120=75915,36
Н·мм
Muy6= Fb(l3+c1+f1)-Ry2·(c1+f1)+Ry1·f1=1246,3·259,4-1311,6·192,2+(-829,4) · ·72,2=11318,02
Н·мм
Визначаємо кутовий момент на валу
T1=109,8·103 Н·мм

H

H
Основні складові радіальних реакцій конічних підшипників
S2=0,83·e·Pr2=0,83·0,38·1541,3=486,1
H
S1=0,83·e·Pr1=0,83·0,38·4182,5=1319,2
H
Осьові навантаження підшипників
S1>S2 Fa>0 тоді Pa1=S1=1319,2a2=S1+Fa1=1319,2+277=1596,2
H
Розглянемо лівий підшипник

=1,02>e - тому слід враховувати осьове навантаження
Pe2=(x·V·Pr2+Y·Pa2)
·Kϭ·KT, де
х=1
Y=1,56
Kϭ=1
KT=1
V=1
Pe2=(1·1·1541,3+1,56·1576,2) ·1·1=4 кН
Розрахункова довговічність (млн..об.)
Розрахункова довговічність год.
Розглянемо правий підшипник

=0,315<е - тому осьове навантаження не враховуємо
Pe1=V·Pr1 ·Kϭ·KT=4182,5·1·1·1=4182,5≈4,2
кН
Розрахункова довговічність (млн..об.)
Розрахункова довговічність год.
Знайдена довговічність приємлима
Ведений вал
Ft=2560 Н; Fa=889 H; Fr=277 H
d2=270,91 мм; f2=82 мм; c2=168 мм;
Визначаємо реакції в опорах в горизонтальній площині
ΣМа(Fn)=0; -Rx4(c2+f2)+Ft·c2=0
Rx4=
Н
ΣМb(Fn)=0; -Rx3·(c2+f2)-Ft·f2=0
Rx3=
Н
Перевіряємо
Σхп=0; Rx3-Rx4+Ft=0
-1710,08+(-849,92)=0
Визначаємо реакції в опорах в вертикальній площині
ΣМa(Fn)=0; 

H
ΣМb(Fn)=0; 


H
Перевіряємо
Σyп=0; -Ry4+Ry3+Fr=0
,82-666,82+277≈0
Визначаємо вигинаючі моменти в горизонтальній площині
Mux1=-Rx3·0=0;
Mux2=-Rx3·c2=849,92·167=141936,64
Н·мм
Mux3=-Rx3·c2=141936,64
Н·мм
Mux4=-Rx3·(c2+f2)-Ft·f2=849,92·250-2560·82≈0
Визначаємо вигинаючі моменти у вертикальній площині
Muy1=Ry3·0=0
uy2=Ry3·c2=389,82·168=65099,94
Н·мм
Muy3=Ry3·c2-Fa·(d2/2)=389,82·168-889·135,48=-55346,25 Н·мм
Muy4=Ry3(c2+f2)-Fa·(d2/2)+Fr·f2=
=389,92·250-889·135,48+277·82=24,835 Н·мм
Визначаємо кутовий момент на валу
T2=346,2·103 Н·мм
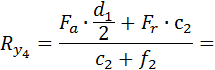
Визначаємо сумарні реакції

H

H
Основні складові радіальних реакцій конічних підшипників
S4=0,83·e·Pr4=0,83·0,37·1835,5=563,7
H
S3=0,83·e·Pr3=0,83·0,37·935,1=287,2
H
Осьові навантаження підшипників
S3>S4 Fa>0 тоді Pa3=S3=287,2 Нa4=S3+Fa=287,2+889=1176,2 H
Оскільки в якості опор валу - однакові підшипники, розглянемо тільки
найбільш навантажений - правий підшипник.

=0,64 > e - тому слід враховувати осьове навантаження
Pe4=(x·V·Pr4+Y·Pa4)
·Kϭ·KT, де
х=0,4
Y=1,6
Kϭ=1
KT=1
V=1
Pe4=(0,4·1·1835,5+1,6·1176,2)
·1·1=2,6 кН
Розрахункова довговічність (млн..об.)
Розрахункова довговічність год.
Так як отримана довговічність більше потрібної, підшипники серії 7210
міняємо на підшипники серії 1210.
Таблиця
3
|
Умовне позначення
підшипника
|
d
|
D
|
T
|
C
|
C0
|
e
|
|
мм
|
кН
|
|
|
1210
|
50
|
90
|
20
|
17.7
|
11
|
0,21
|
Визначаємо основні складові радіальних реакцій
S4=0,83·e·Pr4=0,83·0,21·1835,5=365,6 H
S3=0,83·e·Pr3=0,83·0,21·935,1=186,3 H
Осьові навантаження підшипників
S3<S4 Fa>S4-S3
тоді Pa3=S3=186,3
Нa4=S3+Fa=186,3+889=1075,3
H
Оскільки в якості опор валу - однакові підшипники, розглянемо
тільки найбільш навантажений - правий підшипник.

=0,6 > e - тому слід враховувати осьове навантаження
Pe4=(x·V·Pr4+Y·Pa4)
·Kϭ·KT, де
х=0,4
Y=1,6
Kϭ=1
KT=1
V=1
Pe4=(0,4·1·1835,5+1,6·1075,3)
·1·1=3,6 кН
Розрахункова довговічність (млн..об.)
Розрахункова довговічність год.
9. Перевірка міцності шпонкових з’єднань
Приймаємо шпонки призматичні із закругленими торцями по ГОСТ 23360-81
Матеріал шпонок - сталь 45. Напруга зминання і умова міцності σзм<=[σзм].
Допустима напрогу при стальній ступеці
[σзм]=100…120 МПа; при
чугунній - [σзм]=50…70
Ведучий вал
Шпонка знаходиться під шківом кленопасової передачі
Діаметр валу dв1=32 мм
Розміри шпонки bxh=10x8 мм
Глибина
паза t1=5 мм
Довжина
шпонки
lшп=Вшк-(5…12)=63-(5…12)=51…58 мм
Приймаємо lшп=56 мм
Обертаючий момент на валу
Т1=109,8·103 Н·мм
σзм
=
=
=
49,7 МПа ≤
[σзм]
[σзм]
= 50 - 70 МПа
Умова міцності виконується
Вал ведений
Шпонка знаходиться під напівмуфтою
Діаметр вихідного кінця валу dв2=42 мм
Довжина
муфти lм=225 мм
Довжина напівмуфти
lн/м=lм·0,5=225·0,5=112,5мм
Розміри шпонки bxh=12x8 мм t1=5
мм
Довжина
шпонки
lшп=lн/м-(5…12)=112,5-(5…12)=100,5…107,5 мм
Конструктивно
приймаэмо Lшп=100 мм
σзм
=
=
=
62,4 МПа ≤
[σзм]
[σзм]
= 50 - 70 МПа
Шпонка знаходиться під зубчатим конічним колесом
Діаметр валу dк2=55
мм
Довжина ступиці зубчатого колеса lст=70 мм
Розміри шпонки bxh=16x10 мм, t=6 мм
Довжина шпонки
lшп=lст-(5…12)=70-(5…12)=58…65 мм
Приймаємо lшп=63 мм
σзм
=
=
=
66,96 МПа ≤
[σзм]
[σзм]
= 50 - 70 МПа
Умова міцності виконується
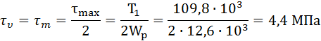
. Уточнений розрахунок валів на міцність
Приймем, що нормальне напруження від вигину змінюється по симетричному
циклу, а дотичні від кручення - по нульовому.
Уточнений розрахунок складається в визначенні коефіцієнтів запасу
міцності S для небезпечних розрізів і порівнянням [S]. Міцність дотримується при S=>[S]. Будемо
виконувати розрахунок для
припустимо небезпечних розрізів кожного з валів.
Ведучий вал
Матеріал вала той же що і для шестерні - Сталь 45.
Термообробка - покращена
При діаметрі заготівки до 90 мм ϭв=780 МПа
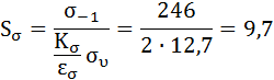
Визначаємо границю витривалості при симетричному вигині
ϭ-1≈0,43ϭв=0,43·780=335 МПа
Визначаємо границю витривалості при симетричному циклі дотичних напруг
τ-1=0,58ϭ-1=0,58·335=193 Мпа
Переріз А-А
Концентрацію напруг викликає наявність шпоночної канавки під шківом.
Визначаємо коефіцієнт запасу міцності
S=Sτ=
де амплітудне і середнє навантаження від нульового цикла
При d=32 мм b=10 мм t1=5 мм

МПа
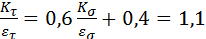
Приймаємо Кτ=1,6
ετ=0,88
ψτ=0,1
Sτ=
ГОСТ 16162-78 Вказує на те, щоб конструкція передумовлює можливість
сприйняття радіальних консольних навантажень приложеної в середині посадочної
частини вала. Величина цього =1.навантаження
для одноступінчатих зубчатих редукторів на швидкохідному валу повинна бути 2,5√Т1
, при 25·103 Н·мм <Т1<250·103 Н·мм
Прийнявши у ведучого валу ширину шківа Вшк=63 мм, отримуємо
вигинаючий момент в розрізі А-А від консольного навантаження
МА-А=
Н·мм
Визначаємо коефіцієнт запасу міцності по парним напругам

=
де Kϭ=1,75
εϭ=0,88
ϭm=0
Визначаємо результуючий коефіцієнт запасу міцності
S=
[S]=2,5
Переріз Б-Б
Концентрація напруг обумовлена посадкою підшипника з гарантованим
натягом


Приймаємо ψϭ=0,15 і ψτ=0,1
Визначаємо вигинаючий момент
МБ-Б=
H·мм
Визначаємо осьовий момент опору
Визначаємо амплітуду нормальних напруг

Мпа
Визначаємо
полярний момент опору
wp=2w=2·6,3·103=12,6·103
мм3
Визначаємо амплітуду і
середню напругу цикла дотичних напруг
Визначаємо коефіцієнт запасу міцності по дотичним напругам
Визначаємо коефіцієнт запаса міцності по дотичним напругам
Визначаємо коефіцієнт запасу міцності для перерізу Б-Б

>[S]=2,5
Таблиця 4
|
Переріз
|
А-А
|
Б-Б
|
|
S
|
10,6
|
15,3
|
Ведений вал
Визначаємо коефіцієнт запасу міцності
Вигинаючий момент МА-А=0
S=Sτ=
де
амплітудне і середнє навантаження від нульового цикла
При d=42 мм b=12 мм t1=5 мм

МПа
Приймаємо Кτ=1,5
ετ=0,8
ψτ=0,1
S=Sτ=
>{S}=2.5
Розріз Б-Б
Концентрація напруг обумовлена посадкою підшипника з гарантованим
натягом 
і

Приймаємо ψ=0,15 та ψ=0,1
Визначаємо вигинаючий момент МБ-Б=0
Визначаємо осьовий момент опору

мм
Визначаємо полярний момент опору
Визначаємо амплітуду і середню напругу цикла дотичних напруг
Визначаємо коефіцієнт запасу міцності по дотичним напругам

>[S]=2,5
Діаметр валу в цьому розрізі 55 мм. Концентрація напруг обумовлена
наявністю шпоночної канавки під зубчатим колесом.
Визначаємо моменти опору обертання
d=55 мм; b=16
мм; t1=6 мм
Визначаємо сумарний вигинаючий момент в розрізі В-В
МВ-В=
Н·мм
Визначаємо
момент опору обертання

мм3
Визначаємо момент опору вигину

мм3
Визначаємо амплітуду і середню напругу цикла дотичних напруг

МПа
Визначаємо амплітуду нормальних напруг вигину

МПа
Середня напруга ϭm=0
Визначаємо коефіцієнт запасу міцності по динамічним напругам

Визначаємо коефіцієнт запасу міцності по нормальним напругам

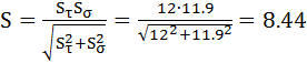
Визначаємо результуючий коефіцієнт запасу міцності для розрізу В-В

> [S]=2,5
Визначаємо сумарний вигинаючий момент в розрізі Г-Г
МГ-Г=МВ-В=156·103 МПа
Визначаємо осьовий момент опору розрізу
W=
Н·мм
Визначаємо амплітуду нормальних напруг

МПа
Визначаємо полярний момент опору
wp=2w=2·12,3·103=24,6·103
Визначаємо амплітуду і середню напругу цикла дотичних напруг

мм3
Визначаємо коефіцієнт запасу міцності по нормальним напругам
Визначаємо коефіцієнт запасу міцності по дотичним напругам
Визначаємо коефіцієнт запасу міцності для перерізу Г-Г

> [S]=2,5
Таблиця
5
|
Переріз
|
А-А
|
Б-Б
|
В-В
|
Г-Г
|
|
S
|
5,5
|
9,8
|
8,44
|
7,4
|
. Посадки деталей редуктора, шківа, та підшипників
Посадка зубчатого колеса на вал - Н7/р6
Посадка муфти на вал - Н7/r6
Мастилоутримуючі кільця - Н7/п6
Стакани під підшипники кочення у корпусі редуктора - H7/h6
Розпорні втулки - H7/h7
Шківи - H7/h6
Розпорні кільця, сальники - H8/h8
Кільця підшипників H7/k6
12. Вибір сорту масла
Змазування зубчатого колеса відбувається зануренням зубчатого
колеса в масло, яке заливається в середину корпуса до рівня, що забезпечує
занурення колеса приблизно на 10 мм. Об’єм масляної ванни V визначаємо із розрахунку 0,25 дм3 масла на 1 кВт передаваємої
потужності
V = 0,25 · 4 = 1 дм3
Встановлюємо в’язкість масла при контактних навантаженнях σн = 560 МПа і швидкість υ = 1,4 м/с. Рекомендуєма в’язкість масла повинна бути приблизно
рівна 34 · 10-6
м2/с.
Приймаємо масло індустріальне марки И-40А по ГОСТ 20799-77
Камери підшипників заповнюємо пластичним мастильним
матеріалом УТ-1 періодично поповнюємо його шприцом через прес-маслянки.
13. Висновок
Перед складанням редуктора внутрішню частину корпусу ретельно
очищаємо, і покриваємо маслостійкою фарбою.
Збірку виконуємо у відповідності зі складальним кресленням
редуктора, починаючи з вузлів валів: на проміжний і вихідний вал встановлюємо
колеса, на вали встановлюємо шарикопідшипники, попередньо нагріті до 80-100◦С.
Зібрані вали вкладаємо в основу корпуса редуктора і
встановлюємо кришку корпуса, покриваючи попередньо поверхні стику кришки і
корпусу спиртовим лаком. Для центрування встановлюють кришку на корпус за
допомогою двох конічних штифтів; затягуємо болти, що кріплять кришку до
корпуса. електродвигун привід редуктор підшипник
Після цього в підшипникові камери закладають пластичне
мастило, ставлять кришки підшипників з комплектом металевих прокладок для
регулювання.
Перевіряють підворачуванням валів відсутність заклинювання
підшипників (вали повинні провертатися від руки) і закріплюють кришки гвинтами.
Далі на кінець вхідного валу в шпонкову канавку закладають
шпонку встановлюють шків, на вихідний вал встановлюємо зубчасту муфту.
Потім вкручують пробку маслоспускаючого отвори з прокладкою і
ліхтарний маслопоказник.
Заливають в корпус масло і закривають оглядовий отвір кришкою
з прокладкою з технічного картону; закріплюють кришку болтами.
Зібраний редуктор обкочують і піддають випробуванню на стенді
за програмою, яка встановлюється технічними умовами.
Список використаної літератури
1. С.А. Чернавський "Курсове проектування деталей
машин" М.: Машинобудування, 2007.
. І.І. Устюгов "Деталі машин" М.: Вища
школа, 2011
3. П.Ф. Дунаєв "Курсове проектування" М.:
Вища школа 2009.